Please wait

TABLE OF CONTENTS

UNITED STATES
SECURITIES AND EXCHANGE COMMISSION
Washington, D.C. 20549
SCHEDULE 14A INFORMATION
Proxy Statement Pursuant to Section 14(a) of the
Securities Exchange Act of 1934 (Amendment No. )
Filed by the Registrant ☒
Filed by a Party other than the Registrant
Check the appropriate box:

Preliminary Proxy Statement

Confidential, for Use of the Commission Only (as permitted by Rule 14a-6(e)(2))

Definitive Proxy Statement

Definitive Additional Materials

Soliciting Material Pursuant to §240.14a-12
Sunlight Financial Holdings Inc.
(Name of Registrant as Specified in its Charter)
(Name of Person(s) Filing Proxy Statement, if Other Than the Registrant)
Payment of Filing Fee (Check the appropriate box):

No fee required

Fee paid previously with preliminary materials

Fee computed on table in exhibit required by Item 25(b) per Exchange Act Rules 14a-6(i)(1) and 0-11

TABLE OF CONTENTS


101 North Tryon Street, Suite 1000
Charlotte, NC 28246
NOTICE OF ANNUAL MEETING OF STOCKHOLDERS
DATE:
August 11, 2023
 
 
TIME:
9:00 a.m. Eastern Time
 
 
ONLINE:
www.virtualshareholdermeeting.com/SUNL2023
Dear Stockholder:
You are cordially invited to attend the Annual Meeting of Stockholders (the “Annual Meeting”) of Sunlight Financial Holdings Inc., a Delaware corporation (the “Company,” “we,” “us,” or “our”), which will be held on Friday, August 11, 2023 at 9:00 a.m. Eastern Time. The Annual Meeting will be a virtual meeting of stockholders, which will be conducted via a live webcast. You will be able to attend the Annual Meeting, submit your questions and vote online during the meeting by visiting www.virtualshareholdermeeting.com/SUNL2023. We believe a virtual meeting provides expanded access, improves communication, enables increased stockholder attendance and participation and provides cost savings for our stockholders and the Company.
The Annual Meeting is being held for the following purposes:
1.
To elect three Class II directors to the Board of Directors (the “Board”), Brad Bernstein, Emil W. Henry, Jr. and Jennifer D. Nordquist, each to hold office until the 2026 Annual Meeting of Stockholders (“Proposal 1”);
2.
To ratify the appointment of RSM US LLP as the independent registered public accounting firm of the Company for its fiscal year ending December 31, 2023 (“Proposal 2”);
3.
To approve an amendment to our Certificate of Incorporation to effect a reverse stock split of our outstanding Class A and Class C common stock at an exchange ratio of between 1-for-10 and 1-for-25, such ratio to be determined by our board of directors, at any time prior to December 31, 2023, the implementation and timing of which shall be subject to the discretion of our board of directors (“Proposal 3”); and
4.
To transact such other business as may properly come before the Annual Meeting or any continuation or adjournment thereof.
These items of business are more fully described in the Proxy Statement accompanying this Notice.
The Board of Directors recommends that you vote FOR the election of the director nominees named in Proposal 1 of the Proxy Statement; FOR the ratification of the appointment of RSM US LLP as the Company’s independent registered public accounting firm, as described in Proposal 2 of the Proxy Statement; and FOR the approval of the amendment to our Certificate of Incorporation to effect a reverse stock split.
Only stockholders of record at the close of business on July 3, 2023 (the “Record Date”) may vote at the meeting or any adjournment thereof.
Please note the technical requirements for virtual attendance at the Annual Meeting, as described in the Proxy Statement beginning on Page 1 under the heading “Questions and Answers About These Proxy Materials and Voting”.
In the event of a technical malfunction or other situation that the meeting chair determines may affect the ability of the Annual Meeting to satisfy the requirements for a meeting of stockholders to be held by means of remote communication under the Delaware General Corporation Law, or that otherwise makes it advisable to adjourn the Annual Meeting, the meeting chair or secretary of the Annual Meeting will convene the meeting at 9:00 a.m. Eastern Time on the date specified above and at the Company’s address specified above solely for the purpose of adjourning the meeting to reconvene at a date, time and physical or virtual location announced by the meeting chair. Under either of the foregoing circumstances, we will post information regarding the announcement on the Investors page of the Company’s website at https://sunlightfinancial.com.
-i-

TABLE OF CONTENTS

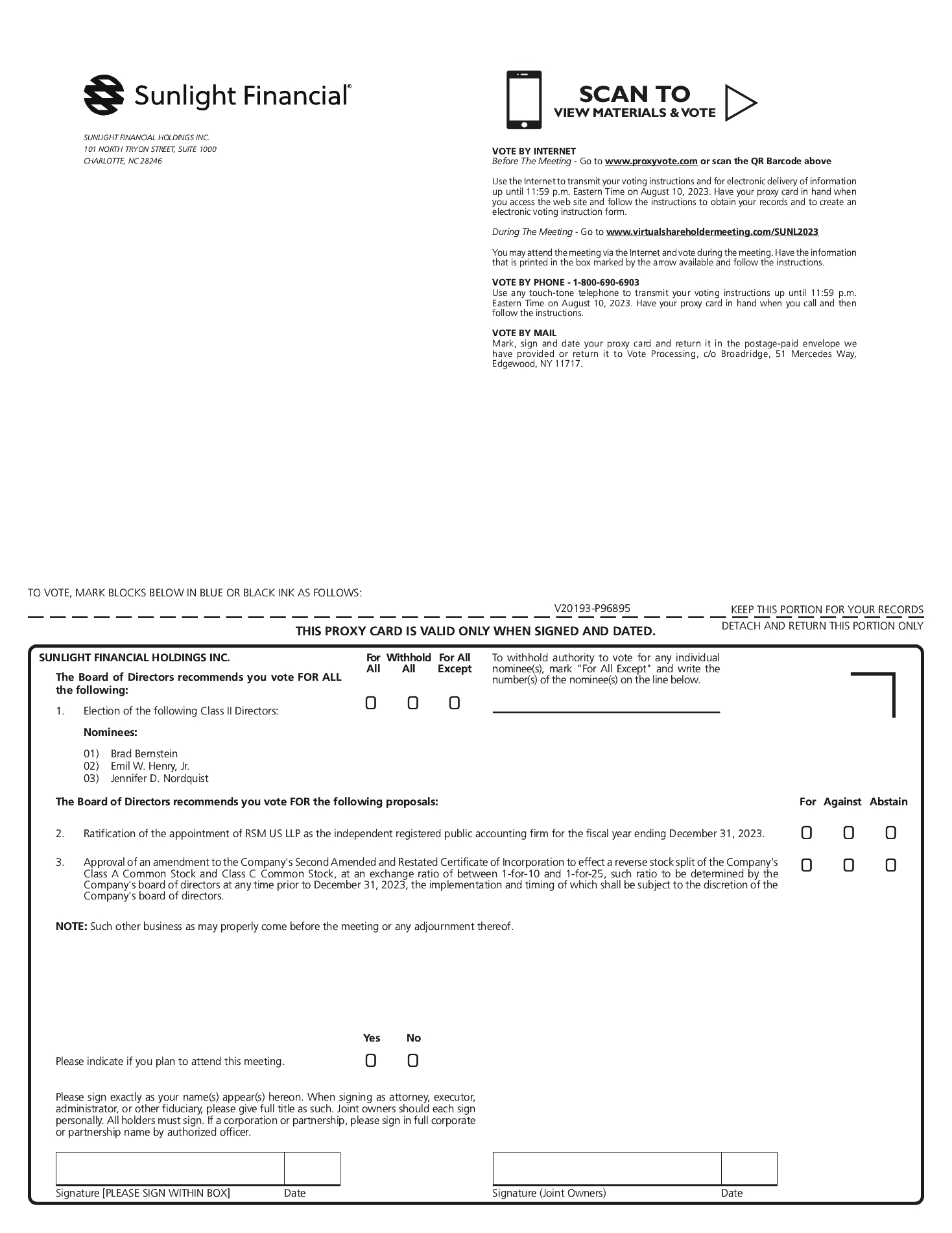
YOUR VOTE IS IMPORTANT. Voting can be completed in one of four ways:

By internet by going to www.proxyvote.com;

by telephone by dialing toll-free 1-800-579-1639;

by mail by completing, signing, dating and returning the proxy card included with this proxy statement in the prepaid postage envelope provided, as soon as possible to ensure your shares are represented; or


by attending the virtual Annual Meeting at: www.virtualshareholdermeeting.com/SUNL2023 and voting during the Annual Meeting.
Whether or not you plan to attend the Annual Meeting, we urge you to submit your proxy now via the internet, telephone or by mail. Submitting a proxy will not deprive you of the right to attend the Annual Meeting or to vote your shares at the Annual Meeting. You can revoke a proxy at any time before it is exercised by voting at the Annual Meeting, by delivering a subsequent proxy or by notifying the inspector of elections in writing of such revocation prior to the Annual Meeting. YOUR SHARES CANNOT BE VOTED UNLESS YOU EITHER (I) VOTE BY USING THE INTERNET, (II) VOTE BY PHONE, (III) USE THE PROXY CARD INCLUDED WITH THIS PROXY STATEMENT TO CAST YOUR VOTE BY COMPLETING, SIGNING AND RETURNING THE PROXY CARD BY MAIL OR (IV) ATTEND THE ANNUAL MEETING AND VOTE. When you submit a proxy, you are authorizing Matthew Potere, our Chief Executive Officer, and Rodney Yoder, our Chief Financial Officer, to vote your shares at the Annual Meeting and at any postponements or adjournments of the Annual Meeting in accordance with your instructions.
We appreciate your continued support of Sunlight Financial Holdings Inc. and look forward to receiving your proxy.
 
By Order of the Board of Directors
 

 
Matthew Potere
Chief Executive Officer

Charlotte, North Carolina
July 7, 2023
-ii-

TABLE OF CONTENTS

TABLE OF CONTENTS
-iii-

TABLE OF CONTENTS

-iv-

TABLE OF CONTENTS


101 North Tryon Street, Suite 1000
Charlotte, NC 28246
PROXY STATEMENT
FOR THE 2023 ANNUAL MEETING OF STOCKHOLDERS
To Be Held at 9:00 a.m. Eastern Time on Friday, August 11, 2023
We are providing you with these proxy materials because the Board of Directors (the “Board” or the “Sunlight Board”) of Sunlight Financial Holdings Inc. (“Sunlight,” the “Company,” “we,” “us,” or “our”) is soliciting your proxy to vote at Sunlight’s 2023 Annual Meeting of Stockholders (the “Annual Meeting”), including at any adjournments or postponements thereof, to be held via a live webcast on Friday, August 11, 2023 at 9:00 a.m. Eastern Time. The Annual Meeting can be accessed by visiting www.virtualshareholdermeeting.com/SUNL2023, where you will be able to listen to the meeting live, submit questions and vote online.
You are invited to virtually attend the Annual Meeting to vote on the proposals described in this Proxy Statement. However, you do not need to attend the Annual Meeting to vote your shares. Instead, you may simply follow the instructions below to submit your proxy.
The proxy materials, including this Proxy Statement and our 2022 annual report to stockholders (the “2022 Annual Report”), are being distributed and made available on or about July 7, 2023. As used in this Proxy Statement, references to “we,” “us,” “our,” “Sunlight” and the “Company” refer to Sunlight Financial Holdings Inc. and its subsidiaries. Sunlight was a special purpose acquisition company called Spartan Acquisition Corp. II (“Spartan”) prior to the closing on July 9, 2021 (the “Closing”) of the business combination (the “Business Combination”). The Business Combination represents the transactions contemplated by that certain Business Combination Agreement and Plan of Reorganization, dated as of January 23, 2021 (the “Business Combination Agreement”) whereby the entities that previously comprised the business of Sunlight Financial LLC (“Sunlight LLC”) merged with and into subsidiaries of the Company. For further information on the Business Combination, please refer to our 2022 Annual Report provided to our stockholders together with this Proxy Statement.
QUESTIONS AND ANSWERS ABOUT THESE PROXY MATERIALS AND VOTING
How can stockholders attend the virtual meeting?
We believe a virtual meeting provides expanded access, improves communication, reduces the environmental impact of the Annual Meeting, enables increased stockholder attendance and participation and provides cost savings for our stockholders and the Company. In addition, a virtual meeting format will provide a consistent experience to all stockholders regardless of geographic location and enhance stockholder access and engagement. To participate in our virtual Annual Meeting, including to vote, ask questions and to view the list of registered stockholders as of the record date during the meeting, visit www.virtualshareholdermeeting.com/SUNL2023 with your 16-digit control number included in the Notice, on your proxy card, or in the instructions that accompanied your proxy materials. If you are a beneficial owner of shares registered in the name of your broker, bank or other nominee, follow the instructions from your broker, bank or other nominee. Further instructions on how to attend, participate in and vote at the Annual Meeting are available at www.virtualshareholdermeeting.com/SUNL2023. Please note that you will only be able to attend and vote at in the meeting using this website.
What can I do if I need technical assistance during the Annual Meeting?
If you encounter any difficulties accessing the Annual Meeting during the check-in or meeting time, please call the technical support number that will be posted on the Annual Meeting log-in page.
What proxy materials are available on the internet?
The 2023 Proxy Statement and 2022 Annual Report are available at www.ProxyVote.com.
Sunlight Financial Holdings Inc. | 2023 Proxy Statement | 1


TABLE OF CONTENTS

Who can vote at the Annual Meeting, and how can votes be cast?
Stockholder of Record: Shares Registered in Your Name: If on the Record Date you had Sunlight shares registered in your name with Sunlight’s transfer agent, Continental Stock Transfer & Trust Company, then you are a stockholder of record, and you may vote your shares by proxy or at the Annual Meeting. Specifically, you may vote:

by internet – by going to www.proxyvote.com to complete an electronic proxy card. You will be asked to provide the control number from your Notice. Your vote must be received by 11:59 p.m. Eastern Time on August 10, 2023 to be counted.

by telephone – by dialing toll-free 1-800-579-1639 using a touch-tone phone and following the recorded instructions. You will be asked to provide the control number from the Notice. Your vote must be received by 11:59 p.m. Eastern Time on August 10, 2023 to be counted.

by mail – by completing, signing and dating the proxy card enclosed with this proxy statement and returning it promptly in the envelope provided. If you return your signed proxy card to us before the Annual Meeting, we will vote your shares as you instruct. If you are a beneficial owner of shares registered in the name of your bank, broker or other nominee, you should have received a voting instruction card form that organization rather than from us. Simply following the voting instructions in that document to ensure that your vote is counted.

Online during the virtual Annual Meeting– by going to www.virtualshareholdermeeting.com/SUNL2023 starting at 8:45 a.m. Eastern Time on Friday, August 11, 2023 and following the provided instructions.
We are holding the Annual Meeting online and providing internet voting to provide expanded access and to allow you to vote your shares online, with procedures designed to ensure the authenticity and correctness of your voting instructions. However, please be aware that you must bear any costs associated with your internet access, such as usage charges from internet access providers and telephone companies.
Whether or not you plan to attend the Annual Meeting, we urge you to submit your proxy now via the internet, telephone or by mail to ensure your vote is counted. You may still attend and vote at the Annual Meeting even if you have already voted by proxy.
Beneficial Owner: Shares Registered in the Name of a Broker, Bank or Other Nominee: If on our Record Date (July 3, 2023) your shares were held, not in your name, but rather in an account at a broker, bank or other nominee, then you are the beneficial owner of shares held in “street name” and this proxy statement is being forwarded to you by that organization. The organization holding your account is considered to be the stockholder of record for purposes of voting at the Annual Meeting. As a beneficial owner, you have the right to direct your bank, broker or other nominee regarding how to vote the shares in your account. Follow the instructions from your broker, bank or other nominee included with these proxy materials or contact your bank, broker or other nominee to request a proxy form. You are also invited to virtually attend the Annual Meeting.
What am I voting on?
There are three matters scheduled for a vote:
Proposal 1 - Election of three Class II directors nominated by the Board to serve until the 2026 Annual Meeting of Stockholders;
Proposal 2 - Ratification of RSM US LLP as the independent registered public accounting firm of the Company for its fiscal year ending December 31, 2023; and
Proposal 3 – Approval of an amendment to our Certificate of Incorporation to effect a reverse stock split of our outstanding Class A and Class C common stock at an exchange ratio of between 1-for-10 and 1-for-25, such ratio to be determined by our board of directors, at any time prior to December 31, 2023, the implementation and timing of which shall be subject to the discretion of our board of directors.
Will there be any other business conducted at the Annual Meeting?
The Board knows of no other matters that will be presented for consideration at the Annual Meeting. However, if any other matters are properly brought before the meeting, your shares will be voted in accordance with the discretion of the person or persons appointed as proxies.
Sunlight Financial Holdings Inc. | 2023 Proxy Statement | 2


TABLE OF CONTENTS

How many votes do I have?
On each matter to be voted upon, you have one vote for each share of Class A or Class C common stock you own as of July 3, 2023. On this Record Date, there were 85,562,304 shares of Class A common stock and 44,973,227 shares of Class C common stock outstanding.
What happens if I do not vote?
Stockholder of Record: Shares Registered in Your Name: If you are a stockholder of record as of the Record Date and do not vote by completing your proxy card, by telephone, through the internet or online at the Annual Meeting, your shares will not be voted.
Beneficial Owner: Shares Registered in the Name of Bank, Broker or Other Nominee: If you are a beneficial owner of shares registered in the name of your bank, broker or other nominee as of the Record Date, and you do not provide the bank, broker or other nominee that holds your shares with voting instructions, then the bank, broker or other nominee will determine if it has the discretionary authority to vote on the particular matter. See below under “How are votes counted?” for more information.
What happens if I return a proxy card or otherwise vote but do not make specific choices?
If you return a signed and dated proxy card or otherwise submit a proxy without marking voting selections, then your shares will be voted, as applicable, “For” the election of each of the three Class II director nominees, “For” the ratification of our selection of RSM US LLP as the independent registered public accounting firm of the Company for its fiscal year ending December 31, 2023 and “For” the approval of the amendment to our Certificate of Incorporation to effect a reverse stock split. If any other matter is properly presented at the meeting, then your proxyholder (one of the individuals named on your proxy card) will vote your shares using his or her best judgment.
Who is making this solicitation and who will pay for this solicitation of proxies?
This proxy solicitation is being made on behalf of our Board. We will pay for the entire cost of soliciting proxies. In addition to these proxy materials, our directors and employees may also solicit proxies online, by telephone, or by other means of communication, however, directors and employees will not be paid any additional compensation for soliciting proxies. We may also reimburse brokerage firms, banks, dealers or other similar organizations for the cost of forwarding proxy materials to beneficial owners.
What does it mean if I receive more than one copy of these proxy materials?
If you receive more than one copy of these proxy materials, then your shares may be registered in more than one name or in different accounts. Please follow the voting instructions in this proxy statement or, if you are the beneficial owner of shares held in “street name,” the instructions provided to you by your bank, broker or other nominee to ensure that all of your shares are voted.
May I change my vote after submitting my proxy?
Yes. You may revoke your proxy at any time before the final vote at the Annual Meeting.
Stockholder of Record: Shares Registered in Your Name: If you are the record holder of your shares as of the Record Date, then you may revoke your proxy in any one of the following ways:
You may submit another properly completed proxy card with a later date.
You may grant a subsequent proxy by telephone or through the internet.
You may send a timely written notice that you are revoking your proxy to Sunlight’s Corporate Secretary at 101 North Tryon Street, Suite 1000, Charlotte, NC 28246.
You may virtually attend the Annual Meeting and vote online. Simply attending the meeting will not, by itself, revoke your proxy.
Your most current proxy card or telephone or internet proxy is the one that is counted.
Sunlight Financial Holdings Inc. | 2023 Proxy Statement | 3


