Please wait
False000001815442true0FYtrue00true0012/3112-310truehttp://www.kymeratx.com/20231231#CollaborationRevenuesFromRelatedPartyMemberhttp://www.kymeratx.com/20231231#CollaborationRevenuesFromRelatedPartyMemberhttp://www.kymeratx.com/20231231#CollaborationRevenuesFromRelatedPartyMemberhttp://fasb.org/us-gaap/2023#LeaseholdImprovementsMember2024-02-290001815442kymr:LabAndOfficeEquipmentMember2022-12-310001815442kymr:VertexAgreementMember2019-05-092019-05-090001815442us-gaap:FurnitureAndFixturesMember2023-12-310001815442us-gaap:CommercialPaperMemberus-gaap:FairValueInputsLevel1Memberus-gaap:FairValueMeasurementsRecurringMember2023-12-310001815442us-gaap:GeneralAndAdministrativeExpenseMemberus-gaap:EmployeeStockOptionMember2021-01-012021-12-3100018154422019-12-310001815442us-gaap:ResearchAndDevelopmentExpenseMember2023-01-012023-12-310001815442kymr:UnbilledReceivablesSanofiMember2023-12-310001815442us-gaap:EmployeeStockOptionMember2023-01-012023-12-310001815442us-gaap:OverAllotmentOptionMemberus-gaap:SubsequentEventMember2024-01-092024-01-090001815442us-gaap:RestrictedStockMember2022-01-012022-12-310001815442us-gaap:FairValueMeasurementsRecurringMemberus-gaap:MoneyMarketFundsMember2022-12-310001815442us-gaap:CommonStockMember2023-01-012023-12-310001815442us-gaap:CorporateDebtSecuritiesMember2023-12-3100018154422023-06-3000018154422023-10-012023-12-310001815442kymr:SanofiCollaborationArrangementMember2022-12-310001815442us-gaap:AccumulatedOtherComprehensiveIncomeMember2020-12-310001815442us-gaap:FairValueInputsLevel2Memberus-gaap:USGovernmentAgenciesDebtSecuritiesMemberus-gaap:FairValueMeasurementsRecurringMember2023-12-310001815442us-gaap:LandBuildingsAndImprovementsMember2023-01-012023-12-310001815442us-gaap:PrivatePlacementMember2021-01-012021-12-310001815442us-gaap:AccountingStandardsUpdate201613Member2021-12-310001815442us-gaap:PrivatePlacementMemberus-gaap:CommonStockMember2021-01-012021-12-310001815442kymr:SanofiCollaborationArrangementMember2020-07-072020-07-070001815442us-gaap:RetainedEarningsMember2022-01-012022-12-310001815442kymr:SanofiCollaborationArrangementMemberkymr:CollaborationTargetTwoMember2020-07-072020-07-070001815442kymr:DeferredRevenueVertexMember2023-12-310001815442us-gaap:ResearchAndDevelopmentExpenseMemberus-gaap:EmployeeStockOptionMember2022-01-012022-12-310001815442us-gaap:USGovernmentAgenciesDebtSecuritiesMemberus-gaap:FairValueInputsLevel2Memberus-gaap:FairValueMeasurementsRecurringMember2022-12-310001815442kymr:FollowOnOfferingMember2021-07-0600018154422023-01-012023-12-3100018154422023-12-3100018154422022-01-012022-12-310001815442kymr:WatertownMassachusettsMemberkymr:NoncancelableFacilityLeaseAgreementMember2019-10-310001815442kymr:TwoThousandTwentyEmployeeStockPurchasePlanMember2020-08-200001815442kymr:VertexAgreementMember2023-01-012023-12-310001815442us-gaap:USTreasurySecuritiesMemberus-gaap:FairValueMeasurementsRecurringMember2023-12-310001815442us-gaap:EarliestTaxYearMember2023-01-012023-12-310001815442kymr:WatertownMassachusettsMemberkymr:NoncancelableFacilityLeaseAgreementMember2023-01-012023-12-310001815442us-gaap:ResearchAndDevelopmentExpenseMember2022-01-012022-12-310001815442us-gaap:FairValueInputsLevel1Memberus-gaap:FairValueMeasurementsRecurringMemberus-gaap:MoneyMarketFundsMember2023-12-310001815442us-gaap:AdditionalPaidInCapitalMemberus-gaap:PrivatePlacementMember2021-01-012021-12-310001815442us-gaap:RetainedEarningsMember2023-01-012023-12-310001815442kymr:SanofiCollaborationArrangementMemberkymr:CollaborationTargetOneMember2022-01-012022-12-310001815442kymr:WatertownMassachusettsMemberkymr:NoncancelableFacilityLeaseAgreementMember2021-12-200001815442us-gaap:USGovernmentAgenciesDebtSecuritiesMemberus-gaap:FairValueMeasurementsRecurringMember2023-12-310001815442kymr:AssetsNotYetInServiceMember2022-12-310001815442us-gaap:GeneralAndAdministrativeExpenseMemberus-gaap:EmployeeStockOptionMember2022-01-012022-12-310001815442kymr:SanofiCollaborationArrangementMemberkymr:CollaborationTargetOneMember2021-01-012021-12-310001815442kymr:TwoThousandTwentyStockOptionAndIncentivePlanMember2020-08-200001815442kymr:TwoThousandAndTwentyPlanMember2023-01-012023-12-310001815442us-gaap:GeneralAndAdministrativeExpenseMemberus-gaap:RestrictedStockMember2022-01-012022-12-310001815442us-gaap:RetainedEarningsMember2023-12-310001815442kymr:SanofiCollaborationArrangementMember2022-01-012022-12-310001815442kymr:FollowOnOfferingMember2021-07-062021-07-060001815442kymr:WatertownMassachusettsMemberkymr:NoncancelableFacilityLeaseAgreementMember2019-12-310001815442us-gaap:AccumulatedOtherComprehensiveIncomeMember2022-01-012022-12-310001815442kymr:TwoThousandNineteenLeaseMemberus-gaap:LetterOfCreditMemberkymr:RestrictedCashMemberkymr:NoncancelableFacilityLeaseAgreementMember2022-12-310001815442us-gaap:GeneralAndAdministrativeExpenseMember2023-01-012023-12-310001815442kymr:LabEquipmentMember2022-12-310001815442us-gaap:IPOMember2021-01-012021-12-310001815442us-gaap:RestrictedStockMember2022-01-012022-12-310001815442kymr:VertexAgreementMember2022-01-012022-12-310001815442us-gaap:USGovernmentCorporationsAndAgenciesSecuritiesMember2023-12-310001815442us-gaap:EmployeeStockOptionMember2021-01-012021-12-3100018154422022-12-310001815442us-gaap:ResearchAndDevelopmentExpenseMemberus-gaap:EmployeeStockOptionMember2021-01-012021-12-310001815442us-gaap:GeneralAndAdministrativeExpenseMember2022-01-012022-12-310001815442kymr:SanofiCollaborationArrangementMemberkymr:CollaborationTargetTwoMember2023-01-012023-12-310001815442us-gaap:CommercialPaperMemberus-gaap:FairValueMeasurementsRecurringMember2023-12-310001815442kymr:TwoThousandTwentyStockOptionAndIncentivePlanMember2023-12-310001815442us-gaap:FairValueInputsLevel2Memberus-gaap:CorporateBondSecuritiesMemberus-gaap:FairValueMeasurementsRecurringMember2022-12-310001815442kymr:TwoThousandTwentyStockOptionAndIncentivePlanMember2023-01-012023-12-310001815442kymr:UnbilledReceivablesSanofiMember2023-01-012023-12-310001815442us-gaap:CommonStockMember2023-12-310001815442us-gaap:StateAndLocalJurisdictionMember2023-01-012023-12-310001815442kymr:FollowOnOfferingMemberus-gaap:SubsequentEventMember2024-01-090001815442us-gaap:GeneralAndAdministrativeExpenseMember2021-01-012021-12-310001815442kymr:ConsultantsMemberus-gaap:RestrictedStockMember2022-01-012022-12-310001815442us-gaap:ResearchAndDevelopmentExpenseMemberus-gaap:RestrictedStockMember2021-01-012021-12-310001815442kymr:FederalAndStateMember2023-12-310001815442kymr:SanofiCollaborationArrangementMemberkymr:MilestoneTwoMember2023-10-012023-12-310001815442kymr:DeferredRevenueSanofiMember2023-01-012023-12-310001815442kymr:AssetsNotYetInServiceMember2023-12-310001815442kymr:SanofiCollaborationArrangementMemberkymr:IRAK4Membersrt:MinimumMember2020-07-072020-07-070001815442us-gaap:RestrictedStockMember2021-01-012021-12-310001815442us-gaap:FairValueInputsLevel2Memberus-gaap:FairValueMeasurementsRecurringMember2023-12-310001815442kymr:TwoThousandEighteenStockOptionAndGrantPlanMemberus-gaap:RestrictedStockMember2023-01-012023-12-310001815442kymr:BilledReceivablesSanofiMember2023-01-012023-12-310001815442us-gaap:AdditionalPaidInCapitalMember2020-12-310001815442us-gaap:ResearchAndDevelopmentExpenseMember2021-01-012021-12-310001815442us-gaap:AccumulatedOtherComprehensiveIncomeMember2021-12-3100018154422021-12-310001815442us-gaap:IndemnificationGuaranteeMember2020-12-310001815442us-gaap:USTreasurySecuritiesMember2023-12-310001815442us-gaap:RestrictedStockMember2021-01-012021-12-310001815442kymr:InstitutionalInvestorMemberus-gaap:SubsequentEventMember2024-02-070001815442kymr:TwoThousandTwentyOneLeaseMemberus-gaap:LetterOfCreditMemberkymr:RestrictedCashMemberkymr:WatertownMassachusettsMemberkymr:NoncancelableFacilityLeaseAgreementMember2022-12-310001815442kymr:SanofiCollaborationArrangementMember2023-01-012023-12-310001815442kymr:InstitutionalInvestorMemberus-gaap:SubsequentEventMember2024-02-072024-02-070001815442us-gaap:RestrictedStockMember2023-12-310001815442us-gaap:AccumulatedOtherComprehensiveIncomeMember2023-12-310001815442us-gaap:AdditionalPaidInCapitalMember2022-01-012022-12-310001815442kymr:SanofiCollaborationArrangementMember2023-12-310001815442kymr:TwoThousandAndTwentyPlanMember2023-12-310001815442kymr:PublicOfferingMemberus-gaap:SubsequentEventMember2024-01-090001815442kymr:ConsultantsMemberus-gaap:RestrictedStockMember2023-01-012023-12-310001815442us-gaap:USGovernmentAgenciesDebtSecuritiesMemberus-gaap:FairValueInputsLevel2Member2022-12-310001815442us-gaap:ResearchAndDevelopmentExpenseMemberus-gaap:RestrictedStockMember2023-01-012023-12-310001815442kymr:PrivateInvestmentInPublicEquityPipeMember2022-08-180001815442us-gaap:FairValueMeasurementsRecurringMember2022-12-310001815442kymr:PrivateInvestmentInPublicEquityPipeMember2022-08-182022-08-180001815442kymr:SanofiCollaborationArrangementMemberkymr:CollaborationTargetTwoMember2021-01-012021-12-310001815442kymr:PrivateInvestmentInPublicEquityPipeMember2023-12-310001815442kymr:LesserOfPotentialOutcomeTwoMemberkymr:TwoThousandTwentyEmployeeStockPurchasePlanMember2023-01-012023-12-310001815442kymr:BruceJacobsMember2023-10-012023-12-310001815442kymr:LabAndOfficeEquipmentMember2023-12-310001815442us-gaap:EmployeeStockOptionMember2022-01-012022-12-310001815442us-gaap:DomesticCountryMember2023-01-012023-12-310001815442us-gaap:CorporateDebtSecuritiesMember2022-12-310001815442us-gaap:ComputerEquipmentMember2022-12-310001815442us-gaap:USTreasurySecuritiesMemberus-gaap:FairValueMeasurementsRecurringMember2022-12-310001815442kymr:TwoThousandTwentyEmployeeStockPurchasePlanMember2023-12-310001815442kymr:LabEquipmentMember2023-12-310001815442kymr:DeferredRevenueSanofiMember2023-12-310001815442kymr:TwoThousandAndTwentyPlanMember2022-12-310001815442us-gaap:ResearchAndDevelopmentExpenseMemberus-gaap:EmployeeStockOptionMember2023-01-012023-12-310001815442us-gaap:FurnitureAndFixturesMember2022-12-310001815442us-gaap:LandBuildingsAndImprovementsMember2023-12-310001815442kymr:VertexPharmaceuticalsIncorporatedMemberus-gaap:PrivatePlacementMember2021-07-062021-07-060001815442us-gaap:CommonStockMember2022-12-310001815442kymr:UnbilledReceivablesSanofiMember2022-12-310001815442us-gaap:ComputerEquipmentMember2023-12-3100018154422024-02-160001815442kymr:VertexPharmaceuticalsIncorporatedMemberus-gaap:PrivatePlacementMember2021-07-060001815442kymr:TwoThousandTwentyEmployeeStockPurchasePlanMember2023-01-012023-12-310001815442us-gaap:USTreasurySecuritiesMemberus-gaap:FairValueInputsLevel1Memberus-gaap:FairValueMeasurementsRecurringMember2022-12-310001815442kymr:VertexAgreementMember2023-12-310001815442kymr:SanofiCollaborationArrangementMemberkymr:CollaborationTargetOneMember2023-01-012023-12-310001815442kymr:WatertownMassachusettsMemberkymr:NoncancelableFacilityLeaseAgreementMember2019-10-012019-10-310001815442kymr:WatertownMassachusettsMemberkymr:NoncancelableFacilityLeaseAgreementMember2021-12-202021-12-200001815442us-gaap:AdditionalPaidInCapitalMember2021-12-310001815442kymr:MilestoneTwoMember2023-10-012023-12-310001815442us-gaap:AdditionalPaidInCapitalMember2021-01-012021-12-310001815442kymr:SanofiCollaborationArrangementMember2021-01-012021-12-310001815442kymr:DeferredRevenueVertexMember2023-01-012023-12-310001815442us-gaap:RetainedEarningsMember2021-12-310001815442kymr:SeriesB1ConvertiblePreferredStockMemberkymr:VertexAgreementMember2019-05-092019-05-090001815442us-gaap:USTreasurySecuritiesMemberus-gaap:FairValueInputsLevel1Memberus-gaap:FairValueMeasurementsRecurringMember2023-12-310001815442us-gaap:CorporateBondSecuritiesMemberus-gaap:FairValueMeasurementsRecurringMember2022-12-310001815442us-gaap:IndemnificationGuaranteeMember2021-12-310001815442kymr:VertexAgreementMember2021-01-012021-12-310001815442us-gaap:ResearchAndDevelopmentExpenseMemberus-gaap:RestrictedStockMember2022-01-012022-12-310001815442kymr:BilledReceivablesSanofiMember2022-12-310001815442us-gaap:FairValueInputsLevel2Memberus-gaap:FairValueMeasurementsRecurringMember2022-12-310001815442us-gaap:AccountingStandardsUpdate201409Member2023-01-012023-12-310001815442us-gaap:USGovernmentCorporationsAndAgenciesSecuritiesMember2022-12-310001815442us-gaap:AccumulatedOtherComprehensiveIncomeMember2022-12-310001815442us-gaap:FairValueInputsLevel1Memberus-gaap:FairValueMeasurementsRecurringMember2022-12-310001815442kymr:SanofiCollaborationArrangementMemberkymr:MilestoneOneMember2023-10-012023-12-310001815442kymr:TwoThousandAndTwentyPlanMember2022-01-012022-12-310001815442kymr:SanofiCollaborationArrangementMemberkymr:CollaborationTargetOneMember2020-07-072020-07-070001815442kymr:TwoThousandNineteenLeaseMemberus-gaap:LetterOfCreditMemberkymr:RestrictedCashMemberkymr:NoncancelableFacilityLeaseAgreementMember2023-12-310001815442us-gaap:RestrictedStockMember2023-01-012023-12-310001815442us-gaap:OverAllotmentOptionMember2021-07-062021-07-060001815442us-gaap:FairValueInputsLevel1Memberus-gaap:FairValueMeasurementsRecurringMemberus-gaap:MoneyMarketFundsMember2022-12-310001815442us-gaap:IPOMemberus-gaap:CommonStockMember2021-01-012021-12-310001815442us-gaap:FairValueMeasurementsRecurringMemberus-gaap:MoneyMarketFundsMember2023-12-310001815442kymr:VertexAgreementMember2022-12-310001815442kymr:LandlordMember2023-12-310001815442kymr:DeferredRevenueVertexMember2022-12-310001815442kymr:WatertownMassachusettsMember2021-12-202021-12-200001815442kymr:MilestoneTwoMember2023-12-310001815442us-gaap:CommonStockMember2022-01-012022-12-310001815442us-gaap:RetainedEarningsMember2021-01-012021-12-310001815442us-gaap:AccumulatedOtherComprehensiveIncomeMember2021-01-012021-12-310001815442us-gaap:CorporateBondSecuritiesMemberus-gaap:FairValueMeasurementsRecurringMember2023-12-310001815442kymr:NelloMainolfiMember2023-10-012023-12-310001815442us-gaap:LeaseholdImprovementsMember2023-12-310001815442us-gaap:FairValueMeasurementsRecurringMember2023-12-310001815442kymr:PublicOfferingMemberus-gaap:SubsequentEventMember2024-01-092024-01-090001815442us-gaap:CommonStockMember2021-01-012021-12-310001815442us-gaap:EmployeeStockOptionMember2021-01-012021-12-310001815442kymr:DeferredRevenueSanofiMember2022-12-310001815442us-gaap:EmployeeStockOptionMember2022-01-012022-12-310001815442kymr:FollowOnOfferingMemberus-gaap:SubsequentEventMember2024-01-092024-01-090001815442us-gaap:AccountingStandardsUpdate201912Member2021-12-310001815442srt:MaximumMemberkymr:VertexAgreementMember2019-05-090001815442kymr:BilledReceivablesSanofiMember2023-12-310001815442us-gaap:EmployeeStockOptionMember2023-01-012023-12-310001815442kymr:TwoThousandTwentyOneLeaseMemberus-gaap:LetterOfCreditMemberkymr:RestrictedCashMemberkymr:WatertownMassachusettsMemberkymr:NoncancelableFacilityLeaseAgreementMember2023-12-310001815442kymr:PrivateInvestmentInPublicEquityPipeMember2023-01-012023-12-310001815442us-gaap:AccumulatedOtherComprehensiveIncomeMember2023-01-012023-12-310001815442us-gaap:RestrictedStockMember2023-01-012023-12-310001815442us-gaap:OfficeEquipmentMember2023-12-310001815442srt:MinimumMember2023-01-012023-12-310001815442us-gaap:LeaseholdImprovementsMember2022-12-310001815442us-gaap:CommonStockMember2020-12-310001815442us-gaap:IndemnificationGuaranteeMember2022-12-310001815442us-gaap:EmployeeStockOptionMember2023-12-310001815442kymr:WatertownMassachusettsMemberkymr:NoncancelableFacilityLeaseAgreementMember2022-01-012022-12-310001815442us-gaap:AdditionalPaidInCapitalMember2022-12-310001815442us-gaap:RetainedEarningsMember2020-12-310001815442us-gaap:FairValueInputsLevel1Memberus-gaap:FairValueMeasurementsRecurringMember2023-12-310001815442kymr:SanofiCollaborationArrangementMembersrt:MaximumMember2020-07-072020-07-070001815442us-gaap:AdditionalPaidInCapitalMember2023-01-012023-12-310001815442kymr:TwoThousandEighteenStockOptionAndGrantPlanMemberus-gaap:RestrictedStockMember2022-12-310001815442us-gaap:GeneralAndAdministrativeExpenseMemberus-gaap:RestrictedStockMember2023-01-012023-12-310001815442us-gaap:AdditionalPaidInCapitalMemberus-gaap:IPOMember2021-01-012021-12-310001815442us-gaap:RetainedEarningsMember2022-12-3100018154422020-12-310001815442kymr:TwoThousandEighteenStockOptionAndGrantPlanMemberus-gaap:RestrictedStockMember2023-12-310001815442us-gaap:CommonStockMember2021-12-310001815442us-gaap:CorporateBondSecuritiesMemberus-gaap:FairValueInputsLevel2Memberus-gaap:FairValueMeasurementsRecurringMember2023-12-3100018154422021-01-012021-12-310001815442us-gaap:GeneralAndAdministrativeExpenseMemberus-gaap:EmployeeStockOptionMember2023-01-012023-12-310001815442kymr:SanofiCollaborationArrangementMemberkymr:CollaborationTargetTwoMember2022-01-012022-12-310001815442us-gaap:GeneralAndAdministrativeExpenseMemberus-gaap:RestrictedStockMember2021-01-012021-12-310001815442us-gaap:USTreasurySecuritiesMember2022-12-310001815442kymr:SanofiCollaborationArrangementMemberkymr:CollaborationTargetOneMember2023-12-310001815442us-gaap:UsefulLifeTermOfLeaseMember2023-12-310001815442kymr:LesserOfPotentialOutcomeOneMemberkymr:TwoThousandTwentyEmployeeStockPurchasePlanMember2023-01-012023-12-310001815442us-gaap:AdditionalPaidInCapitalMember2023-12-310001815442us-gaap:LatestTaxYearMember2023-01-012023-12-31iso4217:USDxbrli:sharesxbrli:pureutr:sqftxbrli:shareskymr:Segmentkymr:Securityiso4217:USD

 

UNITED STATES

SECURITIES AND EXCHANGE COMMISSION

Washington, D.C. 20549

FORM 10-K

(Mark One)

 

ANNUAL REPORT PURSUANT TO SECTION 13 OR 15(d) OF THE SECURITIES EXCHANGE ACT OF 1934

For the fiscal year ended December 31, 2023

OR

 

TRANSITION REPORT PURSUANT TO SECTION 13 OR 15(d) OF THE SECURITIES EXCHANGE ACT OF 1934 FOR THE TRANSITION PERIOD FROM TO

Commission File Number 001-39460

KYMERA THERAPEUTICS, INC.

(Exact name of Registrant as specified in its Charter)

Delaware

81-2992166

(State or other jurisdiction of

incorporation or organization)

(I.R.S. Employer
Identification No.)

200 Arsenal Yards Blvd., Suite 230

Watertown, Massachusetts

02472

(Address of principal executive offices)

(Zip Code)

Registrant’s telephone number, including area code: (857) 285-5300

Securities registered pursuant to Section 12(b) of the Act:

 

Title of each class

 

Trading Symbol(s)

 

Name of each exchange on which registered

Common Stock, par value $0.0001 per share

 

KYMR

 

The Nasdaq Global Market

Securities registered pursuant to Section 12(g) of the Act: None

Indicate by check mark if the Registrant is a well-known seasoned issuer, as defined in Rule 405 of the Securities Act. Yes ☒ NO ☐

Indicate by check mark if the Registrant is not required to file reports pursuant to Section 13 or 15(d) of the Act. YES ☐ No

Indicate by check mark whether the Registrant: (1) has filed all reports required to be filed by Section 13 or 15(d) of the Securities Exchange Act of 1934 during the preceding 12 months (or for such shorter period that the Registrant was required to file such reports), and (2) has been subject to such filing requirements for the past 90 days. Yes ☒ NO ☐

Indicate by check mark whether the Registrant has submitted electronically every Interactive Data File required to be submitted pursuant to Rule 405 of Regulation S-T (§232.405 of this chapter) during the preceding 12 months (or for such shorter period that the Registrant was required to submit such files). Yes ☒ NO ☐

Indicate by check mark whether the registrant is a large accelerated filer, an accelerated filer, a non-accelerated filer, smaller reporting company, or an emerging growth company. See the definitions of “large accelerated filer,” “accelerated filer,” “smaller reporting company,” and “emerging growth company” in Rule 12b-2 of the Exchange Act.

 

Large accelerated filer

Accelerated filer

 

 

 

 

Non-accelerated filer

Smaller reporting company

 

 

 

 

 

 

 

Emerging growth company

 

 

 

 

 

 

If an emerging growth company, indicate by check mark if the registrant has elected not to use the extended transition period for complying with any new or revised financial accounting standards provided pursuant to Section 13(a) of the Exchange Act. ☐

Indicate by check mark whether the registrant has filed a report on and attestation to its management’s assessment of the effectiveness of its internal control over financial reporting under Section 404(b) of the Sarbanes-Oxley Act (15 U.S.C. 7262(b)) by the registered public accounting firm that prepared or issued its audit report.

If securities are registered pursuant to Section 12(b) of the Act, indicate by check mark whether the financial statements of the registrant included in the filing reflect the correction of an error to previously issued financial statements.

Indicate by check mark whether any of those error corrections are restatements that required a recovery analysis of incentive-based compensation received by any of the registrant’s executive officers during the relevant recovery period pursuant to §240.10D-1(b).

Indicate by check mark whether the Registrant is a shell company (as defined in Rule 12b-2 of the Exchange Act). YES No

The aggregate market value of the registrant’s common stock, $0.0001 par value per share, held by non-affiliates of the registrant, based on the last sale price of the Common Stock at the close of business on June 30, 2023, was $1,012.8 million. Shares of common stock held by each executive officer and director and by each other person who may be deemed to be an affiliate of the registrant have been excluded from this computation. The determination of affiliate status for this purpose is not necessarily a conclusive determination for other purposes.

The number of shares of Registrant’s Common Stock outstanding as of February 16, 2024 was 61,111,678.

DOCUMENTS INCORPORATED BY REFERENCE

Portions of the registrant’s Proxy Statement for its 2024 Annual Meeting of Stockholders, which the registrant intends to file with the Securities and Exchange Commission not later than 120 days after the registrant’s fiscal year ended December 31, 2023, are incorporated by reference into Part III of this Annual Report on Form 10-K

 


 

Table of Contents

 

Page

PART I

Item 1.

Business

3

Item 1A.

Risk Factors

59

Item 1B.

Unresolved Staff Comments

108

Item 1C.

Cybersecurity

109

Item 2.

Properties

109

Item 3.

Legal Proceedings

109

Item 4.

Mine Safety Disclosures

109

 

PART II

 

Item 5.

Market for Registrant’s Common Equity, Related Stockholder Matters and Issuer Purchases of Equity Securities

110

Item 6.

Reserved

111

Item 7.

Management’s Discussion and Analysis of Financial Condition and Results of Operations

112

Item 7A.

Quantitative and Qualitative Disclosures About Market Risk

125

Item 8.

Financial Statements and Supplementary Data

125

Item 9.

Changes in and Disagreements With Accountants on Accounting and Financial Disclosure

132

Item 9A.

Controls and Procedures

132

Item 9B.

Other Information

134

Item 9C.

Disclosure Regarding Foreign Jurisdiction that Prevents Inspections

134

 

PART III

 

Item 10.

Directors, Executive Officers and Corporate Governance

135

Item 11.

Executive Compensation

135

Item 12.

Security Ownership of Certain Beneficial Owners and Management and Related Stockholder Matters

135

Item 13.

Certain Relationships and Related Transactions, and Director Independence

135

Item 14.

Principal Accounting Fees and Services

135

 

PART IV

 

Item 15.

Exhibits, Financial Statement Schedules

136

Item 16

Form 10-K Summary

138

 

 

 

i


 

SUMMARY OF THE MATERIAL AND OTHER RISKS ASSOCIATED WITH OUR BUSINESS

We are a biopharmaceutical company with a limited operating history and have not generated any revenue to date from drug sales, and may never become profitable.
We have incurred significant operating losses since inception and anticipate that we will incur continued losses for the foreseeable future.
We will need to raise substantial additional funding. If we are unable to raise capital when needed or on attractive terms, we would be forced to delay, scale back or discontinue some of our product candidate development programs or future commercialization efforts.
We are very early in our development efforts and our IRAK4, STAT3 and MDM2 programs are still in early clinical development. If we are unable to advance them through the clinic for safety or efficacy reasons or commercialize our product candidates or experience significant delays in doing so, our business will be materially harmed.
We cannot be certain of the timely completion or outcome of our preclinical testing, including our STAT6 and TYK2 programs. In addition, the results of preclinical studies may not be predictive of the results of clinical trials and the results of any early-stage clinical trials we commence may not be predictive of the results of later-stage clinical trials.
Our approach to the discovery and development of product candidates based on our PegasusTM platform is novel and unproven, which makes it difficult to predict the time, cost of development, and likelihood of successfully developing any products.
Business interruptions resulting from any pandemic or geopolitical conflict could cause a disruption to our supply chain or the development of our product candidates and adversely impact our business.
We may not be successful in our efforts to identify or discover additional product candidates or we may expend our limited resources to pursue a particular product candidate or indication and fail to capitalize on product candidates or indications that may be more profitable or for which there is a greater likelihood of success.
If we experience delays or difficulties in the initiation or enrollment of patients in clinical trials, our receipt of necessary regulatory approvals could be delayed or prevented.
Our current or future product candidates may cause adverse or other undesirable side effects that could delay or prevent their regulatory approval, limit the commercial profile of an approved label, or result in significant negative consequences following marketing approval, if any.
Even if we receive regulatory approval for any of our current or future product candidates, we will be subject to ongoing obligations and continued regulatory review, which may result in significant additional expense.
We rely, and expect to continue to rely, on third parties to conduct our ongoing and planned clinical trials for our current and future product candidates. If these third parties do not successfully carry out their contractual duties, comply with regulatory requirements or meet expected deadlines, we may not be able to obtain marketing approval for or commercialize our current and potential future product candidates and our business could be substantially harmed.
If we are unable to obtain and maintain patent and other intellectual property protection for our technology and product candidates or if the scope of the intellectual property protection obtained is not sufficiently broad, our competitors could develop and commercialize technology and drugs similar or identical to ours, and our ability to successfully commercialize our technology and drugs may be impaired.

ii


 

SPECIAL NOTE REGARDING FORWARD-LOOKING STATEMENTS

This Annual Report on Form 10-K, or Annual Report, contains forward-looking statements which are made pursuant to the safe harbor provisions of Section 27A of the Securities Act of 1933, as amended, and Section 21E of the Securities Exchange Act of 1934, as amended. All statements other than statements of historical facts contained in this Annual Report are forward-looking statements. In some cases, you can identify forward-looking statements by terminology such as “may”, “will”, “should”, “expects”, “intends”, “plans”, “anticipates”, “believes”, “estimates”, “predicts”, “potential”, “continue” or the negative of these terms or other comparable terminology. These statements are not guarantees of future results or performance and involve substantial risks and uncertainties. Forward-looking statements in this Annual Report include, but are not limited to, express or implied statements about:

the initiation, timing, progress, results, and cost of our research and development programs, and our current and future preclinical and future clinical studies, including statements regarding the timing of initiation and completion of studies or trials and related preparatory work, the period during which the results of the trials will become available, and our research and development programs;
our ability to continue to construct PegasusTM, our drug discovery platform, and to enable a rational and effective drug discovery and development engine;
the timing and the success of preclinical development efforts for STAT6 and TYK2 and clinical studies under our IRAK4, STAT3 and MDM2 programs;
our plans to submit investigational new drug applications to the U.S. Food and Drug Administration, or FDA for current and future product candidates;
the subsequent initiation of planned clinical trials;
our ability to identify research priorities and apply a risk-mitigated strategy to efficiently discover and develop product candidates, including by applying learnings from one program to other programs and from one modality to our other modalities;
our potential ability to manufacture our drug substances, delivery vehicles, and product candidates for preclinical use, for clinical trials and on a larger scale for commercial use, if approved;
the ability and willingness of our third-party strategic collaborators to continue research and development activities relating to our development candidates and product candidates;
our ability to obtain funding for our operations necessary to complete further development and commercialization of our product candidates;
our ability to obtain and maintain regulatory approval of our product candidates;
our ability to commercialize our products, if approved;
the pricing and reimbursement of our product candidates, if approved;
the implementation of our business model, and strategic plans for our business, product candidates, and technology;
the scope of protection we are able to establish and maintain for intellectual property rights covering our product candidates and technology;
estimates of our future expenses, revenues, capital requirements, and our needs for additional financing;
the potential benefits of strategic collaboration agreements, our ability to enter into strategic collaborations or arrangements, and our ability to attract collaborators with development, regulatory and commercialization expertise;
future agreements with third parties in connection with the commercialization of product candidates and any other approved product;
the size and growth potential of the markets for our product candidates, and our ability to serve those markets;
our financial performance;
the rate and degree of market acceptance of our product candidates;
regulatory developments in the United States and foreign countries;

1


 

our ability to contract with third-party suppliers and manufacturers and their ability to perform adequately;
our ability to produce our products or product candidates with advantages in turnaround times or manufacturing cost;
the success of competing therapies that are or may become available;
our ability to attract and retain key scientific or management personnel;
the impact of laws and regulations;
developments relating to our competitors and our industry;
the effect of any pandemics or geopolitical conflicts, including mitigation efforts and economic effects, on any of the foregoing or other aspects of our business operations, including but not limited to our preclinical studies and future clinical trials; and
other risks and uncertainties, including those listed under the caption “Risk Factors.”

Any forward-looking statements in this Annual Report reflect our current views with respect to future events and with respect to our future financial performance, and involve known and unknown risks, uncertainties and other factors that may cause our actual results, performance or achievements to be materially different from any future results, performance or achievements expressed or implied by these forward-looking statements. Factors that may cause actual results to differ materially from current expectations include, among other things, those described under Part I, Item 1A, “Risk Factors” and elsewhere in this Annual Report. Given these uncertainties, you should not place undue reliance on these forward-looking statements. Except as required by law, we assume no obligation to update or revise these forward-looking statements for any reason, even if new information becomes available in the future.

All of our forward-looking statements are as of the date of this Annual Report only. In each case, actual results may differ materially from such forward-looking information. We can give no assurance that such expectations or forward-looking statements will prove to be correct. An occurrence of or any material adverse change in one or more of the risk factors or risks and uncertainties referred to in this Annual Report or included in our other public disclosures or our other periodic reports or other documents or filings filed with or furnished to the Securities and Exchange Commission, or the SEC, could materially and adversely affect our business, prospects, financial condition and results of operations. Except as required by law, we do not undertake or plan to update or revise any such forward-looking statements to reflect actual results, changes in plans, assumptions, estimates or projections or other circumstances affecting such forward-looking statements occurring after the date of this Annual Report, even if such results, changes or circumstances make it clear that any forward-looking information will not be realized. Any public statements or disclosures by us following this Annual Report that modify or impact any of the forward-looking statements contained in this Annual Report will be deemed to modify or supersede such statements in this Annual Report.

We may from time to time provide estimates, projections and other information concerning our industry, the general business environment, and the markets for certain diseases, including estimates regarding the potential size of those markets and the estimated incidence and prevalence of certain medical conditions. Information that is based on estimates, forecasts, projections, market research or similar methodologies is inherently subject to uncertainties, and actual events, circumstances or numbers, including actual disease prevalence rates and market size, may differ materially from the information reflected in this Annual Report. Unless otherwise expressly stated, we obtained this industry, business information, market data, prevalence information and other data from reports, research surveys, studies and similar data prepared by market research firms and other third parties, industry, medical and general publications, government data, and similar sources, in some cases applying our own assumptions and analysis that may, in the future, prove not to have been accurate.

2


 

PART I

 

Item 1. Business.

We are a biopharmaceutical company focused on discovering and developing novel small molecule therapeutics that selectively degrade disease-causing proteins by harnessing the body’s own natural protein degradation system. Our proprietary targeted protein degradation, or TPD, platform, which we refer to as Pegasus™, allows us to discover highly selective small molecule protein degraders with activity against disease-causing proteins throughout the body. We believe that our small molecule protein degraders have unique advantages over existing therapies and allow us to address a large portion of the human genome that was previously intractable with traditional modalities. We focus on biological pathways that have been clinically validated but where key biological nodes/proteins have not been drugged or are inadequately drugged. To date, we have utilized our Pegasus™ platform to design novel protein degraders focused in the areas of immunology-inflammation and oncology, and we continue to apply our platform’s capabilities to additional therapeutic areas. We have a mission to drug all target classes in human cells using TPD.

Our current clinical stage programs are IRAK4, STAT3, and MDM2, which each address high impact targets within biologically-proven pathways, providing the opportunity to treat a broad range of immuno-inflammatory diseases, hematologic malignancies, and/or solid tumors. Our programs exemplify our focus on addressing high impact targets that have been elusive to conventional modalities and that drive the pathogenesis of multiple serious diseases with significant unmet medical needs. Our disclosed preclinical programs target STAT6 and TYK2, two proteins in well-validated pathways where we believe our degrader technology has the potential to offer unique advantages as compared to competing therapies. Both programs are currently in IND-enabling studies.

With respect to our IRAK4 program, we are collaborating with Sanofi S.A, or Sanofi, on the development of drug candidates targeting IRAK4 outside the oncology and immuno-oncology fields. We are developing KT-474, a highly active and selective, orally bioavailable IRAK4 degrader, for the treatment of interleukin-1 receptor/toll-like receptor or IL-1R/TLR-driven immunology-inflammation conditions and diseases with high unmet medical need, including hidradenitis suppurativa, or HS, an inflammatory skin disease, as well as atopic dermatitis, or AD, and potentially other indications. We have completed our Phase 1 trial of KT-474, which included cohorts of healthy volunteers, as well as patients with HS and AD. Phase 2 clinical trials of KT-474, conducted by Sanofi, are initially investigating its potential in HS and AD. The clinical trials for both indications have been initiated, and patient dosing is ongoing.

With respect to our clinical oncology programs, we are evaluating KT-333, a STAT3 degrader, in a Phase 1 clinical trial in patients with relapsed/refractory liquid and solid tumors, including aggressive lymphomas. Patient enrollment and dosing are ongoing in the Phase 1a portion of the trial, and we expect to present additional clinical data in 2024. In September 2023, we announced that the FDA, granted KT-333 Fast Track Designation for the treatment of relapsed/refractory peripheral T cell lymphoma, an indication for which we have previously received Orphan Drug Designation. Our Phase 1 clinical trial of KT-253, our MDM2 degrader, was initiated in March 2023. The study is evaluating the safety, tolerability, pharmacokinetics/pharmacodynamics, and clinical activity of ascending doses of KT-253 in adult patients with relapsed or refractory high grade myeloid malignancies, acute lymphocytic leukemia, or ALL, lymphomas, and solid tumors. Patient enrollment and dosing are ongoing in the Phase 1a portion of the trial, and we provided initial safety, proof-of-mechanism and proof-of-concept data in November of 2023. We expect to present additional clinical data in 2024. In June 2023, KT-253 was granted orphan drug designation by the FDA for the treatment of acute myeloid leukemia. In November 2023, we announced the decision to discontinue the development of our KT-413 (IRAKIMiD) program, despite reaching expected degradation levels and a lack of dose-limiting toxicities, in order to focus resources to support our growing immunology pipeline.

Our Strategy

Our mission is to discover, develop and commercialize novel and transformative therapies that improve the lives of patients with serious diseases. We have a unique target selection strategy that is focused on undrugged/inadequately drugged targets where targeted protein degradation (TPD) is the only or best unlocking drug modality. Our first in class programs target proteins that have strong genetics and clinical pathway validation and serve areas with large clinical and commercial opportunities. TPD is a disease-agnostic technology, and we are currently advancing this modality across several disease areas, with a primary focus in immunology as well as selected key therapeutic targets in oncology. Our goal is to leverage our leading capabilities in TPD and to become a fully integrated biopharmaceutical company with a pipeline of novel degrader medicines.

 

3


 

We intend to achieve this goal by pursuing the following strategic objectives:

Advance our existing clinical pipeline. We have advanced four programs into human clinic testing, including our current ongoing clinical stage programs which target IRAK4, STAT3 and MDM2. We believe these programs have the potential to treat multiple immuno-inflammatory and/or oncology indications. Our clinical pipeline is consistent with our target selection strategy that focuses on undrugged or inadequately drugged targets in validated pathways.
Build a broad and diverse pipeline of novel protein degraders. Guided by our drug development principles, innovative platform capabilities, and the learnings from our clinical-stage programs, we continue to identify therapeutic targets that have disruptive therapeutic potential and are well-suited for a TPD approach. Our two most advanced pre-clinical programs, STAT6 and TYK2, reflect our increased pipeline focus on immunology. These programs target significant and well-validated opportunities in which we believe our technology has the potential to deliver biologic-like activity with the convenience of an oral pill.
Expand and protect our proprietary know-how and intellectual property. We have developed a broad patent estate protecting our intellectual property, which we intend to expand to further protect the drug candidates we develop and our platform. Our intellectual property includes proprietary know-how as well as a broad series of patents.
Pursue synergistic collaboration opportunities. To further our goal of delivering transformative therapies to the broadest patient populations, we intend to become a fully integrated biopharmaceutical company. In addition to our ongoing collaboration with Sanofi, we expect to leverage additional strategic partnerships that can contribute complementary capabilities in discovery, development and commercialization in disease areas both within and outside of our core areas of therapeutic focus.
Build our organizational capabilities . We continue to build capabilities across our organization, including expertise in key therapeutic areas and functions. We view these capabilities as a strategic advantage, and as critical to our objective to become a fully-integrated biotechnology company.

 

Background of Targeted Protein Degradation

Proteins are responsible for the structure, function and regulation of tissues and organs. Cells in the body continuously synthesize and degrade proteins, maintaining an equilibrium called protein homeostasis. Most diseases are the result of aberrant protein behavior driven by activation, mutation, or downregulation of the protein itself, or by the gene responsible for the transcription and translation of that particular protein. With a deepened molecular understanding of various diseases and the characterization of the full human genome, research efforts have increasingly focused on the development of medicines to address malfunctioning proteins responsible for oncologic, auto-immune, cardio-metabolic, neurodegenerative, and rare genetic diseases.

The ‘druggable’ genome challenge

Several therapeutic modalities have been developed over the years to address aberrant protein activity. These have included small molecule inhibitors of protein function, therapeutic antibodies, oligo-based therapeutics such as RNA interference therapeutics, antisense oligonucleotides, or ASO, and other genetic therapies.

Some of these modalities have had a tremendous impact on the treatment of diseases and quality of life of patients, and several others, while earlier stage, offer potential. However, these traditional modalities face specific challenges that limit their therapeutic impact and reach. Some of the limitations of existing modalities include the following:

Traditional small molecule therapeutics are unable to block the function of proteins without a catalytic or substrate binding site and cannot block proteins with dual function, as such are not effective against transcription factors, scaffolding and adaptor proteins, many of which play a key role in certain diseases.
Therapeutic antibodies are generally too large to penetrate cells and are therefore typically limited to protein targets that are extracellular, or outside of the cell, whereas most proteins are inside the cell. They also have to be dosed parenterally and can be costly and complex to develop and manufacture.
Oligo-based therapeutics are capable of drugging proteins elusive to small molecules in some cases but have significant drug delivery challenges with dosing and in achieving systemic distribution, greatly limiting the breadth of diseases they are able to address effectively. These therapeutics can also be costly and complex to develop and manufacture.

4


 

As a result of these limitations, we believe that only 20% of the full human genome has been effectively drugged to date. New therapeutic modalities which can overcome some of these challenges are necessary to expand the drugged proteome/genome and provide new efficacious medicines to patients in need. We believe that TPD is such a modality.

 

Targeted Protein Degradation

One of the methods that cells use to control the balance between the synthesis of new proteins and the degradation and disposal of damaged and/or misfolded proteins, is ubiquitin-proteasome system, or UPS. The discovery of ubiquitin-mediated protein degradation provided important insights into specific processes like cellular division and DNA repair and led to the discovery of UPS’ critical roles in various cellular pathways, including the cell cycle, signaling pathways, the regulation of gene expression, and responses to oxidative stress. The discovery of the UPS also revealed a new modality to harness this cellular process for the treatment of diseases.

As shown below in figure 1, the UPS comprises a series of finely orchestrated enzymatic sequences that ultimately lead to protein polyubiquitination and degradation by the proteasome in cells. Protein ubiquitination is a cellular process involving an enzymatic cascade consisting of ubiquitin-activating enzymes (E1), ubiquitin-conjugating enzymes (E2), and ubiquitin-protein ligases (E3). In humans, there are two classes of ubiquitin activating E1 enzymes, more than 30 E2 enzymes, and approximately 600 E3 ligases.

The E3/E2/ubiquitin ligase complex (shown in blue) binds to a substrate protein (shown in orange) to mediate the transfer of ubiquitin, which leads to degradation of the target protein through the proteasome.

Targeted protein degradation is a new modality that co-opts this innate cellular process. The core of the TPD modality consists of a small molecule that we refer to as a heterobifunctional degrader. The role of this heterobifunctional degrader molecule is to mediate a “new” interaction through the formation of a ternary complex between a disease-causing protein and an E3 ligase. The E3 liaise tags the protein target for degradation by attaching a series of ubiquitin, and the proteasome recognizes the tagged protein and degrades it into small peptides.

Forming an efficient ternary complex, as shown in step 2 in the figure below, is a critical step in TPD, and its formation, function, and effect on cellular and in vivo systems is vital to the success of the degradation and its impact on disease. In addition, the degrader molecule needs to be able to effect degradation in a variety of different cell types and contexts and have the right pharmaceutical properties to be therapeutically dosed to patients.

As shown in step 3 and step 4 in the figure below, after the degrader facilitates the ubiquitination of the target protein, and as the protein is degraded by the proteasome, the molecule separates from the protein, and is able to form another ternary complex to conduct the degradation process again. This iterative mechanism is catalytic, which results in increased potency even at lower concentrations, another key differentiator from other modalities such as small molecule inhibitors and therapeutic antibodies.

5


 

img255116984_0.jpg 

 

Figure 1

Due to the unique advantages of TPD, this transformative modality is capable of targeting proteins traditionally undrugged by small molecules. Specifically, TPD can target proteins without a catalytic function such as scaffolding proteins and transcription factors, with small molecule-like drug properties that can potentially be dosed orally and distributed systemically unlike oligo-based therapeutics such as RNAi’s. TPD molecules also are amenable to existing small molecule manufacturing principles which are less costly than other therapeutic modalities. Because of the catalytic nature of the degradation process, we believe the modality has the potential to be therapeutically effective with smaller amounts of drug substance and less frequent dosing than traditional therapeutics.

The use of small molecules to affect protein homeostasis has been clinically and commercially validated by multiple drugs over the past two decades. Drugs such as bortezomib and fulvestrant have been understood to inhibit the proteasome and target the estrogen receptor for proteasome-dependent degradation, respectively. More recently, immunomodulatory imide drugs such as lenalidomide and pomalidomide have been understood on a post-hoc basis to direct the degradation of a series of transcription factors via the UPS.

These immunomodulatory drugs have validated the concept of using the UPS to degrade proteins and elicit a pharmacological and therapeutic effect in disease settings. However, unlike earlier approaches in this field, TPD takes this proven concept further to prospectively target the degradation of a wider range of proteins through the rational design of heterobifunctional degraders which coordinate the discreet binding of target proteins and E3 ligases to drive the desired protein degradation.

An important factor for the efficiency of a degrader is the specificity and affinity to the targeted E3 ligase. The various E3 ligases have different distribution and cellular localization profiles that are important factors when considering which E3 ligase to use for a particular disease protein target. There are approximately 600 E3 ligases that occur in nature, but to date only a handful of these E3 ligases have been evaluated for therapeutic purposes, leaving a substantial portion of the genome available for targeting.

 

6


 

Our PegasusTM Platform

Our proprietary drug discovery platform, called Pegasus, enables us to rationally design targeted protein degraders that have the potential to drug all target classes in the cell. Our approach is rooted in an understanding of the relationship between E3 ubiquitin ligases and target proteins, which allows us to identify the properties that make a target both ligandable and degradable, and determine how multiple factors impact potency, selectivity, pharmacokinetics (PK) and pharmacodynamics (PD). We have built extensive capabilities and knowledge that contributes to the development of our preclinical and clinical pipeline.

Our proprietary chemistry expertise enables the design and optimization of both E3 ligase and target protein binders, with artificial intelligence (AI) enabled insights, allowing for the opportunity to design of targeted protein degraders with optimal pharmaceutical properties. Additionally, we utilize our E3 ligase Whole-Body Atlas includes the expression profiles of approximately 600 unique E3 ligases. Using this Atlas, we are able to match target proteins with appropriate E3 ubiquitin ligases based on expression, distribution, intracellular localization and biology, a process that is enabled with our machine learning-based algorithms. We continue to utilize our Quantitative System Pharmacology Model, which measures and predicts a diverse set of parameters that impact target protein levels, based on an understanding of PK/PD, both in vitro and in vivo, and across healthy and diseased tissues and cell types. We have also focused on identifying novel tissue restricted or selective E3 ligases, beyond traditional cereblon/IMiD interactions, that enable the design of molecules that target both undrugged and un-ligandable proteins through small molecule interactions.

 

Our Therapeutic Pipeline

Our pipeline includes immunology and oncology programs in various stages of clinical and preclinical development. Our immunology programs include IRAK4, STAT6 and TYK2. Our oncology pipeline includes STAT3 and MDM2. We also have multiple programs in earlier stages of development, not depicted here, and are exploring targets in therapeutic areas outside of oncology and immunology.

The following table summarizes our publicly-disclosed clinical and near-term clinical stage pipeline.

 

img255116984_1.jpg 

Figure 2

 

1 KT-474 (SAR444656) partnered with Sanofi, with Kymera option to participate in the development and commercialization, and 50/50 profit split, in the United States. Double digit tiered royalties in ROW;

2 Current indications: HS and AD. Other diseases shown, where IL-1R/TLR pathway has been implicated in pathogenesis, are additional potential opportunities;

3 Assessment of STAT3 I/I opportunity is ongoing.

 

 

7


 

Our Immunology programs: IRAK4, STAT6 and TYK2

 

IRAK4

We are developing KT-474, a highly active and selective, orally bioavailable IRAK4 degrader, for the treatment of IL-1R/TLR-driven immunology-inflammation conditions and diseases with high unmet medical need. The initial indications being pursued include HS and AD. We have chosen to pursue IRAK4 degradation due to the well-validated role of the IL-1R/TLR pathway in immunology and inflammation and the potential advantage that drugging a single node of multiple different mediators of inflammation has over other approaches focused on targeting one of many cytokines that stimulate the IRAK4 node. IRAK4 is a critical node in the IL-1R/TLR signaling pathway, which is dependent on both IRAK4’s kinase activity and scaffolding function. We have observed through our in vitro and in vivo studies that KT-474 induces IRAK4 degradation, impacting both the kinase and the scaffolding functions, and therefore can efficiently and selectively block IL-1R/TLR-mediated inflammation in a way we believe to be superior to IRAK4 kinase inhibitors. We therefore believe KT-474 has the potential to improve outcomes over current treatment options as well as other drugs currently in development. We are collaborating with Sanofi on the development of drug candidates targeting IRAK4 outside of oncology and immuno-oncology fields. Sanofi recently advanced KT-474 into two Phase 2 clinical trials in patients with HS and AD, and the first patients were dosed in each trial in the fourth quarter of 2023. See the section entitled “Business— Collaborations—Collaboration Agreement with Sanofi" appearing elsewhere in this Annual Report for more information.

 

STAT6

We are developing degraders that target STAT6, an essential transcription factor specific to the IL-4/IL-13 signaling pathway and the central driver of Type 2 inflammation in allergic diseases. STAT6 is a genetically validated target and we believe the pathway has been clinically validated by approved IL-4/IL-13-targeting biologics, such as dupilumab. In preclinical studies, KT-621, our first-in-class oral STAT6 degrader, demonstrated full inhibition of the IL-4/IL-13 pathway in all relevant human cell contexts evaluated with strong picomolar potency similar or superior to pathway biologics such as dupilumab. KT-621 also demonstrated strong activity in multiple preclinical efficacy studies. In addition, at low oral doses, KT-621 demonstrated nearly full in vivo STAT6 degradation and was well-tolerated in multiple preclinical toxicity studies. KT-621 has been developed as a once daily oral small molecule degrader which we believe has the potential to have broad activity across multiple diseases, which may include atopic dermatitis, asthma, chronic obstructive pulmonary disorder, eosinophilic esophagitis and chronic rhinosinusitis with nasal polyps, among others. We expect to initiate a Phase 1 clinical trial in the second half of 2024.

 

TYK2

We are developing degraders that target TYK2, a member of the Janus Kinase or JAK family required for Type I interferon or IFN, interleulin-12, or IL-12 and interleulin-23, or IL-23 signaling. TYK2 is a genetically- and clinically-validated target in autoimmune and inflammatory diseases. TYK2 has a well-established scaffolding function that plays a key role in cytokine receptor surface expression and activation. In preclinical studies, KT-294, our first-in-class oral TYK2 degrader, demonstrated picomolar to nanomolar potencies across all relevant human cell contexts evaluated, representing what we believe is the only approach to TYK2 targeting that has the potential to recapitulate the human loss-of-function biology of nearly full pathway inhibition of Type I IFN, IL-12 and IL-23, while also sparing interleukin-10, or IL-10. Degradation of TYK2 has the potential to overcome the challenges of small molecule inhibitors, which have limitations due to lack of selectivity, limited target engagement, and/or lack of potent activity against Type I IFN. KT-294 has been developed as a once daily oral small molecule degrader with a potential biologics-like activity profile, which we believe has the potential to address conditions such as inflammatory bowel disease, psoriasis, psoriatic arthritis and lupus, among others. We expect to initiate a Phase 1 clinical trial in the first half of 2025.

 

Our Oncology programs: STAT3 and MDM2

 

STAT3

We are developing our selective STAT3 degraders for the treatment of hematological malignancies and solid tumors. We are also exploring the potential for STAT3 degradation in autoimmune diseases. STAT3 is a transcription factor activated through a variety of different cytokine and growth factor receptors via JAKs as well as through oncogenic fusion proteins and mutations in STAT3 itself. We believe the diverse functions of STAT3 in tumor biology, evasion of immune surveillance by tumor cells, and inflammation and fibrosis provide opportunities to address a wide variety of high unmet need disease

8


 

indications through the targeting of a single genetically and clinically validated pathway. While the JAK-STAT pathway has been partially addressed with several clinically successful JAK-targeting agents, we believe there are currently no drugs that specifically affect STAT3 broadly across all the relevant cell types. Small molecule STAT3 dimerization inhibitors targeting the SH2 domain have been in development, but significant challenges remain: first, homology of SH2 domains among all STAT family members impacts the ability to achieve specificity for STAT3, and second, inability to block dimerization independent transcriptional activities of STAT3. For these reasons, we believe that STAT3 degraders may provide a transformative solution to the development of targeted and selective drugs to address multiple STAT3 dependent pathologies. We are currently evaluating our STAT3 degrader, KT-333, in a Phase 1 clinical trial in patients with relapsed/refractory liquid and solid tumors, including aggressive lymphomas. Patient enrollment and dosing are ongoing in the Phase 1a dose escalation portion of the trial, and we expect to provide additional clinical data in 2024.

 

MDM2

We are developing degraders that target MDM2 for the treatment of solid tumors and hematological malignancies. MDM2 is the crucial regulator of the most common tumor suppressor, p53, which remains intact (or wild type) in close to 50% of cancers. Unlike small molecule inhibitors, our MDM2 degrader, KT-253, has been shown preclinically to have the ability to overcome the MDM2 feedback loop and rapidly induce apoptosis, even with brief exposures. We initiated a Phase 1 clinical trial of KT-253 in May 2023, which is designed to evaluate the safety, tolerability, PK/PD and clinical activity in adult patients with liquid and solid tumors. Patient enrollment and dosing are ongoing in the Phase 1a dose escalation portion of the trial, and we expect to provide additional clinical data in 2024.

 

Our Approach to Target Selection

To realize on the promise of TPD, we have taken a unique and differentiated approach to target selection, which has several key tenets that guide our research and development efforts, as seen in Figure 3. We focus on undrugged or inadequately drugged targets, such as transcription factors and scaffolding proteins, within pathways with clear clinical validation and validation through human genetics/causal biology. We identify targets where TPD is the best or the only solution, with a strong degrader rationale and line of sight to demonstrating superiority of our modality over existing drugs within these pathways. Additionally, we focus on areas of significant patient need and large commercial opportunities.

img255116984_2.jpg 

 

Figure 3

 

 

9


 

Clinical Immunology: IRAK4

Summary

We are developing KT-474, a highly active and selective, orally bioavailable IRAK4 degrader, for the treatment of IL-1R/TLR-driven immuno-inflammatory conditions and diseases with high unmet medical need, including HS, AD and others. We have chosen to pursue IRAK4 degradation due to the well-validated role of the IL-1R/TLR pathway in immunology and inflammation and the potential advantage that drugging a single node of multiple different mediators of inflammation has over other approaches focused on targeting one of many cytokines that stimulate the IRAK4 node. IRAK4 is a critical node in the IL-1R/TLR signaling pathway, which is dependent on both IRAK4’s kinase activity and scaffolding function. We have observed through our in vitro and in vivo studies that KT-474 induces IRAK4 degradation, impacting both the kinase and the scaffolding functions, and therefore can selectively block IL-1R/TLR-mediated inflammation in a way we believe to be superior to IRAK4 kinase inhibitors. We therefore believe KT-474 has the potential to improve outcomes over current treatment options as well as other drugs currently in development. The KT-474 Phase 1 trial, which included healthy volunteers and HS and AD patients, was completed in October 2022. We are collaborating with Sanofi on the development of drug candidates targeting IRAK4 outside of oncology and immuno-oncology fields. Sanofi has advanced KT-474 into Phase 2 clinical trials in patients with HS and AD, both which were initiated in the fourth quarter of 2023. See the section entitled “Business—Collaborations—Collaboration Agreement with Sanofi” appearing elsewhere in this Annual Report for more information.

Biology and Mechanism of Action

IRAK4 is a key component of the myddosome, a multiprotein complex involved in innate immunity that mediates signaling through TLRs and IL-1Rs. The IRAK4 protein is ubiquitously expressed across multiple different tissue types, including skin, lymphoid tissue, bone marrow, gastrointestinal tract, and lung.

The function of IRAK4 is dependent both on its kinase activity and on its scaffolding function, which are required for the assembly of the myddosome complex following TLR or IL-1R engagement and MYD88 activation. While the kinase function is primarily responsible for the phosphorylation events in the IRAK4-JNK axis, the scaffolding function is primarily responsible for the NF-KB activation and downstream gene traction of several key pro-inflammatory cytokines and chemokines.

We believe IRAK4 degradation is superior to IRAK4 kinase inhibition as our preclinical data suggests that it is critical to block both the kinase activity and scaffolding functions of the IRAK4 protein, which requires removal, as opposed to just inhibition, of the protein. IL-1 family cytokines, including IL-1a, IL-1ß, IL-18, IL-36, and IL-33, have been implicated in a variety of different immunology-inflammation conditions and diseases. As both TLRs and IL-1Rs are involved in the production and response to all of these IL-1 family cytokines, IRAK4 targeting with a single small molecule degrader could impact multiple different cytokines and chemokines and thereby provide a transformative approach to the treatment of IL-1R/TLR-driven diseases.

img255116984_3.jpg 

 

Figure 4

 

10


 

Development Opportunities

We estimate that more than 150 million people in the US, Europe and Japan suffer from TH1-driven diseases. There are numerous cutaneous, rheumatic and gastrointestinal immunology-inflammation disease indications for which pathogenesis involves IL-1 family cytokines as well as TLR stimulation. These present opportunities where we believe a highly efficient and selective IRAK4 degrader would provide significant advantages over both currently approved treatment options and those in clinical development. We are initially prioritizing HS and AD, autoimmune dermatologic conditions where there is clinical proof of concept for targeting cytokines impacted by the IL-1R/TLR pathway but for which there continues to be a high level of unmet need. There are many other diseases where the IL-1R/TLR pathway has been implicated in pathogenesis and could be additional potential opportunities targeting respiratory, GI and rheumatology.

 

Hidradenitis Suppurativa

HS is a chronic, destructive, painful and debilitating inflammatory skin disease affecting up to 1% of both the U.S. and global population. Patients with HS have numerous painful, draining nodules and abscesses, usually within skin folds, that are characterized by inflammation and bacterial colonization. Currently HS is treated symptomatically with corticosteroids, antibiotics and surgery. The only FDA-approved treatment for HS is the anti-TNF antibody adalimumab, which provides some benefit to approximately 50% of patients with moderate-to-severe disease but is not curative. Thus, there remains a high unmet need for better therapies for the treatment of HS.

Bacterial activation of TLRs, as well as the production of IL-1a, IL-1ß, and IL-36 by keratinocytes and inflammatory cells leading to inflammation characterized by high levels of TNF-a, IL-6, and IL-17, are central to the pathogenesis of HS. Monoclonal antibodies targeting individual cytokines such as IL-1a (bermekimab), IL-1a/ß receptor (anakinra), and IL-17 (secukinumab and bimekizumab) have shown preliminary clinical activity in HS and provide clinical validation for targeting the IL-1R/TLR pathway in HS. As such, an IRAK4 degrader which acts on multiple cytokines as well as TLRs has the potential to offer a significant advantage over the single-cytokine-targeting agents currently being developed.

Atopic Dermatitis

AD is a chronic, pruritic inflammatory skin disease that occurs most frequently in children but also affects adults. In the major global markets, the diagnosed prevalence of AD is estimated over 60 million patients, with approximately 40%, or 24 million, falling into the moderate-to-severe category. AD follows a chronic relapsing course over month to years, with dry skin and severe pruritus as the primary symptoms, sometimes accompanied by skin thickening from chronic scratching and fissuring. AD is treated symptomatically with topical therapies, including emollients, corticosteroids, and phosphodiesterase inhibitors. The leading FDA-approved systemic treatment is the IL-4Ra targeting antibody dupilumab, though only approximately 40% of moderate-to-severe disease patients met the primary endpoint in its Phase 3 trials, leaving a significant percentage of patients who are currently underserved.

Furthermore, there is evidence that IL-18 and IL-1 are both involved in the generation of inflammation in both AD and other autoimmune and inflammatory diseases, including eosinophilic asthma and chronic rhinosinusitis. Single-cytokine-targeting monoclonal antibodies against IL-18 (GSK1070806) and IL-1a (bermekimab)have shown preliminary clinical activity in AD while a monoclonal antibody against IL-1a/b (lutikizumab) has shown preliminary clinical activity in HS. Thus, we believe the ability of an IRAK4 degrader to impact the production of both IL-18 and IL-1, through complete TLR signaling blockade, and the cellular response to both cytokines, through complete IL-1R signaling blockade, provides a compelling mechanistic rationale for development in AD and HS and other autoimmune and inflammatory diseases.

Clinical Studies and Data

In December 2021, we completed dose escalation in the Single Ascending Dose, or SAD and Multiple Ascending Dose, or MAD portions of the KT-474 Phase 1 trial in healthy volunteers. The trial evaluated safety, tolerability and pharmacokinetics in 105 healthy volunteers. The SAD portion consisted of single doses ranging from 25 to 1600 mg. The MAD portion consisted of escalating doses ranging from 50 mg to 200 mg that were administered for 14 consecutive days. Highlights of the healthy volunteer portion of the trial included robust (>95%) and sustained IRAK4 degradation with single and multiple daily doses (Figure 5) and broad inhibition of ex vivo TLR-mediated cytokine induction (Figure 6). KT-474 was generally well-tolerated across all dose groups.

11


 

img255116984_4.jpg 

Figure 5

img255116984_5.jpg 

 

Figure 6

Following the healthy volunteer portion of the trial, we completed a single dose, food-effect cohort to establish the dose for the patient cohort, or Part C, of the KT-474 Phase 1 trial, which included HS and AD patients and which was completed in October 2022. The HS and AD patient cohort was an open label study in 21 patients with HS and AD. The patients were administered a 75 mg daily dose taken with food, which we estimated would be equivalent exposure to 100 mg fasted, one of the doses in our SAD/MAD trial. The patient cohort dose of 75 mg was administered for 28 consecutive days.

The KT-474 plasma PK at the 75 mg once daily, or QD dose (in the fed state) in patients was comparable to healthy volunteers in the MAD portion of the Phase 1 clinical trial who received 100 mg once daily in the fasted state, the MAD cohort which we refer to as MAD3. Additionally, mean Cmax (6-hour post dose concentration) and Ctrough (pre-dose concentration) levels at steady state in Part C were in line with MAD3 levels at Day 14, and the mean half-life of 44 hours was within the range observed in MAD (34-59 hours). Additionally, KT-474 concentrations in plasma led to a comparable level of IRAK4

12


 

degradation in healthy volunteers and HS/AD patients. Specifically, at concentrations above 3 ng/mL degradation was generally above 80% in both populations. Additionally, IRAK4 levels in PBMC in patients with evaluable samples were near the lower limit of quantification at Day 28.

KT-474 demonstrated high skin exposure in the skin of evaluable HS and AD patients, as shown below in Figure 7.

img255116984_6.jpg 

 

Figure 7

Additionally, baseline IRAK4 levels in skin lesions of evaluable HS and AD patients were approximately twice the levels of healthy volunteers. By Day 28 of dosing, the mean IRAK4 level in skin lesions of AD and HS patients was reduced to approximately the same level as healthy subjects, as shown below in Figure 8.

 

img255116984_7.jpg 

 

Figure 8

KT-474 was generally well-tolerated. There were no serious adverse events, no drug-related infections, and no adverse events observed leading to dose interruption or discontinuation. A modest, non-adverse QTc prolongation, consistent with that observed by Day 7 in the MAD portion of the healthy volunteer study, was also observed in the patient cohort but spontaneously resolved back to baseline with continued dosing during the 28-day dosing period.

13


 

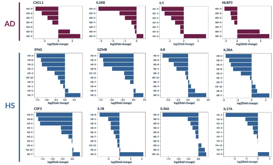
To determine whether KT-474 had a systemic anti-inflammatory effect in HS and AD patients, plasma levels of IL-6, CRP, SAA and IL-1b were measured at baseline and at various times during and after the 28-day treatment period. In patients whose baseline levels were greater than the upper limit of normal, the evaluable patients showed suppression of all 4 analytes, with mean maximum reductions through Day 42 ranging from 41 to 63%. The patient cohort also evaluated how systemic IRAK4 degradation in blood and skin would affect the expression of proinflammatory genes known to be relevant to either AD or HS. In AD, affected genes included the Th2 cytokine IL-5, the inflammasome NLRP3, as well as CXCL1 and IL-2RB. Genes affected in HS included IL-1 family cytokines IL-1 and IL-36A, mediators of Th1 inflammation such as IFN-g and GZMB, the Th17 cytokine IL-17A, and drivers of innate immunity such as IL-8 and CSF3. The downregulation was substantial with many genes inhibited more than 90% in both diseases.

img255116984_8.jpg 

 

Figure 9

 

†log2(fold change): -1 = 50% decrease, -2 = 75% decrease, -3 = 87.5% decrease.

