Please wait
EXHIBIT 10.2
PERFORMANCED-BASED RESTRICTED STOCK UNIT GRANT NOTICE

UNDER THE

GLOBAL BUSINESS TRAVEL GROUP, INC. 2022 EQUITY INCENTIVE PLAN

THIS PERFORMANCE-BASED RESTRICTED STOCK UNIT NOTICE (this “Notice”) evidences an award of Performance-Based Restricted Stock Units by Global Business Travel Group, Inc., a Delaware corporation (the “Company”) to the individual named on Schedule A attached hereto (the “Grantee”) under the terms and conditions of the Global Business Travel Group, Inc. 2022 Equity Incentive Plan (as it may be amended and/or restated from time to time, the “Plan”), with such grant having been made on the date set forth on Schedule A (the “Grant Date”). This Notice constitutes an Award Agreement for purposes of the Plan.
RECITALS
WHEREAS, the Company maintains the Plan;
WHEREAS, the Plan permits the Company to award Performance-Based Restricted Stock Units with respect to shares of the Company’s Class A common stock, USD 0.0001 par value per share (“Shares”), subject to the terms of the Plan; and
WHEREAS, the Company desires to grant Performance-Based Restricted Stock Units to the Grantee in accordance with the terms of this Notice.
1.    Award of Restricted Stock Units. The Company hereby grants to the Grantee pursuant to the terms and conditions of the Plan, as of the Grant Date, the number of Performance-Based Restricted Stock Units set forth on Schedule A hereto (the “PSUs,” and such number, the “Target”). With respect to each PSU that becomes vested in accordance with the terms of this Notice, the Grantee will be entitled to receive one Share upon the settlement of such PSU. The PSUs are subject to the terms set forth herein, and the terms of the Plan, which terms and provisions are incorporated herein by reference. Capitalized terms used in this Notice and not otherwise defined in this Notice have the meanings ascribed to them in the Plan.
2.    Vesting; Settlement.
(a)    The PSUs shall vest as provided on Schedule A hereto. Each date set forth on Schedule A on which PSUs are scheduled to vest is referred to herein as a “Scheduled Vesting Date.” Notwithstanding anything in this Notice to the contrary, in no event shall more than 187.5% of the Target PSUs become vested. Except as otherwise provided in Section 3, no pro-rata vesting will be provided under any part of this Notice for employment during some, but not all, of the vesting period of a tranche of PSUs.



(b)    Except as otherwise provided in Section 3 below, vesting of any PSUs is in all cases subject to the Grantee’s continued employment with the Company or one of its Subsidiaries from the Grant Date through and including the applicable Scheduled Vesting Date.
(c)    Notwithstanding anything to the contrary contained in any offer letter, severance agreement, employment agreement, consulting agreement or similar agreement between the Grantee and the Company or any of its Subsidiaries or affiliates, the PSUs shall not vest or be settled upon a Change in Control, a change in control, or any similar event except as provided in Sections 7.1(b) or 7.1(c) of the Plan, as applicable (any settlement pursuant to such sections of the Plan shall occur within thirty (30) days after the Change in Control).
(d)    Except as otherwise provided in Section 2(c) or Section 3, each PSU that becomes vested shall be settled within thirty (30) days after the Scheduled Vesting Date. Each PSU that is settled shall be immediately cancelled and terminate upon such settlement.
(e)    The Grantee shall have no rights as a stockholder with respect to any PSUs (including voting or dividend rights), nor shall the Grantee have any rights as a stockholder with respect to any Shares underlying the PSUs (including voting or dividend rights) until such Shares are delivered to the Grantee in settlement of the PSUs (and then stockholder rights shall apply only after the Grantee’s receipt of such Shares). No dividend equivalents shall be paid or provided in respect of the PSUs.
        3.    Termination of Employment. Except as provided below in this Section 3, upon the Grantee’s termination of employment with the Company and its Subsidiaries for any reason, regardless of whether such termination is initiated by the Grantee, by the Company or by any of the Company’s Subsidiaries, all then unvested PSUs shall be immediately forfeited upon such termination of employment with no compensation or payment due to the Grantee or any other Person; provided, however, that in the case of a termination of the Grantee’s employment for Cause, all then unsettled PSUs, whether vested or unvested, shall be immediately forfeited upon such termination of employment with no compensation or payment due to the Grantee or any other Person.

(a)    Death. In the event that the Grantee incurs a termination of employment due to the Grantee’s death, all then outstanding and unvested PSUs shall immediately vest at Target and shall be settled within thirty (30) days thereafter, but in any event within the period permitted under Code Section 409A. All unvested PSUs remaining after application of the foregoing shall be immediately forfeited with no compensation or other payment due to the Grantee or any other Person.

(b)    Disability. In the event that the Grantee incurs a termination of employment by the Company and its Subsidiaries due to the Grantee’s Disability, a prorata
    


portion of the PSUs that are then outstanding and unvested will vest at Target, with such proration determined by a fraction, the numerator of which is the number of whole and partial months during which Grantee was employed with the Company and its Subsidiaries during the Performance Period and the denominator of which is the number of months in the Performance Period (i.e., 36 months). All unvested PSUs remaining after application of the foregoing shall be immediately forfeited with no compensation or other payment due to the Grantee or any other Person.