TABLE OF CONTENTS

Beneficial Owner: Shares Registered in the Name of Bank, Broker or Other Nominee: If your shares are held by your broker or bank as a nominee or agent as of the Record Date, then you should follow the instructions provided by your bank, broker or other nominee.
When are stockholder proposals and director nominations due for next year’s annual meeting?
To be considered for inclusion in next year’s proxy materials, your proposal must be submitted in writing by March 9, 2024 to Sunlight’s Corporate Secretary at 101 North Tryon Street, Suite 1000, Charlotte, NC 28246 and comply with the requirements in the Company’s Amended and Restated Bylaws (the “Bylaws”) and all applicable requirements of Rule 14a-8 promulgated under the Securities Exchange Act of 1934, as amended. If you wish to submit a proposal that is not to be included in next year’s proxy materials or nominate a director, you must do so no later than May 13, 2024 and not earlier than April 13, 2024; provided, however, that if our 2024 annual meeting of stockholders is held before July 12, 2024 or after September 10, 2024, then your proposal must be received no earlier than the close of business on the 120th day prior to such meeting and not later than the close of business on the later of the 90th day prior to such meeting or the 10th day following the day on which notice or public announcement of the date of such meeting is first made. You are also advised to review our Bylaws, which contain additional requirements about advance notice of stockholder proposals and director nominations. In addition to satisfying the foregoing requirements under our Bylaws, to comply with the universal proxy rules, stockholders who intend to solicit proxies in support of director nominees other than the Company’s nominees must provide notice that sets forth the information required by Rule 14a-19 under the Exchange Act no later than June 12, 2024.
How are votes counted?
Votes will be counted by the inspector of election appointed for the meeting, who will separately count, for the proposal to elect directors, votes “For,” “Withhold” and broker non-votes; and, with respect to other proposals, votes “For,” “Against,” abstentions and, if applicable, broker non-votes.
Broker non-votes occur when shares are held indirectly through a bank, brokerage firm or other nominee or intermediary on behalf of a beneficial owner (referred to as held in “street name”) and the broker submits a proxy, but does not cast a vote on a matter because the broker has not received voting instructions from the beneficial owner, and (i) the broker does not have discretionary voting authority on the matter or (ii) the broker chooses not to vote on a matter for which it has discretionary voting authority. Pursuant to the New York Stock Exchange (“NYSE”), which governs brokers’ use of discretionary authority, brokers are permitted to exercise discretionary voting authority only on “routine” matters when voting instructions have not been timely received from a beneficial owner.
Proposal 1: The election of directors is a matter considered non-routine under NYSE rules. A broker or other nominee cannot vote without instructions on non-routine matters, and therefore Sunlight expects broker non-votes on Proposal 1. Thus, if you do not instruct your broker how to vote with respect to Proposal 1, your broker may not vote with respect to that proposal.
Proposal 2: Ratification of the selection of RSM US LLP is considered to be a routine matter and, accordingly, if you do not instruct your broker or other nominee on how to vote the shares in your account for Proposal 2, then brokers will be permitted to exercise their discretionary authority to vote for the ratification of the selection of RSM US LLP. Accordingly, Sunlight does not expect to receive broker non-votes with respect to Proposal 2.
Proposal 3: The approval of an amendment to our Certificate of Incorporation to effect a reverse stock split of our outstanding Class A and Class C common stock at an exchange ratio of between 1-for-10 and 1-for-25, with such ratio to be determined by our board of directors, is considered to be a routine matter and, accordingly, if you do not instruct your bank, broker or other nominee on how to vote the shares in your account for Proposal 3, then brokers will be permitted to exercise their discretionary authority to vote for the amendment to our Certificate of Incorporation to effect a reverse stock split. Accordingly, Sunlight does not expect to receive broker non-votes with respect to Proposal 3.
Abstentions and broker non-votes will be treated as shares present for the purpose of determining the presence of a quorum for the transaction of business at the Annual Meeting. Broker non-votes will not be counted for purposes of determining the number of shares present at the meeting or represented by proxy and entitled to vote with respect to a particular proposal.
What are “broker non-votes”?
As discussed above, when a beneficial owner of shares held in “street name” does not give instructions to the broker or nominee holding the shares as to how to vote on matters deemed to be “non-routine,” the broker or nominee cannot vote the shares with respect to such matters. These unvoted shares are considered “broker non-votes” with respect to such matters.
Sunlight Financial Holdings Inc. | 2023 Proxy Statement | 4


TABLE OF CONTENTS

How many votes are needed to approve each proposal?
Proposal 1: The affirmative vote of a plurality of the shares of our common stock, with the Class A and Class C share voting together as a single class, present virtually or by proxy at the Annual Meeting and entitled to vote thereon is required for the election of each of the nominees for director. “Plurality” means that the three director nominees who receive the largest number of votes cast “for” such nominees will be elected as directors. You are not permitted to cumulate your votes for purposes of electing directors. Because this is an uncontested election, so long as each candidate receives at least one “For” vote, all director nominees will be elected and votes that are withheld will have no effect on the election of the directors. Only votes “For” a specific nominee will affect the outcome with respect to that nominee. Brokerage firms do not have authority to vote customers’ non-voted shares held by the firms in street name for the election of the directors because this proposal is not considered a “routine” matter under NYSE rules. As a result, any shares not voted by a customer will be treated as a broker non-vote and have no effect on the results of this vote. Abstentions will also have no effect on the results of this vote.
Proposal 2: The ratification of the selection of RSM US LLP as the Company’s independent registered public accounting firm for fiscal year ending December 31, 2023 requires the affirmative vote of vote of the holders of a majority of the common stock, with the Class A and Class C share voting together as a single class, present virtually or represented by proxy at the Annual Meeting and entitled to vote thereat. You may vote “for,” “against,” or “abstain” with respect to this proposal. Proposal 2 is considered to be a routine matter and, accordingly, if you do not instruct your broker or other nominee on how to vote the shares in your account for Proposal 2, brokers will be permitted to exercise their discretionary authority to vote for the ratification of the selection of RSM US LLP and there will be no broker non-votes on this proposal. Abstentions will have the same effect as a vote “against” this proposal.
Proposal 3: The approval of the proposal to amend our Certificate of Incorporation to effect a reverse stock split of our outstanding common stock at an exchange ratio of between 1-for-10 and 1-for-25, with such ratio to be determined by our board of directors, at any time prior to December 31, 2023, the implementation and timing of which shall be subject to the discretion of our board of directors, requires the affirmative vote of the holders of a majority of our outstanding common stock, with the Class A and Class C share voting together as a single class. You may vote “for,” “against,” or “abstain” with respect to this proposal. Proposal 3 is considered to be a routine matter and, accordingly, if you do not instruct your broker or other nominee on how to vote the shares in your account for Proposal 3, brokers will be permitted to exercise their discretionary authority to vote for the approval of the amendment to our Certificate of Incorporation to effect a reverse stock split and there will be no broker non-votes on this proposal. Abstentions will have the same effect as a vote “against” this proposal.
What is the quorum requirement?
A quorum of stockholders is necessary to hold a valid meeting. A quorum will be present if stockholders holding at least a majority of the issued and outstanding shares of our Class A and Class C common stock entitled to vote are present online at the meeting or represented by proxy.
Your shares will be counted towards the quorum only if you submit a valid proxy (or one is submitted on your behalf by your broker, bank or other nominee) or if you vote online at the Annual Meeting. Abstentions and broker non-votes will be counted towards the quorum requirement. If there is no quorum, then the meeting’s chairperson or holders of a majority of shares represented at the meeting may adjourn the meeting to another date and time.
How can I find out the results of the voting at the Annual Meeting?
Preliminary voting results will be announced at the Annual Meeting. In addition, final voting results will be published in a Current Report on Form 8-K that we expect to file within four business days after the Annual Meeting. If final voting results are not available to us in time to file a Current Report on Form 8-K within four business days after the meeting, then we intend to file a Current Report on Form 8-K to publish preliminary results and, within four business days after the final results are known to us, file an additional Current Report on Form 8-K to publish the final results.
Sunlight Financial Holdings Inc. | 2023 Proxy Statement | 5


TABLE OF CONTENTS

How does Sunlight’s board of directors recommend that I vote my shares?
As to the proposals to be voted on at the Annual Meeting, our board of directors unanimously recommends that you vote:
“For” the election of the three Class II directors to the Board of Directors, Brad Bernstein, Emil W. Henry, Jr. and Jennifer D. Nordquist, each to hold office until the 2026 Annual Meeting of Stockholders;
“For” the proposal to ratify the appointment of RSM US LLP as our independent registered public accounting firm for the fiscal year ending December 31, 2023; and
“For” the proposal to approve an amendment to our Certificate of Incorporation to effect a reverse stock split of our outstanding Class A and Class C common stock at an exchange ratio of between 1-for-10 and 1-for-25, such ratio to be determined by our board of directors, at any time prior to December 31, 2023, the implementation and timing of which shall be subject to the discretion of our board of directors.
Sunlight Financial Holdings Inc. | 2023 Proxy Statement | 6


TABLE OF CONTENTS

PROPOSAL 1—ELECTION OF DIRECTORS
Sunlight Financial Holdings Inc.’s Board of Directors (the “Board” or the “Sunlight Board”) is divided into three classes, designated Class I, Class II and Class III. Each class consists, as nearly as may be possible, of one-third of the total number of directors, and each class has a three-year term. Vacancies on the Board may be filled solely by the affirmative vote of a majority of the directors then in office, even if less than a quorum, or by a sole remaining director. Any director elected to fill a vacancy or newly created directorship shall hold office until the next election of the class to which such director shall have been appointed or assigned, and until his or her successor is duly elected and qualified, or until such director’s earlier resignation, removal from office, death or incapacity.
The Board presently has nine members. There are three directors in the class whose term of office expires in 2023: Brad Bernstein, Emil W. Henry, Jr. and Jennifer D. Norquist. The Board has nominated each of Brad Bernstein, Emil W. Henry, Jr. and Jennifer D. Norquist for election as a Class II director at the Annual Meeting.
The nominees listed below are currently directors of the Company, and were each recommended for election by the Nominating, Governance & ESG Committee of the Board. If elected at the Annual Meeting, the nominees would serve until the 2026 annual meeting and until the election and qualification of his or her successor or, if sooner, his or her resignation, removal from office, death or incapacity. The Company encourages its directors to attend its annual meetings.
The affirmative vote of a plurality the shares of our common stock, with the Class A and Class C share voting together as a single class, present virtually or by proxy at the Annual Meeting and entitled to vote thereon is required for the election of each of the nominees for director. “Plurality” means that the three director nominees who receive the largest number of votes cast “for” such nominees will be elected as directors. You are not permitted to cumulate your votes for purposes of electing directors. Shares represented by executed proxies will be voted, if authority to do so is not withheld, “For” the election of the nominees named below. Only votes “For” a nominee will affect the outcome.
The brief biographies below include information, as of the date of this proxy statement, regarding the specific and particular experience, qualifications, attributes or skills of each of our Class I, Class II and Class III directors.
 
Class
Age
Position
Director
Since**
Expiration
of Term
for which
Nominated
Class II Directors whose terms expire at the Annual Meeting
Brad Bernstein
II
56
Director
2018
2023
Emil W. Henry, Jr.
II
62
Director
2015
2023
Jennifer D. Nordquist(1)(2)
II
55
Director
2021
2023
Class III Directors whose terms expire at the 2024 Annual Meeting
Toan Huynh(2*)(3)
III
47
Director
2021
2024
Matthew Potere
III
48
Chief Executive Officer and Director
2015
2024
Philip Ryan(3*)
III
67
Director
2021
2024
Class I Nominees whose terms expire at the 2025 Annual Meeting
Jeanette Gorgas(1*)
I
55
Director
2021
2025
Kenneth Shea(1)
I
65
Director
2021
2025
Joshua Siegel(2)(3)
I
52
Director
2021
2025
*
Signifies Chair of the Committee
**
Based on service on the boards of Sunlight and Sunlight LLC
(1)
Member of the Compensation Committee
(2)
Member of Nominating, Governance & ESG Committee
(3)
Member of the Audit Committee
Sunlight Financial Holdings Inc. | 2023 Proxy Statement | 7


TABLE OF CONTENTS

Class II Nominees for Election for a Three-Year Term Expiring at the 2026 Annual Meeting
Brad Bernstein

Mr. Bernstein is managing partner of FTV Capital and leads the sector-focused growth equity investment firm, a position he has held since 2016. Mr. Bernstein has over 30 years of private equity experience. Prior to FTV Capital in 2003, Mr. Bernstein was a partner at Oak Hill Capital Management and its predecessors from 1992 to 2003, where he managed the business and financial services group. He began his private equity career with Patricof & Company Ventures in 1991 and started his professional career in the investment banking division of Merrill Lynch in New York in 1989. Mr. Bernstein currently serves as a director of Enfusion, Inc., where he also serves on the compensation committee, and several of FTV Capital private portfolio companies. Mr. Bernstein received a B.A. magna cum laude from Tufts University.

We believe Mr. Bernstein is qualified to serve as a member of the Board due to his leadership and management experience. 
Emil W. Henry, Jr.

Mr. Henry is the CEO and Founder of Tiger Infrastructure Partners, a private equity firm focused on growth-oriented infrastructure investment opportunities, a position he has held since 2010. Prior to founding Tiger Infrastructure Partners, he was Global Head of the Lehman Brothers Private Equity Infrastructure businesses from 2007 to 2008, where he oversaw global infrastructure investments. Mr. Henry currently serves on the board of directors for Arrowmark Financial Corp, Easterly Government Properties, Inc. and several of Tiger Infrastructure private portfolio companies. In 2005, Mr. Henry was unanimously confirmed by the United States Senate as Assistant Secretary of the Treasury for Financial Institutions. Until his departure in 2007, he was a key advisor to two Treasury Secretaries on economic, legislative and regulatory matters affecting U.S. financial institutions and markets. Before joining the Treasury, Mr. Henry was a partner of Gleacher Partners LLC, an investment banking and investment management firm, where he served as Chairman of Asset Management, and Managing Director, and where he oversaw the firm’s investment activities. He began at Gleacher Partners in 1990. Mr. Henry began the formative part of his career at Morgan Stanley in the mid-1980s in that firm’s merchant banking arm where he executed management buyouts for Morgan Stanley’s flagship private equity fund. He holds an M.B.A. from Harvard Business School and a B.A. in Economics from Yale University.

We believe Mr. Henry is qualified to serve as a member of the Board due to his expertise in the financial institution industry. 
Sunlight Financial Holdings Inc. | 2023 Proxy Statement | 8


TABLE OF CONTENTS

Jennifer D. Nordquist

Ms. Nordquist has 30 years of experience in public policy, research, government and the private sector. She is currently Executive Vice President of the Economic Innovation Group, a position she has held since 2021; serves on the Advisory Board of Big Sun Holdings; is a Fellow at the University of Virginia Darden School of Business; is an Advisory Board Member at ClearPath; is a Senior Adviser at the Center for Strategic and International Studies; is an Economy Panel Adviser to the Special Competitive Studies Project; is an Adviser to the Atlantic Council Global Tech Security Commission; and in 2023, was appointed by Governor Youngkin to the Virginia Biotechnology Research Partnership Authority. Confirmed unanimously by the United States Senate, from 2019 to 2021 she represented the United States at the Board of Directors of the World Bank Group, where she was a member of the Audit Committee, the Committee on Development Effectiveness, and the Committee on Governance. Ms. Nordquist also served as Chief of Staff at the Council of Economic Advisers in the White House from 2017 to 2019; Chief of Staff for the Economic Studies program at the Brookings Institution from 2008 to 2017; Assistant Secretary at the U.S. Department of Housing and Urban Development from 2007 to 2008; Senior Advisor in the Office of the Federal Coordinator for Gulf Coast Rebuilding from 2005 to 2007; Deputy Chief of Staff at the Federal Deposit Insurance Corporation from June to October 2005; and Deputy Assistant Secretary at the U.S. Department of Education from 2003 to 2005. She also worked in the private sector in France and Thailand, and worked on Capitol Hill. She holds a BA from Stanford University and an MS from Northwestern University and received the Distinguished Service Award from the U.S. Department of the Treasury.

We believe Ms. Norquist is qualified to serve as a member of the Board due to her extensive experience in economics and public policy. 
THE BOARD OF DIRECTORS UNANIMOUSLY RECOMMENDS A VOTE “FOR” EACH OF THE
CLASS II DIRECTOR NOMINEES.
Sunlight Financial Holdings Inc. | 2023 Proxy Statement | 9


TABLE OF CONTENTS

BOARD OF DIRECTORS AND CORPORATE GOVERNANCE
Continuing Directors
In addition to the director nominees, Sunlight has six other directors who will continue in office after the Annual Meeting with terms expiring in 2024 and 2025. The following includes a brief biography of each director composing the remainder of the Board with terms expiring as shown, with each biography including information regarding the experiences, qualifications, attributes or skills that caused the Nominating, Governance & ESG Committee and the Board to determine that the applicable director should serve as a member of our Board.
Class I Directors Continuing in Office until the 2025 Annual Meeting
Jeanette Gorgas

Ms. Gorgas is a board director and C-Suite executive with 25+ years of expertise in growth strategy, operations, risk management, mergers and acquisitions, and human capital management. Ms. Gorgas is a board member of NDH LLP and Delivery Hero (DLVHF), a technology company, where she chairs the Strategy Committee and serves on the Audit and Nominations Committees. Ms. Gorgas previously served on the Board of Directors of Youth INC, and was a member of the Audit and Nominating & Governance committees. Ms. Gorgas has served in a multitude of C-Suite roles, including those of Chief Strategy Officer, Chief Administrative Officer and Chief Human Capital Officer. As Chief Strategy Officer at Grant Thornton LLP, she built and led the Office of Strategy Management and led a team of 65 people in strategic planning, mergers & acquisitions, alliances, strategic initiative execution, knowledge management technology, change management and corporate social responsibility. She played a vital role in developing and launching the firm’s innovation platform, and in growing the U.S. firm’s revenues by more than 28% in two years. She served at Grant Thornton from 2015 to 2018. Ms. Gorgas has held senior roles in Valor Equity Partners (from 2019 to 2020), Deutsche Bank (from 1998 to 2010), Bank of America (from June to December 2010) and Weil, Gotshal & Manges (from 2013 to 2015), with ever-increasing responsibilities. She was also Senior Associate Dean for Yale University from 2011 to 2013, leading all facets of the MBA Program at Yale School of Management. Ms. Gorgas graduated with high honors from London School of Economics with a Master of Science (MSc) in Management. She earned a Bachelor of Science degree from Rutgers’ College School of Business, and attended Harvard Business School’s Advanced Management and Women on Boards programs.