Part C included exploratory clinical endpoints used for HS and AD. The endpoints were chosen to assess the effect of KT-474 treatment on the burden of skin disease as well as on symptoms such as pain and pruritus that impact quality of life for HS and AD patients. In AD patients, as shown in Figure 10, there was a mean 37% reduction in skin lesions as measured using the Eczema Area and Severity Index (EASI) score, with reductions in individual patients of up to 76%. Maximum reduction was seen by Day 28 and was maintained at Day 42.

img255116984_9.jpg 

Figure 10

14


 

As shown in Figure 11, mean peak pruritus in AD patients over the past week or past 24 hours was reduced by 52% and 63%, respectively, with maximum reductions occurring by Day 42. Peak pruritus responders, defined as ≥4 Unit reduction in peak pruritus over the past week or past 24 hours, were seen in 57% and 71% of AD patients, respectively, with responses sustained after Day 28.

 

img255116984_10.jpg 

Figure 11

The Validated Investigator’s Global Assessment, or vIG, of disease severity improved in 2 of 7 AD patients and remained stable in the others out to Day 42.

In HS patients, the efficacy analyses were performed in all patients, which included two patients with very severe disease. In addition, efficacy analyses were also performed in a subset of HS patients that only had moderate to severe disease, which was the target population for this study. The AN count was reduced by up to an average of 46% in all HS patients and by an average of 51% in the moderate to severe subset, with reductions in individual patients of up to 100% and with maximum reduction occurring by Day 42. The proportion of patients achieving an AN count of 0, 1 or 2 at Day 28 was 42% in all HS patients and 50% in those with moderate to severe disease. HiSCR50 response is defined as a 50% or greater reduction in AN count and no increase in abscesses or draining fistulas. As shown in Figure 12, at Day 42, the proportion of HiSCR50 responders was 42% in all HS patients and 50% in those with moderate to severe disease.

 

img255116984_11.jpg 

Figure 12

15


 

HiSCR75 response, defined as 75% or greater reduction in AN count, was seen in 25% of all HS patients and 30% of those with moderate to severe disease.

Symptoms of pain and pruritus were also measured. As shown in Figure 13, there was a 49 to 55% mean reduction in the Pain Numerical Rating Scale, or NRS, in all HS patients and in those HS patients with moderate to severe disease, respectively, with maximum reduction occurring between Days 28 and 42. Pain NRS30 response is defined as at least a 30% reduction and at least one unit reduction from baseline in Pain NRS. As also shown in Figure 13, the Pain NRS responder rate was 50% in all HS patients and 60% in those HS patients with moderate to severe disease, sustained after Day 28.

img255116984_12.jpg 

Figure 13

There also was a mean reduction in peak pruritus of 62% in all HS patients and 68% in those HS patients with moderate to severe disease, with maximum reduction by Day 42 in all HS patients and by Day 28 in those with moderate to severe disease. Additionally, the Physician’s Global Assessment of disease severity improved in 5 HS patients, including clearing of disease in 1 patient with moderate disease at baseline, and remained stable in the other evaluable patients out to Day 42.

Clinical Development Plan

In the fourth quarter of 2023, the first patients were dosed in the Phase 2 clinical trials of KT-474 in HS and AD.

The Phase 2 clinical trial in HS, or ZEN, is a double blind, placebo-controlled, 2-arm randomized trial consisting of a KT-474 oral tablet, or placebo, once-daily. The primary outcome measure is percent change from baseline in total abscess and inflammatory nodule (AN) count. Select secondary outcome measure include proportion of patients achieving HiSCR50, AN Count ≤2; absolute change from baseline in HIS4; proportion of patients with improvement in Hurley Stage, AN50; change from baseline in reported daily worst pain HS-Skin Pain-NRS; and proportion of participants achieving at least 30% reduction and at least 1 unit reduction in daily worst pain using HS-Skin Pain-NRS.

The Phase 2 clinical trial in AD, or ADVANTA, is a double blind, placebo-controlled, 3-arm randomized trial consisting of a KT-474 dose 1 oral tablet, a KT-474 dose 2 oral tablet, or placebo, once-daily. The primary outcome measure is percent change from baseline in EASI. Select secondary outcome measure include proportion of participants with vIGA-AD of 0 or 1 and a reduction from baseline of ≥2 points; proportion of participants achieving EASI-50 EASI-75 EASI-90; proportion of participants with reduction of weekly average of daily PP-NRS by ≥4 points from baseline; percent change from baseline in weekly average of daily PP-NRS; and absolute change from baseline in weekly average of daily PP-NRS.

Topline data from the two ongoing trials is expected in the first half of 2025. Additionally, Kymera and Sanofi are evaluating opportunities to expand in indications beyond HS and AD.

 

16


 

Preclinical Immunology: STAT6 and TYK2

STAT6

Summary

We are developing degraders that target STAT6, an essential transcription factor specific to the IL-4/IL-13 signaling pathway and the central driver of Type 2 inflammation in allergic diseases. STAT6 is a genetically validated target and the pathway has been clinically validated by approved IL-4/IL-13-targeting biologics, including dupilumab.

Biology and Mechanism of Action

STAT6 is the specific transcription factor required for IL-4 and 13 cytokine signaling. There are two types of IL-4 receptors, type I consisting of IL-4 receptor alpha and gamma C, and type II with IL-4 receptor alpha and IL-13 receptor alpha 1. IL-4 signals through both type I and II receptors and IL-13 signals through type II only. Upon IL-4 or IL-13 binding to the receptor, the downstream activated JAK kinases phosphorylate and activate STAT6, leading to allergic TH2 inflammation.

img255116984_13.jpg 

 

Figure 14

STAT6 regulated cytokines are clinically validated targets for allergic diseases as demonstrated by the clinical efficacies of the biologics targeting IL-4 and IL-13 signaling. Unlike JAK inhibitors, which are activated by multiple cytokine pathways, STAT6 is specifically activated by IL-4 and 13 cytokines, which supports STAT6 as a means to selectively block IL-4 and 13 signaling. The pathogenic role of STAT6 is also supported by human genetics showing that gain of function mutations of STAT6 cause severe early onset allergic diseases in human. Additionally, STAT6 knockout in mice is protective in multiple allergic disease models, and those mice develop normally and are viable and fertile.

Development Opportunities

We estimate that more than 150 million people in the US, Europe and Japan suffer from TH2-driven diseases. There are existing pathway therapeutics that have validated many of these diseases, including atopic dermatitis, prurigo nodularis, Asthma, COPD, chronic rhinosinusitis with nasal polyps, eosinophilic esophagitis and others.

We believe that STAT6 degradation has the potential to demonstrate full pathway inhibition comparable to biologics, but with the benefit of a simple, daily, oral profile. The preference that many patients may have for an oral option could allow us to access many more patients worldwide than current injectable biologics, potentially transforming the treatment paradigm of TH2 diseases.

 

17


 

Preclinical Studies and Data

Our lead STAT6 degrader, KT-621, is an extremely potent degrader of STAT6. As shown in Figure 15, KT-621 demonstrated picomolar degradation potencies across all the disease relevant human primary cell types that were studied, making KT-621 one of the most potent heterobifunctional degraders we have designed and tested at Kymera. We demonstrated STAT6 degradation across hematopoietic cells which are involved in all TH2 diseases; epithelial cells, including keratinocytes and lung epithelial cells, which are involved in skin and respiratory indications; smooth muscle cells from the lung and esophagus, which are involved in respiratory and GI indications; and vascular endothelial cells which are involved in inflammatory cell infiltration in all TH2 diseases.

img255116984_14.jpg 

Figure 15

We also demonstrated dose-dependent degradation across both Hematopoietic cells and tissue cells, as shown below in Figure 16.

img255116984_15.jpg 

Figure 16

18


 

We use mass spectrometry to measure the degradation selectivity profile of all our programs, including STAT6. The following figure is a volcano plot that depicts the degradation selectivity of KT-621. As shown in the figure, at concentrations as high as 100 times the DC90 of KT-621, STAT6 is the only protein that KT-621 degraded out of the approximately 10,000 proteins that were detected by mass spectrometry. Specifically, no other STAT proteins were degraded, demonstrating the very high degradation selectivity of KT-621.

 

 

img255116984_16.jpg 

 

Figure 17

We tested KT-621 for functional selectivity against all the other STAT proteins in cytokine assays, which are shown below in the tables and graphs. Consistent with the observed proteomics selectivity, KT-621 only inhibited STAT6 function, and did not impact any other STAT proteins, as shown in the flat dose response curves, further demonstrating the high functional selectivity of KT-621.

img255116984_17.jpg 

 

Figure 18

KT-621 was also evaluated in TH2 functional assays to assess its impact on IL-4 and 13 signaling. Specifically, we measured IL-4 and 13 induced TARC release assays in human PBMC, IL-4 and 13 induced CD23 expression assays in human CD19 B cells (which is a B cell activation marker and correlates with IgE class switch) and IL-13 induced periostin release assays in human bronchial and esophageal smooth muscle cells. We chose TARC, IgE and periostin as PD biomarkers as they are all well-established biomarkers that are used in the clinic for TH2 diseases. We also compared the ability of KT-621 to

19


 

block the pathways with dupilumab. As shown below in Figure 19, in our preclinical testing, KT-621 fully blocked the IL-4/IL-13 pathway in human TH2 functional assays with IC50’s lower than dupilumab.

 

 

img255116984_18.jpg 

 

Figure 19

We also evaluated KT-621 by assessing levels of degradation in vivo. In our studies, KT-621 robustly degraded STAT6 across multiple preclinical species including mouse, rat, dog and non-human primates. Specifically, KT-621 was able to achieve dose-dependent deep degradation of STAT6 with low oral doses. In Figure 20, we depict KT-621’s in vivo degradation in dogs, illustrating dose-dependent degradation. We tested doses ranging from 0.2 to 12.8 mpk, with doses between approximately 1 and 3 mpk leading to maximal STAT6 degradation near depletion. Additionally, in our studies KT-621 demonstrated rapid degradation onset, notably within just a few hours following a single oral dose. These results, and other PK/PD studies we have completed, suggest the potential for low and developable efficacious doses of KT-621 in humans.

 

img255116984_19.jpg 

 

Figure 20

 

20


 

We also evaluated the degradation of STAT6 in key disease relevant tissues in non-human primates. The following Figure 21 illustrates that KT-621, dosed at 10 mpk for 14 days, degraded STAT6 across key disease-relevant tissues, including blood, spleen, skin and lung.

img255116984_20.jpg 

 

Figure 21

The above degradation represented dosing at the lowest dose level in our dose range finding safety study. In that study, we dosed as high as 300 mpk daily for 14 days and reached concentrations that were above 40-fold of our efficacious concentration. At all dose levels in our study, including the highest dose level, KT-621 was well tolerated with no adverse events or relevant findings.

In preclinical models of the skin and lung, we assessed the in vivo activity of KT-621. First, we assessed KT-621 in a two-week atopic dermatitis model induced by topical application of low-calcemic vitamin D3 analog MC903. The model utilized IL-4/IL-4Rα humanized mice which allowed response to dupilumab and enabled us to compare preclinical activity. KT-621 was dosed once daily orally for 11 days at 2, 8, and 32 mpk. These doses led to ~70%, 80% and 90% degradation, respectively, in the spleen as illustrated in Figure 22. In this preclinical study, dupilumab was dosed 4 times subcutaneously, at 25 mpk twice weekly, a level expected to ensure constant IL-4Rα saturation with full IL-4/13 blockade. We estimated that dose to be equivalent to 300 mg every other week in humans, which is the highest approved dose regimen in humans.

img255116984_21.jpg 

 

Figure 22

21


 

As illustrated in Figure 23, the prominent TH2 inflammation demonstrated by the elevated total serum IgE in the PO vehicle and the SubQ IgG4 control groups, compared to the no MC903 group. In contrast, KT-621 robustly and dose dependently inhibited IgE elevation to levels that were comparable to dupilumab, in this preclinical study. Of note, the KT-621 dose that led to 90% STAT6 degradation produced similar activity in this preclinical model to an IL-4Rα saturating dose of dupilumab, indicating full IL-4 and IL-13 blockade by KT-621 in vivo.

img255116984_22.jpg 

 

Figure 23

 

* Significance to PO vehicle (MC903); # Significance to SC IgG4 25 mpk BIW

We assessed KT-621 in a one-month lung inflammation model induced by intranasal house dust mite (HDM) administration, which we believe is considered to be the most relevant preclinical model of TH2 inflammation. Unlike ovalbumin, which is commonly used in mouse models but does not induce airway inflammation in humans, house dust mite is a real-world allergen that can induce asthma in humans. The intranasal HDM model has a dominant TH2 inflammation and was used for the preclinical development of dupilumab. Similar to the skin model previously described, we used the IL4/IL4Rα humanized mice. KT-621 was dosed once daily orally for 31 days at the same three dose levels, 2, 8 and 32 mpk, leading to 72, 85 and 91% degradation in the spleen, respectively, consistent with the previous skin model. Dupilumab was dosed 9 times subcutaneously twice weekly at 25 mpk, meant to ensure constant IL-4Rα saturation with full IL-4/IL-13 blockade, and similarly equivalent to that of the highest approved dose of 300 mg every other week in humans.

As illustrated in Figure 24, the dominant TH2 inflammation was demonstrated by the greatly elevated IgE in the serum, TARC and periostin release in the bronchoalveolar lavage, and eosinophil recruitment to the lung. All are well-established TH2 biomarkers. KT-621 showed robust inhibition at all three dose levels. In this preclinical study, KT-621 blocked TH2 inflammation in vivo equally or better than an IL-4Rα saturating dose of dupilumab in the intranasal HDM asthma model for all these TH2 measures.

img255116984_23.jpg 

 

Figure 24

 

*Significance to PO vehicle (HDM); # Significance to SC IgG4 Ctrl 25 mpk

 

22


 

Clinical Development Plan

Our lead STAT6 degrader, KT-621, is currently in IND enabling studies. We expect to begin a Phase 1 clinical trial in the second half of 2024, and to report the Phase 1 results in 2025.

TYK2

Summary

We are developing highly potent and selective degraders of TYK2, a member of the JAK family required for Type I interferon, or IFN, IL-12 and IL-23 signaling with both genetic and clinical validation in autoimmune and inflammatory diseases.

Biology and Mechanism of Action

As seen in Figure 25, TYK2, a member of the JAK family of kinases, binds the IL-12, IL-23 and Type I IFN receptors to recruit and phosphorylate signal transducer and activation of transcription (STAT) transcription factors. Additionally, TYK2 has a well-established scaffolding function that plays a key role in cytokine receptor surface expression and activation. A loss of function variant is protective in autoimmune diseases and an allosteric inhibitor (deucravacitnib) of TYK2 as well as multiple biological agents targeting IL-12, IL-23 and IFN-α have been approved for the treatment of multiple autoimmune diseases, making TYK2 a highly validated target.

 

 

img255116984_24.jpg 

 

Figure 25

Degradation of TYK2, which can fully recapitulate the human knockout biology by completely removing the protein, has the potential to overcome the challenges of small molecule inhibitors, which have limitations due to lack of selectivity, limited target engagement, and/or lack of potent activity against Type I IFN. TYK2 degraders therefore have the potential to achieve full pathway inhibition of Type I IFN, IL-12 and IL-23 while sparing IL-10 in a once daily oral pill with a potential biologics-like activity profile.

Development Opportunities

We estimate that more than 20 million people in the US, Europe and Japan suffer from Type I IFN and IL-12/IL-23 mediated diseases. There are numerous indication opportunities across multiple immunological therapeutic areas including dermatology, gastroenterology, rheumatology, and CNS. The potential for TYK2 to be effective across multiple indications is supported by pathway biologics and TYK2 small molecule inhibitors. We believe that TYK2 degradation differentiates from inhibition and has the potential to demonstrate full pathway inhibition comparable to biologics, but with the benefit of a daily, oral profile.

 

23


 

Preclinical Studies and Data

We have developed a highly potent and selective TYK2 degrader, KT-294. In Figure 26, our proteomics data demonstrates KT-294, a highly selective picomolar TYK2 degrader, recapitulates TYK2 human deficiency biology and fully inhibits Type I IFN and IL-12/23 signaling and spares IL-10/IL-22. In particular, KT-294 is extremely selective over the JAK family members.

 

img255116984_25.jpg 

 

Figure 26

In Figure 27, we achieved picomolar degradation in human PBMC and keratinocytes and low nM inhibition of our functional assays across a range of cell types. We have potent preclinical efficacy on the IL-23 and IL-12 signaling pathways in PBMCs and potent inhibition on the Type I IFN pathway in PBMCs and also in specific B-cell assays. We demonstrated that we spare the IL-10 and IL-22 pathways completely.

 

img255116984_26.jpg 

 

Figure 27

24


 

IL-10 has essential roles in intestinal homeostasis such as epithelial repair and mucosal healing, which is important in diseases such as Inflammatory Bowel Disease, or IBD. In fact, loss of function mutations of IL-10 cause early onset refractory colitis in humans. In Figure 28, we show western blots demonstrating that when TYK2 is not present in a cell, we can induce pSTAT3 with IL-10, showing TYK2 is not necessary for IL-10 signaling. We also show the TYK2 small molecule inhibitor, deucravacitinib, can block that pathway signaling exclusively due to its ability to inhibit JAK1, and not through TYK2.

img255116984_27.jpg 

 

Figure 28

In Figure 29, we have an assay where we induce phospho-STAT3 in monocytes with IL-10, in this context our degrader has no effect on pSTAT3 because it doesn’t inhibit the IL-10 pathway. However, in contrast, deucravacitinib potently inhibits the IL-10 signaling as shown with the decrease of the orange data points.

 

img255116984_28.jpg 

 

Figure 29

Similarly in Figure 30, we have monocytes where we use IL-10 to suppress LPS induced TNF-α. KT-294 has no effect on IL-10 suppression of LPS induced TNF-α release, however deucravacitinib inhibits IL-10’s function of suppressing LPS induced TNF-α release and see an increase in TNF-α, which is demonstrated by the orange data points.

 

 

25


 

img255116984_29.jpg 

 

Figure 30

Additionally, we compared KT-294 to TAK-279, an investigational TYK2 inhibitor that is selective over JAK, and as a result spares IL-10. In our experiment, we used a concentration of TAK-279 that was expected to fully occupy TYK2 and a concentration of KT-294 that was expected to fully degrade TYK2 to assess if there were any biological differences between the two compounds. The concentrations were determined based on the IC95 of the IFNα pSTAT2 assay which is the most difficult TYK2-related cytokine assay to inhibit. RNAseq data show KT-294 has superior inhibition of the IFN pathway signature genes, as illustrated in the 21 gene signature score in Figure 31. Differences in the innate immune pathway, as shown in Figure 32, were observed. We believe this is due to the fact KT-294 fully removes the protein, and all possible scaffolding functions, phenocopying human knockout. Based on clinical findings, TAK-279 does not achieve clinical exposures of more than about 77nM with 35mg repeat dosing, which is close to the TAK-279 Phase 3, 30 mg dose. At clinically relevant exposures, we believe it is likely that TAK-279 will not reach these levels of pathway inhibition shown by KT-294 in figure 31.

 

 

img255116984_30.jpg 

 

Figure 31

 

26


 

img255116984_31.jpg 

 

Figure 32

KT-294 achieved dose dependent deep degradation of TYK2 in vivo with low oral doses. Specifically, in non-human primates, or NHP, upon repeat daily low oral doses, KT-294 can degrade TYK2 in a dose responsive manner and reach full degradation of TYK2, providing a path to pharmacological target engagement, as shown in figure 33.

 

 

img255116984_32.jpg 

 

Figure 33

Clinical Development Plan

We expect to initiate a Phase 1 clinical trial of our TYK2 degrader, KT-294, in the first half of 2025 and to report data in 2025.

 

 

27


 

Clinical Oncology: STAT3 and MDM2

STAT3

Summary

We are developing our selective STAT3 degraders for the treatment of hematological malignancies and solid tumors. We are also exploring the potential for STAT3 degradation in autoimmune diseases. STAT3 is a transcription factor activated through a variety of different cytokine and growth factor receptors via JAKs, as well as through oncogenic fusion proteins and mutations in STAT3 itself. We believe the diverse functions of STAT3 in tumor biology, evasion of immune surveillance by tumor cells, and inflammation and fibrosis provide opportunities to address a wide variety of high unmet need disease indications through the targeting of a single genetically and clinically validated pathway. While the JAK-STAT pathway has been partially addressed with several clinically successful JAK-targeting agents, we believe there are currently no drugs that specifically affect STAT3 broadly across all the relevant cell types. Small molecule STAT3 dimerization inhibitors targeting the SH2 domain have been in development, but significant challenges remain. Homology of SH2 domains among all STAT family members impacts the ability to achieve specificity for STAT3, and an inability to block dimerization independent transcriptional activities of STAT3. For these reasons, we believe that STAT3 degraders may provide a transformative solution to the development of targeted and selective drugs to address multiple STAT3 dependent pathologies. We are currently evaluating our STAT3 degrader, KT-333, in a Phase 1 clinical trial in patients with relapsed/refractory liquid and solid tumors, including aggressive lymphomas. Patient enrollment and dosing are ongoing in the Phase 1a portion of the trial, and we expect to provide additional clinical data in 2024.

Biology and Mechanism of Action

STAT3 (signal transducer and activator of transcription 3) is a transcription factor and a member of the STAT protein family. In response to cytokines and growth factors, STAT3 is phosphorylated by receptor-associated serine/threonine kinases, and phosphorylated STAT3, or p-STAT3, then forms dimers that translocate into the nucleus, bind to DNA, and regulate transcription of a wide variety of genes involved in oncogenesis, inflammation and fibrosis. STAT3 is frequently mutated and activated in numerous cancers, including clinically aggressive hematologic malignancies with high unmet medical need. Mechanistically, aberrant activation of STAT3 has been directly linked to the promotion of cancer cell survival, proliferation, and metastasis. In addition, STAT3 regulates the crosstalk between tumor, stroma, and immune cells to promote an immunosuppressive tumor microenvironment. STAT3 activation by IL-6 and TGF-ß is also involved in the pathogenesis of autoimmunity and fibrosis. These various roles of STAT3 in disease pathogenesis make it an attractive target for drug development in cancer and autoimmune and fibrotic diseases.

 

img255116984_33.jpg 

 

Figure 34

 

Small molecule inhibitors against JAK family kinases, such as JAK1, JAK2, JAK3, and TYK2, have been approved for the treatment of autoimmune diseases such as rheumatoid arthritis, psoriatic arthritis, and ulcerative colitis and target the JAK2/STAT5 pathway. In oncology, JAK inhibitors have been approved for hematological malignancies with mutations leading to activation of the JAK2/STAT5 pathway, including primary myelofibrosis and polycythemia vera, and for acute graft

28


 

versus host disease. JAK inhibitors block signaling of a number of cytokines and growth factors and reduce activation not only of STAT3 but also STAT1 and STAT5 in response to these stimuli. For modulating anti-tumor effects, this broad activity may have conflicting consequences. In particular, the inhibition of STAT1 activity dampens anti-tumor immune responses by cytolytic T cells and antigen presenting cells, thereby counteracting a productive immune response that could be achieved by inhibition of STAT3 alone. As a result, JAK inhibitors have not shown clinical activity in cancer beyond the myeloproliferative neoplasms. The broad activity of JAK inhibitors is also associated with class-specific adverse effects. By targeting STAT3 selectively, these immunosuppressive and safety liabilities associated with broader STAT1 and STAT5 inhibition through JAK inhibition may be avoided while also effectively addressing JAK-dependent and independent activation of STAT3. Monoclonal antibodies directed against pro-inflammatory cytokines such as IL-6 or their receptors IL-6R have also been approved for select autoimmune diseases. However, autoimmune and fibrotic diseases and certain cancers are often regulated by multiple cytokines. As such, targeting STAT3 has the potential to be more effective since it is involved in signaling by not just IL-6, but also by TGF-ß and cytokines such as IL-12, IL-2 and IL-15. Consequently, targeting STAT3 directly has the potential to block multiple signaling pathways that converge on STAT3 and reverse pathological processes that contribute to a tumor-permissive microenvironment.

Development Opportunities

The multiple effects of a STAT3 degrader on oncogenesis, tumor cell resistance to tyrosine kinase inhibitors and chemotherapy, and evasion of immune surveillance provide multiple development opportunities in hematologic malignancies and solid tumors.

Hematologic Malignancies

Oncogenic STAT3 mutations and/or STAT3 pathway activations are highly common in peripheral T-cell lymphoma, or PTCL and cutaneous T-cell lymphoma, or CTCL. Every year, approximately 8,000 patients are diagnosed with PTCL and approximately 6,000 patients are diagnosed with CTCL across major global markets. STAT3 mutations and pathway activations along with responsiveness of PTCL subsets and CTCL to immune checkpoint inhibitors point to a dependency on STAT3 in these indications and therefore the opportunity to develop a STAT3 degrader as a monotherapy. The standard of care for first-line treatment of PTCL is the combination of brentuximab vedotin, a CD30-directed antibody-drug conjugate, and chemotherapy. The majority of PTCL patients, including ALK-ALCL, PTCL-Not Otherwise Specified, AITL and NK/T lymphoma subtypes, eventually progress and die of their disease. For patients with refractory/relapsed disease, current treatment options are limited and approved therapies pralatrexate and romidepsin have shown limited efficacy. High prevalence of STAT3 mutations (approximately 13-38%) and STAT3 pathway activation (up to 90%) is found in these refractory/relapsed PTCL subsets with high unmet need. Given the documented effect of STAT3 downregulation on levels of programmed death-ligand 1, or PD-L1, we expect our STAT3 degrader to have a dual effect in these patients. In CTCL patients with advanced stage disease and the highest levels of STAT3 activation, there are no curative therapies and no standard of care. Antibody-drug conjugates, HDAC inhibitors, and immune checkpoint inhibitors have some activity and are used upfront or in refractory/relapsed patients, but there remains a high unmet need for an effective therapeutic with both tumor-intrinsic as well as immunomodulatory antitumor effects.

STAT3 pathway activation is also present in virtually all patients with T- and NK-cell large granular lymphocytic leukemia, and up to 70% of patients have oncogenic STAT3 mutations. These findings are highly indicative of STAT3 dependency, which is further supported by the preliminary clinical activity of JAK inhibitors in these patients. STAT3 activation is also commonly observed in AML and in DLBCL even though STAT3 mutations are infrequent. PD-L1 overexpression in DLBCL has been linked to worse disease outcomes and responses to anti-PD-1/PD-L1 drugs have been reported in these patients. Given STAT3 has downstream impact on PD-1/PD-L1, we believe that a STAT3 degrader has the potential to achieve profound clinical effects both as a monotherapy and in combination with other active drugs.

Solid Tumors

Cancers that are responsive to anti-PD-1/PD-L1 immune checkpoint inhibitors (ICIs) and tyrosine kinase inhibitors (TKIs), including non-small cell lung cancer, or NSCLC, head and neck squamous cell carcinoma, or HNSCC, breast cancer and colorectal cancer, are compelling development opportunities due to the established role of STAT3 in solid tumor resistance to ICIs and TKIs. Specifically, STAT3 degraders have the potential to improve responses upfront in combination with these modalities or overcome acquired resistance as add-on therapy in second line.

 

29


 

Clinical Studies and Data

In 2022, we initiated our Phase 1 clinical trial of KT-333 to evaluate the safety, tolerability, PK/PD and clinical activity of KT-333 dosed weekly on Days 1, 8 and 15 of 28-day cycles in adult patients with relapsed and/or refractory lymphomas, leukemias and solid tumors. Figure 35 below shows the details of the trial.

 

img255116984_34.jpg 

Figure 35

In December 2023, we presented clinical data from the Phase 1 clinical trial of KT-333 in a poster session at the 2023 American Society of Hematology (ASH) Annual Meeting and Exposition. The poster provided an interim update with a data cut-off as of October 18, 2023. As of that date, twenty-nine patients, with median age of 65 years, had been treated across five dose levels (DL1-5) with a mean of eight doses, including five with cutaneous T-cell lymphoma (CTCL), two with large granular lymphocytic leukemia, or LGL-L, one each with peripheral T-cell lymphoma, or PTCL, B-cell and Hodgkins’s lymphoma, and nineteen with a variety of solid tumor malignancies. Overall, the data demonstrated early signs of antitumor activity at doses that were generally well-tolerated and associated with substantial STAT3 knockdown in blood and tumor.

The following table highlights the demographics of the 29 patients that were treated across 5 dose levels as of the October 18, 2023, data cut-off.

img255116984_35.jpg 

Figure 36

 

‡ = anal; appendiceal; cholangiocarcinoma; colon adenocarcinoma; colorectal (4); duodenal; endometrial; head and neck (3); ovarian, pancreatic (2), peritoneal, rectal and renal; ⌂ = anaplastic T-cell lymphoma; Data cut-off: 18 October 2023.

KT-333 was generally well tolerated with primarily Grade 1 and 2 adverse events which included constipation, fatigue, nausea and anemia. The only KT-333 related adverse events that were Grade 3 or higher were stomatitis, arthralgia, and decreased weight in one patient each. Two dose-limiting toxicities (DLTs), stomatitis and arthralgia, occurred in LGL-L patients at DL5 and no DLTs were observed in solid tumor/lymphoma patients. Based on these findings, the study protocol was revised to continue dose escalation in solid tumor and lymphoma patients separately from patients with leukemia, including LGL-L and T-cell prolymphocytic leukemia, or T-PLL patients.

30


 

To demonstrate proof-of-mechanism, STAT3 degradation was evaluated in peripheral blood in cycles 1 and 2 using targeted mass spectrometry as shown in Figure 37. Mean maximum degradation of STAT3 in PBMCs post KT-333 infusion increased from 70% to 84% between dose levels 1 and 5 respectively. Percent change in STAT3 represents mean percent change of two STAT3 peptides from baseline. Up to 96% maximum knockdown of STAT3 protein was observed in PBMCs from patient in dose level 4. Recovery of STAT3 protein was observed between doses.

img255116984_36.jpg 

 

Figure 37

As shown in Figure 38, pathway engagement in tumor was demonstrated through semiquantitative analysis of multiplex immunofluorescence data which showed a 69% decrease in STAT3 positive cells and 87% reduction in phospho STAT3 positive cells in a CTCL biopsy ~ 24 hours post KT-333 infusion compared to baseline.

img255116984_37.jpg 

img255116984_38.jpg 

Figure 38

31


 

We observed clinical activity in 3 of 5 CTLC patients, including 2 partial responses and 1 stable disease. We also observed 1 partial response in Classic Hodgkin lymphoma, or cHL. Collectively, these results demonstrated single agent activity in liquid tumors that was supported by preclinical data. In solid tumors, where preclinically no strong single agent activity was observed, a pattern of more prolonged stable disease, or SD in Head & Neck tumors was observed with a total of 4 patients. The following tables highlight the response data as of the October 18, 2023, data cut-off.

 

 

img255116984_39.jpg 

Figure 39

 

*Mucoepidermoid carcinoma of parotid gland (C7+), sinonasal adenocarcinoma (C5), cholangiocarcinoma (C3), renal cell cancer (C3+).

 

 

 

img255116984_40.jpg 

Figure 40

 

* Received steroids during 1st week of C1 to treat symptoms arising from Sezary Syndrome; ¥ Discontinued d/t AE (Gr. 2 squamous cell carcinoma of skin); discontinued d/t PI discretion (stable disease at discontinuation); HNC1 = Mucoepidermoid carcinoma of parotid gland; HNC2 = Sinonasal adenocarcinoma.

KT-333 resulted in substantial reduction of STAT3, pSTAT3 and SOCS3 in a CTCL patient tumor with concomitant induction of IFNγ-stimulated genes, suggestive of positive immunomodulatory response in the tumor microenvironment that both clinically and preclinically has been shown to enhance the activity of anti-PD-1 drugs, supporting potential expansion into combinations of KT-333 and anti-PD-1 agents. An interferon gamma signature predictive of sensitivity to anti-PD-1 therapy was induced in the tumor biopsy of a cutaneous T-cell lymphoma (CTCL) patient following treatment on the Phase 1 trial, indicating the potential of KT-333 to synergize with PD-1 antibody therapy.

 

32


 

img255116984_41.jpg 

 

Figure 41

img255116984_42.jpg 

Figure 42

Clinical Development Plans

The Phase 1a dose escalation portion of the trial is ongoing. We expect to provide additional clinical data in 2024.

 

33


 

MDM2

Summary

We are developing degraders that target MDM2 for the treatment of solid tumors and hematological malignancies. KT-253 targets MDM2, the crucial regulator of the most common tumor suppressor, p53. p53 remains intact (wild type) in close to 50% of cancers, meaning that it retains its ability to modulate cancer cell growth. While small molecule inhibitors (SMIs) have been developed to stabilize and upregulate p53 expression, they have been found to induce a feedback loop that increases MDM2 protein levels, which can repress p53 and limit their efficacy. In preclinical studies, KT-253 has shown the ability to overcome the MDM2 feedback loop and rapidly induce cancer cell death with brief exposures, providing the opportunity for an improved efficacy and safety profile. In May 2023, we began dosing in a Phase 1 clinical trial of KT-253. The study is designed to evaluate the safety, tolerability, PK/PD and clinical activity of KT-253 in adult patients with liquid and solid tumors. KT-253 has achieved clinical proof-of-mechanism in the Phase 1 trial and shown signs of anti-tumor activity in liquid and solid tumor types. Patient enrollment and dosing are ongoing in the Phase 1a portion of the trial, and we expect to provide additional clinical data in 2024.

Biology and Mechanism of Action

The murine double minute 2 (MDM2) oncoprotein is the major E3 ligase which controls the tumor suppressor p53. p53 is a transcription factor that regulates cellular responses to stress and guides cell fate decisions such as cell cycle arrest, DNA repair, senescence, and apoptosis and functional in close to 50% of cancers, both liquid and solid, and many p53 functional cell lines are dependent on MDM2 overexpression for p53 suppression and survival. Stabilization and upregulation of p53 by removal of MDM2 by degradation can cause cells to undergo cell death and/or cell cycle arrest. While MDM2 small molecule inhibitors have shown clinical activity in a variety of tumor types, the activity has been limited as a result of the inhibition of MDM2 leading to a feedback loop, as shown in Figure 43. This feedback loop results in upregulation of MDM2 protein expression, which in turn makes it more difficult for occupancy-driven small molecules to inhibit MDM2. As a result, small molecule inhibitors have had a more modest effect on p53 upregulation which often leads to cell cycle arrest rather than apoptosis, thereby limiting the efficacy of MDM2/p53 small molecule inhibitors. This feedback loop also necessitates more chronic exposure to drug to maintain modest MDM2 inhibition in tumors, potentially leading to toxic effects on normal cells that limits the safety and tolerability of these inhibitors. Degraders have the potential to overcome the MDM2 feedback loop by completely removing the protein in a catalytic manner. This enables the development of highly potent drugs that are able to induce strong p53 upregulation and an irreversible acute apoptotic response in tumor cells with just brief exposures, thereby maximizing efficacy and improving the safety profile by allowing time for the recovery of normal cells.

 

img255116984_43.jpg 

Figure 43

 

 

34


 

Development Opportunities

The large numbers of p53wt cell lines dependent on MDM2, as seen in Figure 44, gives a high-level view of the potential breadth of opportunities in oncology for a potent and well tolerated agent for this pathway. These tumor cell types include but are not limited to cancers which have amplification and over expression of MDM2. De-stabilization of p53 by MDM2 enables cells to survive by blocking both cell cycle arrest and apoptosis. While the opportunities are very diverse, we plan to focus our development efforts on tumors which are most susceptible to the acute apoptotic response elicited by our degraders, where we believe we will be able to achieve the greatest therapeutic index and efficacy. Our initial disease areas of interest are hematological malignancies and solid tumor indications where preclinically we see that MDM2 degradation leads to an acute apoptotic response predictive of clinical activity with intermittent dosing.

img255116984_44.jpg 

Figure 44

For hematological malignances, KT-253 has potential monotherapy and combination opportunities in Acute Myeloid Leukemia (AML), and potential opportunities across Myelofibrosis, Myelodysplastic Syndrome (MDS), Acute Lymphocytic Leukemia (ALL) and TP53WT lymphomas. For solid tumors, KT-253 has monotherapy opportunities across a subset of adult and pediatric tumors, to be informed by emerging gene signature with potential for a tumor-agnostic development path. We are assembling a comprehensive preclinical and clinical dataset examining the factors impacting in vivo response to intermittent dosing with KT-253 across multiple different solid and liquid tumor types in order to derive patient selection biomarkers for the next stage of development after Phase 1a.

Preclinical Studies and Data

KT-253’s potent p53 stabilization, with brief exposures, drives apoptosis in cancer cells. In Figure 45, KT-253 demonstrated greater than 200-fold improvements in both in vitro cell growth inhibition and apoptosis than small molecule inhibitors.

img255116984_45.jpg 

Figure 45

35


 

Unlike small molecule inhibitors, KT-253 removes the protein, which can overcome the p53-dependent feedback loop that upregulates MDM2 production. As seen in Figure 46, MDM2 levels are increased by the small molecule inhibitor (feedback loop), impairing p53 stabilization.

img255116984_46.jpg 

Figure 46

In preclinical models, 4-hour target coverage by KT-253 was sufficient to induce apoptosis, as shown in Figure 47. These data support an intermittent dosing schedule of KT-253 can drive efficacy while increasing therapeutic index.

 

img255116984_47.jpg 

 

Figure 47

KT-253 potently degrades MDM2 leading to pathway impact and antitumor activity superior to a small molecular inhibitor in preclinical models. Targeted proteomic analysis of RS4;11 (ALL) tumors demonstrated robust degradation of MDM2 one hour post dosing and associated pathway activation biomarkers including p53 and GDF15, as show in Figure 48.

36


 

img255116984_48.jpg 

 

Figure 48

Figure 49 shows sustained tumor regressions in MV4;11 (AML) CDX models after a single 3 mg/kg KT-253 dose. Additionally, KT-253 demonstrated robust anti-tumor activity in MCC models. No efficacy was observed with the clinically relevant dosing regimen of the small molecule inhibitor (DS-3032).

 

img255116984_49.jpg 

 

Figure 49

 

37


 

Clinical Studies and Data

The Phase 1 trial, began dosing patients in May 2023, is evaluating the safety, tolerability, PK/PD, and clinical activity of KT-253 in patients with relapsed or refractory high grade myeloid malignancies, including AML, ALL, lymphoma and solid tumors. Patients in the Phase 1 dose escalation study will receive intravenous doses of KT-253 administered once every 3 weeks. The open-label study is intended to identify the recommended Phase 2 dose, and is comprised of two arms, with ascending doses of KT-253 in each arm. The first arm consists of patients with lymphomas and advanced solid tumors and the second arm consists of patients with high grade myeloid malignancies and ALL.

 

 

img255116984_50.jpg 

 

Figure 50

As of the October 20, 2023, data cut-off date, a total of 9 patients with solid tumors had been enrolled onto dose levels 1-3 of Arm A and received a mean of 2.3 cycles with a range of 1 to 6 cycles. The data from Arm A of the ongoing Phase 1a trial demonstrated KT-253 clinical proof-of-mechanism and initial signs of clinical activity in the first 2 dose levels in patients. Clinical response results for all patients within a dose cohort were available for dose level 1. Based on exposures we did not expect this dose level to be clinically active, however, we observed that among the 3 solid tumor patients treated on dose level 1, there was 1 confirmed partial response after 4 cycles with treatment continuing after 6 cycles, 1 confirmed stable disease after 4 cycles with the patient subsequently discontinued from the study after 6 cycles for lack of response, and 1 patient with disease progression after cycle 1, as seen in Figure 51. The patient with the partial response had Merkel Cell Carcinoma, or MCC, metastatic to abdominal lymph nodes and skin who had previously been treated with chemotherapy as well as multiple different immune checkpoint inhibitors.

 

img255116984_51.jpg 

 

Figure 51

There were no dose-limiting toxicities across dose levels 1-3. As of the data cut-off date, the most common drug-related adverse events. or AE’s, occurring in 2 or more patients included Grade 1/2 nausea and Grade 1 diarrhea. One patient at dose level 1 had a serious adverse event, or SAE, of Grade 3 hypotension during cycle 4 that was due to diminished oral intake deemed related to study drug. Treatment included IV fluids and the patient remains on study without dose reduction or recurrence of hypotension. As of the data cut-off date, there were no neutropenia or thrombocytopenia AEs even in patients who had received up to 6 cycles of therapy.

38


 

Clinical Development Plan

The KT-253 Phase 1a trial is an open label dose escalation study where adult patients with relapsed or refractory high grade myeloid malignancies, ALL, lymphomas and solid tumors receive IV doses of KT-253 once every 3 weeks. The study is intended to evaluate safety, tolerability, PK/PD and initial clinical activity and identify the recommended Phase 2 dose. It is comprised of two arms with ascending doses of KT-253 in each arm. Arm A is in patients with advanced solid tumors and lymphomas and Arm B is in patients with relapsed or refractory high grade myeloid malignancies, including AML, and ALL. The first patient was dosed in May 2023 and the first 2 dose levels in Arm A have been fully enrolled, with enrollment ongoing. Enrollment onto Arm B has also been initiated following demonstration of on-target pharmacology in the first 2 dose levels of Arm A. The Company expects to share additional clinical data in 2024.

 

Collaboration Agreement with Sanofi (formerly Genzyme Corporation)

On July 7, 2020, we entered into a collaboration agreement, or the Original Sanofi Agreement, with Genzyme Corporation, a subsidiary of Sanofi, to co-develop drug candidates directed to two biological targets. The Original Sanofi Agreement became effective during the third quarter of 2020.

On November 15, 2022, we entered into an Amended and Restated Collaboration and License Agreement with Sanofi, or the Amended Sanofi Agreement, which amended the Original Sanofi Agreement to revise certain research terms and responsibilities set forth under the Original Sanofi Agreement. The Amended Sanofi Agreement also specifies details around the timing and number of Phase 2 trials required under the terms of the collaboration. The Amended Sanofi Agreement became effective on December 5, 2022. The Original Sanofi Agreement, as amended by the Amended Sanofi Agreement, is referred to herein as the Sanofi Agreement.

Under the Sanofi Agreement, Kymera grants to Sanofi a worldwide exclusive license to develop, manufacture and commercialize certain lead compounds generated during the collaboration directed against IRAK4 and one additional undisclosed target in an undisclosed field of use. Such license is exercisable on a collaboration target-by-collaboration target basis only after a specified milestone. For compounds directed against IRAK4, the field of use includes diagnosis, treatment, cure, mitigation or prevention of any diseases, disorders or conditions, excluding oncology and immune-oncology.

Pursuant to the Sanofi Agreement, with respect to both targets we are responsible for discovery and preclinical research and conducting a phase 1 clinical trial for at least one degrader directed against IRAK4 plus up to three back up degraders, the costs of which will be borne by us, except in certain circumstances. With respect to both targets, Sanofi is responsible for development, manufacturing, and commercialization of product candidates after a specified development milestone occurs with respect to each collaboration candidate.

In addition, pursuant to the Sanofi Agreement, Sanofi will grant to us an exclusive option, or Opt-In Right, exercisable, at our sole discretion, on a collaboration target-by-collaboration target basis that will include the right to (i) fund 50% of the United States development costs for collaboration products directed against such target in the applicable field of use and (ii) share equally in the net profits and net losses of commercializing collaboration products directed against such target in the applicable field of use in the United States. In addition, if we exercise our Opt-In Right, Sanofi will grant to us an exclusive option, applicable to each collaboration target, which upon exercise will allow us to conduct certain co-promotion activities in the field in the United States.

In consideration for the exclusive licenses granted to Sanofi under the Sanofi Agreement, Sanofi paid to us an upfront payment of $150.0 million. In addition to the upfront payment, under the agreement we were eligible to receive certain development milestone payments of up to $1.48 billion in the aggregate, of which more than $1.0 billion relates to the IRAK4 program, upon the achievement of certain developmental or regulatory events. We will also be eligible to receive certain commercial milestone payments up to $700.0 million in the aggregate, of which $400.0 million relates to the IRAK4 program, which are payable upon the achievement of certain net sales thresholds. We will further be eligible to receive tiered royalties for each program on net sales ranging from the high single digits to high teens, subject to low-single digits upward adjustments in certain circumstances.

The Sanofi Agreement, unless earlier terminated, will expire on a product-by-product basis on the date of expiration of all payment obligations under the Sanofi Agreement with respect to such product. We or Sanofi may terminate the agreement upon the other party’s material breach or insolvency or for certain patent challenges. In addition, Sanofi may terminate the agreement for convenience or for a material safety event upon advance prior written notice, and we may terminate the agreement with respect to any collaboration candidate if, following Sanofi’s assumption of responsibility for the development,

39


 

commercialization or manufacturing of collaboration candidates with respect to a particular target, Sanofi ceases to exploit any collaboration candidates directed to such target for a specified period.

Additionally, in December 2022, Sanofi provided us with written notice of its intention to take KT-474 into Phase 2 clinical trials. In the fourth quarter of 2023, the Company achieved two milestones of $40.0 million and $15.0 million relating to the dosing of the first patient in the Phase 2 clinical trial for the first and second indications, respectively. As of December 31, 2023, the Company had received the $40.0 million milestone with the $15.0 million included within the accounts receivable on the consolidated balance sheet.

In September 2023, the Company and Sanofi mutually agreed to cease activities related to the undisclosed target and we are no longer eligible for the milestone and royalty payments associated with the second target.

 

Manufacturing / Supply Chain

We do not own or operate manufacturing facilities for the production of our drug candidates and currently have no plans to build our own clinical or commercial scale manufacturing capabilities. We currently engage with third-party contract manufacturing organizations, or CMOs, for the manufacture of our drug candidates for preclinical studies, and we intend to continue to do so in the future. We rely on and expect to continue to rely on third-party manufacturers for the production of both drug substance and finished drug product. We have engaged third-party manufacturers to supply the drug substances for our drug candidates and a third-party manufacturer to develop and manufacture finished drug products that we are using in our clinical trials. We currently obtain our supplies from these manufacturers on a purchase order basis and do not have long-term supply arrangements in place. Should any of these manufacturers become unavailable to us for any reason, we believe that there are a number of potential replacements, although we may incur some delay in identifying and qualifying such replacements.

All of our drug candidates are organic compounds of low molecular weight, generally called small molecules, but which are larger than traditional small molecule therapeutics. We have selected these compounds not only on the basis of their potential efficacy and safety, but also because we anticipate an ease of synthesis and cost of goods. We have produced drug substances and drug products for use in our clinical trials and continue to refine our production processes. The drug substance and drug product processes are amenable to scale-up and do not require unusual equipment in the manufacturing process. To adequately meet our needs for late-stage clinical and commercial manufacturing, our suppliers will need to scale their production, or we will need to secure alternate suppliers.

Competition

The biotechnology industry is extremely competitive in the race to develop new products. While we believe we have significant competitive advantages with our years of expertise in targeted protein degradation, clinical development expertise, and intellectual property position, we currently face and will continue to face competition for our development programs from companies that use targeted protein degradation or targeted protein degradation development platforms, and from companies focused on more traditional therapeutic modalities such as small molecules and antibodies. The competition is likely to come from multiple sources, including larger pharmaceutical companies, biotechnology companies, and academia.

Companies developing small molecule protein degraders therapies for patients, include, but are not limited to, Arvinas, Inc., C4 Therapeutics, Inc., Nurix Therapeutics, Inc., and Foghorn Therapeutics, Inc. Further, several large pharmaceutical companies have disclosed preclinical investments in this field. Our competitors will also include companies that are or will be developing other targeted protein degradation methods as well as small molecule, antibody, or gene therapies for the same indications that we are targeting. In addition to competitors we face in developing small molecule protein degraders, we will also face competition in the indications we expect to pursue with our IRAK4, STAT6, TYK2, STAT3, and MDM2 programs. Many of these indications have approved standards of care which may include more traditional therapeutic modalities. In order to compete effectively with these existing therapies, we will need to demonstrate that our protein degrader therapies are favorable to existing therapeutics.

 

Intellectual Property

Our success depends in part on our ability to secure intellectual property protection for our product candidates and future products, as well as our platform protein degradation technologies and any other relevant inventions and improvements that are considered commercially important to our business. Our success also depends on our ability to defend and enforce our

40


 

intellectual property rights, preserve the confidentiality of our proprietary information, and operate without infringing, misappropriating or otherwise violating the valid and enforceable patents and proprietary rights of third parties.

As with other biotechnology and pharmaceutical companies, our ability to secure and maintain intellectual property protection for our product candidates, future products, and other proprietary technologies will depend on our success in obtaining effective patent coverage and enforcing those patents if granted. However, we cannot guarantee that our pending patent applications, and any patent applications that we may in the future file, will result in the issuance of patents, or that any issued patents we may obtain will provide sufficient proprietary protection from competitors. Any issued patents that we obtain may be challenged, invalidated, or circumvented by third parties.

In addition to patents, we also rely on trade secrets, know-how and continuing technological innovation to develop and maintain our competitive position. We seek to protect our proprietary technology, in part, through confidentiality agreements and invention assignment agreements with our employees, consultants, scientific advisors, contractors and potential collaborators.

Patent Portfolio

Our intellectual property includes a portfolio of wholly owned patent families covering our platform E3 ligase ligand technology and our novel bifunctional degrader product candidates, including claims to compositions of matter, pharmaceutical compositions, methods of use, methods of treatment, and other related compounds and methods. Our intellectual property portfolio is in its very early stages, and, as of December 31, 2023, included 19 granted U.S. patents, about 100 U.S. patent applications, about 25 international patent applications, five granted foreign patents, and about 449 foreign patent applications. Our patent portfolio is generally organized into two categories: (1) platform E3 ligase ligand patent families and (2) protein degrader patent families, including various target-specific degrader patent families.

Platform E3 Ligase Ligand Patent Families

Our platform E3 ligase ligand patent families are wholly owned and include four patent families directed to novel ligands for the cereblon E3 ubiquitin ligase, as well as methods of treatment and other related methods. As of December 31, 2023, our platform E3 ligase ligand patent families included three granted U.S. patents, five U.S. patent applications, and three patent applications in Europe. Any U.S. or foreign patents resulting from these applications, if granted and all appropriate maintenance fees paid, are expected to expire between 2038 and 2044, absent any patent term adjustments or extensions.

Protein Degrader Patent Families

Our protein degrader patent families are wholly owned and are directed to novel bifunctional degrader compounds that are useful in affecting ubiquitination of a target protein, as well as methods of treatment and other related methods. As of December 31, 2023, our protein degrader patent families included two granted U.S. patent, five U.S. patent applications and about 19 foreign patent applications filed in foreign jurisdictions, such as Australia, Canada, Europe, Israel, Japan, Mexico, New Zealand, and the Russian Federation. Any U.S. or foreign patents resulting from these applications, if granted and all appropriate maintenance fees paid, are expected to expire between 2038 and 2043, absent any patent term adjustments or extensions.

Target-Specific Degrader Patent Families

Our target-specific degrader patent families are wholly owned and focus protection around degrader compounds that are designed to target specific proteins for degradation, as well as methods of treatment and other related methods. Such targets include, for example, IRAK (interleukin-1 receptor-associated kinases) and STAT (signal transducers and activators of transcription). As of December 31, 2023, our target-specific degrader patent families included 14 granted U.S. patents, about 87 U.S. patent applications, about 22 international patent applications, three granted foreign patents, and about 423 patent applications filed in foreign jurisdictions, such as Australia, Brazil, Canada, China, Eurasia, Europe, Israel, India, Japan, Mexico, New Zealand, Singapore, South Africa, and Taiwan. Any U.S. or foreign patents resulting from our target-specific degrader patent families, if granted and all appropriate maintenance fees paid, are expected to expire between 2038 and 2044, absent any patent term adjustments or extensions.

IRAK-Specific Patent Families

Our IRAK-specific patent families are wholly owned and include patent families covering degrader compounds that are designed to specifically target IRAK for degradation and patent families covering novel IRAK ligands. As of December 31, 2023, our IRAK-specific patent families included 11 granted U.S. patents, about 34 U.S. patent applications, about eight international patent applications, three granted foreign patents and about 293 patent applications filed in foreign jurisdictions,

41


 

such as Australia, Argentina, Brazil, Canada, China, Europe, Eurasia, Gulf Cooperation Council, Israel, India, Japan, Mexico, New Zealand, Singapore, South Africa, and Taiwan. Any U.S. or foreign patents resulting from our IRAK-specific patent families, if granted and all appropriate maintenance fees paid, are expected to expire between 2038 and 2044, absent any patent term adjustments or extensions.

With respect to the KT-474 product candidate, as of December 31, 2023, we own three granted U.S. patent, eight pending U.S. patent applications, five pending international patent applications, one granted foreign patent and about 128 patent applications filed in foreign jurisdictions, such as Australia, Brazil, Canada, China, Europe, Israel, India, Japan, South Korea, Mexico, New Zealand, Singapore, South Africa, and Taiwan, each with claims directed to compositions of matter covering KT-474 and/or methods of making or using KT-474. Any U.S. or foreign patents resulting from these patent families, if granted and all appropriate maintenance fees paid, are expected to expire between 2039 and 2044, absent any patent term adjustments or extensions.

STAT-Specific Patent Families

Our STAT-specific patent families are wholly owned and focus on degrader compounds that are designed to specifically target signal transducers and activators of transcription (STAT) for degradation. As of December 31, 2023, our STAT-specific patent families included two granted U.S. patent, about 18 U.S. patent applications, three international patent applications, and about 49 patent applications filed in foreign jurisdictions, such as Australia, Canada, China, Eurasia, Europe, India, Israel, Japan, South Korea, Mexico, and Taiwan. Any U.S. or foreign patents resulting from our STAT-specific patent families, if granted and all appropriate maintenance fees paid, are expected to expire between 2040 and 2044, absent any patent term adjustments or extensions.

Other Target-Specific Patent Families

As of December 31, 2023, we own one granted U.S. patent, about 31 U.S. patent applications, 10 international patent applications and about 81 patent applications filed in Australia, Argentina, Brazil, Canada, China, Europe, Gulf Cooperation Council, Israel, India, Japan, Mexico, New Zealand, Singapore, South Africa, and Taiwan which focus on degrader compounds designed to specifically target other proteins. Any U.S. or foreign patents resulting from these patent families, if granted and all appropriate maintenance fees paid, are expected to expire between 2040 and 2044, absent any patent term adjustments or extensions.

The term of individual patents may vary based on the countries in which they are obtained. Generally, patents issued from applications filed in the United States are effective for 20 years from the earliest effective non-provisional filing date. In certain cases, a patent term can be extended to recapture a portion of the term effectively lost as a result of the FDA regulatory review period. The Hatch-Waxman Act permits a patent term extension of up to five years beyond the expiration of the patent, though the total patent term, including any extension, must not exceed 14 years following FDA approval. A patent can only be extended once, such that, if a single patent is applicable to multiple products, it can only be extended based on one product.

The duration of patents outside of the United States varies in accordance with provisions of applicable local law, but typically is also 20 years from the earliest effective national filing date.

Similar patent term extension provisions are available in Europe and other foreign jurisdictions to extend the term of a patent covering an approved drug. When possible, we expect to apply for patent term extensions for patents covering our product candidates and their methods of use.

Trademarks

We have and intend to file applications for trademark registrations in connection with our product candidates and other technologies in various jurisdictions, including the United States.

We have applied to register both the KYMERA mark and the KYMERA THERAPEUTICS mark in the United States, Europe, and Canada. We also filed applications in the same jurisdictions for the mark IRAKIMiD, for pharmaceutical and medical preparations and therapeutics, as well as diagnostic reagents, for the treatment of oncology, autoimmune, immune-oncology and other related diseases. In addition, we filed applications for E3 HUMAN ATLAS and E3 LIGASE WHOLE BODY ATLAS in connection with pharmaceutical research and development and drug development and discovery services. All of our European Union trademarks in existence as of December 31, 2020 were automatically cloned onto the United Kingdom register due to “Brexit.”

42


 

Most recently, we filed an application for our K & Design mark in the United States, and we plan to file European Union, United Kingdom, and Canada applications based on our U.S. priority date in that application in due course.

Government Regulation

The FDA and other regulatory authorities at federal, state and local levels, as well as in foreign countries, extensively regulate, among other things, the research, development, testing, manufacture, quality control, import, export, safety, effectiveness, labeling, packaging, storage, distribution, record keeping, approval, advertising, promotion, marketing, post-approval monitoring and post-approval reporting of drugs. We, along with our vendors, contract research organizations and contract manufacturers, will be required to navigate the various preclinical, clinical, manufacturing and commercial approval requirements of the governing regulatory agencies of the countries in which we wish to conduct studies or seek approval of our product candidates. The process of obtaining regulatory approvals of drugs and ensuring subsequent compliance with appropriate federal, state, local and foreign statutes and regulations requires the expenditure of substantial time and financial resources.

In the U.S., the FDA regulates drug products under the Federal Food, Drug, and Cosmetic Act, or FD&C Act, as amended, its implementing regulations and other laws. If we fail to comply with applicable FDA or other requirements at any time with respect to product development, clinical testing, approval or any other legal requirements relating to product manufacture, processing, handling, storage, quality control, safety, marketing, advertising, promotion, packaging, labeling, export, import, distribution, or sale, we may become subject to administrative or judicial sanctions or other legal consequences. These sanctions or consequences could include, among other things, the FDA’s refusal to approve pending applications, issuance of clinical holds for ongoing studies, suspension or revocation of approved applications, warning or untitled letters, product withdrawals or recalls, product seizures, relabeling or repackaging, total or partial suspensions of manufacturing or distribution, injunctions, fines, civil penalties or criminal prosecution.

The process required by the FDA before our product candidates are approved as drugs for therapeutic indications and may be marketed in the U.S. generally involves the following:

completion of extensive preclinical studies in accordance with applicable regulations, including studies conducted in accordance with good laboratory practice, or GLP, requirements;
completion of the manufacture, under current Good Manufacturing Practices, or cGMP, conditions, of the drug substance and drug product that the sponsor intends to use in human clinical trials along with required analytical and stability testing;
submission to the FDA of an IND application, which must become effective before clinical trials may begin;
approval by an institutional review board, or IRB, or independent ethics committee at each clinical trial site before each trial may be initiated;
performance of adequate and well-controlled clinical trials in accordance with applicable IND regulations, good clinical practice, or GCP, requirements and other clinical trial-related regulations to establish the safety and efficacy of the investigational product for each proposed indication;
submission to the FDA of a NDA;
a determination by the FDA within 60 days of its receipt of an NDA, to accept the filing for review;
satisfactory completion of one or more FDA pre-approval inspections of the manufacturing facility or facilities where the drug will be produced to assess compliance with cGMP requirements to assure that the facilities, methods and controls are adequate to preserve the drug’s identity, strength, quality and purity;
potential FDA audit of the clinical trial sites that generated the data in support of the NDA;
payment of user fees for FDA review of the NDA; and
FDA review and approval of the NDA, including consideration of the views of any FDA advisory committee, prior to any commercial marketing or sale of the drug in the U.S.

 

Preclinical Studies and Clinical Trials for Drugs

Before testing any drug in humans, the product candidate must undergo rigorous preclinical testing. Preclinical studies include laboratory evaluations of drug chemistry, formulation and stability, as well as in vitro and animal studies to assess safety and in some cases to establish the rationale for therapeutic use. The conduct of preclinical studies is subject to federal

43


 

and state regulations and requirements, including GLP requirements for safety/toxicology studies. The results of the preclinical studies, together with manufacturing information and analytical data must be submitted to the FDA as part of an IND. An IND is a request for authorization from the FDA to administer an investigational product to humans and must become effective before clinical trials may begin. Some long-term preclinical testing may continue after the IND is submitted. The IND automatically becomes effective 30 days after receipt by the FDA, unless the FDA, within the 30-day time period, raises concerns or questions about the conduct of the clinical trial, including concerns that human research patients will be exposed to unreasonable health risks, and imposes a full or partial clinical hold. FDA must notify the sponsor of the grounds for the hold and any identified deficiencies must be resolved before the clinical trial can begin. Submission of an IND may result in the FDA not allowing clinical trials to commence or not allowing clinical trials to commence on the terms originally specified in the IND.

The clinical stage of development involves the administration of the product candidate to healthy volunteers or patients under the supervision of qualified investigators, generally physicians not employed by or under the trial sponsor’s control, in accordance with GCP requirements, which include the requirements that all research patients provide their informed consent for their participation in any clinical trial. Clinical trials are conducted under protocols detailing, among other things, the objectives of the clinical trial, dosing procedures, subject selection and exclusion criteria and the parameters and criteria to be used in monitoring safety and evaluating effectiveness. Each protocol, and any subsequent amendments to the protocol, must be submitted to the FDA as part of the IND. Furthermore, each clinical trial must be reviewed and approved by an IRB for each institution at which the clinical trial will be conducted to ensure that the risks to individuals participating in the clinical trials are minimized and are reasonable related to the anticipated benefits. The IRB also approves the informed consent form that must be provided to each clinical trial subject or his or her legal representative and must monitor the clinical trial until completed. The FDA, the IRB or the sponsor may suspend or discontinue a clinical trial at any time on various grounds, including a finding that the patients are being exposed to an unacceptable health risk. There also are requirements governing the reporting of ongoing clinical trials and completed clinical trials to public registries. Information about applicable clinical trials, including clinical trial results, must be submitted within specific timeframes for publication on the www.clinicaltrials.gov website.

A sponsor who wishes to conduct a clinical trial outside of the United States may, but need not, obtain FDA authorization to conduct the clinical trial under an IND. If a foreign clinical trial is not conducted under an IND, FDA will nevertheless accept the results of the study in support of an NDA if the study was conducted in accordance with GCP requirements, and the FDA is able to validate the data through an onsite inspection if deemed necessary.

Clinical trials to evaluate therapeutic indications to support NDAs for marketing approval are typically conducted in three sequential phases, which may overlap.

Phase 1—Phase 1 clinical trials involve initial introduction of the investigational product into healthy human volunteers or patients with the target disease or condition. These studies are typically designed to test the safety, dosage tolerance, absorption, metabolism and distribution of the investigational product in humans, excretion the side effects associated with increasing doses, and, if possible, to gain early evidence of effectiveness.
Phase 2—Phase 2 clinical trials typically involve administration of the investigational product to a limited patient population with a specified disease or condition to evaluate the drug’s potential efficacy, to determine the optimal dosages and dosing schedule and to identify possible adverse side effects and safety risks.
Phase 3—Phase 3 clinical trials typically involve administration of the investigational product to an expanded patient population to further evaluate dosage, to provide statistically significant evidence of clinical efficacy and to further test for safety, generally at multiple geographically dispersed clinical trial sites. These clinical trials are intended to establish the overall risk/benefit ratio of the investigational product and to provide an adequate basis for product approval and physician labeling.

In March 2022, the FDA released a final guidance entitled “Expansion Cohorts: Use in First-In-Human Clinical Trials to Expedite Development of Oncology Drugs and Biologics,” which outlines how drug developers can utilize an adaptive trial design commonly referred to as a seamless trial design in early stages of oncology drug development (i.e., the first-in-human clinical trial) to compress the traditional three phases of trials into one continuous trial called an expansion cohort trial. Information to support the design of individual expansion cohorts are included in IND applications and assessed by FDA. Expansion cohort trials can potentially bring efficiency to drug development and reduce development costs and time.

Post-approval trials, sometimes referred to as Phase 4 clinical trials or post-marketing studies, may be conducted after initial marketing approval. These trials are used to gain additional experience from the treatment of patients in the intended therapeutic indication and are commonly intended to generate additional safety data regarding use of the product in a clinical setting. In certain instances, the FDA may mandate the performance of Phase 4 clinical trials as a condition of approval of an NDA.

44


 

Progress reports detailing the results of the clinical trials, among other information, must be submitted at least annually to the FDA. Written IND safety reports must be submitted to the FDA and the investigators fifteen days after the trial sponsor determines the information qualifies for reporting for serious and unexpected suspected adverse events, findings from other studies or animal or in vitro testing that suggest a significant risk for human volunteers and any clinically important increase in the rate of a serious suspected adverse reaction over that listed in the protocol or investigator brochure. The sponsor must also notify the FDA of any unexpected fatal or life-threatening suspected adverse reaction as soon as possible but in no case later than seven calendar days after the sponsor’s initial receipt of the information.

Concurrent with clinical trials, companies usually complete additional animal studies and must also develop additional information about the chemistry and physical characteristics of the product candidate and finalize a process for manufacturing the drug product in commercial quantities in accordance with cGMP requirements. The manufacturing process must be capable of consistently producing quality batches of the product candidate and manufacturers must develop, among other things, methods for testing the identity, strength, quality and purity of the final drug product. Additionally, appropriate packaging must be selected and tested, and stability studies must be conducted to demonstrate that the product candidate does not undergo unacceptable deterioration over its shelf life.

 

U.S. Marketing Approval for Drugs

Assuming successful completion of the required clinical testing, the results of the preclinical studies and clinical trials, together with detailed information relating to the product’s chemistry, manufacture, controls and proposed labeling, among other things, are submitted to the FDA as part of an NDA requesting approval to market the product for one or more indications. An NDA is a request for approval to market a new drug for one or more specified indications and must contain proof of the drug’s safety and efficacy for the requested indications. The marketing application is required to include both negative and ambiguous results of preclinical studies and clinical trials, as well as positive findings. Data may come from company-sponsored clinical trials intended to test the safety and efficacy of a product’s use or from a number of alternative sources, including studies initiated by investigators. To support marketing approval, the data submitted must be sufficient in quality and quantity to establish the safety and efficacy of the investigational product to the satisfaction of the FDA. FDA approval of an NDA must be obtained before a drug may be marketed in the U.S.

The FDA reviews all submitted NDAs before it accepts them for filing and may request additional information rather than accepting the NDA for filing. The FDA must make a decision on accepting an NDA for filing within 60 days of receipt, and such decision could include a refusal to file by the FDA. Once the submission is accepted for filing, the FDA begins an in-depth substantive review of the NDA. The FDA reviews an NDA to determine, among other things, whether the drug is safe and effective for the indications sought and whether the facility in which it is manufactured, processed, packaged or held meets standards designed to assure the product’s continued safety, quality and purity. Under the goals and polices agreed to by the FDA under the Prescription Drug User Fee Act, or PDUFA, the FDA targets ten months, from the filing date, in which to complete its initial review of a new molecular entity NDA and respond to the applicant, and six months from the filing date of a new molecular entity NDA for priority review. The FDA does not always meet its PDUFA goal dates for standard or priority NDAs, and the review process is often extended by FDA requests for additional information or clarification.