For purposes of this Notice, the term “Disability” shall mean that the Grantee is unable to engage in any substantial gainful activity by reason of any medically determinable physical or mental impairment which can be expected to result in death or which has lasted or can be expected to last for a continuous period of not less than six (6) months. For all purposes of this Notice, a resignation by the Grantee due to the Grantee’s Disability shall be treated as a voluntary resignation by the Grantee and shall result in the immediate forfeiture (with no compensation or other payment due to the Grantee or any other Person) of all PSUs that are unvested as of such termination of employment.
(c)     Termination without Cause and Termination for Good Reason. In the event that the Grantee incurs a termination of employment by the Company and its Subsidiaries without Cause (and not due to death or Disability) or by the Grantee for Good Reason (as defined below), a pro-rata portion of the PSUs that are then outstanding and unvested will vest following the Performance Period based on the Company’s performance as compared to the Performance Goals, with such proration determined by a fraction, the numerator of which is the number of whole and partial months the Grantee was employed by the Company and its Subsidiaries during the Performance Period and the denominator of which is the number of months in the Performance Period (i.e., 36 months). All unvested PSUs remaining after application of the foregoing shall be immediately forfeited with no compensation or other payment due to the Grantee or any other Person.
For purposes of this Notice, the term “Good Reason” has the meaning set forth in the Grantee’s most recent offer letter or contract signed by the Company or one of its subsidiaries.
(d)     Termination Due to Retirement. In the event that the Grantee incurs a termination of employment from the Company and its Subsidiaries as the result of Grantee’s resignation due to Retirement (as defined below) and not for Good Reason, a pro-rata portion of the PSUs that are then outstanding and unvested will vest following the Performance Period based on the Company’s performance as compared to the Performance Goals, with such proration determined by a fraction, the numerator of which is the number of whole and partial months the Grantee was employed by the Company and its Subsidiaries during the Performance Period and the denominator of which is the number of months in the Performance Period (i.e., 36 months). All unvested PSUs remaining after application of the foregoing shall be immediately forfeited with no compensation or other payment due to the Grantee or any other Person.
    


For purposes of this Notice, “Retirement” shall mean the Grantee’s termination of employment due to a voluntary resignation that meets all of the following requirements: (i) at the time of such resignation, the Grantee is at least 55 years old with not less than 10 consecutive years of continuous employment with the Company and its Subsidiaries, or is at least 60 years old with not less than 5 consecutive years of continuous employment with the Company and its Subsidiaries, (ii) the Grantee provided the Company or one of its Subsidiaries with written notice of such Grantee’s intention to terminate employment due to retirement at least one year before the date of the Grantee’s resignation from employment due to retirement and (iii) at the time of the Grantee’s termination of employment due to retirement, Cause to terminate the Grantee’s employment does not exist.     
(e)     Miscellaneous. Continued vesting following any termination of employment is subject to the Grantee’s compliance with the Grantee’s restrictive covenants in favor of the Company or any of its Subsidiaries or affiliates (such as, without limitation, non-competition, non-solicitation, non-disparagement and confidentiality), and in the event of a breach of any such covenant, the PSUs that are outstanding as of such breach (whether or not vested) shall be immediately forfeited and cancelled with no compensation or payment due to the Grantee or any other Person.
4.    Transferability. The PSUs may not be sold, pledged, assigned, hypothecated, gifted, transferred or disposed of in any manner either voluntarily or involuntarily by operation of law, other than by will or by the laws of descent and distribution.
5.    Conditions on All Transfers of Shares. Notwithstanding anything to the contrary contained in this Notice or the Plan, no transfer of a Share acquired in connection with the PSUs shall be made, or, if attempted or purported to be made, shall be effective, unless and until the Company is satisfied that the transfer will not violate any federal or state securities law or any other law or agreement (including this Notice or the Plan) or the rules of any applicable stock exchange. If the transfer would violate any such law, agreement or rule and the Grantee nevertheless attempts or purports to engage in a transfer of such Shares, then the Company shall not recognize such transfer on the books and records of the Company and such transfer will be null and void ab initio. In addition, the Grantee will be liable to the Company for damages, if any, which may result from such attempted or purported transfer.
6.    No Promise of Employment; Employment. None of the Plan, this Notice, the granting or holding of the PSUs nor the holding of any Shares issued in connection with the PSUs will confer upon the Grantee any right to continue in the employ or service of the Company or any Subsidiary thereof, or limit, in any respect, the right of the Company or any Subsidiary thereof to discharge the Grantee at any time, for any reason and with or without notice. Subject to any rules and regulations adopted by the Committee from time to time, the Grantee shall not be considered to have incurred a termination of employment if the Grantee’s employment is transferred from the Company or any of its Subsidiaries to any of the Company’s Subsidiaries or to the Company.
    