We believe Ms. Gorgas is qualified to serve as a member of the Board due to her substantial experience in strategy planning and execution, human capital management, and her proven track record contributing to organizational growth across private and public companies.
Sunlight Financial Holdings Inc. | 2023 Proxy Statement | 10


TABLE OF CONTENTS

Kenneth Shea

Mr. Shea is a Co-Founder and Managing Principal of Manufactured Housing Partners, LLC, (“MHP LLC”) a private, real estate investment fund focused on the acquisition and operation of manufactured housing communities. Prior to founding MHP LLC in 2022, Mr. Shea was an Investment Partner with Pilot Growth Equity, a venture capital firm focused on growth-stage technology companies, from 2020 to 2022. Previously, Mr. Shea was a Senior Managing Director at Guggenheim Securities, LLC, from 2014 to 2019, where he ran the Firm’s Real Estate, Gaming & Leisure investment banking department; President of Coastal Capital Management, LLC, a developer of luxury resort & entertainment properties from 2009 to 2014; a Managing Director for Icahn Capital LP, from 2008 to 2009; and a Senior Managing Director at Bear, Stearns & Co. Inc, where he ran the Firm’s Gaming & Leisure Investment Banking practice, and was employed from 1996 to 2008. Mr. Shea currently serves on the Board of Directors of Viskase Companies, Inc, a food-packaging company, where he is a member of the Audit Committee; Kindred Group, Plc, a Stockholm-based online casino & sports wagering company, where he is a member of the Audit Committee; and Lifepoint Health, a privately-held provider of health care services. Previously, Mr. Shea served on the boards of Equity Commonwealth, a commercial office REIT, where he was Chairman of the Compensation Committee; Hydra Industries, a special purpose acquisition company which successfully completed the acquisition of Inspired Entertainment, a gaming company in the United Kingdom; Perthera.ai, a venture-backed data science company in the precision medicine sector; and CVR Refining, a mid-continent refiner, where he served as Chairman of the Audit Committee. Mr. Shea received his MBA from the University of Virginia, and his BA in Economics, Magna cum laude, from Boston College.

We believe Mr. Shea is qualified to serve as a member of the Board due to his extensive experience in corporate finance and financial services and his knowledge of the capital markets.
Joshua Siegel

Mr. Siegel founded StoneCastle Partners, LLC in 2003 and serves as Chairman, Chief Executive Officer and Managing Partner, and previously served as Chairman of StoneCastle Financial Corp. He is widely regarded as a leading expert and investor in the banking industry. As Chief Executive Officer of StoneCastle Partners, a development company for bank-related financial services businesses, Mr. Siegel is responsible for numerous specialized products and has a discerning eye for finding innovative solutions that solve for the myriad of banking and SEC regulations that might otherwise limit our activities. During Mr. Siegel’s career, his innovations have brought nearly $40 billion of capital and $25 billion of deposits to more than 1,600 community and regional banks. He was an adjunct professor at Columbia Business School, where he lectured on imagineering in financial services. He also provides annual economic support to Prep for Prep to make sure academic brilliance is recognized and nurtured without regard to a student’s economic, demographic or sociological background. Mr. Siegel received his BS in Management and Accounting from Tulane University. He is a member of the Young Presidents Organization and Mensa.

We believe Mr. Siegel is qualified to serve as a member of the Board due to his leadership experience in the banking industry.
Sunlight Financial Holdings Inc. | 2023 Proxy Statement | 11


TABLE OF CONTENTS

Class III Directors Continuing in Office until the 2024 Annual Meeting
Toan Huynh

Ms. Huynh has spent over 20 years working at the intersection of financial services and technology, leading large digital transformation projects for global 1000 firms. In 2008, she co-founded and served as Head of Insurance and Financial Services for Global One/Cloud Sherpas, a global cloud advisory firm, which was acquired by Accenture in 2015. Ms. Huynh remained as a Managing Director with Accenture’s CloudFirst Practice until 2018, while running various innovation programs including the Fintech Innovation Lab with the Partnership Fund for New York City and launching the Liquid Studios for Innovation. After spending over fifteen years investing in Series A companies, in 2018, she joined Citi Ventures as an Entrepreneur-in-Residence to launch new financial products within the Consumer Bank and Institutional Corporate Group divisions. In addition, she joined Information VP in 2018 as a US-based partner, investing in B2B SaaS, financial services technologies, and enterprise technologies in North America and advising as a growth advisor until 2020. In 2020, she became a Partner at Momentum Partners, joining a team of operations-focused advisors working with growth-stage firms. She has served on the board of New York Community Bancorp since December 2022, where she serves on the risk assessment and technology committees, the board of Flagstar Bank since December 2020, where she serves on the Credit, Risk and Technology Committees. Since 2021, Ms. Huynh also serves as an EIR with Morgan Stanley Inclusive Ventures Lab. Ms. Huynh also previously served on the board of Phillips Edison REIT III, Inc. Ms. Huynh holds a BA from the University of Pennsylvania in International Relations and Economics. In her spare time, Ms. Huynh seeks to link the arts as a bridge to a common language, volunteering with OpeningAct.org, WordswithoutBorders.org, and Lincoln Center Innovation Center. She is also on the Board of Trustees for The Ethel Walker School for Girls and Penn Women’s Alliance Advisory Council.

We believe Ms. Huynh is qualified to serve as a member of the Board due to her experience in early-stage companies and the financial services industry.
Matthew Potere

Mr. Potere is the Chief Executive Officer and a Class III member of the Sunlight Board. Mr. Potere served as Chief Executive Officer and a member of the board of directors for Sunlight LLC from 2015 until consummation of the Business Combination. Prior to Sunlight LLC, Mr. Potere served as a Senior Vice President responsible for Bank of America, N.A.’s home equity product from 2012 to 2015. Prior to Bank of America, Mr. Potere served as the Chief Operating Officer of Swift Financial from 2007 to 2010, and in various senior credit, marketing and operations roles at MBNA America Bank, N.A. from 1995 to 2006. Mr. Potere holds a B.A. in Criminal Justice from the University of Delaware.  
We believe Mr. Potere is qualified to serve as a member of the Board due to his extensive executive management and lending industry leadership experience.
Sunlight Financial Holdings Inc. | 2023 Proxy Statement | 12


TABLE OF CONTENTS

Philip Ryan

Mr. Ryan has served on the board of directors of Swiss Re Americas Holding Corporation since 2010 and as Chairman since 2012. Mr. Ryan joined the Board of Directors of Swiss Re Ltd, the parent company, in April 2015. Mr. Ryan served as Executive Vice President and Chief Financial Officer of Power Corporation of Canada and Power Financial Corporation in Montreal from January 2008 to May 2012 and in that capacity served on the board and committees of IGM Financial, Great West Lifeco and several of their subsidiaries, including Putnam Investments. Prior to that Mr. Ryan served as an officer of Credit Suisse Group in New York, London and Zurich from 1985 to 2008 in a variety of roles, including Chairman of the Financial Institutions Group (UK), Chief Financial Officer of Credit Suisse Group (Switzerland), Chief Financial Officer of Credit Suisse Asset Management (UK) and Managing Director of CSFB Financial Institutions Group (USA/UK). Mr. Ryan is also engaged in a number of charitable activities including the Smithsonian National Board. Mr. Ryan is an advisor to MKB Growth Capital active in renewable energy and transportation and FTV Capital active in financial technology. He is also a member of the New York Green Bank Advisory Board. Mr. Ryan received a B.S. from the University of Illinois School of Engineering and an M.B.A. from the Indiana University Kelly Graduate School of Business.

We believe Mr. Ryan is qualified to serve as a member of the Board due to his leadership experience in the financial institutions industry.
Sunlight Financial Holdings Inc. | 2023 Proxy Statement | 13


TABLE OF CONTENTS

Corporate Governance
Board Leadership Structure
Our Board does not have a formal policy regarding the combination of the roles of Chairperson of the Board and Chief Executive Officer because the Board believes that it is in the best interests of the Company to have the flexibility to determine, from time to time, whether the positions should be held by the same person or by separate persons. Currently, the roles are separated, with Matthew Potere serving as Chief Executive Officer and Emil W. Henry, Jr. serving as the Chairperson of the Board. We believe this permits the Chief Executive Officer to concentrate on the considerable responsibilities involved in managing the day-to-day functioning and long-term strategies of running the Company, thus ensuring that sufficient attention is paid to both executive and corporate governance concerns, which enhances our risk management procedures. We also have a lead independent director, Kenneth Shea, which helps ensure that the independent and non-management members of the Board have a voice. Our lead independent director is appointed by the majority of the independent directors of the Board, presides over all executive sessions of the Board, is responsible for calling separate meetings of the independent directors, determining the agenda and serving as chairperson of such meetings, reporting to the Company’s Chief Executive Officer and Chairperson of the Board regarding feedback from such meetings, serving as spokesperson for the Company as requested, and performing such other responsibilities as may be designated by a majority of the independent directors from time to time.
While we believe our current Board structure is best-suited to our Company and stockholders, the Board may reconsider this leadership structure from time to time based on the leadership needs of our Board and the Company at any particular time. The Nominating, Governance & ESG Committee evaluates on an ongoing basis whether the Board’s leadership structure is appropriate to effectively address the evolving needs of the Company’s business and the long-term interests of our stockholders. The Nominating, Governance & ESG Committee then makes recommendations to the Board concerning the Board’s leadership structure, including whether the roles of Chairman and Chief Executive Officer should be separated or combined.

Independence of the Board of Directors
As required under the NYSE listing standards, a majority of the members of a listed company’s Board of Directors must qualify as “independent,” as affirmatively determined by the Board of Directors in accordance with NYSE rules. The Board consults with the Company’s counsel to ensure that the Board’s determinations are consistent with relevant securities and other laws and regulations regarding the definition of “independent,” including those set forth in pertinent listing standards of the NYSE, as in effect from time to time.
Consistent with these considerations, after review of all relevant identified transactions or relationships between each director, or any of his or her family members or entities controlled by such directors, and the Company, its senior management and its independent auditors, we have concluded that each member of the Board, other than those continuing from the Sunlight LLC
Sunlight Financial Holdings Inc. | 2023 Proxy Statement | 14


TABLE OF CONTENTS

Board (Matthew Potere, Emil W. Henry, Jr. and Brad Bernstein) qualify as independent, as defined under the listing rules of the NYSE and applicable SEC rules. In addition, Sunlight is subject to the rules of the SEC and NYSE relating to the membership, qualifications and operations of the Audit Committee, Compensation Committee and Nominating, Governance & ESG Committee as discussed below. The Board appointed Mr. Shea to serve as lead independent director. In making this determination, the Board found that none of these directors or nominees for director had a material or other disqualifying relationship with the Company.
Family Relationships
There are no familial relationships between or among the Sunlight directors and executive officers.
Information Regarding Committees of the Board of Directors
The Board has established the Audit Committee, the Compensation Committee and the Nominating, Governance & ESG Committee. The Board may establish other committees to facilitate the management of Sunlight’s business. The Board and its committees will set schedules for meetings throughout the year and can also hold special meetings and act by written consent from time to time, as appropriate. The Board has delegated various responsibilities and authority to its committees as generally described below. The committees will regularly report on their activities and actions to the full board of directors. Each member of each committee of the Board qualifies as an independent director in accordance with the listing standards of the NYSE. Each committee of the Sunlight Board has a written charter approved by the Board. Copies of each charter are posted on Sunlight’s website at https://ir.sunlightfinancial.com/leadership-governance/board-of-directors under “Governance Documents”. Members serve on these committees until their resignation or until otherwise determined by the Board.
Role of the Board in Risk Oversight
One of the key functions of the Board is informed oversight of Sunlight’s risk management process. The Board does not have a risk management committee, but rather anticipates administering this oversight function directly through the Board as a whole, as well as through various standing committees of the Board that address risks inherent in their respective areas of oversight and in consultation with management. The Audit Committee is responsible for overseeing the management of risks associated with Sunlight’s financial reporting, accounting and auditing matters, legal and tax matters, as well as internal and external audit controls. The Compensation Committee is responsible for overseeing the management of risks associated with Sunlight’s compensation policies and programs, retention-related risk, as well as other human capital management-related risk. The Nominating, Governance and ESG Committee is responsible for executive succession-related risk, as well as risk relating to environmental, social and governance matters, conflicts of interest (other than those reviewed by the Audit Committee), and oversight of corporate governance policies and practices as a risk-management related measure. In addition, our management is responsible for overseeing day-to-day risks, and assisting the Board in identifying strategic and operating risks that could impede the achievement of our business goals, assessing the likelihood and potential impact of those risks, and proposing means to mitigate or eliminate those risks. Our management also maintains a disclosure committee as part of our disclosure controls and procedures that meets at least quarterly in connection with the review of our quarterly and annual reports to discuss, among other things, ongoing and potential new risks faced by the Company which are then communicated to the Board where material.
Meetings of the Board of Directors and its Committees
During the fiscal year ended December 31, 2022, our Board held nine meetings, our Audit Committee held six meetings, our Compensation Committee held five meetings, and our Nominating, Governance and ESG Committee held four meetings. Each of the directors attended at least 75% of the meetings of the board of directors and the committees of the Board on which he or she served during the fiscal year ended December 31, 2022, (in each case, which were held during the period for which he or she was a director and/or a member of the applicable committee), except for Toan Huynh, who attended six out of the nine Board meetings held. The Company’s Corporate Governance Guidelines strongly encourages the Company’s directors to attend the annual meeting of stockholders.
Sunlight Financial Holdings Inc. | 2023 Proxy Statement | 15


TABLE OF CONTENTS

The following table provides membership and meeting information for 2022 for each of these committees of our Board with directors marked with an asterisk (*) identified as committee chair:
Name
Audit Committee
Compensation
Committee
Nominating,
Governance &
ESG Committee
Brad Bernstein
Jeanette Gorgas
X*
Emil W. Henry, Jr.
Toan Huynh
X
X*
Jennifer D. Nordquist
X
X
Matthew Potere
Philip Ryan
X*
Kenneth Shea
X
Joshua Siegel
X
X
Total meetings held in 2022
6
5
4
Audit Committee
The members of the Audit Committee are Toan Huynh, Philip Ryan and Joshua Siegel, each of whom can read and understand fundamental financial statements. Each of the members of the Audit Committee is independent under the rules and regulations of the SEC and the listing standards of the NYSE applicable to audit committee members. Philip Ryan is the chair of the Audit Committee. Philip Ryan qualifies as an audit committee financial expert within the meaning of SEC regulations and meets the financial sophistication requirements of the NYSE. The Audit Committee assists the Sunlight Board with its oversight of, among other things, the following: (i) the integrity of Sunlight’s financial statements; (ii) Sunlight’s compliance with legal and regulatory requirements; (iii) the qualifications, independence and performance of the independent registered public accounting firm; and (iv) the design and implementation of Sunlight’s internal audit function and risk assessment and risk management. Among other things, the Audit Committee is responsible for reviewing and discussing with Sunlight’s management the adequacy and effectiveness of Sunlight’s disclosure controls and procedures. The Audit Committee will also discuss with Sunlight’s management and independent registered public accounting firm the annual audit plan and scope of audit activities, scope and timing of the annual audit of Sunlight’s financial statements, and the results of the audit, quarterly reviews of Sunlight’s financial statements and, as appropriate, will initiate inquiries into certain aspects of Sunlight’s financial affairs. The Audit Committee is responsible for establishing and overseeing procedures for the receipt, retention and treatment of any complaints regarding accounting, internal accounting controls or auditing matters, as well as for the confidential and anonymous submissions by Sunlight’s employees of concerns regarding questionable accounting or auditing matters. In addition, the Audit Committee has direct responsibility for the appointment, compensation, retention and oversight of the work of Sunlight’s independent registered public accounting firm. The Audit Committee has sole authority to approve the hiring and discharging of Sunlight’s independent registered public accounting firm, all audit engagement terms and fees, all permissible non-audit engagements with the independent auditor and pre-approvals of any of the foregoing. The Audit Committee reviews and oversees all related person transactions in accordance with Sunlight’s policies and procedures.
Compensation Committee
The members of the Compensation Committee are Jeanette Gorgas, Jennifer D. Nordquist and Kenneth Shea. Jeanette Gorgas is the chair of the Compensation Committee. Each member of the Compensation Committee is considered independent under the rules and regulations of the SEC and the listing standards of the NYSE applicable to compensation committee members. The Compensation Committee assists the Sunlight Board in discharging certain of Sunlight’s responsibilities with respect to compensating Sunlight’s executive officers, the administration and review of Sunlight’s equity compensation and other incentive plans for employees and other service providers, and certain other matters related to Sunlight’s compensation programs.
Nominating, Governance & ESG Committee
The members of Nominating, Governance & ESG Committee of the Sunlight Board are Toan Huynh, Jennifer D. Nordquist and Joshua Siegel. Toan Huynh is the chair of the Nominating, Governance & ESG Committee. Each member of the Nominating, Governance and ESG Committee is considered independent under the rules and regulations of the SEC and the listing standards of the NYSE applicable to nominating and governance committees. The Nominating, Governance & ESG
Sunlight Financial Holdings Inc. | 2023 Proxy Statement | 16


TABLE OF CONTENTS

Committee assists the Sunlight Board with its oversight of and identification of individuals qualified to become members of the Sunlight Board, consistent with criteria approved by the Sunlight Board and the Investor Rights Agreement (as defined below), and selects, or recommends that the Sunlight Board select, director nominees, develops, evaluates and recommends to the Sunlight Board any changes to the Company’s corporate governance guidelines, and oversees the evaluation of the Sunlight Board, committees and management.
Considerations in Evaluating Director Nominees
The Nominating, Governance & ESG Committee is responsible for determining the qualifications, qualities, skills and other expertise required to be a director, which shall include consideration of factors such as business experience and diversity in professional background, education, skill and other individual qualities and attributes that contribute to the total mix of viewpoints and experience represented on the Board, and to develop, and recommend to the Board for its approval, criteria to be considered in selecting nominees for director. Candidates for director nominees are reviewed in the context of the current composition, organization and governance of the Board and its committees.
The Nominating, Governance & ESG Committee evaluates the performance of individual members of the Board eligible for re-election and evaluates the independence of directors and director nominees against the independence requirements of the NYSE listing standards, the applicable rules and regulations promulgated by the SEC, and other applicable laws, and makes recommendations related to the determination thereof to the Board.
The Nominating, Governance & ESG Committee will consider director candidates recommended by stockholders. The policy adopted in the Nominating, Governance & ESG Committee’s charter provides that candidates recommended by stockholders are given appropriate consideration in accordance with applicable laws, rules and regulations and the provisions of our Second Amended and Restated Certificate of Incorporation (“Second A&R Charter”) and Bylaws.
Stockholder Recommendations for Nominations to the Board of Directors
The Nominating, Governance & ESG Committee will consider director candidates recommended by stockholders. The Nominating, Governance & ESG Committee does not alter the manner in which it evaluates candidates, including the minimum criteria set forth above, based on whether or not the candidate was recommended by a stockholder. However, the Nominating, Governance & ESG Committee has the power and authority to establish procedures for submission of director nominees to the Board, including stockholder nominees, as approved by the Board in the Company’s policies and procedures for director candidates and to review and evaluate any stockholder nominees for director submitted in accordance with our Bylaws and any candidates, for the Board recommended by stockholders in accordance with the Company’s policies and procedures for director candidates.
Subject to advance notice provisions contained in our Bylaws, a stockholder may propose the nomination of someone for election as a director at our annual meeting of stockholders by timely written notice to our Secretary. Stockholders who wish to recommend individuals for consideration by the Nominating, Governance & ESG Committee to become nominees for election to the Board may do so by delivering a written notice to Sunlight’s Corporate Secretary at 101 N. Tyron Street, Suite 1000, Charlotte, NC, 28246 not later than the close of business on the 90th day nor earlier than the close of business on the 120th day prior to the first anniversary of the preceding year’s annual meeting. As discussed in our Bylaws, the notice must set forth: (A) certain information as to each nominee such stockholder proposes to nominate at the meeting as set forth in our Bylaws, including such person’s written consent to being named in the proxy statement as a nominee and to serving as a director if elected, and (B) certain information as to, and certain representations and certifications from, the stockholder giving the notice and the beneficial owner, if any, on whose behalf the nomination is being made, as set forth in our Bylaws. In addition to satisfying the foregoing requirements under our Bylaws, to comply with the universal proxy rules, stockholders who intend to solicit proxies in support of director nominees other than the Company’s nominees must provide notice that sets forth the information required by Rule 14a-19 under the Exchange Act no later than June 12, 2024.
Communicating with the Board of Directors
The Nominating Governance & ESG Committee oversees the Company’s process for stockholder communications with the Board. As outlined in the Company’s Corporate Governance Guidelines, available on the Company’s website at https://ir.sunlightfinancial.com/leadership-governance/board-of-directors under “Governance Documents”, stockholders and any interested party may communicate with the Board, any committee of the Board, the Chairperson of the Board, the lead independent director, or any other director by sending written communications containing the information specified in the Corporate Governance Guidelines to the attention of the Company’s Corporate Secretary at Sunlight Financial Holdings Inc., 101 N. Tryon Street, Suite 1000, Charlotte, NC 28246. The Corporate Secretary will, in consultation with appropriate directors as reasonably necessary, review and forward proper communications to the Board, a Board committee, the Chairperson of the
Sunlight Financial Holdings Inc. | 2023 Proxy Statement | 17


