Please wait
0001826457FalseFYYes3662040/12/312026/12/312039/12/312026/12/310001826457glue:MRTSixOneSixZeroMember2024-01-012024-12-310001826457us-gaap:AccumulatedOtherComprehensiveIncomeMember2023-12-310001826457glue:TwoThousandTwentyFiveNovartisLicenseAgreementMemberglue:ResearchServicesToSupportImmunologyLicenseOptionsMember2025-12-310001826457glue:JefferiesLlcMember2024-01-012024-12-310001826457us-gaap:CorporateDebtSecuritiesMember2024-12-310001826457us-gaap:CommonStockMemberus-gaap:SubsequentEventMember2026-01-012026-01-310001826457glue:IndividualSecuritiesMember2025-01-012025-12-310001826457country:CH2025-01-012025-12-310001826457us-gaap:ForeignCountryMember2025-12-3100018264572025-06-300001826457us-gaap:RestrictedStockUnitsRSUMember2025-12-310001826457us-gaap:FairValueInputsLevel1Member2024-12-310001826457glue:PensionPlanAssetsMember2025-12-310001826457us-gaap:CommonStockMember2024-01-012024-12-310001826457us-gaap:CommonStockMember2024-05-012024-05-310001826457glue:MRTTwoThreeFiveNineMember2025-01-012025-12-310001826457us-gaap:WarrantMemberglue:TdSecuritiesUsaLlcMember2024-05-012024-05-3100018264572025-01-012025-12-310001826457glue:JefferiesLlcMemberglue:AtTheMarketOfferingMemberus-gaap:SubsequentEventMember2026-02-112026-02-110001826457us-gaap:AdditionalPaidInCapitalMember2024-12-310001826457us-gaap:ResearchAndDevelopmentArrangementMember2024-01-012024-12-310001826457glue:CommonStockOptionsMember2024-12-310001826457glue:JefferiesLlcMemberglue:AtTheMarketOfferingMember2022-07-312022-07-310001826457glue:MarkusWarmuthMember2025-10-012025-12-310001826457us-gaap:EquipmentMember2025-12-310001826457us-gaap:CorporateDebtSecuritiesMemberus-gaap:FairValueInputsLevel2Member2025-12-310001826457country:CHus-gaap:ForeignCountryMember2024-01-012024-12-310001826457us-gaap:MoneyMarketFundsMember2025-12-310001826457us-gaap:CommonStockMemberus-gaap:SubsequentEventMember2026-01-310001826457stpr:MA2024-01-012024-12-310001826457us-gaap:AccumulatedOtherComprehensiveIncomeMember2024-12-310001826457glue:TdSecuritiesUsaLlcMemberglue:PreFundedWarrantMember2026-01-3100018264572026-03-020001826457glue:AtTheMarketOfferingMember2026-02-110001826457glue:TwoThousandTwentyOneStockIncentivePlanMember2025-01-012025-12-310001826457us-gaap:RestrictedStockUnitsRSUMember2025-12-310001826457us-gaap:CorporateDebtSecuritiesMember2024-12-310001826457glue:RocheAgreementMember2024-12-310001826457glue:UnvestedStockOptionMember2025-12-310001826457us-gaap:FurnitureAndFixturesMember2024-12-310001826457us-gaap:RestrictedStockMember2024-12-310001826457us-gaap:FairValueInputsLevel3Memberglue:PensionPlanAssetsMember2024-12-310001826457glue:HarrisonStreetMember2021-12-142021-12-140001826457glue:HochbergerstrasseMember2021-03-010001826457us-gaap:AdditionalPaidInCapitalMember2025-01-012025-12-310001826457us-gaap:WarrantMemberus-gaap:SubsequentEventMember2026-01-310001826457glue:FederalStateLocalAndForeignMember2025-12-310001826457us-gaap:GeneralAndAdministrativeExpenseMember2024-01-012024-12-310001826457us-gaap:ConstructionInProgressMember2024-12-310001826457us-gaap:WarrantMember2025-12-310001826457us-gaap:ResearchAndDevelopmentExpenseMemberglue:CollaborationAndLicenseAgreementMember2025-12-310001826457glue:PreFundedWarrantsMember2024-12-310001826457us-gaap:ComputerEquipmentMember2024-12-310001826457us-gaap:CommonStockMemberglue:TdSecuritiesUsaLlcMember2026-01-012026-01-310001826457glue:AtTheMarketOfferingMember2025-01-012025-12-310001826457glue:TwoThousandTwentyFourNovartisLicenseAgreementMember2025-01-012025-12-310001826457us-gaap:FairValueInputsLevel1Memberus-gaap:USTreasurySecuritiesMember2025-12-310001826457us-gaap:FairValueInputsLevel3Member2024-12-310001826457glue:TwoThousandTwentyFiveNovartisLicenseAgreementMember2025-01-012025-12-310001826457glue:FederalStateLocalAndForeignMember2024-12-310001826457glue:ResearchAndDevelopmentOfIntialTargetsMemberglue:RocheAgreementMember2025-12-310001826457us-gaap:StateAndLocalJurisdictionMember2025-12-310001826457glue:MarkusWarmuthMember2025-12-310001826457us-gaap:AccumulatedOtherComprehensiveIncomeMember2025-12-310001826457us-gaap:StateAndLocalJurisdictionMember2025-01-012025-12-310001826457us-gaap:FairValueInputsLevel2Member2024-12-310001826457us-gaap:USTreasurySecuritiesMember2025-12-3100018264572024-12-310001826457us-gaap:MoneyMarketFundsMemberus-gaap:FairValueInputsLevel1Member2025-12-310001826457glue:PensionPlanAssetsMember2024-12-310001826457glue:TwoThousandTwentyFiveNovartisLicenseAgreementMemberglue:LicenseAndResearchServicesForNamedImmunologyTargetMember2025-12-310001826457us-gaap:RetainedEarningsMember2025-12-310001826457glue:TwoThousandTwentyOneStockIncentivePlanMember2021-06-170001826457glue:TwoThousandTwentyFiveNovartisLicenseAgreementMember2025-12-310001826457us-gaap:RetainedEarningsMember2024-12-310001826457us-gaap:LeaseholdImprovementsMember2024-12-310001826457glue:HochbergerstrasseMembersrt:MinimumMember2023-04-300001826457glue:UnvestedStockOptionMember2025-01-012025-12-310001826457country:CH2024-01-012024-12-310001826457glue:TwoThousandTwentyFiveNovartisLicenseAgreementMemberglue:MaterialRight-FirstImmunologyLicenseOptionMember2025-12-310001826457us-gaap:CorporateDebtSecuritiesMember2025-12-310001826457glue:SecurityDepositsMember2024-12-310001826457us-gaap:GeneralAndAdministrativeExpenseMember2025-01-012025-12-310001826457glue:HarrisonStreetMember2021-12-140001826457us-gaap:FairValueInputsLevel1Memberus-gaap:USTreasurySecuritiesMember2024-12-310001826457us-gaap:FurnitureAndFixturesMember2025-12-310001826457us-gaap:FairValueInputsLevel2Member2025-12-310001826457us-gaap:ConstructionInProgressMember2025-12-310001826457us-gaap:WarrantMemberus-gaap:SubsequentEventMember2026-01-012026-01-310001826457glue:CommonStockOptionsMember2025-12-310001826457us-gaap:RetainedEarningsMember2024-01-012024-12-310001826457us-gaap:AdditionalPaidInCapitalMember2025-12-310001826457us-gaap:MoneyMarketFundsMemberus-gaap:FairValueInputsLevel1Member2024-12-310001826457glue:MRTTwoThreeFiveNineMember2024-01-012024-12-310001826457us-gaap:AccumulatedOtherComprehensiveIncomeMember2024-01-012024-12-310001826457us-gaap:MaintenanceMemberglue:TwoThousandTwentyFiveNovartisLicenseAgreementMember2025-01-012025-12-3100018264572023-10-300001826457glue:HochbergerstrasseMembersrt:MaximumMember2023-04-300001826457glue:StateTaxCreditsMember2025-01-012025-12-310001826457us-gaap:ComputerEquipmentMember2025-12-310001826457us-gaap:CorporateDebtSecuritiesMemberus-gaap:FairValueInputsLevel2Member2024-12-310001826457us-gaap:CommonStockMemberglue:AtTheMarketOfferingMember2024-01-012024-12-310001826457us-gaap:FairValueInputsLevel2Memberus-gaap:USTreasurySecuritiesMember2025-12-310001826457us-gaap:FairValueInputsLevel2Memberus-gaap:USTreasurySecuritiesMember2024-12-310001826457us-gaap:ResearchAndDevelopmentExpenseMember2025-01-012025-12-310001826457country:CHus-gaap:ForeignCountryMember2025-01-012025-12-310001826457us-gaap:CommonStockMember2024-12-310001826457glue:TdSecuritiesUsaLlcMember2026-01-012026-01-310001826457glue:MRTEightOneZeroTwoMember2024-01-012024-12-310001826457srt:MinimumMemberglue:CollaborationAndLicenseAgreementMember2023-11-012023-11-300001826457glue:TwoThousandTwentyFiveNovartisLicenseAgreementMember2025-12-310001826457glue:StateTaxCreditsMember2025-12-310001826457glue:UndesignatedPreferredStockMember2025-12-310001826457us-gaap:USTreasurySecuritiesMember2025-12-310001826457us-gaap:RestrictedStockUnitsRSUMember2024-01-012024-12-310001826457stpr:MA2025-01-012025-12-310001826457glue:AtTheMarketOfferingMember2024-01-012024-12-310001826457glue:TwoThousandTwentyFourNovartisLicenseAgreementMembersrt:MinimumMember2024-01-012024-12-310001826457us-gaap:FairValueInputsLevel2Memberglue:PensionPlanAssetsMember2024-12-310001826457glue:MRTSixOneSixZeroMember2025-01-012025-12-310001826457us-gaap:FairValueInputsLevel3Memberus-gaap:CorporateDebtSecuritiesMember2024-12-310001826457us-gaap:CorporateDebtSecuritiesMemberus-gaap:FairValueInputsLevel1Member2024-12-310001826457us-gaap:CorporateDebtSecuritiesMemberus-gaap:FairValueInputsLevel1Member2025-12-310001826457glue:CommonStockOptionsMember2025-01-012025-12-310001826457us-gaap:SubsequentEventMember2026-01-310001826457glue:AtTheMarketOfferingMemberus-gaap:AdditionalPaidInCapitalMember2024-01-012024-12-310001826457glue:JefferiesLlcMember2025-01-012025-12-310001826457glue:MRTEightOneZeroTwoMember2025-01-012025-12-310001826457us-gaap:ForeignCountryMember2025-01-012025-12-310001826457glue:FederalMember2025-12-310001826457glue:CollaborationAndLicenseAgreementMember2025-12-310001826457us-gaap:FairValueInputsLevel3Memberus-gaap:MoneyMarketFundsMember2024-12-310001826457glue:LaboratoryEquipmentMember2025-12-3100018264572024-01-012024-12-310001826457glue:PreFundedWarrantsMember2025-12-310001826457us-gaap:ResearchAndDevelopmentExpenseMember2024-01-012024-12-310001826457us-gaap:FairValueInputsLevel2Memberus-gaap:MoneyMarketFundsMember2024-12-310001826457us-gaap:RestrictedStockUnitsRSUMember2024-12-310001826457glue:TwoThousandTwentyFiveNovartisLicenseAgreementMemberglue:MaterialRight-SecondImmunologyLicenseOptionMember2025-12-310001826457glue:TdSecuritiesUsaLlcMember2024-05-012024-05-310001826457us-gaap:LeaseholdImprovementsMember2025-01-012025-12-310001826457us-gaap:FairValueInputsLevel1Memberglue:PensionPlanAssetsMember2025-12-3100018264572025-10-012025-12-310001826457glue:TwoThousandTwentyFourNovartisLicenseAgreementMember2024-01-012024-12-310001826457us-gaap:RestrictedStockUnitsRSUMember2024-01-012024-12-310001826457us-gaap:RetainedEarningsMember2025-01-012025-12-310001826457us-gaap:FairValueInputsLevel3Memberus-gaap:CorporateDebtSecuritiesMember2025-12-310001826457glue:RocheAgreementMember2025-12-310001826457us-gaap:FairValueInputsLevel3Member2025-12-310001826457us-gaap:FairValueInputsLevel1Memberglue:PensionPlanAssetsMember2024-12-310001826457glue:JefferiesLlcMemberglue:AtTheMarketOfferingMember2024-01-012024-12-3100018264572025-07-042025-07-040001826457us-gaap:RetainedEarningsMember2023-12-310001826457glue:LaboratoryEquipmentMember2024-12-310001826457glue:CollaborationAndLicenseAgreementMember2025-01-012025-12-310001826457us-gaap:CommonStockMember2025-12-310001826457us-gaap:WarrantMemberglue:TdSecuritiesUsaLlcMember2026-01-012026-01-310001826457glue:NovartisLicenseAgreementMember2025-01-012025-12-310001826457us-gaap:FairValueInputsLevel3Memberus-gaap:USTreasurySecuritiesMember2024-12-310001826457us-gaap:RestrictedStockUnitsRSUMember2025-01-012025-12-310001826457us-gaap:USTreasurySecuritiesMember2024-12-310001826457glue:AtTheMarketOfferingMember2024-01-012024-12-310001826457glue:CommonStockOptionsMember2024-01-012024-12-310001826457glue:TwoThousandTwentyOneEmployeeStockPurchasePlanMember2025-12-310001826457glue:JefferiesLlcMemberglue:AtTheMarketOfferingMemberus-gaap:SubsequentEventMember2026-01-072026-01-070001826457us-gaap:CommonStockMemberglue:TdSecuritiesUsaLlcMember2026-01-310001826457glue:ResearchAndDevelopmentOfIntialTargetsMemberglue:RocheAgreementMember2024-12-310001826457us-gaap:WarrantMemberglue:TdSecuritiesUsaLlcMember2024-05-310001826457us-gaap:ResearchAndDevelopmentArrangementMember2025-01-012025-12-310001826457us-gaap:CommonStockMemberglue:UnderwrittenPublicOfferingMember2024-01-012024-12-310001826457glue:CollaborationAndLicenseAgreementMember2023-11-012023-11-300001826457glue:IndividualSecuritiesMember2024-01-012024-12-310001826457us-gaap:CommonStockMemberglue:TdSecuritiesUsaLlcMember2024-05-310001826457us-gaap:RestrictedStockUnitsRSUMember2025-01-012025-12-310001826457glue:TwoThousandTwentyOneStockIncentivePlanMember2025-12-3100018264572025-12-310001826457us-gaap:FairValueInputsLevel1Member2025-12-310001826457glue:CollaborationAndLicenseAgreementMemberglue:CollaborationRevenueMember2025-12-310001826457glue:NonCancelableLeasesMember2025-12-310001826457us-gaap:FairValueInputsLevel3Memberus-gaap:USTreasurySecuritiesMember2025-12-310001826457glue:JefferiesLLCTDSecuritiesUSALLCAndPiperSandlerCoMember2026-01-012026-01-310001826457us-gaap:FairValueInputsLevel3Memberus-gaap:MoneyMarketFundsMember2025-12-310001826457us-gaap:USTreasurySecuritiesMember2024-12-310001826457us-gaap:RestrictedStockUnitsRSUMember2024-12-310001826457us-gaap:CorporateDebtSecuritiesMember2025-12-310001826457us-gaap:RestrictedStockMember2024-01-012024-12-310001826457us-gaap:AdditionalPaidInCapitalMember2024-01-012024-12-310001826457glue:JefferiesLlcMemberglue:AtTheMarketOfferingMember2025-01-012025-12-310001826457us-gaap:FairValueInputsLevel2Memberus-gaap:MoneyMarketFundsMember2025-12-310001826457us-gaap:CommonStockMember2023-12-310001826457us-gaap:CommonStockMember2025-01-012025-12-310001826457us-gaap:ForeignCountryMember2020-09-140001826457glue:ResearchAndDevelopmentForReplacementTargetsMemberglue:RocheAgreementMember2025-12-310001826457glue:UnderwrittenPublicOfferingMemberus-gaap:AdditionalPaidInCapitalMember2024-01-012024-12-310001826457glue:ResearchAndDevelopmentForReplacementTargetsMemberglue:RocheAgreementMember2024-12-310001826457glue:TwoThousandTwentyOneEmployeeStockPurchasePlanMember2025-01-012025-12-310001826457us-gaap:AccumulatedOtherComprehensiveIncomeMember2025-01-012025-12-310001826457us-gaap:LeaseholdImprovementsMember2025-12-310001826457us-gaap:FairValueInputsLevel3Memberglue:PensionPlanAssetsMember2025-12-310001826457glue:SecurityDepositsMember2025-12-310001826457us-gaap:CommonStockMember2024-05-310001826457us-gaap:MoneyMarketFundsMember2024-12-310001826457glue:TdSecuritiesUsaLlcMember2025-01-012025-12-310001826457us-gaap:FairValueInputsLevel2Memberglue:PensionPlanAssetsMember2025-12-3100018264572023-12-310001826457glue:UnderwrittenPublicOfferingMember2024-01-012024-12-310001826457us-gaap:AdditionalPaidInCapitalMember2023-12-310001826457glue:FederalMember2025-01-012025-12-310001826457us-gaap:CommonStockMemberglue:AtTheMarketSalesAgreementMember2025-01-012025-12-310001826457us-gaap:WarrantMember2025-01-012025-12-31xbrli:pureutr:sqftxbrli:sharesiso4217:USDglue:Securityglue:Segment
UNITED STATES
SECURITIES AND EXCHANGE COMMISSION
Washington, D.C. 20549
FORM 10-K
(Mark One)
|
|
|
☒ |
ANNUAL REPORT PURSUANT TO SECTION 13 OR 15(d) OF THE SECURITIES EXCHANGE ACT OF 1934 |
For the fiscal year ended December 31, 2025
OR
|
|
|
☐ |
TRANSITION REPORT PURSUANT TO SECTION 13 OR 15(d) OF THE SECURITIES EXCHANGE ACT OF 1934 FOR THE TRANSITION PERIOD FROM TO |
Commission File Number 001-40522
Monte Rosa Therapeutics, Inc.
(Exact name of Registrant as specified in its Charter)
|
|
|
Delaware |
84-3766197 |
(State or other jurisdiction of incorporation or organization) |
(I.R.S. Employer Identification No.) |
321 Harrison Avenue, Suite 900 Boston, Massachusetts |
02118 |
(Address of principal executive offices) |
(Zip Code) |
Registrant’s telephone number, including area code: (617) 949-2643
Securities registered pursuant to Section 12(b) of the Act:
|
|
|
|
|
|
Title of each class |
|
Trading Symbol(s) |
|
Name of each exchange on which registered |
Common stock, par value $0.0001 per share |
|
GLUE |
|
The Nasdaq Global Select Market |
Securities registered pursuant to Section 12(g) of the Act: None
Indicate by check mark if the Registrant is a well-known seasoned issuer, as defined in Rule 405 of the Securities Act. YES ☒ No ☐
Indicate by check mark if the Registrant is not required to file reports pursuant to Section 13 or 15(d) of the Act. Yes ☐ No ☒
Indicate by check mark whether the Registrant: (1) has filed all reports required to be filed by Section 13 or 15(d) of the Securities Exchange Act of 1934 during the preceding 12 months (or for such shorter period that the Registrant was required to file such reports), and (2) has been subject to such filing requirements for the past 90 days. Yes ☒ NO ☐
Indicate by check mark whether the Registrant has submitted electronically every Interactive Data File required to be submitted pursuant to Rule 405 of Regulation S-T (§232.405 of this chapter) during the preceding 12 months (or for such shorter period that the Registrant was required to submit such files). Yes ☒ NO ☐
Indicate by check mark whether the registrant is a large accelerated filer, an accelerated filer, a non-accelerated filer, smaller reporting company, or an emerging growth company. See the definitions of “large accelerated filer,” “accelerated filer,” “smaller reporting company,” and “emerging growth company” in Rule 12b-2 of the Exchange Act.
|
|
|
|
|
|
|
|
Large accelerated filer |
|
☐ |
|
Accelerated filer |
|
☐ |
Non-accelerated filer |
|
☒ |
|
Smaller reporting company |
|
☒ |
|
|
|
|
Emerging growth company |
|
☒ |
If an emerging growth company, indicate by check mark if the registrant has elected not to use the extended transition period for complying with any new or revised financial accounting standards provided pursuant to Section 13(a) of the Exchange Act. ☐
Indicate by check mark whether the registrant has filed a report on and attestation to its management’s assessment of the effectiveness of its internal control over financial reporting under Section 404(b) of the Sarbanes-Oxley Act (15 U.S.C. 7262(b)) by the registered public accounting firm that prepared or issued its audit report. ☐
If securities are registered pursuant to Section 12(b) of the Act, indicate by check mark whether the financial statements of the registrant included in the filing reflect the correction of an error to previously issued financial statements. ☐
Indicate by check mark whether any of those error corrections are restatements that required a recovery analysis of incentive-based compensation received by any of the registrant’s executive officers during the relevant recovery period pursuant to §240.10D-1(b). ☐
Indicate by check mark whether the Registrant is a shell company (as defined in Rule 12b-2 of the Exchange Act). YES ☐ No ☒
The aggregate market value of the voting and non-voting common equity held by non-affiliates of the Registrant, based on the closing price of the shares of common stock on NASDAQ on June 30, 2025, was $212 million.
The number of shares of Registrant’s Common Stock outstanding as of March 2, 2026, was 80,015,667.
DOCUMENTS INCORPORATED BY REFERENCE
Portions of registrant's definitive proxy statement for its annual meeting of shareholders to be filed within 120 days after the close of the registrant's fiscal year are incorporated by reference to into Part III of this annual report on Form 10-K.
SPECIAL NOTE REGARDING FORWARD LOOKING STATEMENTS
This Annual Report on Form 10-K, or Annual Report, contains forward-looking statements which are made pursuant to the safe harbor provisions of Section 27A of the Securities Act of 1933, as amended, or the or the Securities Act, and Section 21E of the Securities Exchange Act of 1934, as amended, or the Exchange Act. All statements other than statements of historical facts contained in this Annual Report are forward-looking statements. In some cases, you can identify forward-looking statements by terminology such as “may”, “will”, “should”, “expects”, “intends”, “plans”, “anticipates”, “believes”, “estimates”, “predicts”, “potential”, “continue” or the negative of these terms or other comparable terminology. These statements are not guarantees of future results or performance and involve substantial risks and uncertainties. Forward-looking statements in this Annual Report include, but are not limited to, statements about:
•the initiation, timing, progress, results, costs, and any expectations and/or predictions of success of our current and future research and development programs and preclinical studies, including our expectations for our molecular glue degraders, or MGDs, molecules, including our GSPT1-directed MGD MRT-2359, our VAV1-directed MGD MRT-6160, our NEK7-directed MGDs, including MRT-8102, and our CDK2 and CCNE1 MGDs;
•the initiation, timing, progress, results, costs, and any expectations and/or predictions of success of our current and any future clinical trials, including our clinical trials for our GSPT1-directed MGD MRT-2359, our NEK7 directed MGD MRT-8102, and for our out-licensed VAV1 directed MGD MRT-6160, including statements regarding the nature of or the timing for when any results of any clinical trials will become available;
•our ability to continue to develop our proprietary discovery engine, called QuEENTM, and to expand our proteomics and translational medicine capabilities;
•the potential advantages of our discovery engine technology and product candidates;
•the extent to which our scientific approach and discovery engine technology may target proteins that have been considered undruggable or inadequately drugged;
•our plans to submit Investigational New Drug, or IND, applications to the U.S. Food and Drug Administration, or the FDA, for current and future product candidates;
•the potential benefits of strategic collaborations and our ability to enter into strategic collaborations with third parties who have the expertise to enable us to further develop our biological targets, product candidates and discovery engine technologies, including our agreements with Novartis AG, or Novartis, for MRT-6160 and other discovery programs and our agreement with F. Hoffmann-La Roche Ltd., or Roche Basel, and Hoffmann-La Roche Inc., or Roche US, and together with Roche Basel referred herein as Roche;
•our ability to obtain and maintain regulatory approval of our product candidates;
•our ability to maintain and expand, including through third-party vendors, our library of MGDs;
•our ability to manufacture, including through third-party manufacturers, our product candidates for preclinical use, future clinical trials and commercial use, if approved;
•our ability to commercialize our product candidates, including our ability to establish sales, marketing and distribution capabilities for our product candidates;
•the rate and degree of market acceptance of our product candidates;
•the size and growth potential of the markets for our product candidates, and our ability to serve those markets;
•our ability to establish and maintain intellectual property rights covering our current and future product candidates and technologies;
•the implementation of our business model and strategic plans for our business, product candidates, and technology;
•estimates of our future expenses, revenues, capital requirements, and our needs for additional capital;
•our expected use of proceeds from sales of our common stock in "at-the-market" offerings and other offerings, and the period over which such proceeds, together with existing cash, will be sufficient to meet our operating needs;
•our ability to obtain funding for our operations necessary to complete further development and commercialization of our product candidates;
•our financial performance;
•developments in laws and regulations in the United States, or the U.S., and foreign countries;
•the success of competing therapies that are or may become available;
•our ability to attract and retain key scientific or management personnel;
•the effect of global economic uncertainty and financial market volatility caused by economic effects of rising inflation and interest rates, global health crises, geopolitical events, elections, changes in international trade relationships and military conflicts on any of the foregoing or other aspects of our business or operations;
•the effect of any geopolitical conflicts or new or increased international tariffs, including mitigation efforts and economic effects, on any of the foregoing or other aspects of our business operations, including but not limited to our preclinical studies, ongoing clinical trials and future clinical trials; and
•other risks and uncertainties, including those listed under Item 1A, “Risk Factors.”
Any forward-looking statements in this Annual Report reflect our current views with respect to future events and with respect to our future financial performance, and involve known and unknown risks, uncertainties and other factors that may cause our actual results, performance, or achievements to be materially different from any future results, performance, or achievements expressed or implied by these forward-looking statements. Factors that may cause actual results to differ materially from current expectations include, among other things, those described under Item 1A, “Risk Factors” and elsewhere in this Annual Report. Given these uncertainties, you should not place undue reliance on these forward-looking statements.
All of our forward-looking statements are as of the date of this Annual Report only. In each case, actual results may differ materially from such forward-looking information. We can give no assurance that such expectations or forward-looking statements will prove to be correct. An occurrence of or any material adverse change in one or more of the risk factors or risks and uncertainties referred to in this Annual Report or included in our other public disclosures or our other periodic reports or other documents or filings filed with or furnished to the Securities and Exchange Commission, or the SEC, could materially and adversely affect our business, prospects, financial condition and results of operations. Except as required by law, we do not undertake or plan to update or revise any such forward-looking statements to reflect actual results, changes in plans, assumptions, estimates or projections or other circumstances affecting such forward-looking statements occurring after the date of this Annual Report, even if such results, changes or circumstances make it clear that any forward-looking information will not be realized. Any public statements or disclosures by us following this Annual Report that modify or impact any of the forward-looking statements contained in this Annual Report will be deemed to modify or supersede such statements in this Annual Report.
We may from time to time provide estimates, projections and other information concerning our industry, the general business environment, and the markets for certain diseases, including estimates regarding the potential size of those markets and the estimated incidence and prevalence of certain medical conditions. Information that is based on estimates, forecasts, projections, market research or similar methodologies is inherently subject to uncertainties, and actual events, circumstances or numbers, including actual disease prevalence rates and market size, may differ materially from the information reflected in this Annual Report. Unless otherwise expressly stated, we obtained this industry, business information, market data, prevalence information and other data from reports, research surveys, studies and similar data prepared by market research firms and other third parties, industry, medical and general publications, government data, and similar sources, in some cases applying our own assumptions and analysis that may, in the future, prove not to have been accurate.
TRADEMARKS
Solely for convenience, our trademarks and trade names in this report are sometimes referred to without the ® and ™ symbols, but such references should not be construed as any indicator that we will not assert, to the fullest extent under applicable law, our rights thereto.
SUMMARY OF RISK FACTORS ASSOCIATED WITH OUR BUSINESS
Our business is subject to numerous material and other risks and uncertainties that you should be aware of in evaluating our business. These risks are described more fully in Part II, “Item 1A—Risk Factors,” and include, but are not limited to, the following:
•We are a biotechnology company with a limited operating history and have not generated any revenue to date from drug sales and may never become profitable.
•We have incurred significant operating losses since our inception and anticipate that we will incur continued losses for the foreseeable future.
•We are very early in our development efforts. Several of our programs are still in the preclinical stages of drug development. If we are unable to commercialize our product candidates or experience significant delays in doing so, our business will be materially harmed.
•Our approach to the discovery and development of product candidates, which may also be referred to herein as development candidates, based on our QuEENTM discovery engine is novel, which makes it difficult to predict the time, cost of development and likelihood of successfully developing any product candidates.
•We will need to raise substantial additional funding before we can expect to complete development of any of our product candidates or generate any revenues from product sales.
•We may not be successful in our efforts to identify or discover additional product candidates or we may expend our limited resources to pursue a particular product candidate or indication and fail to capitalize on product candidates or indications that may be more profitable or for which there is a greater likelihood of success.
•If we are unable to successfully develop our current programs into a portfolio of product candidates, or experience significant delays in doing so, we may not realize the full commercial potential of our current and future product candidates.
•If we encounter difficulties enrolling patients in our clinical trials, these clinical development activities could be delayed or otherwise adversely affected.
•If we are unable to advance our product candidates through clinical development, obtain regulatory approval and ultimately commercialize our product candidates, or experience significant delays in doing so, our business will be materially harmed.
•Even if we receive marketing authorization for our product candidates, we will be subject to extensive ongoing regulatory obligations and continued regulatory review, which may result in significant additional expense and we may be subject to penalties if we fail to comply with regulatory requirements or experience unanticipated problems with our product candidates.
•If we are unable to obtain and maintain patent and other intellectual property protection for our technology and product candidates or if the scope of the intellectual property protection obtained is not sufficiently broad, our competitors could develop and commercialize technology and drugs similar or identical to ours, and our ability to successfully commercialize our technology and drugs may be impaired, and we may not be able to compete effectively in our market.
•Our future success depends on our ability to retain key executives and to attract, retain and motivate qualified personnel.
•Business disruptions could seriously harm our future revenue and financial condition and increase our costs and expenses.
•Our executive officers, directors, principal stockholders and their affiliates exercise significant influence over our company, which will limit our stockholders' ability to influence corporate matters and could delay or prevent a change in corporate control.
PART I
Item 1. Business
Overview
We are a clinical-stage biotechnology company developing a portfolio of novel and proprietary molecular glue degraders, or MGDs. MGDs are small molecule drugs that employ the body’s natural protein destruction mechanisms to selectively degrade therapeutically relevant proteins, in effect editing the human proteome. MGDs function by inducing the engagement of an E3 ligase, such as cereblon, with defined structural features on surfaces of target proteins. These target proteins are also referred to as neosubstrates. The E3 ligase then tags the target protein for degradation by adding a molecular mark known as ubiquitin. We believe our MGDs provide significant advantages over existing therapeutic modalities, including other protein degradation approaches.
We have developed a proprietary and industry leading discovery engine, called QuEENTM (an abbreviation for “Quantitative and Engineered Elimination of Neosubstrates”) to enable our unique target-centric MGD discovery and development approach and our rational design of MGD product candidates.
To date, our QuEENTM discovery engine has identified numerous proteins for potential targeting by our MGDs, including those targeted by product candidates in our pipeline. We combine our artificial intelligence or “AI” / machine learning or “ML” engines with multiple proprietary experimental tools to identify therapeutically relevant target proteins amenable to degradation by our MGDs. We are continuously increasing our understanding of how MGDs function and we are using this understanding to develop design principles for the engineering of new MGDs. This growing expertise manifests in our expanding MGD library as well as our discovery and development pipeline. Using our insights, knowhow, and technology platform we have generated a library of MGDs that forms the basis for our MGD programs. At present, our library comprises a diverse set of rationally designed small molecules representing more than 1000 unique low molecular weight scaffolds and over 75,000 different MGD molecules. We also use our insights and learnings to continuously update and improve QuEENTM and our MGD library, consistently increasing the power of the discovery engine.
We prioritize our product development to address therapeutic targets backed by strong biological and genetic rationales. We are focused on developing solutions to clinically important indications, including indications in immunology, inflammation, cardiology, oncology, and others. To date, our discovery engine has resulted in three programs in clinical development: MRT-6160, a VAV1-directed MGD for immune-mediated diseases; MRT-8102, a NEK7-directed MGD for inflammatory diseases driven by IL-1β, IL-6, and the NLRP3 inflammasome; and MRT-2359, a GSPT1-directed MGD for metastatic castration resistant prostate cancer (mCRPC).
MRT-6160 is a VAV1-directed MGD being developed for immune-mediated diseases. Our preclinical studies showed that targeted degradation of VAV1 protein via an MGD modulates both T- and B-cell receptor activity. Our VAV1 MGD, MRT-6160, showed promising activity in preclinical models of neurologic and systemic autoimmune and inflammatory diseases and thus we believe has the potential to provide therapeutic benefit in multiple immune-mediated diseases, such as inflammatory bowel disease, rheumatoid arthritis, dermatological disorders, and multiple sclerosis.
In October 2024, we announced a global exclusive development and commercialization license agreement with Novartis under which we granted to Novartis an exclusive license to develop, manufacture, and commercialize VAV1-directed MGDs including MRT-6160, starting with Phase 2 clinical studies. We received from Novartis an upfront payment of $150 million and are eligible to receive up to $2.1 billion in development, regulatory, and sales milestones, beginning upon initiation of Phase 2 studies and including potential development and regulatory milestone payments, exceeding $1.5 billion if multiple indications achieve regulatory approval in multiple territories. We and Novartis also agreed to a net profit and loss sharing arrangement, in which we will co-fund any global clinical development from Phase 3 onwards and will share 30% of any profits and losses associated with the manufacturing and commercialization of the licensed products in the United States. We are eligible to receive from Novartis potential sales milestone payments and tiered royalties in connection with sales outside of the United States. We were responsible for costs associated with the now completed Phase 1 clinical study and Novartis will be responsible for costs associated with any subsequent clinical studies except for the Phase 3 costs covered by us under the profit and loss sharing agreement.
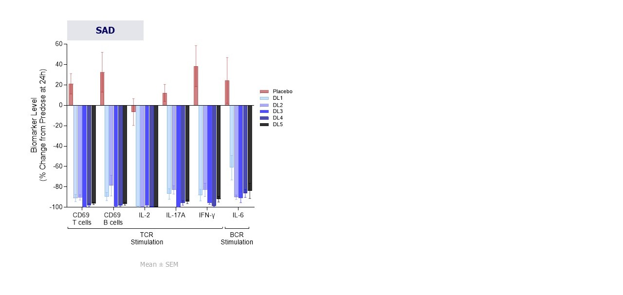
In March 2025, we announced initial clinical results from our Phase 1 study of MRT-6160, demonstrating deep VAV1 degradation of greater than 90%, significant T and B cell functional inhibition, including profound inhibition
of cytokine release from T and B cells ex-vivo, and a generally favorable safety and tolerability profile. We believe these data support a clear path to multiple Phase 2 studies and broad potential applications in immune-mediated diseases. We expect that our collaborator, Novartis, will initiate multiple Phase 2 studies of MRT-6160 in immune-mediated diseases in 2026.
MRT-8102 is a NEK7-directed MGD targeting diseases and inflammatory conditions driven by the NLRP3 inflammasome, IL-1, and IL-6. The NLRP3 inflammasome is a multi-protein complex that serves as a central node for integrating signals from pathogens, damage, and stress, and triggers the production of pro-inflammatory cytokines. Aberrant NLRP3 inflammasome activation and the subsequent release of active interleukin-1β (IL-1β) and interleukin-18 (IL-18) have been implicated in multiple inflammation-driven diseases, including atherosclerotic cardiovascular disease (ASCVD), gout, hidradenitis suppurativa, pericarditis, osteoarthritis, and obesity. NEK7, functioning as a scaffolding protein, facilitates assembly and activation of the NLRP3 inflammasome in a kinase-independent manner, suggesting that degradation of NEK7 with an MGD molecule would be a potentially attractive therapeutic approach to preventing NLRP3 inflammasome activation and associated downstream cytokine production.
In January 2026, we announced positive interim data from an ongoing Phase 1 clinical study (now called GFORCE-1) evaluating MRT-8102. In subjects with elevated cardiovascular disease (CVD) risk, MRT-8102 demonstrated rapid and durable reductions in systemic inflammation. After four weeks of MRT-8102 treatment in subjects with elevated CVD risk, C-reactive protein (CRP) levels were reduced by 85%, and 94% of study participants achieved CRP values below 2 mg/L, a threshold associated with reduced CVD risk. The single ascending dose (SAD) and multiple ascending dose (MAD) cohorts demonstrated deep and sustained NEK7 degradation at doses from 5 mg to 400 mg. A favorable safety profile was observed with mild to moderate adverse events (AEs) and no evidence of increased infection risk.
Our ongoing GFORCE-1 Study of MRT-8102 in subjects with elevated CVD risk has been expanded to multiple dose levels to accelerate development in ASCVD. We anticipate results from this study in H2 2026. We plan to initiate a Phase 2 ASCVD study, GFORCE-2, (in elevated CVD risk patients defined by Stage 3/4 chronic kidney disease and elevated CRP) in H2 2026, a Phase 2 study of MRT-8102 in patients with gout flares, GFORCE-3, in Q4 2026 or Q1 2027, and a Phase 2 study in patients with hidradenitis suppurativa, GFORCE-4, in H1 2027. Furthermore, we expect to submit an IND application for a next-generation NEK7-directed MGD in 2026.
MRT-2359 is an orally bioavailable MGD targeting the translation termination factor protein GSPT1 and is currently in clinical development for potential use in MYC-driven tumors, with a focus on metastatic castration-resistant prostate cancer, or mCRPC. GSPT1 (also known as eRF3a) is a translation termination factor that helps catalyze the termination of protein synthesis, facilitating the release of mRNA and newly synthesized protein from the ribosomal protein synthesis machinery. We have identified GSPT1 as a potential therapeutic vulnerability for MYC-driven cancers, including mCRPC. MRT-2359, our GSPT1-directed MGD, was designed to preferentially affect growth and survival of cancer cells addicted to protein translation, such as those driven by high expression and activity of MYC family transcription factors. Our preclinical studies showed that once-daily oral dosing of MRT-2359 led to potent antitumor activity in MYC-driven cell-line- and patient-derived xenograft models, and pointed to mCRPC as a potential indication for MRT-2359.
In December 2025, we announced positive interim data from an ongoing Phase 1/2 clinical study evaluating MRT-2359 in combination with enzalutamide in heavily pretreated patients with metastatic castration-resistant prostate cancer (mCRPC). We provided further updates from this ongoing clinical study in February 2026, including at the ASCO Genitourinary Cancers Symposium held in San Francisco on February 26-28, 2026. In our February 2026 update we showed that in the subset of mCRPC patients with androgen receptor (AR) mutations, treatment with MRT-2359 in combination with enzalutamide led to a 100% PSA response rate in patients identified as having AR mutations (5 out of 5 patients). In addition, MRT-2359 plus enzalutamide demonstrated a 100% disease control rate in this patient subset, per RECIST criteria, including 2 RECIST partial responses and 3 with stable disease. In total, our study included 15 evaluable patients, including the 5 patients identified as having AR mutations. Across those 15 evaluable patients, the overall disease control rate was 67% (10 of 15), with 10 of 15 patients showing tumor size reductions of target lesions, including the 2 RECIST partial response patients that were also identified as having AR mutations.
Based on the success of our reported Phase 1/2 studies in mCRPC patients, we plan to initiate a Phase 2 study of MRT-2359 in combination with a second-generation AR inhibitor in mCRPC patients with AR mutations, with potential to expand the study into additional patient subsets, including patients naive to 2nd generation AR inhibitors. The study is anticipated to start in 2026.
We are also advancing programs directed at cyclin E1 (CCNE1) and cyclin-dependent kinase 2 (CDK2), key drivers of cell cycle progression in cancer.
Cyclin E1 is a protein that plays a crucial role in the cell cycle, and is a frequently amplified non-enzymatic driver oncogene relevant in multiple solid tumors that has not been druggable by conventional modalities. We believe that our proprietary Cyclin E1 MGDs represent a potential novel therapeutic approach for treatment of such solid tumors by directly and selectively targeting Cyclin E1. We believe our cyclin E1 MGDs could provide a highly differentiated alternative and additional approach to other cell-cycle focused therapeutics currently in development.
We expect to submit an IND application for a cyclin E1-directed MGD in 2026.
Our CDK2-directed MGDs have demonstrated superior selectivity for CDK2 in preclinical models as compared to several clinical-stage small molecule CDK2 ATP-site inhibitors, which we believe will be important to mitigate toxicity limitations reported for CDK2 inhibitors in development. In preclinical models of ER+ breast cancer our CDK2 MGDs reduced tumor burden when added to standard of care therapy. We believe our preclinical data supports further clinical evaluation of our CDK2 MGDs as a potential improvement over current standard of care therapies in ER+ breast cancer, and potentially without the toxicity limitations reported for CDK2 inhibitors currently in development.
Our proprietary QuEENTM discovery engine uniquely enables us to rationally design and develop our diverse library of MGDs and to deploy them against target proteins identified through our QuEENTM discovery engine. Uniquely, many of these target proteins are considered inadequately drugged or completely undruggable by other therapeutic modalities. We actually consider a target protein’s lack of druggability as one of our key criteria for our discovery and development selection and prioritization process. Our resulting MGDs are designed to reprogram the E3 ligase to bind to and induce the degradation of a therapeutically relevant target protein. Central to our QuEENTM discovery engine is a detailed understanding of the molecular interactions promoted by our MGDs between E3 ligases and structural features on the surface of therapeutically relevant proteins, which we refer to as degrons.
Key components of our QuEENTM discovery engine are:
•AI/ML engines: Our focus on protein surface characterization sets us apart, enabling us to identify reprogrammable E3 ligases as well as potential target proteins amenable to our approach. We have developed sophisticated and proprietary AI-powered algorithms to mine databases of protein sequences and structures, including structures determined from x-ray crystallography and cryoEM, and structures from predicted protein folding. Our proprietary geometric deep learning engine for surface characterization continuously learns from our expanding MGD library, identifying new degrons and surface features (“glueprints”) in targetable proteins across the proteome.
•High throughput screening, structural biology and proteomics capabilities: We have developed a suite of high-throughput assays that rapidly assess our proprietary MGD library and MGDs generated during specific programs. Coupled with customized automation and robotic systems, our assays can measure ternary complex formation in both a biochemical and cellular format, as well as measure degradation of target proteins in cells, which we use to screen, identify and rapidly optimize our MGDs.
•Proprietary MGD library: We have built a wholly-owned, proprietary, diverse, and continuously growing chemical library of currently over 75,000 MGDs that we have rationally designed based on our growing expertise in molecular glue anatomy and design, our large proteomics and screening databases, and AI/ML algorithms. Library compounds currently represent more than 1000 unique low molecular weight scaffolds with favorable binding affinities for an E3 ubiquitin ligase.
By capturing our insights and experience with the identification of target proteins amenable to our approach as well as the discovery and development of MGDs through QuEENTM, we are constantly increasing the power of our discovery engine.
Our QuEENTM discovery engine continues to generate discovery stage programs targeting therapeutically relevant proteins otherwise considered undruggable or inadequately drugged. We are progressing our discovery stage programs for multiple other undisclosed target proteins. Our focus is on target proteins that have been considered undruggable or insufficiently drugged, that are highly credentialed preclinically or clinically, and that can potentially move quickly into clinical development in indications with high unmet need and substantial commercial potential.
In October 2023, our wholly-owned subsidiary, Monte Rosa Therapeutics AG, or Monte Rosa AG, entered into a strategic collaboration and licensing agreement with F. Hoffmann-La Roche Ltd., or Roche Basel, and Hoffmann-La Roche Inc., or Roche US, and together with Roche Basel referred herein as Roche. Pursuant to the License Agreement, the parties will seek to identify and develop MGDs against cancer or neurological disease targets using our proprietary drug discovery platform for an initial set of targets in oncology and neuroscience selected by Roche, with each target being subject for a limited time to certain substitution rights owned by Roche. We will lead preclinical discovery and research activities until a defined point. Upon such point, Roche gains the right to exclusively pursue further preclinical and clinical development activities. Under the terms of the agreement, Monte Rosa received an upfront payment of $50 million, and is eligible to receive future preclinical, clinical, commercial and sales milestone payments that could exceed $2 billion, including up to $172 million for achieving preclinical milestones. We are also eligible to receive tiered percent royalties ranging from high-single-digit to low- teens on any products that are commercialized by Roche as a result of the collaboration.
In September 2025, we and Novartis entered into a collaboration, option, and license agreement, under which Monte Rosa granted to Novartis an exclusive, royalty-bearing, sublicensable and transferable license to degraders for one immunology and inflammation, or I&I program, or the First Licensed Program, and the exclusive option to obtain exclusive, royalty-bearing, sublicensable and transferable licenses with respect to two programs from the Company’s growing preclinical immunology portfolio, or the Options, and the programs, or the Optioned I&I Programs. Such Options are individually exercisable at Novartis’ discretion until a program meets criteria for investigational new drug application-filing-readiness. On a program-by-program basis, if Novartis does not exercise an Option, all rights with respect to such program are retained by the Company; if Novartis does exercise its Option, such program becomes a Licensed Program, or together, with the First Licensed Program, the Licensed Programs. Under the 2025 Novartis Agreement, the Company will apply its proprietary AI/ML-enabled QuEEN™ product engine for the discovery and development of degraders for the First Licensed Program and the Optioned I&I Programs. The Licensed Programs will be further developed and commercialized by Novartis, unless otherwise agreed to by the parties in accordance with the 2025 Novartis Agreement. Research activities for the Licensed Programs governed by the Agreement will be overseen by a Joint Research Committee.
Under the agreement, the Company received a $120.0 million non-refundable upfront payment from Novartis. The Company is entitled to receive further payments from Novartis to maintain the Options totaling up to $60.0 million, and is also eligible to receive from Novartis (1) preclinical milestone payments relating to the First Licensed Program and option exercise payments related to the Options of up to $180.0 million, (2) up to $5.4 billion in clinical development, regulatory, and sales milestones relating to the First Licensed Program and the two Optioned I&I Programs, beginning upon initiation of Phase 1 studies, including (a) potential development and regulatory milestone payments of up to $2.2 billion if regulatory approval is achieved for multiple indications in multiple territories and (b) potential sales milestone payments of up to $3.2 billion, allocated across licensed products, and (3) tiered royalties on global net sales in the high-single to low double-digit range for the First Licensed Program and in the low double-digit range for the two Optioned I&I Programs. The Company will be responsible for costs related to research activities, while Novartis will be responsible for costs related to development and commercialization activities.
We are led by an experienced team of drug discovery and development experts with deep experience in targeted protein degradation, molecular glues, chemistry, structural biology, data science, disease biology, translational medicine, and clinical development.
Monte Rosa Therapeutics AG, a Swiss operating company, was incorporated under the laws of Switzerland in April 2018. Monte Rosa Therapeutics, Inc. was incorporated in the State of Delaware in November 2019. The Company is headquartered in Boston, Massachusetts with research operations in both Boston and Basel, Switzerland. Our principal executive office is located at 321 Harrison Avenue, Suite 900, Boston, MA 02118 and our telephone number is (617) 949-2643. Information about us is available on our corporate websites at www.monterosatx.com. Information available on our website is not a part of, and is not incorporated into, this Annual Report. We trade on the Nasdaq Global Select Market under the ticker symbol “GLUE”.
Our product pipeline
We have leveraged our QuEENTM discovery engine to generate our pipeline of product candidates with the potential to treat a diverse range of diseases through targeted protein degradation. Our current programs are focused on delivering therapies to target proteins that have been considered undruggable or inadequately drugged in well-characterized biological pathways across clinical indications in immunology, inflammation, cardiovascular diseases, oncology, and other diseases with high unmet needs. We currently retain exclusive
worldwide rights to the programs shown in Figure 1 below, except for MGDs directed against VAV1 including MRT-6160, which we licensed to Novartis in October 2024, and the targets included in the Roche and Novartis relationships.
Figure 1: Monte Rosa Pipeline