7.    Responsibility for Tax-Related Items. The Grantee acknowledges that, regardless of any action taken by the Company or, if different, the Subsidiary of the Company that employs the Grantee (the “Employer”), the ultimate liability for all income tax, social contributions, payroll tax, fringe benefits tax, payment on account or other tax-related items related to the Grantee’s participation in the Plan and legally applicable to the Grantee or deemed by the Company or the Employer in their discretion to be an appropriate charge to the Grantee even if legally applicable to the Company or the Employer (“Tax-Related Items”), is and remains the Grantee’s responsibility and may exceed the amount actually withheld by the Company or the Employer, if any. The Grantee further acknowledges that the Company and/or the Employer (a) make no representations or undertakings regarding the treatment of any Tax-Related Items in connection with any aspect of the PSUs, including, but not limited to, the grant, vesting or settlement of the PSUs, the subsequent sale of Shares acquired pursuant to such settlement and the receipt of any dividends or dividend equivalents; and (b) do not commit to and are under no obligation to structure the terms of the grant or any aspect of the PSUs to reduce or eliminate the Grantee’s liability for Tax-Related Items or achieve any particular tax result. Further, if the Grantee is subject to Tax-Related Items in more than one jurisdiction between the Grant Date and the date of any relevant taxable or tax withholding event, as applicable, the Grantee acknowledges that the Company and/or the Employer (or former employer, as applicable) may be required to withhold or account for Tax-Related Items in more than one jurisdiction.
Prior to the relevant taxable or tax withholding event, as applicable, the Grantee agrees to make adequate arrangements satisfactory to the Company and/or the Employer to satisfy all Tax-Related Items. In this regard, the Grantee authorizes the Company and/or the Employer, or their respective agents, at their discretion, to satisfy the obligations with regard to all Tax-Related Items by one or a combination of the following: (i) withholding from the Grantee’s wages or other cash compensation paid to the Grantee by the Company and/or the Employer; (ii) withholding from the Shares to be delivered upon settlement of the PSUs or other awards granted to the Grantee or (iii) permitting the Grantee to tender to the Company cash or, if allowed by the Committee, Shares, (iv) withholding from proceeds from the sale of Shares acquired upon vesting of the PSUs through a mandatory sale arranged by the Company (on the Grantee’s behalf pursuant to this authorization), or (v) any other method of withholding determined by the Company and permitted by applicable laws.
Notwithstanding the foregoing or anything contained in this Notice or the Plan to the contrary, in the event that, at the time an obligation to withhold income taxes arises with respect to the PSUs, the Grantee is subject to Section 16 of the Exchange Act with respect to the Company, then such tax withholding obligations shall be satisfied by the Company withholding and retaining a number of Shares from those that otherwise would be issued upon the settlement of such vested PSUs having a Fair Market Value on the date such tax withholding obligation arises equal to the withholding taxes then due (calculated at the maximum withholding tax rate that would not result in liability accounting treatment or other adverse accounting treatment).
    


Depending on the withholding method, the Company may withhold or account for Tax-Related Items by considering applicable statutory withholding rates (as determined by the Company in good faith and in its sole discretion) or other applicable withholding rates, including maximum applicable rates, in which case the Grantee will have no entitlement to the share equivalent. If the obligation for Tax-Related Items is satisfied by withholding from the Shares to be delivered upon settlement of the PSUs, for tax purposes, the Grantee is deemed to have been issued the full number of Shares subject to the PSUs, notwithstanding that a number of Shares are held back solely for the purpose of paying the Tax-Related Items. The Grantee will have no further rights with respect to any Shares that are retained by the Company pursuant to this provision.
The Grantee agrees to pay to the Company or the Employer any amount of Tax-Related Items that the Company or the Employer may be required to withhold or account for as a result of the Grantee’s participation in the Plan that cannot be satisfied by the means previously described. The Company may refuse to issue or deliver Shares or proceeds from the sale of Shares until arrangements satisfactory to the Company have been made in connection with the Tax-Related Items.
8.    The Plan. The Grantee has received a copy of the Plan, has read the Plan and is familiar with its terms, and hereby accepts the PSUs subject to all of the terms and provisions of the Plan and this Notice. Pursuant to the Plan, the Committee is authorized to interpret the Plan and this Notice, and to adopt rules and regulations not inconsistent with the Plan as it deems appropriate. The Grantee hereby agrees to accept as binding, conclusive and final all decisions and interpretations of the Committee with respect to the Plan, this Notice, the PSUs, the Shares acquired in connection with the PSUs and any agreement relating to the PSUs or such Shares. In the event of a conflict between the terms of the Plan and the terms of this Notice, the terms of the Plan shall control unless the applicable term of this Notice provides that the applicable term of the Plan shall not apply.
9.    Data Privacy. By acceptance of, and as a condition of receipt of, the PSUs and any Shares in connection with the PSUs, the Grantee explicitly and unambiguously consents to the collection, use and transfer, in electronic or other form, of personal data as described in this paragraph by and among, as applicable, the Company and its Subsidiaries and affiliates for the exclusive purpose of implementing, administering and managing the Grantee’s participation in the Plan. The Company and its Subsidiaries and affiliates may hold certain personal information about the Grantee, including but not limited to, the Grantee’s name, home address and telephone number, date of birth, social security or insurance number or other identification number, job title(s), any shares held in the Company or any of its Subsidiaries or affiliates, and details of all PSUs and Shares received in connection with the PSUs, in each case, for the purpose of implementing, managing and administering the Plan, the PSUs and such Shares (the “Data”). The Company and its Subsidiaries and affiliates may transfer the Data among themselves as necessary for the purpose of implementation, administration and management of the Grantee’s participation in the Plan, and the Company and its Subsidiaries and affiliates may
    