TABLE OF CONTENTS

Board, the lead independent director or an individual director for further response. The Corporate Secretary generally will not forward communications that are primarily solicitations for products or services, matters of a personal nature that are not relevant for stockholders, matters that are of a type that render them improper or irrelevant to the functioning of the Board.
Code of Conduct
The Board has adopted a Code of Business Conduct & Ethics (the “Code of Conduct”), effective as of July 9, 2021. The Code of Conduct applies to all of Sunlight’s employees, officers and directors, as well as all of Sunlight’s independent contractors, consultants, vendors and service providers in connection with their work for Sunlight. The Code of Conduct clarifies (i) the types of permitted conduct under such code, including business activities and opportunities, and (ii) procedures for the reporting, oversight and investigation of alleged violations of the Code of Conduct. The full text of Sunlight’s Code of Conduct is posted on Sunlight’s website at https://ir.sunlightfinancial.com/leadership-governance/board-of-directors under “Governance Documents”. Sunlight intends to disclose future amendments to, or waivers of, Sunlight’s Code of Conduct, as and to the extent required by SEC regulations, at the same location on Sunlight’s website identified above or in public filings with the SEC from time to time.
Corporate Governance Guidelines
The Board of Directors documented the governance practices followed by the Company by adopting Corporate Governance Guidelines, as amended, to assure that the Board will have the necessary authority and practices in place to review and evaluate the Company’s business operations as needed and to make decisions that are independent of the Company’s management. The guidelines are also intended to align the interests of directors and management with those of the Company’s stockholders. The Corporate Governance Guidelines set forth the practices the Board intends to follow with respect to the role of the Board and management, principal responsibilities and duties of the Board, Board structure and composition, Board procedures, and Board communication with Company stockholders. The Corporate Governance Guidelines, as well as the charters for each committee of the Board, may be viewed on the Company’s website at https://ir.sunlightfinancial.com/leadership-governance/governance-documents under “Governance Documents.”
Board Observer Rights
In addition to the rights of Spartan Acquisition Sponsor II LLC (“Sponsor”), FTV V, L.P. (“FTV Blocker”) and its affiliates and Tiger Infrastructure Partners Sunlight Feeder LP (“Tiger IPSF”), Tiger Infrastructure Partners Co-Invest B LP (together with Tiger IPSF, “Tiger Blocker”) and their affiliates to nominate directors to serve on the Sunlight Board, each such party also has the right to appoint one non-voting board observer (each, a “Board Observer”) for so long as each such party, respectively, is entitled to designate a nominee to serve on the Board pursuant to the Investor Rights Agreement (as defined below). Each Board Observer has the right to attend all meetings of the Sunlight Board in a non-voting, observer capacity and, subject to certain exceptions, receive copies of all notices, minutes, consents and other materials that Sunlight provides to the Sunlight Board in the same manner as such materials are provided to the Sunlight Board. Sponsor, FTV Blocker and its affiliates and Tiger Blocker and their respective affiliates are not permitted to transfer the right to appoint a Board Observer. A Board Observer is not entitled to vote on any matter submitted to the Sunlight Board nor to offer any motions or resolutions to the Sunlight Board. Each Board Observer is subject to the same obligations as the members of the Sunlight Board with respect to confidentiality and conflicts of interest.
Transactions in the Company’s Securities
Our Board of Directors has adopted an Insider Trading Policy, which applies to all of our directors, officers and employees, as well as their respective immediate family members who reside with them or anyone else who lives in their household and family members who live elsewhere but whose transactions in Company securities are directed by them or subject to their influence and control. Under the Insider Trading Policy, such individuals are prohibited from (i) securities trading while in the possession of material nonpublic information and during certain specified periods during each fiscal year, (ii) transacting short sales in Sunlight securities, (iii) transacting in puts, calls or other derivative securities involving Sunlight securities and (iv) entering into hedging transactions involving Sunlight securities.
Sunlight Financial Holdings Inc. | 2023 Proxy Statement | 18


TABLE OF CONTENTS

Fiscal Year 2022 Director Compensation
Following the Business Combination, we implemented a compensation program for our non-employee directors. Pursuant to this program, non-employee directors receive the following annual cash compensation, paid quarterly in arrears:
Position
Annual Retainer ($)
Board service
50,000
plus (as applicable):
 
Board Chair
0
Lead Independent Director
25,000
Audit Committee Chair
20,000
Compensation Committee Chair
15,000
Nominating & Corporate Governance/ESG Committee Chair
10,000
Audit Committee Member
10,000
Compensation Committee Member
7,500
Nominating & Corporate Governance/ESG Committee Member
5,000
Non-employee directors will also receive reimbursement for their reasonable out-of-pocket expenses incurred in connection with attending board of directors and committee meetings.
2022 Director Compensation Table
The following table sets forth information concerning compensation of the non-employee directors of the Company for the year ended December 31, 2022. Mr. Potere, the CEO, receives no compensation for his service as a director, and consequently, is not included in this table.
Name
Fees Earned
or Paid in
Cash ($)
Stock Awards
($) (1)
Total ($)
Brad Bernstein
 50,000(2)
50,000
Jeanette Gorgas
65,000
125,000
190,000
Emil W. Henry, Jr.
 50,000(3)
50,000
Toan Huynh
70,000
125,000
195,000
Jennifer D. Nordquist
62,500
125,000
187,500
Philip Ryan
70,000
125,000
195,000
Kenneth Shea
82,500
125,000
207,500
Joshua Siegel
65,000
125,000
190,000
(1)
Grant date fair value, as computed in accordance with ASC Topic 718 and the Sunlight Financial Holdings Inc. 2021 Equity Incentive Plan, of stock awards granted during 2022 to such non-employee director based on the per share closing price of the Company’s common stock on the date of grant. These shares are all outstanding and vest one year after the grant date, on June 9, 2023. The awards to each of Jeanette Gorgas, Toan Huynh, Jennifer D. Nordquist, Philip Ryan, Kenneth Shea and Joshua Siegel equate to 28,604 shares of Class A Common Stock each.
(2)
Mr. Bernstein is a managing member of FTV Management V, L.L.C. (“FTV Management V”), which is the general partner of FTV V, L.P. (“FTV V” and together with FTV Management V, “FTV”), which together with FTV Management V, share voting power and the power to dispose of 25,271,539 shares of Class A Common Stock. Mr. Bernstein does not directly receive any equity or cash in connection with his service as a member of the Board, however, FTV Management Company, L.P. (“FTV Management”), an affiliate of FTV, receives cash equal to the sum of a) cash paid to other Board members for service on the Board ($50,000 for the fiscal year ended December 31, 2022) and b) cash in lieu of equity paid to other Board members for service on the Board, valued as of, and paid out subsequent to, the vesting date of the equity award for the covered year (e.g., with respect to service for the fiscal year ended December 31, 2022, FTV Management was be paid the cash value equal to 28,604 RSUs on the vesting date of June 9, 2023, totaling $10,869.52).
(3)
Mr. Henry is the CEO and Founder of Tiger. Mr. Henry indirectly received shares of Class A Common Stock pursuant to the Business Combination Agreement in his capacity at various funds and entities for which he serves as general partner and sole managing member and not in connection with his role as Chairman of the Board. Mr. Henry does not directly receive any equity or cash in connection with his service as a member of the Board, however, Tiger Infrastructure Partners LP receives cash equal to the sum of a) cash paid to other Board members for service on the Board ($50,000 for the fiscal year ended December 31, 2022) and b) cash in lieu of equity paid to other Board members for service on the Board, valued as of, and paid out subsequent to, the vesting date of the equity award for the covered year (e.g., with respect to service for the fiscal year ended December 31, 2022, Tiger Infrastructure Partners LP was paid the cash value equal to 28,604 RSUs on the vesting date of June 9, 2023, totaling $10,869.52).
Sunlight Financial Holdings Inc. | 2023 Proxy Statement | 19


TABLE OF CONTENTS

PROPOSAL 2—RATIFICATION OF SELECTION OF INDEPENDENT
REGISTERED PUBLIC ACCOUNTING FIRM
The Audit Committee of the Board has selected RSM US LLP (“RSM”) as the Company’s independent registered public accounting firm for the fiscal year ending December 31, 2023 and has further directed that management submit the selection of its independent registered public accounting firm for ratification by the stockholders at the Annual Meeting. RSM served as the auditor of Sunlight LLC prior to the Business Combination. Representatives of RSM are expected to be present during the Annual Meeting. They will have an opportunity to make a statement if they so desire and will be available to respond to appropriate questions.
Neither our Bylaws nor other governing documents or law require stockholder ratification of the selection of RSM as the Company’s independent registered public accounting firm. However, the Audit Committee of the Board is submitting the selection of RSM to the stockholders for ratification as a matter of good corporate practice. If the stockholders fail to ratify the selection, the Audit Committee of the Board will reconsider whether or not to retain that firm. Even if the selection is ratified, the Audit Committee of the Board in its discretion may direct the appointment of different independent auditors at any time during the year if they determine that such a change would be in the best interests of the Company and its stockholders.
The affirmative vote of the holders of a majority of the common stock present or represented by proxy at the Annual Meeting and entitled to vote thereat will be required to ratify the selection of RSM.
Change in Independent Registered Accounting Firm
As previously disclosed, on July 9, 2021 the Audit Committee dismissed WithumSmith+Brown, PC (“Withum”), Spartan’s independent registered public accounting firm prior to the appointment of RSM. Withum’s report on Spartan’s balance sheet as of December 31, 2020 and the related statements of operations, changes in stockholders’ equity and cash flows for the period from August 17, 2020 (inception) through December 31, 2020, did not contain any adverse opinion or disclaimer of opinion, nor were they qualified or modified as to uncertainty, audit scope or accounting principles. On July 9, 2021, the Board approved the engagement of RSM as the Company’s independent registered public accounting firm to audit the Company’s consolidated financial statements for the year ended December 31, 2021.
During the period from August 17, 2020 (inception) through December 31, 2021 and the subsequent period through July 9, 2021, there were no: (i) disagreements with Withum on any matter of accounting principles or practices, financial statement disclosures or auditing scope or procedures, which disagreements if not resolved to Withum’s satisfaction would have caused Withum to make reference to the subject matter of the disagreement in connection with its report or (ii) reportable events as defined in Item 304(a)(1)(v) of Regulation S-K.
During the period from August 17, 2020 (inception) through December 31, 2020 and through July 9, 2021, neither the Company nor anyone on the Company’s behalf consulted RSM with respect to either (i) the application of accounting principles to a specified transaction, either completed or proposed; or the type of audit opinion that might be rendered on the Company’s financial statements, and no written report or oral advice was provided to the Company by RSM that RSM concluded was an important factor considered by the Company in reaching a decision as to the accounting, auditing or financial reporting issue; or (ii) any matter that was either the subject of a disagreement, as that term is described in Item 304(a)(1)(iv) of Regulation S-K under the Exchange Act and the related instructions to Item 304 of Regulation S-K under the Exchange Act, or a reportable event, as that term is defined in Item 304(a)(1)(v) of Regulation S-K under the Exchange Act.
Sunlight Financial Holdings Inc. | 2023 Proxy Statement | 20


TABLE OF CONTENTS

Principal Accountant Fees and Services
The following table represents aggregate fees billed to the Company for the fiscal years ended December 31, 2021 and December 31, 2022, by Withum and RSM.
 
Fiscal Year Ended
(In thousands)
 
2021
2022
Audit Fees(1)
$1,202
$1,026
Audit-related Fees
$0
$0
Tax Fees(2)
$7
$0
All Other Fees
$0
$0
Total Fees
$1,209
$1,026
(1)
“Audit Fees” consist of fees for the audit of our annual consolidated financial statements and the review of the interim consolidated financial statements conducted by Withum and RSM.
(2)
“Tax Fees” consist of tax return preparation, international and domestic tax studies, consulting and planning conducted by Withum.
All fees described above were pre-approved by the Audit Committee.
Pre-Approval Policies and Procedures
Pursuant to its charter, the Audit Committee may pre-approve audit and permissible non-audit and tax services provided to the Company by the independent auditors, except where pre-approval is not required because such non-audit services are de minimis under the rules of the SEC, in which case subsequent approval may be obtained. The Audit Committee may delegate to one or more designated members of the Audit Committee the authority to pre-approve audit and permissible non-audit services, provided such pre-approval decision is presented to the full Audit Committee at its scheduled meetings.
THE BOARD OF DIRECTORS UNANIMOUSLY RECOMMENDS A VOTE “FOR” THE RATIFICATION OF
THE APPOINTMENT OF RSM US LLP
Sunlight Financial Holdings Inc. | 2023 Proxy Statement | 21


TABLE OF CONTENTS

REPORT OF THE AUDIT COMMITTEE OF THE BOARD OF DIRECTORS
The Audit Committee has reviewed and discussed the audited financial statements for the fiscal year ended December 31, 2022 with management of the Company. The Audit Committee has discussed with the Company’s independent registered public accounting firm, RSM US LLP (“RSM”), the matters required to be discussed by the applicable requirements of the Public Company Accounting Oversight Board (“PCAOB”) and the SEC. The Audit Committee has also received the written disclosures and the letter from RSM required by applicable requirements of the PCAOB regarding the independent accountants’ communications with the Audit Committee concerning independence, and has discussed with RSM the accounting firm’s independence.
Based on the foregoing, the Audit Committee recommended to the Board of Directors that the audited financial statements for the fiscal year ended December 31, 2022 be included in its Annual Report on Form 10-K for the fiscal year ended December 31, 2022.
Toan Huynh
Philip Ryan
Joshua Siegel
Sunlight Financial Holdings Inc. | 2023 Proxy Statement | 22


TABLE OF CONTENTS

PROPOSAL 3—REVERSE STOCK SPLIT
We are seeking stockholder approval to grant the Board discretionary authority to amend the Company’s Certificate of Incorporation to effect a reverse stock split (“Reverse Split”) of the Company’s Class A Common Stock and Class C Common Stock at a ratio of between one-for-10 and one-for-25, with such ratio to be determined at the sole discretion of the Board and with such reverse stock split to be effected at such time and date prior to December 31, 2023, if at all, as determined by the Board in its sole discretion (the “Proposed Amendment”). If approved, and deemed necessary by the Board, the Proposed Amendment will be effective upon the filing of a certificate of amendment to our Certificate of Incorporation, or at such other date and time as may be specified in such certificate, in substantially the form attached to this proxy statement as Annex A (the “Certificate of Amendment”), with the Secretary of State of Delaware, with the timing of such filing to occur, if at all, at the sole discretion of the Board.
If this Proposed Amendment is approved by our stockholders, the Board will have the authority, in its sole discretion, without further action by our stockholders, to effect the Reverse Split. Even if our stockholders approve the Proposed Amendment, we reserve the right not to effect any reverse stock split of the common stock if the Board does not deem it to be in the best interests of our stockholders. The Board believes that granting this discretion provides the Board with maximum flexibility to act in the best interests of our stockholders. Upon implementation of the Proposed Amendment, up to 25 shares of outstanding Class A Common Stock will be automatically converted into one share of Class A Common Stock and up to 25 shares of outstanding Class C Common Stock will be automatically converted into one share of Class C Common Stock. We will effect the reverse split of the Class A Common Stock and the Class C Common Stock at the same ratio, and each share of Class C Common Stock will continue to be convertible into one share of Class A Common Stock.
On March 31, 2023, the Company was notified by the NYSE that the Company was not in compliance with the continued listing standard contained in Rule 802.01C of the NYSE’s Listed Company Manual (“Rule 802.01C”) relating to the minimum average closing price of the Common Stock required over a consecutive 30 trading-day period. Under Rule 802.01C, if a public company’s listed common stock trades at less than $1.00 per share for a consecutive 30-day trading period, the company’s common stock will be removed from the exchange unless the per share price is deficiency is remediated within a six-month period.
We are seeking stockholder approval for the authority to effectuate the Reverse Split as a means of increasing the share price of our Class A common stock to or above $1.00 per share in order to attempt to avoid delisting by the NYSE. We expect that the Reverse Split, if implemented, would increase the closing price per share of our Class A Common Stock above the $1.00 per share minimum price for the required number of days, thereby satisfying this listing requirement. However, there can be no assurance that the Reverse Split will have that effect, initially or in the future, or that it will enable us to maintain the listing of our Class A common stock on the NYSE. We are not aware of any present efforts by anyone to accumulate our Class A common stock, and the proposed Reverse Stock Split is not intended to be an anti-takeover device.
If our Class A Common Stock were to be delisted from NYSE, the Board believes that the trading market for our Class A Common Stock could become significantly less liquid, which could reduce the trading price of our Class A Common Stock and increase the transaction costs of trading in shares of our Common Stock. Such delisting from NYSE and continued or further decline in our stock price could also impair our ability to raise additional necessary capital through equity or debt financing. If the Reverse Split is effected, it would cause a decrease in the total number of shares of our common stock outstanding and increase the market price of our common stock. The Board intends to effect the Reverse Split only if it believes that a decrease in the number of shares outstanding for the purpose of regaining compliance with Rule 802.01C is in the best interests of the Company and its stockholders, and the Company will not effect the Reverse Split for any other purpose. If our board of directors does not effect the Reverse Split, there will be no reduction in the number of issued and outstanding shares of our Common Stock.
One principal effect of the Reverse Split would be to decrease the number of outstanding shares of our common stock. Except for de minimis adjustments that may result from the treatment of fractional shares as described below, the Reverse Split will not have any dilutive effect on our stockholders because each stockholder would hold the same percentage of our common stock (in hand or on an as-converted basis) as such stockholder held immediately prior to the Reverse Split. The relative voting and other rights that accompany the shares would not otherwise be affected by the Reverse Split. Because the authorized number of shares of common stock and preferred stock will not be adjusted as a result of the Reverse Split, the number of authorized but unissued shares of our common stock will increase as a result of the Reverse Split.
Sunlight Financial Holdings Inc. | 2023 Proxy Statement | 23