Over the next several years, we plan to expand our early-stage product portfolio into our current therapeutic areas of focus and additional therapeutic areas, leveraging the ability of our QuEENTM discovery engine to degrade therapeutically relevant proteins in areas including immunology & inflammation, cardiovascular, metabolic, and genetic diseases.
Our strategy
Our mission is to discover and develop a portfolio of novel small molecule MGDs that selectively eliminate therapeutically relevant proteins. We believe our MGDs have the potential to benefit patients in a broad range of indications with significant unmet medical need. We believe the product candidates identified through our proprietary QuEENTM discovery engine can provide distinct advantages over other modalities, including the ability to address target proteins that have been considered undruggable or inadequately drugged. We intend to fully develop certain programs internally, while also utilizing collaborations to advance programs in areas where we believe that external expertise and financial resources may enable us to more fully realize the therapeutic and commercial potential of a program.
MGDs provide for therapeutic opportunities not constrained by some of the key limitations of conventional small molecule inhibitor drugs. MGDs provide an opportunity to target the vast universe of target proteins without a defined binding pocket, in a highly selective way, due to the diversity of surfaces that can be targeted, resulting in reversible elimination of a target protein. More specifically, because MGDs work by inducing protein-protein interactions between target proteins and an E3 ligase, they do not require a defined binding pocket on the target protein of interest. Thus, MGDs offer a unique opportunity to unlock significant target space and enable us to address target proteins that have been considered undruggable or inadequately drugged. The interaction surfaces we utilize are often not conserved within protein classes and families, allowing us to potentially achieve significant selectivity for our MGD product candidates that we believe is superior to classical small molecule inhibitor drugs. Lastly, we focus on target proteins where experimental evidence suggests that removal of the target is superior to transiently inhibiting it, in particular proteins that have a scaffolding function.
Through our ability to produce potentially highly selective MGDs with fine-tuned speed and depth of degradation, we believe we can generate MGD product candidates with a wide therapeutic window and other therapeutic advantages that may be beneficial in a broad range of indications, including immunology, inflammation, cardiovascular diseases, oncology, metabolic diseases, genetic diseases, and diseases of the central nervous
system (CNS). We believe our platform has the capability to produce MGDs suitable for distribution into any tissue, including MGDs designed to be CNS-penetrant.
In immunology and inflammation, we are uniquely able to target highly credentialed immune signaling proteins in pathologically relevant immune pathways. We prioritize target proteins that are validated through preclinical or clinical (including human genetic) evidence. We have shown that we are able to optimize our MGD product candidates to induce deep and selective degradation of immune-pathway relevant proteins. Our precision oncology programs are focused on the elimination of proteins that are highly validated driver oncogenes in cancer cells (“oncogene addiction”), that define a cancer lineage dependence (“lineage addiction”), or that create a vulnerability specific to tumor cells (“synthetic lethality”).
Key elements of our strategy include:
•Continue to advance our NEK7-directed MGD, MRT-8102, for the treatment of NLRP3/IL-1/IL-6 driven inflammatory diseases through completion of the GFORCE-1 trial in elevated CVD risk subjects and initiate the GFORCE-2 study of MRT-8102 in ASCVD. MRT-8102 is a potent, highly selective, and orally bioavailable investigational MGD that targets NEK7 for the treatment of inflammatory diseases linked to the NLRP3 inflammasome, IL-1, and IL-6 dysregulation. NEK7 has been shown to be required for NLRP3 inflammasome assembly, activation and IL-1β release both in vitro and in vivo. Aberrant NLRP3 inflammasome activation and the subsequent release of active IL-1β and interleukin-18 (IL-18) has been implicated in multiple inflammatory disorders, including ASCVD, gout, hidradenitis suppurativa, osteoarthritis, asthma, neurodegenerative diseases, and metabolic disorders including metabolic dysfunction-associated steatohepatitis (MASH) and obesity. In January 2026, we reported interim results from our Phase 1 study of MRT-8102. In subjects with increased CVD risk, MRT-8102 demonstrated rapid and durable reductions in systemic inflammation. Specifically, after four weeks of MRT-8102 treatment in subjects with elevated CVD risk and high levels of CRP, CRP levels were reduced by 85%, and 94% of study participants achieved CRP values below 2 mg/L, a threshold associated with reduced CVD risk. We expect to initiate a study of MRT-8102 in in elevated CVD risk patients defined by Stage 3/4 chronic kidney disease and elevated CRP in H2 2026, a Phase 2 study of MRT-8102 in patients with gout flares in Q4 2026 or Q1 2027, and a Phase 2 study of MRT-8102 in patients with moderate to severe hidradenitis suppurativa, in H1 2027.
•Continue to support Novartis's clinical development of our VAV-directed MGD MRT-6160 in immune-mediated disease. Pursuant to our Agreement with Novartis, Novartis will be responsible for all further clinical development and commercialization of MRT-6160. We believe our global license agreement with Novartis will accelerate and broaden the scope of clinical development of MRT-6160 while retaining substantial value for us, including through milestone payments and our share of the US P&L for MRT-6160 provided under our Agreement;
•Advance our GSPT1-directed MGD program by initiating a signal-confirming Phase 2 study of MRT-2359 in mCRPC patients with AR mutations. In December 2025, we announced positive interim clinical data from our study of MRT-2359 in combination with enzalutamide in heavily pretreated mCRPC patients, including patients with AR mutations. We presented additional positive data at the ASCO Genitourinary Cancers Symposium in February 2026. In mCRPC patients with AR mutations, treatment with MRT-2359 in combination with enzalutamide led to a 100% PSA response rate in all 5 patients identified as having AR mutations. In addition, MRT-2359 plus enzalutamide demonstrated a 100% disease control rate in this patient subset, per RECIST criteria, including 2 RECIST partial responses and 3 with stable disease. In total, our study included 15 evaluable patients, including the 5 patients identified as having AR mutations. Across those 15 evaluable patients, the overall disease control rate was 67% (10 of 15), with 10 of 15 patients showing tumor size reductions of target lesions, including the 2 RECIST partial response patients that were also identified as having AR mutations. We plan to initiate a Phase 2 study of MRT-2359 in combination with a second-generation AR inhibitor in mCRPC patients with AR mutations, with potential to expand the study into additional patient subsets, including patients naive to 2nd generation AR inhibitors. The study is anticipated to start in 2026;
•Advance our cell cycle program to IND submission. We believe our programs directed at CCNE1 and CDK2, key drivers of cancers with cyclin dependent kinase pathway alterations, have the potential to achieve greater selectivity for the CCNE/CDK2 complex versus conventional CDK ATP-site inhibitors. We also believe they have the potential to provide more sustained pathway inhibition compared to ATP-site inhibitors. We expect to submit an IND application for a cyclin E1-directed MGD in 2026;
•Continue to advance and develop our pipeline of rationally designed MGDs to transform the treatment of diseases in multiple therapeutic areas including immunology & inflammation, cardiology, and oncology. Through our QuEENTM discovery engine, we have identified a variety of additional degron-containing proteins that are amenable to our approach and are either undruggable or insufficiently drugged and we continue to build MGDs against these proteins. We continue to advance programs in preclinical development, and to identify new degron-containing target proteins as well as MGDs. We will continue to prioritize therapeutically relevant target proteins backed by strong biological and genetic rationale with the goal of producing novel precision medicines;
•Continue to enhance and expand the capabilities of our QuEENTM discovery engine to unlock the full therapeutic potential of our MGDs in our targeted therapeutic areas. We employ a core set of drug discovery and development principles to guide our target protein selection across various protein classes and therapeutic areas. We are specifically focused on delivering therapies to target proteins that have been considered undruggable or inadequately drugged, and that are situated in preclinically and clinically well-characterized and validated biological pathways;
•Expand and protect our proprietary know-how and intellectual property. We continue to innovatively expand our intellectual property around our innovations in the field of targeted protein degradation and in particular MGDs. Our intellectual property, which includes proprietary know-how, patent applications and issued and expected patents, as well as trade secrets, applies not only to our product candidates, but also to all of our various innovations, including, for example, our drug discovery processes including our QuEENTM discovery engine; our AI-based E3 ligase characterization algorithms, AI-based degron discovery algorithms, AI-based novel MGD design algorithms, and in silico screening algorithms; our drug development tools; our growing library of MGDs; the innovative methods and approaches we have developed to rationally design MGDs to expand our library, and to certain biomarkers and therapeutic applications for our potential product candidates;
•Execute our discovery collaboration with Roche in the areas of cancer and neurology. Under the terms of the agreement, Monte Rosa will lead discovery and preclinical activities against multiple select cancer and neurological disease targets to a defined point. Upon such point, Roche gains the right to exclusively pursue further preclinical and clinical development of the compounds. We believe this collaboration will enable and accelerate expansion of our platform into neuroscience and additional areas of oncology; and
•Execute our collaboration with Novartis for degraders to treat immune-mediated diseases. Under the terms of the agreement, Monte Rosa’s scientists will apply our proprietary AI/ML-enabled QuEEN™ product engine for the discovery and development of degraders to be further developed and commercialized by Novartis. Monte Rosa’s publicly disclosed pipeline programs are outside the scope of this agreement.
Background on targeted protein degradation and molecular glue degraders
Proteins drive nearly all biochemical reactions in the body and many diseases stem from abnormal intracellular protein activity. Proteins, including those inside the cell and on its surface, are attractive therapeutic targets; nevertheless, despite advances in therapeutic modalities, approximately 75% of human proteins remain undruggable by traditional small molecule inhibitors.
Challenges with druggable vs. undruggable proteins
Traditional small molecule inhibitors target proteins by binding to a pocket on the protein’s surface. The absence of a binding pocket presents a challenge to the discovery and development of traditional small molecule inhibitors. Indeed, many proteins, including key disease-driving proteins such as transcription factors, scaffolding proteins, and enzyme modulators, often lack druggable pockets, making them undruggable by conventional small molecule inhibitor approaches. Other therapeutic modalities that can target such proteins, such as therapeutic antibodies, oligonucleotide-based therapies, and genetic therapies, are limited in their ability to address aberrant protein behavior. Although these therapies have improved patient outcomes, they face challenges in delivery, scalability, and therapeutic application. A summary of characteristics of various therapeutic modalities compared to MGDs is shown in Figure 2.
Figure 2: Characteristics of Therapeutic Modalities, Including MGDs, the Next Generation of Precision Medicine-Based Small Molecule Drugs