Further, under PDUFA, as amended, each NDA must be accompanied by a user fee. The FDA adjusts the PDUFA user fees on an annual basis. Fee waivers or reductions are available in certain circumstances, including a waiver of the application fee for the first application filed by a small business. Additionally, no user fees are assessed on NDAs for products designated as orphan drugs, unless the product also includes a non-orphan indication.

The FDA also may require submission of a Risk Evaluation and Mitigation Strategy, or REMS, program if it believes that a risk evaluation and mitigation strategy is necessary to ensure that the benefits of the drug outweigh its risks. The REMS program could include use of risk evaluation and mitigation strategies like medication guides, physician communication plans, assessment plans and/or elements to assure safe use, such as restricted distribution methods, patient registries or other risk-minimization tools.

The FDA may refer an application for a novel drug to an advisory committee. An advisory committee is a panel of independent experts, including clinicians and other scientific experts, which reviews, evaluates and provides a recommendation as to whether the application should be approved and under what conditions. The FDA is not bound by the recommendations of an advisory committee, but it considers such recommendations carefully when making decisions.

Before approving an NDA, the FDA typically will inspect the facility or facilities where the product is manufactured. The FDA will not approve an application unless it determines that the manufacturing processes and facilities are in compliance with cGMP requirements and adequate to assure consistent production of the product within required specifications. Additionally, before approving an NDA, the FDA may inspect one or more clinical trial sites to assure compliance with GCP and other requirements and the integrity of the clinical data submitted to the FDA.

45


 

After evaluating the NDA and all related information, including the advisory committee recommendation, if any, and inspection reports regarding the manufacturing facilities and clinical trial sites, the FDA may issue an approval letter, or, in some cases, a complete response letter. A complete response letter generally contains a statement of specific conditions that must be met in order to secure final approval of the NDA and may require additional clinical or preclinical testing in order for the FDA to reconsider the application. Even with submission of this additional information, the FDA ultimately may decide that the application does not satisfy the regulatory criteria for approval. If and when those conditions have been met to the FDA’s satisfaction, the FDA will typically issue an approval letter. An approval letter authorizes commercial marketing of the drug with specific prescribing information for specific indications.

Even if the FDA approves a product, depending on the specific risk(s) to be addressed it may limit the approved indications for use of the product, require that contraindications, warnings or precautions be included in the product labeling, require that post-approval studies, including Phase 4 clinical trials, be conducted to further assess a drug’s safety after approval, require testing and surveillance programs to monitor the product after commercialization or impose other conditions, including distribution and use restrictions or other risk management mechanisms under a REMS, which can materially affect the potential market and profitability of the product. The FDA may prevent or limit further marketing of a product based on the results of post-marketing studies or surveillance programs. After approval, some types of changes to the approved product, such as adding new indications, manufacturing changes and additional labeling claims, are subject to further testing requirements and FDA review and approval.

 

Orphan Drug Designation and Exclusivity

Under the Orphan Drug Act of 1983, the FDA may grant orphan designation to a drug intended to treat a rare disease or condition, which is a disease or condition that affects fewer than 200,000 individuals in the U.S., or if it affects more than 200,000 individuals in the U.S., there is no reasonable expectation that the cost of developing and making the product available in the U.S. for the disease or condition will be recovered from sales of the product. Orphan designation must be requested before submitting an NDA. Orphan designation does not convey any advantage in or shorten the duration of the regulatory review and approval process, though companies developing orphan products are eligible for certain incentives, including tax credits for qualified clinical testing and waiver of application fees.

If a product that has orphan designation subsequently receives the first FDA approval for the disease or condition for which it has such designation, the product is entitled to a seven-year period of marketing exclusivity during which the FDA may not approve any other applications to market the same therapeutic agent for the same indication, except in limited circumstances, such as a subsequent product’s showing of clinical superiority over the product with orphan exclusivity or where the original applicant cannot produce sufficient quantities of product. Competitors, however, may receive approval of different therapeutic agents for the indication for which the orphan product has exclusivity or obtain approval for the same therapeutic agent for a different indication than that for which the orphan product has exclusivity. Orphan product exclusivity could block the approval of one of our products for seven years if a competitor obtains approval for the same therapeutic agent for the same indication before we do, unless we are able to demonstrate that our product is clinically superior. If an orphan designated product receives marketing approval for an indication broader than what is designated, it may not be entitled to orphan exclusivity. Further, orphan drug exclusive marketing rights in the U.S. may be lost if the FDA later determines that the request for designation was materially defective or the manufacturer of the approved product is unable to assure sufficient quantities of the product to meet the needs of patients with the rare disease or condition.

In September of 2022, KT-333, Kymera’s STAT3 degrader in development for relapsed and/or refractory lymphomas and solid tumors, was granted its second orphan drug designation by the U.S. Food and Drug Administration for the treatment of cutaneous T-cell lymphoma (CTCL), following its orphan drug designation for peripheral T-cell lymphoma (PTCL) in June of 2022. In June 2023, KT-253, Kymera’s MDM2 degrader in development for hematological malignancies and solid tumors, was granted orphan drug designation by the FDA for the treatment of acute myeloid leukemia. These designations provide incentives to encourage the development of medicines for rare diseases.

 

Expedited Development and Review Programs for Drugs

The FDA maintains several programs intended to facilitate and expedite development and review of new drugs to address unmet medical needs in the treatment of serious or life-threatening diseases or conditions. These programs include Fast Track designation, Breakthrough Therapy designation, Priority Review, Accelerated Approval and platform technology designation and the purpose of these programs is to either expedite the development or review of important new drugs to get them to patients earlier than under standard FDA development and review procedures.

A new drug is eligible for Fast Track designation if it is intended to treat a serious or life-threatening disease or condition and demonstrates the potential to address unmet medical needs for such disease or condition. Fast Track designation provides increased opportunities for sponsor interactions with the FDA during preclinical and clinical development, in addition to the

46


 

potential for rolling review once a marketing application is filed, meaning that the agency may review portions of the marketing application before the sponsor submits the complete application, as well as Priority Review, discussed below.

In addition, a new drug may be eligible for Breakthrough Therapy designation if it is intended to treat a serious or life-threatening disease or condition and preliminary clinical evidence indicates that the drug may demonstrate substantial improvement over existing therapies on one or more clinically significant endpoints, such as substantial treatment effects observed early in clinical development. Breakthrough Therapy designation provides all the features of Fast Track designation in addition to intensive guidance on an efficient drug development program beginning as early as Phase 1, and FDA organizational commitment to expedited development, including involvement of senior managers and experienced review staff in a cross-disciplinary review, where appropriate.

Any product submitted to the FDA for approval, including a product with Fast Track or Breakthrough Therapy designation, may also be eligible for additional FDA programs intended to expedite the review and approval process, including Priority Review designation and Accelerated Approval. A product is eligible for Priority Review if it has the potential to provide a significant improvement in safety or effectiveness in the treatment, diagnosis or prevention of a serious disease or condition. Under priority review, the FDA must review an application in six months compared to ten months for a standard review.

Additionally, products are eligible for Accelerated Approval if they can be shown to have an effect on a surrogate endpoint that is reasonably likely to predict clinical benefit, or an effect on a clinical endpoint that can be measured earlier than an effect on irreversible morbidity or mortality which is reasonably likely to predict an effect on irreversible morbidity or mortality or other clinical benefit, taking into account the severity, rarity or prevalence of the condition and the availability or lack of alternative treatments.

Accelerated Approval is usually contingent on a sponsor’s agreement to conduct additional post-approval studies to verify and describe the product’s clinical benefit and, under the Food and Drug Omnibus Reform Act of 2022, or FDORA, the FDA is now permitted to require, as appropriate, that such trials be underway prior to approval or within a specific time period after the date of approval for a product granted accelerated approval. Under FDORA, the FDA has increased authority for expedited procedures to withdraw approval of a drug or indication approved under Accelerated Approval if, for example, the confirmatory trial fails to verify the predicted clinical benefit of the product. In addition, for products being considered for accelerated approval, the FDA generally requires, unless otherwise informed by the Agency, that all advertising and promotional materials that are intended for dissemination or publication within 120 days following marketing approval be submitted to the agency for review during the pre-approval review period, and that after 120 days following marketing approval, all advertising and promotional materials must be submitted at least 30 days prior to the intended time of initial dissemination or publication.

Under FDORA, a platform technology incorporated within or utilized by a drug or biological product is eligible for designation as a designated platform technology if (1) the platform technology is incorporated in, or utilized by, a drug approved under an NDA; (2) preliminary evidence submitted by the sponsor of the approved or licensed drug, or a sponsor that has been granted a right of reference to data submitted in the application for such drug, demonstrates that the platform technology has the potential to be incorporated in, or utilized by, more than one drug without an adverse effect on quality, manufacturing, or safety; and (3) data or information submitted by the applicable person indicates that incorporation or utilization of the platform technology has a reasonable likelihood to bring significant efficiencies to the drug development or manufacturing process and to the review process. A sponsor may request the FDA to designate a platform technology as a designated platform technology concurrently with, or at any time after, submission of an IND application for a drug that incorporates or utilizes the platform technology that is the subject of the request. If so designated, the FDA may expedite the development and review of any subsequent original NDA for a drug that uses or incorporates the platform technology.

Even if a product qualifies for one or more of these programs, the FDA may later decide that the product no longer meets the conditions for qualification or the time period for FDA review or approval may not be shortened. Furthermore, Fast Track designation, Breakthrough Therapy designation, Priority Review and Accelerated Approval do not change the scientific or medical standards for approval or the quality of evidence necessary to support approval but may expedite the development or review process.

 

Pediatric Information and Pediatric Exclusivity

Under the Pediatric Research Equity Act, or PREA, as amended, certain NDAs and certain supplements to an NDA must contain data to assess the safety and efficacy of the drug for the claimed indications in all relevant pediatric subpopulations and to support dosing and administration for each pediatric subpopulation for which the product is safe and effective. The FDA may grant deferrals for submission of pediatric data or full or partial waivers. The FD&C Act requires that a sponsor who is planning to submit a marketing application for a drug that includes a new active ingredient, new indication, new dosage form, new dosing regimen or new route of administration submit an initial Pediatric Study Plan, or PSP, within 60 days of an end-of-Phase 2 meeting or, if there is no such meeting, as early as practicable before the initiation of the Phase 3 or Phase 2/3 trial.

47


 

The initial PSP must include an outline of the pediatric study or studies that the sponsor plans to conduct, including study objectives and design, age groups, relevant endpoints and statistical approach, or a justification for not including such detailed information, and any request for a deferral of pediatric assessments or a full or partial waiver of the requirement to provide data from pediatric studies along with supporting information. The FDA and the sponsor must reach an agreement on the PSP. A sponsor can submit amendments to an agreed-upon initial PSP at any time if changes to the pediatric plan need to be considered based on data collected from preclinical studies, early phase clinical trials and/or other clinical development programs.

A drug can also obtain pediatric market exclusivity in the U.S. Pediatric exclusivity, if granted, adds six months to existing exclusivity periods for all formulations, dosage forms, indications of the active moiety and patent terms. This six-month exclusivity, which runs from the end of other exclusivity protection, may be granted based on the voluntary completion of a pediatric trial or of multiple pediatric trials in accordance with an FDA-issued “Written Request” for such trials, provided that at the time pediatric exclusivity is granted there is not less than nine months of term remaining.

 

U.S. Post-Approval Requirements for Drugs

Drugs manufactured or distributed pursuant to FDA approvals are subject to pervasive and continuing regulation by the FDA, including, among other things, requirements relating to recordkeeping, periodic reporting, product sampling and distribution, tracking and tracing, reporting of adverse experiences with the product, complying with promotion and advertising requirements, which include restrictions on promoting products for unapproved uses or patient populations (known as “off-label use”) and limitations on industry-sponsored scientific and educational activities. Manufacturers and other parties involved in the drug supply chain for prescription drug products must also comply with product tracking and tracing requirements and for notifying the FDA of counterfeit, diverted, stolen and intentionally adulterated products or products that are otherwise unfit for distribution in the United States. Although physicians may prescribe legally available products for off-label uses, manufacturers and individuals working on behalf of manufacturers may not market or promote such uses. The FDA and other agencies actively enforce the laws and regulations prohibiting the promotion of off-label uses, and a company that is found to have improperly promoted off-label uses may be subject to significant liability, including investigation by federal and state authorities. Prescription drug promotional materials must be submitted to the FDA in conjunction with their first use or first publication. Further, if there are any modifications to the drug, including changes in indications, labeling or manufacturing processes or facilities, the applicant may be required to submit and obtain FDA approval of a new NDA or NDA supplement, which may require the development of additional data or preclinical studies and clinical trials.

The FDA may impose a number of post-approval requirements as a condition of approval of an NDA. For example, the FDA may require post-market testing, including Phase 4 clinical trials, and surveillance to further assess and monitor the product’s safety and effectiveness after commercialization.

In addition, drug manufacturers and their subcontractors involved in the manufacture and distribution of approved drugs, and those supplying products, ingredients, and components of them, are required to register their establishments with the FDA and certain state agencies and are subject to periodic unannounced inspections by the FDA and certain state agencies for compliance with ongoing regulatory requirements, including cGMP, which impose certain procedural and documentation requirements upon us and our contract manufacturers. Failure to comply with statutory and regulatory requirements can subject a manufacturer to possible legal or regulatory action, such as warning letters, suspension of manufacturing, product seizures, injunctions, civil penalties or criminal prosecution. There is also a continuing, annual prescription drug product program user fee.

Later discovery of previously unknown problems with a product, including adverse events of unanticipated severity or frequency, or with manufacturing processes, or failure to comply with regulatory requirements, may result in revisions to the approved labeling to add new safety information, requirements for post-market studies or clinical trials to assess new safety risks, or imposition of distribution or other restrictions under a REMS. Other potential consequences include, among other things:

restrictions on the marketing or manufacturing of the product, complete withdrawal of the product from the market or product recalls;
safety alerts, Dear Healthcare Provider letters, press releases or other communications containing warnings or other safety information about the product;
fines, warning letters or holds on post-approval clinical trials;
refusal of the FDA to approve applications or supplements to approved applications, or withdrawal of product approvals;
product seizure or detention, or refusal to permit the import or export of products;

48


 

injunctions or the imposition of civil or criminal penalties; and
consent decrees, corporate integrity agreements, debarment or exclusion from federal healthcare programs; or mandated modification of promotional materials and labeling and issuance of corrective information.

 

Regulation of Companion Diagnostics

Companion diagnostics identify patients who are most likely to benefit from a particular therapeutic product; identify patients likely to be at increased risk for serious side effects as a result of treatment with a particular therapeutic product; or monitor response to treatment with a particular therapeutic product for the purpose of adjusting treatment to achieve improved safety or effectiveness. Companion diagnostics are regulated as medical devices by the FDA. In the U.S., the FD&C Act, and its implementing regulations, and other federal and state statutes and regulations govern, among other things, medical device design and development, preclinical and clinical testing, premarket clearance or approval, registration and listing, manufacturing, labeling, storage, advertising and promotion, sales and distribution, export and import, and post-market surveillance. Unless an exemption or FDA exercise of enforcement discretion applies, diagnostic tests generally require marketing clearance or approval from the FDA prior to commercialization. The two primary types of FDA marketing authorization applicable to a medical device are clearance of a premarket notification, or 510(k), and approval of a premarket approval application, or PMA.

To obtain 510(k) clearance for a medical device, or for certain modifications to devices that have received 510(k) clearance, a manufacturer must submit a premarket notification demonstrating that the proposed device is substantially equivalent to a previously cleared 510(k) device or to a preamendment device that was in commercial distribution before May 28, 1976, or a predicate device, for which the FDA has not yet called for the submission of a PMA. In making a determination that the device is substantially equivalent to a predicate device, the FDA compares the proposed device to the predicate device and assesses whether the subject device is comparable to the predicate device with respect to intended use, technology, design and other features which could affect safety and effectiveness. If the FDA determines that the subject device is substantially equivalent to the predicate device, the subject device may be cleared for marketing. The 510(k) premarket notification pathway generally takes from three to twelve months from the date the application is completed, but can take significantly longer.

A PMA must be supported by valid scientific evidence, which typically requires extensive data, including technical, preclinical, clinical and manufacturing data, to demonstrate to the FDA’s satisfaction the safety and effectiveness of the device. For diagnostic tests, a PMA typically includes data regarding analytical and clinical validation studies. As part of its review of the PMA, the FDA will conduct a pre-approval inspection of the manufacturing facility or facilities to ensure compliance with the Quality System Regulation, or QSR, which requires manufacturers to follow design, testing, control, documentation and other quality assurance procedures. The FDA’s review of an initial PMA is required by statute to take between six months, although the process typically takes longer, and may require several years to complete. If the FDA evaluations of both the PMA and the manufacturing facilities are favorable, the FDA will either issue an approval letter or an approvable letter, which usually contains a number of conditions that must be met in order to secure the final approval of the PMA. If the FDA’s evaluation of the PMA or manufacturing facilities is not favorable, the FDA will deny the approval of the PMA or issue a not approvable letter. A not approvable letter will outline the deficiencies in the application and, where practical, will identify what is necessary to make the PMA approvable. Once granted, PMA approval may be withdrawn by the FDA if compliance with post-approval requirements, conditions of approval or other regulatory standards is not maintained, or problems are identified following initial marketing.

On July 31, 2014, the FDA issued a final guidance document addressing the development and approval process for “In Vitro Companion Diagnostic Devices.” According to the guidance document, for novel therapeutic products that depend on the use of a diagnostic test and where the diagnostic device could be essential for the safe and effective use of the corresponding therapeutic product, the premarket application for the companion diagnostic device should be developed and approved or cleared contemporaneously with the therapeutic, although the FDA recognizes that there may be cases when contemporaneous development may not be possible. However, in cases where a drug cannot be used safely or effectively without the companion diagnostic, the FDA’s guidance indicates it will generally not approve the drug without the approval or clearance of the diagnostic device. The FDA also issued a draft guidance in July 2016 setting forth the principles for co-development of an in vitro companion diagnostic device with a therapeutic product. The draft guidance describes principles to guide the development and contemporaneous marketing authorization for the therapeutic product and its corresponding in vitro companion diagnostic.

Once cleared or approved, the companion diagnostic device must adhere to post-marketing requirements including the requirements of the FDA’s QSR, adverse event reporting, recalls and corrections along with product marketing requirements and limitations. Like drug makers, companion diagnostic makers are subject to unannounced FDA inspections at any time during which the FDA will conduct an audit of the product(s) and our facilities for compliance with its authorities.

 

 

49


 

Other Regulatory Matters

Manufacturing, sales, promotion and other activities of product candidates following product approval, where applicable, or commercialization are also subject to regulation by numerous regulatory authorities in the U.S. in addition to the FDA, which may include the Centers for Medicare & Medicaid Services, or CMS, other divisions of the Department of Health and Human Services, the Department of Justice, the Drug Enforcement Administration, the Consumer Product Safety Commission, the Federal Trade Commission, the Occupational Safety & Health Administration, the Environmental Protection Agency and state and local governments and governmental agencies.

 

Other Healthcare Laws

Healthcare providers, physicians, and third-party payors will play a primary role in the recommendation and prescription of any products for which we obtain marketing approval. Our business operations and any current or future arrangements with third-party payors, healthcare providers and physicians may expose us to broadly applicable fraud and abuse and other healthcare laws and regulations that may constrain the business or financial arrangements and relationships through which we develop, market, sell and distribute any drugs for which we obtain marketing approval. In the United States, these laws include, without limitation, state and federal anti-kickback, false claims, physician transparency, pharmaceutical price reporting, and patient data privacy and security laws and regulations. If our operations are found to be in violation of any of such laws or any other governmental regulations that apply, we may be subject to penalties, including, without limitation, administrative, civil and criminal penalties, damages, fines, disgorgement, the curtailment or restructuring of operations, integrity oversight and reporting obligations, exclusion from participation in federal and state healthcare programs and responsible individuals may be subject to imprisonment.

The scope and enforcement of each of these laws is uncertain and subject to rapid change in the current environment of healthcare reform, especially in light of the lack of applicable precedent and regulations. Federal and state enforcement bodies have recently increased their scrutiny of interactions between healthcare companies and healthcare providers, which has led to a number of investigations, prosecutions, convictions and settlements in the healthcare industry. It is possible that governmental authorities will conclude that our business practices do not comply with current or future statutes, regulations or case law involving applicable fraud and abuse or other healthcare laws and regulations. If our operations are found to be in violation of any of these laws or any other related governmental regulations that may apply to us, we may be subject to significant civil, criminal and administrative penalties, damages, fines, imprisonment, disgorgement, exclusion from government funded healthcare programs, such as Medicare and Medicaid, reputational harm, additional oversight and reporting obligations if we become subject to a corporate integrity agreement or similar settlement to resolve allegations of non-compliance with these laws and the curtailment or restructuring of our operations. If any of the physicians or other healthcare providers or entities with whom we expect to do business is found not to be in compliance with applicable laws, they may be subject to similar actions, penalties and sanctions. Ensuring business arrangements comply with applicable healthcare laws, as well as responding to possible investigations by government authorities, can be time- and resource-consuming and can divert a company’s attention from its business.

Insurance Coverage and Reimbursement

In the United States and markets in other countries, patients who are prescribed treatments for their conditions and providers performing the prescribed services generally rely on third-party payors to reimburse all or part of the associated healthcare costs. Thus, even if a product candidate is approved, sales of the product will depend, in part, on the extent to which third-party payors, including government health programs in the United States such as Medicare and Medicaid, commercial health insurers and managed care organizations, provide coverage, and establish adequate reimbursement levels for, the product. In the United States, the principal decisions about reimbursement for new medicines are typically made by the Centers for Medicare & Medicaid Services, or CMS, an agency within the U.S. Department of Health and Human Services. CMS decides whether and to what extent a new medicine will be covered and reimbursed under Medicare and private payors tend to follow CMS to a substantial degree. No uniform policy of coverage and reimbursement for drug products exists among third-party payors. Therefore, coverage and reimbursement for drug products can differ significantly from payor to payor. The process for determining whether a third-party payor will provide coverage for a product may be separate from the process for setting the price or reimbursement rate that the payor will pay for the product once coverage is approved. Third-party payors are increasingly challenging the prices charged, examining the medical necessity, reviewing the cost-effectiveness of medical products and services and imposing controls to manage costs. Third-party payors may limit coverage to specific products on an approved list, also known as a formulary, which might not include all of the approved products for a particular indication.

In order to secure coverage and reimbursement for any product that might be approved for sale, a company may need to conduct expensive pharmacoeconomic studies in order to demonstrate the medical necessity and cost-effectiveness of the product, which will require additional expenditure above and beyond the costs required to obtain FDA or other comparable regulatory approvals. Additionally, companies may also need to provide discounts to purchasers, private health plans or government healthcare programs. Nonetheless, product candidates may not be considered medically necessary or cost effective.

50


 

A decision by a third-party payor not to cover a product could reduce physician utilization once the product is approved and have a material adverse effect on sales, our operations and financial condition. Additionally, a third-party payor’s decision to provide coverage for a product does not imply that an adequate reimbursement rate will be approved. Further, one payor’s determination to provide coverage for a product does not assure that other payors will also provide coverage and reimbursement for the product, and the level of coverage and reimbursement can differ significantly from payor to payor.

The containment of healthcare costs has become a priority of federal, state and foreign governments, and the prices of products have been a focus in this effort. Governments have shown significant interest in implementing cost-containment programs, including price controls, restrictions on reimbursement and requirements for substitution of generic products. Adoption of price controls and cost-containment measures, and adoption of more restrictive policies in jurisdictions with existing controls and measures, could further limit a company’s revenue generated from the sale of any approved products. Coverage policies and third-party payor reimbursement rates may change at any time. Even if favorable coverage and reimbursement status is attained for one or more products for which a company or its collaborators receive regulatory approval, less favorable coverage policies and reimbursement rates may be implemented in the future.

 

Current and future healthcare reform legislation

In the United States and some foreign jurisdictions, there have been, and likely will continue to be, a number of legislative and regulatory changes and proposed changes regarding the healthcare system directed at broadening the availability of healthcare, improving the quality of healthcare, and containing or lowering the cost of healthcare. For example, in March 2010, the United States Congress enacted the Affordable Care Act, which, among other things, includes changes to the coverage and payment for products under government health care programs. The Affordable Care Act includes provisions of importance to our potential product candidates that:

created an annual, nondeductible fee on any entity that manufactures or imports specified branded prescription drugs and biologic products, apportioned among these entities according to their market share in certain government healthcare programs;
expanded eligibility criteria for Medicaid programs by, among other things, allowing states to offer Medicaid coverage to certain individuals with income at or below 133% of the federal poverty level, thereby potentially increasing a manufacturer’s Medicaid rebate liability;
expanded manufacturers’ rebate liability under the Medicaid Drug Rebate Program by increasing the minimum rebate for both branded and generic drugs and revising the definition of “average manufacturer price,” or AMP, for calculating and reporting Medicaid drug rebates on outpatient prescription drug prices;
addressed a new methodology by which rebates owed by manufacturers under the Medicaid Drug Rebate Program are calculated for drugs that are inhaled, infused, instilled, implanted or injected;
expanded the types of entities eligible for the 340B drug discount program;
established the Medicare Part D coverage gap discount program by requiring manufacturers to provide point-of-sale-discounts off the negotiated price of applicable brand drugs to eligible beneficiaries during their coverage gap period as a condition for the manufacturers’ outpatient drugs to be covered under Medicare Part D; and
created a new Patient-Centered Outcomes Research Institute to oversee, identify priorities in, and conduct comparative clinical effectiveness research, along with funding for such research.

Since its enactment, there have been numerous judicial, administrative, executive, and legislative challenges to certain aspects of the Affordable Care Act, and we expect there will be additional challenges and amendments to the Affordable Care Act in the future. On June 17, 2021, the U.S. Supreme Court dismissed the most recent judicial challenge to the ACA brought by several states without specifically ruling on the constitutionality of the ACA. President Biden has issued multiple executive orders that have sought to address the issue of prescription drug costs. It is unclear how other healthcare reform measures of the Biden administrations or other efforts, if any, to challenge repeal or replace the ACA, will impact our business.

Other legislative changes have been proposed and adopted in the United States since the Affordable Care Act was enacted. The Budget Control Act of 2011, among other things, included aggregate reductions of Medicare payments to providers of 2% per fiscal year, which went into effect in April 2013 and, due to subsequent legislative amendments to the statute, will remain in effect through 2032 unless additional Congressional action is taken. The American Taxpayer Relief Act of 2012 was signed into law, which, among other things, further reduced Medicare payments to several providers, including hospitals, imaging centers and cancer treatment centers, and increased the statute of limitations period for the government to recover overpayments to providers from three to five years.

51


 

Moreover, payment methodologies may be subject to changes in healthcare legislation and regulatory initiatives. For example, CMS may develop new payment and delivery models, including bundled payment models. In addition, recently there has been heightened governmental scrutiny over the manner in which manufacturers set prices for their commercial products, which has resulted in several Congressional inquiries and proposed and enacted state and federal legislation designed to, among other things, bring more transparency to product pricing, review the relationship between pricing and manufacturer patient programs, and reform government program reimbursement methodologies for pharmaceutical products. Although a number of these and other measures may require additional authorization to become effective, Congress and the current administration have each indicated that it will continue to seek new legislative and/or administrative measures to control drug costs. Individual states in the United States have also increasingly passed legislation and implemented regulations designed to control pharmaceutical product pricing, including price or patient reimbursement constraints, discounts, restrictions on certain product access and marketing cost disclosure and transparency measures, and, in some cases, designed to encourage importation from other countries and bulk purchasing.

The Inflation Reduction Act of 2022, or IRA includes several provisions that may impact our business t o varying degrees, including provisions that reduce the annual out-of-pocket spending cap for Medicare Part D beneficiaries from $7,050 to $2,000 starting in 2024, thereby eliminating the coverage gap; impose new manufacturer financial liability on many drugs reimbursed under Medicare Part D; allow the U.S. government to negotiate Medicare Part B and Part D pricing for certain high-cost drugs and biologics without generic or biosimilar competition; and require companies to pay rebates to Medicare for drug prices that increase faster than inflation. Further, under the IRA, orphan drugs are exempted from the Medicare drug price negotiation program, but only if they have one orphan designation and for which the only approved indication is for that disease or condition. If a product receives multiple orphan designations or has multiple approved indications, it may not qualify for the orphan drug exemption. The implementation of the IRA is currently subject to ongoing litigation that challenges the constitutionality of the IRA’s Medicare drug price negotiation program. The effects of the IRA on our business and the healthcare industry in general is not yet known.

Outside the United States, ensuring coverage and adequate payment for a product also involves challenges. Pricing of prescription pharmaceuticals is subject to government control in many countries. Pricing negotiations with government authorities can extend well beyond the receipt of regulatory approval for a product and may require a clinical trial that compares the cost-effectiveness of a product to other available therapies. The conduct of such a clinical trial could be expensive and result in delays in commercialization.

In the European Union, pricing and reimbursement schemes vary widely from country to country. Some countries provide that products may be marketed only after a reimbursement price has been agreed upon. Some countries may require the completion of additional studies that compare the cost-effectiveness of a particular product candidate to currently available therapies or so-called health technology assessments, in order to obtain reimbursement or pricing approval. For example, the European Union provides options for its member states to restrict the range of products for which their national health insurance systems provide reimbursement and to control the prices of medicinal products for human use. European Union member states may approve a specific price for a product, or it may instead adopt a system of direct or indirect controls on the profitability of the company placing the product on the market. Other member states allow companies to fix their own prices for products but monitor and control prescription volumes and issue guidance to physicians to limit prescriptions. Recently, many countries in the European Union have increased the amount of discounts required on pharmaceuticals and these efforts could continue as countries attempt to manage healthcare expenditures, especially in light of the severe fiscal and debt crises experienced by many countries in the European Union. The downward pressure on healthcare costs in general, particularly prescription products, has become intense. As a result, increasingly high barriers are being erected to the entry of new products. Political, economic and regulatory developments may further complicate pricing negotiations, and pricing negotiations may continue after reimbursement has been obtained. Reference pricing used by various European Union member states, and parallel trade, i.e., arbitrage between low-priced and high-priced member states, can further reduce prices. There can be no assurance that any country that has price controls or reimbursement limitations for pharmaceutical products will allow favorable reimbursement and pricing arrangements for any products, if approved in those countries.

 

52


 

Compliance with other federal and state laws or requirements; changing legal requirements

If any products that we may develop are made available to authorized users of the Federal Supply Schedule of the General Services Administration, additional laws and requirements apply. Products must meet applicable child-resistant packaging requirements under the U.S. Poison Prevention Packaging Act. Manufacturing, labeling, packaging, distribution, sales, promotion and other activities also are potentially subject to federal and state consumer protection and unfair competition laws, among other requirements to which we may be subject.

The distribution of pharmaceutical products is subject to additional requirements and regulations, including extensive recordkeeping, licensing, storage and security requirements intended to prevent the unauthorized sale of pharmaceutical products.

The failure to comply with any of these laws or regulatory requirements may subject firms to legal or regulatory action. Depending on the circumstances, failure to meet applicable regulatory requirements can result in criminal prosecution, fines or other penalties, injunctions, exclusion from federal healthcare programs, requests for recall, seizure of products, total or partial suspension of production, denial or withdrawal of product approvals, relabeling or repackaging, or refusal to allow a firm to enter into supply contracts, including government contracts. Any claim or action against us for violation of these laws, even if we successfully defend against it, could cause us to incur significant legal expenses and divert our management’s attention from the operation of our business. Prohibitions or restrictions on marketing, sales or withdrawal of future products marketed by us could materially affect our business in an adverse way.

Changes in regulations, statutes or the interpretation of existing regulations could impact our business in the future by requiring, for example: (i) changes to our manufacturing arrangements; (ii) additions or modifications to product labeling or packaging; (iii) the recall or discontinuation of our products; or (iv) additional recordkeeping requirements. If any such changes were to be imposed, they could adversely affect the operation of our business.

 

Other U.S. Environmental, Health and Safety Laws and Regulations

We may be subject to numerous environmental, health and safety laws and regulations, including those governing laboratory procedures and the handling, use, storage, treatment and disposal of hazardous materials and wastes. From time to time and in the future, our operations may involve the use of hazardous and flammable materials, including chemicals and biological materials, and may also produce hazardous waste products. Even if we contract with third parties for the disposal of these materials and waste products, we cannot completely eliminate the risk of contamination or injury resulting from these materials. In the event of contamination or injury resulting from the use or disposal of our hazardous materials, we could be held liable for any resulting damages, and any liability could exceed our resources. We also could incur significant costs associated with civil or criminal fines and penalties for failure to comply with such laws and regulations.

We maintain workers’ compensation insurance to cover us for costs and expenses we may incur due to injuries to our employees, but this insurance may not provide adequate coverage against potential liabilities. However, we do not maintain insurance for environmental liability or toxic tort claims that may be asserted against us.

In addition, we may incur substantial costs in order to comply with current or future environmental, health and safety laws and regulations. Current or future environmental laws and regulations may impair our research, development or production efforts. In addition, failure to comply with these laws and regulations may result in substantial fines, penalties or other sanctions.

 

Government Regulation of Drugs Outside of the United States

To market any product outside of the U.S., we would need to comply with numerous and varying regulatory requirements of other countries regarding safety and efficacy and governing, among other things, clinical trials, marketing authorization or identification of an alternate regulatory pathway, manufacturing, commercial sales and distribution of our products. For instance, in the United Kingdom and the European Economic Area, or the EEA (comprised of the EU Member States plus Iceland, Liechtenstein and Norway), medicinal products must be authorized for marketing by using either the centralized procedure or a national procedure.

Centralized procedure—If pursuing marketing authorization of a product candidate for a therapeutic indication under the centralized procedure, following the opinion of the European Medicines Agency’s Committee for Medicinal Products for Human Use, or CHMP, the European Commission issues a single marketing authorization valid across the EEA. The centralized procedure is compulsory for human medicines derived from biotechnology processes or advanced therapy medicinal products (i.e. gene therapy, somatic cell therapy and tissue engineered products), products that contain a new active substance indicated for the treatment of certain diseases, such as HIV/AIDS, cancer, neurodegenerative disorders, diabetes, autoimmune diseases and other immune dysfunctions, viral diseases, and designated orphan medicinal products. For medicines that do not fall within these categories, an

53


 

applicant has the option of submitting an application for a centralized marketing authorization to the European Medicines Agency, or EMA, as long as the medicine concerned contains a new active substance not yet authorized in the EU, is a significant therapeutic, scientific or technical innovation, or if its authorization would be in the interest of public health in the EU. Under the centralized procedure the maximum timeframe for the evaluation of an MAA by the EMA is 210 days, excluding clock stops, when additional written or oral information is to be provided by the applicant in response to questions asked by the CHMP. Clock stops may extend the timeframe of evaluation of an MAA considerably beyond 210 days. Where the CHMP gives a positive opinion, it provides the opinion together with supporting documentation to the European Commission, who makes the final decision to grant a marketing authorization, which is issued within 67 days of receipt of the EMA’s recommendation. Accelerated assessment might be granted by the CHMP in exceptional cases, when a medicinal product is expected to be of a major public health interest, particularly from the point of view of therapeutic innovation. The timeframe for the evaluation of an MAA under the accelerated assessment procedure is 150 days, excluding clock stops, but it is possible that the CHMP can revert to the standard time limit for the centralized procedure if it considers that it is no longer appropriate to conduct an accelerated assessment.
National procedures—There are also two other possible routes to authorize products for therapeutic indications in several countries, which are available for products that fall outside the scope of the centralized procedure:
o
Decentralized procedure—Using the decentralized procedure, an applicant may apply for simultaneous authorization in more than one EU country of medicinal products that have not yet been authorized in any EU country and that do not fall within the mandatory scope of the centralized procedure.
o
Mutual recognition procedure—In the mutual recognition procedure, a medicine is first authorized in one EU country, in accordance with the national procedures of that country. Following this, additional marketing authorizations can be sought from other EU countries in a procedure whereby the countries concerned recognize the validity of the original, national marketing authorization.

Now that the United Kingdom (which comprises Great Britain and Northern Ireland) has left the European Union, Great Britain is no longer covered by centralized marketing authorizations (under the Northern Ireland Protocol, centralized marketing authorizations currently continue to be recognized in Northern Ireland). On January 1, 2024, a new international recognition framework was put in place by the Medicines and Healthcare products Regulatory Agency, or MHRA, the UK medicine’s regulator, under which the MHRA may have regard to decisions on the approval of a marketing authorization made by the EMA and certain other regulators when considering whether to grant a Great Britain marketing authorization. The MHRA also has the power to have regard to marketing authorizations approved in EU Member States through decentralized or mutual recognition procedures with a view to more quickly granting a marketing authorization in the United Kingdom or Great Britain.

In the EU, innovative medicinal products for therapeutic indications that are authorized for marketing (i.e., reference products) qualify for eight years of data exclusivity and an additional two years of market exclusivity upon marketing authorization. The data exclusivity period prevents generic or biosimilar applicants from referencing the innovator’s preclinical and clinical trial data contained in the dossier of the reference product when applying for a generic or biosimilar marketing authorization in the EU during a period of eight years from the date on which the reference product was first authorized in the EU. The market exclusivity period prevents a successful generic or biosimilar applicant from commercializing its product in the EU until ten years have elapsed from the initial authorization of the reference product in the EU. The ten-year market exclusivity period can be extended to a maximum of eleven years if, during the first eight years of those ten years, the marketing authorization holder obtains an authorization for one or more new therapeutic indications which, during the scientific evaluation prior to their authorization, are held to bring a significant clinical benefit in comparison with existing therapies. There is no guarantee that a product will be considered by the EMA to be an innovative medicinal product, and products may not qualify for data exclusivity. Even if a product is considered to be an innovative medicinal product so that the innovator gains the prescribed period of data exclusivity, another company nevertheless could also market another version of the product if such company obtained marketing authorization based on an MAA with a complete and independent data package of pharmaceutical tests, preclinical tests and clinical trials.

The criteria for designating an “orphan medicinal product” in the EU are similar in principle to those in the U.S. In the EU, a medicinal product may be designated as orphan if: (1) it is intended for the diagnosis, prevention or treatment of a life-threatening or chronically debilitating condition; (2) either (a) such condition affects no more than five in 10,000 persons in the EU when the application is made, or (b) it is unlikely that the product, without the benefits derived from orphan status, would generate sufficient return in the EU to justify the necessary investment in its development; and (3) there exists no satisfactory method of diagnosis, prevention or treatment of such condition authorized for marketing in the EU or, if such a method exists, the product will be of significant benefit to those affected by that condition. Orphan medicinal products are eligible for financial incentives such as reduction of fees or fee waivers and are, upon grant of a marketing authorization,

54


 

entitled to ten years of market exclusivity for the approved therapeutic indication. During this ten-year orphan market exclusivity period, no MAA shall be accepted, and no marketing authorization shall be granted for a similar medicinal product for the same therapeutic indication. A “similar medicinal product” is defined as a medicinal product containing a similar active substance or substances as contained in an authorized orphan medicinal product, and which is intended for the same therapeutic indication. An orphan product can also obtain an additional two years of market exclusivity in the EU where an agreed pediatric investigation plan for pediatric studies has been complied with. No extension to any supplementary protection certificate, or SPC, can be granted on the basis of pediatric studies for orphan indications. The ten-year market exclusivity may be reduced to six years if, at the end of the fifth year, it is established that the product no longer meets the criteria for orphan designation, for example, if the product is sufficiently profitable not to justify maintenance of market exclusivity. Additionally, a marketing authorization may be granted to a similar product for the same therapeutic indication at any time if (i) the second applicant can establish that its product, although similar, is safer, more effective or otherwise clinically superior; (ii) the marketing authorization holder for the authorized orphan product consents to a second orphan medicinal product application; or (iii) the marketing authorization holder for the authorized orphan product cannot supply enough orphan medicinal product.

Prior to obtaining a marketing authorization in the EU, applicants must demonstrate compliance with all measures included in an EMA-approved pediatric investigation plan, or PIP, covering all subsets of the pediatric population, unless the EMA has granted a product-specific waiver, a class waiver, or a deferral for one or more of the measures included in the PIP. The respective requirements for all marketing authorization procedures are laid down in Regulation (EC) No 1901/2006, the so-called Pediatric Regulation. This requirement also applies when a company wants to add a new indication, pharmaceutical form or route of administration for a medicine that is already authorized. The Pediatric Committee of the EMA, or PDCO, may grant deferrals for some medicines, allowing a company to delay development of the medicine for children until there is enough information to demonstrate its effectiveness and safety in adults. The PDCO may also grant waivers when development of a medicine for children is not needed or is not appropriate, such as for diseases that only affect the elderly population. Before an MAA can be filed, or an existing marketing authorization can be amended, the EMA determines that companies actually comply with the agreed studies and measures listed in each relevant PIP. If an applicant obtains a marketing authorization in all EU Member States, or a marketing authorization granted in the centralized procedure by the European Commission, and the study results for the pediatric population are included in the product information, even when negative, the medicine is then eligible for an additional six-month period of qualifying patent protection through extension of the term of the SPC, provided an application for such extension is made at the same time as filing the SPC application for the product, or at any point up to 2 years before the SPC expires. In the case of orphan medicinal products, a two year extension of the orphan market exclusivity may be available. This pediatric reward is subject to specific conditions and is not automatically available when data in compliance with the PIP are developed and submitted.

Similar to the U.S., the various phases of non-clinical and clinical research in the European Union are subject to significant regulatory controls.

In April 2014, the EU adopted the Clinical Trials Regulation (EU) No 536/2014 (Clinical Trials Regulation) which replaced the Clinical Trials Directive 2001/20/EC on January 31, 2022. The Clinical Trials Regulation is directly applicable in all the EU Member States, meaning no national implementing legislation in each EU Member State is required. The transitory provision of the Clinical Trial Regulation provide that, by January 31, 2025, all ongoing clinical trials must have transitioned to the Regulation, The Clinical Trials Regulation aims to simplify and streamline the approval of clinical trials in the European Union.

The main characteristics of the regulation include: a streamlined application procedure via a single-entry point, the “Clinical Trials Information System” or CTIS; a single set of documents to be prepared and submitted for the application as well as simplified reporting procedures for clinical trial sponsors; and a harmonized procedure for the assessment of applications for clinical trials, which is divided in two parts. Part I is assessed by coordinated assessment by the competent authorities of all EU Member States in which an application for authorization of a clinical trial has been submitted (Member States concerned) following review by a Reference Member State. Part II is assessed separately by each Member State concerned. Strict deadlines have been established for the assessment of clinical trial applications. The role of the relevant ethics committees in the assessment procedure will continue to be governed by the national law of the concerned EU Member State. However, overall related timelines will be defined by the Clinical Trials Regulation.

The aforementioned EU rules are generally applicable in the European Economic Area, or EEA.

 

Reform of the Regulatory Framework in the European Union

The European Commission introduced legislative proposals in April 2023 that, if implemented, will replace the current regulatory framework in the EU for all medicines (including those for rare diseases and for children). The European Commission has provided legislative proposals to the European Parliament and the European Council for their review and approval. In October 2023, the European Parliament published draft reports proposing amendments to the legislative proposals,

55


 

which will be debated by the European Parliament. Once the European Commission’s legislative proposals are approved (with or without amendment), they will be adopted into EU law.

Government regulation of data collection outside of the United States

In the event we conduct clinical trials in the European Union, we will be subject to additional privacy restrictions. The collection and use of personal health data in the EEA is governed by the General Data Protection Regulation, or the GDPR, which became effective on May 25, 2018. The GDPR applies to the processing of personal data by any company established in the EEA and to companies established outside the EEA to the extent they process personal data in connection with the offering of goods or services to data subjects in the EEA or the monitoring of the behavior of data subjects in the EEA. The GDPR enhances data protection obligations for data controllers of personal data, including stringent requirements relating to the consent of data subjects, expanded disclosures about how personal data is used, requirements to conduct privacy impact assessments for “high risk” processing, limitations on retention of personal data, mandatory data breach notification and “privacy by design” requirements, and creates direct obligations on service providers acting as processors. The GDPR also imposes strict rules on the transfer of personal data outside of the EEA to countries that do not ensure an adequate level of protection, like the United States. Failure to comply with the requirements of the GDPR and the related national data protection laws of the EEA Member States, which may deviate slightly from the GDPR, may result in fines of up to 4% of a company’s global revenues for the preceding financial year, or €20,000,000, whichever is greater. Moreover, the GDPR grants data subjects the right to claim material and non-material damages resulting from infringement of the GDPR. Given the breadth and depth of changes in data protection obligations, maintaining compliance with the GDPR will require significant time, resources and expense, and we may be required to put in place additional controls and processes ensuring compliance with the new data protection rules. There has been limited enforcement of the GDPR to date, particularly in biopharmaceutical development, so we face uncertainty as to the exact interpretation of the new requirements on any future trials and we may be unsuccessful in implementing all measures required by data protection authorities or courts in interpretation of the new law. In addition, further to the United Kingdom’s exit from the European Union on January 31, 2020, the GDPR ceased to apply in the United Kingdom at the end of the transition period on December 31, 2020. However, as of January 1, 2021, the United Kingdom’s European Union (Withdrawal) Act 2018 incorporated the GDPR (as it existed on December 31, 2020, but subject to certain UK specific amendments) into UK law, referred to as the UK GDPR. The UK GDPR and the UK Data Protection Act 2018 set out the United Kingdom’s data protection regime, which is independent from but aligned to the European Union’s data protection regime. Non-compliance with the UK GDPR may result in monetary penalties of up to £17.5 million or 4% of worldwide revenue, whichever is higher. Although the UK is regarded as a third country under the European Union’s GDPR, the European Commission has now issued a decision recognizing the UK as providing adequate protection under the EU GDPR and, therefore, transfers of personal data originating in the EU to the UK remain unrestricted. Like the EU GDPR, the UK GDPR restricts personal data transfers outside the United Kingdom to countries not regarded by the United Kingdom as providing adequate protection. The UK government has confirmed that personal data transfers from the United Kingdom to the EEA remain free flowing.

There is significant uncertainty related to the manner in which data protection authorities will seek to enforce compliance with the GDPR. For example, it is not clear if the authorities will conduct random audits of companies doing business in the EEA, or if the authorities will wait for complaints to be filed by individuals who claim their rights have been violated. Enforcement uncertainty and the costs associated with ensuring GDPR compliance are onerous and may adversely affect our business, financial condition, results of operations and prospects.

Should we utilize third party distributors, compliance with such foreign governmental regulations would generally be the responsibility of such distributors, who may be independent contractors over whom we have limited control.

Brexit and the Regulatory Framework in the United Kingdom

The UK formally left the EU on January 31, 2020. There was a transition period during which EU pharmaceutical laws continued to apply to the UK, which expired on December 31, 2020. However, the EU and the UK have concluded a trade and cooperation agreement, or TCA, which was provisionally applicable since January 1, 2021 and has been formally applicable since May 1, 2021. The TCA includes specific provisions concerning pharmaceuticals, which include the mutual recognition of GMP, inspections of manufacturing facilities for medicinal products and GMP documents issued, but does not provide wholesale mutual recognition of UK and EU pharmaceutical regulations. At present, Great Britain has implemented EU legislation on the marketing, promotion and sale of medicinal products through the Human Medicines Regulations 2012 (as amended) (under the Northern Ireland Protocol, the EU regulatory framework currently continues to apply in Northern Ireland). The regulatory regime in Great Britain therefore largely aligns with current EU regulations, however it is possible that these regimes will diverge in future now that Great Britain’s regulatory system is independent from the EU and the TCA does not provide for mutual recognition of UK and EU pharmaceutical legislation. However, notwithstanding that there is no wholesale recognition of EU pharmaceutical legislation under the TCA, under the new international recognition procedure in the UK

56


 

mentioned above, the MHRA may take into account decisions on the approval of a marketing authorization from the EMEA (and certain other regulators) when considering an application for a Great Britain marketing authorization.

On February 27, 2023, the UK government and the European Commission announced a political agreement in principle to replace the Northern Ireland Protocol with a new set of arrangements, known as the “Windsor Framework”. This new framework fundamentally changes the existing system under the Northern Ireland Protocol, including with respect to the regulation of medicinal products in the U.K. In principle, the MHRA will be responsible for approving all medicinal products destined for the U.K. market (i.e., Great Britain and Northern Ireland) and the EMA will no longer have any role in approving medicinal products destined for Northern Ireland. A single UK-wide marketing authorization will be granted by the MHRA for all medicinal products to be sold in the UK, enabling products to be sold in a single pack and under a single authorization throughout the UK. The Windsor Framework was approved by the EU-UK Joint Committee on March 24, 2023, so the UK government and the EU will enact legislative measures to bring it into law. On June 9, 2023, the MHRA announced that the medicines aspects of the Windsor Framework will apply from January 1, 2025.

 

Employees and Human Capital

As of December 31, 2023, we had 187 full-time employees, of which 97 have M.D. or Ph.D. degrees. Within our workforce, 143 employees are engaged in research and development and 44 are engaged in business development, finance, legal, and general management and administration. We consider the intellectual capital of our employees to be an essential driver of our business and key to our future prospects. We continually evaluate the business need and opportunity and balance in house expertise and capacity with outsourced expertise and capacity. Currently, we outsource substantially all clinical trial work to clinical research organizations and certain drug manufacturing to contract manufacturers. Drug development is a complex endeavor which requires deep expertise and experience across a broad array of disciplines. Pharmaceutical companies, both large and small, compete for a limited number of qualified applicants to fill specialized positions. We monitor our compensation programs closely and provide what we consider to be a very competitive mix of compensation and insurance benefits for all our employees, as well as participation in our equity programs. To attract qualified applicants, the Company offers a comprehensive benefits package consisting of base salary and cash target bonus, medical and other benefits and equity compensation for every employee. Bonus opportunity and equity compensation increase as a percentage of total compensation based on level of responsibility. Actual bonus payout is based on performance.

None of our employees is subject to a collective bargaining agreement or represented by a trade or labor union. We consider our relations with our employees to be good.

We support our employees’ further development with individualized development plans, mentoring, coaching, group training, conference attendance and financial support including tuition reimbursement.

 

Facilities

Our corporate headquarters are located in Watertown, Massachusetts, where we lease and occupy approximately 34,522 square feet of office and laboratory space. The current term of our Watertown lease expires March 31, 2030, with an option to extend the term five additional years with 12 months’ notice with rent set at an agreed upon market rate. In December 2021, we entered into a lease for 100,624 square feet of office and laboratory space in Watertown, Massachusetts, which we are beginning to occupy in February 2024. This lease has an initial term of 134 months, and we have two consecutive options to extend the term of the lease for five years each at then-market rates. We intend to sublease our current space to third parties after we have completed the move to our new facility.

Our new facility is expected to be sufficient to meet our current needs. To meet the future needs of our business, we may lease additional or alternate space, and we believe suitable additional or alternative space will be available in the future on commercially reasonable terms.

Our Corporate Information

We were incorporated under the laws of Delaware in September 2015 under the name Project HSC, Inc. We are the successor in interest to Kymera Therapeutics, LLC, a limited liability company formed under the laws of the State of Delaware on May 25, 2017 and the former holder of all of our outstanding shares of common stock. Our principal executive offices are located at 200 Arsenal Yards Blvd., Suite 230, Watertown, MA 02472 and our telephone number is (857) 285-5300. Our website address is www.kymeratx.com. References to our website are inactive textual references only and the content of our website should not be deemed incorporated by reference into this Annual Report on Form 10-K.

 

57


 

Available Information

Our Annual Reports on Form 10-K, Quarterly Reports on Form 10-Q, Current Reports on Form 8-K and any amendments to these reports filed or furnished pursuant to Section 13(a) or 15(d) of the Securities Exchange Act of 1934, are available free of charge on our website located at www.kymeratx.com as soon as reasonably practicable after they are filed with or furnished to the Securities and Exchange Commission, or the SEC.

The SEC maintains an Internet website that contains reports, proxy and information statements, and other information regarding us and other issuers that file electronically with the SEC. The SEC’s Internet website address is http://www.sec.gov.

A copy of our Corporate Governance Guidelines, Code of Business Conduct and Ethics and the charters of the Audit Committee, Compensation Committee and Nominating and Corporate Governance Committee are posted on our website, www.kymeratx.com, under “Investors”.

 

58


 

Item 1A. Risk Factors.

 

Our business involves a high degree of risk. You should carefully consider the material and other risks and uncertainties described and summarized below, as well as the other information in this Annual Report on Form 10-K, including our consolidated financial statements and related notes and the section titled “Management’s Discussion and Analysis of Financial Condition and Results of Operations” and “Special Note Regarding Forward-Looking Statements,” before you make an investment decision. Our actual results could differ materially from those anticipated in the forward-looking statements as a result of factors that are described below and elsewhere in this Annual Report on Form 10-K. The risks described below are not the only risks that we face. The occurrence of any of the events or developments described below could harm our business, financial condition, results of operations and prospects. As a result, the market price of our common stock could decline, and you may lose all or part of your investment in our common stock. New risks can emerge from time to time, and it is not possible to predict the impact that any factor or combination of factors may have on our business, prospects, financial condition and results of operations.

 

Risks Related to Our Financial Position and Need for Additional Capital

We are a biopharmaceutical company with a limited operating history and have not generated any revenue to date from drug sales, and may never become profitable.

Biopharmaceutical drug development is a highly speculative undertaking and involves a substantial degree of risk. Since our formation in 2015 and our initial funding in 2016, our operations to date have been limited primarily to organizing and staffing our company, business planning, raising capital, researching and developing our drug discovery technology, developing our pipeline, building our intellectual property portfolio, undertaking preclinical studies and conducting Phase 1 clinical trials of our product candidates. We have never generated any revenue from drug sales. We have not obtained regulatory approvals for any of our current product candidates. Typically, it takes many years to develop one new pharmaceutical drug from the time it is discovered to when it is available for treating patients. Consequently, any predictions we make about our future success or viability may not be as accurate as they could be if we had a longer operating history. In addition, as a business with a limited operating history, we may encounter unforeseen expenses, difficulties, complications, delays and other known and unknown factors, such as the pandemics or developments relating to macroeconomic conditions. We will need to transition from a company with a research and development focus to a company capable of supporting late-stage development and commercial activities. We may not be successful in such a transition.

We have incurred significant operating losses since our inception and anticipate that we will incur continued losses for the foreseeable future.

Since inception, we have focused substantially all of our efforts and financial resources on developing our proprietary targeted protein degradation drug discovery platform, or the PegasusTM platform, and initial product candidates as well as supporting our collaborations and partnerships. To date, we have financed our operations primarily through the issuance and sale of our convertible preferred stock to outside investors and collaborators in private equity financings, upfront payments under our collaborations and our initial public offering (IPO), follow-on offerings, PIPE offering and at-the market sales program. From our inception through December 31, 2023, we raised an aggregate of approximately $1.07 billion of gross proceeds from such transactions and through our collaborations. In January 2024, we received approximately $316.2 million, before deducting underwriting discounts and commissions and estimated offering expenses, from a public offering of our common stock and pre-funded warrants to purchase shares of our common stock. In February 2024, we received $50 million before deduction sales commissions from sales of common stock under our sales agreement with Cowen and Company, LLC. As of December 31, 2023, our cash and cash equivalents and investments were $436.3 million. We have incurred net losses in each year since our inception, and we had an accumulated deficit of $530.8 million as of December 31, 2023. For the years ended December 31, 2023, 2022 and 2021, we reported net losses of $147.0 million, $154.8 million, $100.2 million, respectively. Substantially all of our operating losses have resulted from costs incurred in connection with our research and development programs and from general and administrative costs associated with our operations. We expect to continue to incur significant expenses and increasing operating losses over the next several years and for the foreseeable future. Our prior losses, combined with expected future losses, have had and will continue to have an adverse effect on our stockholders’ deficit and working capital. We expect our expenses to significantly increase in connection with our ongoing activities, as we:

initiate and complete preclinical studies and clinical trials for current or future product candidates
prepare and submit Investigational New Drug applications, or INDs, with the FDA, for future product candidates;
develop and scale up our capabilities to support our ongoing preclinical activities and clinical trials for our product candidates and commercialization of any of our product candidates for which we may obtain marketing approval;

59


 

secure facilities to support continued growth in our research, development and commercialization efforts;
advance research and development related activities to expand our product pipeline;
expand and improve the capabilities of our PegasusTM platform;
seek regulatory approval for our product candidates that successfully complete clinical development;
contract to manufacture our product candidates;
maintain, expand and protect our intellectual property portfolio;
hire additional staff, including clinical, scientific and management personnel; and
incur additional costs associated with continuing to operate as a public company.

In addition, if we obtain marketing approval for our current or future product candidates, we will incur significant expenses relating to sales, marketing, product manufacturing and distribution. Because of the numerous risks and uncertainties associated with developing pharmaceutical drugs, we are unable to predict the extent of any future losses or when we will become profitable, if at all. Even if we do become profitable, we may not be able to sustain or increase our profitability on a quarterly or annual basis.

Risks Related to Future Financial Condition

We will need to raise substantial additional funding. If we are unable to raise capital when needed or on attractive terms, we would be forced to delay, scale back or discontinue some of our product candidate development programs or future commercialization efforts.

The development of pharmaceutical drugs is capital-intensive. We are engaged in clinical development activities on various programs and are also currently advancing multiple development candidates through preclinical development across a number of potential indications. We expect our expenses to increase substantially in connection with our ongoing activities, particularly as we continue the research and development of, advance the preclinical and clinical activities of, and seek marketing approval for, our current or future product candidates. In addition, if we obtain marketing approval for any of our current or future product candidates, we expect to incur significant commercialization expenses related to sales, marketing, product manufacturing and distribution to the extent that such sales, marketing, product manufacturing and distribution are not the responsibility of our collaborators. We may also need to raise additional funds sooner if we choose to pursue additional indications and/or geographies for our current or future product candidates or otherwise expand more rapidly than we presently anticipate. Furthermore, we expect to continue to incur additional costs associated with operating as a public company. Accordingly, we will need to obtain substantial additional funding in connection with our continuing operations. If we are unable to raise capital when needed or on attractive terms, we would be forced to delay, scale back or discontinue the development and commercialization of one or more of our product candidates, and may be unable to expand our operations or otherwise capitalize on our business opportunities, as desired, which could materially affect our business, financial condition and results of operations.

As of December 31, 2023, we had approximately $436.3 million of cash and cash equivalents and investments. In August 2020, we completed an IPO of our common stock by issuing 9,987,520 shares of our common stock, including the exercise in full by the underwriters of their option to purchase up to 1,302,720 additional shares of common stock, at a public offering price of $20.00 per share. The aggregate gross proceeds to us from the offering, before deducting underwriting discounts and commissions, and other estimated offering expenses payable by us, were approximately $199.8 million. Concurrent with the IPO, we announced the sale of 676,354 common shares at the public offering price per share in a private placement to Vertex. The aggregate gross proceeds to us from the concurrent private placement were approximately $13.5 million. The concurrent private placement also closed in August 2020. In July 2021, we completed a follow-on offering of our common stock and an additional private placement transaction with Vertex resulting, in the aggregate, in net proceeds of approximately, $243.1 million. In August 2022, we completed a PIPE offering of our common stock and pre-funded warrants resulting in gross proceeds of $150.0 million. In January 2024, we completed a follow-on offering of our common stock and pre-funded warrants resulting in gross proceeds of $316.2 million before deducting underwriting discounts and commissions and estimated offering expenses. In February 2024, we received $50 million before deduction sales commissions from sales of common stock under our sales agreement with Cowen and Company, LLC. We expect that the approximately $436.3 million of cash and cash equivalents and investments at December 31, 2023, together with the net proceeds from the first quarter of 2024 offerings and the $15 million milestone payment received in January of 2024 under our collaboration agreement with Sanofi, will be sufficient to fund our operations into the first half of 2027. We have based this estimate on assumptions that may prove to be wrong, and we could use our capital resources sooner than we currently expect. This estimate also assumes that we do not obtain any

60


 

additional funding through collaborations or other strategic alliances. Our future capital requirements will depend on, and could increase significantly as a result of, many factors, including:

the scope, progress, results and costs of drug discovery, preclinical development, laboratory testing and clinical trials for our current or future product candidates, including additional expenses attributable to adjusting our development plans (including any supply related matters);
the scope, prioritization and number of our research and development programs;
the costs, timing and outcome of regulatory review of our current or future product candidates;
our ability to establish and maintain additional collaborations on favorable terms, if at all;
the achievement of milestones or occurrence of other developments that trigger payments under any existing or additional collaboration agreements we obtain;
the extent to which we are obligated to reimburse, or entitled to reimbursement of, clinical trial costs under future collaboration agreements, if any;
the costs of preparing, filing and prosecuting patent applications, maintaining and enforcing our intellectual property rights and defending intellectual property-related claims;
the extent to which we acquire or in-license other current or future product candidates and technologies;
the costs of securing manufacturing arrangements for commercial production; and
the costs of establishing or contracting for sales and marketing capabilities if we obtain regulatory clearances to market our current or future product candidates.

 

Identifying potential product candidates and conducting preclinical studies and clinical trials is a time-consuming, expensive and uncertain process that takes years to complete, and we may never generate the necessary data or results required to obtain marketing approval and achieve drug sales. In addition, our current or future product candidates, if approved, may not achieve commercial success. Our commercial revenues, if any, will be derived from sales of drugs that we do not expect to be commercially available for many years, if at all. Accordingly, we will need to continue to rely on additional funding to achieve our business objectives.

Any additional fundraising efforts may divert our management from their day-to-day activities, which may adversely affect our ability to develop and commercialize our current or future product candidates. Disruptions in the financial markets in general may make equity and debt financing more difficult to obtain and may have a material adverse effect on our ability to meet our fundraising needs. We cannot guarantee that future financing will be available in sufficient amounts or on terms favorable to us, if at all. Moreover, the terms of any financing may adversely affect the holdings or the rights of our stockholders and the issuance of additional securities, whether equity or debt, by us, or the possibility of such issuance, may cause the market price of our shares to decline. The sale of additional equity or convertible securities would dilute all of our stockholders. The incurrence of indebtedness would result in increased fixed payment obligations and we may be required to agree to certain restrictive covenants, such as limitations on our ability to incur additional debt, limitations on our ability to acquire, sell or license intellectual property rights and other operating restrictions that could adversely impact our ability to conduct our business. We could also be required to seek funds through arrangements with collaborators or otherwise at an earlier stage than otherwise would be desirable and we may be required to relinquish rights to some of our technologies or current or future product candidates or otherwise agree to terms unfavorable to us, any of which may have a material adverse effect on our business, operating results and prospects.

We will continue to incur increased costs as a result of operating as a public company, and our management will be required to devote substantial time to new compliance initiatives.

As a public company, we will continue to incur significant legal, accounting and other expenses that we did not incur as a private company. We are subject to the reporting requirements of the Securities Exchange Act of 1934, as amended, or the Exchange Act, which require, among other things, that we file with the Securities and Exchange Commission, or the SEC, annual, quarterly and current reports with respect to our business and financial condition. In addition, the Sarbanes-Oxley Act of 2002, as amended, or Sarbanes-Oxley Act, as well as rules subsequently adopted by the SEC and The Nasdaq Global Market to implement provisions of the Sarbanes-Oxley Act, impose significant requirements on public companies, including requiring establishment and maintenance of effective disclosure and financial controls and changes in corporate governance practices. Further, in July 2010, the Dodd-Frank Wall Street Reform and Consumer Protection Act, or the Dodd-Frank Act, was enacted.

61


 

There are significant corporate governance and executive compensation related provisions in the Dodd-Frank Act that require the SEC to adopt additional rules and regulations in these areas, such as “say on pay” and proxy access. We were required to implement these requirements beginning in 2022 and incurred unexpected expenses in connection with such implementation. Stockholder activism, the current political environment and the current high level of government intervention and regulatory reform may lead to substantial new regulations and disclosure obligations, which may lead to additional compliance costs and impact the manner in which we operate our business in ways we cannot currently anticipate.

The rules and regulations applicable to public companies substantially increase our legal and financial compliance costs and make some activities more time-consuming and costly. If these requirements divert the attention of our management and personnel from other business concerns, they could have a material adverse effect on our business, financial condition and results of operations. The increased costs will decrease our net income or increase our net loss and may require us to reduce costs in other areas of our business. For example, we expect these rules and regulations to make it more difficult and more expensive for us to obtain director and officer liability insurance and we may be required to incur substantial costs to maintain the same or similar coverage. We cannot predict or estimate the amount or timing of additional costs we may incur to respond to these requirements. The impact of these requirements could also make it more difficult for us to attract and retain qualified persons to serve on our board of directors, our board committees or as executive officers.

Adverse developments affecting the financial services industry, such as actual events or concerns involving liquidity, defaults, or non-performance by financial institutions or transactional counterparties, could adversely affect our current and projected business operations and our financial condition and results of operations.

Actual events involving limited liquidity, defaults, non-performance or other adverse developments that affect financial institutions, transactional counterparties or other companies in the financial services industry or the financial services industry generally, or concerns or rumors about any events of these kinds or other similar risks, have in the past and may in the future lead to market-wide liquidity problems. For example, on March 10, 2023, Silicon Valley Bank, or SVB, was closed by the California Department of Financial Protection and Innovation, which appointed the Federal Deposit Insurance Corporation, or FDIC, as receiver. Since that date, SVB has announced they have been acquired by First Citizens Bank and have resumed mostly normal operations. Similarly, on March 12, 2023, Signature Bank and Silvergate Capital Corp. were each swept into receivership. Since then, additional financial institutions have experienced similar failures and have been placed into receivership. In addition, if any of our customers, suppliers or other parties with whom we conduct business are unable to access funds pursuant to such instruments or lending arrangements with such a financial institution, such parties’ ability to pay their obligations to us or to enter into new commercial arrangements requiring additional payments to us could be adversely affected. In this regard, counterparties to SVB credit agreements and arrangements, and third parties such as beneficiaries of letters of credit (among others), may experience direct impacts from the closure of SVB and uncertainty remains over liquidity concerns in the broader financial services industry. Similar impacts have occurred in the past, such as during the 2008-2010 financial crisis.

Inflation and rapid increases in interest rates have led to a decline in the trading value of previously issued government securities with interest rates below current market interest rates. Although the U.S. Department of Treasury, FDIC and Federal Reserve Board have announced a program to provide up to $25 billion of loans to financial institutions secured by certain of such government securities held by financial institutions to mitigate the risk of potential losses on the sale of such instruments, widespread demands for customer withdrawals or other liquidity needs of financial institutions for immediately liquidity may exceed the capacity of such program. Additionally, there is no guarantee that the U.S. Department of Treasury, FDIC and Federal Reserve Board will provide access to uninsured funds in the future in the event of the closure of other banks or financial institutions, or that they would do so in a timely fashion.