TABLE OF CONTENTS

Purposes of the Proposed Amendments
Reverse stock splits generally cause the stock price per share to rise because there are fewer outstanding shares of common stock that represent the entire equity of the Company. Our board of directors believes that the Reverse Split is an effective means of increasing the per share market price of our common stock in order to achieve regain compliance with Rule 802.01C. An increased stock price may also encourage investor interest and improve the marketability and liquidity of our Common Stock. Because of the trading volatility often associated with low-priced stocks, many brokerage firms and institutional investors have internal policies and practices that either prohibit them from investing in low-priced stocks or tend to discourage individual brokers from recommending low-priced stocks to their customers. Some of those policies and practices may function to make the processing of trades in low-priced stocks economically unattractive to brokers. Our board of directors believes that the anticipated higher market price resulting from the Reverse Split may reduce, to some extent, the negative effects on the liquidity and marketability of our Common Stock inherent in some of the policies and practices of these institutional investors and brokerage firms described above. Additionally, because brokers’ commissions on low-priced stocks generally represent a higher percentage of the stock price than commissions on higher-priced stocks, the current average price per share of our Common Stock can result in individual stockholders paying transaction costs representing a higher percentage of their total share value than would be the case if the share price were substantially higher.
Our board of directors would effect the Reverse Split only upon our board of directors’ determination that the Reverse Split would be in our and our stockholders’ best interests following stockholder approval. If our board of directors were to effect the Reverse Split, our board of directors would determine the exact exchange ratio for the Reverse Split (which will be with an exchange ratio between one-for-10 and one-for-25), set the timing for the Reverse Split and file the Certificate of Amendment. No further action on the part of stockholders is required to either implement or abandon the Reverse Split. If our board of directors determines to implement the Reverse Split, we will publicly announce, prior to the effective date of the Reverse Split, additional details regarding the Reverse Split. If our board of directors does not implement the Reverse Split prior to December 31, 2023, the authority granted in this proposal to implement the Reverse Split will terminate. The board of directors reserves its right to elect not to proceed, and to abandon, the Reverse Split if it determines, in its sole discretion, that this proposal is no longer in our best interests.
We cannot assure you that the Reverse Split will have any of the desired effects described above. More specifically, we cannot assure you that after the Reverse Split the market price of our common stock will increase proportionately to reflect the ratio for the Reverse Split, that the market price of our common stock will not decrease to its pre-split level, or that our market capitalization will be equal to the market capitalization before the Reverse Split.
Potential Risks of the Proposed Amendment
If the Reverse Split is effected and the market price of our common stock declines, the percentage decline may be greater than would occur in the absence of a Reverse Split. The market price of our common stock will, however, also be based on performance and other factors, which are unrelated to the number of shares outstanding.
Although the principal purpose of the Reverse Split would be to help increase the per-share market price of our common stock, there can be no assurance that the Reverse Split will result in any particular price for our common stock. As a result, the trading liquidity of our common stock may not necessarily improve. Additionally, there can be no assurance that the market price per share of our common stock after the Reverse Split will increase in proportion to the reduction in the number of shares of our common stock outstanding before the Reverse Split. For example, based on the closing price of $0.29 per share of our common stock on June 30, 2023, if the Reverse Split were implemented at a ratio of one-for-25, there can be no assurance that the post-split market price of our common stock would be $7.25 or greater. Accordingly, the total market capitalization of our common stock after the Reverse Split may be lower than the total market capitalization before the Reverse Split. Moreover, in the future, the market price of our common stock following the Reverse Split may not exceed or remain higher than the market price prior to the Reverse Split.
Additionally, while we expect that the effect of the Reverse Split will be sufficient to maintain our listing on NYSE, it is possible that, even if the Reverse Split results in a price for our Common Stock that exceeds $1.00 per share of our Class A Common Stock, we may not be able to continue to satisfy NYSE’s additional requirements and standards for continued listing of our Common Stock on NYSE.
The number of shares held by each individual holder of common stock would be reduced if the Reverse Split is implemented. This may increase the number of stockholders who hold less than a “round lot,” or 100 shares. Odd lot shares may be more difficult to sell, and brokerage commissions and other costs of transactions in odd lots are generally somewhat higher than the costs of transactions in “round lots” of even multiples of 100 shares. Consequently, the Reverse Split could increase the transaction costs to existing holders of common stock in the event they wish to sell all or a portion of their position.
Sunlight Financial Holdings Inc. | 2023 Proxy Statement | 24


TABLE OF CONTENTS

Additionally, the liquidity of our Common Stock could be affected adversely by the reduced number of shares outstanding after the Reverse Split. Although our board of directors believes that a higher stock price may help generate investor interest, there can be no assurance that the Reverse Split will result in a per share price that will attract institutional investors or investment funds or that such share price will satisfy the investing guidelines of institutional investors or investment funds. As a result, the decreased liquidity that may result from having fewer shares outstanding may not be offset by increased investor interest in our Common Stock. The market price of our Common Stock will also be based on our performance and other factors that are unrelated to the number of shares outstanding.
The Board intends to effect the Reverse Split only if it believes that a decrease in the number of shares is likely to improve the trading price of our common stock and if the implementation of the Reverse Split is determined by the Board to be in the best interests of the Company and its stockholders. If neither of these conditions is present, then the Board will not proceed with the Reverse Split.
Effecting the Reverse Split
Upon receipt of stockholder approval for the Proposed Amendment, if our Board concludes that it is in the best interests of our Company and our stockholders to effect the Reverse Split, the Certificate of Amendment will be filed with the Secretary of State of Delaware before December 31, 2023. The actual timing of the filing of the Certificate of Amendment with the Secretary of State of Delaware to effect the Reverse Split, so long as it is prior to December 31, 2023, will be determined by our Board. In addition, if for any reason our Board deems it advisable to do so, the Reverse Split may be abandoned at any time prior to the filing of the Certificate of Amendment, without further action by our stockholders. The Proposed Amendment will be effective as of the date of filing with the Secretary of State of the State of Delaware or at such other date and time as is specified in the Certificate of Amendment (the “Split Effective Time”). If the Board does not implement the Reverse Split prior to December 31, 2023, the authority granted in this proposal to implement the Proposed Amendments will terminate.
Except as explained below with respect to fractional shares (see “— Principal Effects of the Reverse Split — Treatment of Fractional Shares”), at the Split Effective Time, all shares of our common stock issued and outstanding immediately prior to the Split Effective Time will be combined, automatically and without any action on the part of stockholders, into a lesser number of shares of our common stock calculated in accordance with the reverse stock split ratio determined by the Board. After the Split Effective Time, each class of our common stock will have a new committee on uniform securities identification procedures (“CUSIP”) number, which is a number used to identify the Company’s equity securities, and stock certificates with the older CUSIP number will need to be exchanged for stock certificates with the new CUSIP number by following the procedures described below.
Principal Effects of the Reverse Split
Common Stock
After the Split Effective Time, each stockholder will own fewer shares of our Common Stock. However, the Reverse Split will affect all of our stockholders uniformly and will not affect any stockholder’s percentage ownership interests in us, except to the extent that the Reverse Split results in any of our stockholders owning a fractional share as described below. Proportionate voting rights and other rights and preferences of the holders of our Common Stock will not be affected by the Reverse Split. Because both the Class A Common Stock and Class C Common Stock will be involved in the Reverse Split, the relative ownership of the Company between the two classes of stock will not be affected. Further, in order to preserve the ability of the holders of the membership units of Sunlight Financial LLC to exchange such units for shares of Class A Common Stock on a one-for-one basis, we expect to effect a reverse split of those units at the same ratio as the reverse split of our Common Stock. Finally, the number of stockholders of record will not be affected by the Reverse Split.
The Reverse Split is likely to result in some stockholders owning “odd-lots” of fewer than 100 shares of Common Stock. Brokerage commissions and other costs of transactions in odd lots are generally somewhat higher than the costs of transactions on “round-lots” of even multiples of 100 shares.
Although the Reverse Split will not have any dilutive effect on our stockholders, the Reverse Split will reduce the proportion of shares owned by our stockholders relative to the number of shares authorized for issuance, resulting in an effective increase in the relative number of authorized shares of Class A common stock and Class C common stock available for issuance in the discretion of the board of directors. The board of directors from time to time may deem it to be in our best interests to enter into transactions and other ventures that may include the issuance of shares of our Class A or Class C common stock. If the board of directors authorizes the issuance of additional shares of Class A or Class C common stock subsequent to the Reverse Split, the dilution to the ownership interest and/or voting power of our existing stockholders may be greater than would occur had the Reverse Split not been effected.
Sunlight Financial Holdings Inc. | 2023 Proxy Statement | 25


TABLE OF CONTENTS

Our Common Stock is currently registered under Section 12 of the Securities Exchange Act of 1934, as amended (the “Exchange Act”), and we are subject to the periodic reporting requirements of the Exchange Act. The Reverse Split would not affect the registration of our Common Stock under the Exchange Act in any material way, and following the Reverse Split, our Class A Common Stock will continue to be listed on the NYSE under the symbol “SUNL.”
Options and Warrants
In addition, all outstanding options and warrants to purchase shares of our Common Stock would be adjusted as a result of the Reverse Split, as required by the terms of those securities. In particular, the number of shares issuable upon the exercise of each instrument would be reduced, and the exercise price per share, if applicable, would be increased, in accordance with the terms of each instrument and based on the exchange ratio of the Reverse Split. The number of shares reserved for issuance under our existing stock option and equity incentive plans would be reduced proportionally based on the exchange ratio of the Reverse Split.
Treatment of Fractional Shares
We will not issue fractional shares of common stock in connection with the Reverse Split. In lieu of any fractional shares, we will issue to stockholders of record who would otherwise hold a fractional share because the number of shares of common stock they hold of record before the Reverse Split is not evenly divisible by the Reverse Split ratio that number of shares of common stock as rounded up to the nearest whole share. No stockholders will receive cash in lieu of fractional shares.
Effect on Non-Registered Stockholders
Non-registered stockholders holding our Common Stock through a bank, broker or other nominee should note that such banks, brokers or other nominees may have different procedures for processing the consolidation than those that would be put in place by us for registered stockholders. If you hold your shares with such a bank, broker or other nominee and if you have questions in this regard, you are encouraged to contact your nominee.
Book-Entry Shares
The combination of our outstanding shares of Common Stock as a result of the Reverse Split will occur automatically at the Split Effective Time without any action on the part of our stockholders. Our registered stockholders may hold some or all of their shares electronically in book-entry form. These stockholders will not have stock certificates evidencing their ownership of common stock. They are, however, provided with a statement reflecting the number of shares of our Common Stock registered in their accounts.
Stockholders who hold registered shares of our Common Stock in book-entry form do not need to take any action to receive post-Reverse Split shares of our Common Stock in registered book-entry form. These stockholders will have their pre-Reverse Split shares exchanged automatically and a statement will be mailed to them upon exchange indicating the number of shares owned by such stockholders following the Reverse Split.
Exchange of Stock Certificates
If our board of directors decides to effect the Reverse Split, we will file the Certificate of Amendment with the Secretary of State of the State of Delaware. The Reverse Split will become effective at the time specified in the Certificate of Amendment.
As soon as practicable after the Split Effective Time, transmittal forms will be mailed to each holder of record of certificates for shares of our Common Stock to be used in forwarding such certificates for surrender in exchange for, if so elected by the holder, new certificates representing the number of shares of our Common Stock held by such stockholder following the Reverse Split. Our transfer agent will act as exchange agent for purposes of exchanging stock certificates. The transmittal forms will be accompanied by instructions specifying other details of the exchange. Upon receipt of the transmittal form, each stockholder should surrender the certificates representing shares of our Common Stock prior to the Reverse Split in accordance with the applicable instructions. No new certificates will be issued to a stockholder until the stockholder has surrendered his or her outstanding stock certificate(s) together with the properly completed and executed transmittal form to the exchange agent.
Stockholders should not destroy any stock certificate(s) and should not submit any stock certificate(s) until requested to do so.
Sunlight Financial Holdings Inc. | 2023 Proxy Statement | 26


TABLE OF CONTENTS

Accounting Consequences
The par value per share of our Common Stock would remain unchanged at $0.0001 per share after the Reverse Split. As a result, at the Split Effective Time, the stated capital on our balance sheet attributable to our Common Stock would be reduced proportionally, based on the actual exchange ratio of the Reverse Split, from its present amount, and the additional paid-in capital account would be credited with the amount by which the stated capital is reduced. The loss per share and net book value per share would be increased because there would be fewer shares of our Common Stock outstanding.
Interests of Certain Persons in the Proposal
Certain of our officers and directors have an interest in Proposal 3 as a result of their ownership of shares of our Common Stock, as set forth above in the section titled “Security Ownership of Certain Beneficial Owners and Management.” However, we do not believe that our officers or directors have interests in Proposal 3 that are different from or greater than those of any other of our stockholders.
Federal Income Tax Consequences of the Reverse Split
The following summary describes certain material U.S. federal income tax consequences of the Reverse Split to holders of our common stock. This summary addresses the tax consequences only to a beneficial owner of our common stock that is a citizen or individual resident of the United States, a corporation organized in or under the laws of the United States or any state thereof or the District of Columbia or otherwise subject to U.S. federal income taxation on a net income basis in respect of our common stock or Preferred Stock (a “U.S. holder”). This summary does not address all of the tax consequences that may be relevant to any particular stockholder, including any state, local or foreign tax consequences or other tax considerations that arise from rules of general application that may be applicable to all taxpayers or to certain classes of taxpayers or any tax considerations that are generally assumed to be known by investors. This summary also does not address the tax consequences to persons who may be subject to special treatment under U.S. federal income tax law or persons that do not hold our common stock as “capital assets” (generally, property held for investment). This summary is based on the provisions of the Internal Revenue Code of 1986, as amended, the U.S. Treasury regulations promulgated thereunder, and related administrative rulings and judicial authority, all as in effect as of the date hereof. Subsequent developments in U.S. federal income tax law, including changes in law or differing interpretations, which may be applied retroactively, could have a material effect on the U.S. federal income tax consequences of the Reverse Split.
If a partnership (or other entity classified as a partnership for U.S. federal income tax purposes) is the beneficial owner of our common stock, the U.S. federal income tax treatment of a partner in the partnership will generally depend on the status of the partner and the activities of the partnership, for federal income tax purposes. Partnerships that hold our common stock, and partners in such partnerships, should consult their own tax advisors regarding the U.S. federal income tax consequences of the Reverse Split.
The Reverse Split should be treated as a “recapitalization” for U.S. federal income tax purposes. Therefore, no gain or loss should be recognized by a U.S. holder upon the Reverse Split. Accordingly, the aggregate tax basis in the common stock received pursuant to the Reverse Split should equal the aggregate tax basis in the common stock surrendered and the holding period for the common stock received should include the holding period for the common stock surrendered. The U.S. Treasury regulations provide detailed rules for allocating the tax basis and holding period of the shares of our common stock surrendered for the shares of our common stock received pursuant to the Reverse Split. U.S. holders of shares of our common stock acquired on different dates and at different prices should consult their tax advisors regarding the allocation of the tax basis and holding period of such dates.
Each stockholder should consult his, her or its own tax advisor regarding the U.S. federal, state, local and foreign income and other tax consequences of the Reverse Split.
Text of Proposed Certificate of Amendment; Effectiveness
The text of the proposed Certificate of Amendment is set forth in substantially final form in Annex A to this proxy statement. If or when effected by our Board, the Certificate of Amendment will become effective at the time specified in the Certificate of Amendment.
THE BOARD OF DIRECTORS UNANIMOUSLY RECOMMENDS A VOTE “FOR” THE APPROVAL OF THE AMENDMENT TO OUR CERTIFICATE OF INCORPORATION TO EFFECT A REVERSE STOCK SPLIT.
Sunlight Financial Holdings Inc. | 2023 Proxy Statement | 27


TABLE OF CONTENTS

EXECUTIVE COMPENSATION
As an “emerging growth company” as defined in the JOBS Act, we are not required to include a Compensation Discussion and Analysis and have opted to comply with the executive compensation disclosure rules applicable to “smaller reporting companies” as such term is defined in the rules promulgated under the Securities Act, which require compensation disclosure for its principal executive officer and its two other most highly compensated executive officers.
Introduction
This section provides an overview of the compensation of the principal executive officer and the next two most highly compensated executive officers for the Company's fiscal year ended December 31, 2022. These individuals, who we refer to as the named executive officers (the “NEOs”) in this proxy statement, are:
Matthew Potere, Chief Executive Officer;
Timothy Parsons, Chief Operating Officer; and
Scott Mulloy, Chief Information Officer.
The executive compensation program is designed to align compensation with the Company's business objectives and the creation of stockholder value, while enabling the Company to attract, retain, incentivize and reward individuals who contribute to its long-term success. Decisions on the executive compensation program are made by the Compensation Committee.
Fiscal Year 2022 Summary Compensation Table
The following table shows information regarding the compensation provided to the NEOs for services performed during fiscal years ended on December 31, 2022 and December 31, 2021.
Name and
Principal
Position
Year
Salary ($)
Bonus
($)(1)
Stock
Awards
($)(2)
All Other
Compensation
($)(3)
Total ($)
Matthew Potere,
Chief Executive
Officer
2022
2021
392,000
300,000
0(4)
0(4)
0
6,714,600
26,443
37,421
418,443
7,052,021
Timothy Parsons,
Chief Operating
Officer
2022
2021
312,000
290,000
0(4)
131,000
0
982,656
19,277
19,810
331,277
1,423,466
Scott Mulloy,
Chief Information
Officer
2022
2021
300,000
290,000
0(4)
120,000
0
1,015,522
20,059
19,184
320,059
1,444,706
(1)
Amounts in this column reflect the actual bonus amount determined to have been earned as of the fiscal years ended December 31, 2022 and December 31, 2021, respectively.
(2)
The value listed reflects, with respect to fiscal year 2021, the aggregate grant date fair value of $9.46 per share on the grant date of July 9, 2021, and the aggregate grant date fair value of the preceding ninety (90)-day average closing stock price of the Company’s Class A Common Stock on each of the grant dates of June 30, 2022 ($4.17), September 30, 2022 ($3.21) and December 31, 2022 ($1.38). Each of the values are determined in accordance with applicable FASB ASC Topic 718, of the grant of time-based restricted stock units (“RSUs”) that were granted to the NEOs. The discussion of the assumptions used in calculating the aggregate grant date fair value can be found in Footnote 6 of the Notes to Consolidated Financial Statements included in our Annual Report on Form 10-K.
(3)
All Other Compensation is comprised of tax reimbursements to cover additional self-employment taxes incurred by such NEO, as applicable, by reason of their membership interest in Sunlight Financial LLC to ensure such NEO’s tax burden is approximately equal to Company employees who do not hold such membership interests, payment of life insurance premiums, and in the case of Mr. Potere, payment of fees associated with his membership in certain industry associations. “All Other Compensation” provided to the NEOs during the year ended December 31, 2022 is as follows:
Mr. Potere: tax reimbursement ($18,619); payment of life insurance premiums ($324); and payment of fees associated with his membership in certain industry associations ($7,500).
Mr. Parsons: tax reimbursement ($18,964) and payment of life insurance premiums ($313).
Mr. Mulloy: tax reimbursement ($19,746) and payment of life insurance premiums ($313).
(4)
The NEOs, in consultation with the Compensation Committee, determined to forego a bonus for the fiscal years ended December 31, 2022 (for Messrs. Potere, Parsons and Mulloy) and December 31, 2021 (for Mr. Potere) due to the impact of market conditions on the Company’s earnings forecast.
Sunlight Financial Holdings Inc. | 2023 Proxy Statement | 28