Molecular glues: our expanding approach to protein degradation
Protein degradation is one of the body’s natural processes by which proteins are eliminated from human cells through the attachment of a molecular tag, called ubiquitin, to a protein by any of the approximately 600 human E3 ligases, marking the protein for degradation by the proteasome in the cell. Targeted protein degradation can be mediated by two small molecule classes: MGDs and PROTACs (proteolysis-targeting chimeras, also known as heterobifunctional degraders) (illustrated in Figure 4).
We believe our targeted protein degradation approach offers many features that make it an attractive therapeutic modality:
•Removal of a target protein: partial or complete removal of a target protein can lead to more complete inhibition of signaling and metabolic pathways, thus resulting in more profound and longer lasting pharmacodynamic effects than traditional reversible or irreversible inhibition can induce.
•Targeting intracellular proteins: small molecule-based protein degraders, in particular MGDs, readily cross cell membranes or can be optimized to do so.
•Ease of delivery: small molecule-based protein degraders, in particular MGDs, can be delivered through various routes of administration, including orally.
•Systemic and tissue distribution: since most small molecule-based degraders, in particular MGDs, are low molecular weight compared to other therapeutic modalities, tissue distribution, such as into the CNS or tumor tissues, poses less of an issue.
•Catalytic mode of action: after inducing degradation of a target protein molecule, the small molecule-based protein degrader-E3 ligase complex is able to induce the degradation of additional target protein molecules. Thus, the small molecule-based protein degrader acts catalytically, unlike protein inhibition, causing the removal of many target protein molecules with a single MGD molecule, thereby editing the cellular proteome.
•Event driven pharmacology: unlike with inhibitors where prolonged engagement of the drug with the protein is required for efficacy, small molecule-based protein degraders only require engagement with the E3 ligase and the target protein long enough to induce tagging for degradation.
As described above, there are multiple potential advantages of the protein degradation approach, but one of the most intriguing is the potential to achieve greater therapeutic benefits resulting from the durable but reversible removal of a target protein from the cellular proteome.
Figure 3: Molecular Glue Degraders; Expanding Target Space, Fostering a New Generation of Drugs