each further transfer the Data to any third parties assisting the Company and its Subsidiaries and affiliates in the implementation, administration and management of the Plan. These recipients may be located in the Grantee’s country, or elsewhere, and the Grantee’s country may have different data privacy laws and protections than the recipients’ country. Through acceptance of the PSUs and any Shares delivered in connection therewith, the Grantee authorizes such recipients to receive, possess, use, retain and transfer the Data, in electronic or other form, for the purposes of implementing, administering and managing the Grantee’s participation in the Plan, including any requisite transfer of such Data as may be required to a broker or other third party with whom the Company or the Grantee may elect to deposit any shares of the Company. The Data related to the Grantee will be held only as long as is necessary to implement, administer, and manage the Grantee’s participation in the Plan. The Grantee may, at any time, view the Data held by the Company with respect to the Grantee, request additional information about the storage and processing of the Data with respect to the Grantee, recommend any necessary corrections to the Data with respect to the Grantee or refuse or withdraw the consents herein in writing, in any case without cost, by contacting his or her local human resources representative. The Company may cancel the Grantee’s ability to participate in the Plan and, in the Company’s discretion, the Grantee may forfeit the PSUs and any Shares received in connection with the PSUs if the Grantee refuses or withdraws his or her consents as described herein.
10.    Governing Law. This Notice will be construed in accordance with the laws of the U.S. State of Delaware, without regard to the application of the principles of conflicts of laws of Delaware or any other jurisdiction.
11.    Disputes. All disputes regarding or relating to the Plan, this Notice or the PSUs shall be resolved in accordance with the Plan.
12.    Severability. All provisions of this Notice are distinct and severable and if any clause shall be held to be invalid, illegal or against public policy, the validity or the legality of the remainder of this Notice shall not be affected thereby, and the remainder of this Notice shall be interpreted to give maximum effect to the original intention of the parties hereto.
13.    Amendment; Termination; Waiver. Subject to the provisions of the Plan, this Notice may be amended or terminated, and its terms or covenants waived, only by a written instrument executed on behalf of the Company (as authorized by the Committee) and the Grantee that, in the case of an amendment or waiver, identifies the specific provision of this Notice being amended or waived (as applicable).
14.    Entire Document. This Notice, together with the Plan, represents the complete understanding between the Grantee and the Company relating to the subject matter hereof, and merges and supersedes all prior and contemporaneous discussions, agreements and understandings of every nature relating to the subject matter hereof between the Grantee and the Company.
    


15.    Binding Effect. This Notice shall be binding upon and inure to the benefit of the Company and its successors and assigns, and upon the Grantee and his or her heirs, executors, administrators and legal representatives. This Notice may be assigned by the Company without the consent of the Grantee or any other Person but may not be assigned by the Grantee.
16.    Code Section 409A. This Notice and the PSUs granted hereunder are intended to be exempt from or otherwise comply with Code Section 409A (to the extent applicable) and shall be interpreted accordingly. In the event that Grantee is a “specified employee” within the meaning of Code Section 409A at the time of Grantee’s “separation from service” (within the meaning of Code Section 409A), and a payment or benefit provided for under this Notice would be subject to additional tax under Code Section 409A if such payment or benefit is paid within six (6) months after Grantee’s “separation from service” (within the meaning of Code Section 409A), then such payment or benefit shall not be paid during the six (6) month period immediately following Grantee’s separation from service except as provided in the immediately following sentence. In such an event, any payments or benefits that would otherwise have been made or provided during such six (6) month period and which would have incurred such additional tax under Code Section 409A shall instead be paid to Grantee in a lump-sum, without interest, on the earlier of (i) the first business day of the seventh month following the month in which Grantee’s separation from service occurs or (ii) the tenth business day following Grantee’s death (but not earlier than if such delay had not applied). Following such delay, all remaining payments shall be made as if no such delay had occurred.
17.    Construction. Captions and titles contained in this Notice are for convenience only and shall not affect the meaning or interpretation of any provision of this Notice.
18.    Addendum. Notwithstanding the provisions in this Notice, if the Grantee resides and/or works outside the United States of America, this grant of PSUs shall be subject to the special terms and conditions set forth in the addendum to this Notice on Schedule B (the “Addendum”). Moreover, if the Grantee relocates to one of the jurisdictions included in the Addendum, the special terms and conditions for such jurisdiction will apply to the Grantee, to the extent the Company determines that the application of such terms and conditions is necessary or advisable for legal or administrative reasons. The Addendum constitutes a part of this Notice.
[End of Notice]
    

image_2.jpg
By signing below, I acknowledge and agree that I have read and understand this Notice and the Plan, and I agree to be bound by all of the terms and conditions of this Notice and the Plan.
Acknowledged, Accepted and Agreed:

_______________________________
Name: ###PARTICIPANT_NAME###
Date: ###ACCEPTANCE_DATE###


















9




10


Schedule A
Name: ###PARTICIPANT_NAME###
Grant Date: ###GRANT_DATE###

Number of PSUs Granted: ###TOTAL_AWARDS###

Vesting Schedule: Except as otherwise provided in Section 3 of the Notice, subject to the Grantee’s continued employment with the Company or any Subsidiary thereof on the applicable Scheduled Vesting Date, the PSUs shall vest on March 1, 2028 (the “Scheduled Vesting Date”), subject to the following adjustments.