Although we assess our banking and customer relationships as we believe necessary or appropriate, our access to funding sources and other credit arrangements in amounts adequate to finance or capitalize our current and projected future business operations could be significantly impaired by factors that affect us, the financial institutions with whom we have credit agreements or arrangements directly, or the financial services industry or economy in general. These factors could include, among others, events such as liquidity constraints or failures, the ability to perform obligations under various types of financial, credit or liquidity agreements or arrangements, disruptions or instability in the financial services industry or financial markets, or concerns or negative expectations about the prospects for companies in the financial services industry. These factors could involve financial institutions or financial services industry companies with which we have financial or business relationships, but could also include factors involving financial markets or the financial services industry generally.

The results of events or concerns that involve one or more of these factors could include a variety of material and adverse impacts on our current and projected business operations and our financial condition and results of operations. These could include, but may not be limited to, the following:

62


 

Delayed access to deposits or other financial assets or the uninsured loss of deposits or other financial assets;
Delayed or lost access to working capital sources and/or delays, inability or reductions in our ability to enter into new credit facilities or other working capital resources;
Potential or actual breach of contractual obligations that require us to maintain letters of credit or other credit support arrangements;
Potential or actual breach of financial covenants in any credit agreements or credit arrangements; or
Potential or actual cross-defaults in other credit agreements, credit arrangements or operating or financing agreements.

In addition, investor concerns regarding the U.S. or international financial systems could result in less favorable commercial financing terms, including higher interest rates or costs and tighter financial and operating covenants, or systemic limitations on access to credit and liquidity sources, thereby making it more difficult for us to acquire financing on acceptable terms or at all. Any decline in available funding or access to our cash and liquidity resources could, among other risks, adversely impact our ability to meet our operating expenses, financial obligations or fulfill our other obligations, result in breaches of our financial and/or contractual obligations or result in violations of federal or state wage and hour laws. Any of these impacts, or any other impacts resulting from the factors described above or other related or similar factors not described above, could have material adverse impacts on our liquidity and our current and/or projected business operations and financial condition and results of operations.

In addition, any further deterioration in the macroeconomic economy or financial services industry could lead to losses or defaults by our customers or suppliers, which in turn, could have a material adverse effect on our current and/or projected business operations and results of operations and financial condition. For example, a supplier may determine that it will no longer deal with us as a customer. In addition, a supplier could be adversely affected by any of the liquidity or other risks that are described above as factors that could result in material adverse impacts on us, including but not limited to delayed access or loss of access to uninsured deposits or loss of the ability to draw on existing credit facilities involving a troubled or failed financial institution. Any supplier bankruptcy or insolvency, or any breach or default by a supplier, or the loss of any significant supplier relationships, could result in material losses to us and may have a material adverse impact on our business.

Risks Related to Drug Development and Regulatory Approval

Risks Related to Preclinical and Clinical Development

We are very early in our development efforts and our IRAK4, STAT3 and MDM2 programs are in early clinical development. If we are unable to advance them through the clinic for safety or effective reasons or commercialize our product candidates or experience significant delays in doing so, our business will be materially harmed.

Our ability to become profitable depends upon our ability to generate revenue. To date, while we have generated collaboration revenue, we have not generated any revenue from our product candidates, and we do not expect to generate any revenue from the sale of drugs in the near future. We do not expect to generate revenue from product sales unless and until we complete the development of, obtain marketing approval for, and begin to sell, one or more of our product candidates. We are also unable to predict when, if ever, we will be able to generate revenue from such product candidates due to the numerous risks and uncertainties associated with drug development, including the uncertainty of:

the results of ongoing or planned clinical trials of our product candidates;
the results of preclinical studies and timing of IND clearances of future product candidates, and/or clinical trial costs for current and future product candidates;
our successful initiation, enrollment of and completion of clinical trials for current and future product candidates, including our ability to generate positive data from any such clinical trials;
our ability to receive regulatory approvals from applicable regulatory authorities;
the initiation and successful completion of all safety studies required to obtain U.S. and foreign marketing approval for our product candidates;
the costs associated with the development of any additional development programs we identify in-house or acquire through collaborations or other arrangements;

63


 

our ability to establish and maintain manufacturing capabilities or make arrangements with third-party manufacturers for clinical supply and commercial manufacturing;
obtaining and maintaining patent and trade secret protection or regulatory exclusivity for our product candidates;
launching commercial sales of our product candidates, if and when approved, whether alone or in collaboration with others;
obtaining and maintaining acceptance of our product candidates, if and when approved, by patients, the medical community and third-party payors;
effectively competing with other therapies;


 

obtaining and maintaining healthcare coverage and adequate reimbursement;
the success of our existing collaborations as well as the terms and timing of any additional collaboration, license or other arrangement, including the terms and timing of any payments thereunder;
our ability to enforce and defend intellectual property rights and claims; and
our ability to maintain a continued acceptable safety profile of our product candidates following approval.

We expect to incur significant sales and marketing costs as we prepare to commercialize our current or future product candidates. Even if we initiate and successfully complete pivotal or registration-enabling clinical trials of our current or future product candidates, and our current or future product candidates are approved for commercial sale, and despite expending these costs, our current or future product candidates may not be commercially successful. We may not achieve profitability soon after generating drug sales, if ever. If we are unable to generate revenue, we will not become profitable and may be unable to continue operations without continued funding.

Our approach to the discovery and development of product candidates based on our Pegasus platform is novel and unproven, which makes it difficult to predict the time, cost of development and likelihood of successfully developing any products.

Our PegasusTM platform utilizes a method known as targeted protein degradation, or TPD, to discover and develop product candidates. Our future success depends on the successful development of this novel therapeutic approach. No product candidate using a heterobifunctional degrader has been approved in the United States or Europe, and the data underlying the feasibility of developing such therapeutic products is both preliminary and limited. In addition, we have not yet succeeded and may not succeed in demonstrating the efficacy and safety of any of our product candidates in clinical trials or in obtaining marketing approval thereafter. In particular, our ability to successfully achieve TPD with a therapeutic result requires the successful development of heterobifunctional molecules that were intentionally designed with a rational drug development process and developing those molecules with the right combination of protein targets and E3 ligases. This is a complex process requiring a number of component parts or biological mechanisms to work in unison to achieve the desired effect. We cannot be certain that we will be able to discover degraders by matching the right target with the ideal E3 ligase and the right linker in a timely manner, or at all. All of our product candidates are in preclinical or early clinical development. As such, there may be adverse effects from treatment with any of our current or future product candidates that we cannot predict at this time.

As a result of these factors, it is more difficult for us to predict the time and cost of product candidate development, and we cannot predict whether the application of our PegasusTM platform, or any similar or competitive platforms, will result in the development and marketing approval of any products. Any development problems we experience in the future related to our PegasusTM platform or any of our research programs may cause significant delays or unanticipated costs or may prevent the development of a commercially viable product. Any of these factors may prevent us from completing our preclinical studies and clinical trials or commercializing any product candidates we may develop on a timely or profitable basis, if at all.

 

64


 

We may not be successful in our efforts to identify or discover additional product candidates or we may expend our limited resources to pursue a particular product candidate or indication and fail to capitalize on product candidates or indications that may be more profitable or for which there is a greater likelihood of success.

A key element of our strategy is to apply our PegasusTM platform and product pipeline to address a broad array of targets and new therapeutic areas. The therapeutic discovery activities that we are conducting may not be successful in identifying product candidates that are useful in treating oncology, inflammation, immunology or genetic diseases. Our research programs may be unsuccessful in identifying potential product candidates, or our potential product candidates may be shown to have harmful side effects or may have other characteristics that may make the products unmarketable or unlikely to receive marketing approval.

Because we have limited financial and management resources, we focus on a limited number of research programs and product candidates. We are currently focused on our immunology portfolio, consisting of IRAK4, STAT6 and TYK2 programs, which target key signaling pathways implicated in multiple inflammatory and autoimmune diseases, as well as our oncology portfolio, consisting of our STAT3 and MDM2 programs, which target numerous cancers. In some instances, we may decide to discontinue our investment in programs. For example, in November 2023, we announced the decision to discontinue the development of our KT-413 (IRAKIMID) program in order to focus resources to support our growing immunology pipeline. As a result, we may forego or delay pursuit of opportunities with other current or future product candidates or for other indications that later prove to have greater commercial potential. Our resource allocation decisions may cause us to fail to capitalize on viable commercial drugs or profitable market opportunities. Our spending on current and future research and development programs and current or future product candidates for specific indications may not yield any commercially viable drugs. If we do not accurately evaluate the commercial potential or target market for a particular product candidate, we may relinquish valuable rights to that product candidate through future collaboration, licensing or other royalty arrangements in cases in which it would have been more advantageous for us to retain sole development and commercialization rights to such product candidate.


 

We depend heavily on the successful development of our lead programs. We cannot be certain that we will be able to obtain regulatory approval for, or successfully commercialize, any of our current or future product candidates.

We currently have no product candidates approved for sale and may never be able to develop marketable product candidates. Our business depends heavily on the successful development, regulatory approval and commercialization of our current or future product candidates. The preclinical studies and clinical trials of our current or future product candidates are, and the manufacturing and marketing of our current or future product candidates will be, subject to extensive and rigorous review and regulation by numerous government authorities in the U.S. and in other countries where we intend to test or, if approved, market any of our current or future product candidates. Before obtaining regulatory approvals for the commercial sale of any of our current or future product candidates, we must demonstrate through preclinical studies and clinical trials that each product candidate is safe and effective for use in each target indication. Drug development is a long, expensive and uncertain process, and delay or failure can occur at any stage of any of our preclinical studies and clinical trials. This process can take many years and may include post-marketing studies and surveillance, which will require the expenditure of substantial resources. Of the large number of drugs in development in the U.S., only a small percentage will successfully complete the FDA regulatory approval process and will be commercialized, with similarly low rates of success for drugs in development in the European Union obtaining regulatory approval from the European Commission following scientific evaluation by the European Medicines Agency, or EMA. Accordingly, even if we are able to obtain the requisite financing to continue to fund our development and preclinical studies and clinical trials, we cannot assure you that any of our current or future product candidates will be successfully developed or commercialized. For example, in December 2020, we submitted an IND application for KT-474 to initiate a first-in-human Phase 1 randomized, double-blind, placebo-controlled clinical trial in healthy volunteers and patients with HS or AD. The program was initially placed on partial clinical hold regarding the multiple ascending dose, or MAD) portion of the Phase 1 trial, pending FDA review of the interim data in healthy volunteers from the SAD portion of the trial. In June 2021, the FDA lifted the partial clinical hold on the MAD portion of the Phase 1 trial of KT-474 following review of interim SAD results, and the Phase 1 trial has since been completed.

We are not permitted to market our current or future product candidates in the U.S. until we receive approval of a New Drug Application, or an NDA, from the FDA, in the European Union, or EU, until we receive approval of a marketing authorization application, or an MAA, from the European Commission following scientific evaluation by the EMA, or in any other foreign countries until we receive the requisite approval from such countries. Obtaining approval of an NDA or MAA is a complex, lengthy, expensive and uncertain process, and the FDA or EMA may delay, limit or deny approval of any of our current or future product candidates for many reasons, including, among others:

65


 

we may not be able to demonstrate that our current or future product candidates are safe and effective in treating their target indications to the satisfaction of the FDA or applicable foreign regulatory agency;
the results of our preclinical studies and clinical trials may not meet the level of statistical or clinical significance required by the FDA or applicable foreign regulatory agency for marketing approval;
the FDA or applicable foreign regulatory agency may disagree with the number, design, size, conduct or implementation of our preclinical studies and clinical trials;
the FDA or applicable foreign regulatory agency may require that we conduct additional preclinical studies and clinical trials;
the FDA or applicable foreign regulatory agency may not approve the formulation, labeling or specifications of any of our current or future product candidates;
the contract research organizations, or CROs, that we retain to conduct our preclinical studies and clinical trials may take actions outside of our control that materially adversely impact our preclinical studies and clinical trials;
the FDA or applicable foreign regulatory agency may find the data from preclinical studies and clinical trials insufficient to demonstrate that our current or future product candidates’ clinical and other benefits outweigh their safety risks;
the FDA or applicable foreign regulatory agency may disagree with our interpretation of data from our preclinical studies and clinical trials;
the FDA or applicable foreign regulatory agency may not accept data generated at our preclinical studies and clinical trial sites;


 

if our NDA, if and when submitted, is reviewed by an advisory committee, the FDA may have difficulties scheduling an advisory committee meeting in a timely manner or the advisory committee may recommend against approval of our application or may recommend that the FDA require, as a condition of approval, additional preclinical studies or clinical trials, limitations on approved labeling or distribution and use restrictions;
the FDA may require development of a Risk Evaluation and Mitigation Strategy, or REMS, as a condition of approval or post-approval;
the FDA or the applicable foreign regulatory agency may determine that the manufacturing processes or facilities of third-party manufacturers with which we contract do not conform to applicable requirements, including current Good Manufacturing Practices, or cGMPs;
the FDA or applicable foreign regulatory agency may be delayed in its review processes due to staffing or other constraints; or
the FDA or applicable foreign regulatory agency may change its approval policies or adopt new regulations.

Any of these factors, many of which are beyond our control, could jeopardize our ability to obtain regulatory approval for and successfully market our current or future product candidates. Any such setback in our pursuit of regulatory approval would have a material adverse effect on our business and prospects.

If we experience delays or difficulties in the initiation or enrollment of patients in clinical trials, our receipt of necessary regulatory approvals could be delayed or prevented.

There may be delays in trial initiation, and we may not be able to locate and enroll a sufficient number of eligible patients to participate in these trials as required by the FDA or similar regulatory authorities outside the U.S. Moreover, some of our competitors have ongoing clinical trials for current or future product candidates that treat the same patient populations as our current or future product candidates, and patients who would otherwise be eligible for our clinical trials may instead enroll in clinical trials of our competitors’ current or future product candidates.

 

Patient enrollment may be affected by other factors including:

the size and nature of the patient population;
competition with other companies for clinical sites or patients;
the willingness of participants to enroll in our clinical trials in our countries of interest;

66


 

the severity of the disease under investigation;
the eligibility criteria for the clinical trial in question;
the availability of an appropriate screening test for the indications we are pursuing;
the perceived risks and benefits of the product candidate under study;
the efforts to facilitate timely enrollment in and completion of clinical trials;
the patient referral practices of physicians;
the ability to monitor patients adequately during and after treatment;
the proximity and availability of clinical trial sites for prospective patients; and
factors we may not be able to control, such as potential pandemics that may limit subjects, principal investigators or staff or clinical site availability

Interim, “topline,” and preliminary data from our clinical trials that we announce or publish from time to time may change as more patient data become available and are subject to audit and verification procedures that could result in material changes in the final data.

From time to time, we may publicly disclose preliminary or topline data from our preclinical studies and clinical trials, which is based on a preliminary analysis of then-available data, and the results and related findings and conclusions are subject to change following a more comprehensive review of the data related to the particular study or trial. For example, in December 2023, we announced positive interim results from our Phase 1 trial of KT-333 and in November 2023, we announced positive interim results from our Phase 1a trial of KT-253. However, there can be no assurance that the final topline data from either trial will be consistent with such results or otherwise viewed as positive. We also make assumptions, estimations, calculations and conclusions as part of our analyses of data, and we may not have received or had the opportunity to fully and carefully evaluate all data. As a result, the topline or preliminary results that we report may differ from future results of the same studies, or different conclusions or considerations may qualify such results, once additional data have been received and fully evaluated. Topline data also remain subject to audit and verification procedures that may result in the final data being materially different from the preliminary data we previously published. As a result, topline data should be viewed with caution until the final data are available. From time to time, we may also disclose interim data from our clinical trials. Interim data from clinical trials that we may complete, including data from of our clinical trials, are subject to the risk that one or more of the clinical outcomes may materially change as patient enrollment continues and more patient data become available or as patients from our clinical trials continue other treatments for their diseases. Adverse differences between preliminary or interim data and final data could significantly harm our business prospects. Further, disclosure of interim data by us or by our competitors could result in volatility in the price of our common stock.

Further, others, including regulatory agencies, may not accept or agree with our assumptions, estimates, calculations, conclusions or analyses or may interpret or weigh the importance of data differently, which could impact the value of the particular program, the approvability or commercialization of the particular product candidate or product and our company in general. In addition, the information we choose to publicly disclose regarding a particular study or clinical trial, is based on what is typically extensive information, and you or others may not agree with what we determine is material or otherwise appropriate information to include in our disclosure.

If the interim, topline, or preliminary data that we report differ from actual results, or if others, including regulatory authorities, disagree with the conclusions reached, our ability to obtain approval for, and commercialize, our product candidates may be harmed, which could harm our business, results of operations, prospects or financial condition.

Positive results from early preclinical studies and clinical trials of our current or future product candidates are not necessarily predictive of the results of later preclinical studies and clinical trials of our current or future product candidates. If we cannot replicate the positive results from our preclinical studies of our current or future product candidates in our future clinical trials, we may be unable to successfully develop, obtain regulatory approval for and commercialize our current or future product candidates.

Positive results from our preclinical studies of our current or future product candidates, and any positive results we may obtain from our early clinical trials of our current or future product candidates, including the ongoing clinical trials of KT-474, KT-333 and KT-253 may not necessarily be predictive of the results from required later preclinical studies and clinical trials. Similarly, even if we are able to complete our planned preclinical studies or clinical trials of our current or future product

67


 

candidates according to our current development timeline, the positive results from such preclinical studies and/or clinical trials of our current or future product candidates, including KT-474, KT-621, KT-294, KT-333 and KT-253, may not be replicated in subsequent preclinical studies or clinical trials. In particular, while we have conducted certain preclinical studies of KT-621 and KT-294, we do not know whether either of these product candidates will perform in our planned clinical trials as it has performed in these prior preclinical studies. For example, in preclinical studies, (i) KT-621 demonstrated full inhibition of IL-4/IL-13 pathway in all relevant human cell contexts with picomolar potency that was superior to dupilumab, and equivalent or superior activity to dupilumab, and (ii) KT-294 demonstrated picomolar to nanomolar potencies across all relevant human cell types evaluated. However, there is no guarantee these preclinical results will be replicated in clinical trials. Many companies in the pharmaceutical and biotechnology industries have suffered significant setbacks in late-stage clinical trials after achieving positive results in early-stage development, and we cannot be certain that we will not face similar setbacks. These setbacks have been caused by, among other things, preclinical findings made while clinical trials were underway or safety or efficacy observations made in preclinical studies and clinical trials, including previously unreported adverse events. Moreover, preclinical and clinical data are often susceptible to varying interpretations and analyses, and many companies that believed their product candidates performed satisfactorily in preclinical studies and clinical trials nonetheless failed to obtain approval from the FDA or comparable foreign regulatory authority. If we fail to produce positive results in our planned preclinical studies or clinical trials of any of our current or future product candidates, the development timeline and regulatory approval and commercialization prospects for our current or future product candidates, and, correspondingly, our business and financial prospects, would be materially adversely affected.

Additionally, our planned or future clinical trials may utilize an “open-label” trial design, such as the open-label patient portion of our Phase 1 clinical trials of KT-474, KT-333 and KT-253. An “open-label” clinical trial is one where both the patient and investigator know whether the patient is receiving the investigational product candidate or either an existing approved drug or placebo. Most typically, open-label clinical trials test only the investigational product candidate and sometimes may do so at different dose levels. Open-label clinical trials are subject to various limitations that may exaggerate any therapeutic effect as patients in open-label clinical trials are aware when they are receiving treatment. Open-label clinical trials may be subject to a “patient bias” where patients perceive their symptoms to have improved merely due to their awareness of receiving an experimental treatment. In addition, open-label clinical trials may be subject to an “investigator bias” where those assessing and reviewing the physiological outcomes of the clinical trials are aware of which patients have received treatment and may interpret the information of the treated group more favorably given this knowledge. The results from an open-label trial, including our Phase 1 trials of KT-474, KT-333 and KT-253, may not be predictive of future clinical trial results with any of our product candidates for which we include an open-label clinical trial when studied in a controlled environment with a placebo or active control.

The incidence and prevalence for target patient populations of our product candidates have not been established with precision. If the market opportunities for our product candidates are smaller than we estimate or if any approval that we obtain is based on a narrower definition of the patient population, our revenue and ability to achieve profitability will be adversely affected, possibly materially.

The precise incidence and prevalence for the indications being pursued by our current and future product candidates are currently unknown. Our projections of both the number of people who have these diseases, as well as the subset of people with these diseases who have the potential to benefit from treatment with our product candidates, are based on estimates. We are developing KT-474 for the treatment of a broad set of immunology-inflammation diseases, such as HS, an inflammatory skin disease, AD, and rheumatoid arthritis. The total addressable market opportunity for our product candidates will ultimately depend upon, among other things, their proven safety and efficacy, the diagnosis criteria included in the final label for each, whether our product candidates are approved for sale for these indications, acceptance by the medical community and patient access, product pricing and reimbursement. The number of patients for our product candidates in the United States and elsewhere may turn out to be lower than expected, patients may not be otherwise amenable to treatment with our products, or new patients may become increasingly difficult to identify or gain access to, all of which would adversely affect our results of operations and our business.

A pandemic, epidemic, or outbreak of an infectious disease may materially and adversely affect our business and our financial results and could cause a disruption to the development of our product candidate.

Public health crises such as pandemics or similar outbreaks could adversely impact our business. For example, in December 2019, a novel strain of a virus named SARS-CoV-2 (severe acute respiratory syndrome coronavirus 2), or coronavirus, which causes COVID-19, surfaced in Wuhan, China and has since spread worldwide, including to Eastern Massachusetts where our primary office and laboratory space is located. The pandemic and policies and regulations implemented by governments in response to the pandemic, most of which have been lifted, have had a significant impact, both direct and indirect, on businesses and commerce. The coronavirus pandemic has evolved considerably, and led to the

68


 

implementation of various responses, including government-imposed quarantines, travel restrictions and other public health safety measures which now have been lifted. The extent to which any future pandemic impacts our operations or those of our third-party partners, including our preclinical studies or clinical trial operations, will also depend on future developments, which are highly uncertain and cannot be predicted with confidence, including the duration of the outbreak, new information that will emerge concerning the severity of disease and the actions to contain the disease or treat its impact, among others. For example, similar to other biopharmaceutical companies, we may experience delays in enrolling subjects in our clinical trials. Infectious diseases may also affect employees of third-party CROs located in affected geographies that we rely upon to carry out our clinical trials. In addition, the patient populations that our lead and other core product candidates target may be particularly susceptible to infectious diseases or its variants, which may make it more difficult for us to identify patients able to enroll in our clinical trials and may impact the ability of enrolled patients to complete any such trials. Any negative impact that any future infectious disease spread has to patient enrollment or treatment, or the execution of our product candidates could cause costly delays to clinical trial activities, which could adversely affect our ability to obtain regulatory approval for and to commercialize our product candidates, increase our operating expenses, and have a material adverse effect on our financial results.

Additionally, timely enrollment in clinical trials is dependent upon clinical trial sites which will be adversely affected by global health matters, such as pandemics. Some factors from any public health crisis that may delay or otherwise adversely affect enrollment in the clinical trials of our product candidates, as well as our business generally, include:

the potential diversion of healthcare resources away from the conduct of clinical trials to focus on pandemic concerns, including the attention of physicians serving as our clinical trial investigators, hospitals serving as our clinical trial sites and hospital staff supporting the conduct of our prospective clinical trials;
limitations on travel that could interrupt key trial and business activities, such as clinical trial site initiations and monitoring, domestic and international travel by employees, contractors or patients to clinical trial sites, including any government-imposed travel restrictions or quarantines that will impact the ability or willingness of patients, employees or contractors to travel to our clinical trial sites or secure visas or entry permissions, a loss of face-to-face meetings and other interactions with potential partners, any of which could delay or adversely impact the conduct or progress of our clinical trials;
the potential negative affect on the operations of our third-party manufacturers and the supply chain for our product candidates. For example, in February 2020, one of our vendors for active pharmaceutical ingredient, or API, starting materials based in Wuhan, China ceased its operations for several weeks due to the COVID-19 pandemic, which caused a minor delay in the delivery of API starting materials to a separate vendor who manufactures API;
interruptions in global shipping affecting the transport of clinical trial materials, such as patient samples, investigational drug product and conditioning drugs and other supplies used in our current and prospective clinical trials; and
business disruptions caused by potential workplace, laboratory and office closures and an increased reliance on employees working from home, disruptions to or delays in ongoing laboratory experiments and operations, staffing shortages, travel limitations or mass transit disruptions, any of which could adversely impact our business operations or delay necessary interactions with local regulators, ethics committees and other important agencies and contractors.

We cannot presently predict the scope and severity of additional planned and potential shutdowns or disruptions of businesses and government agencies, such as the SEC or FDA. Any of these factors, and other factors related to any such disruptions that are unforeseen, could have a material adverse effect on our business and our results of operations and financial condition. Further, uncertainty around these and related issues could lead to adverse effects on the economy of the United States and other economies, which could impact our ability to raise the necessary capital needed to develop and commercialize our product candidates. Other global health concerns could also result in social, economic, and labor instability in the countries in which we or the third parties with whom we engage operate.

 

69


 

Our current or future product candidates may cause adverse or other undesirable side effects that could delay or prevent their regulatory approval, limit the commercial profile of an approved label, or result in significant negative consequences following marketing approval, if any.

All of our product candidates are in preclinical or early clinical development, and there may be adverse effects from treatment with any of our current or future product candidates that we cannot predict at this time. Undesirable side effects caused by our current or future product candidates could cause us to interrupt, delay or halt preclinical studies or could cause us or regulatory authorities to interrupt, delay or halt clinical trials and could result in a more restrictive label or the delay or denial of regulatory approval by the FDA or other regulatory authorities. As is the case with many treatments for inflammatory and autoimmune diseases, cancer or other diseases, it is likely that there may be adverse side effects associated with the use of our product candidates. Additionally, a potential risk in any protein degradation product is that healthy proteins or proteins not targeted for degradation will be degraded or that the degradation of the targeted protein in itself could cause adverse events, undesirable side effects, or unexpected characteristics. It is possible that healthy proteins or proteins not targeted for degradation could be degraded using our degrader molecules in any of our current or future clinical studies. There is also the potential risk of delayed adverse events following treatment using any of our current or future product candidates.

These side effects could arise due to off-target activity, allergic reactions in trial subjects, or unwanted on-target effects in the body. Results of our clinical trials could reveal a high and unacceptable severity and prevalence of these or other side effects. In such an event, our trials could be suspended or terminated and the FDA or comparable foreign regulatory authorities could order us to cease further development of or deny approval of our current or future product candidates for any or all targeted indications. The drug-related side effects could affect patient recruitment or the ability of enrolled patients to complete the trial or result in potential product liability claims. Any of these occurrences may harm our business, financial condition and prospects significantly.

Further, our current or future product candidates could cause undesirable side effects in clinical trials related to on-target toxicity. If on-target toxicity is observed, or if our current or future product candidates have characteristics that are unexpected, we may need to abandon their development or limit development to more narrow uses or subpopulations in which the undesirable side effects or other characteristics are less prevalent, less severe or more acceptable from a risk-benefit perspective. Many compounds that initially showed promise in early-stage testing for treating cancer or other diseases have later been found to cause side effects that prevented further development of the compound.

Further, clinical trials by their nature utilize a sample of the potential patient population. With a limited number of patients and limited duration of exposure, rare and severe side effects of our current or future product candidates may only be uncovered with a significantly larger number of patients exposed to the product candidate. If our current or future product candidates receive marketing approval and we or others identify undesirable side effects caused by such current or future product candidates after such approval, a number of potentially significant negative consequences could result, including:

regulatory authorities may withdraw or limit their approval of such current or future product candidates;
regulatory authorities may require the addition of labeling statements, such as a “boxed” warning or a contraindication;
we may be required to create a medication guide outlining the risks of such side effects for distribution to patients;
we may be required to change the way such current or future product candidates are distributed or administered, conduct additional clinical trials or change the labeling of the current or future product candidates;
regulatory authorities may require a REMS plan to mitigate risks, which could include medication guides, physician communication plans, or elements to assure safe use, such as restricted distribution methods, patient registries and other risk minimization tools;
we may be subject to regulatory investigations and government enforcement actions;
we may decide to remove such current or future product candidates from the marketplace;
we could be sued and held liable for injury caused to individuals exposed to or taking our current or future product candidates; and
our reputation may suffer.

We believe that any of these events could prevent us from achieving or maintaining market acceptance of the affected product candidates and could substantially increase the costs of commercializing our current or future product candidates, if

70


 

approved, and significantly impact our ability to successfully commercialize our current or future product candidates and generate revenues.

Manufacturing our current or future product candidates is complex and we may encounter difficulties in production. If we encounter such difficulties, our ability to provide supply of our current or future product candidates for preclinical studies and clinical trials or for commercial purposes could be delayed or stopped.

The process of manufacturing our current or future product candidates is complex and highly regulated. We do not have our own manufacturing facilities or personnel and currently rely, and expect to continue to rely, on third parties for the manufacture of our current or future product candidates. These third-party contract manufacturing organizations, or CMOs, may not be able to provide adequate resources or capacity to meet our needs and may incorporate their own proprietary processes into our product candidate manufacturing processes. We have limited control and oversight of a third party’s proprietary process, and a third party may elect to modify its process without our consent or knowledge. These modifications, such as any impacting the product formulation, could negatively impact our manufacturing, including by resulting in product loss or failure that requires additional manufacturing runs or a change in manufacturer, either of which could significantly increase the cost of and significantly delay the manufacture of our current or future product candidates. Changes in manufacturers often involve changes in manufacturing procedures and processes, which could require that we conduct bridging studies between our prior clinical supply used in our clinical trials and that of any new manufacturer. We may be unsuccessful in demonstrating the comparability of clinical supplies which could require the conduct of additional clinical trials.

Legislative proposals are pending that, if enacted, could negatively impact U.S. funding for certain biotechnology providers having relationships with foreign adversaries or which pose a threat to national security. The potential downstream adverse impacts on entities having only commercial relationships with any impacted biotechnology providers is unknown but may include supply chain disruptions or delays.

If any CMO with whom we contract fails to perform its obligations, we may be forced to enter into an agreement with a different CMO, which we may not be able to do on reasonable terms, if at all. This could significantly delay our clinical trials supply as we establish alternative supply sources. In some cases, the technical skills required to manufacture our product candidates or products, if approved, may be unique or proprietary to the original CMO and we may have difficulty, or there may be contractual restrictions prohibiting us from, transferring such skills to a back-up or alternate supplier, or we may be unable to transfer such skills at all. In addition, if we are required to change CMOs for any reason, we will be required to verify that the new CMO maintains facilities and procedures that comply with quality standards and with all applicable regulations. We will also need to verify, such as through a manufacturing comparability study, that any new manufacturing process will produce our product candidate according to the specifications previously submitted to the FDA or another regulatory authority. The delays associated with the verification of a new CMO could negatively affect our ability to develop product candidates or commercialize our products in a timely manner or within budget. Furthermore, a CMO may possess technology related to the manufacture of our product candidate that such CMO owns independently. This would increase our reliance on such CMO or require us to obtain a license from such CMO in order to have another CMO manufacture our product candidates. In addition, as our current or future product candidates progress through preclinical studies and clinical trials towards potential approval and commercialization, it is expected that various aspects of the manufacturing process will be altered in an effort to optimize processes and results. Such changes may require amendments to be made to regulatory applications which may further delay the timeframes under which modified manufacturing processes can be used for any of our current or future product candidates and additional bridging studies or trials may be required between our prior clinical supply used in our clinical trials and that of any new manufacturer. We may be unsuccessful in demonstrating the comparability of clinical supplies which could require the conduct of additional clinical trials. Any such delay could have a material adverse impact on our business, results of operations and prospects.

Risks Related to Regulatory Approval

If we are not able to obtain, or if there are delays in obtaining, required regulatory approvals for our current or future product candidates, we will not be able to commercialize, or will be delayed in commercializing, our current or future product candidates, and our ability to generate revenue will be materially impaired.

Our current or future product candidates and the activities associated with their development and commercialization, including their design, testing, manufacture, safety, efficacy, recordkeeping, labeling, storage, approval, advertising, promotion, sale, distribution, import, and export, are subject to comprehensive regulation by the FDA and other regulatory agencies in the U.S. and by comparable authorities in other countries. Before we can commercialize any of our current and future product candidates, we must obtain marketing approval from the regulatory authorities in the relevant jurisdictions. We have not received approval to market any of our current product candidates from regulatory authorities in any jurisdiction, and

71


 

it is possible that none of our current product candidates, nor any product candidates we may seek to develop in the future, will ever obtain regulatory approval. As a company, we have only limited experience in filing and supporting the applications necessary to gain regulatory approvals and expect to rely on third-party CROs and/or regulatory consultants to assist us in this process. Securing regulatory approval requires the submission of extensive preclinical and clinical data and supporting information to the various regulatory authorities for each therapeutic indication to establish the product candidate’s safety and efficacy. Securing regulatory approval also requires the submission of information about the drug manufacturing process to, and inspection of manufacturing facilities and often clinical sites by, the relevant regulatory authority. Our current or future product candidates may not be effective, may be only moderately effective or may prove to have undesirable or unintended side effects, toxicities or other characteristics that may preclude our obtaining marketing approval or prevent or limit commercial use.

The process of obtaining regulatory approvals, both in the U.S. and abroad, is expensive, may take many years if additional clinical trials are required, if approval is obtained at all, and can vary substantially based upon a variety of factors, including the type, complexity and novelty of the product candidates involved. Changes in marketing approval policies during the development period, changes in or the enactment of additional statutes or regulations, or changes in regulatory review for each submitted NDA or equivalent application type outside the U.S., may cause delays in the approval or rejection of an application. The FDA and comparable authorities in other countries have substantial discretion in the approval process and may refuse to accept any application or may decide that our data are insufficient for approval and require additional preclinical, clinical or other studies. Our current or future product candidates could be delayed in receiving, or fail to receive, regulatory approval for many reasons, including the following:

the FDA or comparable foreign regulatory authorities may disagree with the design or implementation of our clinical trials;
we may be unable to demonstrate to the satisfaction of the FDA or comparable foreign regulatory authorities that a product candidate is safe and effective for its proposed indication;
the results of clinical trials may not meet the level of statistical significance required by the FDA or comparable foreign regulatory authorities for approval;
we may be unable to demonstrate that a product candidate’s clinical and other benefits outweigh its safety risks;
the FDA or comparable foreign regulatory authorities may disagree with our interpretation of data from preclinical studies or clinical trials;
the data collected from clinical trials of our current or future product candidates may not be sufficient to support the submission of an NDA or other submission or to obtain regulatory approval in the U.S. or elsewhere;
the FDA or comparable foreign regulatory authorities may find deficiencies with or fail to approve the manufacturing processes or facilities of third-party manufacturers with which we contract for clinical and commercial supplies; and
the approval policies or regulations of the FDA or comparable foreign regulatory authorities may significantly change in a manner rendering our clinical data insufficient for approval.

Even if we were to obtain approval, regulatory authorities may approve any of our current or future product candidates for fewer or more limited indications than we request, may not approve the price we intend to charge for our drugs, may grant approval contingent on the performance of costly post-marketing clinical trials, or may approve a product candidate with a label that does not include the labeling claims necessary or desirable for the successful commercialization of that product candidate. Any of the foregoing scenarios could materially harm the commercial prospects for our current or future product candidates.

If we experience delays in obtaining approval or if we fail to obtain approval of our current or future product candidates, the commercial prospects for our current or future product candidates may be harmed and our ability to generate revenues will be materially impaired.

 

72


 

We may seek Breakthrough Therapy Designation and/or Fast Track Designation for any of our current or future product candidates. These designations, even if granted by the FDA, may not lead to a faster development, regulatory review or approval process, and such designations do not increase the likelihood that any of our product candidates will receive marketing approval in the United States.

We may seek a Breakthrough Therapy Designation for one or more of our current or future product candidates. A breakthrough therapy is defined as a drug that is intended, alone or in combination with one or more other drugs, to treat a serious or life-threatening disease or condition, and preliminary clinical evidence indicates that the drug may demonstrate substantial improvement over existing therapies on one or more clinically significant endpoints, such as substantial treatment effects observed early in clinical development. For drugs that have been designated as breakthrough therapies, interaction and communication between the FDA and the sponsor of the trial can help to identify the most efficient path for clinical development while minimizing the number of patients placed in ineffective control regimens. Drugs designated as breakthrough therapies by the FDA may also be eligible for priority review and accelerated approval. Designation as a breakthrough therapy is within the discretion of the FDA. Accordingly, even if we believe one of our current or future product candidates meets the criteria for designation as a breakthrough therapy, the FDA may disagree and instead determine not to make such designation. In any event, the receipt of a Breakthrough Therapy Designation for a current or future product candidate may not result in a faster development process, review or approval compared to therapies considered for approval under conventional FDA procedures and does not assure ultimate approval by the FDA. In addition, even if one or more of our current or future product candidates qualify as breakthrough therapies, the FDA may later decide that such product candidates no longer meet the conditions for qualification or decide that the time period for FDA review or approval will not be shortened.

We may seek Fast Track Designation for one or more of our current or future product candidates. In the third quarter of 2023, the U.S. Food and Drug Administration granted Fast Track designation to KT-333 for the treatment of both relapsed/refractory CTCL and relapsed/refractory PTCL. If a drug is intended for the treatment of a serious or life-threatening condition and the drug demonstrates the potential to address unmet medical needs for this condition, the drug sponsor may apply for Fast Track Designation. The FDA has broad discretion whether or not to grant this designation, so even if we believe a particular current or future product candidate is eligible for this designation, we cannot assure you that the FDA would decide to grant it. Even if we do receive Fast Track Designation for certain current or future product candidates, we may not experience a faster development process, review or approval compared to conventional FDA procedures. The FDA may withdraw Fast Track Designation if it believes that the designation is no longer supported by data from our clinical development program. Fast Track Designation alone does not guarantee qualification for the FDA’s priority review procedures.

We may seek approval of KT-474, KT-621, KT-294, KT-333, KT-253 or any other future product candidate, where applicable, under the FDA’s accelerated approval pathway. This pathway may not lead to a faster development or regulatory review or approval process and it does not increase the likelihood that our product candidates will receive marketing approval.

We may seek accelerated approval of KT-474, KT-621, KT-294, KT-333, KT-253 or future product candidates. A product may be eligible for accelerated approval if it treats a serious or life-threatening condition and generally provides a meaningful advantage over available therapies. In addition, it must demonstrate an effect on a surrogate endpoint that is reasonably likely to predict clinical benefit or on a clinical endpoint that can be measured earlier than irreversible morbidity or mortality, or IMM, that is reasonably likely to predict an effect on IMM or other clinical benefit. As a condition of accelerated approval, the FDA likely would require that we perform adequate and well-controlled post-marketing clinical trials, and under FDORA the FDA is now permitted to require, as appropriate, that such trials be underway prior to approval or within a specific time period after the date of approval for a product granted accelerated approval. FDORA also gives the FDA increased authority to withdraw approval of a drug or biologic granted accelerated approval on an expedited basis if the sponsor fails to conduct such studies in a timely manner, send the necessary updates to the FDA, or if such post-approval studies fail to verify the drug’s predicted clinical benefit. Under FDORA, the FDA is empowered to take action, such as issuing fines, against companies that fail to conduct with due diligence any post-approval confirmatory study or submit timely reports to the agency on their progress. In addition, the FDA currently requires, unless otherwise informed by the Agency, pre-approval of promotional materials for products receiving accelerated approval, which could adversely impact the timing of the commercial launch of the product. Thus, even if we seek to utilize the accelerated approval pathway, we may not be able to obtain accelerated approval and, even if we do, we may not experience a faster development, regulatory review or approval process for that product. In addition, receiving accelerated approval does not assure that the product’s accelerated approval will eventually be converted to a traditional approval.

 

73


 

We have obtained orphan drug designation for some of our product candidates. We may also seek Orphan Drug Designation for certain of our other current or future product candidates, and we may be unsuccessful or may be unable to maintain the benefits associated with Orphan Drug Designation, including the potential for market exclusivity.

The FDA has granted Orphan Drug Designation for KT-333 for the treatment of peripheral T cell lymphoma and cutaneous T cell lymphoma and for KT-253 for the treatment of acute myeloid leukemia. As part of our business strategy, we may also seek Orphan Drug Designation for certain indications of our other current or future product candidates, and we may be unsuccessful. Regulatory authorities in some jurisdictions, including the U.S. and Europe, may designate drugs for relatively small patient populations as orphan drugs. Under the Orphan Drug Act, the FDA may designate a drug as an orphan drug if it is a drug intended to treat a rare disease or condition, which is generally defined as a patient population of fewer than 200,000 individuals annually in the U.S., or a patient population greater than 200,000 in the U.S. where there is no reasonable expectation that the cost of developing the drug will be recovered from sales in the U.S. In the U.S., Orphan Drug Designation entitles a party to financial incentives such as opportunities for grant funding towards clinical trial costs, tax advantages and user-fee waivers.

Similarly, in the European Union, the European Commission, upon the recommendation of the EMA’s Committee for Orphan Medicinal Products, may grant orphan designation with respect products that are intended for the diagnosis, prevention or treatment of life-threatening or chronically debilitating conditions affecting not more than 5 in 10,000 persons in the European Union and for which no satisfactory method of diagnosis, prevention, or treatment has been authorized (or the product would be of significant benefit to those affected by the applicable condition). Additionally, designation may be granted for products intended for the diagnosis, prevention, or treatment of a life-threatening, seriously debilitating or serious and chronic condition when, without incentives, it is unlikely that sales of the product in the European Union would be sufficient to justify the necessary investment in developing the product. In the European Union, orphan designation entitles a party to financial incentives such as reduction of fees or fee waivers.

Generally, if a product with an Orphan Drug Designation subsequently receives the first marketing approval for the indication for which it has such designation, the product is entitled to a period of marketing exclusivity, which precludes the FDA or the EMA from approving another marketing application for the same product and indication for that time period, except in limited circumstances. The applicable period is seven years in the U.S. and ten years in the European Union. The exclusivity period in the European Union can be reduced to six years if at the end of the fifth year, it is established that a product no longer meets the criteria for Orphan Designation, including where it is shown that the product is sufficiently profitable so that market exclusivity is no longer justified. Orphan Drug exclusivity may be lost if the FDA or EMA determines that the request for designation was materially defective or if the manufacturer is unable to assure sufficient quantity of the drug to meet the needs of patients with the rare disease or condition.

Even if we obtain Orphan Drug exclusivity for a product, that exclusivity may not effectively protect the product from competition because competing drugs containing a different active ingredient can be approved for the same condition. In addition, even after an orphan drug is approved, the FDA can subsequently approve the same drug for the same condition if the FDA concludes that the later drug is clinically superior in that it is shown to be safer, more effective or makes a major contribution to patient care.

On August 3, 2017, the U.S. Congress passed the FDA Reauthorization Act of 2017, or FDARA. FDARA, among other things, codified the FDA’s pre-existing regulatory interpretation to require that a drug sponsor demonstrate the clinical superiority of an orphan drug that is otherwise the same as a previously approved drug for the same rare disease in order to receive orphan drug exclusivity. The new legislation reverses prior precedent holding that the Orphan Drug Act unambiguously requires that the FDA recognize the orphan exclusivity period regardless of a showing of clinical superiority. Moreover, in the Consolidated Appropriations Act of 2021, Congress did not further change this interpretation when it clarified that the interpretation codified in FDARA would apply in cases where the FDA issued an orphan designation before the enactment of FDARA but where product approval came after the enactment of FDARA. The FDA may further reevaluate the Orphan Drug Act and its regulations and policies. We do not know if, when or how the FDA may change the orphan drug regulations and policies in the future, and it is uncertain how any changes might affect our business. Depending on what changes the FDA may make to its Orphan Drug regulations and policies, our business could be adversely impacted.

 

74


 

Even if we receive regulatory approval for any of our current or future product candidates, we will be subject to ongoing obligations and continued regulatory review, which may result in significant additional expense. Additionally, our current or future product candidates, if approved, could be subject to labeling and other restrictions and market withdrawal and we may be subject to penalties if we fail to comply with regulatory requirements or experience unanticipated problems with our product candidates when and if any of them are approved.

If the FDA or a comparable foreign regulatory authority approves any of our current or future product candidates, the manufacturing processes, labeling, packaging, distribution, tracking and tracing, adverse event reporting, storage, advertising, promotion and recordkeeping for the drug will be subject to extensive and ongoing regulatory requirements. These requirements include submissions of safety and other post-marketing information and reports, registration requirements, and continued compliance with cGMPs and Good Clinical Practices, or GCPs, for any clinical trials that we conduct post-approval. For certain commercial prescription drug products, manufacturers and other parties involved in the supply chain must also meet chain of distribution requirements and build electronic, interoperable systems for product tracking and tracing and for notifying the FDA of counterfeit, diverted, stolen and intentionally adulterated products or other products that are otherwise unfit for distribution in the United States. Any regulatory approvals that we receive for our current or future product candidates may also be subject to limitations on the approved indicated uses for which the drug may be marketed or to the conditions of approval, or contain requirements for potentially costly post-marketing testing, including Phase 4 clinical trials, and surveillance to monitor the safety and efficacy of the drug. Additionally, under FDORA, sponsors of approved drugs and biologics must provide 6 months’ notice to the FDA of any changes in marketing status, such as the withdrawal of a drug, and failure to do so could result in the FDA placing the product on a list of discontinued products, which would revoke the product’s ability to be marketed. The FDA closely regulates the post-approval marketing and promotion of pharmaceutical and biological products to ensure such products are marketed only for the approved indications and in accordance with the provisions of the approved labeling. Later discovery of previously unknown problems with a drug, including adverse events of unanticipated severity or frequency, or with our third-party manufacturers or manufacturing processes, or failure to comply with regulatory requirements, may result in, among other things:

restrictions on the marketing or manufacturing of the drug, withdrawal of the drug from the market, or voluntary drug recalls;
fines, warning letters or holds on clinical trials;
refusal by the FDA to approve pending applications or supplements to approved applications filed by us, or suspension or revocation of drug license approvals;
drug seizure or detention, or refusal to permit the import or export of drugs; and
injunctions or the imposition of civil or criminal penalties.


 

The FDA’s policies may change and additional government regulations may be enacted that could prevent, limit or delay regulatory approval of our current or future product candidates. If we are slow or unable to adapt to changes in existing requirements or the adoption of new requirements or policies, or if we are not able to maintain regulatory compliance, we may lose any marketing approval that we may have obtained, which would adversely affect our business, prospects and ability to achieve or sustain profitability.

Inadequate funding for the FDA, the SEC and other government agencies, including from government shutdowns, or other disruptions to these agencies’ operations, could hinder their ability to hire and retain key leadership and other personnel, prevent new products and services from being developed or commercialized in a timely manner or otherwise prevent those agencies from performing normal business functions on which the operation of our business may rely, which could negatively impact our business.

The ability of the FDA to review and approve new products can be affected by a variety of factors, including government budget and funding levels, the ability to hire and retain key personnel and accept the payment of user fees, and statutory, regulatory and policy changes. Average review times at the agency have fluctuated in recent years as a result. In addition, government funding of the SEC and other government agencies on which our operations may rely, including those that fund research and development activities, is subject to the political process, which is inherently fluid and unpredictable.

 

75


 

Disruptions at the FDA and other agencies may also slow the time necessary for new product candidates to be reviewed and/or approved by necessary government agencies, which would adversely affect our business. If a prolonged government shutdown occurs, it could significantly impact the ability of the FDA to timely review and process our regulatory submissions, which could have a material adverse effect on our business. Further, future government shutdowns could impact our ability to access the public markets and obtain necessary capital in order to properly capitalize and continue our operations.
 

Risks Related to Foreign Regulatory Approval and Foreign Markets

Even if we receive marketing approval for our current or future product candidates in the U.S., we may never receive regulatory approval to market our current or future product candidates outside of the U.S.

We plan to seek regulatory approval of our current or future product candidates outside of the U.S. In order to market any product outside of the U.S., however, we must establish and comply with the numerous and varying safety, efficacy and other regulatory requirements of other countries. Approval procedures vary among countries and can involve additional product candidate testing and additional administrative review periods. The time required to obtain approvals in other countries might differ substantially from that required to obtain FDA approval. The marketing approval processes in other countries generally implicate all of the risks detailed above regarding FDA approval in the U.S. as well as other risks. In particular, in many countries outside of the U.S., products must receive pricing and reimbursement approval before the product can be commercialized. Obtaining this approval can result in substantial delays in bringing products to market in such countries. Marketing approval in one country does not ensure marketing approval in another, but a failure or delay in obtaining marketing approval in one country may have a negative effect on the regulatory process in others. Failure to obtain marketing approval in other countries or any delay or other setback in obtaining such approval would impair our ability to market our current or future product candidates in such foreign markets. Any such impairment would reduce the size of our potential market, which could have a material adverse impact on our business, results of operations and prospects.

 

Our future growth may depend, in part, on our ability to penetrate foreign markets, where we would be subject to additional regulatory burdens and other risks and uncertainties that could materially adversely affect our business.

We are not permitted to market or promote any of our current or future product candidates before we receive regulatory approval from the applicable regulatory authority in that foreign market, and we may never receive such regulatory approval for any of our current or future product candidates. To obtain separate regulatory approval in many other countries we must comply with numerous and varying regulatory requirements of such countries regarding safety and efficacy and governing, among other things, clinical trials and commercial sales, pricing and distribution of our current or future product candidates, and we cannot predict success in these jurisdictions. If we obtain approval of our current or future product candidates and ultimately commercialize our current or future product candidates in foreign markets, we would be subject to additional risks and uncertainties, including:

differing regulatory requirements in foreign countries, such that obtaining regulatory approvals outside of the U.S. may take longer and be more costly than obtaining approval in the U.S.;
our customers’ ability to obtain reimbursement for our current or future product candidates in foreign markets;
the burden of complying with complex and changing foreign regulatory, tax, accounting and legal requirements;
different medical practices and customs in foreign countries affecting acceptance in the marketplace;
import or export licensing requirements;
longer accounts receivable collection times;
longer lead times for shipping;
language barriers for technical training;
reduced protection of intellectual property rights in some foreign countries;
the existence of additional potentially relevant third-party intellectual property rights;
economic weakness, including inflation, or political instability in particular foreign economies and markets;
compliance with tax, employment, immigration and labor laws for employees living or traveling abroad;
foreign taxes, including withholding of payroll taxes;

76


 

foreign currency fluctuations, which could result in increased operating expenses and reduced revenue, and other obligations incident to doing business in another country;
difficulties staffing and managing foreign operations;
workforce uncertainty in countries where labor unrest is more common than in the U.S.;
potential liability under the Foreign Corrupt Practices Act of 1977 or comparable foreign regulations;
the interpretation of contractual provisions governed by foreign laws in the event of a contract dispute;
production shortages resulting from any events affecting raw material supply or manufacturing capabilities abroad; and
business interruptions resulting from geo-political actions, including war and terrorism.

Foreign sales of our current or future product candidates could also be adversely affected by the imposition of governmental controls, political and economic instability, trade restrictions and changes in tariffs.

We may in the future conduct clinical trials for current or future product candidates outside the U.S., and the FDA and comparable foreign regulatory authorities may not accept data from such trials.

We may in the future choose to conduct one or more clinical trials outside the U.S., including in Europe. The acceptance of study data from clinical trials conducted outside the U.S. or another jurisdiction by the FDA or comparable foreign regulatory authority may be subject to certain conditions or may not be accepted at all. In cases where data from foreign clinical trials are intended to serve as the basis for marketing approval in the U.S., the FDA will generally not approve the application on the basis of foreign data alone unless (i) the data are applicable to the U.S. population and U.S. medical practice, (ii) the trials were performed by clinical investigators of recognized competence and (iii) the data may be considered valid without the need for an on-site inspection by the FDA or, if the FDA considers such an inspection to be necessary, the FDA is able to validate the data through an on-site inspection or other appropriate means. Additionally, the FDA’s clinical trial requirements, including sufficient size of patient populations and statistical powering, must be met. Many foreign regulatory authorities have similar approval requirements. In addition, such foreign trials would be subject to the applicable local laws of the foreign jurisdictions where the trials are conducted. There can be no assurance that the FDA or any comparable foreign regulatory authority will accept data from trials conducted outside of the U.S. or the applicable jurisdiction. If the FDA or any comparable foreign regulatory authority does not accept such data, it would result in the need for additional trials, which could be costly and time-consuming, and which may result in current or future product candidates that we may develop not receiving approval for commercialization in the applicable jurisdiction.

We are subject to certain U.S. and foreign anti-corruption, anti-money laundering, export control, sanctions, and other trade laws and regulations. We can face serious consequences for violations.

Among other matters, U.S. and foreign anti-corruption, including the Foreign Corrupt Practices Act (FCPA), anti-money laundering, export control, sanctions, and other trade laws and regulations, which we collectively refer to as Trade Laws, prohibit companies and their employees, agents, clinical research organizations, legal counsel, accountants, consultants, contractors, and other partners from authorizing, promising, offering, providing, soliciting, or receiving directly or indirectly, corrupt or improper payments or anything else of value to or from recipients in the public or private sector. Anti-corruption and anti-bribery laws have been enforced aggressively in recent years and are interpreted broadly. Violations of Trade Laws can result in substantial criminal fines and civil penalties, imprisonment, the loss of trade privileges, debarment, tax reassessments, breach of contract and fraud litigation, reputational harm, and other consequences. As we increase our activities outside the United States, which may include increased interactions with officials and employees of government agencies or state-owned or -affiliated entities, our risks under these laws may increase. Noncompliance with these laws could subject us to investigations, sanctions, settlements, prosecution, other enforcement actions, disgorgement of profits, significant fines, damages, other civil and criminal penalties or injunctions, adverse media coverage, and other consequences. Any investigations, actions or sanctions could harm our business, results of operations, and financial condition. We have direct or indirect interactions with officials and employees of government agencies or government-affiliated hospitals, universities, and other organizations.

 

77


 


 

Governments outside the United States tend to impose strict price controls, which may adversely affect our revenues, if any.

In some countries, particularly in the European Union, the pricing of prescription pharmaceuticals is subject to governmental control. In these countries, pricing negotiations with governmental authorities can take considerable time after the receipt of marketing approval for a product. To obtain coverage and reimbursement or pricing approval in some countries, we may be required to conduct a clinical trial that compares the cost-effectiveness of our product candidate to other available therapies. In addition, many countries outside the U.S. have limited government support programs that provide for reimbursement of products such as our product candidates, with an emphasis on private payors for access to commercial products. If reimbursement of our product candidates is unavailable or limited in scope or amount, or if pricing is set at unsatisfactory levels, our business could be materially harmed.

Risks Related to Compliance with Healthcare and Other Regulations

Even if we are able to commercialize any current or future product candidates, such drugs may become subject to unfavorable pricing regulations or third-party coverage and reimbursement policies, which would harm our business.

Significant uncertainty exists as to the coverage and reimbursement status of any products for which we may obtain regulatory approval. In the U.S. and in other countries, sales of any products for which we may receive regulatory marketing approval for commercial sale will depend, in part, on the availability of coverage and reimbursement from third-party payors. Third-party payors include government healthcare programs (e.g., Medicare and Medicaid), managed care providers, private health insurers, health maintenance organizations and other organizations. These third-party payors decide which medications they will pay for and establish reimbursement levels. The availability of coverage and extent of reimbursement by governmental and other third-party payors is essential for most patients to be able to afford treatments such as targeted protein degradation therapies.

In the United States and markets in other countries, patients generally rely on third-party payors to reimburse all or part of the costs associated with their treatment. Adequate coverage and reimbursement from governmental healthcare programs, such as Medicare and Medicaid, and commercial payors is critical to new product acceptance. Our ability to successfully commercialize our product candidates will depend in part on the extent to which coverage and adequate reimbursement for these products and related treatments will be available from government health administration authorities, private health insurers and other organizations. Even if coverage is provided, the approved reimbursement amount may not be high enough to allow us to establish or maintain pricing sufficient to realize a sufficient return on our investment. Government authorities and third-party payors, such as private health insurers and health maintenance organizations, decide which medications they will pay for and establish reimbursement levels.

There is also significant uncertainty related to the insurance coverage and reimbursement of newly approved products and coverage may be more limited than the purposes for which the medicine is approved by the FDA or comparable foreign regulatory authorities. In the United States, the principal decisions about reimbursement for new medicines are typically made by the Centers for Medicare & Medicaid Services, or CMS, an agency within the U.S. Department of Health and Human Services, or HHS. CMS decides whether and to what extent our products will be covered and reimbursed under Medicare. Private payors tend to follow CMS to a substantial degree. Factors payors consider in determining reimbursement are based on whether the product is:

a covered benefit under its health plan;
safe, effective and medically necessary;
appropriate for the specific patient;
cost-effective; and
neither experimental nor investigational.

Our ability to commercialize any current or future product candidates successfully also will depend in part on the extent to which coverage and reimbursement for these current or future product candidates and related treatments will be available from government authorities, private health insurers and other organizations. Moreover, a payor’s decision to provide coverage for a product does not imply that an adequate reimbursement rate will be approved. We cannot be sure that coverage will be available for any product candidate that we commercialize. If coverage is available, but reimbursement is available only to limited levels, we may not be able to successfully commercialize any product candidate for which we obtain marketing approval.

78


 

In the U.S., no uniform policy exists for coverage and reimbursement for products among third-party payors. Therefore, decisions regarding the extent of coverage and amount of reimbursement to be provided can differ significantly from payor to payor. The process for determining whether a payor will provide coverage for a product may be separate from the process for setting the reimbursement rate a payor will pay for the product. One third-party payor’s decision to cover a particular product or service does not ensure that other payors will also provide coverage for the medical product or service. Third-party payors may limit coverage to specific products on an approved list or formulary, which may not include all FDA-approved products for a particular indication. Also, third-party payors may refuse to include a particular branded product on their formularies or otherwise restrict patient access to a branded drug when a less costly generic equivalent or other alternative is available.

Net prices for drugs may be reduced by mandatory discounts or rebates required by government healthcare programs or private payors and by any future relaxation of laws that presently restrict imports of drugs from countries where they may be sold at lower prices than in the United States. Increasingly, third-party payors are requiring that drug companies provide them with predetermined discounts from list prices and are challenging the prices charged for medical products. We cannot be sure that reimbursement will be available for any product candidate that we commercialize and, if reimbursement is available, the level of reimbursement. In addition, many pharmaceutical manufacturers must calculate and report certain price reporting metrics to the government, such as average sales price, or ASP, and best price. Penalties may apply in some cases when such metrics are not submitted accurately and timely. Further, these prices for drugs may be reduced by mandatory discounts or rebates required by government healthcare programs. In order to secure coverage and reimbursement for any product that might be approved for sale, we may need to conduct expensive pharmacoeconomic studies in order to demonstrate the medical necessity and cost-effectiveness of our products, in addition to the costs required to obtain FDA or comparable regulatory approvals. Additionally, we may also need to provide discounts to purchasers, private health plans or government healthcare programs. Despite our best efforts, our product candidates may not be considered medically necessary or cost-effective. If third-party payors do not consider a product to be cost-effective compared to other available therapies, they may not cover an approved product as a benefit under their plans or, if they do, the level of payment may not be sufficient to allow us to sell our products at a profit. A decision by a third-party payor not to cover a product could reduce physician utilization once the product is approved and have a material adverse effect on sales, our operations and financial condition.

Finally, in some foreign countries, the proposed pricing for a product candidate must be approved before it may be lawfully marketed. The requirements governing product pricing vary widely from country to country. For example, in the EU pricing and reimbursement of pharmaceutical products are regulated at a national level under the individual EU Member States’ social security systems. Some foreign countries provide options to restrict the range of medicinal products for which their national health insurance systems provide reimbursement and can control the prices of medicinal products for human use. To obtain reimbursement or pricing approval, some of these countries may require the completion of clinical trials that compare the cost effectiveness of a particular product candidate to currently available therapies. A country may approve a specific price for the medicinal product or it may instead adopt a system of direct or indirect controls on the profitability of the company placing the medicinal product on the market. There can be no assurance that any country that has price controls or reimbursement limitations for products will allow favorable reimbursement and pricing arrangements for any of our product candidates. Even if approved for reimbursement, historically, product candidates launched in some foreign countries, such as some countries in the EU, do not follow price structures of the U.S. and prices generally tend to be significantly lower.

Current and future healthcare legislative reform measures may have a material adverse effect on our business and results of operations.

Changes in regulations, statutes or the interpretation of existing regulations could impact our business by requiring, for example: (i) changes to our manufacturing arrangements, (ii) additions or modifications to product labeling, (iii) the recall or discontinuation of our products or (iv) additional record-keeping requirements. If any such changes were to be imposed, they could adversely affect the operation of our business.

In the United States and in some foreign jurisdictions, there have been, and likely will continue to be, a number of legislative and regulatory changes and proposed changes intended to broaden access to healthcare, improve the quality of healthcare, and contain or lower the cost of healthcare. For example, in March 2010, the Patient Protection and Affordable Care Act, as amended by the Health Care and Education Reconciliation Act, or the ACA, was passed, which substantially changed the way healthcare is financed by both governmental and private insurers, and significantly impacted the U.S. pharmaceutical industry. The ACA, among other things, subjects biological products to potential competition by lower-cost biosimilars, expands the types of entities eligible for the 340B drug discount program, addresses a new methodology by which rebates owed by manufacturers under the Medicaid Drug Rebate Program are calculated for drugs that are inhaled, infused, instilled, implanted or injected, increases rebates owed by manufacturers under the Medicaid Drug Rebate Program and extends the rebate program to individuals enrolled in Medicaid managed care organizations, establishes annual fees and taxes on manufacturers of certain branded prescription drugs, and creates a new Medicare Part D coverage gap discount program, in

79


 

which manufacturers must agree to offer 50% (increased to 70% pursuant to the Bipartisan Budget Act of 2018, or BBA, effective as of January 2019) point-of-sale discounts off negotiated prices of applicable brand drugs to eligible beneficiaries during their coverage gap period, as a condition for the manufacturer’s outpatient drugs to be covered under Medicare Part D; and provided incentives to programs that increase the federal government’s comparative effectiveness research.

Since its enactment, there have been judicial, administrative, executive and Congressional legislative challenges to certain aspects of the ACA, and we expect there will be additional challenges and amendments to the ACA in the future. On June 17, 2021, the U.S. Supreme Court dismissed the most recent judicial challenge to the ACA brought by several states without specifically ruling on the constitutionality of the ACA. In addition, President Biden has issued multiple executive orders that have sought to address the issue of prescription drug costs. It is unclear how other healthcare reform measures of the Biden administration or other efforts, if any, to challenge, repeal or replace the ACA will impact our business.

In addition, other legislative changes have been proposed and adopted in the United States since the ACA was enacted. For example,

The Budget Control Act of 2011, among other things, created measures for spending reductions by Congress that included, along with subsequent legislation, aggregate reductions of Medicare payments to providers of up to 2% per fiscal year will remain in effect through 2032 unless additional Congressional action is taken.
The American Taxpayer Relief Act of 2012 among other things, further reduced Medicare payments to several providers, including hospitals, imaging centers and cancer treatment centers, and increased the statute of limitations period for the government to recover overpayments to providers from three to five years. The BBA also amended the ACA, effective January 1, 2019, by increasing the point-of-sale discount that is owed by pharmaceutical manufacturers who participate in Medicare Part D and closing the coverage gap in most Medicare drug plans, commonly referred to as the “donut hole.”
The American Rescue Plan Act of 2021 eliminates the statutory Medicaid drug rebate cap, currently set at 100% of a drug’s average manufacturer price, for single source and innovator multiple source drugs, effective January 1, 2024.
On May 30, 2018, the Right to Try Act, was signed into law. The law, among other things, provides a federal framework for certain patients to access certain investigational new drug products that have completed a Phase 1 clinical trial and that are undergoing investigation for FDA approval. Under certain circumstances, eligible patients can seek treatment without enrolling in clinical trials and without obtaining FDA permission under the FDA expanded access program. There is no obligation for a pharmaceutical manufacturer to make its drug products available to eligible patients as a result of the Right to Try Act.
The Inflation Reduction Act of 2022, or IRA, includes several provisions that may impact our business to varying degrees, including provisions that reduce the annual out-of-pocket spending cap for Medicare Part D beneficiaries from $7,050 to $2,000 starting in 2025, thereby effectively eliminating the coverage gap; impose new manufacturer financial liability on many drugs reimbursed under Medicare Part D; allow the U.S. government to negotiate Medicare Part B and Part D pricing for certain high-cost drugs and biologics without generic or biosimilar competition; and require companies to pay rebates to Medicare for drug prices that increase faster than inflation. Further, under the IRA, orphan drugs are exempted from the Medicare drug price negotiation program, but only if they have one orphan designation and for which the only approved indication is for that disease or condition. If a product receives multiple orphan designations or has multiple approved indications, it may not qualify for the orphan drug exemption. The implementation of the IRA is currently subject to ongoing litigation that challenges the constitutionality of the IRA’s Medicare drug price negotiation program. The effects of the IRA on our business and the healthcare industry in general is not yet known.

Moreover, payment methodologies may be subject to changes in healthcare legislation and regulatory initiatives. For example, CMS may develop new payment and delivery models, such as bundled payment models. Recently, there has been heightened governmental scrutiny over the manner in which manufacturers set prices for their marketed products. Such scrutiny has resulted in several recent U.S. Congressional inquiries and has further resulted in proposed and enacted federal and state legislation designed to, among other things, bring more transparency to drug pricing, reduce the cost of prescription drugs under Medicare, review the relationship between pricing and manufacturer patient programs, and reform government program reimbursement methodologies for drugs.

Additionally, there has been increasing legislative and enforcement interest in the United States with respect to drug pricing practices. Specifically, there has been heightened governmental scrutiny over the manner in which manufacturers set prices for their marketed products, which has resulted in several U.S. Congressional inquiries and proposed and enacted federal

80


 

and state legislation designed to, among other things, bring more transparency to drug pricing, reduce the cost of prescription drugs under Medicare, and review the relationship between pricing and manufacturer patient programs. On December 2, 2020, HHS published a regulation removing safe harbor protection for price reductions from pharmaceutical manufacturers to plan sponsors under Part D, either directly or through pharmacy benefit managers, unless the price reduction is required by law. The rule also creates a new safe harbor for price reductions reflected at the point-of-sale, as well as a safe harbor for certain fixed fee arrangements between pharmacy benefit managers and manufacturers. Pursuant to court order, the removal and addition of the aforementioned safe harbors were delayed and the IRA further delayed implementation of this rule to January 1, 2032. Although a number of these and other proposed measures may require authorization through additional legislation to become effective, and the Biden administration may reverse or otherwise change these measures, both the Biden administration and Congress have indicated that they will continue to seek new legislative measures to control drug costs.