Our approach
MGDs are small molecule-based protein degraders designed to modify an E3 ligase’s binding specificity and thus can employ the body’s natural mechanisms of protein destruction to selectively eliminate therapeutically relevant proteins.
Our QuEENTM discovery engine was built for the rational, target-centric discovery of potent and selective MGDs with favorable drug-like properties, thus potentially systematically overcoming common challenges of MGD discovery, as illustrated in Figure 4
Figure 4: QuEENTM is Redefining the Rules of MGD Discovery

We believe our discovery engine has the potential to continue to deliver MGD product candidates, including product candidates that could address target proteins that have been considered undruggable or inadequately drugged, while possessing attractive pharmaceutical properties. As shown in Figure 6, our initial programs utilize
cereblon as the E3 ligase system to tag target proteins. Through our generation of data-at-scale, AI/ML platform and proprietary MGD library we have expanded and continue to expand chemical and target space, and have now begun to leverage other E3 ligase systems.
Figure 5: Our Rational Approach to Unleash the Full Potential of MGDs

We have built our discovery engine on the insight that deep knowledge and understanding of features of protein surfaces drives MGD discovery. Surfaces and their unique features, which we call “glueprints”, mediate protein-protein interactions and targeted protein degradation. As shown in Figure 7, interrogating surfaces using geometric deep learning enables us to identify reprogrammable ligases and the matching target protein space, creating broad potential opportunities to eliminate undruggable, disease-driving proteins through “only-in-class” MGDs.
Figure 6: Surface Interactions Drive "Only-in-Class" MGD Designs

QuEENTM Discovery Engine
We design and develop MGDs in a rational and iterative approach using our industry-leading and dynamic QuEENTM discovery engine, encapsulating our team’s proprietary knowledge and discovery capabilities across biology, chemistry and computational sciences, and from which we are generating our library and pipeline of MGD product candidates. Through our discovery engine, we have built intellectual property that allows us to induce a high degree of surface complementarity between an E3 ligase and a target protein, potentially leading to high potency and selectivity of MGDs for the therapeutically relevant target proteins we select.
The QuEENTM discovery engine was built to support our approach to the discovery and development of MGD product candidates that degrade a wide landscape of therapeutically-relevant target proteins by (i) systematically identifying degrons and other surface features on target proteins that may enable ternary complex formation and consequential degradation initiated by E3 ligases, (ii) understanding how to reprogram the surface of endogenous E3 ligases using small molecule-based MGDs; and (iii) rationally designing MGDs that can be optimized towards high potency and selectivity, with favorable pharmaceutical properties. Our process of degron discovery and MGD design is highly iterative and interdisciplinary. Our quantitative mass-spectrometry-based proteomics and high throughput screening capabilities allow us to screen our library at scale to facilitate our discovery efforts. Powerful AI modeling learns from and guides our high throughput screening and chemo-proteomics, which in turn feed information back to the AI engine, and the accumulated knowledge is used to guide our MGD discovery programs and library expansion. For example, MGD discovery and development for a protein target can pass from degron identification, to MGD hit identification, to in silico improvement, to a round of chemo-proteomics validation, to chemical library alterations and back, until we reach the desired selectivity and degradation.
Our Proprietary MGD library
We discover and develop lead MGDs for degron-containing target proteins by screening our MGD library of currently over 75,000 MGD molecules, and applying proximity screening tools and our chemo-proteomic capabilities in QuEENTM. We continue to expand our highly diverse library of MGDs based on our growing expertise in MGD design, our knowledge of the cereblon-binding surface, and variations in target surface features and degrons. We have developed unique and innovative synthetic chemistry approaches to access over 1,000 scaffolds, each designed to probe three-dimensional structural and chemical property space differently. These scaffolds are being utilized as building blocks to generate our proprietary library of highly diverse compounds. The modular construction of our library allows us to explore different areas of chemical space and follow-up rapidly on hits from our library. Our highly diverse library of MGDs leverages different areas of the cereblon surface to
engage diverse degrons and surface features on target proteins. Our library has given rise to multiple series of MGDs for each of the target proteins currently being studied across our disclosed and undisclosed portfolio.
Our AI/ML engine identifies reprogrammable E3 ligases and E3 ligase-accessible target proteins
Our focus on protein surface characterization sets us apart, enabling us to identify reprogrammable E3 ligases as well as potential target proteins amenable to our approach. We have developed sophisticated and proprietary AI-powered algorithms to mine databases of protein sequences and structures, including structures determined from x-ray crystallography and cryoEM, and structures from predicted protein folding. fAIceit – our proprietary geometric deep learning engine for surface characterization - continuously learns from our expanding MGD library, identifying new degrons and surface features (“glueprints”) in targetable proteins across the proteome.
High throughput screening of our proprietary library identifies active MGDs
We have developed a suite of high-throughput assays that rapidly assess our proprietary MGD library and MGDs generated during specific programs. Coupled with customized automation and robotic systems, our assays can measure ternary complex formation in both a biochemical and cellular format, as well as measure degradation of target proteins in cells, which we use to screen, identify and rapidly optimize our MGDs.
Our quantitative proteomics profiling assays for neosubstrate identification and MGD optimization
Utilizing mass-spectrometry-based proteomics, we have developed a suite of unbiased high throughput quantitative profiling assays to assess cellular protein degradation, selectivity of degradation, target ubiquitination, and ternary complex formation. Combined with our end-to-end instrument, automation and computational infrastructure, the platform enables us to screen our library, identify new targets amenable to our approach, and drive our drug discovery programs rapidly from hit identification to development candidate.
Our structural biology platform enables the rational design of our MGDs
Leveraging high-throughput crystallization and cryo-electron microscopy, we have established a robust pipeline for generating high resolution protein structures. We use structural insights derived from these to support the design of our MGD library, rationally optimize our MGDs during lead optimization programs, and validate novel binding modes target proteins that are highly diverse with regards to the protein-protein interface involved.
Our QuEENTM discovery engine has enabled us to discover novel degrons, protein surface features and binding modes, some of which have been published in scientific journals such as Science, dramatically expanding our addressable target space. We have used our AI engine and a rational design approach to discover MGDs that are exquisitely selective, enabling us to potentially eliminate therapeutically relevant target proteins in pathways that are highly relevant for diseases with high unmet need in immunology, inflammation, cardiovascular diseases and oncology as well as other diseases.
QuEENTM expansion
Our QuEENTM discovery engine was originally focused on identifying and developing MGDs that induce the binding of degron-containing neosubstrates to cereblon as a means of targeting them for degradation. Using our established tools, we are expanding the scope of QuEENTM to further grow the cereblon target space, to leverage additional E3 ligases for targeted protein degradation, and to potentially extend the utility of our degraders to target multiple therapeutic targets.
•Expand chemical space: We are expanding the diversity and the chemical space covered by our MGD library based on our understanding of protein surfaces. Using structure-based design and AI-driven algorithms we have identified more than 1000 unique scaffolds which form the basis of our MGD library of over 75,000 compounds;
•Activate new E3 ligases: We believe that we will be able to reprogram other E3 ligases through the discovery of ligase specific MGDs as well as specific ligase-accessible degrons, thus enabling us to generate ternary complexes with a further subset of the approximately 600 E3 ligases;
•Grow target space: We believe expanding degron identification, identification of other protein surface features, E3 ligase activation, and MGD chemical space will unlock previously undruggable proteins for therapeutic intervention;
•Explore modality expansion: We believe our experience and capabilities enable us to expand the utility of small-molecule based induced-proximity for unique clinical applications.
Our Approach for Immunologic and Inflammatory Diseases
MRT-6160, a highly selective and orally bioavailable VAV1-directed MGD in development for the treatment of immune-mediated diseases
Overview
VAV1 is a Rho-family guanine nucleotide exchange factor that plays a critical role in T- and B-cell receptor signaling and activity. As many immune-mediated diseases are thought to be driven by an underlying dysregulation or hyperactivation of T- and/or B-cells, a VAV1-directed MGD, which we believe will ameliorate aberrant responses from both cell types, has broad potential application for immune-mediated diseases.
There are multiple published studies providing preclinical data supporting VAV1’s potential as an attractive target for attenuating T- and B-cell activity, as shown in Figure 7. Studies report that VAV1 knockout mice are viable and fertile, but display various loss-of-function T- and B-cell phenotypes, and are protected from experimentally induced autoimmune diseases. In addition, it was shown using whole-genome CRISPR screens in primary human T cells that VAV1 plays a key role in T-cell function and that genetic loss of VAV1 confers loss of IL-2 secretion, amongst other functional consequences.
We believe our VAV1-directed MGDs have the potential to modulate both T- and B-cell function as well as the cross talk between these cell types when activated in autoimmune disease. Despite being a preclinically validated target for attenuating T- and B-cell activity, VAV1 has remained undruggable to date using small molecule inhibitor approaches due to the lack of an appropriate binding pocket for small molecule inhibitor design. Therefore, targeting VAV1 with a VAV1-directed MGD and eliminating its activity through protein degradation could provide therapeutic benefits in multiple T- and/or B-cell mediated autoimmune diseases.
Figure 7: VAV1 is a Highly Validated Target for Attenuating T-cell and B-cell Activity

In October 2024, we and Novartis entered into a License Agreement under which we granted to Novartis an exclusive license to develop, manufacture, and commercialize VAV1-directed MGDs including MRT-6160. We were responsible for completing the Phase 1 clinical study and Novartis is responsible for all subsequent development and commercial activities starting at Phase 2. We received from Novartis an upfront payment of $150 million and are eligible to receive up to $2.1 billion in development, regulatory, and sales milestones, beginning upon initiation of Phase 2 studies and including potential development and regulatory milestone payments, exceeding $1.5 billion if multiple indications achieve regulatory approval in multiple territories. We and Novartis also agreed to a net profit and loss sharing arrangement, in which we will co-fund any global clinical development from Phase 3 onwards and will share 30% of any profits and losses associated with the manufacturing and commercialization of the licensed products in the United States. We are eligible to receive from Novartis potential sales milestone payments in connection with sales outside of the United States, and tiered royalties on sales outside of the United States. Novartis will be responsible for costs associated with any
subsequent clinical studies except for the Phase 3 cost covered by us under the profit and loss sharing agreement.
We have demonstrated, in vivo, that once daily oral dosing of MRT-6160 inhibited disease progression in well-established models of multiple sclerosis, rheumatoid arthritis, inflammatory bowel disease, and spontaneous autoimmune disease such as systemic lupus erythematosus and Sjogren’s disease, as shown in the Figures and discussion below. We believe the public literature, coupled with our data package, summarized herein, provides strong support for use of a VAV1-directed MGD in a broad range of systemic and CNS autoimmune diseases. Based on this support, we advanced our VAV1 development candidate, MRT-6160 into clinical studies. In August 2024, we announced initiation of our MRT-6160 Phase 1 single ascending dose/multiple ascending dose (SAD/MAD) study. Results from the Phase 1 study are provided herein.
Development of VAV1-directed MGDs
A summary of the VAV1 intracellular signaling pathway is illustrated in Figure 8.
Figure 8: VAV1 is a Key Regulator of T- and B-cell Receptor Activity