Performance Period: The Performance Period shall commence on the first day of the Company’s 2025 fiscal year (January 1, 2025) and end on the last day of the Company’s 2027 fiscal year (December 31, 2027). Except as otherwise provided in the Plan or this Award document, the number of PSUs earned under this Schedule A with respect to the Performance Period shall be determined as follows:

Performance Goals: The Committee will establish Performance Goals based on financial metrics for each fiscal (calendar) year during the Performance Period (i.e., 2025, 2026 and 2027), along with weightings among the Performance Goals. Each Performance Goal will include a Threshold, Below Target, Target, Exceed Target, and Maximum achievement level that will be measured against the Company’s actual results for the applicable fiscal year. These Performance Goals will be communicated to the Grantee annually, as soon as practicable after being established by the Committee.
Each fiscal year of the award will have a Performance Factor that is determined by the achievement of that year’s weighted Performance Goals (the “Performance Factor”). At the end of the three-year Performance Period, the annual Performance Factors will be averaged to determine the final payout. In order for any PSUs to be earned, Threshold performance must be attained. If Threshold performance is not attained for a particular Performance Goal, then no PSUs are earned for that particular Performance Goal for that particular fiscal (calendar) year. For each Performance Goal (calculated independently), 0% of the PSUs are earned below Threshold, 50% of the PSUs are earned at Threshold, 80% of the PSUs are earned at Below Target, 100% are earned at Target, 120% of the PSUs are earned at Exceed Target, and 150% are earned at Maximum, subject to the TSR Modifier below. If actual performance falls between levels, straight-line interpolation will be used to calculate the number of PSUs earned.
The level of attainment of the Performance Goals will be calculated by excluding the effects of any mergers and acquisitions that occur during the Performance Period, except as otherwise determined by the Committee when establishing the Performance Goals.
11


Relative Total Shareholder Return Modifier: At the end of the Performance Period, the averaged Performance Goal results will be modified by a relative Total Shareholder Return (“rTSR”) modifier that compares the Company’s Total Shareholder Return (“TSR”) to the TSR of the Standard & Poors (S&P) 500 (incumbent weighted) (“S&P 500”), as follows:

The number of PSUs determined based on the Performance Goals above will be adjusted plus or minus 25% based on the Company’s rTSR, as follows:
rTSR Percentile
TSR Modifier
75th Percentile and Above
+25%
Between 25th and 75th
-25% - +25%
Using straight-line interpolation
25th Percentile and Below
-25%

TSR means the total return of a stock to an investor (stock price appreciation plus dividends) during the Performance Period. It is calculated for the Company and each other member of the S&P 500 (excluding any member that was acquired or delisted during the Performance Period) for the Performance Period by dividing the Ending Stock Price by the Beginning Stock Price, minus one, subject to such equitable adjustments as the Committee determines appropriate, in its sole discretion, to reflect stock splits, reverse stock splits, stock dividends, other extraordinary transactions or other changes in the capital structure of the applicable company, as applicable.
Beginning Stock Price means the average of the dividend-adjusted closing market prices of the Shares and as stated in each member of the S&P 500’s common stock on the S&P for the ninety (90) consecutive trading days immediately before the commencement of the Performance Period.
Ending Stock Price means the average of the divided-adjusted closing market prices of the Shares and as stated in each member of the S&P 500’s common stock on the S&P for the ninety (90) consecutive trading days ending with the last trading day of the Performance Period.
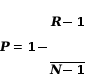
rTSR Percentile means the percentile rank of the Company’s TSR relative to the TSR of the other members of S&P 500, calculated by ranking the TSR of each S&P 500 member, including the Company, with the highest TSR being ranked #1. After this ranking, the percentile performance of the Company shall be determined by the following formula:
12


image_1.jpg

P” represents the Company’s rTSR Percentile which will be rounded, if necessary, to the nearest hundredth. “N” represents the total number of S&P 500 members. “R” represents the Company’s ranking within the S&P 500 (the highest TSR is ranked 1 while the lowest TSR is ranked N).
The maximum number of PSUs that may be earned under this Agreement under any circumstances shall not exceed 187.5% of the Target number of PSUs; provided, however, that if the Company’s TSR is negative, the number of PSUs earned cannot exceed the Target number.
Determining PSUs Payable: The number of PSUs that are payable to the Grantee is based on the number earned, as determined above, after applying the vesting provisions under this Award and the otherwise applicable terms of the Plan.