TABLE OF CONTENTS

Narrative Disclosure to Summary Compensation Table
The compensation provided to the NEOs consists of base salary, annual incentive compensation in the form of a discretionary cash bonus, and equity compensation. In making executive compensation decisions, the Compensation Committee considers such factors as they deem appropriate in the exercise of their discretion and business judgment, including a subjective assessment of the NEO’s performance, the amount of vested and unvested equity held by the NEO, amounts paid to the Company’s other executive officers, and competitive market conditions.
Base Salary and Annual Bonus
The employment agreements with each NEO described below establish base salaries and target bonus opportunities. Base salary and target bonus are to be reviewed annually and adjusted when the Compensation Committee determines it appropriate pursuant to the terms of each NEO’s employment agreement. For calendar year 2022, Mr. Potere’s base salary was $392,000, Mr. Parsons’ base salary was $312,000 and Mr. Mulloy’s base salary was $300,000.
Each NEO has a target annual bonus opportunity based on both the Company’s achievement of certain financial performance objectives and the NEO’s achievement of certain individual performance objectives. Target annual bonus opportunity for each NEO is stated as a percentage of base salary and requires the NEO’s continued employment through December 31st of the calendar year during which the annual bonus is earned. The target annual bonus percentages are 60% for Mr. Potere and 50% for Mr. Parsons and 55% for Mr. Mulloy, however, such targets are intended as a guideline only, and the Compensation Committee has the full discretion to deviate upward or downward irrespective of actual performance. All annual bonus amounts are reflected in the “Bonus” column of the “Fiscal Year 2022 Summary Compensation Table” above. The NEOs, in consultation with the Compensation Committee, determined to forego a bonus for the fiscal years ended December 31, 2022 (for Messrs. Potere, Parsons and Mulloy) and December 31, 2021 (for Mr. Potere) due to the impact of market conditions on the Company’s earnings forecast.
Equity Compensation
Sunlight Financial Holdings Inc. 2021 Equity Incentive Plan
We sponsor the Sunlight Financial Holdings Inc. 2021 Equity Incentive Plan (the “Plan”), which is designed to provide additional incentives to employees, directors, and consultants. On July 9, 2021, and in connection with the Closing of the Business Combination, the NEOs received a one-time grant of time-based restricted stock units (“RSUs”) pursuant to the Plan, and the NEOs may receive future grants from time to time. Mr. Potere was granted 510,000 RSUs, Mr. Parsons was granted 63,600 RSUs and Mr. Mulloy was granted 65,700 RSUs. The RSUs will vest over a three (3)-year period with one-third (1/3rd) of the RSUs vesting on the second (2nd) anniversary of the grant date and two-thirds (2/3rds) of the RSUs vesting on the third (3rd) anniversary date of the grant date. The NEOs were also granted RSUs in connection with their service on June 30, 2022, September 30, 2022 and December 31, 2022. Mr. Potere was granted 151,079 RSUs on June 30, 2022, 196,261 RSUs on September 30, 2022 and 456,521 RSUs on December 31, 2022; Mr. Parsons was granted 30,455 RSUs on June 30, 2022, 39,563 RSUs on September 30, 2022 and 92,028 RSUs on December 31, 2022; and Mr. Mulloy was granted 31,494 RSUs on June 30, 2022, 40,913 RSUs on September 30, 2022 and 95,169 RSUs on December 31, 2022. These RSUs will vest over a four (4)-year period in equal installments annually, commencing on February 18, 2023. As soon as practicable following the date the RSUs become vested, the Company will convert the RSUs and deliver to each NEO the number of shares of Class A Common Stock subject to the RSUs.
Administration. The Plan is administered by the Board or by one or more committees to which the Board delegates such administration (as applicable, the “Plan Administrator”). Subject to the terms of the 2021 Plan, the 2021 Plan Administrator will have the complete discretion to determine the eligible individuals to whom awards may be granted under the 2021 Plan, the number of shares of Class A Common Stock or cash to be covered by each award granted under the 2021 Plan and the terms and conditions of awards granted under the 2021 Plan.
Eligibility. Employees (including officers), non-employee directors and consultants who render services to the Company or a parent, subsidiary or affiliate thereof are eligible to receive awards under the Plan. Incentive Stock Options (“ISOs”) may only be granted to employees of the Company or a parent or subsidiary thereof. As of December 31, 2022, approximately 231 persons (includes executives and non-employee directors) are eligible to participate in the Plan.
Sunlight Financial Holdings Inc. | 2023 Proxy Statement | 29


TABLE OF CONTENTS

International Participation. The Plan Administrator has the authority to implement sub-plans (or otherwise modify applicable grant terms) for purposes of satisfying applicable foreign laws, conforming to applicable market practices or for qualifying for favorable tax treatment under applicable foreign laws, and the terms and conditions applicable to awards granted under any such sub-plan or modified award may differ from the terms of the Plan. Any shares issued in satisfaction of awards granted under a sub-plan will come from the Plan share reserve.
Share Reserve. As of December 31, 2022, the number of shares of Class A Common Stock that may be issued under the Plan is equal to 28,147,983 shares. On the first day of each fiscal year, the number of shares that may be issued under the Plan will increase by a number of shares equal to the lesser of (a) 2.0% of the total issued and outstanding common shares on the first day of such fiscal year, and (b) such lesser amount (including zero) as determined by the Board. If an award under the Plan is forfeited, cancelled or expires, the shares subject to such award will again be available for issuance under the Plan. Only the number of shares actually issued upon exercise or settlement of awards under the Plan will reduce the number of shares available under the Plan. Shares applied to pay any applicable exercise prices or to satisfy tax withholding obligations related to any award will again become available for issuance under the Plan. To the extent an award is settled in cash, the cash settlement will not reduce the number of shares available for issuance under the Plan.
Types of Awards. The Plan provides for the ability to grant stock options, which may be ISOs or nonstatutory stock options, stock appreciation rights, restricted shares, RSUs, performance share units (“PSUs”), performance shares and other stock-based awards (collectively, “awards”).
Stock Options. A stock option is the right to purchase a certain number of shares of stock at a fixed exercise price which, pursuant to the Plan, may not be less than 100% of the fair market value of the Company’s Class A Common Stock on the date of grant for ISOs, and for nonstatutory stock options must comply with (or be exempt from) Section 409A of the Code. Subject to limited exceptions, an option may have a term of up to ten (10) years and will generally expire sooner if the optionee’s service terminates. Options will vest at the rate determined by the Plan Administrator. If a participant ceases to be an employee or other service provider for any reason, then any unvested options will be forfeited upon such termination and except as otherwise set forth in an award agreement, any vested options will remain outstanding and eligible to vest for three months following a participant’s termination other than his or her death or disability and twelve (12) months following a participant’s termination due to his or her death or disability. An optionee may pay the exercise price of an option in cash, check, or, with the administrator’s consent, with shares of Class A Common Stock the optionee already owns, with proceeds from an immediate sale of the option shares through a broker approved by us, through a net exercise procedure or a reduction in the amount of any liability owed by the Company to the participant or by any other method permitted by applicable law or any combination of the foregoing.
Stock Appreciation Rights. A stock appreciation right (“SAR”) provides the recipient with the right to the appreciation in a specified number of shares of stock. The Plan Administrator determines the exercise price of SARs granted under the Plan, which may not be less than 100% of the fair market value of Class A Common Stock on the date of grant. Subject to limited exceptions, a SAR may have a term of up to ten (10) years and will generally expire sooner if the recipient’s service terminates. SARs will vest at the rate determined by the Plan Administrator. Upon exercise of a SAR, the recipient will receive an amount in cash, stock, or a combination of stock and cash determined by the Plan Administrator, equal to the excess of the fair market value of the shares being exercised over their exercise price.
Restricted Stock Awards and Performance Share Awards. Shares of restricted stock and performance shares may be issued under the Plan for such consideration as the Plan Administrator may determine, including cash, services rendered or to be rendered to the Company, promissory notes or such other forms of consideration permitted under applicable law. Restricted shares and performance shares may be subject to vesting, as determined by the Plan Administrator. The Plan Administrator may set performance goals which, depending on the extent to which they are met, will determine the number or value of the performance shares that will be paid out to the participant. Recipients of restricted shares and performance shares generally have all of the rights of a stockholder with respect to those shares, including voting rights, however any dividends and other distributions on restricted shares will generally be subject to the same restrictions and conditions as the underlying shares.
Restricted Stock Units and Performance Share Units. RSUs and PSUs are rights to receive shares, at no cost to the recipient, upon satisfaction of certain conditions, including vesting conditions, established by the Plan Administrator. The Plan Administrator may set performance goals which, depending on the extent to which they are met, will determine the number or value of the PSUs that will be paid out to the participant. RSUs and PSUs vest at the rate determined by the Plan Administrator and any unvested RSUs or PSUs will generally be forfeited upon termination of the recipient’s service. Settlement of RSUs and PSUs may be made in the form of cash, Class A Common Stock or a combination of cash and Class A Common Stock, as determined by the Plan Administrator. Recipients of RSUs and PSUs generally will have no voting or dividend rights prior to
Sunlight Financial Holdings Inc. | 2023 Proxy Statement | 30


TABLE OF CONTENTS

the time the vesting conditions are satisfied, and the award is settled. At the Plan Administrator’s discretion and as set forth in the applicable RSU agreement, RSUs and PSUs may provide for the right to dividend equivalents which will generally be subject to the same conditions and restrictions as the RSUs or PSUs to which they pertain.
Other Awards. The Plan Administrator may grant other awards under the Plan either alone, in addition to or in tandem with, other awards under the Plan or cash awards granted outside of the Plan. The Plan Administrator will determine the terms and conditions of any such awards.
Dissolution or Liquidation. In the event of the proposed dissolution or liquidation of the Company, the Plan Administrator may provide for the participant to have the right to exercise his or her award, to the extent applicable, until ten days prior to the transaction (including with respect to awards or portions thereof that are unvested and unexercisable as of such date). The Plan Administrator may also provide for the accelerated vesting of all unvested awards as of such transaction and may provide that any forfeiture or repurchase provisions applicable to any outstanding award may lapse.
Change in Control. The Plan Administrator may provide, in an individual award agreement or in any other written agreement with a participant, that the award will be subject to acceleration of vesting and exercisability in the event of a change in control. The Plan Administrator may also provide that an acquirer in a change in control may assume or continue any awards outstanding under the Plan or may provide for the cash out of any outstanding awards under the Plan upon a change in control. Pursuant to the Plan, if awards are assumed by an acquirer in a change in control, and a participant’s employment or service relationship is terminated without cause within twenty-four (24) months following the date of such change in control, then all awards held by such participant shall immediately become fully vested.
Amendment and Termination. The Board may amend or terminate the Plan at any time. Any such amendment or termination will not affect outstanding awards unless otherwise mutually agreed upon by the participant and the Plan Administrator. If not sooner terminated, the Plan will terminate automatically on the tenth (10th) anniversary of its adoption by the Board. Shareholder approval is not required for any amendment of the Plan, unless required by applicable law or exchange listing standards.
Sunlight Financial Holdings Inc. Employee Stock Purchase Plan
We also sponsor the Sunlight Financial Holdings Inc. Employee Stock Purchase Plan (the “ESPP”) in which the NEOs are eligible to participate. The ESPP is administered by the Compensation Committee (the “ESPP Administrator”) unless the Board determines to assume authority for administering the ESPP. All employees (including officers and employee directors) who are employed by the Company or a designated subsidiary or, solely in the case of an offering period that is not intended to qualify under Section 423 of the Code, a designated affiliate (whether currently existing or subsequently established) are eligible to participate in the ESPP. The ESPP permits eligible employees to purchase Class A Common Stock through payroll deductions, which may be between 1% and 10% of the employee’s eligible compensation (or such lower limit as may be determined by the ESPP Administrator for an offering period). Employees will be able to withdraw their accumulated payroll deductions prior to the end of the offering period in accordance with the terms of the offering period. Participation in the ESPP will end automatically upon termination of employment. In the event of withdrawal or termination of participation in the ESPP, a participant’s accumulated payroll contributions will be refunded without interest.
Benefits and Perquisites
The Company currently provides health and welfare benefits to all employees, including the NEOs, including medical, dental and vision insurance. In addition, the Company maintains a 401(k) retirement plan for its employees. The 401(k) plan permits the Company to make discretionary employer contributions. In 2022, we made matching contributions under the 401(k) plan equal to 50% of each employee’s deferral contributions up to 6% of eligible compensation. In addition, we reimburse the NEOs for certain expenses associated with their K-1 filing status (for so long as they remain K-1 filers) and for their business expenses, in accordance with the Company's expense reimbursement policies and procedures.
Sunlight Financial Holdings Inc. | 2023 Proxy Statement | 31


TABLE OF CONTENTS

Outstanding Equity Awards at Fiscal Year 2022 Year-End
The following table provides information regarding outstanding equity awards held by the NEOs as of December 31, 2022. The vesting schedule applicable to each outstanding award is described in the footnotes to the table below.
 
 
Stock Awards
Name
Grant Date
Number of Shares or
Units of Stock that Have
Not Vested (#)
Market Value of Shares or
Units of Stock That Have
Not Vested (1)($)
Matthew Potere
7/9/2021(2)(3)
86,835
112,017
 
7/9/2021(4)
510,000
657,900
 
6/30/2022(5)
151,079
194,892
 
9/30/2022(5)
196,261
253,177
 
12/31/2022(5)
456,521
588,912
Timothy Parsons
7/9/2021(2)(6)
38,671
49,886
 
7/9/2021(7)
63,600
82,044
 
6/30/2022(8)
30,455
39,287
 
9/30/2022(8)
39,563
51,036
 
12/31/2022(8)
92,028
118,716
Scott Mulloy
7/9/2021(2)(9)
38,671
49,886
 
7/9/2021(10)
65,700
84,753
 
6/30/2022(11)
31,494
40,627
 
9/30/2022(11)
40,913
52,778
 
12/31/2022(11)
95,169
122,768
(1)
Based on the closing price of a share of the Company's Class A common stock on December 31, 2022 ($1.29).
(2)
Pursuant to the Business Combination, in exchange for previously-granted equity interests held in Sunlight LLC, each NEO received a combination of Class EX Units issued by Sunlight LLC and Class C Common stock issued by the Company. The combination is exchangeable for one share of the Company's Class A Common Stock.
(3)
In connection with the Business Combination, Mr. Potere was granted a total of 3,510,541 shares of Class A Common Stock. All of the shares reported are shares of Class A Common Stock subject to issuance upon redemption of an equivalent amount of a “private unit” consisting of one unit of Sunlight LLC’s Class EX Units together with one share of Class C Common Stock. 3,100,322 shares were vested at the Closing, and the remainder vests over a twenty-two (22)-month period on a pro-rated monthly basis.
(4)
Mr. Potere was granted 510,000 RSUs on July 9, 2021. The RSUs will vest over a three (3)-year period with one-third (1/3rd) of the RSUs vesting on the second (2nd) anniversary of the grant date and two-thirds (2/3rds) of the RSUs vesting on the third (3rd) anniversary date of the grant date.
(5)
Mr. Potere was granted 151,079 RSUs on June 30, 2022, 196,261 RSUs on September 30, 2022 and 456,521 RSUs on December 31, 2022. These RSUs will vest over a four (4)-year period in equal installments annually, commencing on February 18, 2023.
(6)
In connection with the Business Combination, Mr. Parsons was granted a total of 1,386,399 shares of Class A Common Stock. All of the shares reported are shares of Class A Common Stock subject to issuance upon redemption of an equivalent amount of a “private unit” consisting of one unit of Sunlight LLC’s Class EX Units together with one share of Class C Common Stock. 1,203,711 shares were vested at the Closing, and the remainder vests over a twenty-two (22)-month period on a pro-rated monthly basis.
(7)
Mr. Parsons was granted 63,600 RSUs on July 9, 2021. The RSUs will vest over a three (3)-year period with one-third (1/3rd) of the RSUs vesting on the second (2nd) anniversary of the grant date and two-thirds (2/3rds) of the RSUs vesting on the third (3rd) anniversary date of the grant date.
(8)
Mr. Parsons was granted 30,455 RSUs on June 30, 2022, 39,563 RSUs on September 30, 2022 and 92,028 RSUs on December 31, 2022. These RSUs will vest over a four (4)-year period in equal installments annually, commencing on February 18, 2023.
(9)
In connection with the Business Combination, Mr. Mulloy was granted a total of 1,231,024 shares of Class A Common Stock. All of the shares reported are shares of Class A Common Stock subject to issuance upon redemption of an equivalent amount of a “private unit” consisting of one unit of Sunlight LLC’s Class EX Units together with one share of Class C Common Stock. 1,048,335 shares were vested at the Closing, and the remainder vests over a twenty-two (22)-month period on a pro-rated monthly basis.
(10)
Mr. Mulloy was granted 65,700 RSUs on July 9, 2021. The RSUs will vest over a three (3)-year period with one-third (1/3rd) of the RSUs vesting on the second (2nd) anniversary of the grant date and two-thirds (2/3rds) of the RSUs vesting on the third (3rd) anniversary date of the grant date.
(11)
Mr. Mulloy was granted 31,494 RSUs on June 30, 2022, 40,913 RSUs on September 30, 2022 and 95,169 RSUs on December 31, 2022. These RSUs will vest over a four (4)-year period in equal installments annually, commencing on February 18, 2023.
Sunlight Financial Holdings Inc. | 2023 Proxy Statement | 32


TABLE OF CONTENTS

Executive Compensation Arrangements
Sunlight Employment Agreements
Each NEO enters into an employment agreement by and between the NEO, Sunlight and Sunlight Financial LLC (the “Sunlight Employment Agreements”). The Sunlight Employment Agreements do not have a fixed term and may be terminated at any time in accordance with their terms. Upon any termination of employment, Messrs. Potere, Parsons and Mulloy will be subject to a non-competition covenant that covers a period of eighteen (18) months (for Mr. Potere) or twelve (12) months (for each of Messrs. Parsons and Mulloy) after the date of termination and a non-solicitation covenant that covers a period of eighteen (18) months (for Mr. Potere) or twelve (12) months (for each of Messrs. Parsons and Mulloy) after the date of termination.
Severance Benefits — Termination of Employment for Cause and without Good Reason Under Sunlight Employment Agreements
Pursuant to the Sunlight Employment Agreements, upon termination of the NEOs employment for cause, or by the NEO without good reason, such NEO will receive: (i) any accrued and unpaid base salary through the date of termination; (ii) payment for any previously unreimbursed business expenses; (iii) vested amounts under the Sunlight Employment Agreement and any other agreement with the Company, (iv) except in the case of a termination for cause, an annual bonus for any completed fiscal year to the extent then unpaid, and (v) any previously unreimbursed incremental self-employment taxes due under the Sunlight Employment Agreements associated with their K-1 filing status (collectively, the “Accrued Rights”). The terms “cause” and “good reason” are defined in the Agreements.
Severance Benefits — Termination of Employment without Cause or by the NEO for Good Reason Not in Connection with a Change in Control Under Sunlight Employment Agreements
Under the Sunlight Employment Agreements, each NEO is entitled to the following severance payments in the event of termination of his employment without cause or upon his resignation for good reason outside of the protection period (collectively, the “Involuntary Termination Severance Benefits”). The terms “cause,” “good reason,” “change in control,” and “protection period” are defined in the respective Agreements:
Accrued Rights;
Multiple of base salary (2 times for Mr. Potere and 1.5 times for each of Messrs. Parsons and Mulloy);
Multiple of the target annual bonus (2 times for Mr. Potere and 1.5 times for each of Messrs. Parsons and Mulloy);
Full and immediate vesting of all outstanding shares of Class A Common Stock and a twelve (12)-month post-termination exercise period with respect to vested stock options and stock appreciation rights (or, if shorter, the remainder of the full term); and
An amount equal to the monthly premium payment to continue the NEO’s (and the NEO’s family members who were participants in the group health, dental and vision plans immediately prior to the NEO’s termination of employment) existing group health, dental coverage and vision for eighteen (18) months, calculated under the applicable provisions of the Consolidated Omnibus Budget Reconciliation Act of 1985 without regard to whether the NEO actually elects such continuation of coverage (the “COBRA Benefits”).
The cash-based portion of the Involuntary Termination Severance Benefits (other than the Accrued Rights) will be paid in equal monthly installments over a twenty-four (24)-month period (for Mr. Potere) or an eighteen (18)-month period (for each of Messrs. Parsons and Mulloy). As a condition to the receipt of the Involuntary Termination Severance Benefits, each of the NEOs must timely execute and not revoke a release of claims.
Severance Benefits — Termination of Employment without Cause or by the NEO for Good Reason in Connection with a Change in Control Under Sunlight Employment Agreements
Under the Sunlight Employment Agreements, each NEO is entitled to the following severance payments in the event of his termination of employment without cause or upon his resignation for good reason during the protection period in connection with a change in control (collectively, the “Change in Control Severance Benefits”). The terms “cause,” “good reason,” “change in control,” and “protection period” are defined in the respective Agreements:
Accrued Rights;
Multiple of base salary (2.5 times for Mr. Potere and 2.0 times for each of Messrs. Parsons and Mulloy);
Sunlight Financial Holdings Inc. | 2023 Proxy Statement | 33