VAV1 is an upstream signaling node associated with multiple clinically validated pathways impacting immune cell functions, as shown in Figure 9. These include T cell activation, B cell activation and plasma cell differentiation, Th17 response, and pro-inflammatory cytokine production. Therapies targeting these pathways individually have been approved for multiple autoimmune and inflammatory diseases.
Figure 9: VAV1 is an Upstream Targeting Node Associated with Clinically Validated Pathways

MRT-6160 is a first-in-class molecular glue degrader of VAV1. MRT-6160 forms a strong ternary complex with VAV1 and cereblon through a newly characterized non-canonical degron which was unveiled through application of our QuEENTM discovery engine technologies. The unique character of the VAV1 degron and its interaction with cereblon induced by MRT-6160 result in a high degree of selectivity over commonly degraded neosubstrates and other closely related VAV family proteins. Our studies show that MRT-6160 degrades human VAV1 with a DC50 of 7 nM and Dmax of 97%, is orally bioavailable across species, and displays favorable in vitro ADMET properties. The favorable drug-like profile of MRT-6160 is summarized in Figure 10.
Figure 10: MRT-6160 is a Potent, Selective VAV1 MGD Development Candidate with a Favorable Drug-Like Profile

Degradation of VAV1 in peripheral immune cells was observed following MRT-6160 oral administration. Additionally, MRT-6160 has brain penetrance with anticipated dose dependent degradation of VAV1 in the CNS. Non-clinical safety profiling showed a clean profile with respect to mutagenicity (mini-Ames), hERG activity, CYP inhibition and induction, and broad off-target screening (CEREP panel).
Preclinical 28-day GLP toxicology studies in rats and non-human primates (cynomolgus macaque or cyno) demonstrated a highly favorable profile. The no-observed-adverse-effect-level (NOAEL) was set at the highest doses tested in both species. The exposure at NOAEL for rats was approximately 1000-fold over the projected human efficacious exposure, and the exposure at NOAEL for cynos was approximately 600-fold over the projected human efficacious exposure. In healthy cynos, no adverse immunotoxicity or impact on peripheral immune compartments was observed. There was no observed impact on bone marrow and peripheral hematopoietic cell counts. No gastrointestinal toxicity was observed. Furthermore, there were no off-target effects identified in in-vitro safety profiling, no genotoxicity, no phototoxicity, and no hERG activity.
The potency and selectivity profile of MRT-6160 was evaluated in primary human peripheral mononuclear blood cells (hPBMCs). As shown in Figure 11, left panel, MRT-6160 elicited dose-dependent degradation of VAV1 in primary human T and B cell subsets. As shown in Figure 11, right panel, tandem mass tag (TMT)-global proteomics assessment revealed selective degradation of VAV1 over its closely related family members VAV2 and VAV3 in addition to other proteins expressed in hPBMCs and detectable in the assay.
Figure 11: MRT-6160 Selectively Degraded VAV1 in Primary Human Immune Cells

MRT-6160 was further characterized for anticipated on-target pharmacodynamic and functional activity in primary human T and B cells. As shown in Figure 12, in primary human T cells (top panel), VAV1 degradation by MRT-6160 resulted in inhibition of TCR-mediated pharmacodynamic (CD69) and functional activity (IL-2 secretion and proliferation). In primary human B cells (bottom panel), VAV1 degradation by MRT-6160 resulted in inhibition of BCR-mediated pharmacodynamic (CD69) and functional activity (IL-6 and soluble IgG secretion) demonstrating expected on-target activity in disease-relevant cell types.
Figure 12: VAV1 degradation by MRT-6160 Resulted in Inhibition of T- and B-cell Receptor Signaling and Activity

In vivo validation of VAV1 MGD MRT-6160
MRT-6160 was evaluated in various well-established T- as well as T- and B-cell mediated in vivo models of autoimmune disease. In a T-cell-mediated experimental autoimmune encephalomyelitis (EAE) model of multiple sclerosis (Figure 13, left panel), daily oral dosing of MRT-6160 following disease onset inhibited disease progression in a dose-dependent manner comparable to that of supratherapeutic doses of dexamethasone, a corticosteroid used broadly in autoimmune disease. After 6 days of dosing, samples from mice were assessed by western blot for murine (m) VAV1 levels in diseased tissue. Shown in the right panel of Figure 13, MRT-6160 induced dose-dependent degradation of mVAV1 commensurate with inhibition of disease progression.
Figure 13: MRT-6160 Elicited Dose-Dependent Activity in a T-cell mediated Multiple Sclerosis Autoimmune Disease Model

MRT-6160 was also evaluated in a T- and B-cell mediated collagen-induced arthritis (CIA) model of rheumatoid arthritis. Mice were orally administered MRT-6160 daily following disease onset and scored for clinical signs of disease. As shown in Figure 14, left panel, 1 mg/kg MRT-6160 inhibited disease progression comparably to 10 mg/kg anti-TNF-Alpha antibody. The right panel of Figure 14 shows that treatment with MRT-6160 reduced the
serum levels of anti-collagen II IgG1 and total anti-collagen II IgG antibodies, demonstrating inhibition of auto-antibody production.
Figure 14: MRT-6160 Inhibited Disease Progression and Auto-Antibody Production in the Collagen-Induced Arthritis Disease Model

MRT-6160 was also evaluated in a T-cell transfer-induced model of colitis, as shown in Figure 15. In a prophylactic model shown in the left panel, mice were orally administered vehicle or MRT-6160 daily following T-cell transfer. Anti-TNF-Alpha antibody was administered intraperitoneally every third day as a standard of care control. Oral dosing with 1 mg/kg MRT-6160 demonstrated superior disease inhibition compared to 10 mg/kg anti-TNF-Alpha antibody. In a therapeutic model shown in the right panel, mice were orally administered MRT-6160 starting on Day 17 following disease induction. MRT-6160 was compared to two commonly used oral therapies for rheumatoid arthritis, a JAK inhibitor and a S1PR antagonist, as well as vehicle control. MRT-6160 was superior in controlling clinical signs of disease as compared to both active comparators.
Figure 15: MRT-6160 Ameliorated T Cell Transfer-Induced Colitis Equal to or Better than Standard of Care

Figure 16, left panel, shows reduction of inflammation-mediated damage and swelling of the colon following MRT-6160 treatment in the prophylactic T-cell transfer-induced model of colitis. The right panel of Figure 16 shows mesenteric lymph node and colon CD4+ T cell assessment by flow cytometry where MRT-6160 reduced the
frequency of IL-17A+, TNF-Alpha+, and IL-6+ CD4+ T cells, known drivers of inflammatory bowel disease in humans.
Figure 16: MRT-6160 Inhibited Inflammation-Mediated Damage and Cytokine Production in a Model of Inflammatory Bowel Disease

In a preclinical autoimmune disease model characterized by chronic inflammation, autoantibody production, and multi-organ involvement (Figure 17) administration of MRT-6160 resulted in broad activity across an array of disease markers, including attenuated autoantibody levels and reduced skin and kidney pathology. MRT-6160 was equivalent or superior to prednisone or anti-CD40L monoclonal antibody treatments across multiple metrics of disease pathology.
We believe these findings reinforce the breadth of MRT-6160's potential across multiple immune-mediated diseases, including systemic lupus erythematosus, Sjögren’s disease, rheumatoid arthritis, and others.
Figure 17: MRT-6160 Inhibited Disease Progression, Autoantibody Production, and Nephritis in the MRL-Faslpr Lymphoproliferative Autoimmune Model

In summary, these data further highlight the potential of MGDs to potently degrade otherwise ‘undruggable’ proteins such as VAV1, providing an opportunity to treat immune-mediated diseases with a novel, orally dosed modality capable of blocking multiple pathogenic immune and cytokine receptor pathways in parallel, thereby potentially providing greater clinical benefit, a strategy we are planning to continue to pursue through our portfolio of MGDs.
MRT-6160 Phase 1 Study
In a Phase 1 study of healthy volunteers, MRT-6160 was dosed in five SAD dose level cohorts and three MAD dose level cohorts, as shown in Figure 18. All cohorts were randomized and placebo controlled, and over 70 subjects were enrolled in total. The primary endpoint of the study was safety and tolerability of MRT-6160. The secondary endpoints were pharmacokinetic and pharmacodynamic assessments using various readouts in multiple different analytes.
Figure 18: MRT-6160 Phase 1 Healthy Volunteers Study Design and Objectives

VAV1 degradation was assessed by flow cytometry of CD3+ T cells and CD19+ B cells, as shown in Figure 19. In addition, ex vivo activation of whole blood was performed to assess T and B cell functions, including CD69 upregulation on T and B cells measured by flow cytometry, and cytokine secretion measured by immunoassay.
Figure 19: In-Vitro Assay Validation of PD and Immune Cell Functional Testing

Analysis of plasma concentrations of MRT-6160 over time demonstrated a dose dependent human pharmacokinetic profile, as shown in Figure 20. MAD dosing resulted in an approximately two-fold increase in exposure at steady state. No food effect was observed.
Figure 20: MRT-6160 Displayed a Dose-Dependent Human Pharmacokinetic Profile

As shown in Figure 21, MRT-6160 achieved degradation exceeding 90% at all but DL1 of the SAD cohorts and at all MAD cohorts, based on analysis of peripheral blood T cells. Reduction of VAV1 protein levels was sustained, with dose-dependent recovery following cessation of treatment. Similar results were observed in peripheral blood B cells.
Figure 21: MRT-6160 Achieved Dose-Dependent Degradation >90% in Peripheral Blood T cells After Single and Multiple Dose Administration

VAV1 degradation by MRT-6160 resulted in significant functional inhibition of T and B cells following ex vivo activation of T and B cell receptors in cells derived from whole blood, as shown in Figure 22 for all SAD cohorts. MRT-6160 treatment significantly attenuated CD69 upregulation (a marker of immune cell activation) on T and B cells following TCR stimulation, reflecting functional inhibition of both cell types. In addition, MRT-6160 treatment significantly inhibited IL-2, IFN-γ and IL-17A secretion from whole blood derived T cells following ex-vivo activation of T cell receptor signaling, demonstrating reductions of up to 99% from pre-dose levels. MRT-6160 also attenuated IL-6 production by 60-90% across dose levels, and over 80% at all but the lowest dose level, following B cell activation. Alignment with the pharmacodynamic studies above suggests robust functional effects on cytokine production can be achieved with 80% and higher degradation of VAV1.
Figure 22: VAV1 Degradation by MRT-6160 Resulted in Significant Functional Inhibition of T and B Cells

Suppression of CD69 upregulation following single or multiple doses of MRT-6160 and subsequent ex vivo TCR stimulation of whole blood derived cells was significant (>90%) as well as sustained during post treatment observation periods, as shown in Figure 23 (data for selected SAD and MAD dose shown as example). Similar results were observed in peripheral blood B cells following BCR-stimulation.
Figure 23: MRT-6160 Resulted in Sustained Suppression of TCR-mediated CD69 Activation following Single or Multiple Doses of MRT-6160

MRT-6160 demonstrated a sustained effect on TCR-mediated cytokine production following single and multiple dose administration and ex vivo stimulation of whole blood derived cells, as shown in Figure 24. MRT-6160 treatment resulted in significant and sustained suppression of IL-2, IL-17A and IFN-γ secretion from whole blood derived T cells following ex-vivo activation of T cell receptor signaling (data for selected SAD and MAD dose shown as example).
Figure 24: MRT-6160 Resulted in Sustained Suppression of TCR-mediated Cytokine Production following Single or Multiple Doses of MRT-6160

MRT-6160 was well tolerated with no serious adverse events, or SAE, observed. Observed treatment-emergent adverse events, or TEAEs, were mild (82%) or moderate (18%) and self-limiting. Overall TEAE frequency was similar between MRT-6160 and placebo. TEAEs observed in 2 or more subjects treated with MRT-6160 were: in the SAD cohorts, pain from vessel puncture (2); in the MAD cohorts, cough (2), diarrhea (3), feeling hot (4), headache (5), nasal congestion (2), oropharyngeal pain (3) and pyrexia (2).
In summary, the pharmacodynamic and functional ex-vivo studies suggest significant effects on cytokine production can be achieved following treatment with MRT-6160. Furthermore, we believe the levels of VAV1
degradation observed clinically are consistent with levels of degradation required to induce efficacy in the preclinical models tested so far. The functional impact on cytokine production is also consistent with levels predicted to be required to achieve efficacy in humans, based on benchmark clinical data from other compounds.
In summary, we believe the Phase 1 data described here as well as our chronic toxicology package support a clear path into Phase 2 studies and broad potential applications of MRT-6160 in multiple immune-mediated diseases.
NEK7-directed MGDs for the treatment of inflammatory disease
Overview
The NLRP3 inflammasome is a multi-protein complex that functions as a central signaling hub integrating stimuli derived from pathogens, cellular damage, metabolites and metabolic stress, ultimately triggering the production of pro-inflammatory cytokines, and is implicated in numerous inflammatory diseases. Activation of the NLRP3 inflammasome critically depends on NIMA-related kinase 7, or NEK7, a serine/threonine kinase that is essential to trigger the assembly of the active NLRP3 inflammasome complex in a NEK7 kinase-independent manner. As depicted in Figure 25, aberrant NEK7-dependent activation of the NLRP3 inflammasome leads to the release of highly inflammatory mediators, including the cytokines IL-1α, IL-1β, and IL-18, through a form of cell death known as pyroptosis. The NLRP3 inflammasome and above mentioned cytokines have been implicated in multiple inflammation-driven diseases, including ASCVD, gout, hidradenitis suppurativa, pericarditis, osteoarthritis, and obesity. Given the central role of NEK7 in pathological NLRP3 inflammasome activation and in disease initiation and progression, targeted degradation of NEK7 with a highly selective MGD, such as our product candidate MRT-8102, may effectively suppress NLRP3 inflammasome activity at the most upstream intervention point, thus leading to the broadest downstream inhibition of inflammatory signaling possible, thereby potentially inducing more effective disease resolution than currently approved agents.
Figure 25: NEK7 Enables NLRP3 Inflammasome Assembly and Activation, Pyroptotic Cell Death and Release of Highly Inflammatory Cytokines and DAMPs

Extensive clinical data support the relevance of IL-1 and NLRP3 inflammasome signaling across multiple diseases in large therapeutic areas spanning cardiovascular, rheumatologic, respiratory, dermatologic, neurologic, and metabolic conditions. Cytokine-targeting agents that act downstream of the NLRP3 inflammasome, such as rilonacept (an IL-1α/β blocker) and canakinumab (an IL-1β blocker), have demonstrated clinical activity across several of these inflammatory diseases, including recurrent pericarditis and ASCVD, respectively, as illustrated in Figure 26. Despite the reported activity of IL-1 targeting agents like rilonacept and canakinumab, we believe that upstream therapeutic degradation of NEK7 will drive more complete suppression of the full spectrum of inflammasome-driven signals and thus, may offer even greater benefit to patients.
Figure 26: The NLRP3 Inflammasome and IL-1 Signaling are a Clinically Validated Pathway for Inflammatory Diseases

Below, we describe our internal in vitro and in vivo studies supporting the essential role of NEK7 in cytokine production downstream of NLRP3 inflammasome activation across multiple species, including mouse, rabbit, and cynomolgus monkey. We present evidence that MRT-8102 and related NEK7 MGDs can potently and selectively suppress NLRP3 inflammasome activity in disease models, leading to meaningful improvements in disease burden. Finally, we provide data suggesting that existing therapeutics, such as the GLP-1 receptor agonist semaglutide, may partially function through downregulation of NEK7 expression, although sub-optimally, to achieve anti-inflammatory activity and efficacy, further confirming the crucial role NEK7 plays in the pathological activation of the NLRP3 inflammasome.
Identification of a NEK7 degron and NEK7-directed MGDs
The kinase-independent, scaffolding function of NEK7 in activating the NLRP3 inflammasome suggests that degradation of NEK7 could be an effective way to block NLRP3 inflammasome activation. Indeed, we have demonstrated experimentally that removal of NEK7 by MGD-mediated degradation is an efficient way to prevent NLRP3 inflammasome formation and therefore has the potential for deep pathway inhibition through disassembly of the NLRP3 inflammasome.
Our discovery efforts resulted in the identification of MRT-8102 as a first-in-class NEK7 MGD. As shown in Figure 27, MRT-8102 induces a strong ternary complex of NEK7 with cereblon via a canonical G-loop degron (left panel), resulting in profound NEK7 degradation (DC50 10 nM and Dmax 89%; right panel). MRT-8102 is highly selective against known cereblon neosubstrates and more importantly, against other NEK family members (also see below), is orally bioavailable across multiple species tested, and displays favorable in vitro ADMET properties. Non-clinical safety profiling showed a clean profile with respect to mutagenicity (mini-ames), hERG activity, and broad off-target screening (CEREP panel).
Figure 27: MRT-8102 is a Potent and Selective Investigational NEK7 MGD with a Favorable Drug-Like Profile

The amino acid sequence of the NEK7 degron is unique among the NEK family members, indicating the potential to identify MGDs that are highly selective for NEK7. As shown in Figure 28, human peripheral blood mononuclear cells (PBMC) were treated with MRT-8102 for 24 hours, followed by TMT-global proteomic profiling. Profound and highly selective degradation of NEK7 is evidenced by a several-fold decrease in NEK7 protein, without significant changes in other detected proteins. Other NEK family members are highlighted on the volcano plot and were not degraded. Several other cell lines and types, including U937, MM1S, iPSCs, and PBMCs derived from cynomolgus monkeys revealed similarly selective proteomic profiles when treated with MRT-8102.
In a PK/PD study in cynomolgus monkeys, a single oral dose of 10 mg/kg of MRT-8102 was sufficient to achieve deep and sustained NEK7 degradation beyond the PK exposure window of the compound (Figure 28, right panel).
Figure 28: MRT-8102, a Potent and Highly Selective NEK7-directed MGD, Induces Durable Pharmacodynamic Modulation In Vivo