13


Schedule B
ADDENDUM TO
GLOBAL BUSINESS TRAVEL GROUP, INC. 2022 EQUITY INCENTIVE PLAN
PERFORMANCE-BASED RESTRICTED STOCK UNIT NOTICE
This Addendum to the Notice includes additional notices, terms and conditions that govern the PSUs granted pursuant to the Notice if the Grantee resides and/or works outside of the United States. If the Grantee transfers to another jurisdiction reflected in this Addendum, the additional terms and conditions for such jurisdiction (if any) will apply to the Grantee to the extent the Company determines, in its sole discretion, that the application of such terms and conditions is necessary or advisable for legal or administrative reasons (or the Company may establish alternative terms as may be necessary or advisable to accommodate the Grantee’s transfer). Capitalized terms not defined in this Addendum but defined the Notice or the Plan shall have the same meaning as in the Notice or the Plan.
ALL NON-U.S. COUNTRIES
1.Settlement of PSUs. Notwithstanding any provision in the Notice, if the Grantee is employed and/or resides outside of the United States, the Company, in its sole discretion, may provide for the settlement of the PSUs in the form of:
(a)a cash payment (in an amount equal to the Fair Market Value of the Shares that correspond to the vested PSUs) to the extent that settlement in Shares (i) is prohibited under local law, (ii) would require the Grantee, or the Company or any of its Subsidiaries to obtain the approval of or register with any governmental or regulatory body in the Grantee’s country of employment and/or residency, (iii) would result in adverse tax consequences for the Grantee or the Company or any of its Subsidiaries or (iv) is administratively burdensome; or
(b)Shares, but require the Grantee to sell such Shares immediately or within a specified period following the Grantee’s termination of employment (in which case, the Grantee hereby agrees that the Company shall have the authority to issue sale instructions in relation to such Shares on the Grantee’s behalf).
2.Insider Trading; Market Abuse Laws. By participating in the Plan, the Grantee agrees to comply with the Company’s policy on insider trading (to the extent that it is applicable to the Grantee). The Grantee further acknowledges that, depending on the Grantee’s or his or her broker’s country of residence or where the Shares are listed, the Grantee may be subject to insider trading restrictions and/or market abuse laws which may affect the Grantee’s ability to accept, acquire, sell or otherwise dispose of Shares, rights to Shares (e.g., PSUs) or rights linked to the value of Shares, during such times the Grantee is considered to have “inside information” regarding the Company as defined by the laws or regulations in the Grantee’s
14


country. Local insider trading laws and regulations may prohibit the cancellation or amendment of orders the Grantee places before he or she possessed inside information. Furthermore, the Grantee could be prohibited from (i) disclosing the inside information to any third party (other than on a “need to know” basis) and (ii) ”tipping” third parties or causing them otherwise to buy or sell securities. The Grantee understands that third parties include fellow employees. Any restrictions under these laws or regulations are separate from and in addition to any restrictions that may be imposed under any applicable Company insider trading policy. The Grantee acknowledges that it is the Grantee’s responsibility to comply with any applicable restrictions, and that the Grantee should therefore consult his or her personal advisor on this matter.
3.Nature of Grant. In accepting the PSUs, the Grantee acknowledges and agrees that:
(a)the Plan is established voluntarily by the Company, it is discretionary in nature and it may be modified, amended, suspended or terminated by the Company, in its sole discretion, at any time (subject to any limitations set forth in the Plan);
(a)the grant of the PSUs is exceptional, voluntary and occasional and does not create any contractual or other right to receive future grants of PSUs, or benefits in lieu of PSUs, even if PSUs or other awards have been granted in the past;
(b)all decisions with respect to future awards, if any, will be at the sole discretion of the Company;
(c)the Grantee’s participation in the Plan is voluntary;
(b)the PSUs and the Grantee’s participation in the Plan shall not create a right to employment or be interpreted as forming an employment contract with the Company or any of its Subsidiaries and shall not interfere with the ability of the Company or the Employer, as applicable, to terminate the Grantee’s employment relationship (as otherwise may be permitted under local law);
(c)unless otherwise agreed with the Company, the PSUs and any Shares acquired upon settlement of the PSUs, and the income from and value of the same, are not granted as consideration for, or in connection with, any service the Grantee may provide as a director of any Subsidiary or affiliate;
(d)the PSUs and any Shares acquired under the Plan and the income and value of the same, are not part of normal or expected compensation for purposes of calculating any severance, resignation, termination, redundancy, dismissal, end-of-service payments, bonuses, long-service awards, holiday pay, pension or retirement or welfare benefits or similar payments and in no event should be considered as compensation for, or relating in any way to, past services for the Company, the Employer or any of their affiliates;
15