At the state level, individual states are increasingly aggressive in passing legislation and implementing regulations designed to control pharmaceutical and biological product pricing, including price or patient reimbursement constraints, discounts, restrictions on certain product access and marketing cost disclosure and transparency measures, and, in some cases, designed to encourage importation from other countries and bulk purchasing. Legally mandated price controls on payment amounts by third-party payors or other restrictions could harm our business, financial condition, results of operations and prospects. In addition, regional health care authorities and individual hospitals are increasingly using bidding procedures to determine what pharmaceutical products and which suppliers will be included in their prescription drug and other health care programs. These measures could reduce the ultimate demand for our products, once approved, or put pressure on our product pricing, which could negatively affect our business, financial condition, results of operations and prospects.

We expect that additional state and federal healthcare reform measures will be adopted in the future, any of which could limit the amounts that federal and state governments will pay for healthcare products and services, which could result in reduced demand for our current or future product candidates or additional pricing pressures. We cannot predict the likelihood, nature or extent of government regulation that may arise from future legislation or administrative action in the United States. If we or any third parties we may engage are slow or unable to adapt to changes in existing requirements or the adoption of new requirements or policies, or if we or such third parties are not able to maintain regulatory compliance, our product candidates may lose any regulatory approval that may have been obtained and we may not achieve or sustain profitability.

Our relationships with customers, health care providers, physicians, and third-party payors will be subject to applicable anti-kickback, fraud and abuse and other healthcare laws and regulations, which could expose us to criminal sanctions, civil penalties, exclusion from government healthcare programs, contractual damages, reputational harm and diminished future profits and earnings.

Healthcare providers, physicians and third-party payors will play a primary role in the recommendation and prescription of any current or future product candidates for which we obtain marketing approval. Our business operations and any current or future arrangements with third-party payors and customers may expose us to broadly applicable federal and state laws relating to fraud and abuse, as well as other healthcare laws and regulations. Pharmaceutical companies are subject to additional healthcare regulation and enforcement by the federal government and by authorities in the states and foreign jurisdictions in which they conduct their business that may constrain the financial arrangements and relationships through which we research, as well as sell, market and distribute any products for which we obtain marketing authorization. Such laws include, without limitation, state and federal anti-kickback, fraud and abuse, false claims, and transparency laws and regulations related to drug pricing and payments and other transfers of value made to physicians and other healthcare providers. If our operations are found to be in violation of any of such laws or any other governmental regulations that apply, we may be subject to penalties, including, without limitation, administrative, civil and criminal penalties, damages, fines, disgorgement, the curtailment or restructuring of operations, integrity oversight and reporting obligations, exclusion from participation in federal and state healthcare programs and responsible individuals may be subject to imprisonment. These laws may impact, among other things, the business or financial arrangements and relationships through which we market, sell and distribute any current or future product candidates for which we obtain marketing approval. See the section of this report titled “Government Regulation -other Regulatory Matters – Other Healthcare Laws” for additional information.

The scope and enforcement of each of these laws is uncertain and subject to rapid change in the current environment of healthcare reform, especially in light of the lack of applicable precedent and regulations. Federal and state enforcement bodies have recently increased their scrutiny of interactions between healthcare companies and healthcare providers, which has led to a number of investigations, prosecutions, convictions and settlements in the healthcare industry. Ensuring that our internal operations and future business arrangements with third parties comply with applicable healthcare laws and regulations will involve substantial costs. It is possible that governmental authorities will conclude that our business practices do not comply with current or future statutes, regulations or case law involving applicable fraud and abuse or other healthcare laws and regulations. If our operations are found to be in violation of any of these laws or any other governmental regulations that may

81


 

apply to us, we may be subject to significant civil, criminal and administrative penalties, damages, fines, disgorgement, contractual damages, reputational harm, diminished profits and future earnings, imprisonment, exclusion from government funded healthcare programs, such as Medicare and Medicaid, and the curtailment or restructuring of our operations, as well as additional reporting obligations and oversight if we become subject to a corporate integrity agreement or similar settlement to resolve allegations of non-compliance with these laws. Further, defending against any such actions can be costly and time consuming, and may require significant financial and personnel resources. Therefore, even if we are successful in defending against any such actions that may be brought against us, our business may be impaired. If any of the physicians or other providers or entities with whom we expect to do business are found to not be in compliance with applicable laws, they may be subject to criminal, civil or administrative sanctions, including exclusions from government funded healthcare programs and imprisonment. If any of the above occur, our ability to operate our business and our results of operations could be adversely affected. If any of the physicians or other healthcare providers or entities with whom we expect to do business is found to be not in compliance with applicable laws, they may be subject to similar actions, penalties, and sanctions.

The provision of benefits or advantages to physicians to induce or encourage the prescription, recommendation, endorsement, purchase, supply, order or use of medicinal products is also prohibited in the EU. The provision of benefits or advantages to physicians is governed by the national anti-bribery laws of EU Member States, such as the U.K. Bribery Act 2010. Infringement of these laws could result in substantial fines and imprisonment. Payments made to physicians in certain EU Member States must be publicly disclosed. Moreover, agreements with physicians often must be the subject of prior notification and approval by the physician’s employer, his or her competent professional organization and/or the regulatory authorities of the individual EU Member States. These requirements are provided in the national laws, industry codes or professional codes of conduct, applicable in the EU Member States. Failure to comply with these requirements could result in reputational risk, public reprimands, administrative penalties, fines or imprisonment.

If we fail to comply with environmental, health and safety laws and regulations, we could become subject to fines or penalties or incur costs that could have a material adverse effect on the success of our business.

We are subject to numerous environmental, health and safety laws and regulations, including those governing laboratory procedures and the handling, use, storage, treatment and disposal of hazardous materials and wastes. Our operations involve the use of hazardous and flammable materials, including chemicals and biological and radioactive materials. Our operations also produce hazardous waste products. We generally contract with third parties for the disposal of these materials and wastes. We cannot eliminate the risk of contamination or injury from these materials. In the event of contamination or injury resulting from our use of hazardous materials, we could be held liable for any resulting damages, and any liability could exceed our resources. We also could incur significant costs associated with civil or criminal fines and penalties.

Although we maintain workers’ compensation insurance to cover us for costs and expenses we may incur due to injuries to our employees resulting from the use of hazardous materials, this insurance may not provide adequate coverage against potential liabilities. We do not maintain insurance for environmental liability or toxic tort claims that may be asserted against us in connection with our storage or disposal of biological, hazardous or radioactive materials. In addition, we may incur substantial costs in order to comply with current or future environmental, health and safety laws and regulations. Current or future environmental laws and regulations may impair our research, development and production efforts, which could harm our business, prospects, financial condition or results of operations.


 

Our employees, principal investigators, CROs and consultants may engage in misconduct or other improper activities, including non-compliance with regulatory standards and requirements and insider trading laws.

We are exposed to the risk that our employees, principal investigators, CROs and consultants may engage in fraudulent conduct or other illegal activity. Misconduct by these parties could include intentional, reckless and/or negligent conduct or disclosure of unauthorized activities to us that violate the regulations of the FDA and other regulatory authorities, including those laws requiring the reporting of true, complete and accurate information to such authorities; healthcare fraud and abuse laws and regulations in the U.S. and abroad; or laws that require the reporting of financial information or data accurately. In particular, sales, marketing, patient support and business arrangements in the healthcare industry are subject to extensive laws and regulations intended to prevent fraud, misconduct, kickbacks, self-dealing and other abusive practices. These laws and regulations may restrict or prohibit a wide range of pricing, discounting, marketing and promotion, sales commission, customer incentive programs and other business arrangements. Other activities subject to these laws include the improper use of information obtained in the course of clinical trials or creating fraudulent data in our preclinical studies or clinical trials, which could result in regulatory sanctions and cause serious harm to our reputation. We have adopted a code of conduct applicable to all of our employees, but it is not always possible to identify and deter misconduct by employees and other third parties, and the precautions we take to detect and prevent this activity may not be effective in controlling unknown or unmanaged risks or losses or in protecting us from governmental investigations or other actions or lawsuits stemming from a failure to comply with

82


 

these laws or regulations. Additionally, we are subject to the risk that a person could allege such fraud or other misconduct, even if none occurred. If any such actions are instituted against us, and we are not successful in defending ourselves or asserting our rights, those actions could have a significant impact on our business, including the imposition of civil, criminal and administrative penalties, damages, monetary fines, possible exclusion from participation in Medicare, Medicaid and other federal healthcare programs, contractual damages, reputational harm, diminished profits and future earnings, and curtailment of our operations, any of which could adversely affect our ability to operate our business and our results of operations.

Efforts to ensure that our business arrangements with third parties will comply with applicable healthcare laws and regulations will involve substantial costs. Because of the breadth of these laws and the narrowness of the statutory exceptions and safe harbors available, it is possible that some of our business activities could be subject to challenge under one or more of such laws. It is possible that governmental authorities will conclude that our business practices may not comply with current or future statutes, regulations or case law involving applicable fraud and abuse or other healthcare laws and regulations. If our operations are found to be in violation of any of these laws or any other governmental regulations that may apply to us, we may be subject to significant criminal, civil and administrative sanctions including monetary penalties, damages, fines, disgorgement, individual imprisonment, reputational harm, exclusion from participation in government funded healthcare programs, such as Medicare and Medicaid, additional reporting requirements and oversight if we become subject to a corporate integrity agreement or similar agreement to resolve allegations of non-compliance with these laws and the curtailment or restructuring of our operations, any of which could adversely affect our ability to operate our business and our results of operations.

The risk of our being found in violation of these laws is increased by the fact that many of them have not been fully interpreted by the regulatory authorities or the courts, and their provisions are open to a variety of interpretations. Any action against us for violation of these laws, even if we successfully defend against it, could cause us to incur significant legal expenses and divert our management’s attention from the operation of our business. The shifting compliance environment and the need to build and maintain robust and expandable systems to comply with multiple jurisdictions with different compliance and/or reporting requirements increases the possibility that a healthcare company may run afoul of one or more of the requirements.

Risks Related to Commercialization

Even if we receive marketing approval for our current or future product candidates, our current or future product candidates may not achieve broad market acceptance, which would limit the revenue that we generate from their sales.

The commercial success of our current or future product candidates, if approved by the FDA or other applicable regulatory authorities, will depend upon the awareness and acceptance of our current or future product candidates among the medical community, including physicians, patients and healthcare payors. Market acceptance of our current or future product candidates, if approved, will depend on a number of factors, including, among others:

the efficacy of our current or future product candidates as demonstrated in clinical trials, and, if required by any applicable regulatory authority in connection with the approval for the applicable indications, to provide patients with incremental health benefits, as compared with other available medicines;
limitations or warnings contained in the labeling approved for our current or future product candidates by the FDA or other applicable regulatory authorities;
the clinical indications for which our current or future product candidates are approved;
availability of alternative treatments already approved or expected to be commercially launched in the near future;
the potential and perceived advantages of our current or future product candidates over current treatment options or alternative treatments, including future alternative treatments;
the willingness of the target patient population to try new therapies or treatment methods and of physicians to prescribe these therapies or methods;
the need to dose such product candidates in combination with other therapeutic agents, and related costs;
the strength of marketing and distribution support and timing of market introduction of competitive products;
publicity concerning our products or competing products and treatments;
pricing and cost effectiveness;
the effectiveness of our sales and marketing strategies;

83


 

our ability to increase awareness of our current or future product candidates;
our ability to obtain sufficient third-party coverage or reimbursement; or
the willingness of patients to pay out-of-pocket in the absence of third-party coverage.

If our current or future product candidates are approved but do not achieve an adequate level of acceptance by patients, physicians and payors, we may not generate sufficient revenue from our current or future product candidates to become or remain profitable. Before granting reimbursement approval, healthcare payors may require us to demonstrate that our current or future product candidates, in addition to treating these target indications, also provide incremental health benefits to patients. Our efforts to educate the medical community, patient organizations and third-party payors about the benefits of our current or future product candidates may require significant resources and may never be successful.

We face substantial competition, which may result in others discovering, developing or commercializing drugs before or more successfully than we do.

The development and commercialization of new drugs is highly competitive. We face and will continue to face competition from third parties that use protein degradation, antibody therapy, inhibitory nucleic acid, gene editing or gene therapy development platforms and from companies focused on more traditional therapeutic modalities, such as small molecule inhibitors. Potential competitors also include academic institutions, government agencies and other public and private research organizations that conduct research, seek patent protection and establish collaborative arrangements for research, development, manufacturing and commercialization of new drugs.

Competitors in our efforts to develop small molecule protein degraders therapies for patients, include, but are not limited to, Arvinas, Inc., C4 Therapeutics, Inc., Foghorn Therapeutics Inc. and Nurix Therapeutics, Inc., some of which have entered clinical development. Further, several large pharmaceutical companies have disclosed preclinical and clinical investments in this field. Our competitors will also include companies that are or will be developing other targeted protein degradation methods as well as small molecule, antibody, or gene therapies for the same indications that we are targeting. In addition to the competitors we face in developing small molecule protein degraders, we will also face competition in the indications we expect to pursue with our IRAK4, STAT6, TYK2, STAT3 and MDM2 programs. Many of these indications already have approved standards of care which may include more traditional therapeutic modalities. In order to compete effectively with these existing therapies, we will need to demonstrate that our protein degrader therapies are favorable to existing therapeutics.

Many of our current or future competitors have significantly greater financial resources and expertise in research and development, manufacturing, preclinical testing, conducting clinical trials, obtaining regulatory approvals and reimbursement and marketing approved drugs than we do. Mergers and acquisitions in the pharmaceutical, biotechnology and diagnostic industries may result in even more resources being concentrated among a smaller number of our competitors. Smaller or early-stage companies may also prove to be significant competitors, particularly through collaborative arrangements with large and established companies. These competitors also compete with us in recruiting and retaining qualified scientific, sales, marketing and management personnel and establishing clinical trial sites and patient registration for clinical trials, as well as in acquiring technologies complementary to, or necessary for, our programs.

 

84


 

Our commercial opportunity could be reduced or eliminated if our competitors develop and commercialize drugs that are safer, more effective, have fewer or less severe side effects, are more convenient or are less expensive than any drugs that we or our collaborators may develop. Our competitors also may obtain FDA or other regulatory approval for their drugs more rapidly than we may obtain approval for ours, which could result in our competitors establishing a strong market position before we or our collaborators are able to enter the market. The key competitive factors affecting the success of all of our current or future product candidates, if approved, are likely to be their efficacy, safety, convenience, price, the level of generic competition and the availability of reimbursement from government and other third-party payors.

Product liability lawsuits against us could cause us to incur substantial liabilities and could limit commercialization of any current or future product candidates that we may develop.

We face an inherent risk of product liability exposure related to the testing of our current or future product candidates in human clinical trials and will face an even greater risk if we commercially sell any current or future product candidates that we may develop. If we cannot successfully defend ourselves against claims that our current or future product candidates caused injuries, we could incur substantial liabilities. Regardless of merit or eventual outcome, liability claims may result in:

decreased demand for any current or future product candidates that we may develop;
injury to our reputation and significant negative media attention;
withdrawal of clinical trial participants;
significant costs to defend the related litigation;
substantial monetary awards to trial participants or patients;
loss of revenue; and
the inability to commercialize any current or future product candidates that we may develop.

We do not yet maintain product liability insurance, and we anticipate that we will need to increase our insurance coverage when we begin clinical trials and if we successfully commercialize any product candidate. Insurance coverage is increasingly expensive. We may not be able to maintain product liability insurance coverage at a reasonable cost or in an amount adequate to satisfy any liability that may arise.

 

If, in the future, we are unable to establish sales and marketing and patient support capabilities or enter into agreements with third parties to sell and market our current or future product candidates, we may not be successful in commercializing our current or future product candidates if and when they are approved, and we may not be able to generate any revenue.

We do not currently have a sales or marketing infrastructure and have no experience in the sales, marketing, patient support or distribution of drugs. To achieve commercial success for any approved product candidate for which we retain sales and marketing responsibilities, we must build our sales, marketing, patient support, managerial and other non-technical capabilities or make arrangements with third parties to perform these services. In the future, we may choose to build a focused sales and marketing infrastructure to sell, or participate in sales activities with our collaborators for, some of our current or future product candidates if and when they are approved.

There are risks involved with both establishing our own sales and marketing and patient support capabilities and entering into arrangements with third parties to perform these services. For example, recruiting and training a sales force is expensive and time consuming and could delay any drug launch. If the commercial launch of a product candidate for which we recruit a sales force and establish marketing capabilities is delayed or does not occur for any reason, we would have prematurely or unnecessarily incurred these commercialization expenses. This may be costly, and our investment would be lost if we cannot retain or reposition our sales and marketing personnel.

Factors that may inhibit our efforts to commercialize our current or future product candidates on our own include:

our inability to recruit and retain adequate numbers of effective sales and marketing personnel;
the inability of sales personnel to obtain access to physicians or persuade adequate numbers of physicians to prescribe any future drugs;
the lack of complementary drugs to be offered by sales personnel, which may put us at a competitive disadvantage relative to companies with more extensive product lines; and

85


 

unforeseen costs and expenses associated with creating an independent sales and marketing organization.

If we enter into arrangements with third parties to perform sales, marketing, patient support and distribution services, our drug revenues or the profitability of these drug revenues to us are likely to be lower than if we were to market and sell any current or future product candidates that we develop ourselves. In addition, we may not be successful in entering into arrangements with third parties to sell and market our current or future product candidates or may be unable to do so on terms that are favorable to us. We likely will have little control over such third parties, and any of them may fail to devote the necessary resources and attention to sell and market our current or future product candidates effectively. If we do not establish sales and marketing capabilities successfully, either on our own or in collaboration with third parties, we will not be successful in commercializing our current or future product candidates. Further, our business, results of operations, financial condition and prospects will be materially adversely affected.

Risks Related to Our Dependence on Third Parties

We rely, and expect to continue to rely, on third parties to conduct our ongoing and planned preclinical studies and clinical trials for our current and future product candidates. If these third parties do not successfully carry out their contractual duties, comply with regulatory requirements or meet expected deadlines, we may not be able to obtain marketing approval for or commercialize our current and potential future product candidates and our business could be substantially harmed.

We utilize and depend upon independent investigators and collaborators, such as medical institutions, CROs, contract manufacturing organizations and strategic partners to help conduct our preclinical studies. We do not have the ability to independently conduct clinical trials. We rely on medical institutions, clinical investigators, contract laboratories, and other third parties, including collaboration partners, to conduct or otherwise support clinical trials for our current product candidates, and we expect to rely on such third parties for our future product candidates. We rely heavily on these parties for execution of clinical trials for our product candidates and control only certain aspects of their activities. Nevertheless, we are responsible for ensuring that each of our clinical trials is conducted in accordance with the applicable protocol, legal and regulatory requirements and scientific standards, and our reliance on CROs will not relieve us of our regulatory responsibilities. For any violations of laws and regulations during the conduct of our preclinical studies or clinical trials, we could be subject to untitled and warning letters or enforcement action that may include civil penalties up to and including criminal prosecution.

We and any third parties that we contract with are required to comply with regulations and requirements, including GCP, for conducting, monitoring, recording and reporting the results of clinical trials to ensure that the data and results are scientifically credible and accurate, and that the trial patients are adequately informed of the potential risks of participating in clinical trials and their rights are protected. These regulations are enforced by the FDA, the Competent Authorities of the Member States of the European Economic Area and comparable foreign regulatory authorities for any drugs in clinical development. The FDA enforces GCP requirements through periodic inspections of clinical trial sponsors, principal investigators and trial sites. If we or the third parties we contract with fail to comply with applicable GCP, the clinical data generated in our clinical trials may be deemed unreliable and the FDA or comparable foreign regulatory authorities may require us to perform additional clinical trials before approving our marketing applications. We cannot assure you that, upon inspection, the FDA will determine that any of our clinical trials will comply with GCP. In addition, our clinical trials must be conducted with current or future product candidates produced under cGMP regulations. Our failure or the failure of third parties that we may contract with to comply with these regulations may require us to repeat some aspects of a specific, or an entire, clinical trial, which would delay the marketing approval process and could also subject us to enforcement action. We also are required to register certain ongoing clinical trials and provide certain information, including information relating to the trial’s protocol, on a government-sponsored database, ClinicalTrials.gov, within specific timeframes. Failure to do so can result in fines, adverse publicity and civil and criminal sanctions.

Although we designed the Phase 1 trials of KT-474, KT-333 and KT-253, and intend to design other clinical trials for our current or future product candidates, or be involved in the design when other parties sponsor the trials, we anticipate that third parties will conduct all of our clinical trials. As a result, many important aspects of our clinical development, including their conduct and timing will be outside of our direct control. Our reliance on third parties to conduct clinical trials will also result in less direct control over the management of data developed through clinical trials than would be the case if we were relying entirely upon our own staff. Communicating with outside parties can also be challenging, potentially leading to mistakes as well as difficulties in coordinating activities. Outside parties may:

have staffing difficulties;
fail to comply with contractual obligations;
experience regulatory compliance issues; and

86


 

form relationships with other entities, some of which may be our competitors.

These factors may materially adversely affect the willingness or ability of third parties to conduct our clinical trials and may subject us to unexpected cost increases that are beyond our control. If our CROs do not perform clinical trials in a satisfactory manner, breach their obligations to us or fail to comply with regulatory requirements, the development, marketing approval and commercialization of our current or future product candidates may be delayed, we may not be able to obtain marketing approval and commercialize our current or future product candidates, or our development programs may be materially and irreversibly harmed. If we are unable to rely on clinical data collected by our CROs, we could be required to repeat, extend the duration of, or increase the size of clinical trials we conduct and this could significantly delay commercialization and require significantly greater expenditures.

If any of our relationships with these third-party CROs terminate, we may not be able to enter into arrangements with alternative CROs on commercially reasonable terms, or at all. If our CROs do not successfully carry out their contractual duties or obligations or meet expected deadlines, if they need to be replaced or if the quality or accuracy of the clinical data they obtain are compromised due to the failure to adhere to our clinical protocols, regulatory requirements or for other reasons, any clinical trials such CROs are associated with may be extended, delayed or terminated, and we may not be able to obtain marketing approval for or successfully commercialize our current or future product candidates. As a result, we believe that our financial results and the commercial prospects for our current or future product candidates in the subject indication would be harmed, our costs could increase and our ability to generate revenue could be delayed.

The third parties upon whom we rely for the supply of the API, drug product, and starting materials used in our product candidates are limited in number, and the loss of any of these suppliers could significantly harm our business.

The drug substance and drug product in our product candidates are supplied to us from a small number of suppliers, and in some cases sole source suppliers. Our ability to successfully develop our current or future product candidates, and to ultimately supply our commercial drugs in quantities sufficient to meet the market demand, depends in part on our ability to obtain the drug product and drug substance for these drugs in accordance with regulatory requirements and in sufficient quantities for commercialization and clinical testing. We do not currently have arrangements in place for a redundant or second-source supply of all drug product or drug substance in the event any of our current suppliers of such drug product and drug substance cease their operations for any reason. Any delays in the delivery of our drug substance, drug product or starting materials could have an adverse effect and potentially harm our business. For example, in February 2020, one of our vendors for API starting materials based in Wuhan, China ceased its operations for several weeks due to the COVID-19 pandemic, which caused a minor delay in the delivery of API starting materials to a separate vendor who manufactures API.

Legislative proposals are pending that, if enacted, could negatively impact U.S. funding for certain biotechnology providers having relationships with foreign adversaries or which pose a threat to national security. The potential downstream adverse impacts on entities having only commercial relationships with any impacted biotechnology providers is unknown but may include supply chain disruptions or delays.

For all of our current or future product candidates, we intend to identify and qualify additional manufacturers to provide such API, drug product and drug substance prior to submission of an NDA to the FDA and/or an MAA to the EMA. We are not certain, however, that our single-source and dual source suppliers will be able to meet our demand for their products, either because of the nature of our agreements with those suppliers, our limited experience with those suppliers or our relative importance as a customer to those suppliers. It may be difficult for us to assess their ability to timely meet our demand in the future based on past performance. While our suppliers have generally met our demand for their products on a timely basis in the past, they may subordinate our needs in the future to their other customers.

Establishing additional or replacement suppliers for the drug product and drug substance used in our current or future product candidates, if required, may not be accomplished quickly. If we are able to find a replacement supplier, such replacement supplier would need to be qualified and may require additional regulatory approval, which could result in further delay. While we seek to maintain adequate inventory of the drug product and drug substance used in our current or future product candidates, any interruption or delay in the supply of components or materials, or our inability to obtain such API, drug product and drug substance from alternate sources at acceptable prices in a timely manner, could impede, delay, limit or prevent our development efforts, which could harm our business, results of operations, financial condition and prospects.

 

87


 

Our success is dependent on our executive management team’s ability to successfully pursue business development, strategic partnerships and investment opportunities as our company matures. We may also form or seek strategic alliances or acquisitions or enter into additional collaboration and licensing arrangements in the future, and we may not realize the benefits of such collaborations, alliances, acquisitions or licensing arrangements.

We have entered into a collaboration and licensing arrangement with Sanofi and may in the future form or seek strategic alliances or acquisitions, create joint ventures, or enter into additional collaboration and licensing arrangements with third parties that we believe will complement or augment our development and commercialization efforts with respect to our current product candidates and any future product candidates that we may develop. Any of these relationships may require us to incur non-recurring and other charges, increase our near and long-term expenditures, issue securities that dilute our existing stockholders or disrupt our management and business.

In addition, we face significant competition in seeking appropriate strategic partners and the negotiation process is time-consuming and complex. Moreover, we may not be successful in our efforts to establish a strategic partnership or acquisition or other alternative arrangements for our current or future product candidates because they may be deemed to be at too early of a stage of development for collaborative effort and third parties may not view our current or future product candidates as having the requisite potential to demonstrate safety, potency, purity and efficacy and obtain marketing approval.

Further, collaborations involving our technologies or current or future product candidates are subject to numerous risks, which may include the following:

collaborators have significant discretion in determining the efforts and resources that they will apply to a collaboration;
collaborators may not pursue development and commercialization of our current or future product candidates or may elect not to continue or renew development or commercialization of our current or future product candidates based on clinical trial results, changes in their strategic focus due to the acquisition of competitive products, availability of funding or other external factors, such as a business combination that diverts resources or creates competing priorities;
collaborators may delay clinical trials, provide insufficient funding for a clinical trial, stop a clinical trial, abandon a product candidate, repeat or conduct new clinical trials or require a new formulation of a product candidate for clinical testing;
collaborators could independently develop, or develop with third parties, products that compete directly or indirectly with our current or future product candidates;
a collaborator with marketing and distribution rights to one or more products may not commit sufficient resources to their marketing and distribution;
collaborators may not properly maintain or defend our intellectual property rights or may use our intellectual property or proprietary information in a way that gives rise to actual or threatened litigation that could jeopardize or invalidate our intellectual property or proprietary information or expose us to potential liability;
disputes may arise between us and a collaborator that cause the delay or termination of the research, development or commercialization of our current or future product candidates, or that result in costly litigation or arbitration that diverts management attention and resources;
collaborations may be terminated and, if terminated, may result in a need for additional capital to pursue further development or commercialization of the applicable current or future product candidates;
collaborators may own or co-own intellectual property covering our products that results from our collaborating with them, and in such cases, we would not have the exclusive right to commercialize such intellectual property; and
collaborators may not pay milestones and royalties due to the company in a timely manner.

As a result, we may not be able to realize the benefit of our existing collaboration and licensing arrangements or any future strategic partnerships or acquisitions, collaborations or license arrangements we may enter into if we are unable to successfully integrate them with our existing operations and company culture, which could delay our timelines or otherwise adversely affect our business. We also cannot be certain that, following a strategic transaction, license, collaboration or other business development partnership, we will achieve the revenue or specific net income that justifies such transaction. Any delays in entering into new collaborations or strategic partnership agreements related to our current or future product candidates could

88


 

delay the development and commercialization of our current or future product candidates in certain geographies or for certain indications, which would harm our business prospects, financial condition and results of operations.

As discussed elsewhere in this Annual Report on Form 10-K, our collaboration partner, Sanofi, is conducting a randomized Phase 2 clinical trial evaluating KT-474 in HS and a second randomized Phase 2 trial in AD. Sanofi will have significant discretion in determining the efforts and resources that it will apply to advance those clinical trials. As a result of the factors noted above, we may not be able to realize the benefit of our existing collaboration and licensing arrangements or any future strategic partnerships or acquisitions, collaborations or license arrangements we may enter into, which could delay our timelines or otherwise adversely affect our business.

Our manufacturing process needs to comply with FDA regulations relating to the quality and reliability of such processes. Any failure to comply with relevant regulations could result in delays in or termination of our preclinical and clinical programs and suspension or withdrawal of any regulatory approvals.

In order to commercially produce our products either at our own facility or at a third party’s facility, we will need to comply with the FDA’s cGMP regulations and guidelines. We may encounter difficulties in achieving quality control and quality assurance and may experience shortages in qualified personnel. We are subject to inspections by the FDA and comparable foreign regulatory authorities to confirm compliance with applicable regulatory requirements. Any failure to follow cGMP or other regulatory requirements or delay, interruption or other issues that arise in the manufacture, fill-finish, packaging, or storage of our product candidates as a result of a failure of our facilities or the facilities or operations of third parties to comply with regulatory requirements or pass any regulatory authority inspection could significantly impair our ability to develop and commercialize our current or future product candidates, including leading to significant delays in the availability of our product candidates for our clinical trials or the termination of or suspension of a clinical trial, or the delay or prevention of a filing or approval of marketing applications for our current or future product candidates. Significant non-compliance could also result in the imposition of sanctions, including warning or untitled letters, fines, injunctions, civil penalties, failure of regulatory authorities to grant marketing approvals for our current or future product candidates, delays, suspension or withdrawal of approvals, license revocation, seizures or recalls of products, operating restrictions and criminal prosecutions, any of which could damage our reputation and our business.

If our third-party manufacturers use hazardous and biological materials in a manner that causes injury or violates applicable law, we may be liable for damages.

Our research and development activities involve the controlled use of potentially hazardous substances, including chemical materials, by our third-party manufacturers. Our manufacturers are subject to federal, state and local laws and regulations in the U.S. governing the use, manufacture, storage, handling and disposal of medical and hazardous materials. Although we believe that our manufacturers’ procedures for using, handling, storing and disposing of these materials comply with legally prescribed standards, we cannot completely eliminate the risk of contamination or injury resulting from medical or hazardous materials. As a result of any such contamination or injury, we may incur liability or local, city, state or federal authorities may curtail the use of these materials and interrupt our business operations. In the event of an accident, we could be held liable for damages or penalized with fines, and the liability could exceed our resources. We do not have any insurance for liabilities arising from medical or hazardous materials. Compliance with applicable environmental laws and regulations is expensive, and current or future environmental regulations may impair our research, development and production efforts, which could harm our business, prospects, financial condition or results of operations.

Risks Related to Intellectual Property

If we are unable to obtain and maintain patent and other intellectual property protection for our technology and product candidates or if the scope of the intellectual property protection obtained is not sufficiently broad, our competitors could develop and commercialize technology and drugs similar or identical to ours, and our ability to successfully commercialize our technology and drugs may be impaired, and we may not be able to compete effectively in our market.

Our commercial success depends in part on our ability to obtain and maintain patent or other intellectual property protection in the U.S. and other countries for our current or future product candidates and our core technologies, including our proprietary PegasusTM platform, our initial IRAK4, STAT3 and MDM2 programs, which are our most advanced development programs, as well as our proprietary compound library and other know-how. We seek to protect our proprietary and intellectual property position by, among other methods, filing patent applications in the U.S. and abroad related to our proprietary technology, inventions and improvements that are important to the development and implementation of our business. We also rely on trade secrets, know-how and continuing technological innovation to develop and maintain our proprietary and intellectual property position.

89


 

We own patent applications and one patent related to our platform E3 ligase ligand technology and our novel bifunctional degrader compounds, including claims to compositions of matter, pharmaceutical compositions, methods of use, methods of treatment, and other related methods.

As of December 31, 2023, our patent portfolio covering novel compounds, and the methods of making and using thereof, included 101 patent families. Patent term adjustments, supplementary protection certificate filings, or patent term extensions could result in later expiration dates in various countries, while terminal disclaimers could result in earlier expiration dates in the U.S.

The patent position of biotechnology and pharmaceutical companies generally is highly uncertain, involves complex legal and factual questions and has in recent years been the subject of much litigation.

The degree of patent protection we require to successfully commercialize our current or future product candidates may be unavailable or severely limited in some cases and may not adequately protect our rights or permit us to gain or keep any competitive advantage. We cannot provide any assurances that any of our pending patent applications that mature into issued patents will include claims with a scope sufficient to protect our PegasusTM platform and our current or future product candidates. In addition, if the breadth or strength of protection provided by our patent applications or any patents we may own or in-license is threatened, it could dissuade companies from collaborating with us to license, develop or commercialize current or future product candidates.

In addition, the laws of foreign countries may not protect our rights to the same extent as the laws of the U.S. For example, in jurisdictions outside the U.S., a license may not be enforceable unless all the owners of the intellectual property agree or consent to the license. Accordingly, any actual or purported co-owner of our patent rights could seek monetary or equitable relief requiring us to pay it compensation for, or refrain from, exploiting these patents due to such co-ownership. Furthermore, patents have a limited lifespan. In the U.S., and most other jurisdictions in which we have undertaken patent filings, the natural expiration of a patent is generally twenty years after it is filed, assuming all maintenance fees are paid. Various extensions may be available, on a jurisdiction-by-jurisdiction basis; however, the life of a patent, and thus the protection it affords, is limited. Given the amount of time required for the development, testing and regulatory review of new product candidates, patents protecting such candidates might expire before or shortly after such candidates are commercialized. As a result, patents we may own or in-license may not provide us with adequate and continuing patent protection sufficient to exclude others from commercializing drugs similar or identical to our current or future product candidates, including generic versions of such drugs. Other parties have developed technologies that may be related or competitive to our own, and such parties may have filed or may file patent applications, or may have received or may receive patents, claiming inventions that may overlap or conflict with those claimed in our own patent applications or issued patents, with respect to either the same compounds, methods, formulations or other subject matter, in either case that we may rely upon to dominate our patent position in the market. Publications of discoveries in the scientific literature often lag behind the actual discoveries, and patent applications in the U.S. and other jurisdictions are typically not published until at least 18 months after the earliest priority date of the patent filing, or in some cases not at all. Therefore, we cannot know with certainty whether we were the first to make the inventions claimed in patents we may own or in-license patents or pending patent applications, or that we were the first to file for patent protection of such inventions. As a result, the issuance, scope, validity, enforceability and commercial value of our patent rights cannot be predicted with any certainty.

In addition, the patent prosecution process is expensive and time-consuming, and we may not be able to file and prosecute all necessary or desirable patent applications at a reasonable cost or in a timely manner. Further, with respect to certain pending patent applications covering our current or future product candidates or technologies, prosecution has yet to commence. Patent prosecution is a lengthy process, during which the scope of the claims initially submitted for examination by the relevant patent office(s) may be significantly narrowed by the time they issue, if they ever do. It is also possible that we will fail to identify patentable aspects of our research and development output before it is too late to obtain patent protection. Moreover, in some circumstances, we may not have the right to control the preparation, filing and prosecution of patent applications, or to maintain the patents, covering technology that we license from or to third parties. Therefore, these patents and applications may not be prosecuted and enforced in a manner consistent with the best interests of our business.

Even if we acquire patent protection that we expect should enable us to establish and/or maintain a competitive advantage, third parties may challenge the validity, enforceability or scope thereof, which may result in such patents being narrowed, invalidated or held unenforceable. The issuance of a patent is not conclusive as to its inventorship, scope, validity or enforceability, and our patents may be challenged in the courts or patent offices in the U.S. and abroad. We may become involved in opposition, derivation, reexamination, inter partes review, or post-grant review proceedings challenging our patent rights or the patent rights of others from whom we may in the future obtain licenses to such rights, in the U.S. Patent and Trademark Office, or USPTO, the European Patent Office, or EPO, or in other countries. In addition, we may be subject to

90


 

third-party submissions to the USPTO, the EPO, or elsewhere, that may reduce the scope or preclude the granting of claims from our pending patent applications. Competitors may challenge our issued patents or may file patent applications before we do. Competitors may also claim that we are infringing their patents and that we therefore cannot practice our technology as claimed under our patents or patent applications. Competitors may also contest our patents by showing an administrative patent authority or judge that the invention was not patent-eligible, was not novel, was obvious, and/or lacked inventive step, and/or that the patent application failed to meet relevant requirements relating to description, basis, enablement, and/or support; in litigation, a competitor could assert that our patents are not valid or are unenforceable for a number of reasons. If a court or administrative patent authority agrees, we would lose our protection of those challenged patents.

An adverse determination in any such submission or proceeding may result in loss of exclusivity or freedom to operate or in patent claims being narrowed, invalidated or held unenforceable, in whole or in part, which could limit our ability to stop others from using or commercializing similar or identical technology and drugs, without payment to us, or could limit the duration of the patent protection covering our technology and current or future product candidates. Such challenges may also result in our inability to manufacture or commercialize our current or future product candidates without infringing third-party patent rights. In addition, if the breadth or strength of protection provided by our patents and patent applications is threatened, it could dissuade companies from collaborating with us to license, develop or commercialize current or future product candidates.

In addition, we may in the future be subject to claims by our former employees or consultants asserting an ownership right in our patents or patent applications, as a result of the work they performed on our behalf. Although we generally require all of our employees, consultants and advisors and any other third parties who have access to our proprietary know-how, information or technology to assign or grant similar rights to their inventions to us, we cannot be certain that we have executed such agreements with all parties who may have contributed to our intellectual property, nor can we be certain that our agreements with such parties will be upheld in the face of a potential challenge, or that they will not be breached, for which we may not have an adequate remedy.

Even if they are unchallenged, our issued patents and our pending patent applications, if issued, may not provide us with any meaningful protection or prevent competitors from designing around our patent claims to circumvent patents we may own or in-license by developing similar or alternative technologies or drugs in a non-infringing manner. For example, a third party may develop a competitive drug that provides benefits similar to one or more of our current or future product candidates but that has a different composition that falls outside the scope of our patent protection. If the patent protection provided by the patents and patent applications we hold or pursue with respect to our current or future product candidates is not sufficiently broad to impede such competition, our ability to successfully commercialize our current or future product candidates could be negatively affected, which would harm our business. Furthermore, even if we are able to issue patents with claims of valuable scope in one or more jurisdictions, we may not be able to secure such claims in all relevant jurisdictions, or in a sufficient number to meaningfully reduce competition. Our competitors may be able to develop and commercialize their products, including products identical to ours, in any jurisdiction in which we are unable to obtain, maintain, or enforce such patent claims.

We will not obtain patent or other intellectual property protection for all current or future product candidates in all jurisdictions throughout the world, and we may not be able to adequately enforce our intellectual property rights even in the jurisdictions where we seek protection.

We may not be able to pursue patent coverage of our current or future product candidates, the PegasusTM platform, or other technologies in all countries. Filing, prosecuting and defending patents on current or future product candidates, the PegasusTM platform, and other technologies in all countries throughout the world would be prohibitively expensive, and intellectual property rights in some countries outside the U.S. can be less extensive than those in the U.S. In addition, the laws of some foreign countries do not protect intellectual property rights to the same extent as federal and state laws in the U.S. Consequently, we may not be able to prevent third parties from infringing on our inventions in all countries outside the U.S., or from selling or importing products made using our inventions in and into the U.S. or other jurisdictions. Competitors may use our technologies in jurisdictions where we have not obtained patent protection to develop their own products and further, may export otherwise infringing products to territories where we have patent protection, but where enforcement is not as strong as that in the U.S. These products may compete with our current or future product candidates and in jurisdictions where we do not have any issued patents our patent applications or other intellectual property rights may not be effective or sufficient to prevent them from competing. Much of our patent portfolio is at the very early stage. We will need to decide whether and in which jurisdictions to pursue protection for the various inventions in our portfolio prior to applicable deadlines. Many companies have encountered significant problems in protecting and defending intellectual property rights in foreign jurisdictions. The legal systems of certain countries, particularly certain developing countries, do not favor the enforcement of patents, trade secrets and other intellectual property protection, particularly those relating to pharmaceutical products, which

91


 

could make it difficult for us to stop the infringement of any patents we may own or in-license or marketing of competing products in violation of our proprietary rights generally. Proceedings to enforce any rights we may have in our patent applications or any patents we may own or in-license in foreign jurisdictions could result in substantial costs and divert our efforts and attention from other aspects of our business, could put any patents we may own or in-license at risk of being invalidated or interpreted narrowly and our patent applications at risk of not issuing, and could provoke third parties to assert claims against us. We may not prevail in any lawsuits that we initiate and the damages or other remedies awarded, if any, may not be commercially meaningful. Accordingly, our efforts to enforce our intellectual property rights around the world may be inadequate to obtain a significant commercial advantage from the intellectual property that we develop or license.

Many countries have compulsory licensing laws under which a patent owner may be compelled to grant licenses to third parties. In addition, many countries limit the enforceability of patents against government agencies or government contractors. In these countries, the patent owner may have limited remedies, which could materially diminish the value of such patent. If we are forced to grant a license to third parties with respect to any patents we may own or license that are relevant to our business, our competitive position may be impaired, and our business, financial condition, results of operations, and prospects may be adversely affected.

We may not obtain or grant licenses or sublicenses to intellectual property rights in all markets on equally or sufficiently favorable terms with third parties.

It may be necessary for us to use the patented or proprietary technology of third parties to commercialize our products, in which case we would be required to obtain a license from these third parties. The licensing of third-party intellectual property rights is a competitive area, and more established companies may pursue strategies to license or acquire third-party intellectual property rights that we may consider attractive or necessary. More established companies may have a competitive advantage over us due to their size, capital resources and greater clinical development and commercialization capabilities. In addition, companies that perceive us to be a competitor may be unwilling to assign or license rights to us. We also may be unable to license or acquire third-party intellectual property rights on terms that would allow us to make an appropriate return on our investment or at all. If we are unable to license such technology, or if we are forced to license such technology on unfavorable terms, our business could be materially harmed. If we are unable to obtain a necessary license, we may be unable to develop or commercialize the affected current or future product candidates, which could materially harm our business, and the third parties owning such intellectual property rights could seek either an injunction prohibiting our sales, or, with respect to our sales, an obligation on our part to pay royalties or other forms of compensation. Even if we are able to obtain a license, it may be non-exclusive, thereby giving our competitors access to the same technologies licensed to us. Any of the foregoing could harm our competitive position, business, financial condition, results of operations and prospects.

 

If we fail to comply with our obligations in our current or any future agreements under which we may license intellectual property rights from third parties or otherwise experience disruptions to our business relationships with our licensors, we could lose license rights that are important to our business.

We are dependent on patents, know-how and proprietary technology, both our own and in-licensed from Sanofi and other collaborators. Our commercial success depends upon our ability to develop, manufacture, market and sell our current or future product candidates and use our and our licensors’ proprietary technologies without infringing the proprietary rights of third parties. Sanofi and other collaborators may have the right to terminate their respective license agreements in full in the event that we materially breach or default in the performance of any of the obligations under such license agreements. Any termination of these licenses, or if the underlying patents fail to provide the intended exclusivity, could result in the loss of significant rights and could harm our ability to commercialize our current or future product candidates, the PegasusTM platform, or other technologies, competitors or other third parties would have the freedom to seek regulatory approval of, and to market, products identical to ours, and we may be required to cease our development and commercialization of certain of our current or future product candidates. Any of the foregoing could have a material adverse effect on our competitive position, business, financial conditions, results of operations, and prospects.

Disputes may also arise between us and our current or future licensors regarding intellectual property subject to a license agreement, including:

the scope of rights granted under the license agreement and other interpretation-related issues;
whether and the extent to which our technology and processes infringe, misappropriate or otherwise violate intellectual property rights of the licensor that are not subject to the licensing agreement;
our right to sublicense patent and other rights to third parties under collaborative development relationships;

92


 

our diligence obligations with respect to the use of the licensed technology in relation to our development and commercialization of our current or future product candidates, and what activities satisfy those diligence obligations;
the priority of invention of any patented technology; and
the ownership of inventions and know-how resulting from the joint creation or use of intellectual property by our current or future licensors and us and our partners.

In addition, the agreements under which we may license intellectual property or technology from third parties are likely to be complex, and certain provisions in such agreements may be susceptible to multiple interpretations. The resolution of any contract interpretation disagreement that may arise could narrow what we believe to be the scope of our rights to the relevant intellectual property or technology, or increase what we believe to be our financial or other obligations under the relevant agreement, either of which could have a material adverse effect on our business, financial condition, results of operations and prospects. Moreover, if disputes over intellectual property that we may license prevent or impair our ability to maintain current or future licensing arrangements on acceptable terms, we may be unable to successfully develop and commercialize the affected current or future product candidates or technologies, which could have a material adverse effect on our business, financial conditions, results of operations and prospects.

Intellectual property rights do not guarantee commercial success of current or future product candidates or other business activities. Numerous factors may limit any potential competitive advantage provided by our intellectual property rights.

The degree of future protection afforded by our intellectual property rights, whether owned or in-licensed, is uncertain because intellectual property rights have limitations, and may not adequately protect our business, provide a barrier to entry against our competitors or potential competitors, or permit us to maintain our competitive advantage. Moreover, if a third party has intellectual property rights that cover the practice of our technology, we may not be able to fully exercise or extract value from our intellectual property rights. The following examples are illustrative:

patent applications that we own or may in-license may not lead to issued patents;
patents, should they issue, that we may own or in-license, may not provide us with any competitive advantages, may be narrowed in scope, or may be challenged and held invalid or unenforceable;
others may be able to develop and/or practice technology, including compounds that are similar to the chemical compositions of our current or future product candidates, that is similar to our technology or aspects of our technology but that is not covered by the claims of any patents we may own or in-license, should any patents issue;
third parties may compete with us in jurisdictions where we do not pursue and obtain patent protection;
we, or our future licensors or collaborators, might not have been the first to make the inventions covered by a patent application that we own or may in-license;
we, or our future licensors or collaborators, might not have been the first to file patent applications covering a particular invention;
others may independently develop similar or alternative technologies without infringing, misappropriating or otherwise violating our intellectual property rights;
our competitors might conduct research and development activities in the U.S. and other countries that provide a safe harbor from patent infringement claims for certain research and development activities, as well as in countries where we do not have patent rights, and may then use the information learned from such activities to develop competitive products for sale in our major commercial markets;
we may not be able to obtain and/or maintain necessary licenses on reasonable terms or at all;
third parties may assert an ownership interest in our intellectual property and, if successful, such disputes may preclude us from exercising exclusive rights, or any rights at all, over that intellectual property;
we may choose not to file a patent in order to maintain certain trade secrets or know-how, and a third party may subsequently file a patent covering such trade secrets or know-how;
we may not be able to maintain the confidentiality of our trade secrets or other proprietary information;
we may not develop or in-license additional proprietary technologies that are patentable; and

93


 

the patents of others may have an adverse effect on our business.

Should any of these events occur, they could significantly harm our business, financial condition, results of operations and prospects.

Risks Related to Patent Protection

Obtaining and maintaining our patent protection, including patent term, depends on compliance with various procedural, document submission, deadlines, fee payment and other requirements imposed by governmental patent agencies, and our patent protection could be reduced or eliminated if we miss a filing deadline for patent protection on these inventions or otherwise fail to comply with these requirements.

The USPTO and foreign governmental patent agencies require compliance with a number of procedural, documentary, fee payment and other similar provisions during the patent application process and after issuance of any patent. In addition, periodic maintenance fees, renewal fees, annuity fees and/or various other government fees are required to be paid periodically. While an inadvertent lapse can in some cases be cured by payment of a late fee or by other means in accordance with the applicable rules, there are situations in which noncompliance can result in abandonment or lapse of the patent or patent application, resulting in partial or complete loss of patent rights in the relevant jurisdiction. Noncompliance events that could result in abandonment or lapse of a patent include, but are not limited to, failure to respond to official actions within prescribed time limits, non-payment of fees and failure to properly legalize and submit formal documents. In such an event, our competitors might be able to enter the market with similar or identical products or platforms, which could have a material adverse effect on our business prospects and financial condition.

Depending upon the timing, duration and specifics of FDA marketing approval of our current or future product candidates, one or more of the U.S. patents we own or license may be eligible for limited patent term restoration under the Drug Price Competition and Patent Term Restoration Act of 1984, referred to as the Hatch-Waxman Amendments. The Hatch-Waxman Amendments permit a patent restoration term of up to five years as compensation for patent term lost during product development and the FDA regulatory review process. Different laws govern the extension of patents on approved pharmaceutical products in Europe and other jurisdictions. However, we may not be granted a patent extension because of, for example, failing to exercise due diligence during the testing phase or regulatory review process, failing to apply within applicable deadlines, failing to apply prior to expiration of relevant patents or otherwise failing to satisfy applicable requirements. For example, we may not be granted an extension in the U.S. if all of our patents covering an approved product expire more than fourteen years from the date of NDA approval for a product covered by those patents. Moreover, the applicable time period or the scope of patent protection afforded could be less than we request. If we are unable to obtain patent term extension or restoration or the term of any such extension is less than we request, our competitors may obtain approval of competing products following our patent expiration, and our ability to generate revenues could be materially adversely affected.

 

Changes in patent law could diminish the value of patents in general, thereby impairing our ability to protect our current or future product candidates.

As is the case with other biopharmaceutical companies, our success is heavily dependent on intellectual property, particularly patents. Obtaining and enforcing patents in the biopharmaceutical industry involve both technological and legal complexity and are therefore costly, time consuming and inherently uncertain.

The U.S. Supreme Court has ruled on several patent cases in recent years, either narrowing the scope of patent protection available in certain circumstances or weakening the rights of patent owners in certain situations. Additionally, there have been recent proposals for additional changes to the patent laws of the U.S. and other countries that, if adopted, could impact our ability to obtain patent protection for our proprietary technology or our ability to enforce our proprietary technology. Depending on future actions by the U.S. Congress, the U.S. courts, the USPTO and the relevant law-making bodies in other countries, the laws and regulations governing patents could change in unpredictable ways that would weaken our ability to obtain new patents or to enforce our existing patents and patents that we might obtain in the future.

 

94


 

Risks Related to our Trademarks, Trade Names and Trade Secrets

If our trademarks and trade names for our products or company name are not adequately protected in one or more countries where we intend to market our products, we may delay the launch of product brand names, use different or less effective trademarks or tradenames in different countries, or face other potentially adverse consequences to building our product brand recognition.

Our trademarks or trade name may be challenged, infringed, diluted, circumvented, declared generic, or determined to be infringing on other marks. In such a circumstance, we may not be able to protect our rights to these marks or may be forced to stop using product names, which we need for name recognition by potential partners and customers in our markets of interest.

In addition, during the trademark registration process, we may receive Office Actions from the USPTO or from comparable agencies in foreign jurisdictions refusing registration of our trademarks. For example, in April 2021 and October 2022, respectively, the USPTO issued preliminary office action refusals against our applications to register E3 LIGASE WHOLE BODY ATLAS and E3 HUMAN ATLAS and our K & Design logo mark. While E3 LIGASE WHOLE BODY ATLAS and E3 HUMAN ATLAS have since been published and notices of allowance issued, we do not yet know whether the USPTO will issue a subsequent office action against our application for our logo mark, to which we will have to respond, and which we may not ultimately be able to overcome, or if this application will be approved for publication as well.

In the USPTO and in comparable agencies in many foreign jurisdictions, third parties are also given an opportunity to oppose pending trademark applications and/or to seek the cancellation of registered trademarks. For example, in November 2019, Novartis AG filed actions in the U.S. and European Union trademark offices opposing our applications to register KYMERA and KYMERA THERAPEUTICS for pharmaceuticals and drug development services on the basis of its claimed rights in the KYMRIAH mark. This dispute was amicably settled in October 2020 and the involved applications for KYMERA and KYMERA THERAPEUTICS are now registered or allowed in the United States and have proceeded to registration in the European Union.

If we are unable to adequately protect and enforce our trade secrets, our business and competitive position would be harmed.

In addition to the protection afforded by patents we may own or in-license, we seek to rely on trade secret protection, confidentiality agreements, and license agreements to protect proprietary know-how that may not be patentable, processes for which patents are difficult to enforce and any other elements of our product discovery and development processes that involve proprietary know-how, information, or technology that may not be covered by patents. Although we require all of our employees, consultants, advisors and any third parties who have access to our proprietary know-how, information, or technology to enter into confidentiality agreements, trade secrets can be difficult to protect and we have limited control over the protection of trade secrets used by our collaborators and suppliers. We cannot be certain that we have or will obtain these agreements in all circumstances and we cannot guarantee that we have entered into such agreements with each party that may have or have had access to our trade secrets or proprietary information.

Moreover, any of these parties might breach the agreements and intentionally or inadvertently disclose our trade secret information and we may not be able to obtain adequate remedies for such breaches. In addition, competitors may otherwise gain access to our trade secrets or independently develop substantially equivalent information and techniques. Enforcing a claim that a party illegally disclosed or misappropriated a trade secret is difficult, expensive and time-consuming, and the outcome is unpredictable. If we choose to go to court to stop a third party from using any of our trade secrets, we may incur substantial costs. These lawsuits may consume our time and other resources even if we are successful. Furthermore, the laws of some foreign countries do not protect proprietary rights and trade secrets to the same extent or in the same manner as the laws of the U.S. As a result, we may encounter significant problems in protecting and defending our intellectual property both in the U.S. and abroad. If we are unable to prevent unauthorized material disclosure of our intellectual property to third parties, we will not be able to establish or maintain a competitive advantage in our market, which could materially adversely affect our business, financial condition, results of operations and future prospects.

In the case of employees, we enter into agreements providing that all inventions conceived by the individual, and which are related to our current or planned business or research and development or made during normal working hours, on our premises or using our equipment or proprietary information, are our exclusive property. Although we require all of our employees to assign their inventions to us, we may be unsuccessful in executing such an agreement with each party who, in fact, conceives or develops intellectual property that we regard as our own. The assignment of intellectual property rights may not be self-executing, or the assignment agreements may be breached, and we may be forced to bring claims against third parties, or defend claims that they may bring against us, to determine the ownership of what we regard as our intellectual

95


 

property. Such claims could have a material adverse effect on our business, financial condition, results of operations, and prospects.

Risks Related to Intellectual Property Litigation and Infringement Claims

We may initiate, become a defendant in, or otherwise become party to lawsuits to protect or enforce our intellectual property rights, which could be expensive, time-consuming and unsuccessful.

Competitors may infringe any intellectual property we may own or in-license, including our patents and trademarks. In addition, any intellectual property we may own or in-license also may become the subject of a dispute, including those based on inventorship, priority, validity or unenforceability. To counter infringement or unauthorized use, we may be required to file infringement claims, which can be expensive and time-consuming. We may not prevail in any lawsuits that we initiate, and the damages or other remedies awarded, if any, may not be commercially meaningful. In addition, in an infringement proceeding, a court may decide that any intellectual property we may own or in-license is not valid or is unenforceable or that the other party’s use of our technology that may be patented falls under the safe harbor to patent infringement under 35 U.S.C. §271(e)(1). There is also the risk that, even if the validity of these patents is upheld, the court may refuse to stop the other party from using the technology at issue on the grounds that any patents we may own or in-license do not cover the technology in question or that such third party’s activities do not infringe our patent applications or any patents we may own or in-license. An adverse result in any litigation or defense proceedings could put one or more of any patents or other intellectual property we may own or in-license at risk of being invalidated, held unenforceable, or interpreted narrowly and could put our own applications at risk of not issuing. Such litigation or proceedings could substantially increase our operating losses and reduce the resources available for development activities or any future sales, marketing, patient support or distribution activities. We may not have sufficient financial or other resources to conduct such litigation or proceedings adequately. Some of our competitors may be able to sustain the costs of such litigation or proceedings more effectively than we can because of their greater financial resources and more mature and developed intellectual property portfolios. Uncertainties resulting from the initiation and continuation of patent litigation or other proceedings could have a material adverse effect on our ability to compete in the marketplace.

Post-grant proceedings provoked by third parties or brought by the USPTO may be necessary to determine the validity or priority of inventions with respect to our patent applications or any patents we may own or in-license. These proceedings are expensive and an unfavorable outcome could result in a loss of our current patent rights and could require us to cease using the related technology or to attempt to license rights to it from the prevailing party. Our business could be harmed if the prevailing party does not offer us a license on commercially reasonable terms. In addition to potential USPTO post-grant proceedings, we may become a party to patent opposition proceedings in the EPO, or similar proceedings in other foreign patent offices or courts where our patents may be challenged. The costs of these proceedings could be substantial, and may result in a loss of scope of some claims or a loss of the entire patent. An unfavorable result in a post-grant challenge proceeding may result in the loss of our right to exclude others from practicing one or more of our inventions in the relevant country or jurisdiction, which could have a material adverse effect on our business. Litigation or post-grant proceedings within patent offices may result in a decision adverse to our interests and, even if we are successful, may result in substantial costs and distract our management and other employees. We may not be able to prevent misappropriation of our trade secrets or confidential information, particularly in countries where the laws may not protect those rights as fully as in the U.S.

Furthermore, because of the substantial amount of discovery required in connection with intellectual property litigation, there is a risk that some of our confidential information could be compromised by disclosure during this type of litigation. In addition, there could be public announcements of the results of hearings, motions or other interim proceedings or developments. If securities analysts or investors perceive these results to be negative, it could have a substantial adverse effect on the price of our common stock.

We may not be able to detect infringement against any intellectual property we may own or in-license. Even if we detect infringement by a third party of any intellectual property we may own or in-license, we may choose not to pursue litigation against or settlement with the third party. If we later sue such third party for infringement, the third party may have certain legal defenses available to it, which otherwise would not be available except for the delay between when the infringement was first detected and when the suit was brought. Such legal defenses may make it impossible for us to enforce any patents or other intellectual property we may own or in-license against such third party.

Intellectual property litigation and administrative office challenges in one or more countries could cause us to spend substantial resources and distract our personnel from their normal responsibilities. Even if resolved in our favor, litigation or other legal proceedings relating to intellectual property claims may cause us to incur significant expenses, and could distract our technical and management personnel from their normal responsibilities. In August 2021, we initiated a US patent office

96


 

proceeding, a post-grant review, to challenge a third-party patent unrelated to our current product candidates. In response, the owner of the challenged third-party patent disclaimed that patent in full. We may challenge additional third-party patents in the future. In addition, there could be public announcements of the results of hearings, motions or other interim proceedings or developments and if securities analysts or investors perceive these results to be negative, it could have a substantial adverse effect on the price of our common stock. Such litigation or proceedings could substantially increase our operating losses and reduce the resources available for development activities or any future sales, marketing, patient support or distribution activities. We may not have sufficient financial or other resources to conduct such litigation or proceedings adequately. As noted above, some of our competitors may be able to sustain the costs of such litigation or proceedings more effectively than we can because of their greater financial resources. Uncertainties resulting from the initiation and continuation of patent litigation or other proceedings could compromise our ability to compete in the marketplace, including compromising our ability to raise the funds necessary to continue our preclinical studies and future clinical trials, continue our research programs, license necessary technology from third parties, or enter into development collaborations that would help us commercialize our current or future product candidates, if approved. Any of the foregoing events would harm our business, financial condition, results of operations and prospects.

We may be subject to damages or settlement costs resulting from claims that we or our employees have violated the intellectual property rights of third parties, or are in breach of our agreements. We may be accused of, allege or otherwise become party to lawsuits or disputes alleging wrongful disclosure of third-party confidential information by us or by another party, including current or former employees, contractors or consultants. In addition to diverting attention and resources, such disputes could adversely impact our business reputation and/or protection of our proprietary technology.

The intellectual property landscape relevant to our product candidates and programs is crowded, and third parties may initiate legal proceedings alleging that we are infringing, misappropriating or otherwise violating their intellectual property rights, the outcome of which would be uncertain and could have a material adverse effect on the success of our business. Our commercial success depends upon our ability to develop, manufacture, market and sell our current and future product candidates and use our proprietary technologies without infringing, misappropriating or otherwise violating the intellectual property rights of third parties. There is a substantial amount of litigation involving patents and other intellectual property rights in the biotechnology and pharmaceutical industries, as well as administrative proceedings for challenging patents, including derivation, interference, reexamination, inter partes review and post grant review proceedings before the USPTO or oppositions and other comparable proceedings in foreign jurisdictions. We or any of our current or future licensors or strategic partners may be party to, exposed to, or threatened with, future adversarial proceedings or litigation by third parties having patent or other intellectual property rights alleging that our current or future product candidates and/or proprietary technologies infringe, misappropriate or otherwise violate their intellectual property rights. We cannot assure you that our current or future product candidates, the PegasusTM platform, and other technologies that we have developed, are developing or may develop in the future do not or will not infringe, misappropriate or otherwise violate existing or future patents or other intellectual property rights owned by third parties. For example, many of our employees were previously employed at other biotechnology or pharmaceutical companies. Although we try to ensure that our employees, consultants and advisors do not use the proprietary information or know-how of others in their work for us, we may be subject to claims that we or these individuals have used or disclosed intellectual property, including trade secrets or other proprietary information, of any such individual’s former employer. We may also be subject to claims that patents and applications we have filed to protect inventions of our employees, consultants and advisors, even those related to one or more of our current or future product candidates, the PegasusTM platform, or other technologies, are rightfully owned by their former or concurrent employer. Litigation may be necessary to defend against these claims.

While certain activities related to development and preclinical and clinical testing of our current or future product candidates may be subject to safe harbor of patent infringement under 35 U.S.C. §271(e)(1), upon receiving FDA approval for such candidates we or any of our future licensors or strategic partners may immediately become party to, exposed to, or threatened with, future adversarial proceedings or litigation by third parties having patent or other intellectual property rights alleging that such product candidates infringe, misappropriate or otherwise violate their intellectual property rights. Numerous U.S. and foreign issued patents and pending patent applications, which are owned by third parties, exist in the fields in which we are developing our current or future product candidates. As the biotechnology and pharmaceutical industries expand and more patents are issued, the risk increases that our current or future product candidates may give rise to claims of infringement of the patent rights of others. Moreover, it is not always clear to industry participants, including us, which patents cover various types of drugs, products or their methods of use or manufacture. Thus, because of the large number of patents issued and patent applications filed in our fields, there may be a risk that third parties may allege they have patent rights encompassing our current or future product candidates, technologies or methods.

If a third party claims that we infringe, misappropriate or otherwise violate its intellectual property rights, we may face a number of issues, including, but not limited to:

97


 

infringement, misappropriation and other intellectual property claims which, regardless of merit, may be expensive and time-consuming to litigate and may divert our management’s attention from our core business and may impact our reputation;
substantial damages for infringement, misappropriation or other violations, which we may have to pay if a court decides that the product candidate or technology at issue infringes, misappropriates or violates the third party’s rights, and, if the court finds that the infringement was willful, we could be ordered to pay treble damages and the patent owner’s attorneys’ fees;
a court prohibiting us from developing, manufacturing, marketing or selling our current or future product candidates, or from using our proprietary technologies, including our PegasusTM platform, unless the third-party licenses its product rights to us, which it is not required to do on commercially reasonable terms or at all;
if a license is available from a third party, we may have to pay substantial royalties, upfront fees and other amounts, and/or grant cross-licenses to intellectual property rights for our products, or the license to us may be non-exclusive, which would permit third parties to use the same intellectual property to compete with us;
redesigning our current or future product candidates or processes so they do not infringe, misappropriate or violate third-party intellectual property rights, which may not be possible or may require substantial monetary expenditures and time; and
there could be public announcements of the results of hearings, motions or other interim proceedings or developments, and, if securities analysts or investors perceive these results to be negative, it could have a substantial adverse effect on the price of our common stock.

Some of our competitors may be able to sustain the costs of litigation more effectively than we can because they have substantially greater resources. In addition, any uncertainties resulting from the initiation and continuation of any litigation could have a material adverse effect on our ability to raise the funds necessary to continue our operations or could otherwise have a material adverse effect on our business, results of operations, financial condition and prospects. The occurrence of any of the foregoing could have a material adverse effect on our business, financial condition, results of operations or prospects.

Third parties may assert that we are employing their proprietary technology without authorization. Patents issued in the U.S. by law enjoy a presumption of validity that can be rebutted in U.S. courts only with evidence that is “clear and convincing,” a heightened standard of proof. There may be issued third-party patents of which we are currently unaware with claims to compositions, formulations, methods of manufacture or methods for treatment related to the use or manufacture of our current or future product candidates. Patent applications can take many years to issue. In addition, because some patent applications in the U.S. may be maintained in secrecy until the patents are issued, patent applications in the U.S. and many foreign jurisdictions are typically not published until 18 months after their earliest priority filing date, and publications in the scientific literature often lag behind actual discoveries, we cannot be certain that others have not filed patent applications covering our current or future product candidates or technology. If any such patent applications issue as patents, and if such patents have priority over our patent applications or patents we may own or in-license, we may be required to obtain rights to such patents owned by third parties which may not be available on commercially reasonable terms or at all, or may only be available on a non-exclusive basis. There may be currently pending third-party patent applications which may later result in issued patents that our current or future product candidates may infringe. It is also possible that patents owned by third parties of which we are aware, but which we do not believe are relevant to our current or future product candidates or other technologies, could be found to be infringed by our current or future product candidates or other technologies. In addition, third parties may obtain patents in the future and claim that use of our technologies infringes upon these patents. Moreover, we may fail to identify relevant patents or incorrectly conclude that a patent is invalid, not enforceable, exhausted, or not infringed by our activities. If any third-party patents were held by a court of competent jurisdiction to cover the manufacturing process of our current or future product candidates, molecules used in or formed during the manufacturing process, or any final product itself, the holders of any such patents may be able to block our ability to commercialize the product candidate unless we obtained a license under the applicable patents, or until such patents expire or they are finally determined to be held invalid or unenforceable. Similarly, if any third-party patent were held by a court of competent jurisdiction to cover aspects of our formulations, processes for manufacture or methods of use, including combination therapy or patient selection methods, the holders of any such patent may be able to block our ability to develop and commercialize the product candidate unless we obtained a license or until such patent expires or is finally determined to be held invalid or unenforceable. In either case, such a license may not be available on commercially reasonable terms or at all. If we are unable to obtain a necessary license to a third-party patent on commercially reasonable terms, or at all, our ability to commercialize our current or future product candidates or PegasusTM platform may be impaired or delayed, which could in turn significantly harm our business. Even if we obtain a license, it may be nonexclusive, thereby giving our competitors access to the same technologies licensed to us.