MRT-8102 is differentiated from existing NLRP3-IL-1-IL-6 targeting agents
MRT-8102 is an orally bioavailable molecular glue degrader that is designed to selectively and catalytically degrade NEK7 to suppress NLRP3 inflammasome activity. As compared to small molecule inhibitors of the NLPR3 inflammasome, NEK7 degradation by MRT-8102, as shown schematically in Figure 29, leads to long-lasting inflammasome disassembly and sustained inhibition of cytokine release, most importantly without the on/off pathway inhibition characteristic of inhibitors. Moreover, MRT-8102 is exquisitely selective for NEK7, as confirmed by our proteomics work, which may help minimize the risk of off-target effects.
Figure 29: MRT-8102 Induces Catalytic NEK7 Degradation, Long-lasting Inflammasome Disassembly, and Sustained Inhibition of Cytokine Release

Beyond deeper and more sustained pathway inhibition, we believe targeting NEK7 will provide safety advantages over NLRP3 inhibitors, as NLRP3 has been shown to have inflammasome-independent functions, potentially impacting safety. Toxicities with NLRP3 inhibitors have been reported preclinically and clinically and several NLRP3 inhibitors have been discontinued, potentially due to lack of selectivity and resulting toxicities.
Given that MRT-8102 prevents inflammasome assembly and activation, it is highly effective at suppressing pyroptosis, the pathological event that is ultimately responsible for the release of disease-promoting cytokines, such as IL-1α, IL-1β and IL-18, as well as damage-associated molecular patterns (DAMPs), which are known to be important drivers of the inflammatory process. Although various mono- and bi-specific biologics currently under investigation can robustly target one or more of these cytokines downstream of pyroptosis, ultimately, these classes of therapeutics may be limited by their inability to suppress the full spectrum of disease-relevant cytokines and more importantly the release of DAMPs as highlighted in Figure 30. Furthermore, whereas MRT-8102 selectively reduces the pool of cytokines driven by NLRP3 inflammasome activation, biologics, like IL-1 and IL-6 targeting antibodies may indiscriminately inhibit this pool of cytokines, irrespective of their source, and thus potentially elevate infection risk by impacting immune pathways beyond the NLRP3 inflammasome pathway. Such pathways might include other inflammasomes (e.g. AIM2, NLRC4, NLRP1), protease-mediated IL-1 activation, alternative inflammasome activation downstream of TLR4 and passive release from dying cells.
As shown in Figure 30, right panel, whereas MRT-8102 effectively prevented pyroptosis and DAMP release, anti-IL-1 and IL-6 agents failed to significantly inhibit these processes in stimulated human monocyte-derived macrophages (hMDM), suggesting that mono- and potentially bispecific biologics may incompletely block the multitude of pathological drivers of disease.
Figure 30: MRT-8102 Potently Inhibits Pyroptotic Cell Death in Stimulated hMDM

NEK7 MGDs Demonstrate Compelling Efficacy Across a Number of Disease Models and Species
We showed that sustained NLRP3 inflammasome inhibition through NEK7 MGDs drives compelling improvements in disease severity across multiple models and species. Models tested in the course of our NEK7 program include two independent mouse models of cardiovascular disease (Figure 31, left panel) looking at reductions in cardiac damage, a rabbit-based gout model (Figure 31, middle panel) investigating whether MRT-8102 treatment leads to a decrease in severity of monosodium urate (MSU)-induced flares, and a cynomolgus monkey-based diet-induced obesity model (Figure 31, right panel) investigating the potential of a NEK7 MGD to reduce body weight and liver inflammation as a monotherapy or in combination with semaglutide.
Figure 31: MGD-Mediated NEK7 Degradation Improved Disease Burden Across a Wide Range of Disease Models Spanning Multiple Species

Mouse models of cardiac damage
In an acute myocardial infarction (AMI) study conducted in CRBN-I139V mice (Figure 31, left panel), i.e. mice with a partially humanized CRBN protein sequence, the effects of prophylactic dosing with MRT-8102 were compared with an anti-IL-1R antibody and the NLRP3 inhibitor MCC950. Outcomes were evaluated histologically to assess infarct size. Coronary arterial ligation (60 min), followed by reperfusion led to significantly sized infarcts in vehicle-treated animals at the 24-hour timepoint. In contrast, prophylactic treatment with MRT-8102, an anti-IL-1R antibody and MCC950 significantly reduced infarct size. Collectively, these data support the pathological role of aberrant NLRP3 inflammasome activity in myocardial infarction and the therapeutic value of targeting NEK7 as a differentiated approach.
In a pericarditis model, also established in CRBN-I139V mice, the effects of prophylactic dosing with the same agents evaluated in the AMI model were assessed (Figure 31, middle panel). As neutralization of IL-1 and inhibition of IL-1 signaling is a clinically approved approach to treat recurrent pericarditis, treatment with an anti-IL-1R antibody served as a positive control in this study. Administration of zymosan, a potent immunostimulant, to the pericardium resulted in a significant increase in pericardial effusion relative to sham controls. In contrast, prophylactic treatment with MRT-8102, an anti-IL-1R antibody, or MCC950 significantly reduced pericardial effusion. Notably, MRT-8102 demonstrated superior efficacy compared with anti-IL-1R antibody treatment. Since the anti-IL-1R antibody blocks the action of both IL-1α and IL-1β (as does rilonacept, which is clinically approved for use in recurrent pericarditis), these data suggest that the activity of MRT-8102 in a model of pericarditis is in fact broader than blockade of the downstream IL-1 cytokines alone.
Rabbit rheumatology model of gout
In addition to inflammatory diseases of the heart, MRT-8102 also demonstrated activity in a rabbit model of gout. Following intra-articular injection of MSU crystals, marked joint swelling was observed, peaking at approximately 24 hours. Despite achieving only ~40% degradation of NEK7 in rabbits, due to limited homology between human and rabbit CRBN, prophylactic administration of MRT-8102 on Day -1 resulted in a three-fold reduction in peak joint swelling and accelerated resolution of inflammation, with swelling returning to baseline levels, comparable to rabbits not injected with MSU crystals, by days 3 - 6 (Figure 31, right panel).
Cynomolgus monkey diet-induced obesity model
In addition to acute inflammatory indications, MGD-mediated NEK7 degradation also demonstrated activity in chronic metabolic diseases such as obesity. In a cynomolgus monkey model of diet-induced obesity, animals with body mass index ≥ 40 kg/m2 were selected from a colony of animals maintained on a high-fat diet and randomized across treatment groups. A NEK7 MGD with similar properties to MRT-8102 was used for this study. Following single-agent NEK7 MGD treatment for 11 weeks, an approximately 8% reduction in body weight was observed relative to vehicle. When combined with the GLP-1 receptor agonist semaglutide, >23% body weight loss was achieved relative to vehicle treatment (Figure 32, left panel). In addition to monitoring total body weight, dual-energy X-ray absorptiometry (DEXA) body composition analysis was also performed. Notably, the combination treatment demonstrated preferential activity in central abdominal fat, a region associated with elevated metabolic risk, with proportionally greater reductions observed relative to other fat depots such as the gynoid region (Figure 32, middle, right panels).
Figure 32: NEK7 MGD, Alone or in Combo with Semaglutide, Drives Preferential Abdominal Fat Loss While Sparing Lean Mass in a DIO Cyno Monkey Model

Intriguingly, while, as expected, >90% degradation of NEK7 was observed by Western blotting in PBMCs in the NEK7 MGD treatment arms, a significant reduction in NEK7 levels of about 40 – 50% was also detected in the semaglutide single agent treatment arm (Figure 33, left panel). These findings may suggest a mechanism through which GLP-1R agonists suppress NLRP3 inflammasome activity analogous to NEK7 MGD treatment, albeit less potently and reliably. Consistent with the central role of NEK7 in NLRP3 inflammasome signaling, NEK7 levels across treatment arms correlated with changes in plasma IL-18, a canonical inflammatory cytokine associated with NLRP3 inflammasome activity (Figure 33, right panel).
Figure 33: Anti-inflammatory Activity of NEK7 MGD and Semaglutide May Partially Overlap at the Level of NEK7 Degradation/Downregulation and NLRP3 Inflammasome Inhibition

Collectively, we believe these studies demonstrate that targeted degradation of NEK7 by MRT-8102 or other NEK7-directed MGDs enables deep and sustained suppression of NLRP3 inflammasome activity across multiple
species and disease models, including cardiovascular injury, gout, and metabolic diseases. We believe these studies validate a broad and pivotal role of NEK7 in the pathogenic activation of NLRP3 inflammasomes.
In conclusion, by intervening upstream of where cytokine blocking biologics act, we believe that NEK7 degradation may offer the potential for broader and more durable therapeutic benefit across a wide range of inflammation-driven diseases and potentially carry less risk of infections.
Market Opportunities for NEK7-directed MGDs
ASCVD
We believe there are multiple attractive opportunities for NEK7-directed MGDs across a wide range of NLRP3 inflammasome-driven indications, including a particularly attractive opportunity in ASCVD. While LDL cholesterol lowering agents are a well-established part of the treatment paradigm, patients that achieve their LDL-C targets still experience up to a 40% chance of life-threatening cardiovascular events (Holtrop et al. European Journal of Preventive Cardiology, 2024). We believe this demonstrates the substantial residual risk not fully addressed by LDL-C lowering and speaks to the promise and importance of complementary approaches such as targeting the NEK7/NLRP3 pathway.
The role of the NLRP3 inflammasome and IL-1β in ASCVD has been well established through various approaches, including through the key findings of the landmark CANTOS clinical trial. In this study, canakinumab, a monoclonal antibody targeting IL-1b was dosed in over 10,000 patients with prior myocardial infarction and high sensitivity C-reactive protein (hsCRP, a marker of inflammation) levels of > 2 mg/L, a threshold above which there is higher risk of cardiovascular events and mortality. Treatment led to a significant reduction in hsCRP and a significantly lower rate of recurrent cardiovascular events than in placebo treated patients, independent of lipid lowering. Despite the significant efficacy noted, canakinumab was also associated with a higher incidence of fatal infections than was placebo, which ultimately yielded an unfavorable risk-benefit profile. The higher risk of infections is likely due to the above-mentioned indiscriminate and deep suppression of an NLRP3 inflammasome-independent pool of IL-1b, a cytokine that plays a critical role in host protective immunity elicited by multiple different pathways.
We believe upstream targeting of the NEK7/NLRP3 pathway may have greater potential than downstream IL-6 biologics in ASCVD. Figure 34 shows how monocytes, upon uptake of oxidized LDLs, become the initiator and driver of disease through chronic activation of NLRP3 inflammasomes and consequential pyroptosis. This pathological activation of NLRP3 inflammasomes promotes plaque destabilization and downstream CV events through contribution of cellular debris, lipids and further recruitment of bone marrow derived macrophages to the growing plaques. Given the essential involvement of the NLRP3 inflammasome in this process, we believe that suppression of pyroptosis through degradation of NEK7 and disassembly of the NLRP3 inflammasome with MRT-8102 could be an effective means by which to stabilize plaques and hence reduce cumulative incidence of MACE.
Figure 34: NLRP3 Inflammasome Activation Promotes Plaque Growth, Destabilization and CV Events

As shown in Figure 35, an unbiased analysis using an in-house generated NLRP3 inflammasome activity signature, using our proprietary BreakthruTM data science engine across more than 1000 datasets spanning
hundreds of diseases identified ASCVD as one of the top-ranking conditions with strong NLRP3 inflammasome activation. As expected, cryopyrin-associated periodic syndromes (CAPS), a group of rare and hereditary autoinflammatory disorders, also scored highly in our analysis. CAPS is known to be driven by constitutively active NLRP3 mutants, providing a positive control to this analysis. Interestingly, in addition to CAPS and ASCVD, we noted other diseases, such as gout and hidradenitis suppurativa (HS), also scored highly in our analysis, suggesting MRT-8102 or next generation molecules could offer broad therapeutic value across these indications.
Figure 35: ASCVD, HS and Gout Rank Amongst Top NLRP3 Inflammasome Activated Indications

Consistent with the transcriptomic study, an unbiased genetic association analysis, also performed through our BreakthruTM data science engine and shown in Figure 36, found an NLRP3 gain-of-function single nucleotide polymorphism, or SNP, to be significantly associated with increased downstream CV events including stroke, coronary artery disease, and peripheral artery disease, further supporting the role of the NLRP3 inflammasome in driving disease pathology. By comparison, although IL-6 signaling was also associated with CV outcomes, the effects were weaker than those observed for NLRP3, implying that upstream targeting of NLRP3 inflammasome activity may have the potential for greater efficacy than targeting downstream cytokines such as IL-6. In summary, these data strongly support an opportunity for MRT-8102 in the treatment of CV indications and the management of elevated CVD risk.
Figure 36: Human Genetics Supports Causal Relationship Between NLRP3 and ASCVD

Gout
Gout is a painful, chronic inflammatory arthritis driven by elevated uric acid levels that result in MSU crystal deposition in joints. These crystals potently activate NLRP3-inflammasome-mediated inflammation, leading to recurrent flares with intense pain. Nearly 30% of gout patients are comorbid with stage 3/4 chronic kidney disease (CKD), a condition that both elevates uric acid levels and increases gout risk. Current treatment options present significant limitations in this population. Many therapies are contraindicated in CKD or lack long-term safety data, often requiring dose titration and close monitoring. The anti-IL-1β antibody canakinumab, approved for treatment
of gout patients including those with CKD comorbidity, has demonstrated efficacy in resolving acute flares, further validating the role of the NLRP3 inflammasome in the disease pathology of Gout. However, due to safety concerns, such as the risk of serious infections, canakinumab is not approved for prophylactic use.
Conversely, the urate-lowering therapy pegloticase is approved for chronic, refractory gout as a prophylactic treatment. Yet nearly 70% of patients experience flares within the first three months of therapy. Together, these examples highlight the persistent treatment challenges in the prophylactic setting, coupled with safety concerns in CKD patients, underscoring the need for new and safer therapeutic approaches capable of resolving acute flares while also preventing recurrent flares.
Our studies demonstrated that MRT-8102 significantly reduced MSU crystal–induced caspase-1 activation and downstream pyroptosis, with greater potency than the NLRP3 inhibitor selnoflast, as shown in Figure 37. By blocking pyroptosis, MRT-8102 may not only attenuate inflammatory severity but also preserve macrophage viability, potentially enhancing phagocytic clearance of MSU crystals, the underlying trigger of disease pathology. Consistent with these in vitro findings, MRT-8102 demonstrated robust activity in a rabbit model of gout as previously described in Figure 31 (middle panel). In addition to improving joint swelling, MRT-8102 treatment also led to statistically significant reductions in pathologic musculoskeletal ultrasound findings and histopathology scores at the end of the study, further supporting a robust resolution of gout flares (Figure 36; bottom right).
Collectively, these data, together with the clinical validation of IL-1 pathway inhibition through canakinumab, support a compelling potential development opportunity for MRT-8102 as a differentiated therapeutic for gout—either as a single agent or in combination with standard-of-care urate-lowering therapies.
Figure 37: MRT-8102 Inhibits NEK7/NLRP3 Pathway and Has Potential to Resolve and Prevent Gout Flares

Hidradenitis suppurativa (HS) Hidradenitis suppurativa (HS) is a chronic, complex inflammatory skin disease characterized by painful, recurrent nodules and abscesses that may progress to sinus tract formation and fistulae. Molecular profiling of HS lesions has identified several signaling pathways that contribute to disease pathogenesis, leading to the approval of targeted therapies such as anti-TNF agents (adalimumab) and anti-IL-17 therapies (secukinumab and bimekizumab). Despite these advances, physicians estimate that approximately 55% of patients remain inadequately controlled on current standards of care, suggesting that additional inflammatory pathways contribute meaningfully to disease pathology.
HS is strongly associated with metabolic syndrome, including dyslipidemia, obesity, and insulin resistance, highlighting a potential role for metabolically driven inflammation in disease pathogenesis. In this context, the NLRP3 inflammasome is thought to be an important mediator of disease pathology, as it can be activated by metabolic danger signals such as elevated free fatty acids and hyperglycaemia. Consistent with published findings, our internal data science analyses demonstrate that NLRP3 inflammasome activity is markedly elevated in HS lesions, at levels comparable to or exceeding those observed in atherosclerotic plaques (Figure 35).
Notably, NLRP3 inflammasome activity remains significantly higher in anti-TNF non-responders compared with responders, suggesting that NLRP3-mediated inflammation may represent one of the dominant pathogenic drivers in this subset of patients (Figure 38). Further supporting this concept, the dual anti-IL-1α/β antibody lutikizumab recently demonstrated positive Phase 2 results in moderate-to-severe HS, particularly among patients who had previously failed anti-TNF therapy. Treatment with 300 mg every other week resulted in significantly higher HiSCR75 response rates (≥75% reduction in abscesses and inflammatory nodules) compared with placebo, along with meaningful reductions in skin pain at Week 16.
Figure 38: NLRP3-IL-1b Axis is Significantly Active in HS Lesions, Particularly in the Anti-TNF Non-responder Setting