TABLE OF CONTENTS

Multiple of annual bonus paid with respect to the calendar year immediately preceding the calendar year within which the NEO was terminated, or if such bonus has not yet been paid as of such termination, the target annual bonus for such preceding calendar year (2.5 times for Mr. Potere and 2.0 times for each of Messrs. Parsons and Mulloy);
Full and immediate vesting of all outstanding equity awards, equity-based awards and other long-term incentives (with performance-based awards to vest at the greater of target or actual performance) and a thirty (30)-month post-termination exercise period with respect to vested stock options and stock appreciation rights (or, if shorter, the remainder of the full term); and
COBRA Benefits.
The cash-based portion of the Change in Control Severance Benefits (other than the Accrued Rights) will be paid in the form of a lump sum payment for each of Messrs. Potere, Parsons and Mulloy. As a condition to the receipt of the Change in Control Severance Benefits, each of the NEOs must timely execute and not revoke a release of claims.
Severance Benefits — Termination in Connection with the NEO’s Death or Disability
Under the Sunlight Employment Agreements, the NEOs are entitled to the following severance payments upon a termination of employment due to death or Disability (as defined in the Agreements):
Accrued Rights;
Pro-rated target annual bonus, payable in a lump sum;
Full and immediate vesting of all outstanding of all outstanding shares of Class A Common Stock and a thirty (30)-month post-termination exercise period with respect to vested stock options and stock appreciation rights (or, if shorter, the remainder of the full term); and
COBRA Benefits.
Securities Authorized for Issuance under Equity Compensation Plans
The following table provides information as of December 31, 2022 relating to equity compensation plans of the Company pursuant to which grants of restricted stock, restricted stock units, options or other rights to acquire shares may be made from time to time.
Plan category
(a)
Number of securities
to be issued upon
exercise of
outstanding options,
warrants and rights
(b)
Weighted-average
exercise price of
outstanding options,
warrants and rights
(c)
Number of securities remaining
available for future issuance under
equity compensation plans
(excluding securities reflected in
column (a))
Equity compensation plans approved by securities holders
5,874,818(1)
25,074,618(2)
Equity compensation plans not approved by security holders
627,780(3)
$7.715
Total
6,502,598
25,074,618
(1)
Consists of outstanding unvested RSUs issued under the Plan.
(2)
Includes the securities available for issuance under the Plan and the ESPP. As of December 31, 2022, 21,724,793 shares of Class A Common Stock remain available for issuance under the Plan. On the first day of each fiscal year, the number of shares that may be issued under the Plan will increase by a number of shares equal to the lesser of (a) 2.0% of the total issued and outstanding common shares on the first day of such fiscal year, and (b) such lesser amount (including zero) as determined by the Board. As of December 31, 2022, 3,349,825 shares of Class A Common Stock are available for issuance under the ESPP.
(3)
Consists of shares of Class A Common Stock issuable upon the exercise of the warrants issued to Tech Capital LLC, which are exercisable in whole or in part, at any time and from time to time on or before the expiration date, February 27, 2031.
Sunlight Financial Holdings Inc. | 2023 Proxy Statement | 34


TABLE OF CONTENTS

BENEFICIAL OWNERSHIP OF SECURITIES
The following table sets forth information known to Sunlight regarding the beneficial ownership of the Company’s Common Stock by:
each person who is known by Sunlight to be the beneficial owner of more than five percent (5%) of the outstanding shares of Common Stock;
each named executive officer and director of Sunlight; and
all current executive officers and directors of Sunlight, as a group.
Beneficial ownership for the purposes of the following table is determined in accordance with the rules and regulations of the SEC. A person is a “beneficial owner” of a security if that person has or shares “voting power,” which includes the power to vote or to direct the voting of the security, or “investment power”, which includes the power to dispose of or to direct the disposition of the security or the right to acquire such powers within 60 days.
The beneficial ownership percentages set forth in the table below are based on a total of 171,223,009 shares of Common Stock outstanding or issuable as of June 21, 2023 under currently exercisable outstanding warrants, consisting of 85,564,927 shares of Class A Common Stock (not including 24,509 treasury shares) and 44,973,227 shares of Class C Common Stock issued and outstanding as of June 21, 2023, and 40,684,855 shares of Class A Common Stock issuable as of June 21, 2023 under currently exercisable outstanding warrants.
Unless otherwise noted in the footnotes to the following table, and subject to applicable community property laws, the persons and entities named in the table have sole voting and investment power with respect to beneficially owned Common Stock.
Name and Address of Beneficial Owner(1)
Amount and Nature of Beneficial Ownership
Percent of Common Stock (%)
Five Percent Stockholders
 
 
CRB Group, Inc.(2)
12,907,080
7.5
Spartan Acquisition Sponsor II LLC(3)
17,237,241
10.1
FTV V, L.P. and affiliated entities(4)
25,271,539
14.8
Tiger Infrastructure Partners LP and affiliated entities(5)
29,616,922
17.3
Named Executive Officers and
Directors
 
 
Matthew Potere(6)
3,820,265
2.2
Timothy Parsons
1,466,909
*
Scott Mulloy
1,272,917
 
Brad Bernstein
0
*
Jeanette Gorgas
41,104
*
Emil W. Henry, Jr.(4)
29,616,922
17.3
Toan Huynh
41,104
*
Jennifer D. Nordquist
41,104
*
Philip Ryan
41,104
*
Kenneth Shea
41,104
*
Joshua Siegel
41,104
*
All Directors and Executive Officers as a Group (13 Individuals)
36,423,637
19.5
*
Indicates less than 1%.
(1)
This table is based on a total of 171,223,009 shares of Common Stock outstanding or issuable as of June 21, 2023 under currently exercisable outstanding warrants, consisting of 85,564,927 shares of Class A Common Stock (not including 24,509 treasury shares held by Sunlight in respect of net withholding for tax payments) and 44,973,227 shares of Class C Common Stock, and 40,684,855 shares of Class A Common Stock issuable under currently exercisable outstanding warrants. Unless otherwise noted, the business address of each of the directors and executive officers in this table is 101 N. Tryon Street, Suite 1000, Charlotte, NC 28246.
Sunlight Financial Holdings Inc. | 2023 Proxy Statement | 35


TABLE OF CONTENTS

(2)
Information based on the warrant issued by Sunlight Financial Holdings Inc. on April 25, 2023, to CRB Group, Inc., as disclosed in the Company’s Current Report on Form 8-K, filed with the SEC on May 1, 2023.The address of CRB Group, Inc. is 2115 Linwood Ave, Fort Lee, New Jersey 07024-5020.
(3)
Information based on the Form 13D filed jointly with the SEC on February 10, 2022 by Spartan Acquisition Sponsor II LLC (the “Sponsor”); AP Spartan Energy Holdings II, L.P. (“AP Spartan”); Apollo ANRP Advisors III, L.P. (“ANRP Advisors”); Apollo ANRP Capital Management III, LLC (“ANRP Capital Management”); APH Holdings, L.P. (“APH Holdings”); and Apollo Principal Holdings III GP, Ltd. (“Principal Holdings III GP” and together with each of the foregoing parties, the “Spartan Reporting Persons”).
According to the Schedule 13D, 17,237,241 Class A Shares are held of record by the Sponsor, and the Spartan Reporting Persons have shared power to vote and dispose of the 17,237,241 Class A Shares. ANRP Advisors is the general partner of AP Spartan. ANRP Capital Management is the general partner of ANRP Advisors. APH Holdings is the sole member of ANRP Capital Management. Principal Holdings III GP is the general partner of APH Holdings. Scott Kleinman, James Zelter, Joshua Harris and Marc Rowan are the directors of Principal Holdings III GP, and as such may be deemed to have voting and dispositive control of the shares of Class A Common Stock held of record by the Sponsor. The Sponsor disclaims beneficial ownership other than the shares of Class A Common Stock it holds by record, and AP Spartan, ANRP Advisors, ANRP Capital Management, APH Holdings, Principal Holdings III GP and each of Messrs. Kleinman, Zelter, Harris and Rowan, disclaims beneficial ownership of the Class A Common Stock, in each case except to the extent of any pecuniary interest therein. The addresses of each of the Sponsor, AP Spartan and Messrs. Kleinman, Zelter, Harris and Rowan is 9 West 57th Street, 43rd Floor, New York, New York 10019. The address of each of ANRP Advisors and Principal Holdings III GP is c/o Walkers Corporate Limited; Cayman Corporate Centre; 27 Hospital Road; George Town; Grand Cayman KY1-9008. The address of each of ANRP Capital Management and APH Holdings is One Manhattanville Road, Suite 201, Purchase, New York, 10577. Each of ANRP Advisors and Principal Holdings III GP is organized in the Cayman Island. Each of ANRP Capital Management, APH Holdings, Sponsor and AP Spartan is organized in Delaware.
(4)
Information based on the Schedule 13D filed jointly with the SEC on July 19, 2021 by FTV V, L.P., a Delaware limited partnership (“FTV LP”); and FTV Management V, L.L.C., a Delaware limited liability company (“FTV LLC” and together with FTV LP, the “FTV Reporting Persons”), in its capacity as general partner of FTV LP.
According to the Schedule 13D, 25,271,539 Class A shares are directly held by FTV LP, and the FTV Reporting Persons have shared power to vote and dispose of the 25,271,539 Class A shares. Any action by FTV LLC with respect to the reported securities, including voting and dispositive decisions, requires at least a majority vote of the managing members. Because voting and dispositive decisions are made by at least a majority of the managing members, none of the managers is deemed to be a beneficial owner of the reported securities. The address of each of FTV LP and FTV LLC is C/O FTV Capital, 555 California Street, Suite 2850, San Francisco, CA 94104.
(5)
Information based on the Schedule 13D filed jointly with the SEC on July 19, 2021 by Tiger Infrastructure Partners LP, a Delaware limited partnership (the “US Advisor”); Tiger Infrastructure Partners Sunlight Feeder LP, a Delaware limited partnership (the “Sunlight Feeder”); Tiger Infrastructure Partners AIV I LP, a Delaware limited Partnership (“Fund I AIV”); Tiger Infrastructure Partners Co-Invest B LP, a Delaware limited Partnership (“Co-Invest B”); and Emil W. Henry, Jr. (“Mr. Henry”). According to the 13D, the US Advisor, Sunlight Feeder, Fund I AIV, Co-Invest B and Mr. Henry have shared power to vote and dispose of the 29,616,922 shares of Common Stock. The US Advisor is the investment manager of Fund I AIV and Co-Invest B. Sunlight Feeder is a wholly-owned subsidiary of Fund I AIV. The US Advisor is managed by its general partner Emil Henry III LLC (“EH III”); EH III is managed by its sole managing member, Henry Tiger Holdings LLC (“HTH”); HTH is managed by its sole managing member, Emil Henry LLC (“EH LLC”). Emil W. Henry, Jr. is the sole managing member of EH LLC and therefore may be deemed to share voting and dispositive power over and have beneficial ownership of the securities held by Co-Invest B and Sunlight Feeder. Mr. Henry disclaims beneficial ownership of such securities in excess of his pecuniary interest in the securities.
The amount reported in the table above includes 8,437,552 Class A shares held directly by Co-Invest B, and 21,179,370 shares of Class A Common Stock that Sunlight Feeder has the right to acquire upon exercise of its Class EX Units (which are each paired with one share of Class C Common Stock) which are exchangeable, subject to certain conditions, for either one share of Class A Common Stock, or at Sunlight’s election, an amount of cash equivalent to the market value of one share of Class A Common Stock. The 21,179,370 paired Class EX Units/Class C Common Stock are pledged as collateral in the ordinary course for a credit facility of a fund vehicle associated with the US Advisor. The principal business address of Sunlight Feeder and the related entities is 717 Fifth Ave, Floor 12A, New York, NY 10022.
(6)
Includes 526,581 shares held by the Potere 2020 GRAT U/A/D November 25, 2020.
DELINQUENT SECTION 16(A) REPORTS
Section 16(a) of the Securities Exchange Act of 1934 requires the Company’s directors and executive officers to file reports with the SEC relating to their ownership of, and transactions in, the Company’s Class A Common Stock. Based upon our review of reports filed with the SEC and written representations that no other reports were required, we believe that all of our directors, executive officers and beneficial owners of more than ten percent of our equity securities complied with the reporting requirements of Section 16(a) of the Exchange Act during the most recently completed fiscal year, with the exception of one late filing for Matthew Potere relating to one transaction in 2022, due to inadvertent administrative error.
Sunlight Financial Holdings Inc. | 2023 Proxy Statement | 36


TABLE OF CONTENTS

CERTAIN RELATIONSHIPS AND RELATED PARTY TRANSACTIONS
Related Party Transactions Entered Into By Spartan
Founder Shares
In August 2020, Spartan issued an aggregate of 11,500,000 shares of Spartan’s Class B common stock, par value $0.0001 per share (“Class B Common Stock”) to the Sponsor (the “Founder Shares”) in exchange for the payment of $25,000 of expenses on Spartan’s behalf, or approximately $0.002 per share. In October 2020, the Sponsor transferred 50,000 Founder Shares to each of Spartan’s two independent director nominees, Jan C. Wilson and John M. Stice, at their original purchase price. In November 2020, the Sponsor returned to Spartan at no cost an aggregate of 4,312,500 Founder Shares, which Spartan cancelled. In November 2020, Spartan effected a stock dividend on the Founder Shares, which was waived by Mr. Wilson and Mr. Stice, and resulted in the Sponsor owning 8,525,000 Founder Shares. All shares and associated amounts had been retroactively restated to reflect the share surrender and the stock dividend. Of the 8,625,000 Founder Shares outstanding, up to 1,125,000 shares were subject to forfeiture to the extent that the Initial Public Offering (“IPO”) over-allotment option was not exercised by the underwriters, so that the Founder Shares would represent 20.0% of Spartan’s issued and outstanding shares after the IPO. On November 30, 2020, the underwriters fully exercised the over-allotment option; thus, these 1,125,000 shares were no longer subject to forfeiture.
The shares of Spartan’s Class B Common Stock, that was issued prior to the IPO automatically converted into shares of Sunlight Class A Common Stock upon consummation of the Business Combination on a one-for-one basis. In connection with the execution of the Business Combination Agreement, but effective as of the Closing, pursuant to that certain Founders Stock Agreement, dated as of January 23, 2021, by and among Spartan, the Sponsor and the other holders of Founder Shares (the “Founders Stock Agreement”), the Sponsor agreed to surrender up to 25% of the Class B Common Stock held by the Sponsor (at a 1:4 ratio to the percentage, if any, of redemptions by holders of Class A Common Stock); provided that no such surrender shall occur unless more than 5% of the outstanding shares of Class A Common Stock are actually redeemed by Sunlight. As a result, an aggregate of 1,187,759 of the Founder Shares were surrendered for cancellation. In addition, pursuant to the Founder Stock Agreement, the Sponsor and each of Mr. Wilson and Mr. Stice agreed to irrevocably waive any and all rights each such party had or would have with respect to the adjustment to the initial conversion as set forth in the amended and restated certificate of incorporation of Spartan, effective immediately prior to the Closing.
Private Placement Warrants
Simultaneous with the closing of the IPO which closed on November 30, 2020, the Sponsor purchased an aggregate of 9,900,000 private placement warrants for a purchase price of $1.00 per warrant in private placements that occurred simultaneously with the closing of the IPO and the sale of the over-allotment options. As such, the Sponsor’s interest in this transaction was valued at approximately $9.9 million. Each private placement warrant entitles the holder to purchase one share of Sunlight Class A Common Stock at $11.50 per share. The private placement warrants (including the Class A Common Stock issuable upon exercise thereof) may not, subject to certain limited exceptions, be transferred, assigned or sold by the holder until 30 days after the completion of the Business Combination.
Administrative Services Agreement
On November 24, 2020, Spartan entered into an administrative services agreement (the “Administrative Services Agreement”) pursuant to which Spartan paid the Sponsor a total of $10,000 per month for office space, utilities, secretarial support and administrative services. Upon completion of the Business Combination, Spartan ceased paying these monthly fees.
Other than these monthly fees, no compensation of any kind, including finder’s and consulting fees, was paid by Spartan to the Sponsor, officers and directors, or any of their respective affiliates, for services rendered prior to or in connection with the completion of the Business Combination. However, these individuals were reimbursed for any out-of-pocket expenses incurred in connection with activities on Spartan’s behalf. There was no cap or ceiling on the reimbursement of out-of-pocket expenses incurred by such persons in connection with activities on Spartan’s behalf. Upon the Closing, the Administrative Services Agreement was terminated in accordance with its terms.
Sunlight Financial Holdings Inc. | 2023 Proxy Statement | 37