98


 

Parties making claims against us may seek and obtain injunctive or other equitable relief, which could effectively block our ability to further develop and commercialize our current or future product candidates. Defense of these claims, regardless of their merit, could involve substantial litigation expense and would be a substantial diversion of employee resources from our business. In the event of a successful claim of infringement, misappropriation or other violation against us, we may have to pay substantial damages, including treble damages and attorneys’ fees for willful infringement, obtain one or more licenses from third parties, pay royalties or redesign our infringing products, which may be impossible or require substantial time and monetary expenditure. We cannot predict whether any such license would be available at all or whether it would be available on commercially reasonable terms. Furthermore, even in the absence of litigation, we may need or may choose to obtain licenses from third parties to advance our research or allow commercialization of our current or future product candidates. We may fail to obtain any of these licenses at a reasonable cost or on reasonable terms, if at all. In that event, we would be unable to further develop and commercialize our current or future product candidates or technologies, which could harm our business significantly.

We may not identify relevant third-party patents or may incorrectly interpret the relevance, scope or expiration of a third-party patent, which might subject us to infringement claims or adversely affect our ability to develop and market our current or future product candidates.

We cannot guarantee that any of our or our licensors’ patent searches or analyses, including the identification of relevant patents, the scope of patent claims or the expiration of relevant patents, are complete or thorough, nor can we be certain that we have identified each and every third-party patent and pending patent application in the U.S. and abroad that is relevant to or necessary for the commercialization of our current or future product candidates in any jurisdiction. For example, U.S. patent applications filed before November 29, 2000 and certain U.S. patent applications filed after that date that will not be filed outside the U.S. remain confidential until patents issue. As mentioned above, patent applications in the U.S. and elsewhere are published approximately 18 months after the earliest filing for which priority is claimed, with such earliest filing date being commonly referred to as the priority date. Therefore, patent applications covering our current or future product candidates could have been filed by third parties without our knowledge. Additionally, pending patent applications that have been published can, subject to certain limitations, be later amended in a manner that could cover our current or future product candidates or the use of our current or future product candidates. The scope of a patent claim is determined by an interpretation of the law, the written disclosure in a patent and the patent’s prosecution history. Our interpretation of the relevance or the scope of a patent or a pending application may be incorrect, which may negatively impact our ability to market our current or future product candidates. We may incorrectly determine that our current or future product candidates are not covered by a third-party patent or may incorrectly predict whether a third party’s pending application will issue with claims of relevant scope. Our determination of the expiration date of any patent in the U.S. or abroad that we consider relevant may be incorrect, which may negatively impact our ability to develop and market our current or future product candidates. Our failure to identify and correctly interpret relevant patents may negatively impact our ability to develop and market our current or future product candidates.

If we fail to identify and correctly interpret relevant patents, we may be subject to infringement claims. We cannot guarantee that we will be able to successfully settle or otherwise resolve such infringement claims. If we fail in any such dispute, in addition to being forced to pay damages, which may be significant, we may be temporarily or permanently prohibited from commercializing any of our current or future product candidates or technologies that are held to be infringing. We might, if possible, also be forced to redesign current or future product candidates so that we no longer infringe the third-party intellectual property rights. Any of these events, even if we were ultimately to prevail, could require us to divert substantial financial and management resources that we would otherwise be able to devote to our business and could adversely affect our business, financial condition, results of operations and prospects.

Risks Related to Employee Matters, Managing Growth and Other Risks Related to Our Business

Risks Related to Employee Matters and Managing Growth

Our future success depends on our ability to retain key executives and to attract, retain and motivate qualified personnel.

We are highly dependent on the research and development, clinical and business development expertise of Nello Mainolfi, Ph.D., our President and Chief Executive Officer, Jared Gollob, M.D., our Chief Medical Officer, Bruce Jacobs, our Chief Financial Officer, Ellen Chiniara, our Chief Legal Officer and Jeremy Chadwick, our Chief Operating Officer, as well as the other principal members of our management, scientific and clinical teams. Although we have entered into employment letter agreements with our executive officers, each of them may terminate their employment with us at any time. We do not maintain “key person” insurance for any of our executives or other employees. In addition, we rely on consultants and advisors, including scientific and clinical advisors, to assist us in formulating our research and development and commercialization

99


 

strategy. Our consultants and advisors may be employed by employers other than us and may have commitments under consulting or advisory contracts with other entities that may limit their availability to us. If we are unable to continue to attract and retain high quality personnel, our ability to pursue our growth strategy will be limited.

Recruiting and retaining qualified scientific, clinical, manufacturing and sales and marketing personnel will also be critical to our success. The loss of the services of our executive officers or other key employees could impede the achievement of our research, development and commercialization objectives and seriously harm our ability to successfully implement our business strategy. Furthermore, replacing executive officers and key employees may be difficult and may take an extended period of time because of the limited number of individuals in our industry with the breadth of skills and experience required to successfully develop, gain regulatory approval of and commercialize drugs. Competition to hire from this limited pool is intense, and we may be unable to hire, train, retain or motivate these key personnel on acceptable terms given the competition among numerous pharmaceutical and biotechnology companies for similar personnel. We also experience competition for the hiring of scientific and clinical personnel from universities and research institutions. Failure to succeed in clinical trials may make it more challenging to recruit and retain qualified scientific personnel.

We will need to continue to develop and expand our company, and we may encounter difficulties in managing this development and expansion, which could disrupt our operations.

As of December 31, 2023, we had 187 full-time employees, and we expect to increase our number of employees and the scope of our operations. To manage our anticipated development and expansion, we must continue to implement and improve our managerial, operational and financial systems, expand our facilities and continue to recruit and train additional qualified personnel. Our management may need to divert a disproportionate amount of its attention away from its day-to-day activities and devote a substantial amount of time to managing these development activities. Due to our limited resources, we may not be able to effectively manage the expansion of our operations or recruit and train additional qualified personnel. This may result in weaknesses in our infrastructure, give rise to operational mistakes, loss of business opportunities, loss of employees and reduced productivity among remaining employees. The expansion of our operations may lead to significant costs and may divert financial resources from other projects, such as the development of our current or future product candidates. If our management is unable to effectively manage our expected development and expansion, our expenses may increase more than expected, our ability to generate or increase our revenue could be reduced and we may not be able to implement our business strategy. Our future financial performance and our ability to commercialize our current or future product candidates, if approved, and compete effectively will depend, in part, on our ability to effectively manage the future development and expansion of our company.

We or the third parties upon whom we depend may be adversely affected by unforeseen global events, natural disasters, and our business continuity and disaster recovery plans may not adequately protect us from a serious disaster.

Unforeseen global events, such as macroeconomic conditions, outbreaks of violence, or geopolitical instability could adversely impact our business. Such conflicts could lead to sanctions, embargoes, supply shortages, regional instability, geopolitical shifts, cyberattacks, other retaliatory actions, and adverse effects on macroeconomic conditions, currency exchange rates, and financial markets, which could adversely impact our operations and financial results, as well as those of third parties with whom we conduct business.

Additionally, any unplanned event, such as flood, fire, explosion, earthquake, extreme weather condition, medical epidemics or pandemics, power shortage, telecommunication failure or other natural or man-made accidents or incidents that result in us being unable to fully utilize our facilities, or the manufacturing facilities of our third-party contract manufacturers, may have a material and adverse effect on our ability to operate our business and have significant negative consequences on our financial and operating conditions. Loss of access to these facilities may result in increased costs, delays in the development of our product candidates or interruption of our business operations. Natural disasters or pandemics could further disrupt our operations, and have a material and adverse effect on our business, financial condition, results of operations and prospects. If a natural disaster, power outage or other event occurred that prevented us from using all or a significant portion of our headquarters, that damaged critical infrastructure, such as our research facilities or the manufacturing facilities of our third-party contract manufacturers, or that otherwise disrupted operations, it may be difficult or, in certain cases, impossible, for us to continue our business for a substantial period of time. The disaster recovery and business continuity plans we have in place may prove inadequate in the event of a serious disaster or similar event. We may incur substantial expenses as a result of the limited nature of our disaster recovery and business continuity plans, which could have a material adverse effect on our business. As part of our risk management policy, we maintain insurance coverage at levels that we believe are appropriate for our business. However, in the event of an accident or incident at these facilities, we cannot assure our investors that the amounts of insurance will be sufficient to satisfy any damages and losses. If our facilities or the manufacturing facilities of our third-party contract manufacturers are unable to operate because of an accident or incident or for any other reason, even for a short

100


 

period of time, any or all of our research and development programs may be harmed. Any business interruption may have a material and adverse effect on our business, financial condition, results of operations and prospects.


 

Risks Related to Data and Privacy

Our internal computer systems, or those of our third-party CROs or other contractors or consultants, may fail or suffer security breaches, which could result in a material disruption of our current or future product candidates’ development programs.

Despite the implementation of security measures, our internal computer systems and those of our third-party CROs and other contractors and consultants are vulnerable to damage from computer viruses, unauthorized access, natural disasters, terrorism, war and telecommunication and electrical failures. While we have not experienced any such system failure, accident, or security breach to date, if such an event were to occur and cause interruptions in our operations, it could result in a material disruption of our programs. For example, the loss of data from preclinical studies or clinical trials for our current or future product candidates could result in delays in our regulatory approval efforts and significantly increase our costs to recover or reproduce the data. To the extent that any disruption or security breach results in a loss of or damage to our data or applications, other data or applications relating to our technology or current or future product candidates, or inappropriate disclosure of confidential or proprietary information, we could incur liabilities and the further development of our current or future product candidates could be delayed.

We may be unable to adequately protect our information systems from cyberattacks, which could result in the disclosure of confidential or proprietary information, including personal data, damage our reputation, and subject us to significant financial and legal exposure.

We rely on information technology systems that we or our third-party providers operate to process, transmit and store electronic information in our day-to-day operations. In connection with our product discovery efforts, we may collect and use a variety of personal data, such as names, mailing addresses, email addresses, phone numbers and clinical trial information. A successful cyberattack could result in the theft or destruction of intellectual property, data or other misappropriation of assets, or otherwise compromise our confidential or proprietary information and disrupt our operations. Cyberattacks are increasing in their frequency, sophistication and intensity, and have become increasingly difficult to detect. Cyberattacks could include wrongful conduct by hostile foreign governments, industrial espionage, wire fraud and other forms of cyber fraud, the deployment of harmful malware, denial-of-service, social engineering fraud or other means to threaten data security, confidentiality, integrity and availability. A successful cyberattack could cause serious negative consequences for us, including, without limitation, the disruption of operations, the misappropriation of confidential business information, including financial information, trade secrets, financial loss and the disclosure of corporate strategic plans. Although we devote resources to protect our information systems, we realize that cyberattacks are a threat, and there can be no assurance that our efforts will prevent information security breaches that would result in business, legal, financial or reputational harm to us, or would have a material adverse effect on our results of operations and financial condition. Any failure to prevent or mitigate security breaches or improper access to, use of, or disclosure of our clinical data or patients’ personal data could result in significant liability under state (e.g., state breach notification laws), federal (e.g., HIPAA, as amended by HITECH), and international law (e.g., the EU General Data Protection Regulation, or GDPR) and may cause a material adverse impact to our reputation, affect our ability to use collected data, conduct new studies and potentially disrupt our business.

We rely on our third-party providers to implement effective security measures and identify and correct for any such failures, deficiencies or breaches. We also rely on our employees and consultants to safeguard their security credentials and follow our policies and procedures regarding use and access of computers and other devices that may contain our sensitive information. If we or our third-party providers fail to maintain or protect our information technology systems and data integrity effectively or fail to anticipate, plan for or manage significant disruptions to our information technology systems, we or our third-party providers could have difficulty preventing, detecting and controlling such cyber-attacks and any such attacks could result in losses described above, as well as disputes with physicians, patients and our partners, regulatory sanctions or penalties, increases in operating expenses, expenses or lost revenues or other adverse consequences, any of which could have a material adverse effect on our business, results of operations, financial condition, prospects and cash flows. Any failure by such third parties to prevent or mitigate security breaches or improper access to or disclosure of such information could have similarly adverse consequences for us. If we are unable to prevent or mitigate the impact of such security or data privacy breaches, we could be exposed to litigation and governmental investigations, which could lead to a potential disruption to our business.

 

We intend to sublease our current space in Watertown, Massachusetts for occupancy after we move to our new facility. If we are unable to sublease our space on favorable terms or if our subtenants are unable to meet their obligations under any sublease, we may be responsible for unexpected costs, which could impact our financial performance.

101


 

We currently lease 34,522 square feet of research and development and office space in Watertown, Massachusetts, which lease expires on March 31, 2030. In December 2021, we entered into a lease for 100,624 square feet of office and laboratory space in Watertown, Massachusetts, which we began occupying in February 2024. We intend to sublease our current space to third parties after we have completed the move to our new facility. In the event that we are unable to sublease our excess space on favorable terms, or at all, or if we are able to sublease our space but our subtenants fail to make lease payments to us or otherwise default on their obligations to us, we could incur unanticipated payment obligations.


 

Risks Related to Our Common Stock

The price of our common stock has been and may continue to be volatile and fluctuate substantially, and investors may lose all or part of their investment.

Our stock price has been volatile and may continue to be subject to wide fluctuations in response to various factors. The stock market in general and the market for biopharmaceutical companies in particular have experienced extreme volatility that has often been unrelated to the operating performance of particular companies, including in connection with conflicts in various regions of the world, increasing inflation rates, and interest rate changes, which have resulted in decreased stock prices for many companies notwithstanding the lack of a fundamental change in their underlying business models or prospects. As a result of this volatility, you may lose all or part of your investment. The market price for our common stock may be influenced by many factors, including:

the success of competitive drugs or technologies;
results of preclinical studies and clinical trials of our current or future product candidates or those of our competitors;
regulatory or legal developments in the U.S. and other countries;
developments or disputes concerning patent applications, issued patents or other proprietary rights;
the recruitment or departure of key personnel;
the level of expenses related to any of our current or future product candidates or clinical development programs;
the results of our efforts to discover, develop, acquire or in-license additional current or future product candidates or drugs;
actual or anticipated changes in estimates as to financial results, development timelines or recommendations by securities analysts;
variations in our financial results or those of companies that are perceived to be similar to us;
changes in the structure of healthcare payment systems;
market conditions in the pharmaceutical and biotechnology sectors;
announcements regarding our collaboration agreements, including announcements regarding our collaboration agreement with Sanofi;
general economic, industry and market conditions; and
the other factors described in this “Risk Factors” section.

These and other market and industry factors may cause the market price and demand for shares of our common stock to fluctuate substantially, regardless of our actual operating performance, which may limit or prevent investors from selling their shares at or above the price paid for the shares and may otherwise negatively affect the liquidity of our common stock. The realization of any of the above risks or any of a broad range of other risks, including those described in this section, could have a significant and material adverse impact on the market price of our common stock. The price of our common stock may be disproportionately affected as investors may favor traditional profit-making industries and companies during the times of market uncertainty and instability.


 

 

102


 

Unstable market and economic conditions may have serious adverse consequences on our business, financial condition and stock price.

As widely reported, global credit and financial markets have experienced extreme volatility and disruptions in the past several years, including severely diminished liquidity and credit availability, declines in consumer confidence, declines in economic growth, increases in unemployment rates and uncertainty about economic stability. There can be no assurance that further deterioration in credit and financial markets and confidence in economic conditions will not occur. Our general business strategy may be adversely affected by any such economic downturn, volatile business environment or continued unpredictable and unstable market conditions. If the current equity and credit markets deteriorate, or do not improve, it may make any necessary debt or equity financing more difficult, more costly, and more dilutive. Furthermore, our stock price may decline due in part to the volatility of the stock market and the general economic downturn.

Failure to secure any necessary financing in a timely manner and on favorable terms could have a material adverse effect on our growth strategy, financial performance and stock price and could require us to delay, scale back or discontinue the development and commercialization of one or more of our product candidates or delay our pursuit of potential in-licenses or acquisitions. In addition, there is a risk that one or more of our current service providers, manufacturers and other partners may not survive these difficult economic times, which could directly affect our ability to attain our operating goals on schedule and on budget.

Raising additional capital may cause dilution to our stockholders, restrict our operations or require us to relinquish rights to our technologies or current or future product candidates.

Until such time, if ever, as we can generate substantial product revenues, we expect to finance our cash needs through a combination of private and public equity offerings, debt financings, collaborations, strategic alliances and marketing, distribution or licensing arrangements. We do not currently have any committed external source of funds. To the extent that we raise additional capital through the sale of common stock or securities convertible or exchangeable into common stock, your ownership interest will be diluted, and the terms of these securities may include liquidation or other preferences that materially adversely affect your rights as a common stockholder. Debt financing, if available, would increase our fixed payment obligations and may involve agreements that include covenants limiting or restricting our ability to take specific actions, such as incurring additional debt, making capital expenditures or declaring dividends.

If we raise funds through additional collaborations, strategic alliances or marketing, distribution or licensing arrangements with third parties, we may have to relinquish valuable rights to our intellectual property, future revenue streams, research programs or current or future product candidates or to grant licenses on terms that may not be favorable to us. If we are unable to raise additional funds through equity or debt financings when needed, we may be required to delay, scale back or discontinue the development and commercialization of one or more of our product candidates, delay our pursuit of potential in-licenses or acquisitions or grant rights to develop and market current or future product candidates that we would otherwise prefer to develop and market ourselves.

If securities analysts do not publish research or reports about our business or if they publish negative evaluations of our stock, the price of our stock could decline.

The trading market for our common stock relies in part on the research and reports that industry or financial analysts publish about us or our business. We do not have control over these analysts. Although we have obtained research coverage from certain analysts, there can be no assurance that analysts will continue to cover us or provide favorable coverage. If one or more of the analysts covering our business downgrade their evaluations of our stock, the price of our stock could decline. In addition, if one or more of these analysts cease to cover our stock, we could lose visibility in the market for our stock, which in turn could cause our stock price to decline.

Our executive officers, directors, principal stockholders and their affiliates exercise significant influence over our company, which will limit your ability to influence corporate matters and could delay or prevent a change in corporate control.

As of December 31, 2023, the existing holdings of our executive officers, directors, principal stockholders and their affiliates represent beneficial ownership, in the aggregate, of approximately 31% of our outstanding common stock. As a result, these stockholders, if they act together, will be able to influence our management and affairs and the outcome of matters submitted to our stockholders for approval, including the election of directors and any merger, consolidation or sale of all or substantially all of our assets. This may prevent or discourage unsolicited acquisition proposals or offers for our common stock that you may feel are in your best interest as one of our stockholders. Some of these persons or entities may have interests different than yours. For example, because many of these stockholders purchased their shares at prices substantially below the

103


 

current trading price of our stock and have held their shares for a longer period, they may be more interested in selling our Company to an acquirer than other investors or they may want us to pursue strategies that deviate from the interests of other stockholders. Additionally, from time to time, any of our non-affiliated shareholders may accumulate or acquire significant positions in our common stock and may similarly be able to influence our business or matters submitted to our stockholders for approval.

The concentration of voting power among these stockholders may also have an adverse effect on the price of our common stock by delaying, deferring or preventing a change of control of us; impeding a merger, consolidation, takeover or other business combination involving us; or discouraging a potential acquirer from making a tender offer or otherwise attempting to obtain control of us.

We have issued a substantial number of warrants and equity awards from our equity plans which are exercisable into shares of our common stock which could result in substantial dilution to the ownership interests of our existing stockholders.

As of December 31, 2023, approximately 3,000,000 shares of our common stock were reserved for issuance upon exercise of pre-funded warrants. Additionally, 8,706,304 shares of our common stock were reserved for issuance upon exercise of outstanding stock options and vested restricted stock units. The exercise or conversion of these securities will result in a significant increase in the number of outstanding shares and substantially dilute the ownership interests of our existing stockholders. The shares underlying the equity awards from our equity plans are registered on a Form S-8 registration statement. As a result, upon vesting these shares can be freely exercised and sold in the public market upon issuance, subject to volume limitations applicable to affiliates. The exercise of options and the subsequent sale of the underlying common stock could cause a decline in our stock price.

 

Future sales and issuances of our common stock or rights to purchase common stock, including pursuant to our equity incentive plans, could result in additional dilution of the percentage ownership of our stockholders and could cause our stock price to fall.

Additional capital will be needed in the future to continue our planned operations. To the extent we issue additional equity securities to raise capital or pursuant to our equity incentive plans or other contractual obligations, our stockholders may experience substantial dilution. We may sell common stock, convertible securities or other equity securities in one or more transactions at prices and in a manner we determine from time to time. If we sell or issue common stock, convertible securities or other equity securities in more than one transaction, investors may be materially diluted by subsequent sales. These sales may also result in material dilution to our existing stockholders, and new investors could gain rights superior to our existing stockholders.

In addition, sales of a substantial number of shares of our outstanding common stock in the public market could occur at any time. These sales, or the perception in the market that the holders of a large number of shares of common stock intend to sell shares, could reduce the market price of our common stock. Persons who were our stockholders prior to our initial public offering continue to hold a substantial number of shares of our common stock that many of them are now able to sell in the public market. Significant portions of these shares are held by a relatively small number of stockholders, none of whom have entered into agreements restricting their ability to sell their shares. Sales by our stockholders of a substantial number of shares or distributions of their holdings to their respective limited partners and other equity holders, or the expectation that such sales or distributions, or the expectation that such sales may occur, could significantly reduce the market price of our common stock.

Further, because we expect we will need to raise additional capital to fund our future activities, we may in the future sell substantial amounts of common stock or securities convertible into or exchangeable for common stock. Future issuances of common stock or common stock-related securities, together with the exercise of outstanding stock options or warrants, the vesting and settlement of outstanding restricted stock units, and new equity awards granted under our equity incentive plans, if any, may result in further dilution. Pursuant to the sales agreement, or Sales Agreement, with Cowen and Company, LLC, or Cowen, we may offer and sell up to an aggregate amount of $250.0 million of our common stock from time to time in “at-the-market” offerings, subject to the limitations thereof. As of December 31, 2023, no shares of common stock had been sold under the Sales Agreement. To date, approximately $50 million worth of common stock had been sold under the Sales Agreement. To the extent that we sell additional shares of our common stock in the future pursuant to the Sales Agreement, investors purchasing shares of our common stock could experience further dilution.

 

 

104


 

Sales of a substantial number of shares of our common stock in the public market could cause our stock price to fall.

Sales of a substantial number of shares of our common stock in the public market could occur at any time. These sales or the perception in the market that the holders of a large number of shares of common stock intend to sell shares, could reduce the market price of our common stock.

Shares issued upon the exercise of stock options outstanding or settlement of restricted stock units under our equity incentive plans or pursuant to future awards granted under those plans will become available for sale in the public market to the extent permitted by the provisions of applicable vesting schedules, any applicable market standoff and lock-up agreements, and Rule 144 and Rule 701 under the Securities Act.

Certain holders of our common stock have rights, subject to conditions, to require us to file registration statements covering their shares or to include their shares in registration statements that we may file for ourselves or other stockholders. We have also filed registration statements on Form S-8 registering the issuance of shares of common stock issued or reserved for future issuance under our equity compensation plans. Shares registered under this registration statement on Form S-8 can be freely sold in the public market upon issuance and once vested, subject to volume limitations applicable to affiliates. If any of these additional shares are sold, or if it is perceived that they will be sold, in the public market, the market price of our common stock could decline.

The sale or issuance of our common stock to, or through, Cowen may cause significant dilution and the sale of the shares of common stock acquired by Cowen, or the perception that such sales may occur, could cause the price of our common stock to fall.

On October 1, 2021, we entered into a Sales Agreement with Cowen, pursuant to which we may offer and sell our common stock, subject to certain limitations in the Sales Agreement and compliance with applicable law, at any time throughout the term of the Sales Agreement. The number of shares that are sold by Cowen after delivering a placement notice will fluctuate based on the market price of the common stock during the sales period and limits we set with Cowen. Because the price per share of each share sold will fluctuate based on the market price of our common stock during the sales period, it is not possible at this stage to predict the number of shares that will be ultimately issued. Sales to, or through, Cowen by us could result in substantial dilution to the interests of other holders of our common stock. Additionally, the sale of a substantial number of shares of our common stock, or the anticipation of such sales, could make it more difficult for us to sell equity or equity-related securities in the future at a time and at a price that we might otherwise wish to effect sales. From October 1, 2021 through December 31, 2023, we had not sold any shares of common stock through the Cowen sales agreement. On February 7, 2024, we sold 1,519,453 shares of common stock through the Cowen sales agreement.

 

Because we do not anticipate paying any cash dividends on our capital stock in the foreseeable future, capital appreciation, if any, will be investors’ sole source of gain.

We have never declared or paid cash dividends on our capital stock. We currently intend to retain all of our future earnings, if any, to finance the growth and development of our business. As a result, capital appreciation, if any, of our common stock will be investors’ sole source of gain for the foreseeable future.

We may be at an increased risk of securities class action litigation.

Historically, securities class action litigation has often been brought against a company following a decline in the market price of its securities. This risk is especially relevant for us because biotechnology and pharmaceutical companies have experienced significant stock price volatility in recent years. If we were to be sued, it could result in substantial costs and a diversion of management’s attention and resources, which could harm our business. Additionally, any lawsuit to which we are a party, with or without merit, may result in an unfavorable judgment. We also may decide to settle lawsuits on unfavorable terms. Any such negative outcome could result in payments of substantial damages or fines, damage to our reputation or adverse changes to our business practices. Furthermore, during the course of litigation, there could be negative public announcements of the results of hearings, motions or other interim proceedings or developments, which could have a negative effect on the market price of our common stock.

 

 

105


 

Risks Related to Tax

Changes in tax law may adversely affect us or our investors.

The rules dealing with U.S. federal, state and local income taxation are constantly under review by persons involved in the legislative process and by the Internal Revenue Service, or IRS, and the U.S. Treasury Department. Changes to tax laws (which changes may have retroactive application) could adversely affect us or holders of our common stock. These changes could subject us to additional income-based taxes and non-income taxes (such as payroll, sales, use, value-added, net worth, property, and goods and services taxes), which in turn could materially affect our financial position and results of operations. For example, under Section 174 of the Code, in taxable years beginning after December 31, 2021, expenses that are incurred for research and development in the U.S. will be capitalized and amortized, which may have an adverse effect on our cash flow. Additionally, new, changed, modified, or newly interpreted or applied tax laws could increase our customers’ and our compliance, operating and other costs, as well as the costs of our products. In recent years, many such changes have been made and changes are likely to continue to occur in the future.

As we expand the scale of our business activities, any changes in the U.S. and non-U.S. taxation of such activities may increase our effective tax rate and harm our business, financial condition and results of operations. You are urged to consult your tax advisor regarding the implications of potential changes in tax laws on an investment in our common stock.


 

Our ability to utilize our net operating loss carryforwards and certain other tax attributes to offset future taxable income may be subject to certain limitations, and, as a result, unavailable to reduce our future tax liability

As of December 31, 2023, we had federal and state net operating loss carryforwards of $160.5 million and $161.3 million, respectively, which begin to expire in various amounts in 2036 (other than federal net operating loss carryforwards arising in taxable years beginning after December 31, 2017, which are not subject to expiration but the deductibility of such federal NOLs may be limited to 80% of our taxable income annually for tax years beginning after December 31, 2020). As of December 31, 2023, we also had federal and state research and development tax credit carryforwards of $19.5 million and $8.1 million, respectively, which begin to expire in 2036. These net operating loss and tax credit carryforwards could expire unused and be unavailable to offset future income tax liabilities. In addition, in general, under Sections 382 and 383 of the Internal Revenue Code of 1986, as amended, or the Code, a corporation that undergoes an “ownership change” is subject to limitations on its ability to utilize its pre-change net operating losses or tax credits, or NOLs or credits, to offset future taxable income or taxes. For these purposes, an ownership change generally occurs where the aggregate stock ownership of one or more stockholders or groups of stockholders who own at least 5% of a corporation’s stock increases by more than 50 percentage points over the lowest ownership percentage of such stockholders or groups of stockholders within a specified testing period. Our existing NOLs or credits may be subject to limitations arising from previous ownership changes. In addition, future changes in our stock ownership, many of which are outside of our control, could result in an ownership change under Sections 382 and 383 of the Code and limit our ability to utilize NOLs or credit. Our NOLs or credits may also be impaired under state law. Accordingly, we may not be able to utilize a material portion of our NOLs or credits. Furthermore, our ability to utilize our NOLs or credits is conditioned upon our attaining profitability and generating U.S. federal and state taxable income. As described above under “Risk Factors—Risks Related to our Financial Position and Need for Additional Capital,” we have incurred significant net losses since our inception and anticipate that we will continue to incur significant losses for the foreseeable future; and therefore, we do not know whether or when we will generate the U.S. federal or state taxable income necessary to utilize our NOLs or credit carryforwards that are subject to limitation by Sections 382 and 383 of the Code.

 

Risks Related to Our Controls and Reporting Requirements

If we fail to maintain proper and effective internal control over financial reporting, our operating results and our ability to operate our business could be harmed.

Ensuring that we have adequate internal financial and accounting controls and procedures in place so that we can produce accurate financial statements on a timely basis is a costly and time-consuming effort that needs to be re-evaluated frequently. Our internal control over financial reporting is a process designed to provide reasonable assurance regarding the reliability of financial reporting and the preparation of financial statements in accordance with generally accepted accounting principles. Pursuant to Section 404 of the Sarbanes-Oxley Act of 2002, or Section 404, we are required to furnish a report by our management on our internal control over financial reporting, including an attestation report on internal control over financial reporting issued by our independent registered public accounting firm.

106


 

To achieve compliance with Section 404, we have engaged in a process to document and evaluate our internal control over financial reporting, which is both costly and challenging. In this regard, we will need to continue to dedicate internal resources, potentially engage outside consultants and adopt a detailed work plan to assess and document the adequacy of internal control over financial reporting, continue steps to improve control processes as appropriate, validate through testing that controls are functioning as documented and implement a continuous reporting and improvement process for internal control over financial reporting. Despite our efforts, there is a risk that neither we nor our independent registered public accounting firm will be able to conclude within the prescribed timeframe that our internal control over financial reporting is effective as required by Section 404. This could result in an adverse reaction in the financial markets due to a loss of confidence in the reliability of our financial statements. In addition, investors’ perceptions that our internal controls are inadequate or that we are unable to produce accurate financial statements on a timely basis may harm our stock price and make it more difficult for us to effectively market and sell any of our present or future product candidates that may receive regulatory approval.


 

Our disclosure controls and procedures may not prevent or detect all errors or acts of fraud.

We are subject to certain reporting requirements of the Exchange Act. Our disclosure controls and procedures are designed to reasonably assure that information required to be disclosed by us in reports we file or submit under the Exchange Act is accumulated and communicated to management, recorded, processed, summarized and reported within the time periods specified in the rules and forms of the SEC. We believe that any disclosure controls and procedures or internal controls and procedures, no matter how well conceived and operated, can provide only reasonable, not absolute, assurance that the objectives of the control system are met. These inherent limitations include the realities that judgments in decision-making can be faulty, and that breakdowns can occur because of simple error or mistake. Additionally, controls can be circumvented by the individual acts of some persons, by collusion of two or more people or by an unauthorized override of the controls. Accordingly, because of the inherent limitations in our control system, misstatements or insufficient disclosures due to error or fraud may occur and not be detected.

Risks Related to Our Charter and Bylaws

Anti-takeover provisions under our charter documents and Delaware law could delay or prevent a change of control, which could limit the market price of our common stock and may prevent or frustrate attempts by our stockholders to replace or remove our current management.

Our fourth amended and restated certificate of incorporation and our second amended and restated bylaws contain provisions that could delay or prevent a change of control of our company or changes in our board of directors that our stockholders might consider favorable. Some of these provisions include:

a board of directors divided into three classes serving staggered three-year terms, such that not all members of the board will be elected at one time;
a prohibition on stockholder action through written consent, which requires that all stockholder actions be taken at a meeting of our stockholders;
a requirement that special meetings of stockholders be called only by the board of directors acting pursuant to a resolution approved by the affirmative vote of a majority of the directors then in office;
advance notice requirements for stockholder proposals and nominations for election to our board of directors;
a requirement that no member of our board of directors may be removed from office by our stockholders except for cause and, in addition to any other vote required by law, upon the approval of not less than two-thirds of all outstanding shares of our voting stock then entitled to vote in the election of directors;
a requirement of approval of not less than two-thirds of all outstanding shares of our voting stock to amend any bylaws by stockholder action or to amend specific provisions of our certificate of incorporation; and
the authority of the board of directors to issue preferred stock on terms determined by the board of directors without stockholder approval and which preferred stock may include rights superior to the rights of the holders of common stock.

In addition, because we are incorporated in Delaware, we are governed by the provisions of Section 203 of the Delaware General Corporate Law, or DGCL, which may prohibit certain business combinations with stockholders owning 15% or more of our outstanding voting stock. These antitakeover provisions and other provisions in our fourth amended and restated certificate of incorporation and amended and restated bylaws could make it more difficult for stockholders or potential acquirers

107


 

to obtain control of our board of directors or initiate actions that are opposed by the then-current board of directors and could also delay or impede a merger, tender offer or proxy contest involving our company. These provisions could also discourage proxy contests and make it more difficult for you and other stockholders to elect directors of your choosing or cause us to take other corporate actions you desire. Any delay or prevention of a change of control transaction or changes in our board of directors could cause the market price of our common stock to decline.


 

Our amended and restated bylaws designate specific courts as the exclusive forum for certain litigation that may be initiated by our stockholders, which could limit our stockholders’ ability to obtain a favorable judicial forum for disputes with us.

Pursuant to our amended and restated bylaws, unless we consent in writing to the selection of an alternative forum, the Court of Chancery of the State of Delaware is the sole and exclusive forum for any state law claims for (1) any derivative action or proceeding brought on our behalf; (2) any action asserting a claim of or based on a breach of a fiduciary duty owed by any director, officer or other employee of ours to us or our stockholders; (3) any action asserting a claim pursuant to any provision of the DGCL, our amended and restated certificate of incorporation or our amended and restated bylaws; or (4) any action asserting a claim governed by the internal affairs doctrine, or the Delaware Forum Provision. The Delaware Forum Provision will not apply to any causes of action arising under the Securities Act or the Exchange Act. Our amended and restated bylaws further provide that unless we consent in writing to the selection of an alternative forum, the United States District Court for the District of Massachusetts shall be the sole and exclusive forum for resolving any complaint asserting a cause of action arising under the Securities Act, or the Federal Forum Provision. In addition, our amended and restated bylaws provide that any person or entity purchasing or otherwise acquiring any interest in shares of our capital stock is deemed to have notice of and consented to the Delaware Forum Provision and the Federal Forum Provision; provided, however, that stockholders cannot and will not be deemed to have waived our compliance with the federal securities laws and the rules and regulations thereunder.

We recognize that the Delaware Forum Provision and the Federal Forum Provision in our amended and restated bylaws may impose additional litigation costs on stockholders in pursuing any such claims, particularly if the stockholders do not reside in or near the State of Delaware or the Commonwealth of Massachusetts, as applicable. Additionally, the forum selection clauses in our amended and restated bylaws may limit our stockholders’ ability to bring a claim in a judicial forum that they find favorable for disputes with us or our directors, officers or employees, which may discourage the filing of lawsuits against us and our directors, officers and employees, even though an action, if successful, might benefit our stockholders. In addition, while the Delaware Supreme Court ruled, and other state courts have upheld the validity of, that federal forum selection provisions purporting to require claims under the Securities Act be brought in federal court, there is uncertainty as to whether other courts will enforce our Federal Forum Provision. If the Federal Forum Provision is found to be unenforceable, we may incur additional costs associated with resolving such matters. The Federal Forum Provision may also impose additional litigation costs on stockholders who assert that the provision is not enforceable or invalid. The Court of Chancery of the State of Delaware and the United States District Court for the District of Massachusetts may also reach different judgments or results than would other courts, including courts where a stockholder considering an action may be located or would otherwise choose to bring the action, and such judgments may be more or less favorable to us than our stockholders.

Item 1B. Unresolved Staff Comments.

None.

 

108


 

Item 1C. Cybersecurity

 

Cyber Risk Management and Strategy

Kymera uses, stores and processes data for and about our research programs, clinical trials, employees, and suppliers. We have developed and maintain an information security program designed to assess, identify, and manage risks from cybersecurity threats, including to our data and systems. We conduct periodic assessments of our assets, including internal and external security testing, as part of our risk management process and to evaluate the effectiveness of applicable security controls. These assessments are informed by industry standards. Our cybersecurity risk management process is a part of our overall risk management program. We also have an employee education program that includes training designed to raise awareness of cybersecurity threats. We have adopted an Incident Response Policy that outlines the legal and governance process for identifying and managing material cyber risks to our information and information systems and our framework for assessing and responding to cyber incidents, as applicable.

Governance Related to Cybersecurity Risks

Under the ultimate direction of the Chief Executive Officer and our executive management team, the Cybersecurity Supervisory Committee (CSSC) has primary responsibility for overseeing our management of cybersecurity risks, which includes representatives from finance, legal, operations, human resources, and information technology. The CSSC meets as circumstances warrant to review and update incident response procedures and to provide oversight of incident response activities of the Cyber Security Incident Response Team.

The head of information technology and the CSSC have primary responsibility for assessing and managing our cybersecurity program. The head of information technology, who reports to the Chief Operating Officer, has more than 25 years of experience in building and leading information technology and security teams.

The board of directors has ultimate oversight of our risk management program and has delegated oversight of that program, including, oversight of cybersecurity, to the audit committee of the board of directors. The S.V.P. of Information Technology presents to the audit committee periodically regarding cybersecurity matters. The Chief Financial Officer and the Chief Legal Officer are responsible for informing the audit committee in the event of any material cybersecurity incidents and any potential disclosure obligations arising from such incidents.

Item 2. Properties.

We currently occupy approximately 34,522 rentable square feet of office and laboratory space in Watertown, Massachusetts under a lease that expires in March 2030. We have an option to extend the lease term for five additional years. Additionally, in February 2023 we began occupying 100,624 square feet of office and laboratory space in Watertown, Massachusetts under a lease that expires in March 2035. We have two options to extend the lease term, each for five additional years. We believe that our office and laboratory space is sufficient to meet our current needs and that suitable additional space will be available as and when needed.

From time to time, we may become involved in litigation or other legal proceedings. We are not currently a party to any litigation or legal proceedings that, in the opinion of our management, are likely to have a material adverse effect on our business. Regardless of outcome, litigation can have an adverse impact on our business, financial condition, results of operations and prospects because of defense and settlement costs, diversion of management resources and other factors.

Item 4. Mine Safety Disclosures.

Not applicable.

109


 

PART II

Item 5. Market for Registrant’s Common Equity, Related Stockholder Matters and Issuer Purchases of Equity Securities.

Certain Information Regarding the Trading of Our Common Stock

Our common stock trades under the symbol “KYMR” on the Nasdaq Global Select Market and has been publicly traded since August 21, 2020. Prior to this time, there was no public market for our common stock.

Stock Performance Graph

The following graph shows a comparison from August 21, 2020, the first date that shares of our common stock were publicly traded, through December 31, 2023, of the cumulative total return on an assumed investment of $100.00 in cash in our common stock, the NASDAQ Composite Index and the NASDAQ Biotechnology Index for the same period. Such returns are based on historical results and are not intended to suggest future performance. Data for the NASDAQ Composite Index and the NASDAQ Biotechnology Index assume reinvestment of dividends.

Comparison of 41 Month Cumulative Total Return*

Among Kymera Therapeutics, Inc., the NASDAQ Composite Index and the NASDAQ Biotechnology Index

 

img255116984_52.jpg 

 

*$100 invested on August 21, 2020 in stock and indices, including reinvestment of dividends.

Fiscal year ending December 31.

The performance graph in this Item 5 is not deemed to be “soliciting material” or to be “filed” with the Securities and Exchange Commission for purposes of Section 18 of the Securities and Exchange Act of 1934, as amended, or otherwise subject to the liabilities under that Section, and shall not be deemed incorporated by reference into any of our filings under the Securities Act of 1933 or the Securities Exchange Act of 1934, except to the extent we specifically incorporate it by reference into such a filing.

110


 

Holders of Our Common Stock

As of February 16, 2024, there were approximately 21 holders of record of shares of our common stock. This number does not include stockholders for whom shares are held in “nominee” or “street” name.

Securities Authorized for Issuance Under Equity Compensation Plans

The information required by Item 5 of Form 10-K regarding equity compensation plans is incorporated herein by reference to Item 12 of Part III of this Annual Report.

Recent Sales of Unregistered Securities

None.

Item 6. Reserved.

Not Applicable.

 

111


 

Item 7. Management’s Discussion and Analysis of Financial Condition and Results of Operations.

The following discussion and analysis of our financial condition and results of operations should be read in conjunction with our audited financial statements and related notes appearing elsewhere in this Annual Report on Form 10-K. Some of the information contained in this discussion and analysis and set forth elsewhere in this Annual Report on Form 10-K, including information with respect to our plans and strategy for our business, includes forward-looking statements that involve risks and uncertainties. You should review the section titled “Risk Factors” in Part I, Item 1A of this Annual Report on Form 10-K for a discussion of important factors that could cause actual results to differ materially from the results described in or implied by the forward-looking statements contained in the following discussion and analysis.

Overview

We are a biopharmaceutical company focused on discovering and developing novel small molecule therapeutics that selectively degrade disease-causing proteins by harnessing the body’s own natural protein degradation system. Our proprietary targeted protein degradation, or TPD, platform, which we refer to as Pegasus™, allows us to discover highly selective small molecule protein degraders with activity against disease-causing proteins throughout the body. We believe that our small molecule protein degraders have unique advantages over existing therapies and allow us to address a large portion of the human genome that was previously intractable with traditional modalities. We focus on biological pathways that have been clinically validated but where key biological nodes/proteins have not been drugged or are inadequately drugged. To date, we have utilized our Pegasus™ platform to design novel protein degraders focused in the areas of immunology-inflammation and oncology, and we continue to apply our platform’s capabilities to additional therapeutic areas. We have a mission to drug all target classes in human cells using TPD.

Our current clinical stage programs are IRAK4, STAT3, and MDM2, which each address high impact targets within biologically-proven pathways, providing the opportunity to treat a broad range of immuno-inflammatory diseases, hematologic malignancies, and/or solid tumors. Our programs exemplify our focus on addressing high impact targets that have been elusive to conventional modalities and that drive the pathogenesis of multiple serious diseases with significant unmet medical needs. Our disclosed preclinical programs target STAT6 and TYK2, two proteins in well-validated pathways where we believe our degrader technology has the potential to offer unique advantages as compared to competing therapies. Both programs are currently in IND-enabling studies.

With respect to our IRAK4 program, we are collaborating with Sanofi S.A, or Sanofi, on the development of drug candidates targeting IRAK4 outside the oncology and immuno-oncology fields. We are developing KT-474, a highly active and selective, orally bioavailable IRAK4 degrader, for the treatment of interleukin-1 receptor/toll-like receptor or IL-1R/TLR-driven immunology-inflammation conditions and diseases with high unmet medical need, including hidradenitis suppurativa, or HS, an inflammatory skin disease, as well as atopic dermatitis, or AD, and potentially other indications. We have completed our Phase 1 trial of KT-474, which included cohorts of healthy volunteers, as well as patients with HS and AD. Phase 2 clinical trials of KT-474, conducted by Sanofi, are initially investigating its potential in HS and AD. The clinical trials for both indications have been initiated, and patient dosing is ongoing.

With respect to our clinical oncology programs, we are evaluating KT-333, a STAT3 degrader, in a Phase 1 clinical trial in patients with relapsed/refractory liquid and solid tumors, including aggressive lymphomas. Patient enrollment and dosing are ongoing in the Phase 1a portion of the trial, and we expect to present additional clinical data in 2024. In September 2023, we announced that the FDA, granted KT-333 Fast Track Designation for the treatment of relapsed/refractory peripheral T cell lymphoma, an indication for which we have previously received Orphan Drug Designation. Our Phase 1 clinical trial of KT-253, our MDM2 degrader, was initiated in March 2023. The study is evaluating the safety, tolerability, pharmacokinetics/pharmacodynamics, and clinical activity of ascending doses of KT-253 in adult patients with relapsed or refractory high grade myeloid malignancies, acute lymphocytic leukemia, or ALL, lymphomas, and solid tumors. Patient enrollment and dosing are ongoing in the Phase 1a portion of the trial, and we provided initial safety, proof-of-mechanism and proof-of-concept data in November of 2023. We expect to present additional clinical data in 2024. In June 2023, KT-253 was granted orphan drug designation by the FDA for the treatment of acute myeloid leukemia. In November 2023, we announced the decision to discontinue the development of our KT-413 (IRAKIMiD) program, despite reaching expected degradation levels and a lack of dose-limiting toxicities, in order to focus resources to support our growing immunology pipeline.

Since our inception in 2015, we have devoted substantially all our efforts to organizing and staffing our company, research and development activities, business planning, raising capital, building our intellectual property portfolio and providing general and administrative support for these operations. To date, we have received gross proceeds of $1.45 billion from sales of our convertible preferred stock, the sale of common stock including our August 2020 initial public offering, or IPO, and concurrent private placement, our July 2021 follow-on offering and concurrent private placement, our August 2022

112


 

private investment in public equity, or PIPE, offering, January 2024 follow-on offering, our sales agreement with Cowen and Company, LLC., and through our corporate collaborations.

We have incurred significant operating losses since inception. Our ability to generate product revenue sufficient to achieve profitability will depend heavily on the successful development and eventual commercialization of one or more of our current product candidates or any future product candidates. Our net losses were $147.0 million, $154.8 million and $100.2 million for the years ended December 31, 2023, 2022 and 2021, respectively. In addition, as of December 31, 2023 and 2022 we had an accumulated deficit of $530.8 million and $383.8 million, respectively. We expect that our expense and capital requirements will increase substantially in connection with our ongoing activities, particularly if and as we:

initiate and complete preclinical studies and clinical trials for current or future product candidates
prepare and submit Investigational New Drug applications, or INDs, with the U.S Food and Drug Administration, or FDA, for future product candidates;
develop and scale up our capabilities to support our ongoing preclinical activities and clinical trials for our product candidates and commercialization of any of our product candidates for which we may obtain marketing approval;
secure facilities to support continued growth in our research, development and commercialization efforts;
advance research and development related activities to expand our product pipeline;
expand and improve the capabilities of our Pegasus™ platform;
seek regulatory approval for our product candidates that successfully complete clinical development;
contract to manufacture our product candidates;
maintain, expand and protect our intellectual property portfolio;
hire additional staff, including clinical, scientific and management personnel; and
incur additional costs associated with continuing to operate as a public company.

In addition, if we obtain marketing approval for any of our lead product candidates, we expect to incur significant commercialization expenses related to product manufacturing, marketing, sales and distribution. As a result, we will need substantial additional funding to support our continuing operations and pursue our growth strategy. Until such time as we can generate significant revenue from product sales, if ever, we expect to finance our operations through the sale of equity, debt financings, or other capital sources, which may include collaborations with other companies or other strategic transactions. We may be unable to raise additional funds or enter into such other agreements or arrangements when needed on favorable terms, or at all. If we fail to raise capital or enter into such agreements as and when needed, we may have to significantly delay, reduce or eliminate the development and commercialization of one or more of our product candidates.

We will not generate revenue from product sales unless and until we successfully complete clinical development and obtain marketing approval for our drug candidates. The lengthy process of securing marketing approvals for new drugs requires the expenditure of substantial resources. Any delay or failure to obtain regulatory approvals would materially adversely affect our product candidate development efforts and our business overall. Because of the numerous risks and uncertainties associated with product development, we are unable to predict the timing or amount of increased expenses or when or if we will be able to achieve or maintain profitability. Even if we are able to generate product sales, we may not become profitable. If we fail to become profitable or are unable to sustain profitability on a continuing basis, then we may be unable to continue our operations at planned levels and be forced to reduce or terminate our operations.

As of December 31, 2023, we had cash, cash equivalents and marketable securities of $436.3 million. We believe the existing cash, cash equivalents and marketable securities on hand, together with the net proceeds from the first quarter of 2024 offerings and the $15 million milestone payment received in January of 2024 under our collaboration agreement with Sanofi, will be sufficient to fund our operations into the first half of 2027. which is expected to take us beyond the Phase 2 data for KT-474, as well as additional proof-of-concept data for KT-253 and KT-333, and several clinical inflection points for our STAT6 and TYK2 programs. We have based this estimate on assumptions that may prove to be wrong, and we could exhaust our available capital resources sooner than we expect. See “—Liquidity and capital resources.”

113


 

Components of Our Results of Operations

Revenue

To date, we have not generated any revenue from product sales and do not expect to generate any revenue from the sale of products in the foreseeable future. Our only revenues have been derived from research collaboration arrangements with Vertex Pharmaceuticals Incorporated, or Vertex, and Sanofi. We expect that our revenue for the next several years will be derived primarily from our current collaboration agreements and any additional collaborations that we may enter into in the future. To date, we have not received any royalties under any of the collaboration agreements.

Vertex Collaboration Agreement

On May 9, 2019, we entered into a collaboration agreement, or the Vertex Agreement, with Vertex, to advance small molecule protein degradation against up to six targets. Under the Vertex Agreement, Vertex was granted the exclusive option to license the rights to the product candidates developed through the collaboration at which point Vertex would control development and commercialization. Pursuant to the Vertex Agreement, we were responsible for discovery and preclinical research on the targets, and Vertex was responsible for development, manufacturing, and commercialization of the product candidates after it exercises its option to license. Vertex provided us with a non-refundable upfront payment of $50.0 million and purchased 3,059,695 shares of our Series B-1 Convertible Preferred Stock at $6.54 a share, pursuant to a separate, but simultaneously executed Share Purchase Agreement.

The Vertex Agreement expired upon the completion of the initial research term on May 9, 2023.

Sanofi Agreement

On July 7, 2020, we entered into a collaboration agreement, or the Sanofi Agreement, with Sanofi to co-develop drug candidates directed to two biological targets. Under the Sanofi Agreement, we granted to Sanofi a worldwide exclusive license to develop, manufacture and commercialize certain lead compounds generated during the collaboration directed against IRAK4 and one additional undisclosed target in an undisclosed field of use. Such license is exercisable on a collaboration target-by-collaboration target basis only after a specified milestone. For compounds directed against IRAK4, the field of use includes diagnosis, treatment, cure, mitigation or prevention of any diseases, disorders or conditions, excluding oncology and immuno-oncology. We are responsible for discovery and preclinical research and conducting a phase 1 clinical trial for at least one degrader directed against IRAK4 plus up to three backup degraders. With respect to both targets, Sanofi is responsible for development, manufacturing, and commercialization of product candidates after a specified development milestone occurs with respect to each collaboration candidate.

We have an exclusive option, or Opt-In Right, exercisable on a collaboration target-by-collaboration target basis that will include the right to (i) to fund 50% of the United States development costs for collaboration products directed against such target in the applicable field of use and (ii) share equally in the net profits and net losses of commercializing collaboration products directed against such target in the applicable field of use in the United States. In addition, if we exercise the Opt-In Right, Sanofi will grant us an exclusive option, applicable to each collaboration target, which upon exercise will allow us to conduct certain co-promotion activities in the field in the United States.

The Sanofi Agreement, unless earlier terminated, will expire on a product-by-product basis on the date of expiration of all payment obligations under the Sanofi Agreement with respect to such product. We or Sanofi may terminate the agreement upon the other party’s material breach or insolvency or for certain patent challenges. In addition, Sanofi may terminate the agreement for convenience or for a material safety event upon advance prior written notice, and we may terminate the agreement with respect to any collaboration candidate if, following Sanofi’s assumption of responsibility for the development, commercialization or manufacturing of collaboration candidates with respect to a particular target, Sanofi ceases to exploit any collaboration candidates directed to such target for a specified period.

114


 

In consideration for the exclusive licenses granted to Sanofi under the Sanofi Agreement, Sanofi made an upfront payment of $150.0 million. In addition to the upfront payment, we are eligible to receive certain development milestone payments of up to $1.48 billion in the aggregate, of which more than $1.0 billion relates to the IRAK4 program, upon the achievement of certain developmental or regulatory events. We will be eligible to receive certain commercial milestone payments up to $700.0 million in the aggregate, of which $400.0 million relates to the IRAK4 program, which are payable upon the achievement of certain net sales thresholds. We will be eligible to receive tiered royalties for each program on net sales ranging from the high single digits to high teens, subject to low-single digits upward adjustments in certain circumstances. As of December 31, 2023, we have achieved $55.0 million of milestones to date under the Sanofi Agreement related to certain IRAK4 clinical milestones.

On November 15, 2022, we entered into an Amended and Restated Collaboration and License Agreement with Sanofi, or the Amended Sanofi Agreement, which amended the Original Sanofi Agreement to revise certain research terms and responsibilities set forth under the Original Sanofi Agreement. The Amended Sanofi Agreement also specifies details around the timing and number of Phase 2 trials required under the terms of the collaboration. The Amended Sanofi Agreement became effective on December 5, 2022.

Additionally with respect to Sanofi, on December 2, 2022, Sanofi provided the Company with written notice of its intention to advance the collaboration target 1 candidate, KT-474, into Phase 2 clinical trials for which the Company received milestone payments as further set forth in the Amended Sanofi Agreement. Phase 2 clinical trials of KT-474 are initially investigating its potential in HS and AD with the clinical trial for both indications having been initiated and commenced dosing in 2023.

In September 2023, the Company and Sanofi mutually agreed to cease activities related to Collaboration Target 2.

Operating expenses

Our operating expenses since inception have consisted solely of research and development expenses and general and administrative expenses.

Research and development expenses

Research and development expenses consist primarily of costs incurred in connection with the discovery and development of targeted protein degradation therapeutics. These research efforts and costs include external research costs, personnel costs, supplies, license fees and facility-related expenses. We expense research and development costs as incurred. These expenses include:

employee-related expenses, including salaries, related benefits and stock-based compensation expense, for employees engaged in research and development functions;
expenses incurred under agreements with organizations that support our platform program development;
contract manufacturing organizations, or CMOs, that are primarily engaged to provide drug substance and product for our preclinical research and development programs, nonclinical studies and other scientific development services;
the cost of acquiring and manufacturing nonclinical trial materials, including manufacturing registration and validation batches;
facilities, depreciation and other expenses, which include direct and allocated expenses for rent and maintenance of facilities and insurance;
costs related to compliance with quality and regulatory requirements; and
payments made under third-party licensing agreements.

Advance payments that we make for goods or services to be received in the future for use in research and development activities are recorded as prepaid expenses. Such amounts are recognized as an expense as the goods are delivered or the related services are performed, or until it is no longer expected that the goods will be delivered or the services rendered.

Product candidates in later stages of clinical development generally have higher development costs than those in earlier stages of clinical development, primarily due to the increased size and duration of later-stage clinical trials. We expect that our research and development expenses will increase substantially in connection with our planned clinical development activities

115


 

in the near term and in the future. At this time, we cannot accurately estimate or know the nature, timing and costs of the efforts that will be necessary to complete the clinical development of any future product candidates.

Our future clinical development costs may vary significantly based on factors such as:

per patient trial costs;
the number of trials required for approval;
the number of sites included in the trials;
the countries in which the trials are conducted;
the length of time required to enroll eligible patients;
the number of patients that participate in the trials;
the number of doses that patients receive;
the drop-out or discontinuation rates of patients;
potential additional safety monitoring requested by regulatory agencies;
the duration of patient participation in the trials and follow-up;
the cost and timing of manufacturing our product candidates;
the phase of development of our product candidates; and
the efficacy and safety profile of our product candidates.

The successful development and commercialization of product candidates is highly uncertain. This is due to the numerous risks and uncertainties associated with product development and commercialization, including the following:

the timing and progress of nonclinical and clinical development activities;
the number and scope of nonclinical and clinical programs we decide to pursue;
the ability to raise necessary additional funds;
the progress of the development efforts of parties with whom we may enter into collaboration arrangements;
our ability to maintain our current development program and to establish new ones;
our ability to establish new licensing or collaboration arrangements;
the successful initiation and completion of clinical trials with safety, tolerability and efficacy profiles that are satisfactory to the FDA or any comparable foreign regulatory authority;
the receipt and related terms of regulatory approvals from applicable regulatory authorities;
the availability of drug substance and drug product for use in production of our product candidates;
our ability to establish and maintain agreements with third-party manufacturers for clinical supply for our clinical trials and commercial manufacturing, if any of our product candidates are approved;
our ability to obtain and maintain patents, trade secret protection and regulatory exclusivity, both in the United States and internationally;
our ability to protect our rights in our intellectual property portfolio;
our ability to obtain and maintain third-party insurance coverage and adequate reimbursement;
the acceptance of our product candidates, if approved, by patients, the medical community and third-party payors;
the impact of competition with other products;

 

116


 

the impact of any business interruptions to our operations, including the timing and enrollment of patients in our planned clinical trials, or to those of our manufacturers, suppliers, or other vendors resulting from a future pandemic or similar public health crisis; and
our ability to maintain a continued acceptable safety profile for our therapies following approval.

A change in the outcome of any of these variables with respect to the development of our product candidates could significantly change the costs and timing associated with the development of that product candidate. We may never succeed in obtaining regulatory approval for any of our product candidates.

General and administrative expenses

General and administrative expenses consist primarily of salaries and related costs for personnel in executive, finance, legal, corporate and business development, and administrative functions. General and administrative expenses also include legal fees relating to patent and corporate matters, professional fees for accounting, auditing, tax and administrative consulting services, insurance costs, facilities costs, administrative travel expenses, marketing expenses and other operating costs.

We anticipate that our general and administrative expenses will increase in the future as we increase our headcount to support development of our product candidates and our continued research activities. We also anticipate that we will incur increased accounting, audit, legal, regulatory, compliance and director and officer insurance costs as well as legal, investor and public relations expenses associated with our continued growth as a public company.

Other Income (Expense)

Interest and other income and expense, net

Interest and other income and expense consists of interest earned on our invested cash balances and interest on our financing leases.

Results of Operations

Comparison of years ended December 31, 2023 and 2022

The following table summarizes our results of operations for the years ended December 31, 2023 and 2022:

 

 

 

Year ended December 31,

 

 

Change

 

 

 

2023

 

 

2022

 

 

 

 

 

 

(in thousands)

 

Collaboration Revenue

 

$

78,592

 

 

$

46,826

 

 

$

31,766

 

Operating expenses:

 

 

 

 

 

 

 

 

 

Research and development

 

 

189,081

 

 

 

164,248

 

 

 

24,833

 

General and administrative

 

 

55,041

 

 

 

43,834

 

 

 

11,207

 

Total operating expenses

 

 

244,122

 

 

 

208,082

 

 

 

36,040

 

Loss from operations

 

 

(165,530

)

 

 

(161,256

)

 

 

(4,274

)

Other income, net

 

 

18,568

 

 

 

6,448

 

 

 

12,120

 

Net loss

 

$

(146,962

)

 

$

(154,808

)

 

$

7,846

 

Collaboration revenue

We recognize revenue under each of our collaboration agreements based on our pattern of performance related to the respective identified performance obligation, which is the period over which we will perform research services under each of the respective agreements.

Collaboration revenues were $78.6 million for the year ended December 31, 2023, of which $8.4 million and $70.2 million were attributable to our collaboration agreements with Vertex and Sanofi, respectively. Collaboration revenues were $46.8 million for the year ended December 31, 2022, of which $10.8 million and $36.0 million were attributable to our collaboration agreements with Vertex and Sanofi, respectively. The increase in revenue is primarily attributable to the achievement of $55 million in milestones under the Sanofi agreement in the fourth quarter of 2023.

117


 

Research and development expenses

The following table summarizes our research and development expenses for each period presented (program expenses are not disclosed prior to formal development candidate nomination):

 

 

 

Year ended December 31,

 

 

Change

 

 

 

2023

 

 

2022

 

 

 

 

 

 

(in thousands)

 

External research and development costs:

 

 

 

 

 

 

 

 

 

IRAK4

 

$

13,762

 

 

$

17,850

 

 

$

(4,088

)

IRAKIMiD

 

 

4,641

 

 

 

4,914

 

 

 

(273

)

STAT3

 

 

11,490

 

 

 

8,332

 

 

 

3,158

 

MDM2

 

 

8,170

 

 

 

11,823

 

 

 

(3,653

)

Other

 

 

56,637

 

 

 

46,474

 

 

 

10,163

 

Internal research and development costs

 

 

94,381

 

 

 

74,855

 

 

 

19,526

 

Total research and development expenses

 

$

189,081

 

 

$

164,248

 

 

$

24,833

 

 

Research and development expenses were $189.1 million for the year ended December 31, 2023, compared to $164.2 million for the year ended December 31, 2022. The increase of $24.8 million was primarily due to an increase of $19.5 million in personnel, stock-based compensation and occupancy costs due to increases in employee headcount in the research and development functions, a $10.2 million increase in other research and development expenses primarily associated with increased work on preclinical programs, as well as a $3.2 million increase in expenses on our STAT3 program due to the continued progression of the associated Phase-1 clinical trial. These increases were primarily offset by a $8.0 million reduction in direct expenses related to our activities for our IRAK4, IRAKIMiD and MDM2 programs due to changes in the stage of development of these respective programs.

General and administrative expenses

General and administrative expenses were $55.0 million for the year ended December 31, 2023, compared to $43.8 million for the year ended December 31, 2022. The $11.2 million increase was primarily due to a $8.8 million increase in personnel, stock-based compensation and occupancy costs due to increases in employee headcount in the general and administrative functions, and a $2.4 million increase in legal and professional services expenses to support our growth as a public company.

Other Income, Net

Other income, net was $18.6 million for the year ended December 31, 2023, compared to $6.4 million for the year ended December 31, 2022. The $12.2 million increase was primarily due to the prevailing interest rates in the respective periods.

Results of Operations

Comparison of years ended December 31, 2022 and 2021

The following table summarizes our results of operations for the years ended December 31, 2022 and 2021:

 

 

 

Year ended December 31,

 

 

Change

 

 

 

2022

 

 

2021

 

 

 

 

 

 

(in thousands)

 

Collaboration Revenue

 

$

46,826

 

 

$

72,832

 

 

$

(26,006

)

Operating expenses:

 

 

 

 

 

 

 

 

 

Research and development

 

 

164,248

 

 

 

137,017

 

 

 

27,231

 

General and administrative

 

 

43,834

 

 

 

36,345

 

 

 

7,489

 

Total operating expenses

 

 

208,082

 

 

 

173,362

 

 

 

34,720

 

Loss from operations

 

 

(161,256

)

 

 

(100,530

)

 

 

(60,726

)

Other income, net

 

 

6,448

 

 

 

313

 

 

 

6,135

 

Net loss

 

$

(154,808

)

 

$

(100,217

)

 

$

(54,591

)

 

118


 

Collaboration revenue

We recognize revenue under each of our collaboration agreements based on our pattern of performance related to the respective identified performance obligation, which is the period over which we will perform research services under each of the respective agreements.

Collaboration revenues were $46.8 million for the year ended December 31, 2022, of which $10.8 million and $36.0 million were attributable to our collaboration agreements with Vertex and Sanofi, respectively. Collaboration revenues were $72.8 million for the year ended December 31, 2021, of which $18.5 million and $54.3 million were attributable to our collaboration agreements with Vertex and Sanofi, respectively.

Research and development expenses

The following table summarizes our research and development expenses for each period presented (program expenses are not disclosed prior to formal development candidate nomination):

 

 

 

Year ended December 31,

 

 

Change

 

 

 

2022

 

 

2021

 

 

 

 

 

 

(in thousands)

 

External research and development costs:

 

 

 

 

 

 

 

 

 

IRAK4

 

$

17,850

 

 

$

27,368

 

 

$

(9,518

)

IRAKIMiD

 

 

4,914

 

 

 

10,847

 

 

 

(5,933

)

STAT3

 

 

8,332

 

 

 

10,081

 

 

 

(1,749

)

MDM2

 

 

11,823

 

 

 

 

 

 

11,823

 

Other

 

 

46,474

 

 

 

35,909

 

 

 

10,565

 

Internal research and development costs

 

 

74,855

 

 

 

52,812

 

 

 

22,043

 

Total research and development expenses

 

$

164,248

 

 

$

137,017

 

 

$

27,231

 

Research and development expenses were $164.2 million for the year ended December 31, 2022, compared to $137.0 million for the year ended December 31, 2021. The increase of $27.2 million was primarily due to an increase of $22.4 million related to IND-enabling studies for our MDM2 program and increased investment in our other pipeline programs and platform, as well an additional $22.0 million increase in personnel, stock-based compensation and occupancy costs due to increases in employee headcount in the research and development functions. These increases were primarily offset by a $17.2 million reduction in direct expenses related to our activities for our IRAK4, IRAKIMiD and STAT3 programs due to changes in the stage of development of these programs and the discontinuation of IRAKIMiD.

General and administrative expenses

General and administrative expenses were $43.8 million for the year ended December 31, 2022, compared to $36.3 million for the year ended December 31, 2021. The $7.5 million increase was primarily due to a $6.5 million increase in G&A employee compensation due to an increase in employee headcount, and a $1.0M increase in legal and professional services expenses to support our growth as a public company.

Other Income, Net

Other income, net was $6.4 million for the year ended December 31, 2022, compared to $0.3 million for the year ended December 31, 2021. The $6.1 million increase was primarily due to the prevailing interest rates in the respective periods.

Liquidity and capital resources

We have not yet generated any revenue from any product sales, and we have incurred significant operating losses since our inception. We have not yet commercialized any products and we do not expect to generate revenue from sales of products for several years, if at all. To date, we have received gross proceeds of $1.45 billion from sales of our convertible preferred stock, the sale of common stock including our August 2020 IPO and concurrent private placement, our July 2021 follow-on offering and concurrent private placement, our August 2022 PIPE offering, January 2024 follow-on offering, our sales agreement with Cowen and Company, LLC., and through our corporate collaborations. As of December 31, 2023 we had cash and cash equivalents and marketable securities of $436.3 million.

119


 

In October 2021, we entered into a sales agreement, or Sales Agreement, with Cowen and Company, LLC, or Cowen, pursuant to which we may offer and sell shares of our common stock having aggregate gross proceeds of up to $250.0 million from time to time in “at-the-market” offerings through Cowen, as our sales agent. We agreed to pay Cowen a commission of up to 3.0% of the gross proceeds of any shares sold by Cowen under the Sales Agreement. There have been no shares of our common stock sold under the Sales Agreement as of December 31, 2023. On February 7, 2024, we completed the sale of 1,519,453 shares of common stock under the Sales agreement resulting in gross proceeds of approximately $50 million.