Collectively, these data support a pathological role for aberrant NLRP3 inflammasome activation in HS and highlight a compelling development opportunity for MRT-8102 in both anti-TNF–naïve and anti-TNF–refractory settings, either as monotherapy or in combination with currently approved agents. Moreover, given the efficacy observed for NEK7 MGDs in diet-induced obesity models (Figure 32), MRT-8102 may reduce upstream metabolic danger signals, further reinforcing NLRP3 inhibition and potentially enabling more durable disease control.
MRT-8102 toxicology studies suggest considerable safety margin
In 28-day repeat-dose GLP toxicology studies in male and female rats and cynomolgus monkeys, no MRT-8102 related clinical signs, nor changes in immunophenotyping, and no gross or clinical pathology findings were observed at any dose level. Therefore, the no-observed-adverse-effect levels (NOAEL) were established at the highest doses tested in these studies, respectively. Additional IND-enabling GLP safety studies did not indicate significant safety concerns related to in vitro off-targets, mutagenicity, phototoxicity, hERG, or in vivo respiratory or CNS safety pharmacology (assessed in rats) and cardiovascular safety pharmacology (assessed in cynomolgus monkeys).
In a long-term toxicology study in cynomolgus monkeys, deep and sustained pathway inhibition was well tolerated following daily dosing of MRT-8102 for three months. There were no test-article related findings, and the NOAEL was determined as the highest dose tested. No body weight loss, unscheduled deaths, or clinically meaningful changes in hematology or clinical chemistry parameters were observed. Furthermore, no gross pathological findings were identified throughout the duration of the study.
In totality, our preclinical safety assessments suggest an at least 200 to 300 fold therapeutic margin over the projected human dose.
MRT-8102 Phase 1 SAD and MAD Study Interim Clinical Results
Based on the promising preclinical profile of MRT-8102, in July 2025, we initiated dosing in a Phase 1 combined SAD and MAD study (Figure 39). The primary endpoint was safety and tolerability. Key secondary and exploratory endpoints included pharmacokinetics and inflammatory markers, including assessment of NEK7
degradation in peripheral blood T cells by flow cytometry, changes in the acute-phase reactants hsCRP and fibrinogen, levels of endogenous IL-6 in blood and cerebrospinal fluid, and IL-1β levels following ex vivo stimulation.
Interim results were based on a data cut-off date of December 23, 2025. In the SAD cohorts, we enrolled 48 participants across 5 dose levels ranging from 40 mg to 400 mg, and in the MAD cohorts, we enrolled 40 participants across 5 dose levels ranging from 5 mg to 200 mg. The 40 mg dose cohort of the ongoing Part 3 of the study, which evaluates MRT-8102’s activity at 40 mg for 28 days in subjects with elevated CVD risk, is expected to enroll approximately 36 subjects. As of the data cutoff date, 24 subjects had completed 4 weeks of dosing and CRP assessment.
Figure 39: MRT-8102 Phase I Study – Dose Levels and Endpoints

Consistent with our preclinical studies, we observed rapid and marked degradation of NEK7 in peripheral blood T cells following a single administration of MRT-8102 (Figure 40). Using flow cytometry, approximately 80-90% NEK7 degradation was noted at 6 hours post a single dose of MRT-8102, a level that was sustained following multiple administrations, ranging from 7 days in the MAD portion of the trial to up to 4 weeks in the Part 3 portion of the study. In the MAD portion, a dose as low as 5 mg achieved considerable degradation of NEK7 24h after the last of 7 doses, and levels of degradation at 5 mg where similar to those at the higher doses tested. These results were consistent with preclinical data from our cyno PK/PD studies, which also suggested that at these levels of NEK7 degradation deep pathway inhibition, including suppression of IL1b upregulation on ex vivo stimulation, can be achieved.
Figure 40: MRT-8102 Achieved 80 – 90% NEK7 Degradation in Peripheral Blood T Cells After Single and Multiple Dose Administration

In light of achieving NEK7 degradation of 80 to 90% across all dose levels, we analyzed downstream inflammatory markers, including hsCRP, in aggregate across all SAD dose level cohorts. In this analysis, we observed a significant reduction in high-sensitivity CRP after a single dose of MRT-8102, as shown in Figure 41. Across all subjects treated with a single dose of MRT-8102, most of whom had normal CRP levels at baseline, we observed a 52% reduction in CRP at 96 hours post-dose. As expected, the reduction in CRP was greater in subjects with higher median baseline CRP, with median CRP reductions at 96 hours of 72% and 78% in the subsets with baseline CRP ≥ 1 mg/L and ≥ 2 mg/L, respectively. Comparable activity was noted across all SAD dose levels, ranging from 40 to 400 mg, suggesting the potential for a wide range of doses to be available for future development.
Figure 41: Single Dose of MRT-8102 Led to Significant Reduction in Serum hsCRP

Comparable results were obtained from the MAD (7 days of dosing) portion of the study, detailed in Figure 42. Similar to the SAD part of the study, we were able to analyze all MAD dose level cohorts in aggregate, based on comparable NEK7 degradation levels achieved across 5 to 200 mg. Through this analysis, we observed a 61% reduction in CRP in all subjects treated with MRT-8102, and greater reductions in subjects with elevated baseline median CRP levels, approaching nearly 80% in subjects with median baseline CRP of ≥1, ≥2, or ≥3 mg/L. Of note, individuals with CRP levels of 2 mg/L or higher are at greater risk of CV events; lowering CRP levels below this threshold is crucial for reducing CV morbidity and mortality.
Figure 42: Multiple Daily Doses of MRT-8102 Led to Significant and Sustained Reduction of Serum hsCRP

Based on 7 days of treatment, 7 of 9 (78%) subjects with baseline CRP ≥ 2 mg/L achieved hsCRP suppression to < 2 mg/L, indicative of the potential to lower CV risk, as shown in Figure 42. The frequency of subjects’ hsCRP value dropping to < 2 mg/L was 67% and 78% depending on whether a baseline level of >= 3 mg/L or >= 2 mg/L was used as a cut off (Figure 43).
Figure 43: Multiple Daily Doses of MRT-8102 led to significant proportion of subjects achieved hsCRP reduction to <2 mg/L*

To gain a deeper, mechanistic understanding of MRT-8102’s impact on CRP, we monitored plasma levels of the pro-inflammatory cytokine IL-6, a well-characterized stimulator of CRP production and secretion from the liver, as detailed in Figure 44. Consistent with the previously noted reduction in CRP, MRT-8102 treatment significantly reduced IL-6 by 55% in the 14 MAD subjects with a median baseline CRP ≥ 1 mg/L. Importantly, the absolute levels of IL-6 were reduced below the threshold of 1.65 pg/mL defined by the previously mentioned CANTOS study, a level below which a significant decrease in the risk of CV events and mortality was reported.
Knowing that the NLRP3/IL-1b axis stimulates IL-6 production, we also investigated the impact of MRT-8102 on IL-1β production and secretion in ex vivo whole-blood stimulation experiments. Consistent with the strong reduction in CRP observed in subjects with elevated baseline CRP, and despite relatively modest induction levels under the assay conditions used, we observed a comparable, near 80% inhibition of IL-1β secretion in whole-blood ex vivo assays from these subjects following multiple administrations of MRT-8102. Importantly, we observed a correlation between NEK7 degradation and IL-1β levels throughout the dosing period, as shown here for a representative subject that displayed about 80% degradation and close to 90% inhibition of IL-1β (80.6% and 87%, respectively) at day 5 post dosing. In summary, MRT-8102, during the MAD portion of our Phase 1 study,
effectively inhibited the entire NLRP3-IL-1β-IL-6-CRP axis, reducing critical biomarkers to levels associated with a significantly reduced risk of CV events and mortality.
Figures 44: Multiple Daily Doses of MRT-8102 Led to Reductions of IL-6 and IL-1β

We sought to characterize the impact of MRT-8102 on CSF inflammatory markers, including CRP and IL-6, following administration of MRT-8102 at a single dose level of 100mg (Figure 45). CSF levels of MRT-8102 were consistent with levels needed to be active against NEK7 (data not shown). Importantly, in two subjects with elevated IL-6 in cerebrospinal fluid at baseline, MRT-8102 administration resulted in reduced CSF IL-6 levels after 7 days of dosing. Plasma IL-6 levels at baseline in these two subjects were low, suggesting a centrally (CNS)-driven mechanism for the elevation as well as the suppression of CSF IL-6 levels.
Figure 45: MRT-8102 Treatment Reduced IL-6 Levels in CSF Consistent with CNS Penetration

Part 3 of the study (CRP PoC cohort) evaluated a cohort of subjects with elevated CVD risk. The study design, shown in Figure 46, included 36 subjects randomized 3:1 to MRT-8102 at a dose of 40mg once daily or placebo. Subjects were defined as having elevated CVD risk based on measures of obesity and elevated plasma CRP levels. The primary endpoints were safety and tolerability, with secondary endpoints including changes in CRP levels and pharmacokinetics. Endpoints for hsCRP included absolute reduction and frequency of reduction to < 2 mg/L, a threshold that defines lower CVD risk, as discussed earlier. We also measured pharmacodynamic markers, including NEK7 degradation (see above), as well as levels of IL-6, IL-18, and fibrinogen in plasma.
Figure 46: CRP PoC (Part 3) Study of MRT-8102 in Subjects with Elevated CVD Risk

Data analysis included data from 24 subjects (including both MRT-8102 and placebo) who had completed 4 weeks of dosing as of the data cutoff date. As shown in Figure 47, the interim data suggests that MRT-8102, dosed at 40 mg once daily, induced rapid and deep reductions of hsCRP and fibrinogen. The panel on the left shows that median CRP declined by 80% after one week, consistent with our observation from the MAD portion of the Phase 1 study, and by 85% after four weeks of dosing. Also, 94% of subjects reached hsCRP levels below 2 mg/L, meaning their hsCRP values returned to levels associated with lower CVD risk, as shown in the middle panel. Lastly, there was a 31% reduction in fibrinogen, an independent atherosclerotic risk factor, observed during the treatment period.
Figure 47: Analysis of CRP PoC Cohort Suggested MRT-8102 Induced Rapid Reductions of hsCRP and Fibrinogen

As of the data cut-off of December 23, 2025, 112 subjects had completed dosing across the SAD, MAD, and Part 3 portions of the study. Across this sample of patients, blinded review showed a favorable safety profile with no SAEs. Treatment-emergent AEs were mild to moderate. There was no evidence of increased infection risk or dose-dependent AEs. The evaluation and data collection are ongoing for Part 3 of the study. Of note, one participant in Part 3 was diagnosed with asymptomatic, acute infectious hepatitis A while on study. Because the data were blinded, it was not known whether the participant received MRT-8102 or placebo. The participant experienced a transient ALT elevation equivalent to a Gr 3 that improved while continuing on treatment for several days.
Review of unblinded data from 88 participants from the SAD/MAD cohorts confirmed that single and multiple doses of MRT-8102 were safe and well tolerated up to and including the highest dose level. No SAEs were noted,
and no TEAEs were over grade 2. The treatment arm reported TEAEs in 29% of participants and the placebo arm reported TEAEs in 32% of participants. The most frequent TEAE was headache, which was reported in 9% of participants in both the placebo and treatment arms.
Based on these highly encouraging initial data, the MRT-8102 Phase 1 study, now named GFORCE-1, was expanded to include additional dose exploration of MRT-8102 in subjects with elevated CVD risk (Figure 48). We are enrolling subjects in 3-dose cohorts, randomized 3:1 to active drug vs. placebo, for a total of approximately 108 subjects. The ongoing cohort at 40 mg will be one of the 3 dose levels. Based on the interim clinical data suggesting that effects on CRP levels can be induced early and were sustained over the course of 4 weeks, we believe our 28-day study can provide valuable information on the dose levels necessary to achieve therapeutic benefit and guide our subsequent GFORCE-2 Phase 2 study in ASCVD, which we anticipate will initiate in 2026. Lastly, we believe our expanded GFORCE-1 study will also provide key insights for development of MRT-8102 and other potential NEK7 MGD product candidates in additional indications.
Figure 48: GFORCE-1 Study: Dose Exploration of MRT-8102 in Subjects with Elevated CVD Risk

We believe MRT-8102 has strong therapeutic potential in a broad range of inflammation-driven diseases and we are planning for broad development of our NEK7 MGDs, including MRT-8102 and potentially other NEK7 MGD product candidates, across this space. We plan to prioritize development of MRT-8102 in ASCVD and then to expand development of MRT-8102 or a next generation NEK7 MGD product candidate into other indications that meet our internal criteria, including unmet medical need as well as self-developability.
We are planning our next study of MRT-8102 in elevated CVD risk patients defined by Stage 3/4 chronic kidney disease and elevated CRP, as shown in Figure 48, and we have named this study GFORCE-2. This is a proposed trial design subject to review by FDA. GFORCE-2 is expected to initiate in H2 2026 and will evaluate the effect of MRT-8102 treatment for up to 12 weeks (followed by open label extension of 12 weeks) on CRP levels, as well as impact on liver fat, liver inflammation, and obesity, as illustrated in Figure 49. GFORCE-2 aims to generate additional safety data with longer dosing of MRT-8102, and to confirm the effects on CRP levels seen in data from GFORCE-1. Also, we believe the trial has the potential to generate data useful for understanding MRT-8102’s potential in other, related indications such as MASH and obesity.
Figure 49: GFORCE-2: Phase 2 Study in Elevated CVD Risk Patients Defined by Stage 3/4 Chronic Kidney Disease and Elevated CRP

We are also planning to initiate a Phase 2 study of MRT-8102 in patients with acute gout flares, as shown in Figure 50. This is a proposed trial design subject to review by FDA. We anticipate this study to initiate in either Q4 2026 or Q1 2027. The study is expected to randomize approximately 40 patients with recurrent single joint gout flares to 12 weeks of treatment with one of two doses of MRT-8102. Outcome measures include reduction of pain Visual Analogue Scale (VAS) by 72 hours and frequency of new flares.
Figure 50: Phase 2 Study in Acute Gout Flares

We expect to initiate a Phase 2 study of MRT-8102 in patients with moderate to severe hidradenitis suppurativa in H1 2027. Outcome measures are expected to include HiSCR75 after 16 weeks of MRT-8102 treatment relative to placebo. This is a proposed trial design subject to review by FDA.
Our Precision Medicine Approach for Cancer
MRT-2359, a highly selective and orally bioavailable GSPT1-directed MGD in development for the treatment of AR and MYC-driven Prostate Cancer
Overview
GSPT1 (also known as eRF3a) is a translation termination factor that catalyzes protein synthesis termination, facilitating the release of mRNA and newly synthesized protein from the ribosomal machinery. We have identified GSPT1 as a potential therapeutic vulnerability in MYC-driven cancers with high protein translation activity, including androgen receptor (AR)-positive prostate cancer.
MRT-2359 is an orally bioavailable MGD that, through extensive in vitro and in vivo studies, we have shown to induce the degradation of GSPT1. MRT-2359 is designed to preferentially affect the growth and survival of MYC family transcription factor-driven cancer cells addicted to protein translation. In vivo, once-daily oral dosing of MRT-2359 led to potent antitumor activity in MYC-driven cell-line-derived and patient-derived xenograft models. MRT-2359 is currently in a Phase 1/2 clinical trial (ClinicalTrials.gov Identifier: NCT05546268). Based on our
preclinical and clinical work to date, we are developing MRT-2359 in metastatic castration resistant prostate cancer (mCRPC).
Development of GSPT1-directed MGDs to Target Downstream Vulnerabilities of MYC Activation
It is well established that abnormal activation of MYC, for example through translocation or high expression, results in uncontrolled cell growth, associated with increased protein synthesis and a ramp-up of the protein translation machinery. MYC-driven tumors are therefore widely believed to be addicted to protein translation, which creates an inherent dependence on critical components of the translation machinery, such as GSPT1, as illustrated in Figure 51. As part of our research program, we identified GSPT1 as a potential novel vulnerability in MYC-driven cancers, demonstrating that degradation of GSPT1 leads to inhibition of the MYC pathway and downregulation of the expression of critical oncogenic signaling molecules and pathways, in particular in AR-positive prostate cancer cells.
Figure 51: Targeting MYC-driven Tumors and Their Addiction to Protein Translation Through GSPT1 Degradation

Targeting GSPT1 with MRT-2359 (preclinical data)
MRT-2359 is a potent and selective GSPT1-directed MGD discovered and rationally designed using our QuEENTM discovery engine. Key features and various pharmaceutical parameters of MRT-2359 are shown in Figure 52.
Figure 52: MRT-2359 is a Selective and Orally Bioavailable GSPT1-directed MGD Rationally Designed Using our QuEENTM Discovery Engine

As shown in Figure 53, MRT-2359 displays preferential activity in MYC-high cancer cells by optimally reducing protein translation through degradation of GSPT1 by 60-70% (left panel, top right). In contrast, higher levels of GSPT1 degradation, as achieved with MRT-2136, lead to a more pan-toxic behavior with narrowed preferential activity in MYC high versus MYC low expressing cells (left panel, bottom right).
Figure 53: MRT-2359 has Optimized Depth of Degradation to Achieve Preferential Activity in MYC High Cancer Cells

Prostate Cancer as an Attractive Target Indication for MRT-2359
Prostate cancer is the second leading cause of cancer-related death among men. The androgen receptor (AR) signaling axis, widely recognized as an important driver of prostate cancer growth, has long been targeted through castration and other systemic therapies. Although androgen deprivation therapy (ADT) is initially effective, resistance almost invariably develops, leading to a more aggressive disease state known as castration-resistant
prostate cancer (CRPC). A defining feature of metastatic CRPC (mCRPC) is the persistent activation of AR signaling through mechanisms such as AR gene amplification or overexpression, the emergence of constitutively active AR splice variants, and AR mutations. While second-generation AR-directed therapies, including enzalutamide, have improved overall survival and radiographic progression-free survival in mCRPC in both pre- and post-chemotherapy settings, responses remain limited in patients harboring AR alterations, underscoring the need for novel therapeutic strategies for this patient population.
Beyond AR signaling, multiple oncogenic pathways are known to contribute to prostate cancer progression and survival. Notably, MYC plays a central role in several aspects of prostate cancer biology (Figure 54), including activation of E2F and AR transcriptional programs, and has been implicated in resistance to multiple therapeutic modalities, including AR inhibitors and radioligand therapies. Given the complex and redundant oncogenic landscape of prostate tumors, therapeutic approaches capable of simultaneously targeting multiple oncogenic nodes may enhance treatment responses and help overcome mechanisms of therapy resistance.
Early in our discovery and preclinical development efforts, we identified mCRPC as a promising indication for MRT-2359. MRT-2359 demonstrated robust inhibition of tumor cell growth and viability in prostate cancer cell lines, including both those sensitive and resistant to anti-androgen therapies. Mechanistically, MRT-2359 reduced the expression of MYC and other key oncogenic proteins through GSPT1 degradation and inhibition of translation. We therefore hypothesized that rational combination strategies incorporating MRT-2359 with second-generation AR inhibitors or other approved agents, such as radioligand therapies, may enhance therapeutic efficacy and maintain activity against CRPC tumors, including those harboring AR mutations or other alterations.
Figure 54: MRT-2359 Exploits Key Therapeutic Vulnerabilities in Therapy-Resistant CRPC