(e)the future value of the Shares underlying the PSUs is unknown, indeterminable, and cannot be predicted with certainty;
(f)no claim or entitlement to compensation or damages shall arise from forfeiture of the PSUs resulting from termination of the Grantee’s employment (for any reason whatsoever and whether or not in breach of local labor laws or later found invalid) and, in consideration of the PSUs, the Grantee agrees not to institute any claim against the Company or the Employer;
(g)the PSUs and the benefits evidenced by this Notice do not create any entitlement not otherwise specifically provided for in the Plan or provided by the Company in its discretion, to have the PSUs or any such benefits transferred to, or assumed by, another company, nor to be exchanged, cashed out or substituted for, in connection with any corporate transaction affecting the Shares;
(a)for purposes of the PSUs, the Company shall have the exclusive discretion to determine when Grantee’s employment terminates (including determining whether Grantee may still be considered to be employed (i) while on a leave of absence, or (ii) during a notice period or any period of “garden leave” or similar period mandated under employment laws in the jurisdiction where the Grantee provides services or the terms of his or her service agreement, if any; for purposes of this Notice and the PSUs, in no event shall a Grantee’s employment be considered to continue beyond twelve (12) months following the date the Grantee is no longer actively providing services to the Company, the Employer or any of their affiliates, inclusive of any period of “garden leave” (regardless of the reason for such termination and whether or not later found to be invalid or in breach of employment laws in the jurisdiction where Grantee provides services or the terms of Grantee’s employment agreement, if any); and
(b)neither the Company nor any of its Subsidiaries shall be liable for any foreign exchange rate fluctuation between the Grantee’s local currency and the U.S. dollar that may affect the value of the PSUs or any amounts due to the Grantee pursuant to the settlement of the PSUs or the subsequent sale of any Shares acquired upon settlement of the PSUs.
4.Not a Public Offering. The grant of the PSUs is not intended to be a public offering of securities in the Grantee’s country of employment (or country of residence, if different). The Company has not submitted any registration statement, prospectus or other filings with the local securities authorities (unless otherwise required under local law), and the grant of the PSUs is not subject to the supervision of the local securities authorities.
5.Language. If the Grantee is resident in a country where English is not an official language, the Grantee acknowledges and agrees that it is his or her express intent that this Notice and the Plan and all other documents, notices and legal proceedings entered into, given or instituted pursuant to the PSUs be drawn up in English. Further, the Grantee acknowledges that he or she is sufficiently proficient in English to understand the terms
16


and conditions of this Notice and any documents related to the Plan or has had the ability to consult with an advisor who is sufficiently proficient in the English language. If the Grantee has received this Notice or any other document related to the Plan translated into a language other than English and if the meaning of the translated version is different than the English version, the English version will control.
6.No Advice Regarding the Grant. The Company is not providing any tax, legal or financial advice, nor is the Company making any recommendations regarding the Grantee’s participation in the Plan, or the Grantee’s acquisition or sale of the underlying Shares. The Grantee is hereby advised to consult with his or her own personal tax, legal and financial advisors regarding the Grantee’s participation in the Plan before taking any action related to the Plan.
7.Repatriation; Compliance with Law. The Grantee agrees to repatriate all payments attributable to the Shares and/or cash acquired under the Plan in accordance with applicable foreign exchange rules and regulations in the Grantee’s country of employment (and country of residence, if different). In addition, the Grantee agrees to take any and all actions, and consents to any and all actions taken by the Company and any of its Subsidiaries, as may be required to allow the Company and any of its Subsidiaries to comply with local laws, rules and/or regulations in the Grantee’s country of employment (and country of residence, if different). Finally, the Grantee agrees to take any and all actions as may be required to comply with the Grantee’s personal obligations under local laws, rules and/or regulations in his or her country of employment (and country of residence, if different).
8.Non-Transferability. The PSUs may not be sold, transferred for value, pledged, assigned, or otherwise alienated or hypothecated by the Grantee other than by will or the laws of descent and distribution.
9.Imposition of Other Requirements. The Company reserves the right to impose other requirements on the Grantee’s participation in the Plan, on the PSUs, and on any Shares acquired under the Plan, to the extent the Company determines it is necessary or advisable for legal or administrative reasons, and to require the Grantee to sign any additional agreements or undertakings that may be necessary to accomplish the foregoing.
10.Data Privacy. The following provision replace Section 9 of the Notice in its entirety.
Data Privacy.
11.Data Collection and Usage. The Company and the Employer may collect, process and use certain personal information about the Grantee, including, but not limited to, Grantee’s name, home address and telephone number, date of birth, social security or insurance number or other identification number, job title(s),
17


any shares held in the Company or any of its Subsidiaries or affiliates, and details of all PSUs and Shares received in connection with the PSUs, in each case, for the purpose of implementing, managing and administering the Plan, the PSUs and such Shares (the “Data”). The Company, with its principal executive offices at 666 3rd Avenue, 4th Floor, New York, New York 10017, U.S.A. acts as the data controller in respect of such Data.
If the Grantee is located in the European Union / European Economic Area / Switzerland / United Kingdom, the legal bases for the processing of Data is for the legitimate purpose of administering and managing the Plan and PSUs and it is necessary for the performance of the Company’s contractual obligation to deliver Shares (if the conditions of the Plan and the Notice are satisfied). If the Grantee is located outside of the European Union / European Economic Area / United Kingdom, where required by applicable law, the legal basis for the processing of Data is the Grantee’s consent.
(a)Stock Plan Administration Services Provider. The Company transfers Data to Morgan Stanley Smith Barney LLC, which assists the Company with the implementation, administration and management of the Plan. In the future, the Company may select a different service provider and share Data with such other providers serving in a similar manner. The Grantee may be asked to acknowledge or (where applicable) agree to separate terms and data processing practices with the service provider, with such agreement (where applicable) being a condition to the ability to participate in the Plan.
(b)International Data Transfers. The Company and its service providers are based, in relevant part, in the United States. The Grantee’s country or jurisdiction may have different data privacy laws and protections than the United States. If the Grantee is located in the European Union / European Economic Area / Switzerland / United Kingdom, the Company provides appropriate safeguards in accordance with the Standard Contractual Clauses, adequacy decisions, or other appropriate cross-border transfer solutions. If the Grantee is located outside of the European Union / European Economic Area / Switzerland / United Kingdom, where required by applicable law, the legal basis for the transfer of Data is the Grantee’s consent.
(c)Data Retention. The Company will hold and use Data only as long as is necessary to implement, administer and manage the Grantee’s participation in the Plan, or as required to comply with legal or regulatory obligations, including under tax, exchange control, labor and securities laws. The period may extend beyond the Grantee’s employment or service with the Company and its Subsidiaries. When the Company and the Employer no longer need Data for any of the above
18