Cash flows

The following table summarizes our sources and uses of cash for each of the periods presented:

 

 

Year Ended
December 31,

 

 

 

2023

 

 

2022

 

 

2020

 

 

 

(in thousands)

 

Cash used in operating activities

 

$

(102,826

)

 

$

(153,085

)

 

$

(128,946

)

Cash provided by (used in) investing activities

 

 

139,886

 

 

 

20,519

 

 

 

(99,835

)

Cash provided by financing activities

 

 

4,192

 

 

 

152,999

 

 

 

250,280

 

Net increase in cash, cash equivalents and restricted cash

 

$

41,252

 

 

$

20,433

 

 

$

21,499

 

 

Cash Flow used in Operating Activities

During the year ended December 31, 2023, operating activities used $102.8 million of cash, primarily resulting from our net loss of $147.0 million during the period and a $8.6 million decrease in deferred revenue under our collaboration agreements. These were offset by a $11.2 million net decrease in other operating assets and liabilities primarily driven by changes in accounts receivable, accounts payable, accrued expenses, operating lease liabilities as well as adjustments for non-cash items of $41.5 million (primarily consisting of stock-based compensation, depreciation & amortization and premiums & discounts on available-sale-securities).

During the year ended December 31, 2022, operating activities used $153.1 million of cash, primarily resulting from our net loss of $154.8 million during the period and a $37.8 million decrease in deferred revenue under our collaboration agreements. These were offset by adjustments for non-cash items of $39.3 million (primarily consisting of stock-based compensation, depreciation and amortization and premiums and discounts on available sale-securities) and a $0.2 million net increase in operating assets and liabilities primarily driven by changes in accounts payable and accrued expenses partially offset by changes in prepaid expenses and other operating assets and liabilities.

During the year ended December 31, 2021, operating activities used $128.9 million of cash, primarily resulting from our net loss of $100.2 million during the period and a $69.4 million decrease in deferred revenue under our Sanofi and Vertex collaboration agreements. These were offset by adjustments for non-cash items of $33.2 million (primarily consisting of stock-based compensation, depreciation and amortization and premiums and discounts on available sale-securities) and a $7.5 million net increase in operating assets and liabilities primarily driven by changes in accounts payable and accrued expenses partially offset by changes in prepaid expenses and other operating assets and liabilities.

Cash Flow provided by (used in) Investing Activities

During the year ended December 31, 2023, cash provided by investing activities was $139.9 million comprised of maturities of marketable securities of $363.5 million partially offset by purchases of marketable securities of $189.2 million and purchases of property and equipment of $34.4 million.

During the year ended December 31, 2022, cash provided by investing activities was $20.5 million comprised of maturities of marketable securities of $469.3 million partially offset by purchases of marketable securities of $446.0 million and purchases of property and equipment of $2.8 million.

During the year ended December 31, 2021, cash used in investing activities was $99.8 million comprised of purchases of marketable securities of $456.4 million and purchases of property and equipment of $1.6 million offset by maturities of marketable securities of $358.2 million.

120


 

Cash Flow from Financing Activities

During the year ended December 31, 2023, net cash provided by financing activities was $4.2 million, primarily consisting of $2.9 million in proceeds from the exercise of employee stock options, $1.4 million in proceeds from the issuance of shares under our employee stock purchase partially offset by finance lease payments of $0.1 million.

During the year ended December 31, 2022, net cash provided by financing activities was $153.0 million, primarily consisting of $149.8 million of net proceeds received in our August 2022 PIPE offering, $3.2 million in proceeds from the exercise of employee stock options, $1.1 million in proceeds from the issuance of shares under our employee stock purchase partially offset by finance lease payments of $1.1 million.

During the year ended December 31, 2021, net cash provided by financing activities was $250.3 million, primarily consisting of $240.8 million of net proceeds received in our July 2021 follow on offering, $2.3 million from our July 2021 concurrent private placement, $7.6 million in proceeds from the exercise of employee stock options, $0.8 million in proceeds from the issuance of shares under our employee stock purchase plan offset by the payment of $0.4 million in offering costs related to our August 2020 IPO and finance lease payments of $0.8 million.

Future funding requirements

We expect our expenses to increase substantially in connection with our ongoing activities, particularly as we advance the later-stage clinical development of our product candidates. In addition, we expect to incur additional costs associated with our growth as a public company.

Because of the numerous risks and uncertainties associated with the development of our product candidates and programs and because the extent to which we may enter into collaborations with third parties for development of our product candidates is unknown, we are unable to estimate the timing and amounts of increased capital outlays and operating expenses associated with completing the research and development of our product candidates. The timing and amount of our operating expenditures will depend largely on:

the initiation, progress, timing, costs and results of nonclinical studies and clinical trials for our product candidates or any future product candidates we may develop;
our ability to maintain our relationships with key collaborators;
the outcome, timing and cost of seeking and obtaining regulatory approvals from the FDA and comparable foreign regulatory authorities, including the potential for such authorities to require that we perform more nonclinical studies or clinical trials than those that we currently expect or change their requirements on studies that had previously been agreed to;
the cost to establish, maintain, expand, enforce and defend the scope of our intellectual property portfolio, including the amount and timing of any payments we may be required to make, or that we may receive, in connection with licensing, preparing, filing, prosecuting, defending and enforcing any patents or other intellectual property rights;
the effect of competing technological and market developments;
the costs of continuing to grow our business, including hiring key personnel and maintaining or acquiring operating space;
the degree of market acceptance of any approved product candidates, including product pricing, as well as product coverage and the adequacy of reimbursement by third-party payors;
the cost of acquiring, licensing or investing in additional businesses, products, product candidates and technologies;
the cost and timing of selecting, auditing and potentially validating a manufacturing site for commercial-scale manufacturing;
the cost of establishing sales, marketing and distribution capabilities for any product candidates for which we may receive regulatory approval and that we determine to commercialize; and
our need to implement additional internal systems and infrastructure, including financial and reporting systems.

 

We believe the existing cash, cash equivalents and marketable securities of $436.3 million as of December 31, 2023, together with the net proceeds from the first quarter of 2024 offerings and the $15 million milestone payment received in

121


 

January of 2024 under our collaboration agreement with Sanofi, will be sufficient to fund our operations into the first half of 2027. We have based this estimate on assumptions that may prove to be wrong, and we could exhaust our available capital resources sooner than we expect. We expect that we will require additional funding to continue the clinical development of our clinical programs, commercialize our product candidates if we receive regulatory approval, and pursue in-licenses or acquisitions of other product candidates. If we receive regulatory approval for any of our product candidates, we expect to incur significant commercialization expenses related to product manufacturing, sales, marketing and distribution, depending on where we choose to commercialize our product candidates.

Identifying potential product candidates and conducting preclinical studies and clinical trials is a time consuming, expensive and uncertain process that takes years to complete, and we may never generate the necessary data or results required to obtain marketing approval and achieve product sales. In addition, our product candidates, if approved, may not achieve commercial success. Our commercial revenues, if any, will be derived from sales of products that we do not expect to be commercially available for many years, if ever. Accordingly, we will need to obtain substantial additional funds to achieve our business objectives.

Until such time, if ever, as we can generate substantial product revenue, we expect to finance our cash needs through a combination of equity offerings, debt financings, collaborations, strategic alliances, and marketing, distribution or licensing arrangements with third parties. However, we may be unable to raise additional funds or enter into such other arrangements when needed on favorable terms or at all. Market volatility resulting from macroeconomic factors could also adversely impact our ability to access capital as and when needed. To the extent that we raise additional capital through the sale of equity or convertible debt securities, the ownership interests of our existing stockholders may be materially diluted, and the terms of such securities could include liquidation or other preferences that adversely affect the rights of our common stockholders. Debt financing and preferred equity financing, if available, may involve agreements that include restrictive covenants that limit our ability to take specified actions, such as incurring additional debt, making capital expenditures or declaring dividends. If we raise funds through collaborations, strategic alliances or marketing, distribution or licensing arrangements with third parties, we may have to relinquish valuable rights to our technologies, future revenue streams, research programs or product candidates or grant licenses on terms that may not be favorable to us. If we are unable to raise additional funds through equity or debt financings or other arrangements when needed, we may be required to delay, reduce or eliminate our product development or future commercialization efforts, or grant rights to develop and market product candidates that we would otherwise prefer to develop and market ourselves.

Contractual Obligations and Other Commitments

We have entered into arrangements that contractually obligate us to make payments that will affect our liquidity and cash flows in future periods. Such arrangements primarily include those related to our lease commitments.

Lease Commitments

Our lease commitments reflect payments due for our two lease agreements for laboratory and office space in Watertown, Massachusetts that expire in March of 2030 and 2035, respectively. As of December 31, 2023, our contractual commitments for our leases were $134.5 million, which will be paid over the term of such leases. For additional information on our leases and timing of future payments, please read Note 7, Leases, to the consolidated financial statements included in this Annual Report on Form 10-K.

Other Obligations

We enter into contracts in the normal course of business with various third parties for clinical trials, preclinical research studies, and testing, manufacturing, and other services and products for operating purposes. These contracts provide for termination upon notice. Payments due upon cancellation generally consist only of payments for services provided or expenses incurred, including non-cancellable obligations of our service providers, up to the date of cancellation. These payments have not been included separately within these contractual and other obligations disclosures.

Critical Accounting Policies and Estimates

Our management’s discussion and analysis of our financial condition and results of operations is based on our consolidated financial statements, which have been prepared in accordance with generally accepted accounting principles, or GAAP, in the United States. The preparation of our consolidated financial statements and related disclosures requires us to make estimates and judgments that affect the reported amounts of assets, liabilities, revenues, costs and expenses, and the disclosure of contingent assets and liabilities in our consolidated financial statements. We base our estimates on historical experience, known trends and events and various other factors that we believe are reasonable under the circumstances, the

122


 

results of which form the basis for making judgments about the carrying values of assets and liabilities that are not readily apparent from other sources. We evaluate our estimates and assumptions on an ongoing basis. Our actual results may differ from these estimates under different assumptions or conditions.

While our significant accounting policies are described in more detail in Note 2 to our consolidated financial statements appearing at the end of this Annual Report, we believe that the following accounting policies are those most critical to the judgments and estimates used in the preparation of our consolidated financial statements.

Revenue Recognition

Under ASC 606, an entity recognizes revenue when its customer obtains control of promised goods or services, in an amount that reflects the consideration which the entity expects to receive in exchange for those goods or services.

To determine the appropriate amount of revenue to be recognized for arrangements determined to be within the scope of ASC 606, we perform the following five steps: (i) identification of the contract(s) with the customer, (ii) identification of the promised goods or services in the contract and determination of whether the promised goods or services are performance obligations, (iii) measurement of the transaction price, (iv) allocation of the transaction price to the performance obligations, and (v) recognition of revenue when (or as) we satisfy each performance obligation. We only apply the five-step model to contracts when it is probable that the entity will collect consideration it is entitled to in exchange for the goods or services it transfers to the customer.

When optional goods or services are offered, we assess the options to determine whether the options grant the customer a material right. This determination includes whether the option is priced at an amount that the customer would not have received without entering into the contract. If we conclude the option conveys a material right, it is accounted for as a separate performance obligation. In identifying performance obligations in a contract, we identify those promises that are distinct. Promised goods or services are considered distinct when the customer can benefit from the goods or services on their own, or together with readily available resources, and the goods or services are separately identifiable from other promises in the contract. If a promise is not distinct, it is combined with other promises in the contract until the combined group of promises is capable of being distinct.

We estimate the transaction price based on the amount of consideration we expect to receive for transferring the promised goods or services in the contract. The consideration may include both fixed consideration and variable consideration. At the inception of each arrangement that includes variable consideration, we evaluate the amount of the potential payments and the likelihood that the payments will be received. If it is probable that a significant revenue reversal would not occur, the variable consideration is included in the transaction price. For contracts that include sales-based royalties for licensed compounds, we recognize revenue at the date when the related sales occur. Finally, we determine whether the contract contains a significant financing component by analyzing the promised consideration relative to the standalone selling price of the promised goods and services and the timing of payment relative to the transfer of the promised goods and services. At each reporting date, we reassess the transaction price and probability of achievement of the performance obligations and the associated constraints on transaction price. If necessary, we adjust the transaction price, recording a cumulative catch-up based on progress for the amount that was previously constrained.

Revenue is recognized when (or as) control of a performance obligation is transferred to the customer. When combined performance obligations contain a promised license and related services or other promises, management judgment is required to determine the appropriate timing of revenue recognition. In doing so, we must identify the predominant promise or promises in the contract to determine whether revenue is recognized at a point in time or over time. If over time, we must determine the appropriate measure of progress. If a license is deemed to be the predominant promise in a performance obligation, we must determine the nature of the license, whether functional or symbolic intellectual property, to conclude whether point-in-time or over-time revenue recognition is most appropriate. The determination of functional or symbolic intellectual property requires an assessment of whether the customer is able to exploit and benefit from the license in its current condition, or if the utility of the license is dependent on or influenced by our ongoing activities or being associated with us.

At each reporting date, we calculate the measure of progress for the performance obligations transferred over time. The calculation generally uses an input measure based on costs incurred to-date relative to estimated total costs to complete the transfer of the performance obligation. The measurement of progress is then used to calculate the total revenue earned, including any cumulative catch-up adjustment.

Research and Development Contract Costs and Accruals

As part of the process of preparing our consolidated financial statements, we are required to estimate our accrued research and development expenses. This process involves reviewing open contracts and purchase orders, communicating with our applicable personnel to identify services that have been performed on our behalf and estimating the level of service performed

123


 

and the associated cost incurred for the service when we have not yet been invoiced or otherwise notified of actual costs. The majority of our service providers invoice us in arrears for services performed, on a pre-determined schedule or when contractual milestones are met; however, some require advance payments. We make estimates of our accrued expenses as of each balance sheet date in the consolidated financial statements based on facts and circumstances known to us at that time. We periodically confirm the accuracy of these estimates with the service providers and make adjustments, if necessary. Examples of estimated accrued research and development expenses include fees paid to:

vendors, including research laboratories, in connection with preclinical development activities;
CROs and investigative sites in connection with our clinical trials and preclinical studies; and
CMOs in connection with drug substance and drug product formulation of preclinical studies.

 

We base the expense recorded related to external research and development on our estimates of the services received and efforts expended pursuant to quotes and contracts with multiple CMOs and CROs that supply, conduct and manage nonclinical studies on our behalf. The financial terms of these agreements are subject to negotiation, vary from contract to contract and may result in uneven payment flows. There may be instances in which payments made to our vendors will exceed the level of services provided and result in a prepayment of the expense. In accruing service fees, we estimate the time period over which services will be performed and the level of effort to be expended in each period. If the actual timing of the performance of services or the level of effort varies from the estimate, we adjust the accrual or the amount of prepaid expenses accordingly. Although we do not expect our estimates to be materially different from amounts actually incurred, our understanding of the status and timing of services performed relative to the actual status and timing of services performed may vary and may result in reporting amounts that are too high or too low in any particular period. To date, there have not been any material adjustments to our prior estimates of accrued research and development expenses.

Equity-Based Compensation Expense

We measure equity-based awards granted to employees, directors, and nonemployees based on their fair value on the date of the grant and recognize compensation expense for those awards over the requisite service period, which is generally the vesting period of the respective award. The equity-based payments include stock options and grants of common stock, including common stock subject to vesting. The measurement date for equity awards is the date of grant, and equity-based compensation costs are recognized as expense over the requisite service period, which is the vesting period, on a straight-line basis. The fair value of each stock option grant is estimated on the date of grant using the Black-Scholes option-pricing model, which requires inputs based on certain subjective assumptions, including the expected stock price volatility, the expected term of the option, the risk-free interest rate for a period that approximates the expected term of the option, and our expected dividend yield. Expected volatility is calculated based on reported volatility data for a representative group of publicly traded companies for which historical information is available. We select companies with comparable characteristics to us with historical share price information that approximates the expected term of the equity-based awards. We compute the historical volatility data using the daily closing prices for the selected companies’ shares during the equivalent period that approximates the calculated expected term of our stock options. We will continue to apply this method until a sufficient amount of historical information regarding the volatility of our stock price becomes available. The risk-free interest rate is based on the U.S. Treasury yield curve in effect at the time of grant commensurate with the expected term assumption. We use the simplified method, under which the expected term is presumed to be the midpoint between the vesting date and the end of the contractual term. We utilize this method due to lack of historical exercise data. The expected dividend yield is assumed to be zero as we have no current plans to pay any dividends on common stock.

 

124


 

Item 7A. Quantitative and Qualitative Disclosures About Market Risk.

We are exposed to market risk related to changes in interest rates. Our primary exposure to market risk is interest rate sensitivity, which is affected by changes in the general level of U.S. interest rates, particularly because our investments, including cash equivalents, are in the form of money market funds and marketable securities and are invested in U.S. treasury or government obligations and corporate securities. However, because of the short-term nature of the duration of our portfolio and the low-risk profile of our investments, we believe an immediate 10% change in market interest rates would not be expected to have a material impact on the fair market value of our investments portfolio or on our financial condition or results of operations.

We are also exposed to market risk related to changes in foreign currency exchange rates. We contract with vendors that are located in Asia and Europe and certain invoices are denominated in foreign currencies. We are subject to fluctuations in foreign currency rates in connection with these arrangements. We do not currently hedge our foreign currency exchange rate risk. As of December 31, 2023, we had no significant liabilities denominated in foreign currencies.

Inflation generally affects us by increasing our cost of labor, third party vendors, and clinical trial costs. The global macroeconomic environment has experienced, and continues to experience, extraordinary challenges. These macroeconomic factors have contributed, and we expect will continue to contribute, to increased costs, among other concerns. We cannot predict how long these inflationary pressures will continue, or how they may change over time, but we expect to see continued impacts on the global economy, our industry and our company. If inflationary pressures continue to persist, they may continue to have an adverse impact on our consolidated financial position, results of operations and/or cash flows. As a result of the inflationary environment, however, interest rates have increased, which has resulted in higher interest income rates than were previously realized.

Item 8. Financial Statements and Supplementary Data.

125


 

INDEX TO CONSOLIDATED FINANCIAL STATEMENTS

 

Report of Independent Registered Public Accounting Firm (Public Company Accounting Oversight Board ID: 42)

F-2

 

Consolidated Balance Sheets as of December 31, 2023 and 2022

F-4

 

Consolidated Statements of Operations and Comprehensive Loss for the Years ended December 31, 2023, 2022 and 2021

F-5

 

Consolidated Statements of Stockholders’ Equity for the Years ended December 31, 2023, 2022 and 2021

F-6

 

Consolidated Statements of Cash Flows for the Years ended December 31, 2023, 2022 and 2021

F-7

 

Notes to Consolidated Financial Statements

F-9

 

 

F-1


 

Report of Independent Registered Public Accounting Firm

To the Stockholders and the Board of Directors of Kymera Therapeutics, Inc.

 

Opinion on the Financial Statements

 

We have audited the accompanying consolidated balance sheets of Kymera Therapeutics, Inc. (the Company) as of December 31, 2023 and 2022, the related consolidated statements of operations and comprehensive loss, stockholders’ equity and cash flows for each of the three years in the period ended December 31, 2023, and the related notes (collectively referred to as the “consolidated financial statements”). In our opinion, the consolidated financial statements present fairly, in all material respects, the financial position of the Company at December 31, 2023 and 2022, and the results of its operations and its cash flows for each of the three years in the period ended December 31, 2023, in conformity with U.S. generally accepted accounting principles.

 

We also have audited, in accordance with the standards of the Public Company Accounting Oversight Board (United States) (PCAOB), the Company's internal control over financial reporting as of December 31, 2023, based on criteria established in Internal Control-Integrated Framework issued by the Committee of Sponsoring Organizations of the Treadway Commission (2013 framework), and our report dated February 22, 2024 expressed an unqualified opinion thereon.

Basis for Opinion

 

These financial statements are the responsibility of the Company's management. Our responsibility is to express an opinion on the Company’s financial statements based on our audits. We are a public accounting firm registered with the PCAOB and are required to be independent with respect to the Company in accordance with the U.S. federal securities laws and the applicable rules and regulations of the Securities and Exchange Commission and the PCAOB.

 

We conducted our audits in accordance with the standards of the PCAOB. Those standards require that we plan and perform the audit to obtain reasonable assurance about whether the financial statements are free of material misstatement, whether due to error or fraud. Our audits included performing procedures to assess the risks of material misstatement of the financial statements, whether due to error or fraud, and performing procedures that respond to those risks. Such procedures included examining, on a test basis, evidence regarding the amounts and disclosures in the financial statements. Our audits also included evaluating the accounting principles used and significant estimates made by management, as well as evaluating the overall presentation of the financial statements. We believe that our audits provide a reasonable basis for our opinion.

 

 

F-2


 

 

Critical Audit Matter

 

The critical audit matter communicated below is a matter arising from the current period audit of the financial statements that was communicated or required to be communicated to the audit committee and that: (1) relates to accounts or disclosures that are material to the financial statements and (2) involved our especially challenging, subjective or complex judgments. The communication of the critical audit matter does not alter in any way our opinion on the consolidated financial statements, taken as a whole, and we are not, by communicating the critical audit matter below, providing a separate opinion on the critical audit matter or on the accounts or disclosures to which it relates.

 

Collaboration Arrangements

Description of

the Matter

As discussed in Note 5 to the consolidated financial statements, the Company recognizes revenue associated with each performance obligation as the research and development services are provided using an input method, according to costs incurred as related to the research and development activities for each individual program and the costs expected to be incurred in the future to satisfy that individual performance obligation. The amounts received that have not yet been recognized as revenue are deferred as a contract liability on the Company’s consolidated balance sheet. For the year ended December 31, 2023, the Company has recognized $78.6 million in collaboration revenue.

 

Auditing the Company's accounting for revenues from collaboration arrangements was complex and required significant judgments primarily in evaluating estimates of the total expected costs under the input method for revenue recognized over time. Auditing the progress toward completion of collaboration agreements was especially challenging because it involves subjective management assumptions used in estimating the remaining research and development costs necessary to satisfy the performance obligation. The calculation of the total remaining estimated research and development cost includes forecasted costs associated with internal employee efforts, materials costs, and third-party contract costs. The recognition of revenue pursuant to collaboration arrangements is subject to these judgments made and estimates developed by management and is sensitive to changes in these assumptions.

How We Addressed the Matter in Our Audit

We evaluated and tested the design and operating effectiveness of internal controls over the Company’s process for developing the estimate, including controls to assess the completeness and accuracy of the data that supports management’s estimates.

 

To test the Company’s collaboration revenue, we performed audit procedures that included, among others, reading the collaboration agreements and testing the accuracy and completeness of the underlying data used in evaluating the estimates and significant judgments described above. To assess the reasonableness of the Company's significant estimates and judgments, we compared cost estimates to costs previously incurred for similar activities, evaluated the remaining estimated level of effort required to complete the services, and inspected evidence of actual costs incurred. We also discussed the basis for key assumptions with the Company's research and development personnel, who oversee the completion of the collaboration arrangements.

 

/s/ Ernst & Young LLP

 

We have served as the Company’s auditor since 2018.

Boston, Massachusetts

February 22, 2024

F-3


 

KYMERA THERAPEUTICS, INC.

Consolidated Balance Sheets

(In thousands, except share and per share amounts)

 

 

 

December 31,

 

 

 

2023

 

 

2022

 

Assets

 

 

 

 

 

 

Current assets:

 

 

 

 

 

 

Cash and cash equivalents

 

$

109,966

 

 

$

68,395

 

Marketable securities (Note 4)

 

 

264,915

 

 

 

338,771

 

Accounts receivable

 

 

15,000

 

 

 

 

Contract assets

 

 

3,762

 

 

 

2,537

 

Prepaid expenses and other current assets

 

 

11,674

 

 

 

9,713

 

Total current assets

 

$

405,317

 

 

$

419,416

 

Marketable securities, non-current (Note 4)

 

 

61,434

 

 

 

152,328

 

Property and equipment, net (Note 6)

 

 

48,134

 

 

 

13,334

 

Right-of-use assets, operating leases

 

 

52,945

 

 

 

8,909

 

Other non-current assets

 

 

2,118

 

 

 

3,017

 

Restricted cash

 

 

5,811

 

 

 

6,130

 

Total assets

 

$

575,759

 

 

$

603,134

 

Liabilities and Stockholders’ Equity

 

 

 

 

 

 

Current liabilities:

 

 

 

 

 

 

Accounts payable

 

$

7,075

 

 

$

4,335

 

Accrued expenses (Note 8)

 

 

33,864

 

 

 

27,502

 

Deferred revenue

 

 

37,883

 

 

 

35,260

 

Operating lease liabilities

 

 

5,068

 

 

 

2,535

 

Finance lease liabilities

 

 

1,277

 

 

 

1,408

 

Other current liabilities

 

 

524

 

 

 

303

 

Total current liabilities

 

$

85,691

 

 

$

71,343

 

Non-current liabilities

 

 

 

 

 

 

Deferred revenue, net of current portion

 

 

16,768

 

 

 

28,000

 

Operating lease liabilities, net of current portion

 

 

77,028

 

 

 

12,146

 

Finance lease liabilities, net of current portion

 

 

1,301

 

 

 

1,246

 

Other non-current liabilities

 

 

 

 

 

248

 

Total liabilities

 

$

180,788

 

 

$

112,983

 

Commitments and contingencies (Note 9)

 

 

 

 

 

 

Stockholders’ equity:

 

 

 

 

 

 

Common stock, $0.0001 par value; 150,000,000 shares authorized at December 31, 2023
   and 2022,
55,585,305 and 55,039,380 shares issued and outstanding at December 31, 2023
   and 2022, respectively;

 

 

6

 

 

 

6

 

Additional paid-in capital

 

 

926,269

 

 

 

878,884

 

Accumulated deficit

 

 

(530,752

)

 

 

(383,790

)

Accumulated other comprehensive loss

 

 

(552

)

 

 

(4,949

)

Total stockholders’ equity

 

 

394,971

 

 

 

490,151

 

Total liabilities and stockholders’ equity

 

$

575,759

 

 

$

603,134

 

 

The accompanying notes are an integral part of these consolidated financial statements.

F-4


 

KYMERA THERAPEUTICS, INC.

Consolidated Statements of Operations and Comprehensive Loss

(In thousands, except share and per share amounts)

 

 

 

Year ended December 31,

 

 

 

2023

 

 

2022

 

 

2021

 

Statement of Operations Data:

 

 

 

 

 

 

 

 

 

Collaboration Revenue

 

$

78,592

 

 

$

46,826

 

 

$

72,832

 

Operating expenses:

 

 

 

 

 

 

 

 

 

Research and development

 

$

189,081

 

 

$

164,248

 

 

$

137,017

 

General and administrative

 

 

55,041

 

 

 

43,834

 

 

 

36,345

 

Total operating expenses

 

 

244,122

 

 

 

208,082

 

 

 

173,362

 

Loss from operations

 

 

(165,530

)

 

 

(161,256

)

 

 

(100,530

)

Other income (expense):

 

 

 

 

 

 

 

 

 

Interest and other income

 

 

18,764

 

 

 

6,624

 

 

 

488

 

Interest and other expense

 

 

(196

)

 

 

(176

)

 

 

(175

)

Total other income

 

 

18,568

 

 

 

6,448

 

 

 

313

 

Net loss

 

$

(146,962

)

 

$

(154,808

)

 

$

(100,217

)

Other comprehensive loss:

 

 

 

 

 

 

 

 

 

Unrealized gain (loss) on marketable securities

 

 

4,397

 

 

 

(4,289

)

 

 

(532

)

Total comprehensive loss

 

$

(142,565

)

 

$

(159,097

)

 

$

(100,749

)

Reconciliation of net loss to net loss attributable to common
   stockholders:

 

 

 

 

 

 

 

 

 

Net Loss

 

$

(146,962

)

 

$

(154,808

)

 

$

(100,217

)

Net loss attributable to common stockholders

 

$

(146,962

)

 

$

(154,808

)

 

$

(100,217

)

Net loss per share attributable to common stockholders, basic
   and diluted

 

$

(2.52

)

 

$

(2.87

)

 

$

(2.09

)

Weighted average common stocks outstanding, basic and
   diluted

 

 

58,365,499

 

 

 

53,933,229

 

 

 

47,989,023

 

 

The accompanying notes are an integral part of these consolidated financial statements.

F-5


 

KYMERA THERAPEUTICS, INC.

Consolidated Statements of Stockholders’ Equity

For the years ended December 31 2023, 2022 and 2021

(In thousands, except share and per share amounts)

 

 

Common Stock

 

Additional
Paid in

 

Accumulated

 

Accumulated
Other
Comprehensive

 

Total
Stockholders'

 

 

Shares

 

Value

 

Capital

 

Deficit

 

Gain/(Loss)

 

Equity

 

 

 

 

 

 

 

 

 

 

 

 

 

 

Balance at December 31, 2020

 

44,482,186

 

$

4

 

$

412,777

 

$

(128,765

)

$

(128

)

 

283,888

 

Exercise of stock options

 

1,431,271

 

 

1

 

 

7,632

 

 

 

 

 

 

7,633

 

Vesting restricted stock

 

72,359

 

 

 

 

 

 

 

 

 

 

 

Issuance of shares under ESPP

 

19,687

 

 

 

 

788

 

 

 

 

 

 

788

 

Issuance of vested restricted stock to consultants

 

12,500

 

 

 

 

 

 

 

 

 

 

 

Stock-based compensation expense

 

 

 

 

 

24,972

 

 

 

 

 

 

24,972

 

Unrealized loss on marketable securities

 

 

 

 

 

 

 

 

 

(532

)

 

(532

)

Issuance of shares in connection with public offering
    net of underwriting discounts and costs of $
16,207

 

5,468,250

 

 

 

 

240,760

 

 

 

 

 

 

240,760

 

Issuance of shares in concurrent private placement

 

49,928

 

 

 

 

2,346

 

 

 

 

 

 

2,346

 

Net Loss

 

 

 

 

 

 

 

(100,217

)

 

 

 

(100,217

)

Balance at December 31, 2021

 

51,536,181

 

$

5

 

$

689,275

 

$

(228,982

)

$

(660

)

$

459,638

 

Issuance of Common Stock and accompanying Pre-Funded
   Warrants at Private Placement, net of issuance cost of $
174

 

2,769,228

 

 

1

 

 

149,825

 

 

 

 

 

 

149,826

 

Exercise of stock options

 

601,594

 

 

 

 

3,154

 

 

 

 

 

 

3,154

 

Vesting restricted stock

 

36,866

 

 

 

 

 

 

 

 

 

 

 

Issuance of shares under ESPP

 

95,511

 

 

 

 

1,150

 

 

 

 

 

 

1,150

 

Stock-based compensation expense

 

 

 

 

 

35,480

 

 

 

 

 

 

35,480

 

Unrealized loss on marketable securities

 

 

 

 

 

 

 

 

 

(4,289

)

 

(4,289

)

Net Loss

 

 

 

 

 

 

 

(154,808

)

 

 

 

(154,808

)

Balance at December 31, 2022

 

55,039,380

 

$

6

 

$

878,884

 

$

(383,790

)

$

(4,949

)

$

490,151

 

Exercise of Stock Options

 

441,759

 

 

 

 

2,860

 

 

 

 

 

 

2,860

 

Vesting Restricted Stock

 

39,511

 

 

 

 

 

 

 

 

 

 

 

Issuance of shares under ESPP

 

64,655

 

 

 

 

1,407

 

 

 

 

 

 

1,407

 

Stock-based compensation expense

 

 

 

 

 

43,118

 

 

 

 

 

 

43,118

 

Unrealized gain on marketable securities

 

 

 

 

 

 

 

 

 

4,397

 

 

4,397

 

Net Loss

 

 

 

 

 

 

 

(146,962

)

 

 

 

(146,962

)

Balance at December 31, 2023

 

55,585,305

 

$

6

 

$

926,269

 

$

(530,752

)

$

(552

)

$

394,971

 

 

The accompanying notes are an integral part of these consolidated financial statements.

 

 

 

F-6


 

KYMERA THERAPEUTICS, INC.

Consolidated Statements of Cash Flows

(In thousands)

 

 

 

Year Ended December 31,

 

 

 

2023

 

 

2022

 

 

2021

 

Operating activities

 

 

 

 

 

 

 

 

 

Net loss

 

$

(146,962

)

 

$

(154,808

)

 

$

(100,217

)

Adjustments to reconcile net loss to net cash used in operating activities:

 

 

 

 

 

 

 

 

 

Stock-based compensation expense

 

 

43,118

 

 

 

35,480

 

 

 

24,972

 

Depreciation and amortization

 

 

3,565

 

 

 

2,977

 

 

 

2,397

 

Premiums and discounts on available for sale marketable securities

 

 

(5,229

)

 

 

889

 

 

 

5,807

 

Loss on disposal of property and equipment

 

 

 

 

 

 

 

 

18

 

Changes in operating assets and liabilities:

 

 

 

 

 

 

 

 

 

Prepaid expenses and other assets

 

 

(1,961

)

 

 

(992

)

 

 

(4,016

)

Accounts receivable

 

 

(15,000

)

 

 

 

 

 

577

 

Contract asset

 

 

(1,226

)

 

 

(2,401

)

 

 

721

 

Accounts payable

 

 

2,038

 

 

 

253

 

 

 

54

 

Accrued expenses and other current liabilities

 

 

3,180

 

 

 

4,519

 

 

 

12,599

 

Deferred revenue

 

 

(8,609

)

 

 

(37,774

)

 

 

(69,356

)

Operating lease right-of-use assets

 

 

4,797

 

 

 

517

 

 

 

419

 

Operating lease liabilities

 

 

18,582

 

 

 

(1,004

)

 

 

(1,015

)

Other non-current assets

 

 

909

 

 

 

(998

)

 

 

(1,992

)

Other non-current liabilities

 

 

(28

)

 

 

257

 

 

 

86

 

Net cash used in operating activities

 

$

(102,826

)

 

$

(153,085

)

 

$

(128,946

)

Investing activities

 

 

 

 

 

 

 

 

 

Purchase of property and equipment, net

 

 

(34,480

)

 

 

(2,836

)

 

 

(1,597

)

Purchase of marketable securities

 

 

(189,151

)

 

 

(445,972

)

 

 

(456,404

)

Maturities of marketable securities

 

 

363,517

 

 

 

469,327

 

 

 

358,166

 

Net cash provided by (used in) investing activities

 

$

139,886

 

 

$

20,519

 

 

$

(99,835

)

Financing activities

 

 

 

 

 

 

 

 

 

Proceeds from issuance of common stock and accompanying
pre-funded warrants from private placement, net of issuance costs

 

 

 

 

 

149,825

 

 

 

 

Proceeds from stock option exercises

 

 

2,860

 

 

 

3,154

 

 

 

7,632

 

Proceeds from employee stock purchase plan

 

 

1,408

 

 

 

1,150

 

 

 

788

 

Payments of offering costs in connection with initial public offering

 

 

 

 

 

 

 

 

(397

)

Payments on financing leases

 

 

(76

)

 

 

(1,130

)

 

 

(849

)

Proceeds from follow-on public offering, net of underwriting discounts and
   offering costs

 

 

 

 

 

 

 

 

240,760

 

Proceeds from concurrent private placement

 

 

 

 

 

 

 

 

2,346

 

Net cash provided by financing activities

 

$

4,192

 

 

$

152,999

 

 

$

250,280

 

Net increase in cash, cash equivalents and restricted cash

 

 

41,252

 

 

 

20,433

 

 

 

21,499

 

Cash, cash equivalents and restricted cash at beginning of period

 

 

74,525

 

 

 

54,092

 

 

 

32,593

 

Cash, cash equivalents and restricted cash at end of period

 

$

115,777

 

 

$

74,525

 

 

$

54,092

 

Supplemental disclosure of cash flow activities

 

 

 

 

 

 

 

 

 

Right-of-use assets obtained in exchange for new operating lease liabilities

 

$

48,833

 

 

 

 

 

 

 

Cash paid for interest

 

$

162

 

 

$

179

 

 

$

158

 

Supplemental disclosure of noncash investing and financing activities

 

 

 

 

 

 

 

 

 

Purchases of property and equipment through finance and lease liabilities

 

$

 

 

$

1,506

 

 

$

1,918

 

Property and equipment purchases included in accounts payable and
   accrued expenses

 

$

4,016

 

 

$

87

 

 

$

42

 

 

The accompanying notes are an integral part of these consolidated financial statements.

F-7


 

The following table provides a reconciliation of the cash, cash equivalents, and restricted cash balances as of each of the periods shown above:

 

 

 

December 31,

 

 

 

2023

 

 

2022

 

 

2021

 

Cash and cash equivalents

 

$

109,966

 

 

$

68,395

 

 

$

47,976

 

Restricted cash

 

 

5,811

 

 

 

6,130

 

 

 

6,116

 

Total cash, cash equivalents, and restricted cash

 

$

115,777

 

 

$

74,525

 

 

$

54,092

 

 

F-8


 

KYMERA THERAPEUTICS, INC

Notes to Consolidated Financial Statements

Note 1. Description of Business and Summary of Significant Accounting Policies

Kymera Therapeutics, Inc., together with its subsidiary Kymera Securities Corporation, is referred to on a consolidated basis as the “Company”. The Company is a biopharmaceutical company focused on discovering and developing small molecule therapeutics that selectively degrade disease-causing proteins by harnessing the body’s own natural cellular process, a method known as targeted protein degradation. The Company has devoted its efforts principally to research and development since formation. The Company has not yet completed product development, filed for or obtained regulatory approvals for any products, nor verified the market acceptance and demand for such products. As a result, the Company is subject to a number of risks common to emerging companies in the biotech industry. Principal among these risks are the uncertainties of the product discovery and development process, dependence on key individuals, development of the same or similar technological innovations by the Company’s competitors, protection of proprietary technology, compliance with government regulations and approval requirements, the Company’s ability to access capital and uncertainty of market acceptance of products.

The Company has historical net losses and anticipates that it will continue to incur losses for the foreseeable future and had an accumulated deficit of $530.8 million as of December 31, 2023. The Company has funded these losses principally through issuance of preferred stock, convertible notes, common stock, including its initial public offering and concurrent private placement completed in August 2020, or the IPO, follow-on offering and concurrent private placement completed in July 2021, or Follow-on Offering, August 2022 Private Investment in Public Equity, or PIPE, offering, and from cash proceeds received in connection with the Company’s corporate collaboration agreements with Vertex Pharmaceuticals Incorporated, or Vertex, and Genzyme Corporation, or Sanofi, (see Note 5). The Company expects to continue to incur operating losses and negative operating cash flows until such time as it generates a level of revenue that is sufficient to support its cost structure.

As of December 31, 2023, the Company had cash, cash equivalents and marketable securities of $436.3 million. The Company believes these cash, cash equivalents and marketable securities will be sufficient to fund its operations and capital expenditure requirements through at least twelve months from the issuance of these consolidated financial statements.

The Company expects to finance the future research and development costs of its product portfolio with its existing cash, cash equivalents and marketable securities, or through strategic financing opportunities that could include, but are not limited to future offerings of its equity, collaboration agreements, or the incurrence of debt. However, there is no guarantee that any of these strategic or financing opportunities will be executed or realized on favorable terms, if at all, and some could be dilutive to existing stockholders. If the Company fails to obtain additional future capital, it may be unable to complete its planned preclinical studies and clinical trials.

2021 Follow-on Public Offering

On July 6, 2021, the Company completed a follow-on offering of its common stock and issued and sold 5,468,250 shares of common stock, including full exercise of the underwriters’ over-allotment option to purchase an additional 713,250 shares, at a public offering price of $47.00 per share. The aggregate gross proceeds before deducting underwriting discounts and commissions, and other estimated offering expenses payable by the Company were approximately $257.0 million. Concurrent with the follow-on offering, the Company issued and sold 49,928 shares of common stock at $47.00 per share in a private placement to Vertex and the aggregate proceeds were $2.3 million.

Private Investment in Public Equity "PIPE" offering

On August 18, 2022, the Company and certain accredited investors entered into a securities purchase agreement pursuant to which the Company agreed to sell and issue to such investors in a private placement (i) an aggregate of 2,769,228 shares of the Company’s common stock at a purchase price of $26.00 per share, and (ii) 3,000,000 Pre-Funded Warrants to purchase common stock, at a purchase price of $25.9999 per pre-funded warrant, (the “Pre-Funded Warrants”). The Pre-Funded Warrants will have an exercise price of $0.0001 per share of common stock. The offering closed on August 22, 2022, resulting in net proceeds of $149.8 million after offering expenses.

As the Pre-Funded Warrants are indexed to the Company’s common stock (and otherwise meet the requirements to be classified in equity), the Company recorded the consideration received from the issuance of the Pre-Funded Warrants as additional paid-in capital on the Company’s consolidated balance sheets. The Pre-Funded Warrants are exercisable at any time. The holders of Pre-Funded Warrants may not exercise the warrant if the holder, together with its affiliates, would beneficially own more than 4.99% of the number of shares of the Common Stock outstanding immediately after giving effect to such

F-9


 

exercise. The holders of Pre-Funded Warrants may increase or decrease such percentages not in excess of 19.99% by providing at least 61 days’ prior notice to the Company.

During the twelve months ended December 31, 2023, no Pre-Funded Warrants were exercised. As of December 31, 2023, there were 3,000,000 pre-funded warrants outstanding.

Note 2. Summary of Significant Accounting Policies

The accompanying consolidated financial statements reflect the application of certain significant accounting policies as described in this note, and elsewhere in the accompanying consolidated financial statements and notes.

Principles of Consolidation

The accompanying consolidated financial statements include the accounts of the Company and its wholly owned subsidiary Kymera Securities Corporation. All intercompany transactions and balances have been eliminated in consolidation.

Basis of Presentation

The accompanying consolidated financial statements have been prepared in conformity with accounting principles generally accepted in the United States of America, or GAAP. Any reference in these notes to applicable guidance is meant to refer to the authoritative United States generally accepted accounting principles as found in the Accounting Standards Codification, or ASC and Accounting Standards Update, or ASU, of the Financial Accounting Standards Board, or FASB.

Use of Estimates

The preparation of financial statements in conformity with U.S. GAAP requires management to make estimates and judgments that affect the reported amounts of assets and liabilities and disclosure of contingencies at the date of the financial statements and the reported amounts of expenses during the reporting period. Management’s estimates and judgments are derived and continually evaluated based on available information, historical experience and various other assumptions that are believed to be reasonable under the circumstances. Because the use of estimates is inherent in the financial reporting process, actual results could differ from those estimates. In recording transactions and balances resulting from business operations, management makes estimates based on the best information available at the time the estimate is made. Significant estimates relied upon in preparing these financial statements include revenue recognized under our collaboration agreement with Sanofi and Vertex, accrual for research and development expenses, and equity-based compensation expense. As better information becomes available or actual amounts are determinable, the recorded estimates are revised. Consequently, operating results can be affected by revisions to prior estimates.

Segment and Geographic Information

Operating segments are defined as components of an enterprise about which separate discrete information is available for evaluation by the chief operating decision maker, or decision-making group, in deciding how to allocate resources and in assessing performance. The Company’s chief operating decision maker is the Chief Executive Officer. The Company views its operations and manages its business in one operating segment.

Cash and Cash Equivalents

Cash equivalents are highly liquid investments that are readily convertible into cash with original maturities of three months or less when purchased. These assets include investments in money market funds, U.S Treasury securities, U.S Government Agency securities, and corporate securities including commercial paper. The Company maintains its bank accounts at major financial institutions.

Restricted Cash

Restricted cash represents the cash held to secure letters of credit associated with the Company’s facility leases.

Marketable Securities

The Company classifies marketable securities with a remaining maturity of greater than three months when purchased as available-for-sale. The Company classifies investments available to fund current operations as current assets on its balance

F-10


 

sheets. Marketable securities with a remaining maturity date greater than one year are classified as non-current. Available-for-sale securities are maintained by investment managers and consist of U.S. Treasury securities, U.S Government Agency securities, and corporate bonds. Available-for-sale securities are carried at fair value with the unrealized gains and losses included in other comprehensive income (loss) as a component of stockholders’ equity until realized. Any premium or discount arising at purchase is amortized and/or accreted to interest income and/or expense over the life of the instrument. Realized gains and losses are determined using the specific identification method and are included in other (expense) income, net.

 

At each reporting date, the Company performs an evaluation of impairment to determine if any unrealized losses are the result of credit losses. Impairment is assessed at the individual security level. Factors considered in determining whether a loss resulted from a credit loss or other factors include the Company’s intent and ability to hold the investment until the recovery of its amortized cost basis, the extent to which the fair value is less than the amortized cost basis, the length of time and extent to which fair value has been less than the cost basis, the financial condition of the issuer, any historical failure of the issuer to make scheduled interest or principal payments, any changes to the rating of the security by a rating agency, any adverse legal or regulatory events affecting the issuer or issuer’s industry, and any significant deterioration in economic conditions.

Fair Value Measurements

Certain assets and liabilities are carried at fair value under GAAP. Fair value is defined as the exchange price that would be received for an asset or paid to transfer a liability (an exit price) in the principal or most advantageous market for the asset or liability in an orderly transaction between market participants on the measurement date. Valuation techniques used to measure fair value must maximize the use of observable inputs and minimize the use of unobservable inputs. Financial assets and liabilities carried at fair value are to be classified and disclosed in one of the following three levels of the fair value hierarchy, of which the first two are considered observable and the last is considered unobservable:

Level 1—Quoted prices in active markets for identical assets

Level 2—Observable inputs (other than Level 1 quoted prices), such as quoted prices in active markets for similar assets or liabilities, quoted prices in markets that are not active for identical or similar asset, or other inputs that are observable or can be corroborated by observable market data.

Level 3—Unobservable inputs that are supported by little or no market activity and that are significant to determining the fair value of the assets, including pricing models, discounted cash flow methodologies and similar techniques.

The carrying values of the Company’s cash equivalents, prepaid expenses, accounts payable, and certain accruals approximate their fair value due to their short-term nature.

Leases

At the inception of an arrangement, the Company determines whether the arrangement is or contains a lease based on the unique facts and circumstances present. Leases that are economically similar to the purchase of assets are generally classified as finance leases; otherwise the leases are classified as operating leases. The Company has elected not to recognize leases with an original term of one year or less on the balance sheet. Options to renew a lease are not included in the Company’s assessment unless there is reasonable certainty that the Company will renew. Leases with a term greater than one year are recognized on the balance sheet as right-of-use assets, lease liabilities and, if applicable, long-term lease liabilities. Lease liabilities and their corresponding right-of-use assets are recorded based on the present value of lease payments over the expected remaining lease term. However, certain adjustments to the right-of-use asset may be required for items such as incentives received. The Company has elected as an accounting policy to combine lease and non- lease components, such as common area maintenance, for all classes of underlying assets. The interest rate implicit in lease contracts has not historically been readily determinable. As a result, the Company utilizes its incremental borrowing rates, which are the rates incurred to borrow on a collateralized basis over a similar term an amount equal to the lease payments in a similar economic environment. To estimate its incremental borrowing rate, a credit rating applicable to the Company is estimated using synthetic credit rating analysis since the Company does not currently have a rating agency-based credit rating.

Property and Equipment

Property and equipment are recorded at cost, net of accumulated depreciation. Major additions and betterments are capitalized; maintenance and repairs, which do not improve or extend the life of the respective assets, are charged to operations

F-11


 

as incurred. Depreciation expense is recorded using the straight-line method over the estimated useful life of the related asset as follows:

 

Estimated Useful Life

(in years)

Lab equipment

5 years

Furniture and fixtures

5 years

Office equipment

5 years

Computer equipment

3 years

Leasehold improvements

Shorter of life of lease or remaining lease term

 

Upon retirement or sale, the cost and related accumulated depreciation of assets disposed of are removed from the accounts and any resulting gain or loss is included in loss from operations.

Construction-in-progress is stated at cost, which includes direct costs attributable to the setup or construction of the related asset. Depreciation expense is not recorded on construction-in-progress until the relevant assets are completed and put into use.

Impairment of Long-Lived Assets

Long-lived assets (including right-of-use assets) to be held and used are tested for recoverability whenever events or changes in business circumstances indicate that the carrying amount of the assets may not be fully recoverable. Factors that the Company considers in deciding when to perform an impairment review include significant underperformance of the business in relation to expectations, significant negative industry or economic trends and significant changes or planned changes in the use of the assets. If an impairment review is performed to evaluate a long-lived asset for recoverability, the Company compares forecasts of undiscounted cash flows expected to result from the use and eventual disposition of the long-lived asset to its carrying value. An impairment loss would be recognized when estimated undiscounted future cash flows expected to result from the use of an asset are less than its carrying amount. The impairment loss would be based on the excess of the carrying value of the impaired asset over its fair value, determined based on discounted cash flows. The Company did not record any impairment losses on long-lived assets during the years ended December 31, 2023, 2022 and 2021.

Warrants

The Company determines the accounting classification of warrants that are issued, as either liability or equity, by first assessing whether the warrants meet liability classification in accordance with ASC 480-10, Accounting for Certain Financial Instruments with Characteristics of Both Liabilities and Equity, and then in accordance with ASC 815-40, Accounting for Derivative Financial Instruments Indexed to, and Potentially Settled in, a Company’s Own Stock. Under ASC 480-10, warrants are considered liability classified if the warrants are mandatorily redeemable, obligate the issuer to settle the warrants or the underlying shares by paying cash or other assets, or must or may require settlement by issuing variable number of shares.

If warrants do not meet liability classification under ASC 480-10, the Company assesses the requirements under ASC 815-40, which states that contracts that require or may require the issuer to settle the contract for cash are liabilities recorded at fair value, irrespective of the likelihood of the transaction occurring that triggers the net cash settlement feature. If the warrants do not require liability classification under ASC 815-40, in order to conclude equity classification, the Company assesses whether the warrants are indexed to its common stock and whether the warrants are classified as equity under ASC 815-40 or other applicable U.S. GAAP. After all relevant assessments are made, the Company concludes whether the warrants are classified as liability or equity. Liability classified warrants are required to be accounted for at fair value both on the date of issuance and on subsequent accounting period ending dates, with all changes in fair value after the issuance date recorded in the statements of operations as a gain or loss. Equity classified warrants are accounted for at fair value on the issuance date with no changes in fair value recognized after the issuance date.

Research and Development Costs

Research and development costs consist primarily of costs incurred in connection with the discovery and development of targeted protein degradation therapeutics, including those in the Company’s most advanced clinical stage programs. These research efforts and costs, which also support the development of, and enhancements to, the Company’s PegasusTM targeted protein degradation platform, include external research costs, personnel costs, supplies, license fees and facility related expenses. The Company expenses research and development costs as incurred.

F-12


 

Patent Costs

All patent-related costs incurred in connection with filing and prosecuting patent applications are expensed as incurred due to the uncertainty about the recoverability of the expenditure. Amounts incurred are classified as general and administrative expenses.

Financing Costs

Costs incurred in connection with the issuance of equity units and shares are recorded as a reduction of proceeds to the equity carrying value. The Company capitalizes certain legal, professional accounting and other third-party fees that are directly associated with in-process financings as deferred offering costs until such financings are consummated. After consummation of the financing, these costs are recorded as a reduction of the proceeds received from the financing. If a planned financing is abandoned, the deferred offering costs are expensed immediately as a charge to operating expenses in the consolidated statement of operations and comprehensive loss. There was no deferred offering costs on the Company’s consolidated balance sheet at December 31, 2023 and December 31, 2022.

Revenue Recognition

Under ASC 606, Topic 606, Revenue from Contracts with Customers, or ASC 606, the Company recognizes revenue when its customer obtains control of promised goods or services, in an amount that reflects the consideration which the entity expects to receive in exchange for those goods or services. To determine the appropriate amount of revenue to be recognized for arrangements determined to be within the scope of ASC 606, the Company performs the following five steps: (i) identification of the contract(s) with the customer; (ii) identification of the promised goods or services in the contract and determination of whether the promised goods or services are performance obligations; (iii) measurement of the transaction price; (iv) allocation of the transaction price to the performance obligations; and (v) recognition of revenue when (or as) the Company satisfies each performance obligation. The Company only applies the five-step model to contracts when it is probable that the entity will collect consideration it is entitled to in exchange for the goods or services it transfers to the customer. At contract inception, once the contract is determined to be within the scope of ASC 606, the Company assesses the goods or services promised within each contract and determines those that are performance obligations and assesses whether each promised good or service is distinct. The Company then recognizes as revenue the amount of the transaction price that is allocated to the respective performance obligation when (or as) the performance obligation is satisfied.

As part of the accounting for these arrangements, the Company must use significant judgment to determine: a) the number of performance obligations based on the determination under step (ii) above and whether those performance obligations are distinct from other performance obligations in the contract; b) the transaction price under step (iii) above; and c) the standalone selling price for each performance obligation identified in the contract for the allocation of transaction price in step (iv) above. The Company uses judgment to determine whether milestones or other variable consideration, except for royalties, should be included in the transaction price as described further below. The transaction price is allocated to each performance obligation on a relative stand-alone selling price basis, for which the Company recognizes revenue as or when the performance obligations under the contract are satisfied. In determining the stand-alone selling price of a license to the Company’s proprietary technology or a material right provided by a customer option, the Company considers market conditions as well as entity-specific factors, including those factors contemplated in negotiating the agreements as well as internally developed estimates that include assumptions related to the market opportunity, estimated development costs, probability of success and the time needed to commercialize a product candidate pursuant to the license. In validating its estimated stand-alone selling prices, the Company evaluates whether changes in the key assumptions used to determine its estimated stand-alone selling prices will have a significant effect on the allocation of arrangement consideration between performance obligations.

The Company estimates the transaction price based on the amount of consideration the Company expects to be received for transferring the promised goods or services in the contract. The consideration may include both fixed consideration and variable consideration. At the inception of each arrangement that includes variable consideration, the Company evaluates the amount of the potential payments and the likelihood that the payments will be received. The Company utilizes either the most likely amount method or expected value method to estimate the transaction price based on which method better predicts the amount of consideration expected to be received. If it is probable that a significant revenue reversal would not occur, the variable consideration is included in the transaction price.

Performance obligations are promised goods or services in a contract to transfer a distinct good or service to the customer. Promised goods or services are considered distinct when: (i) the customer can benefit from the good or service on its own or together with other readily available resources and (ii) the promised good or service is separately identifiable from other promises in the contract. In assessing whether promised goods or services are distinct, the Company considers factors such as

F-13


 

the stage of development of the underlying intellectual property, the capabilities of the customer to develop the intellectual property on their own and whether the required expertise is readily available.

For performance obligations which consist of licenses and other promises, the Company utilizes judgment to assess the nature of the combined performance obligation in order to determine whether the combined performance obligation is satisfied over time or at a point in time. The Company receives payments from customers based on billing schedules established in each contract. Up-front payments and fees are recorded as deferred revenue upon receipt or when due until the Company performs its obligations under these arrangements. Amounts expected to be recognized as revenue within the 12 months following the balance sheet date are classified as current portion of deferred revenue in the accompanying consolidated balance sheets. Amounts not expected to be recognized as revenue within the 12 months following the balance sheet date are classified as deferred revenue, net of current portion. Amounts are recorded as accounts receivable when the Company’s right to consideration is unconditional. Amounts recognized as revenue, but not yet received or invoiced are generally recognized as contract assets.

Exclusive Licenses—If the license granted in the arrangement is determined to be distinct from the other promises or performance obligations identified in the arrangement, which generally include research and development services, the Company recognizes revenue from non-refundable, upfront fees allocated to the license when the license is transferred to the customer and the customer is able to use and benefit from the license. In assessing whether a license is distinct from the other promises, the Company considers relevant facts and circumstances of each arrangement, including the research and development capabilities of the collaboration partner and the availability of the associated expertise in the general marketplace. In addition, the Company considers whether the collaboration partner can benefit from the license for its intended purpose without the receipt of the remaining promise, whether the value of the license is dependent on the unsatisfied promise, whether there are other vendors that could provide the remaining promise, and whether it is separately identifiable from the remaining promise. For licenses that are combined with other promises, the Company utilizes judgment to assess the nature of the combined performance obligation to determine whether the combined performance obligation is satisfied over time or at a point in time and, if over time, the appropriate method of measuring progress for purposes of recognizing revenue. The Company evaluates the measure of progress each reporting period and, if necessary, adjusts the measure of performance and related revenue recognition based on estimated remaining research and development costs. The calculation of the total remaining estimated research and development costs includes forecasted costs associated with internal employee efforts, materials costs, and third-party contract costs, as well as the assumed timing and duration of these activities. The recognition of revenue pursuant to collaboration arrangements is subject to these judgments made and estimates developed by management and is sensitive to changes in these assumptions. Therefore, the measure of progress, and thereby periods over which revenue should be recognized, are subject to estimates by management and may change over the course of the arrangement.

Research and Development Services—The promises under the Company’s collaboration and license agreements generally include research and development services to be performed by the Company on behalf of the collaboration partner. For performance obligations that include research and development services, the Company generally recognizes revenue allocated to such performance obligations based on an appropriate measure of progress. The Company utilizes judgment to determine the appropriate method of measuring progress for purposes of recognizing revenue, which is generally an input measure, such as costs incurred. The Company evaluates the measure of progress each reporting period as described under Exclusive Licenses above. Reimbursements from the partner that are the result of a collaborative relationship with the partner, instead of a customer relationship, such as co-development activities, are generally recorded as a reduction to research and development expense.

Customer Options—The Company’s arrangements may provide a collaborator with the right to certain optional purchases, such as the right to license a target either at the inception of the arrangement or within a pre-defined option period. Under these agreements, fees may be due to the Company at the inception of the arrangement as an upfront fee or payment or upon the exercise of an option to acquire a license. If an arrangement is determined to contain customer options that allow the customer to acquire additional goods or services, the goods and services underlying the customer options are not considered to be performance obligations at the outset of the arrangement, as they are contingent upon option exercise. The Company evaluates the customer options for material rights, or options to acquire additional goods or services for free or at a discount. If the customer options are determined to represent a material right, the material right is recognized as a separate performance obligation at the inception of the arrangement. The Company allocates the transaction price to material rights based on the relative stand-alone selling price, which is determined based on the identified discount, and the probability that the customer will exercise the option. Amounts allocated to a material right are not recognized as revenue until, at the earliest, the option is exercised or expires.

Milestone Payments—At the inception of each arrangement that includes milestone payments based on certain events, the Company evaluates whether the milestones are considered probable of being achieved and estimates the amount to be

F-14


 

included in the transaction price using the most likely amount method. If it is probable that a significant revenue reversal would not occur, the associated milestone value is included in the transaction price. Milestone payments that are not within the control of the Company or the licensee, such as regulatory approvals, are not considered probable of being achieved until those approvals are received. The Company evaluates factors such as the scientific, clinical, regulatory, commercial, and other risks that must be overcome to achieve the particular milestone in making this assessment. There is considerable judgment involved in determining whether it is probable that a significant revenue reversal would not occur. At the end of each subsequent reporting period, the Company reevaluates the probability of achievement of all milestones subject to constraint and, if necessary, adjusts its estimate of the overall transaction price. Any such adjustments are recorded on a cumulative catch-up basis, which would affect revenues and earnings in the period of adjustment. If a milestone or other variable consideration relates specifically to the Company’s efforts to satisfy a single performance obligation or to a specific outcome from satisfying the performance obligation, the Company generally allocates the milestone amount entirely to that performance obligation once it is probable that a significant revenue reversal would not occur.

Royalties—For arrangements that include sales-based royalties, including milestone payments based on a level of sales, and the license is deemed to be the predominant item to which the royalties relate, the Company recognizes revenue at the later of (i) when the related sales occur or (ii) when the performance obligation to which some or all of the royalty has been allocated has been satisfied (or partially satisfied). To date, the Company has not recognized any royalty revenue resulting from any of its licensing arrangements.

Collaboration revenue—The Company analyzes its collaboration arrangements to assess whether they are within the scope of ASC 808, Collaborative Arrangements, or ASC 808, to determine whether such arrangements involve joint operating activities performed by parties that are both active participants in the activities and exposed to significant risks and rewards dependent on the commercial success of such activities. This assessment is performed throughout the life of the arrangement based on changes in the responsibilities of all parties in the arrangement. For collaboration arrangements within the scope of ASC 808 that contain multiple elements, the Company first determines which elements of the collaboration are deemed to be within the scope of ASC 808 and those that are more reflective of a vendor-customer relationship and therefore within the scope of Topic 606. For elements of collaboration arrangements that are accounted for pursuant to ASC 808, an appropriate recognition method is determined and applied consistently, generally by analogy to Topic 606. For those elements of the arrangement that are accounted for pursuant to Topic 606, the Company applies the five-step model described above.

Costs associated with License and Collaborative Arrangements

Costs associated with licenses of technology acquired as part of collaborative arrangements are expensed as incurred and are generally included in research and development expense in the consolidated statements of operations.

Accounts Receivable

The Company extends credit to customers based on its evaluation of the customer’s financial condition. The Company records receivables for all billings when amounts are due under standard terms. Accounts receivable are stated at amounts due net of applicable prompt pay discounts and other contractual adjustments as well as an allowance for doubtful accounts. The Company assesses the need for an allowance for doubtful accounts by considering a number of factors, including the length of time trade accounts receivable are past due, the customer’s ability to pay its obligation and the condition of the general economy and the industry as a whole. The Company will write off accounts receivable when the Company determines that they are uncollectible. In general, the Company has experienced no significant collection issues with its customers.

Stock-Based Compensation

The Company accounts for all stock-based awards granted to employees, directors, and nonemployees based on their fair value on the date of the grant and recognize compensation expense for those awards over the requisite service period, which is generally the vesting period of the respective award. Stock-based payments include stock options and grants of common stock, including common stock subject to vesting. The measurement date for stock awards is the date of grant, and stock-based compensation costs are recognized as expense over the requisite service period, which is the vesting period, on a straight-line basis. The Company has issued stock options and restricted stock with performance-based vesting conditions and records the expense for these awards if the Company concludes that it is probable that the performance condition will be achieved. Stock-based compensation is classified in the accompanying consolidated statements of operations and comprehensive loss based on the function to which the related services are provided. The Company recognizes stock-based compensation expense for the portion of awards that have vested. Forfeitures are accounted for as they occur.

 

F-15


 

The fair value of each stock option grant is estimated on the date of grant using the Black-Scholes options-pricing model, which requires inputs based on certain subjective assumptions, including the expected stock price volatility, the expected term of the option, the risk-free interest rate for a period that approximates the expected term of the option, and the Company’s expected dividend yield. Prior to the IPO, as there was no active market for the Company’s common stock, the Company estimated the fair value of common stock on the date of grant based on the then current facts and circumstances. Upon becoming a public company, the fair value of the underlying common shares equals the closing price of the Company’s stock on the date of grant. As the Company’s IPO was in 2020, the Company lacks a sufficient period of company-specific historical and implied volatility information. Therefore, it estimates its expected stock volatility based on the historical volatility of a publicly traded set of guideline companies and expects to continue to do so until such time as it has adequate historical data regarding the volatility of its own traded stock price. The expected term of the Company’s stock options has been determined utilizing the “simplified” method for awards that qualify as “plain-vanilla” options. The expected term of stock options granted to non-employees is equal to the contractual term of the option award. The risk-free interest rate is determined by reference to the U.S. Treasury yield curve in effect at the time of grant of the award for time periods approximately equal to the expected term of the award. Expected dividend yield is based on the fact that the Company has never paid cash dividends and does not expect to pay any cash dividends in the foreseeable future. The fair value of each restricted common stock award is estimated on the date of grant based on the fair value of the Company’s common stock on that same date.

Compensation expense for discounted purchases under the employee stock purchase plan is measured using the Black-Scholes model to compute the fair value of the lookback provision plus the purchase discount and is recognized as compensation expense over the offering period.

Income Taxes

The Company records income taxes in accordance with FASB Accounting Standards Codification Topic 740, Income Taxes, or ASC 740, which provides for deferred taxes using an asset and liability approach. Under this method, deferred income tax assets and liabilities are recognized based on future income tax consequences attributable to differences between the financial statement carrying amount of existing assets and liabilities, and their respective income tax basis. Deferred income tax assets and liabilities are measured using enacted income tax rates expected to apply to taxable income in the years in which those temporary differences are expected to be recovered or settled. The effect of changes in income tax rates on deferred income tax assets and liabilities is recognized as income or expense in the period that a valuation allowance for any income tax benefits of which future realization is not more likely than not.

The Company provides reserves for potential payments of tax to various tax authorities related to uncertain tax positions. The tax benefits recorded are based on a determination of whether and how much of a tax benefit taken by the Company in its tax filings or positions is “more likely than not” to be realized following resolution of any uncertainty related to the tax benefit, assuming that the matter in question will be raised by the tax authorities.

Off Balance Sheet Risk and Concentration of Credit Risk

The Company has no significant off-balance sheet risk such as foreign exchange contracts, option contracts, or other foreign hedging arrangements. Financial instruments that potentially expose the Company to concentrations of credit risk consist primarily of cash, cash equivalents, and restricted cash. The Company’s cash, cash equivalents, and restricted cash are deposited in accounts at large financial institutions. The Company believes it is not exposed to significant credit risk due to the financial strength of the depository institutions in which the cash, cash equivalents and restricted cash are held. The Company maintains a portion of its cash equivalents in money market funds that invest in U.S. Treasury securities and U.S. Agency obligations. Cash equivalents are also invested in individual U.S Treasury securities, U.S Government Agency securities, and corporate securities including commercial paper. The Company’s marketable securities primarily consist of corporate bonds, U.S. Agency bonds, U.S. Treasury securities, and potentially subject the Company to concentrations of credit risk. The Company has adopted an investment policy that limits the amounts the Company may invest in any one type of investment. The Company has not experienced any credit losses and does not believe it is exposed to any significant credit risk on these funds.

Comprehensive Loss

Comprehensive loss includes net loss as well as unrealized gains and losses on marketable securities and other changes in stockholders’ equity (deficit) that result from transactions and economic events other than those with stockholders.

F-16


 

Net Loss Per Share

The Company applies the two-class method to compute basic and diluted net income (loss) per share attributable to common stockholders when it has issued shares that meet the definition of participating securities. The two-class method determines net income (loss) per share for each class of common and participating securities according to dividends declared or accumulated and participation rights in undistributed earnings. The two-class method requires income (loss) available to common stockholders for the period to be allocated between common and participating securities based upon their respective rights to share in the earnings as if all income (loss) for the period had been distributed. The Company’s convertible preferred stock participates in any dividends declared by the Company and are therefore considered to be participating securities. The participating securities are not required to participate in the losses of the Company, and therefore during periods of loss there is no allocation required under the two-class method.