TABLE OF CONTENTS

Investor Rights Agreement
In connection with the Closing of the Business Combination, the Sponsor, Tiger Blocker, FTV Blocker and certain other holders named therein (collectively, the “Holders”), entered into that certain Investor Rights Agreement (the “Investor Rights Agreement”), pursuant to which, among other things, (a) the IPO Registration Rights Agreement (as defined therein) was terminated, (b) certain resale registration rights were granted with respect to (i) the private placement warrants (including any shares of Common Stock issued or issuable upon the exercise of any such private placement warrants), (ii) any outstanding shares of Class A Common Stock held by a Holder at any time, whether held on the date thereof or acquired after the date thereof, (iii) any equity securities (including the shares of Common Stock issued or issuable upon the exercise of any such equity security) of Sunlight issuable upon conversion of any working capital loans in an amount up to $1,500,000 made to Sunlight by a Holder, (iv) any shares of Class A Common Stock issued or issuable upon exchange of Sunlight Class EX Units and the corresponding number of shares of Class C Common Stock issued to a Holder under the Business Combination Agreement and (v) any other equity security of Sunlight issued or issuable with respect to any such shares of Common Stock by way of a stock dividend or stock split or in connection with a combination of shares, recapitalization, merger, consolidation or reorganization, and (c) governance rights to certain Holders were granted.
Furthermore, pursuant to the Investor Rights Agreement, among other obligations, Sunlight filed with the SEC (at Sunlight’s sole cost and expense) a Registration Statement and prospectus on Form S-1 on July 30, 2021, which was subsequently amended on September 2, 2021 and declared effective by the SEC on September 7, 2021, registering the resale of certain securities held by or issuable to the Holders.
In certain circumstances, Tiger and FTV Blocker can demand up to three underwritten offerings in the aggregate and the Sponsor can demand up to one underwritten offering. Each Holder will be entitled to customary piggyback registration rights.
The Investor Rights Agreement also provides that when the Closing occurred, the Sunlight Board would consist of nine directors, divided into three classes serving staggered three-year terms. Pursuant to the Investor Rights Agreement, we have caused the following nominees to be elected to serve as director on the Sunlight Board:
one nominee designated by the Sponsor;
one nominee designated by FTV Blocker (together with its affiliates); and
one nominee designated by Tiger Blocker.
In addition, for as long as each of the Sponsor, FTV Blocker or Tiger Blocker maintains its nomination rights described above, such person will also have the right to appoint an observer to attend meetings of the Sunlight Board, subject to customary limitations.
Amendment to Letter Agreement
In connection with the entry into the Business Combination Agreement, but effective upon the Closing, Spartan, the Sponsor and each member of the board of directors of Spartan (the “Pre-Closing Spartan Board”) entered into that certain Letter Agreement Amendment, dated as of January 23, 2021 (the “Letter Agreement Amendment”), which amended that certain letter agreement, dated as of November 24, 2020, by and among Spartan, the Sponsor and each member of the Pre-Closing Spartan Board (the “Letter Agreement”), to modify the lock-up restrictions set forth in the Letter Agreement as follows:
80% of the Founder Shares (including any shares of Class A Common Stock issued in respect of the conversion of such Founder Shares upon the Closing) held by it, him or her will be subject to lock-up transfer restrictions until the one-year anniversary of the Closing, or earlier, if, subsequent to the Closing, (i) the last sale price of the Class A Common Stock equals or exceeds $12.00 per share for any 20 trading days within a 30-day trading period commencing at least 150 days after the Closing or (ii) Spartan consummates a transaction which results in all of Spartan’s stockholders having the right to exchange their shares of Class A Common Stock and Class B Common Stock for cash, securities or other property; and
20% of the Founder Shares (including any shares of Class A Common Stock issued in respect of the conversion of such Founder Shares upon the Closing) held by it, him or her will be subject to lock-up transfer restrictions until the six-month anniversary of the date of the Closing, or earlier, if, subsequent to the Closing, (i) the last sale price of the Class A Common Stock equals or exceeds $12.00 per share for any 20 trading days within a 30-day trading period ending at least 90 days after the Closing (ii) Spartan consummates a transaction which results in all of Spartan’s stockholders having the right to exchange their shares of Class A Common Stock and Class B Common Stock for cash, securities or other property.
Sunlight Financial Holdings Inc. | 2023 Proxy Statement | 38


TABLE OF CONTENTS

Related Party Transactions Entered Into By Sunlight
In addition to the compensation arrangements, including employment, termination of employment, change in control and indemnification arrangements, discussed herein, the following is a description of each transaction since January 1, 2021, and each currently proposed transaction in which:
Sunlight has been or is to be a participant;
the amount involved exceeded or exceeds $120,000; and
any of Sunlight’s directors, executive officers or holders of more than 5% of its capital stock, or any immediate family member of, or person sharing the household with, any of these individuals, had or will have a direct or indirect material interest.
Management Agreements
Sunlight was a party to that certain Management Agreement (the “FTV Management Agreement”), dated May 25, 2018, with FTV Management V, pursuant to which FTV Management V provided certain financial, managerial and operational advisory services to Sunlight. FTV Management V was an affiliate of FTV V, L.P., which was the sole owner of FTV Blocker, and an affiliate of FTV Blocker, which was a unit holder of Sunlight. Brad Bernstein is a member of the Sunlight Board and a Managing Partner of FTV Capital, an affiliate of each of FTV Management V, FTV V, L.P. and FTV Blocker. Michael Vostrizansky was a member of the board of directors of Sunlight LLC, is currently a Sunlight Board observer, and is a Principal of FTV Capital, an affiliate of each of FTV Management V, FTV V, L.P. and FTV Blocker. Pursuant to the terms of the FTV Management Agreement, Sunlight was obligated to pay to FTV Management V a quarterly fee equal to $50,000 on or before the start of each calendar quarter. Accordingly, Sunlight paid to FTV Management V approximately $100,000 for the fiscal year ended December 31, 2021. Sunlight’s and FTV Management V’s obligations under the FTV Management Agreement expired upon the Closing.
Sunlight was a party to the Management Agreement (the “Tiger Management Agreement”) dated September 11, 2015 with Tiger Infrastructure Partners Sunlight Feeder LP (“Tiger Feeder”), pursuant to which affiliates of Tiger Feeder provided certain financial, managerial and operational advisory services to Sunlight. Emil W. Henry, Jr. is a member of the Sunlight Board and the Chief Executive Officer of Tiger Infrastructure Partners LP (“Tiger Infrastructure”), an affiliate of Tiger Feeder and Tiger Blocker Holder. Marc Blair was a member of the board of directors of Sunlight LLC, is currently a Sunlight Board observer, and is a Managing Director of Tiger Infrastructure. Pursuant to the terms of the Tiger Management Agreement, Sunlight was obligated to pay a quarterly fee equal to $50,000 on or before the start of each calendar quarter. Accordingly, Sunlight paid to Tiger Infrastructure approximately $104,000 for the fiscal year ended December 31, 2021, plus de minimis business expense reimbursements related to such advisory services. Sunlight’s and Tiger Feeder’s obligations under the Tiger Management Agreement expired upon the Closing.
Barry Edinburg Advisory Services Agreement
On March 29, 2022, Barry Edinburg, the Company’s former Chief Financial Officer, announced his retirement from the Company, effective as of March 31, 2022. The Company and Barry Edinburg entered into an advisory services agreement, effective as of March 31, 2022, memorializing the terms of his transition (the “Advisory Services Agreement”). While employed with the Company as an advisor following his retirement, Mr. Edinburg performed certain advisory services and dedicated a certain amount of time to Sunlight as further described in the Advisory Services Agreement. The Advisory Services Agreement terminated in accordance with its terms after its six-month initial term and was not renewed by the parties.
In consideration for his services as an advisor to the Company, and in exchange for the execution of a full release of the Company of claims in connection with his departure executed at the end of the agreement term, Mr. Edinburg received continued monthly vesting and distribution through the term of the Advisory Services Agreement of Mr. Edinburg's share of the escrow established at the closing of the Company’s July 9, 2021 merger (the “Consideration”), for a total of 70,991 Class EX Units of Sunlight Financial LLC, 70,991 Class C Shares of the Company and $0.3 million.
Nora Dahlman Waiver and Release Agreement
The Company entered into a separation agreement with Nora Dahlman in connection with her resignation, effective July 31, 2022 (the “Separation Agreement”). Pursuant to the Separation Agreement, in consideration of Ms. Dahlman's release of claims in favor of the Company, the Company will provide Ms. Dahlman the following benefits: (i) $420,384.68 (equivalent to Ms. Dahlman's annual base salary as of the Delivery Date through December 31, 2023), less all applicable taxes and other withholdings, paid in substantially equal bi-weekly installments in accordance with the Company's standard payroll practices;
Sunlight Financial Holdings Inc. | 2023 Proxy Statement | 39


TABLE OF CONTENTS

(ii) $306,147.95 (equivalent to Ms. Dahlman’s present target annual bonus prorated for fiscal year 2022 through July 31, 2022 plus Ms. Dahlman’s present target annual bonus for the full fiscal year 2023), less all applicable taxes and other withholdings, paid as a lump-sum payment on the six (6) month anniversary of Ms. Dahlman's termination; (iii) continued monthly vesting and distribution through May 31, 2023 of Ms. Dahlman’s share of the escrow established at the closing of the Company’s July 9, 2021 merger, totaling 71,791 Class EX Units of Sunlight Financial LLC, 71,791 Class C Shares of the Company and $0.3 million; and (iv) tax reimbursements to cover additional self-employment taxes incurred by Ms. Dahlman by reason of her membership interest in Sunlight Financial LLC through December 31, 2023. Additionally, the Company will pay the employer portion of Ms. Dahlman’s employee benefit program enrollment, other than Ms. Dahlman's applicable withholdings for premium amounts, until the earlier to occur of (i) December 31, 2023 or (ii) the date Ms. Dahlman becomes eligible to enroll in the health, dental and/or vision plans of another employer.
Cross River Bank
On April 2, 2023, Sunlight Financial LLC, Sunlight and Cross River Bank (the “Bank Partner”), entered the Commitment and Transaction Support Agreement (“Commitment & Transaction Support Agreement”) pursuant to which the parties have agreed to undertake the transactions (“Transactions”) described in the Commitment & Transaction Support Agreement, including, amendments to the loan agreements with the Bank Partner (the “Bank Partner Agreements”), entry into a new secured term loan facility with the Bank Partner, and issuance of equity warrants entitling the Bank Partner or its designees to purchase shares of Sunlight’s Class A common stock.
Effective April 25, 2023, Sunlight, Sunlight LLC, and other subsidiary entities, as applicable, closed the Transactions contemplated by the Commitment & Transaction Support Agreement and entered into a Secured Term Loan with the Bank Partner, amended and restated Bank Partner Agreements, a Warrant Purchase Agreement with CRB Group, Inc. (the “Purchaser”), an affiliate of the Bank Partner and issued the associated warrant to purchase shares of Sunlight’s Class A common stock (the “Warrant”) to the Purchaser. At that time, Cross River Bank became a related person of the Company as a result of the Warrant issued by the Company to the Purchaser to purchase approximately 12 million shares of Company Class A Common Stock as part of the Transactions.
Sunlight Financial Holdings Inc. | 2023 Proxy Statement | 40


TABLE OF CONTENTS

Indemnification Agreements
In connection with the entry into the Business Combination Agreement, on January 23, 2021, Sunlight LLC, Spartan, SL Invest I Inc., SL Invest II LLC, SL Financial Investor I LLC, SL Financial Investor II LLC, SL Financial Holdings Inc., SL Financial LLC, FTV Blocker Holder, FTV Blocker and Tiger Blocker entered into an Indemnity Agreement, pursuant to which, from and after the Closing through the date that is thirty (30) days following the later of the (i) termination of the applicable statute of limitations period and (ii) the completion of any relevant tax proceedings, FTV Blocker Holder agreed to promptly indemnify, reimburse and defend in full and hold harmless Spartan, FTV Blocker and Tiger Blocker, their respective affiliates, successors and their respective officers, directors, employees and agents from and against any and all income taxes (net of any insurance proceeds recovered by such indemnified parties) imposed on or with respect to FTV Blocker (or its transferee) for any pre-Closing tax period by offsetting such obligations against any amounts otherwise due to FTV Blocker Holder (x) under the Tax Receivable Agreement (as defined below) or (y) any proceeds received from the transfer of the FTV Blocker Holders’ interest in the Tax Receivable Agreement.
Sunlight entered into a Tax Receivable Agreement with certain selling equity holders of Sunlight LLC that requires Sunlight to pay to such selling equity holders 85.0% of the tax savings that are realized primarily as a result of the increases in the tax basis in Sunlight LLC as a result of the sale and exchange of Sunlight LLC’s Class EX Units and Sunlight’s Class C shares for Sunlight’s Class A shares, as well as certain other tax benefits attributable to payments under the TRA. Sunlight retains the benefit of the remaining 15.0% of these tax savings.
In addition, Sunlight LLC has entered into indemnification agreements with certain of its officers and directors and purchased directors’ and officers’ liability insurance. These indemnification agreements and the Sunlight A&R LLC Agreement require Sunlight LLC to indemnify its directors and officers to the fullest extent permitted under Delaware law.
The Second A&R Charter contains provisions limiting the liability of directors, and our Bylaws provide that Sunlight will indemnify each of its directors to the fullest extent permitted under Delaware law. The Second A&R Charter and our Bylaws also provide the Sunlight Board with discretion to indemnify officers and employees when determined appropriate by the Sunlight Board.
Sunlight has also entered into indemnification agreements with each of its directors and executive officers and certain other key employees. The indemnification agreements provide that Sunlight will indemnify each of its directors, executive officers and such other key employees against any and all expenses incurred by that director, executive officer or other key employee because of his or her status as one of Sunlight’s directors, executive officers or other key employees, to the fullest extent permitted by Delaware law, the Second A&R Charter and our Bylaws. In addition, the indemnification agreements provide that, to the fullest extent permitted by Delaware law, Sunlight will advance all expenses incurred by its directors, executive officers and other key employees in connection with a legal proceeding involving his or her status as a director, executive officer or key employee.
Sunlight Financial Holdings Inc. | 2023 Proxy Statement | 41


TABLE OF CONTENTS

HOUSEHOLDING OF PROXY MATERIALS
The SEC has adopted rules that permit companies and intermediaries (e.g., brokers) to satisfy the delivery requirements for Notices of Internet Availability of Proxy Materials or other Annual Meeting materials with respect to two or more stockholders sharing the same address by delivering a single Notice of Internet Availability of Proxy Materials or other Annual Meeting materials addressed to those stockholders. This process, which is commonly referred to as “householding,” potentially means extra convenience for stockholders and cost savings for companies.
This year, a number of brokers with account holders who are Sunlight Financial Holdings Inc. stockholders will be “householding” the Company’s proxy materials. A single Notice of Internet Availability of Proxy Materials will be delivered to multiple stockholders sharing an address unless contrary instructions have been received from the affected stockholders. Once you have received notice from your broker that they will be “householding” communications to your address, “householding” will continue until you are notified otherwise or until you revoke your consent. If you and another stockholder of record with whom you share an address participate in householding and you wish to receive an individual copy of our Proxy Materials now or discontinue your future participation in householding, please contact Broadridge Financial Solutions, Inc. toll-free at 1-866-540-7095 or by writing to Broadridge Financial Solutions, Inc., Attn: Householding Department, 51 Mercedes Way, Edgewood, NY 11717.
Sunlight Financial Holdings Inc. | 2023 Proxy Statement | 42


TABLE OF CONTENTS

OTHER MATTERS
The Board of Directors knows of no other matters that will be presented for consideration at the Annual Meeting. However, if any other matters are properly brought before the meeting, your shares will be voted in accordance with the discretion of the person or persons appointed as proxies.
A copy of the Company’s 2022 Annual Report is available without charge upon written request to: Corporate Secretary, Sunlight Financial Holdings Inc., 101 N. Tyron Street, Suite 1000, Charlotte, NC, 28246.
Sunlight Financial Holdings Inc. | 2023 Proxy Statement | 43


TABLE OF CONTENTS

ANNEX A
CERTIFICATE OF AMENDMENT
TO THE SECOND AMENDED AND RESTATED CERTIFICATE OF INCORPORATION OF
SUNLIGHT FINANCIAL HOLDINGS INC.
Sunlight Financial Holdings Inc. (the “Corporation”), a corporation organized and existing under the General Corporation Law of the State of Delaware (the “DGCL”), hereby certifies as follows:
FIRST. At __________ __.m. on _______________, 20__ (the “Split Effective Time”), every ___________(______)1 issued and outstanding shares of the Corporation’s Class A Common Stock, par value $.0001 per share, as of the date and time immediately preceding the Split Effective Time (the “Old Class A Shares”), shall automatically be reclassified as and converted into one (1) validly issued, fully paid and non-assessable share of Class A Common Stock the Corporation (the “New Class A Shares”) without any further action by the Corporation or the holder thereof, subject to the treatment of fractional share interests as described below (the “Reverse Stock Split”). Further, every right, option and warrant to acquire Old Class A Shares outstanding immediately prior to the Split Effective Time shall, as of the Split Effective Time and without any further action, automatically be reclassified into the right to acquire one (1) New Class A Share for every Old Class A Shares, but otherwise upon the terms of such right, option or warrant (except that the exercise or purchase price of such right, option or warrant shall be proportionately adjusted). No fractional shares shall be issued in connection with the Reverse Stock Split. Stockholders who otherwise would be entitled to receive fractional shares of Class A Common Stock shall receive that number of New Class A Shares based on the conversion ratio of their shares of Old Class A Shares to New Class A Shares set forth above, rounded up to the next whole share of Class A Common Stock.
SECOND. At the Split Effective Time, every ___________(______) issued and outstanding shares of the Corporation’s Class C Common Stock, par value $.0001 per share, as of the date and time immediately preceding the Split Effective Time (the “Old Class C Shares”), shall automatically be reclassified as and converted into one (1) validly issued, fully paid and non-assessable share of Class C Common Stock the Corporation (the “New Class C Shares) without any further action by the Corporation or the holder thereof, subject to the treatment of fractional share interests as described below. Further, every right, option and warrant to acquire Old Class C Shares outstanding immediately prior to the Split Effective Time shall, as of the Split Effective Time and without any further action, automatically be reclassified into the right to acquire one (1) New Class C Share for every Old Class C Shares, but otherwise upon the terms of such right, option or warrant (except that the exercise or purchase price of such right, option or warrant shall be proportionately adjusted). No fractional shares shall be issued in connection with the Reverse Stock Split. Stockholders who otherwise would be entitled to receive fractional shares of Class C Common Stock shall receive that number of New Class C Shares based on the conversion ratio of their shares of Old Class C Shares to New Class C Shares set forth above, rounded up to the next whole share of Class C Common Stock.
THIRD. Each holder of record of a certificate which as of the last trading day preceding the Split Effective Time represents Old Class A Shares or Old Class C Shares (the “Old Certificates”) shall be entitled to receive upon surrender of such Old Certificates to the Corporation’s transfer agent for cancellation, a certificate (the “New Certificates”) representing the number of whole shares of Class A Common Stock or Class C Common Stock, as applicable, into and for which the shares formerly represented by such Old Certificates so surrendered are exchangeable. From and after the Split Effective Time, Old Certificates shall represent only the right to receive New Certificates pursuant to the provisions hereof.
FOURTH. That a resolution was duly adopted by the board of directors of the Corporation, pursuant to Section 242 of the General Corporation Law of the State of Delaware, setting forth the above mentioned amendment to the Certificate of Incorporation and declaring said amendment to be advisable.
FIFTH. That this amendment was duly authorized by the holders of a majority of the outstanding voting stock of the Corporation at a duly authorized meeting of the stockholders of the Corporation. Said amendment was duly adopted in accordance with the provisions of the General Corporation Law.
IN WITNESS WHEREOF, this Certificate of Amendment of the Certificate of Incorporation has been signed by the Chief Executive Officer of the Corporation this _____________ day of ____________, 202__.
 
SUNLIGHT FINANCIAL HOLDINGS INC.
 
 
 
 
By:
 
 
 
Matthew Potere, Chief Executive Officer
1
Final split ratio, between 1-for-10 and 1-for-25, to be determined by the Board of Directors pursuant to authority granted by stockholders, as described in the accompanying proxy statement.
Sunlight Financial Holdings Inc. | 2023 Proxy Statement | A-1


TABLE OF CONTENTS



TABLE OF CONTENTS