purposes, they will cease processing it in this context and remove it from all of their systems used for such purposes, to the fullest extent practicable
(d)Data Subject Rights. The Grantee may have a number of rights under the data privacy laws in the Grantee’s jurisdiction. Depending on where the Grantee is based, such rights may include the right to (i) request access or copies of Data the Company processes, (ii) request rectification of incorrect Data, (iii) request the deletion of Data, (iv) place restrictions on processing of Data, (v) lodge complaints with competent authorities in the Grantee’s jurisdiction, and/or (vi) receive a list with the names and addresses of any potential recipients of Data. To receive clarification regarding these rights or to exercise these rights, the Grantee can contact the Grantee’s human resources representative.
12.Declaration of Consent (if the Grantee is outside of the European Union / European Economic Area / Switzerland / United Kingdom). Where the Grantee’s consent is required by applicable law, by accepting the PSUs, the Grantee is declaring that the Grantee agrees with the data processing practices described herein and consent to the collection, processing and use of Data by the Company and the transfer of Data to the recipients mentioned herein, including recipients located in countries that may not have a similar level of protection from the perspective of the data protection laws in the Grantee’s country. Participation in the Plan is voluntary and the Grantee is providing the consents described herein on a purely voluntary basis. If the Grantee does not consent, or if the Grantee later seeks to revoke his or her consent, the Grantee’s salary from or employment and career with the Employer will not be affected; the only consequence of refusing or withdrawing consent is that the Company would not be able to grant Awards to the Grantee or administer or maintain the Grantee’s participation in the Plan.
EUROPEAN UNION (“EU”) / EUROPEAN ECONOMIC AREA (“EEA”) AND THE UNITED KINGDOM
Age Discrimination Rules. If the Grantee is working and/or residing in a country that is a member of the EU/EEA or the United Kingdom, the grant of the PSUs and the terms and conditions governing the PSUs are intended to comply with the age discrimination provisions of the EU Equal Treatment Framework Directive, as implemented into local law (the “Age Discrimination Rules”). To the extent that a court or tribunal of competent jurisdiction determines that any provision of the Notice is invalid or unenforceable, in whole or in part, under the Age Discrimination Rules, the Company, in its sole discretion, shall have the power and
19


authority to revise or strike such provision to the minimum extent necessary to make it valid and enforceable to the full extent permitted under local law.
UNITED KINGDOM
1.    Tax-Related Items. This provision shall supplement Section 7 of the Notice:
Without limitation to the Section 7 of the Notice, the Grantee agrees that he or she is liable for all Tax-Related Items and hereby covenants to pay all such Tax-Related Items, as and when requested by the Company, the Employer or by H.M. Revenue and Customs (“HMRC”) (or any other tax authority or any other relevant authority). The Grantee also agrees to indemnify and keep indemnified the Company and the Employer against any Tax-Related Items that they are required to pay or withhold or have paid or will pay on the Grantee’s behalf to HMRC (or any other tax authority or any other relevant authority). For the purposes of the Notice, Tax-Related Items include (without limitation) employment income tax and the employee portion of the Health and Social Care levy.
Notwithstanding the foregoing, if the Grantee is a director or executive officer (as within the meaning of Section 13(k) of the U.S. Securities Exchange Act of 1934, as amended), the terms of the immediately foregoing provision will not apply. In the event that the Grantee is a director or executive officer and income tax due is not collected from or paid by the Grantee by within ninety (90) days after the U.K. tax year in which an event giving rise to the indemnification described above occurs, the amount of any uncollected tax may constitute a benefit to the Grantee on which additional income tax and national insurance contributions and Health and Social Care levy may be payable. The Grantee acknowledges that the Grantee ultimately will be responsible for reporting and paying any income tax due on this additional benefit directly to HMRC under the self-assessment regime and for reimbursing the Company or the Employer (as applicable) for the value of any employee national insurance contributions and employee Health and Social Care levy due on this additional benefit, which the Company and/or the Employer may recover from the Grantee at any time thereafter by any of the means referred to in Section 7 of the Notice.
2.    Exclusion of Claim. The Grantee acknowledges and agrees that the Grantee will have no entitlement to compensation or damages insofar as such entitlement arises or may arise from the Grantee ceasing to have rights under or to be entitled to the PSUs, whether or not as a result of termination of employment (whether the termination is in breach of contract or otherwise), or from the loss or diminution in value of the PSUs. Upon the grant of the award, the Grantee will be deemed to have waived irrevocably any such entitlement.
*    *    *    *


20