Basic net income (loss) per share attributable to common stockholders is computed by dividing the net income (loss) attributable to common stockholders by the weighted average number of shares of common stock outstanding for the period, including the pre-funded warrants given their nominal exercise price. Diluted net income (loss) attributable to common stockholders is computed by adjusting net income (loss) per share attributable to common stockholders to reallocate undistributed earnings based on the potential impact of dilutive securities. Diluted net income (loss) per share attributable to common stockholders is computed by dividing the diluted net income (loss) attributable to common stockholders by the weighted average number of shares of common stock outstanding for the period, including potential dilutive common shares. For purpose of this calculation, outstanding options to purchase common stock, unvested restricted stock awards, and shares of convertible preferred stock are considered potential dilutive common shares. The Company has generated a net loss in all periods presented, and therefore the basic and diluted net loss per share attributable to common stockholders are the same as the inclusion of the potentially dilutive securities would be anti-dilutive.

Note 3. Fair Value Measurements

The following table presents information about the Company’s financial assets measured at fair value on a recurring basis and indicates the level of the fair value hierarchy utilized to determine such fair values as of December 31, 2023 and 2022 (in thousands):

 

 

 

Fair Value Measurements at
December 31, 2023:

 

 

 

Level 1

 

 

Level 2

 

 

Level 3

 

 

Total

 

Assets:

 

 

 

 

 

 

 

 

 

 

 

 

Cash equivalents

 

 

 

 

 

 

 

 

 

 

 

 

Money market fund

 

$

78,010

 

 

$

 

 

$

 

 

$

78,010

 

US treasuries

 

 

27,985

 

 

 

 

 

 

 

 

 

27,985

 

Commercial Paper

 

 

997

 

 

 

 

 

 

 

 

 

997

 

Marketable securities, current

 

 

 

 

 

 

 

 

 

 

 

 

US treasuries

 

 

23,253

 

 

 

 

 

 

 

 

 

23,253

 

US government agencies

 

 

 

 

 

114,384

 

 

 

 

 

 

114,384

 

Corporate bonds

 

 

 

 

 

127,278

 

 

 

 

 

 

127,278

 

Marketable securities, non-current

 

 

 

 

 

 

 

 

 

 

 

 

US treasuries

 

 

 

 

 

 

 

 

 

 

 

 

US government agencies

 

 

 

 

 

28,307

 

 

 

 

 

 

28,307

 

Corporate bonds

 

 

 

 

 

33,127

 

 

 

 

 

 

33,127

 

Restricted cash

 

 

5,811

 

 

 

 

 

 

 

 

 

5,811

 

Total

 

$

136,056

 

 

$

303,096

 

 

$

 

 

$

439,152

 

 

F-17


 

 

 

 

Fair Value Measurements at
December 31, 2022:

 

 

 

Level 1

 

 

Level 2

 

 

Level 3

 

 

Total

 

Assets:

 

 

 

 

 

 

 

 

 

 

 

 

Cash equivalents

 

 

 

 

 

 

 

 

 

 

 

 

Money market fund

 

$

50,551

 

 

$

 

 

$

 

 

$

50,551

 

Marketable securities, current

 

 

 

 

 

 

 

 

 

 

 

 

US treasuries

 

 

74,045

 

 

 

 

 

 

 

 

 

74,045

 

US government agencies

 

 

 

 

 

120,467

 

 

 

 

 

 

120,467

 

Corporate bonds

 

 

 

 

 

144,259

 

 

 

 

 

 

144,259

 

Marketable securities, non-current

 

 

 

 

 

 

 

 

 

 

 

 

US treasuries

 

 

19,804

 

 

 

 

 

 

 

 

 

19,804

 

US government agencies

 

 

 

 

 

58,653

 

 

 

 

 

 

58,653

 

Corporate bonds

 

 

 

 

 

73,871

 

 

 

 

 

 

73,871

 

Restricted cash

 

 

6,130

 

 

 

 

 

 

 

 

 

6,130

 

Total

 

$

150,530

 

 

$

397,250

 

 

$

 

 

$

547,780

 

 

During the years ended December 31, 2023 and 2022, there were no transfers in or out of Level 3.

Note 4. Marketable Securities

The following table summarizes the available-for-sale debt securities held at December 31, 2023 and 2022 (in thousands):

 

Description

 

Amortized
Cost

 

 

Unrealized
Gains

 

 

Unrealized
Losses

 

 

Fair
Value

 

December 31, 2023

 

 

 

 

 

 

 

 

 

 

 

 

U.S. treasury securities

 

$

23,361

 

 

$

5

 

 

$

(113

)

 

$

23,253

 

US government agency securities

 

 

142,948

 

 

 

48

 

 

 

(305

)

 

 

142,691

 

Corporate securities

 

 

160,598

 

 

 

113

 

 

 

(306

)

 

 

160,405

 

Total

 

$

326,907

 

 

$

166

 

 

$

(724

)

 

$

326,349

 

 

Description

 

Amortized
Cost

 

 

Unrealized
Gains

 

 

Unrealized
Losses

 

 

Fair
Value

 

December 31, 2022

 

 

 

 

 

 

 

 

 

 

 

 

U.S. treasury securities

 

$

94,958

 

 

$

3

 

 

$

(1,111

)

 

$

93,850

 

US government agency securities

 

 

180,967

 

 

 

25

 

 

 

(1,873

)

 

$

179,119

 

Corporate securities

 

 

220,119

 

 

 

25

 

 

 

(2,014

)

 

 

218,130

 

Total

 

$

496,044

 

 

$

53

 

 

$

(4,998

)

 

$

491,099

 

 

As of December 31, 2023, the Company held 109 securities that had been in an unrealized loss position for less than 12 months with an aggregate fair value of $229.7 million. As of December 31, 2022, the Company held 149 securities that had been in an unrealized loss position for less than 12 months with an aggregate fair value of $330.9 million. As of December 31, 2023, the Company held 16 securities that had been in an unrealized loss position for greater than 12 months with an aggregate fair value of $36.6 million. As of December 31, 2022, the Company held 36 securities that had been in an unrealized loss position for greater than 12 months with an aggregate fair value of $115.0 million.

As of December 31, 2023 the Company had 124 securities with a fair value of $264.9 million with a contractual maturity of less than 12 months and 27 securities with a fair value of $61.4 million with a contractual maturity of greater than 12 months. As of December 31, 2022 the Company had 118 securities with a fair value of $338.8 million with a contractual maturity of less than 12 months and 81 securities with a fair value of $152.3 million with a contractual maturity of greater than 12 months.

 

The Company is required to determine whether a decline in the fair value below the amortized cost basis of available-for-sale securities is due to credit-related factors. At each reporting date, the Company performs an evaluation of impairment to determine if any unrealized losses are the result of credit losses. Impairment is assessed at the individual security level. Factors considered in determining whether a loss resulted from a credit loss or other factors include the Company’s intent and ability to hold the investment until the recovery of its amortized cost basis, the extent to which the fair value is less than the amortized cost basis, the length of time and extent to which fair value has been less than the cost basis, the financial condition

F-18


 

of the issuer, any historical failure of the issuer to make scheduled interest or principal payments, any changes to the rating of the security by a rating agency, any adverse legal or regulatory events affecting the issuer or issuer’s industry, and any significant deterioration in economic conditions.

 

Unrealized losses on available-for-sale securities presented in the previous table have not been recognized in the condensed consolidated statements of operations because the securities are high credit quality, investment grade securities that the Company does not intend to sell and will not be required to sell prior to their anticipated recovery, and the decline in fair value is attributable to factors other than credit losses. Based on its evaluation, the Company determined it does not have any credit losses related to its available-for-sale securities as of December 31, 2023 and 2022.

Note 5. Collaborations

Sanofi Collaboration Arrangement

Agreement Terms

On July 7, 2020, the Company entered into a collaboration agreement, or the Sanofi Agreement, with Sanofi, to co-develop drug candidates directed to two biological targets. Under the Sanofi Agreement, the Company granted to Sanofi a worldwide exclusive license to develop, manufacture and commercialize certain lead compounds generated during the collaboration directed against IRAK4, or Collaboration Target 1, and one additional undisclosed target in an undisclosed field of use, or Collaboration Target 2. Such license is exercisable on a collaboration target-by-collaboration target basis only after specified milestones. For compounds directed against IRAK4, the field of use includes diagnosis, treatment, cure, mitigation or prevention of any diseases, disorders or conditions, excluding oncology and immuno-oncology.

Pursuant to the Sanofi Agreement, the Company is responsible for discovery and preclinical research and conducting a Phase 1 clinical trial for at least one degrader directed against IRAK4 plus up to three backup degraders. With respect to both targets, Sanofi is responsible for development, manufacturing, and commercialization of product candidates after a specified development milestone occurs with respect to each collaboration candidate.

In addition, pursuant to the Sanofi Agreement, Sanofi will grant to the Company an exclusive option, or Opt-In Right, exercisable on a collaboration target-by-collaboration target basis that will include the right to (i) fund 50% of the United States development costs for collaboration products directed against such target in the applicable field of use and (ii) share equally in the net profits and net losses of commercializing collaboration products directed against such target in the applicable field of use in the United States. In addition, if the Company exercises the Opt-In Right, Sanofi will grant to the Company an exclusive option, applicable to each collaboration target, which upon exercise will allow the Company to conduct certain co-promotion activities in the field in the United States.

The Sanofi Agreement, unless earlier terminated, will expire on a product-by-product basis on the date of expiration of all payment obligations under the Sanofi Agreement with respect to such product. The Company or Sanofi may terminate the agreement upon the other party’s material breach or insolvency or for certain patent challenges. In addition, Sanofi may terminate the Sanofi Agreement for convenience or for a material safety event upon advance prior written notice, and the Company may terminate the Sanofi Agreement with respect to any collaboration candidate if, following Sanofi’s assumption of responsibility for the development, commercialization or manufacturing of collaboration candidates with respect to a particular target, Sanofi ceases to exploit any collaboration candidates directed to such target for a specified period.

In consideration for the exclusive licenses granted to Sanofi under the Sanofi Agreement, Sanofi paid to the Company an upfront payment of $150.0 million. The Company will also be reimbursed for certain research activities for a certain backup degrader under the IRAK4 program as well as contract manufacturing costs for the lead KT-474 program, unless certain criteria are not met for an initial IRAK4 degrader. In addition to the upfront payment and the reimbursements, the Company is eligible to receive certain development milestone payments of up to $1.48 billion in the aggregate, of which more than $1.0 billion relates to the IRAK4 program, upon the achievement of certain developmental or regulatory events. The Company will be eligible to receive certain commercial milestone payments up to $700.0 million in the aggregate, of which $400 million relates to the IRAK4 program, which are payable upon the achievement of certain net sales thresholds. The Company will be eligible to receive tiered royalties for each program on net sales ranging from the high single digits to high teens, subject to low-single digits upward adjustments in certain circumstances.

F-19


 

On November 15, 2022, we entered into an Amended and Restated Collaboration and License Agreement with Sanofi, or the Amended Sanofi Agreement, which amended the Original Sanofi Agreement to revise certain research terms and responsibilities set forth under the Original Sanofi Agreement. The Amended Sanofi Agreement also specifies details around the timing and number of Phase 2 trials required under the terms of the collaboration. The Amended Sanofi Agreement became effective on December 5, 2022.

Additionally with respect to Sanofi, on December 2, 2022, Sanofi provided the Company with written notice of its intention to advance the collaboration target 1 candidate, KT-474, into Phase 2 clinical trials. In the fourth quarter of 2023, the Company achieved two milestones of $40.0 million and $15.0 million relating to the dosing of the first patient in the Phase 2 clinical trial for the first and second indications, respectively. As of December 31, 2023, the Company has received the $40.0 million milestone with the $15.0 million included within the accounts receivable on the consolidated balance sheet.

In September 2023, the Company and Sanofi mutually agreed to cease activities related to Collaboration Target 2.

Accounting Treatment

The Company analyzed the discovery and preclinical research activities as well as the exclusive license grants under the Sanofi Agreement and concluded that the arrangement was indicative of a vendor-customer relationship and would be accounted for under ASC 606.

The Company identified the following material promises under the arrangement: (1) research services for Collaboration Target 1, (2) research license for Collaboration Target 1, (3) exclusive license for Collaboration Target 1, (4) research services for Collaboration Target 2, (5) research license for Collaboration Target 2, (6) exclusive license for Collaboration Target 2, (7) option to extend the research term, and (8) optional research services during the development period.

The Company determined that Collaboration Targets 1 and 2 are distinct from each other. The research associated with degraders directed to each target is at different stages and the licensed field, should development activities be successful, are different from each other. As such, all promises associated with each target are considered distinct from promises associated with the other target.

The research and development services for each collaboration target were determined not to be distinct from the research license and the exclusive license and have been combined into a single performance obligation for each collaboration target. That is, two performance obligations were identified, the combined research services, research license and exclusive license for Collaboration Target 1 and the combined research services, research license and exclusive license for Collaboration Target 2. The exclusive license for each target is not distinct from the preclinical and clinical research and development services under the Sanofi Agreement, primarily due to the highly specialized nature of the research and novel technology involved with developing protein degraders – the preclinical activities and studies and first phase 1 clinical trial could not be conducted by another party in the manner required.

The option to extend the research term and optional research services during the development period were evaluated as material rights. The fees associated with each option are at or above the standalone selling price. As such, the underlying options are not performance obligations and fees associated with each option are excluded from the transaction price until the underlying option is exercised.

The Company determined the total transaction price to be $150.0 million, which consists solely of the upfront payment. All milestone payments and option payments were constrained as the achievement of such milestones are contingent upon the success of the underlying research and development activities and are generally outside the control of the Company. The reimbursement of costs for the IRAK4 backup degrader is also treated as constrained variable consideration as the criteria for reimbursement may not always be met, under which circumstances the Company would be responsible for the costs related to the backup degrader. Upon becoming unconstrained, the reimbursement consideration will be added to the transaction price and allocated to Collaboration Target 1.

The Company allocated the upfront payment to each performance obligation based on the relative standalone selling price, as follows:

Collaboration Target 1: $120.0 million
Collaboration Target 2: $30.0 million

F-20


 

The Company determined the allocation of the $150.0 million transaction price between Collaboration Target 1 and Collaboration Target 2 based on the value of the research and development for the programs from projected research and development costs for each collaboration target plus a developer’s profit and the total potential milestones for each collaboration target.

The Company recognizes revenue associated with each performance obligation as the research and development services are provided using an input method, according to costs incurred as related to the research and development activities for each individual program and the costs expected to be incurred in the future to satisfy that individual performance obligation. The transfer of control occurs over this time period and, in management’s judgment, is the best measure of progress towards satisfying each performance obligation. The amounts received that have not yet been recognized as revenue are deferred as a contract liability on the Company’s consolidated balance sheet and will be recognized over the remaining research and development period until the performance obligation is satisfied. Milestone and reimbursement consideration added to the transaction price will be recognized as revenue with a cumulative catch-up upon becoming unconstrained. The performance obligation associated with Collaboration Target 1 has not been fully satisfied as of December 31, 2023. The performance obligation associated with Collaboration Target 2 was fully satisfied as of December 31, 2023. During the year ended December 31, 2023, the Company recognized $70.2 million in revenue under the Sanofi Agreement, of which $67.7 million was associated with Collaboration Target 1 and $2.5 million was associated with Collaboration Target 2. Of the $70.2 million of revenue recognized in the year ended December 31, 2023, $19.0 million was recognized from amounts that were recorded in deferred revenue as of December 31, 2022. The aggregate amount of the transaction price allocated to the Company’s unsatisfied performance obligations and recorded in deferred revenue at December 31, 2023 is $54.7 million. During the year ended December 31, 2022, the Company recognized $36.0 million in revenue under the Sanofi Agreement, of which $19.4 million was associated with Collaboration Target 1 and $16.6 million was associated with Collaboration Target 2. The aggregate amount of the transaction price allocated to the Company’s unsatisfied performance obligations and recorded in deferred revenue at December 31, 2022 was $54.9 million. During the year ended December 31, 2021, the Company recognized $54.3 million in revenue under the Sanofi Agreement, of which $45.5 million was associated with Collaboration Target 1 and $8.8 million was associated with Collaboration Target 2. During the years ended December 31, 2023 and 2022, the Company received $13.8 million and $6.7 million, respectively, in in cost reimbursement payments under the Sanofi Agreement. The Company recorded $3.8 million and $2.5 million of unbilled accounts receivable related to reimbursable research and development costs under the Sanofi Agreement as of December 31, 2023 and December 31, 2022, respectively. The Company will recognize the deferred revenue related to the performance obligations based on a cost input method, as described, over the remaining research term, which as a result of the amended agreement, is a maximum of approximately 3.0 years as of December 31, 2023.

Any additional consideration related to performance-based milestones will be recognized when the risk of probable reversal is resolved, at which point the Company shall adjust the transaction price determined for the agreement accordingly and recognize revenue on a cumulative-catch up basis, reallocating the revised arrangement consideration to the performance obligations. Any consideration related to sales milestone payments and royalties will be recognized when the related milestone events or sales occur and therefore are recognized at the later of when the related sales occur or the relevant performance obligation is satisfied. As part of its evaluation of constraining the milestones, the Company considered numerous factors, including the fact that the achievement of the research and development milestones are contingent upon the results of the underlying research and development activities and are thus outside of the control of the Company. In the fourth quarter of 2023, the Company achieved two development milestones relating to the dosing of the first patient in the KT-474 Phase 2 clinical trials for the first and second indications, respectively. In connection with these milestones the Company unconstrained $55.0 million of consideration resulting in a $40.3 million cumulative catch up recorded to revenue with the remaining $14.7 million recorded as deferred revenue as of December 31, 2023.

Vertex Agreement

On May 9, 2019 (the “Effective Date”), the Company entered into a collaboration agreement (the “Vertex Agreement”) with Vertex to advance small molecule protein degraders against up to six targets. Under the Vertex Agreement, Vertex had the exclusive option to license the rights to the product candidates developed for the designated targets at which point Vertex would control development and commercialization. Pursuant to the Vertex Agreement, the Company was only responsible for discovery and preclinical research on the targets, and Vertex was responsible for development, manufacturing, and commercialization of the product candidates after it exercises its option to license. The initial research term of the collaboration was four (4) years, extendable for an additional one (1) year period upon mutual agreement by the parties and payment by Vertex of certain per-target fees.

The Company was eligible to receive up to $170.0 million in payments per target, including development, regulatory and commercial milestones as well as option exercise payments. In addition, Vertex was obligated to pay the Company tiered royalties on future net sales on any products that may result from the Vertex Agreement. None of the payments under the Vertex Agreement are refundable.

F-21


 

The term of the Vertex Agreement began on the Effective Date and expired upon the completion of the initial research term on May 9, 2023.

Accounting Treatment

The Company analyzed the joint research activities required under the Vertex Agreement and concluded that the arrangement was indicative of a vendor-customer relationship and would be accounted for under ASC 606.

The Company identified the following material promises under the arrangement: (1) the non-exclusive, royalty-free research license; (2) the research and development services to be performed on up to six targets; and (3) the option to license each of the targets for development, manufacturing, and commercialization efforts. The research and development services were determined not to be distinct from the research and development license and have been combined into a single performance obligation. The Company determined that the option to license the targets in the future was not priced at a discount, and that the option exercise fee for each target is at or above the standalone selling price for research at this stage of development; as such, the options and the underlying licenses are excluded from the performance obligation and the option exercise fees are excluded from the transaction price until the underlying option is exercised.

As part of its evaluation of constraining the research and development milestones, the Company considered numerous factors, including the fact that the achievement of the research and development milestones are contingent upon the results of the underlying research and development activities and are thus outside of the control of the Company.

At the commencement of the arrangement, two units of accounting were identified, the issuance of 3,059,695 shares of the Company’s Series B-1 and the research activities the Company will perform over the Research Term. The Company determined the total transaction price to be $55.9 million, which consists of $5.9 million attributed to the premium from the Series B-1 shares sold to Vertex and the $50.0 million upfront payment. To determine the fair value of the Series B-1 issued to Vertex, the Company performed a valuation of the shares of the Company’s common and preferred stock, which took into consideration recent financings, and the Company’s recent development and future exit strategies, as well as a discount for lack of marketability.

The Company recognizes revenue associated with the performance obligation as the research and development services are provided using an input method, according to the costs incurred as related to the research and development activities on each program and the costs expected to be incurred in the future to satisfy the performance obligation. The transfer of control occurs over this time period and, in management’s judgment, is the best measure of progress towards satisfying the performance obligation. The Vertex collaboration agreement expired upon completion of the initial research term in May of 2023. Accordingly, the Company fully satisfied its performance obligation and recognized all remaining deferred revenue associated with the Vertex collaboration in May 2023. During the years ended December 31, 2023, 2022 and 2021, the Company recognized $8.4 million, $10.8 million, $18.5 million, respectively, in revenue under the Vertex Agreement. All $8.4 million revenue recognized during the year ended December 31, 2023 was recognized from amounts that were recorded in deferred revenue as of December 31, 2022. There were no unsatisfied performance obligations as of December 31, 2023. The aggregate amount of the transaction price allocated to the Company’s unsatisfied performance obligation and recorded in deferred revenue at December 31, 2023 and 2022 is zero and $8.4 million, respectively.

The following table presents the changes in accounts receivable, contract assets and liabilities for the year ended December 31, 2023 (in thousands)

 

 

 

Balance at
December 31, 2022

 

 

Additions

 

 

Deductions

 

 

Balance at
December 31, 2023

 

Accounts receivable and contract assets:

 

 

 

 

 

 

 

 

 

 

 

 

Billed receivables – Sanofi

 

$

 

 

$

68,757

 

 

$

(53,757

)

 

$

15,000

 

Unbilled receivables – Sanofi

 

 

2,537

 

 

 

14,982

 

 

 

(13,757

)

 

 

3,762

 

Total accounts receivable and contract assets

 

$

2,537

 

 

$

83,739

 

 

$

(67,514

)

 

$

18,762

 

Contract Liabilities:

 

 

 

 

 

 

 

 

 

 

 

 

Deferred Revenue – Vertex

 

$

8,399

 

 

$

 

 

$

(8,399

)

 

$

-

 

Deferred Revenue – Sanofi

 

 

54,861

 

 

 

69,983

 

 

 

(70,193

)

 

 

54,651

 

Total contract liabilities

 

$

63,260

 

 

$

69,983

 

 

$

(78,592

)

 

$

54,651

 

 

F-22


 

Note 6. Property and equipment

Property and equipment consists of the following as of December 31, 2023 and 2022 (in thousands):

 

 

 

December 31, 2023

 

 

December 31, 2022

 

Lab and office equipment under finance right-of-use asset

 

$

6,725

 

 

$

5,475

 

Lab equipment

 

 

5,098

 

 

 

4,383

 

Computer equipment

 

 

582

 

 

 

357

 

Furniture & fixtures

 

 

1,064

 

 

 

1,064

 

Leasehold improvements

 

 

7,802

 

 

 

7,802

 

Assets not yet in service

 

 

37,303

 

 

 

1,146

 

Total property and equipment

 

 

58,574

 

 

 

20,227

 

Less accumulated depreciation

 

 

(10,440

)

 

 

(6,893

)

Property and equipment, net

 

$

48,134

 

 

$

13,334

 

 

Depreciation expense for the years ended December 31, 2023, 2022 and 2021 was $3.6 million, $3.0 million and $2.4 million, respectively.

Included in property and equipment is lab and office equipment right-of-use assets under financing leases with a cost basis of $6.7 million and $5.5 million and accumulated amortization expense of $4.1 million and $2.7 million as of December 31, 2023 and 2022, respectively.

Amortization expense related to right-of-use assets was $1.5 million, $1.2 million and $0.9 million the years ended December 31, 2023, 2022 and 2021 and is included in depreciation expense.

Note 7. Leases

In October 2019, the Company entered into a noncancelable facility lease agreement (the “the 2019 Lease”) for 34,522 square feet of research and development and office space in Watertown, Massachusetts. The term of the 2019 Lease is 120 months and expires on March 31, 2030. The 2019 Lease has an option to be extended for an additional five years. The lease is not reasonably certain to be extended and as such the additional term is not included in the measurement of the lease. The 2019 Lease includes a rent escalation clause, and rent expense is being recorded on a straight-line basis. The Company received a tenant incentive allowance of $5.5 million in 2020 as the tenant improvements were completed all of which has been collected from its landlord as of December 31, 2022. In accordance with the lease agreement, the Company is required to maintain a security deposit and provided a letter of credit to the landlord, which is recorded in restricted cash as of December 31, 2023 and December 31, 2022. The letter of credit totaled $1.3 million and $1.6 million as of December 31, 2023 and December 31, 2022, respectively.

In December 2021, the Company entered into a noncancelable lease (the "2021 Lease") for 100,624 square feet of office and laboratory space in Watertown, Massachusetts, which the Company began occupying in February 2024. The 2021 Lease is subject to base rent of $0.8 million per month beginning two months after the commencement date, plus the Company’s ratable share of taxes, maintenance and other operating expenses. Base rent is subject to a 3% annual increase over the lease term of approximately 134 months following the commencement date. The Company also has two consecutive options to extend the term of the lease for five years each at then-market rates. The 2021 Lease also includes a tenant improvement allowance of approximately $20.1 million. In connection with the signing of the 2021 Lease, the Company issued a letter of credit for $4.5 million which is classified as restricted cash as of December 31, 2023 and December 31, 2022. The Company also paid first month’s rent of $0.8 million upon execution of the 2021 Lease in December 2021 which is classified as other current assets and other non-current assets as of December 31, 2023 and December 31, 2022 respectively.

The 2021 Lease required the landlord to build-out the base building prior to the construction of the Company’s premises. The Company concluded the accounting commencement date occurred when the landlord completed the build-out of the base building and control passed to the Company, which occurred in early January 2023. The Company assessed the classification of the 2021 Lease at the accounting commencement date and concluded the lease should be accounted for as an operating lease. The Company recorded an operating lease liability of $48.9 million, measured as the present value of the remaining lease payments discounted using the incremental borrowing rate as of the accounting commencement date. The Company recorded an operating lease right-of-use asset of $48.9 million, measured as the present value of the remaining lease payments, net of the tenant incentives.

F-23


 

The Company concluded the improvements paid for by the landlord in connection with the tenant improvement allowance represent lessee assets and therefore recorded $16.1 million of leasehold improvements in property and equipment. The Company recorded an additional $11.1 million of leasehold improvements in excess of the tenant improvement allowance, all of which were not placed in service as of December 31, 2023.

The Company’s financing lease obligations consist of certain property and equipment financed through capital leases.

The components of the lease costs for the years ended December 31, 2023 and 2022 (in thousands):

 

 

 

Year ended December 31,

 

 

 

2023

 

 

2022

 

Operating lease costs

 

$

9,919

 

 

$

2,095

 

Financing lease costs:

 

 

 

 

 

 

Amortization of right-to-use assets, financing
   leases

 

 

1,483

 

 

 

1,184

 

Interest expense for financing lease liabilities

 

 

181

 

 

 

179

 

Variable lease costs

 

 

949

 

 

 

1,192

 

Total lease costs

 

$

12,532

 

 

$

4,650

 

 

Supplemental cash flow information relating to the Company’s leases for the years ended December 31, 2023 and 2022 were as follows (in thousands):

 

 

 

Year ended December 31,

 

 

 

2023

 

 

2022

 

Cash paid for amounts included in the measurement
   of lease liabilities:

 

 

 

 

 

 

Operating cash flows used in operating leases

 

$

2,659

 

 

$

2,581

 

Operating cash flows used in finance leases

 

$

1,363

 

 

$

1,130

 

Financing cash flows used in finance leases

 

$

181

 

 

$

179

 

 

Weighted average remaining lease terms and discount rates as of December 31, 2023 and 2022 were as follows:

 

 

 

Year ended December 31,

 

 

 

2023

 

 

2022

 

Remaining lease term:

 

 

 

 

 

 

Operating lease

 

10.4 years

 

 

7.3 years

 

Financing lease

 

2.4 Years

 

 

2.5 Years

 

Discount Rate:

 

 

 

 

 

 

Operating lease

 

 

8.8

%

 

 

10.5

%

Financing lease

 

 

8.2

%

 

 

8.5

%

 

 

F-24


 

The undiscounted future lease payments for operating and finance leases as of December 31, 2023, were as follows (in thousands):

 

Fiscal Year

 

Operating
Leases

 

 

Financing
Leases

 

2024

 

 

5,505

 

 

 

1,318

 

2025

 

 

12,074

 

 

 

882

 

2026

 

 

12,436

 

 

 

533

 

2027

 

 

12,809

 

 

 

100

 

2028

 

 

13,193

 

 

 

 

Thereafter

 

 

74,424

 

 

 

 

Total minimum lease payments

 

 

130,441

 

 

 

2,833

 

Less amounts representing interest or imputed interest

 

 

(48,345

)

 

 

(255

)

Present value of lease liabilities

 

$

82,096

 

 

$

2,578

 

 

The undiscounted future lease payments in 2024 includes approximately $4.0 million of future reimbursements related to landlord funded tenant improvements in connection with the 2021 Lease.

 

Note 8. Accrued Expenses

Accrued expenses consist of the following as of December 31, 2023 and 2022 (in thousands):

 

 

 

Year ended December 31,

 

 

 

2023

 

 

2022

 

Research and development expenses

 

$

15,099

 

 

$

16,975

 

Payroll and payroll-related

 

 

11,227

 

 

 

8,149

 

Professional fees

 

 

3,854

 

 

 

1,971

 

Other

 

 

3,684

 

 

 

407

 

Accrued expenses

 

$

33,864

 

 

$

27,502

 

 

 

Note 9. Other Commitments and Contingencies

Legal Proceedings

In the ordinary course of business, the Company may be subject to legal proceedings, claims and litigation as the Company operates in an industry susceptible to patent legal claims. The Company accounts for estimated losses with respect to legal proceedings and claims when such losses are probable and estimable. Legal costs associated with these matters are expensed when incurred. The Company is not currently a party to any legal proceedings.

Indemnification Arrangements

As permitted under Delaware law, the Company has agreements whereby it indemnifies its investors, employees, officers, and directors (collectively, the “Indemnified Parties”) for certain events or occurrences while the Indemnified Parties are, or were serving, at its request in such capacity. The term of the indemnification period is for the Indemnified Parties’ lifetime. The Company believes the estimated fair value of these indemnification agreements is minimal. The Company enters into standard indemnification agreements in the ordinary course of business. Pursuant to these agreements, the Company indemnifies, holds harmless, and agrees to reimburse the indemnified party for losses suffered or incurred by the indemnified party, generally the Company’s business partners or customers, in connection with any U.S. patent or any copyright or other intellectual property infringement claim by any third party with respect to the Company’s products. The maximum potential amount of future payments the Company could be required to make under these indemnification agreements is unlimited. The Company is not aware of any claims under indemnification arrangements, and it has not accrued any liabilities related to such obligations as of December 31, 2023, 2022 or 2021.

 

F-25


 

Note 10. Equity-Based Compensation

2018 Stock Option and Grant Plan

In November 2018, the Company adopted, and its stockholders approved, the 2018 Stock Option and Grant Plan (the “2018 Plan”), which provides for the granting of stock options and other equity-based awards at the discretion of the Board of Directors or any subcommittee of the Board of Directors to the Company's employees, officers, directors, and independent contractors. No further grants will be made under the 2018 Plan. However, the 2018 Plan will continue to govern outstanding equity awards granted thereunder. To the extent outstanding options granted under the 2018 Plan are cancelled, forfeited or otherwise terminated without being exercised and would otherwise have been returned to the share reserve under the 2018 Plan, the number of shares underlying such awards will be available for future grant under the 2020 Stock Option and Incentive Plan.

2020 Stock Option and Incentive Plan

In August 2020, the Company and its stockholders approved the 2020 Stock Option and Incentive Plan (the “2020 Plan”), which became effective on August 20, 2020. The 2020 Plan replaced the 2018 Plan as the Company’s Board of Directors has determined not to make additional awards under the 2018 Plan following the closing of the Company’s IPO. The 2020 Plan allows the Company to make equity-based and cash-based incentive awards to its officers, employees, directors and consultants. The Company has initially reserved 4,457,370 shares of its common stock for the issuance of awards under the 2020 Plan, which includes the shares of common stock remaining available for issuance under its 2018 Plan as of the business day immediately prior to the effective date of the registration statement. The 2020 Plan provides that the number of shares reserved and available for issuance will automatically increase on January 1, 2021, and each January 1 thereafter, by 4% of the Company’s outstanding number of shares of common stock on the immediately preceding December 31, or such lesser number of shares as determined by the Company’s compensation committee. These limits are subject to adjustment in the event of a stock split, stock dividend or other change in the Company’s capitalization. As of December 31, 2023, there were an aggregate of 3,797,548 shares remaining available for future grants.

2020 Employee Stock Purchase Plan

In August 2020, the Company and its stockholders approved the 2020 Employee Stock Purchase Plan (the “2020 ESPP”), which became effective August 20, 2020. The 2020 ESPP initially reserves and authorizes the issuance of up to a total of 445,653 shares of common stock to participating employees. The 2020 ESPP provides that the number of shares reserved and available for issuance will automatically increase on January 1, 2021 and each January 1 thereafter through January 1, 2030, by the lessor of (i) 438,898 shares of common stock, (ii) 1% of the Company’s outstanding number of shares of common stock on the immediately preceding December 31 or (iii) such lesser number of shares of common stock as determined by the administrator of the 2020 ESPP. The number of shares reserved under the 2020 ESPP is subject to adjustment in the event of a stock split, stock dividend or other change in the Company’s capitalization. As of December 31, 2023, there were an aggregate of 1,582,495 shares remaining available for future grants.

Stock Options

A summary of stock option activity under the 2020 Plan during the year ended December 31, 2023, is as follows (in thousands except share and per share data):

 

 

 

Number of
Options
Outstanding

 

 

Weighted
Average
Strike
Price per
Option

 

 

Weighted
Average
Remaining
Contractual
Term
(in years)

 

 

Aggregate
Intrinsic
Value

 

Outstanding at December 31, 2022

 

 

6,757,289

 

 

$

27.60

 

 

 

8.01

 

 

$

55,934

 

Granted

 

 

2,597,265

 

 

 

29.93

 

 

 

 

 

 

 

Exercised

 

 

(441,759

)

 

 

6.47

 

 

 

 

 

 

 

Forfeited

 

 

(799,631

)

 

 

40.25

 

 

 

 

 

 

 

Outstanding at December 31, 2023

 

 

8,113,164

 

 

$

28.25

 

 

 

7.69

 

 

$

49,622

 

Exercisable at December 31, 2023

 

 

4,886,843

 

 

$

25.66

 

 

 

7.00

 

 

$

45,101

 

 

The intrinsic value of stock options exercised during the years ended December 31, 2023, 2022 and 2021 was $9.1 million, $15.8 million and $67.6 million, respectively.

F-26


 

The weighted-average fair value of options granted during the years ended December 31, 2023, 2022 and 2021 was $17.91, $20.18 and $29.95 per share, respectively.

As of December 31, 2023, the total unrecognized stock-based compensation expense for unvested stock options was $55.2 million, which is expected to be recognized over 2.0 years.

The following table outlines equity-based compensation expense for stock options for the years ended December 31, 2023, 2022 and 2021:

 

 

 

Year ending December 31,

 

 

2023

 

 

2022

 

 

2021

 

 

Research and development

 

$

18,525

 

 

$

16,388

 

 

$

11,161

 

 

General and administrative

 

 

20,025

 

 

 

16,941

 

 

 

12,628

 

 

Total equity-based compensation

 

$

38,550

 

 

$

33,329

 

 

$

23,789

 

 

 

 

The weighted-average assumptions that the Company used in the Black-Scholes option pricing model to determine the grant date fair value of stock options granted to employees and non-employees for the years ended December 31, 2023, 2022 and 2021:

 

 

 

Year ending December 31,

 

 

 

2023

 

 

2022

 

 

2021

 

Expected term (in years)

 

 

5.87

 

 

 

5.86

 

 

5.87

 

Volatility

 

 

62

%

 

 

62

%

 

 

66

%

Risk-free interest rate

 

 

4.1

%

 

 

2.1

%

 

 

0.9

%

Dividend yield

 

 

0.0

%

 

 

0.0

%

 

 

0.0

%

 

Restricted Stock Units

The Company has granted shares of restricted stock units with service-based and performance-based vesting conditions. A summary of restricted stock activity during the year ended December 31, 2023, is as follows:

 

 

 

Number of
Units
Outstanding

 

 

Grant Date
Fair Value
per Share

 

Unvested at December 31, 2022

 

 

281,843

 

 

$

23.64

 

Granted

 

 

404,844

 

 

 

27.84

 

Vested

 

 

(39,511

)

 

 

34.64

 

Forfeited

 

 

(54,036

)

 

 

28.20

 

Unvested at December 31, 2023

 

 

593,140

 

 

$

25.36

 

 

The Company granted 404,844 , 295,892 , and 12,500 shares of restricted stock during the years ended December 31, 2023, December 31, 2022, and December 31 2021, respectively. The Company granted no shares of restricted stock to consultants for the year ended December 31, 2023, granted no shares of restricted stock to consultants for the year ended December 31, 2022 and granted 12,500 shares of restricted stock to consultants for the year ended December 31, 2021. All shares of restricted stock granted to consultants in 2023, 2022, and 2021 were fully vested as of December 31, 2023.

As of December 31, 2023, the total unrecognized stock-based compensation expense for unvested restricted stock was $11.2 million, which is expected to be recognized over 2.4 years.

During the years ended December 31, 2023, 2022 and 2021, the Company recorded stock-based compensation expense for restricted stock of $3.8 million, $1.4 million and $0.9 million, respectively. During the years ended December 31, 2023, 2022 and 2021, the Company recorded stock-based compensation expense related to restricted stock of $2.5 million, $1.1 million and $0.3 million, respectively, within research and development. During the years ended December 31, 2023, 2022 and 2021, the Company recorded stock-based compensation expense related to restricted stock of $1.3 million, $0.3 million, and $0.6 million, respectively, within general and administrative.

F-27


 

Equity-Based Compensation Expense

Total equity-based compensation expense recorded as research and development and general and administrative expenses for employees, directors, and non-employees during the years ended December 31, 2023, 2022 and 2021 is as follows (in thousands):

 

 

 

Years ending December 31,

 

 

2023

 

 

2022

 

 

2021

 

 

Research and development

 

$

21,555

 

 

$

18,008

 

 

$

11,731

 

 

General and administrative

 

 

21,563

 

 

 

17,472

 

 

 

13,241

 

 

Total equity-based compensation

 

$

43,118

 

 

$

35,480

 

 

$

24,972

 

 

 

Note 11. Related-Party Transactions

Other than the collaborations discussed in Note 5, the Company had no related party transactions for the periods presented in the accompanying consolidated financial statements, which have not otherwise been discussed in these notes to the consolidated financial statements.

Note 12. Income Taxes

The Company records income tax expense related to profits realized by its U.S. operating subsidiaries. For the years ended December 31, 2023, 2022 and 2021, immaterial income tax expense was recorded due the group’s net operating loss (“NOL”) and full valuation allowance.

The rate reconciliation of the U.S. statutory income tax rate to the Company’s effective tax rate for the years ended December 31, 2023, 2022 and 2021 are as follows:

 

 

December 31,

 

 

2023

 

 

2022

 

2021

 

Tax effect at statutory rate

 

21.0

%

 

21.0

%

21.0

%

State taxes

 

6.8

 

 

6.4

 

10.6

 

Stock compensation

 

(1.5)

 

 

0.1

 

9.6

 

Permanent differences

 

0.0

 

 

0.0

 

0.0

 

Federal research and development credits

 

4.6

 

 

1.5

 

7.7

 

Other

 

(2.3)

 

 

(1.8)

 

(5.1)

 

Change in valuation allowance

 

(28.6)

 

 

(27.2)

 

(43.8)

 

Total

 

0.0

%

 

0.0

%

0.0

%

Deferred income taxes reflect the net tax effects of temporary differences between the carrying amount of assets and liabilities for financial reporting purposes and the amounts used for income tax purposes. Significant components of the Company’s net deferred income taxes are as follows (in thousands):

 

 

December 31,

 

 

2023

 

 

2022

 

 

Deferred Tax Assets:

 

 

 

 

 

 

 

Federal net operating loss carryforwards

 

$

33,708

 

 

$

32,320

 

 

State net operating loss carryforwards

 

 

10,194

 

 

 

8,835

 

 

Research and development credit carryforwards

 

 

25,975

 

 

 

17,581

 

 

Lease liabilities

 

 

22,443

 

 

 

4,011

 

 

Deferred revenue

 

 

9,807

 

 

 

16,315

 

 

Accruals and reserves, stock and other

 

 

13,636

 

 

 

10,350

 

 

Capitalized Research and Development

 

 

68,340

 

 

 

36,435

 

 

Total deferred tax assets

 

$

184,103

 

 

$

125,847

 

 

Valuation allowance

 

$

(162,375

)

 

$

(120,096

)

 

Deferred tax assets

 

$

21,728

 

 

$

5,751

 

 

Fixed and intangible assets

 

 

(1,884

)

 

 

(2,187

)

 

Right-of-use assets

 

 

(19,844

)

 

 

(3,564

)

 

Net deferred tax asset

 

$

 

 

$

 

 

 

F-28


 

The Company has had no income tax expense due to operating losses incurred since inception. ASC 740 requires a valuation allowance to reduce the deferred tax assets reported if, based on the weight of the evidence, it is more-likely-than-not that some portion or all the deferred tax assets will not be realized. The Company has evaluated the positive and negative evidence bearing upon the realizability of its deferred tax assets. Based on this, the Company has provided a valuation allowance for the full amount of the net deferred tax assets as the realization of the deferred tax assets is not determined to be more likely than not. During 2023, the valuation allowance increased by $42 million primarily due to the increase in the Company's book loss reported in the period and the generation of additional research and development credits.

 

Beginning in 2022, Tax Cuts and Jobs Act (TCJA) amended Section 174 and now requires U.S.-based and non-U.S-based research and experimental (R&E) expenditures to be capitalized and amortized over a period of five or 15 years, respectively, for amounts paid in tax years starting after December 31, 2021. Prior to the TCJA amendment, Section 174 allowed taxpayers to immediately deduct R&E expenditures in the year paid or incurred. The Company has applied this required change in accounting method beginning in 2022 and the computation may be adjusted pending future IRS guidance.

As of December 31, 2023, the Company had approximately $160.5 million and $161.3 million of Federal & State operating loss carryforwards respectively. Of the Federal net operating loss carryovers, $151 million are not subject to expiration and the remaining Federal and state NOLs begin to expire in 2036. These loss carryforwards are available to reduce future federal taxable income, if any.

As of December 31, 2023, the Company also has federal and state research and development credit carryforwards and orphan drug credit carryforwards of approximately $19.5 million and $8.1 million respectively, which can be used to offset future income taxes. These credits will begin to expire beginning in December 2031. These loss carryforwards are subject to review and possible adjustment by the appropriate taxing authorities. The amount of loss carryforwards that may be utilized in any future period may be limited based upon changes in the ownership of the company's ultimate parent.

 

The Company follows the provisions of ASC 740-10, Accounting for Uncertainty in Income Taxes, which specifies how tax benefits for uncertain tax positions are to be recognized, measured, and recorded in financial statements; requires certain disclosures of uncertain tax matters; specifies how reserves for uncertain tax positions should be classified on the balance sheet; and provides transition and interim period guidance, among other provisions. As of December 31, 2023, and 2022, the Company has not recorded tax reserves associated with any unrecognized tax benefits. The Company’s policy is to recognize interest and penalties accrued on any uncertain tax positions as a component of income tax expense, if any, in its statements of income. As of December 31, 2023, and 2022, the Company had no reserves for uncertain tax positions. For the years ended December 31, 2023 and 2022, no estimated interest or penalties were recognized on uncertain tax positions.

The Company's federal and Massachusetts income tax returns for the years ended December 31, 2020 to December 31, 2023 remain open and are subject to examination by the Internal Revenue Service and state taxing authorities. In addition, the Company’s tax carryover attributes such as net operating losses or credits from earlier period are also subject to examination.

 

Note 13. Net Loss per Share

Net Loss per Share

Basic and diluted loss per share is computed by dividing net loss by the weighted-average common shares outstanding for the period, including the pre-funded warrants given their nominal exercise price (in thousands, except for share and per share data):

 

 

 

December 31,

 

 

2023

 

 

2022

 

 

2021

 

 

Numerator:

 

 

 

 

 

 

 

 

 

 

Net loss

 

$

(146,962

)

 

$

(154,808

)

 

$

(100,217

)

 

Denominator:

 

 

 

 

 

 

 

 

 

 

Weighted average common shares outstanding, basic
   and diluted

 

 

58,365,499

 

 

 

53,933,229

 

 

 

47,989,023

 

 

Net loss per share, basic and diluted

 

$

(2.52

)

 

$

(2.87

)

 

$

(2.09

)

 

 

F-29


 

The Company’s potentially dilutive securities, which include restricted stock, and stock options, have been excluded from the computation of diluted net loss per share as the effect would be to reduce the net loss per share. Therefore, the weighted-average number of common shares outstanding used to calculate both basic and diluted net loss per share attributable to common stockholders is the same. The Company excluded the following from the computation of diluted net loss per share attributable to common stockholders at December 31, 2023, 2022 and 2021 because including them would have had an anti-dilutive effect:

 

 

 

December 31,

 

 

2023

 

 

2022

 

 

2021

 

 

Unvested Restricted Stock

 

 

593,140

 

 

 

281,843

 

 

 

37,745

 

 

Options to purchase Common Stock

 

 

8,113,164

 

 

 

6,757,289

 

 

 

6,239,182

 

 

Total

 

 

8,706,304

 

 

 

7,039,132

 

 

 

6,276,927

 

 

 

Note 14. Subsequent Events

On January 9, 2024, the Company completed a follow-on offering of its common stock and, in lieu of common stock to certain investors, pre-funded warrants to purchase shares of its common stock. The Company issued and sold 3,884,158 shares of common stock, including full exercise of the underwriters’ over-allotment option to purchase an additional 1,633,663 shares, at a public offering price of $25.25 per share. Additionally, in lieu of common stock to certain investors, the Company issued and sold pre-funded warrants to purchase 8,640,594 shares of its common stock at a public offering price of $25.2499 per pre-funded warrant, which represents the per share public offering price of each share of common stock less the $0.0001 per share exercise price for each pre-funded warrant. The aggregate gross proceeds before deducting underwriting discounts and commissions, and other estimated offering expenses payable by the Company were approximately $316.2 million.

On February 7, 2024, pursuant to its sales agreement with Cowen and Company, LLC, the Company completed the sale of 1,519,453 common shares to an institutional investor at an offering price of $32.90 resulting in net proceeds of approximately $48.7 million.


 

F-30


 

Item 9. Changes in and Disagreements With Accountants on Accounting and Financial Disclosure.

None.

Item 9A. Controls and Procedures.

Management’s Evaluation of Disclosure Controls and Procedures

We maintain “disclosure controls and procedures,” as defined in Rules 13a-15(e) and 15d-15(e) under the Securities Exchange Act of 1934, as amended, or the Exchange Act, that are designed to ensure that information required to be disclosed in the reports that we file or submit under the Exchange Act is (1) recorded, processed, summarized and reported within the time periods specified in the SEC’s rules and forms and (2) accumulated and communicated to our management, including our principal executive and principal financial officers, as appropriate to allow timely decisions regarding required disclosure. Our management recognizes that any controls and procedures, no matter how well designed and operated, can provide only reasonable assurance of achieving their objectives and our management necessarily applies its judgment in evaluating the cost-benefit relationship of possible controls and procedures. Our disclosure controls and procedures are designed to provide reasonable assurance of achieving their control objectives.

Our management, with the participation of our Chief Executive Officer, who serves as our principal executive officer, and our Chief Financial Officer, who serves as our principal financial officer, has evaluated the effectiveness of our disclosure controls and procedures as of December 31, 2023, the end of the period covered by this Annual Report on Form 10-K. Based upon such evaluation, our chief executive officer and chief financial officer have concluded that our disclosure controls and procedures were effective at the reasonable assurance level as of such date.

Internal Control Over Financial Reporting

Management’s Report on Internal Control Over Financial Reporting

Our management is responsible for establishing and maintaining adequate internal control over financial reporting. Internal control over financial reporting is defined in Rules 13a-15(f) and 15d-15(f) under the Exchange Act as a process designed by, or under the supervision of, a company’s principal executive officer and principal financial officer, or persons performing similar functions, and effected by a company’s board of directors, management, and other personnel, to provide reasonable assurance regarding the reliability of financial reporting and the preparation of financial statements for external purposes in accordance with generally accepted accounting principles and includes those policies and procedures that:

pertain to the maintenance of records that in reasonable detail accurately and fairly reflect the transactions and dispositions of a company’s assets;
provide reasonable assurance that transactions are recorded as necessary to permit preparation of financial statements in accordance with generally accepted accounting principles, and that a company’s receipts and expenditures are being made only in accordance with authorizations of the company’s management and directors; and
provide reasonable assurance regarding prevention or timely detection of unauthorized acquisition, use or disposition of our assets that could have a material effect on the financial statements.

Because of its inherent limitations, internal control over financial reporting may not prevent or detect misstatements. Projections of any evaluation of effectiveness to future periods are subject to the risk that controls may become inadequate because of changes in conditions, or that the degree of compliance with the policies or procedures may deteriorate.

Under the supervision of and with the participation of our principal executive officer and principal financial officer, our management assessed the effectiveness of our internal control over financial reporting as of December 31, 2023 based on the criteria set forth by the Committee of Sponsoring Organizations of the Treadway Commission in Internal Control—Integrated Framework (2013 framework). Based on this assessment, management concluded that our internal control over financial reporting was effective as of December 31, 2023.

Our independent registered public accounting firm has issued an attestation report of our internal control over financial reporting. This report appears below.

 

132


 

Report of Independent Registered Public Accounting Firm

 

To the Stockholders and the Board of Directors of Kymera Therapeutics, Inc.

Opinion on Internal Control Over Financial Reporting

We have audited Kymera Therapeutics, Inc. internal control over financial reporting as of December 31, 2023, based on criteria established in Internal Control—Integrated Framework issued by the Committee of Sponsoring Organizations of the Treadway Commission (2013 framework) (the COSO criteria). In our opinion, Kymera Therapeutics, Inc (the Company) maintained, in all material respects, effective internal control over financial reporting as of December 31, 2023, based on the COSO criteria.

We also have audited, in accordance with the standards of the Public Company Accounting Oversight Board (United States) (PCAOB), the consolidated balance sheets of the Company as of December 31, 2023 and 2022, the related consolidated statements of operations and comprehensive loss, stockholders’ equity and cash flows for each of the three years in the period ended December 31, 2023, and the related notes and our report dated February 22, 2024 expressed an unqualified opinion thereon.

Basis for Opinion

The Company’s management is responsible for maintaining effective internal control over financial reporting and for its assessment of the effectiveness of internal control over financial reporting included in the accompanying Management’s Report on Internal Control Over Financial Reporting. Our responsibility is to express an opinion on the Company’s internal control over financial reporting based on our audit. We are a public accounting firm registered with the PCAOB and are required to be independent with respect to the Company in accordance with the U.S. federal securities laws and the applicable rules and regulations of the Securities and Exchange Commission and the PCAOB.

We conducted our audit in accordance with the standards of the PCAOB. Those standards require that we plan and perform the audit to obtain reasonable assurance about whether effective internal control over financial reporting was maintained in all material respects.

Our audit included obtaining an understanding of internal control over financial reporting, assessing the risk that a material weakness exists, testing and evaluating the design and operating effectiveness of internal control based on the assessed risk, and performing such other procedures as we considered necessary in the circumstances. We believe that our audit provides a reasonable basis for our opinion.

Definition and Limitations of Internal Control Over Financial Reporting

A company’s internal control over financial reporting is a process designed to provide reasonable assurance regarding the reliability of financial reporting and the preparation of financial statements for external purposes in accordance with generally accepted accounting principles. A company’s internal control over financial reporting includes those policies and procedures that (1) pertain to the maintenance of records that, in reasonable detail, accurately and fairly reflect the transactions and dispositions of the assets of the company; (2) provide reasonable assurance that transactions are recorded as necessary to permit preparation of financial statements in accordance with generally accepted accounting principles, and that receipts and expenditures of the company are being made only in accordance with authorizations of management and directors of the company; and (3) provide reasonable assurance regarding prevention or timely detection of unauthorized acquisition, use, or disposition of the company’s assets that could have a material effect on the financial statements.

Because of its inherent limitations, internal control over financial reporting may not prevent or detect misstatements. Also, projections of any evaluation of effectiveness to future periods are subject to the risk that controls may become inadequate because of changes in conditions, or that the degree of compliance with the policies or procedures may deteriorate.

/s/ Ernst & Young LLP

Boston, Massachusetts

February 22, 2024

 

 

133


 

Changes in Internal Control Over Financial Reporting

No change in our internal control over financial reporting (as defined in Rules 13a-15(f) and 15d-15(f) under the Exchange Act) occurred during the twelve months ended December 31, 2023 that has materially affected, or is reasonably likely to materially affect, our internal control over financial reporting.

Item 9B. Other Information.

The following table discloses any officer (as defined in Rule 16a-1(f) under the Securities Exchange Act of 1934, as amended) or director who entered into, modified or terminated a Rule 10b5-1 trading arrangement or non-Rule 10b5-1 trading arrangement (as such terms are defined in Item 408 of Regulation S-K) during the three months ended December 31, 2023:

 

Name and Title

Type of Trading Arrangement

Action Taken (Date of Action)

Duration or End Date

Aggregate Number of Securities to be Sold

Description of Trading Arrangement

Nello Mainolfi

Founder, President, Chief Executive Officer

Trading plan intended to satisfy the affirmative defense conditions of Securities Exchange Act Rule 10b5- 1(c)

Termination

(December 20, 2023)

N/A

N/A

Termination of previously adopted trading plan

Bruce Jacobs

Chief Financial Officer

Trading plan intended to satisfy the affirmative defense conditions of Securities Exchange Act Rule 10b5- 1(c)

Termination

(December 22, 2023)

N/A

N/A

Termination of previously adopted trading plan

Item 9C. Disclosure Regarding Foreign Jurisdictions that Prevent Inspections.

Not applicable.

134


 

PART III

Item 10. Directors, Executive Officers and Corporate Governance.

The information required by this Item 10 will be included in our definitive proxy statement to be filed with the SEC with respect to our 2024 Annual Meeting of Stockholders and is incorporated herein by reference.

Item 11. Executive Compensation.

The information required by this Item 11 (excluding the information under the heading “Pay Versus Performance”) will be included in our definitive proxy statement to be filed with the SEC with respect to our 2024 Annual Meeting of Stockholders and is incorporated herein by reference.

Item 12. Security Ownership of Certain Beneficial Owners and Management and Related Stockholder Matters.

The information required by this Item 12 will be included in our definitive proxy statement to be filed with the SEC with respect to our 2024 Annual Meeting of Stockholders and is incorporated herein by reference.

The information required by this Item 13 will be included in our definitive proxy statement to be filed with the SEC with respect to our 2024 Annual Meeting of Stockholders and is incorporated herein by reference.

Item 14. Principal Accounting Fees and Services.

The information required by this Item 14 will be included in our definitive proxy statement to be filed with the SEC with respect to our 2024 Annual Meeting of Stockholders and is incorporated herein by reference.

135


 

PART IV

Item 15. Exhibits, Financial Statement Schedules.

(a)
Financial Statements

For a list of the consolidated financial statements included herein, see Index to the Consolidated Financial Statements on page F-1 of this Annual Report on Form 10-K, which is incorporated into this Item by reference.

(b)
Exhibits

 

Exhibit

Number

Description

  3.1

 

Fourth Amended and Restated Certificate of Incorporation of Kymera Therapeutics, Inc. (Incorporated by reference to Exhibit 3.1 to the Registrant’s Current Report on Form 8-K (File No, 001-39460) filed with the Securities and Exchange Commission on August 25, 2020).

 

 

 

  3.2

 

Second Amended and Restated Bylaws of Kymera Therapeutics, Inc. (Incorporated by reference to Exhibit 3.2 to the Registrant’s Current Report on Form 8-K (File No. 001-39460) filed with the Securities and Exchange Commission on August 25, 2020).

 

 

 

  4.1

 

Specimen Common Stock Certificate (Incorporated by reference to Exhibit 4.1 to the Registrant’s Registration Statement on Form S-1/A (File No. 333-240264) filed with the Securities and Exchange Commission on August 17, 2020).

 

 

 

  4.2

 

Second Amended and Restated Investors’ Rights Agreement among the Registrant and certain of its stockholders, effective as of March 11, 2020 (Incorporated by reference to Exhibit 4.2 to the Registrant’s Registration Statement on Form S-1 (File No. 333-240264) filed with the Securities and Exchange Commission on July 31, 2020).

 

 

 

  4.3

Description of Securities (Incorporated by reference to Exhibit 4.3 to the Registrant’s Annual Report on Form 10-K (File No. 001-39460) filed with the Securities and Exchange Commission on March 11, 2021).

 

 

 

  4.4

 

Form of Pre-Funded Warrant (Incorporated by reference to Exhibit 4.1 to the Registrant’s Current Report on Form 8-K (File No. 001-39460) filed with the Securities and Exchange Commission on August 19, 2022).

 

 

 

  4.5

 

Form of Pre-Funded Warrant (Incorporated by reference to Exhibit 4.1 to the Registrant’s Current Report on Form 8-K filed with the Securities and Exchange Commission on January 5, 2024).

 

 

 

10.1#

 

2018 Stock Option and Grant Plan, and form of award agreements thereunder (Incorporated by reference to Exhibit 10.1 to the Registrant’s Registration Statement on Form S-1 (File No. 333-240264) filed with the Securities and Exchange Commission on July 31, 2020).

 

 

 

10.2#

 

2020 Stock Option and Incentive Plan, and form of award agreements thereunder (Incorporated by reference to Exhibit 10.2 to the Registrant’s Registration Statement on Form S-1/A (File No. 333-240264) filed with the Securities and Exchange Commission on August 17, 2020).

 

 

 

10.3#

 

Amended and Restated Non-Employee Director Compensation Policy dated January 17, 2022.

 

 

 

10.4#

 

Senior Executive Cash Incentive Bonus Plan (Incorporated by reference to Exhibit 10.4 to the Registrant’s Registration Statement on Form S-1/A (File No. 333-240264) filed with the Securities and Exchange Commission on August 13, 2020).

 

 

 

10.5#

 

Amended and Restated 2020 Employee Stock Purchase Plan (Incorporated by reference to Exhibit 10.1 to the Registrant’s Quarterly Report on Form 10-Q (File No. 001-39460) filed with the Securities and Exchange Commission on November 5, 2020).

 

 

 

10.6

 

Form of Indemnification Agreement between the Registrant and each of its directors and executive officers (Incorporated by reference to Exhibit 10.6 to the Registrant’s Registration Statement on Form S-1/A (File No. 333-240264) filed with the Securities and Exchange Commission on August 17, 2020).

 

 

 

10.7

 

Lease between the Registrant and Arsenal Yards Holding LLC, dated as of August 15, 2019 (Incorporated by reference to Exhibit 10.8 to the Registrant’s Registration Statement on Form S-1 (File No. 333-240264) filed with the Securities and Exchange Commission on July 31, 2020).

136


 

 

 

 

10.8#

 

Form of Amended and Restated Employment Agreement (Incorporated by reference to Exhibit 10.9 to the Registrant’s Registration Statement on Form S-1/A (File No. 333-240264) filed with the Securities and Exchange Commission on August 13, 2020).

 

 

 

10.9†

 

Master Collaboration Agreement between the Registrant and Vertex Pharmaceuticals Incorporated, dated as of May 9, 2019 (Incorporated by reference to Exhibit 10.11 to the Registrant’s Registration Statement on Form S-1 (File No. 333-240264) filed with the Securities and Exchange Commission on July 31, 2020).

 

 

 

10.10†

 

Amended and Restated Collaboration and License Agreement between the Registrant and Genzyme Corporation, dated as of November 15, 2022.

 

 

 

10.11

 

First Amendment to Master Collaboration Agreement between the Registrant and Vertex Pharmaceuticals Incorporated, dated as of August 27, 2020 (Incorporated by reference to Exhibit 10.3 to the Registrant’s Quarterly Report on Form 10-Q filed with the Securities and Exchange Commission on November 5, 2020).

 

 

 

10.12†

 

Second Amendment to Master Collaboration Agreement between the Registrant and Vertex Pharmaceuticals Incorporated, dated as of October 21, 2021.

 

 

 

10.13

 

Lease between the Registrant and ARE-MA REGION NO. 75, LLC dated as of December 20, 2021.

 

 

 

10.14

 

Securities Purchase Agreement, dated August 18, 2022, by and among the Registrant and the persons party thereto (Incorporated by reference to Exhibit 10.1 to the Registrant’s Current Report on form 8-K filed with the Securities and Exchange Commission on August 19, 2022).

 

 

 

10.15

 

Registration Rights Agreement, dated August 18, 2022, by and among the Registrant and the persons party thereto (Incorporated by reference to Exhibit 10.2 to the Registrant’s Current Report on Form 8-K (File No. 001-39460) filed with the Securities and Exchange Commission on August 19, 2022).

 

 

 

10.16†

 

Letter between the Registrant and Genzyme Corporation, dated as of November 14, 2023.

 

 

 

21.1

 

List of Subsidiaries of Registrant.

 

 

 

23.1

 

Consent of Ernst & Young LLP, independent registered public accounting firm.

 

 

 

24.1

 

Power of Attorney (included on signature page to this Annual Report on Form 10-K).

 

 

 

31.1

Certification of Principal Executive Officer Pursuant to Rules 13a-14(a) and 15d-14(a) under the Securities Exchange Act of 1934, as Adopted Pursuant to Section 302 of the Sarbanes-Oxley Act of 2002.

 

 

 

31.2

Certification of Principal Financial Officer Pursuant to Rules 13a-14(a) and 15d-14(a) under the Securities Exchange Act of 1934, as Adopted Pursuant to Section 302 of the Sarbanes-Oxley Act of 2002.

 

 

 

32.1+

Certification of Principal Executive Officer Pursuant to 18 U.S.C. Section 1350, as Adopted Pursuant to Section 906 of the Sarbanes-Oxley Act of 2002.

 

 

 

32.2+

Certification of Principal Financial Officer Pursuant to 18 U.S.C. Section 1350, as Adopted Pursuant to Section 906 of the Sarbanes-Oxley Act of 2002.

 

 

97#

 

Compensation Recovery Policy

 

 

 

101.INS

Inline XBRL Instance Document

 

 

 

101.SCH

 

Inline XBRL Taxonomy Extension Schema Document

 

 

 

101.CAL

 

Inline XBRL Taxonomy Extension Calculation Linkbase Document

 

 

 

101.DEF

 

Inline XBRL Taxonomy Extension Definition Linkbase Document

 

 

 

101.LAB

 

Inline XBRL Taxonomy Extension Label Linkbase Document

 

 

 

101.PRE

 

Inline XBRL Taxonomy Extension Presentation Linkbase Document

 

 

 

104

 

Cover Page Interactive Data File (formatted as Inline XBRL with applicable taxonomy extension information contained in Exhibits 101).

 

 

+ This certification will not be deemed “filed” for purposes of Section 18 of the Securities Exchange Act of 1934, as amended, or otherwise subject to the liability of that section. Such certification will not be deemed to be incorporated by reference into any filing under the Securities Act of 1933, as amended, except to the extent specifically incorporated by reference into such filing.

# Indicates a management contract or any compensatory plan, contract or arrangement.

† Portions of this exhibit (indicated by asterisks) were omitted in accordance with the rules of the Securities and Exchange Commission.

137


 

(c)
Financial Statement Schedules

 

All schedules to the consolidated financial statements are omitted as the required information is either inapplicable or presented in the consolidated financial statements.
 

Item 16. Form 10-K Summary

Not Applicable.

138


 

SIGNATURES

Pursuant to the requirements of Section 13 or 15(d) of the Securities Exchange Act of 1934, as amended, the Registrant has duly caused this Report to be signed on its behalf by the undersigned, thereunto duly authorized.

 

Kymera Therapeutics, Inc.

 

Date: February 22, 2024

By:

 

/s/ Nello Mainolfi, Ph.D.

 

Nello Mainolfi, Ph.D.

 

President and Chief Executive Officer

 

Each person whose individual signature appears below hereby constitutes and appoints Nello Mainolfi, Ph.D. and Bruce Jacobs, CFA, MBA and each of them, with full power of substitution and resubstitution and full power to act without the other, as his or her true and lawful attorney-in-fact and agent to act in his or her name, place and stead and to execute in the name and on behalf of each person, individually and in each capacity stated below, and to file any and all amendments to this Annual Report on Form 10-K, and to file the same, with all exhibits thereto, and other documents in connection therewith, with the Securities and Exchange Commission, granting unto said attorneys-in-fact and agents, and each of them, full power and authority to do and perform each and every act and thing, ratifying and confirming all that said attorneys-in-fact and agents or any of them or their or his substitute or substitutes may lawfully do or cause to be done by virtue thereof.

 

Pursuant to the requirements of the Securities Exchange Act of 1934, as amended, this Report has been signed below by the following persons on behalf of the Registrant in the capacities and on the dates indicated.

 

Name

Title

Date

/s/ Nello Mainolfi, Ph.D.

President and Chief Executive Officer

February 22, 2024

Nello Mainolfi, Ph.D.

 (Principal Executive Officer)

/s/ Bruce Jacobs, CFA, MBA

Chief Financial Officer

February 22, 2024

Bruce Jacobs, CFA, MBA

 (Principal Financial and Accounting Officer)

 

/s/ Bruce Booth, DPhil

Chair of the Board of Directors

February 22, 2024

Bruce Booth, DPhil

 

 

/s/ Jeff Albers, MBA

 Director

February 22, 2024

Jeff Albers, MBA

 

/s/ Pamela Esposito, PhD

 Director

February 22, 2024

Pamela Esposito, PhD

/s/ Joanna Horobin, MB, ChB

 Director

February 22, 2024

Joanna Horobin, MB, ChB

/s/ Gorjan Hrustanovic, PhD

 Director

February 22, 2024

Gorjan Hrustanovic, PhD

/s/ John M. Maraganore, PhD

 Director

February 22, 2024

John M. Maraganore, PhD

/s/ Leigh Morgan

 

Director

 

February 22, 2024

Leigh Morgan

 

 

 

 

 

 

 

 

 

/s/ Elena, Ridloff, CFA

 

Director

 

February 22, 2024

Elena Ridloff, CFA

 

 

 

 

 

 

 

 

 

/s/ Victor Sandor

 Director

February 22, 2024

Victor Sandor

 

139