Supporting our mechanistic hypothesis is data evaluating hundreds of cancer cell lines spanning multiple tumor lineages, demonstrating that prostate cancer lines co-expressing high levels of MYC and AR present much greater sensitivity to MRT-2359 than prostate cancer cells that are low or negative for MYC or AR, or neuroendocrine prostate cancer cell lines (Figure 55). Furthermore, in addition to baseline expression of the above mentioned oncoproteins, MRT-2359 treatment also led to significant down-modulation of MYC, AR and E2F signaling selectively in AR and MYC high expressing cell lines but not in PC3 cells (AR negative and MYC low), as assessed by RNAseq.
Figure 55: Pharmacogenomic Profiling Identified AR/MYC-positive Prostate Cancer Cell Lines as Exquisitely Sensitive to MRT-2359

In support of the above-mentioned transcriptomic analysis that showed significant down-modulation of multiple oncogenic pathways selectively in MRT-2359 responsive cell lines, an unbiased global proteomics analysis across the responsive lines revealed significantly reduced cellular abundance of AR (wild type [WT] and the genetic variant AR-V7), MYC and Cyclin D1 proteins, potentially shedding light on the biological mechanism through which MRT-2359 treatment reduces signaling output through these oncoproteins and their downstream pathways (Figure 56). Notably, MRT-2359, as a single agent, demonstrated deeper reductions in AR activity than the AR antagonist enzalutamide in the cell lines tested in vitro within the 24 hour timeframe of the experiment, suggesting MRT-2359 activity toward this critical lineage-defining pathway may be achieved more rapidly than with the currently approved AR-directed therapeutic.
Figure 56: Proteomics Analysis Revealed Modulation of AR and MYC/E2F Pathway by MRT-2359

Consistent with pharmacogenomic screening and in vitro validation studies, MRT-2359 demonstrated encouraging single-agent as well as combination activity with enzalutamide across a number of prostate cancer cell line-derived xenograft (CDX) models, as shown in Figure 57. These models include LNCaP, a cell line characterized by high-level expression of the homozygous T878A mutation in AR, and VCaP, a cell line with amplification of AR WT and low-level expression of the constitutively active V7 isoform. In both models, suboptimal dosing of MRT-2359, when combined with enzalutamide, drove significant tumor regressions and substantially outperformed enzalutamide single agent treatment. Since MYC can promote expression of DNA repair genes, potentially blunting response to radioligand therapy, we also tested the potential for MRT-2359 to improve activity of a PSMA-based radioligand therapy, as shown in the right graph. Whereas single-agent
treatments achieved stasis at best, combination treatment led to significant regressions, suggesting strong synergy between MRT-2359 and the PSMA-based radioligand.
Figure 57: MRT-2359 in Combination with Enzalutamide or Pluvicto Demonstrated Increased Activity Over Monotherapies in Xenograft Models

MRT-2359 Phase 1/2 Clinical Study Design and Preliminary Results
Based on our encouraging preclinical data demonstrating that MRT-2359 combined well with both AR inhibitors and radioligand therapy to improve preclinical activity across CDX models spanning multiple AR alterations, we assessed the potential of MRT-2359 to benefit patients with metastatic CRPC post multiple lines of prior treatment.
Figure 58 outlines the design of our Phase 1/2 clinical study. We conducted robust dose exploration in the monotherapy arms to confirm multiple safe dose levels and to determine our initial recommended Phase 2 starting dose of 0.5 mg daily on a 21-day on-drug, 7-day off-drug schedule.
Figure 58: MRT-2359 Phase 1/2 Clinical Study Design

We initiated the Phase 2 expansion cohort in heavily pretreated, metastatic CRPC patients and reported results for 23 patients that had been enrolled as of the January 30 2026 data cut-off. Notably, we required RECIST measurable disease for all patients entering the trial, a more stringent requirement than is typical for prostate cancer studies, which results in enrollment of a more severe, and often more heavily pretreated patient population with extensive metastatic disease.
For our metastatic CRPC expansion cohort, we applied a multipronged approach to characterize tumors at the molecular level, including the identification of key AR alterations in all enrolled patients. To do so, we employed RNA and DNA sequencing of tumor biopsies, and molecular testing of circulating tumor DNA and circulating tumor cells to detect AR alterations such as AR mutations and/or splice variants (Figure 59). We also verified adenocarcinoma biology through RNA sequencing, which allowed us to exclude from the efficacy analysis tumors that had transformed to primarily neuroendocrine status.
Figure 59: Biomarker Profiling of Tumor and Liquid Biopsies

Figure 60 details the patient demographics, clinical characteristics and prior therapies of patients in the study. Patients in this study were more heavily pretreated than in comparable studies in mCRPC patients. In our study, 78% of patients had been previously treated with second generation androgen receptor inhibitors, 83% with chemotherapy, and 57% with Pluvicto. Of the 23 patients enrolled as of the data cutoff, 15 were evaluable for efficacy. 1 patient had not yet received an on-treatment scan prior to the data cutoff date, 2 patients were non-evaluable due to early consent withdrawal, 1 patient was not evaluable due to investigator decision, 1 patient was non-evaluable due to early clinical progression, and 3 patients were excluded from data analysis based on molecular profiling of their baseline biopsies showing transformation to neuroendocrine differentiation.
Figure 60: Patient Demographics, Clinical Characteristics, and Prior Therapies

Figure 61 highlights the safety and tolerability profile of MRT-2359 in combination with enzalutamide, as of the data cut-off date. The combination was generally well tolerated, and the safety profile observed was favorable when our data was compared with third-party data on other drugs emerging as combination agents for metastatic CRPC, including EZH2 inhibitors. One patient had a dose-limiting toxicity (DLT) (grade 3 stomatitis associated with pain). The most common treatment-related AEs for MRT-2359 plus enzalutamide were fatigue (N=12, 52%), diarrhea (N=11, 48%), and nausea (N=8, 35%) which were classified as mild or moderate and were manageable and not therapy limiting. No dose discontinuations were observed due to AEs.
Figure 61: Treatment-related Adverse Events Occurring in >20% of Patients

Figure 62 shows the waterfall plot for PSA responses, a frequently used marker of therapeutic benefit in prostate cancer, as of the data cut-off date. Patients were categorized by their AR status (WT, gray; V7, blue; mutant, purple). Of note, among the 15 evaluable patients, 5 had AR mutations, and all 5 achieved a PSA response. This includes 2 PSA90 responses and 3 PSA50 responses.
Figure 62: Best Change in PSA in AR-wild type, AR-V7 and AR-mutant Patients

Figure 63 shows the RECIST waterfall plot for the 15 evaluable patients as of the data cut-off date. Two of the 5 AR mutant patients achieved a RECIST partial response (PR), one confirmed and one unconfirmed, and the other 3 presented stable disease (SD), resulting in a disease control rate (DCR) of 100% in this patient subset. Of all 15 evaluable patients, the overall RECIST DCR was 67% (10 of 15), with 10 of 15 patients presenting tumor size reductions of target lesions versus baseline scans, including all 5 patients whose tumors were harboring AR mutations (including the 2 patients with a RECIST PR).
Figure 63: Best Change in RECIST in AR-wild type, AR-V7 and AR-mutant Patients

As shown in the swimmer plot in Figure 64 displaying months on treatment as of the data cut-off date, treatment effects in these heavily pretreated patients were durable in several patients. In the AR mutant subset, 2 patients remained on therapy for 10 cycles or longer and 2 of 5 patients remained on drug as of the data cutoff on January 30, 2026.
Figure 64: Swimmer Plot of All Evaluable Patients

Figure 65 provides additional data on the 5 patients with AR mutations, as off the data cutoff date, where the MRT-2359/enzalutamide combination led to robust and durable PSA and RECIST responses. Looking at these patients in isolation, all patients previously received abiraterone, 3 of 5 previously received a second-generation AR inhibitor, 4 of 5 received the PSMA-targeting radioligand therapy Pluvicto, and 5 of 5 were previously treated with chemotherapy. Consistent with the 100% PSA response rate and 100% disease control rate in this subset of patients, mutant allele frequency in ctDNA and total circulating tumor cell counts were also significantly decreased in 4 of 5 patients, with data unattainable for the fifth patient due to poor sample quality.
Figure 65: Best % Change in PSA, Sum of Diameters of Target Lesions, Variant Allele Frequency and CTC Counts in AR-mutant Patients

To identify signaling pathways associated with tumor size reductions and RECIST responses, we performed an unbiased analysis of pre-treatment biopsies (Figure 66, left panel). Consistent with our therapeutic hypothesis, we found that MYC, E2F, and AR signaling were among the top upregulated pathways associated with the magnitude of tumor size reductions, results that align clinically with what we had seen in preclinical experiments and further support the proposed therapeutic mechanism.
We also assessed whether combination treatment could suppress signaling through these pathways. Consistent with preclinical observations, we observed a significant decrease in output through these oncoproteins and pathways, as shown in Figure 66 (right panel), with, for example, reduced E2F signaling in 5 of 6 on-treatment biopsies.
Figure 66: Analysis of Tumor Biopsies Provides Proof-of-Modulation of Target Oncogenic Pathways

Figure 67 provides a case study of a patient with an AR H875Y mutation, including data as of the data cut-off. This patient had previously been treated with several therapeutics with multiple mechanisms of action, including chemotherapy, radioligand therapy, and an investigational bispecific antibody. Despite the number of prior treatments, MRT-2359, when combined with enzalutamide, led to a RECIST response that correlated with rapid and sustained decreases in blood PSA and in the AR H875Y allele frequency in ctDNA. While PSA values began to rebound at ~cycle 8 of treatment, tumor target lesion size continued to decrease, consistent with the mechanism of action of MRT-2359 described above, which extends to modulation of non-AR pathways such as the MYC and E2F pathways.
Figure 67: Confirmed RECIST PR and PSA90 Response in mCRPC Patient with Activating AR Mutation

In Figure 68, we highlight the treatment journey of a second patient with an AR mutation, including data as of the data cut-off. At baseline, this patient harbored the AR L702H mutation. This patient was also heavily pretreated, having received chemotherapy, enzalutamide, Provenge and several other therapies. Despite these treatments and the advanced stage of disease, the patient responded favorably to the MRT-2359/enzalutamide combination. Blood PSA and mutant allele frequency in ctDNA were significantly decreased after 3 months of treatment, correlating with a decrease in the sum of target lesions. Interestingly, as with the prior patient case study, although PSA began to rebound at cycle 6, tumor regression, as assessed by RECIST, was maintained until cycle 10 of treatment. We believe this supports the conclusion that MRT-2359, at least in part, exerts its activity through an AR-pathway-independent mechanism.
Figure 68: Confirmed RECIST SD and PSA50 Response in mCRPC Patient with Activating AR Mutation

Based on the data we have obtained to date, we plan to conduct a signal-confirming Phase 2 study of MRT-2359 in combination with a second-generation AR inhibitor in patients with AR-mutant tumors. The study, planned to
begin in 2026, will enable further efficient evaluation of MRT-2359 in metastatic CRPC using a Simon two-stage design. Based on the favorable AE profile and clinical activity observed to date in the Phase 2 arm of our Phase 1/2 study, we intend to evaluate a 0.5mg dose of MRT-2359 administered on a 21-day-on, 7-day-off schedule. The study is expected to enroll up to 25 patients with metastatic CRPC harboring AR mutations in their tumors, and there is potential to evaluate additional patient subsets, including patients naïve to 2nd-generation AR inhibitors, if activity in the AR-mutant patient population is confirmed. The primary Phase 2 study endpoints will be PSA response, RECIST response, duration of response, radiographic progression-free survival, and safety. Data from this study could confirm MRT-2359’s clinical activity in relevant patient groups, further clarify its role in the metastatic CRPC treatment landscape, and position the program for advancement into registrational studies.
Cyclin E1-directed MGD molecules for the treatment of cancer
Cyclin-dependent kinase protein complexes (cyclin-CDK) regulate progression through the cell cycle, whereby different combinations of the two subunits control different stages of the cell cycle. They are formed by an association of a regulatory subunit, a cyclin, with an inactive catalytic (kinase) subunit, a cyclin-dependent kinase (CDK). Once the complex is formed, it transitions into an active state, whereby the catalytic or CDK subunits become productive and can phosphorylate downstream effector substrates.
Cyclin E proteins, encoded by the CCNE1 and CCNE2 genes, complex with CDK2 to form an active cyclin E-CDK2 complex, regulating G1-to-S transition of the cell cycle and initiation of DNA replication, as shown in Figure 69. Under normal conditions, cyclin E expression is tightly regulated and restricted to the G1-S phase of the cell cycle. However, many cancer types, including ovarian, endometrial, gastric, and breast cancers, bear frequent amplification or overexpression of the CCNE1 gene, resulting in increased cyclin E1 protein expression and aberrant regulation of cell growth. As such, cyclin E1 represents a genuine oncogenic driver and cyclin E1 amplified cancers are greatly dependent on sustained high levels of cyclin E1 for their continued growth and survival. Hence, pharmacologic suppression of high cyclin E1 protein levels, for example through MGD induced degradation is expected to inhibit tumor growth, in line with the classical “oncogene addiction” paradigm.
Figure 69: CCNE1 (Cyclin E1) Drives Multiple Hallmark Cancer Mechanisms and is a Target for Solid Tumors with Deregulated Cyclin E1

As a regulatory subunit with no catalytic activity, cyclin E1 has been considered “undruggable” to date. We have identified multiple MGD molecules that selectively promote the association of cyclin E1 and cereblon in vitro, while sparing the cyclin E2 paralog. These compounds have shown the ability to robustly and selectively induce cyclin E1 degradation in multiple cancer cell lines in vitro and in disease relevant models in vivo. In addition, they suppress cancer cell line proliferation preferentially when CCNE1 is amplified and/or overexpressed, suggesting robust biomarker-driven activity.
In vitro data
As shown in Figure 70, the cyclin E1-directed MGD MRT-55811 selectively degraded cyclin E1, led to downstream pathway suppression, and induced robust G1/S cell cycle arrest.
Figure 70: MRT-55811 is highly selective and showed biological activity in CCNE1-amplified cell lines

As shown in Figure 71, in addition to concentration-dependent cyclin E1 degradation, MRT-55811 treatment also led to parallel reduction of both phosphorylated and unphosphorylated forms of CDK2, as well as the downstream RB phosphorylation. Mass spectrometry assessment of ubiquitinated peptides following MRT-55811 treatment revealed that both cyclin E1 and the associated CDK2 protein were ubiquitinated, suggesting co-degradation of both components of the cyclin E1-CDK2 holoenzyme.
Figure 71: MRT-55811 Induced CCNE1-CDK2 Holoenzyme Degradation in CCNE1 Amplified Cell Lines

MRT-55811 showed superior differential suppression of tumor growth in CCNE1 dependent cell lines compared to clinical development-stage CDK2 inhibitors and S-phase protein kinase inhibitors (WEE1 inhibitor azernosertib and PKMYT1 inhibitor lunresertib),or clinical stage CDK4/6 inhibitors, as shown in Figure 72. Unlike MRT-55811, several tested clinical stage CDK2, WEE1, or PKMYT1 inhibitors did not fully recapitulate genetic dependency, potentially indicating off-target activity.
Figure 72: MRT-55811 Exhibits Superior Selectivity for Cancers with High CCNE1

In vivo data
When dosed orally as a single agent in preclinical cell line-derived xenograft models of CCNE1-amplified ovarian cancer, gastric cancer, and breast cancer, the cyclin E1-directed MGD MRT-55811 induced robust tumor growth suppression and regression in all three models, as shown in Figure 73.
Figure 73: MRT-55811 Treatment Resulted in Tumor Regression in CCNE1 Amplified Models

We expect to submit an IND application in 2026 for a cyclin E1-directed MGD.
CDK2-directed MGD molecules for the treatment of cancer
Cyclin dependent kinases, or CDKs, are a family of closely related kinases that regulate progression through the cell cycle. CDK activity is modulated by specific cyclins. For example, cyclin E1 binding activates CDK2, as shown in Figure 74. Importantly, increased activity and reliance on CDK2 due to cyclin E1 overexpression is thought to be one of the key mechanisms of resistance occurring in ER+ breast cancer patients when treated with CDK4/6 inhibitors such as ribociclib. Therefore, we believe that selective elimination of CDK2 using CDK2-directed MGDs may provide benefit to these patients. Previously reported small molecule inhibitors and PROTACs of CDK2 have been limited in their selectivity due to the high degree of similarity among the active sites of kinases, in particular within the CDK family itself. We have identified multiple MGD molecules that selectively promote the association of CDK2 and cereblon in vitro, while avoiding other CDKs. Through ongoing lead optimization chemistry, the most advanced compounds are orally bioavailable and can robustly and selectively induce CDK2 protein degradation in multiple cancer cell lines in vitro and in disease relevant models in vivo, leading to strong tumor growth inhibition.
Figure 74: CDK2 is One of the Key Regulators of the Cell Cycle

Lead optimization towards orally bioavailable CDK2-directed MGDs
Our CDK2-directed MGDs form a strong ternary complex with CDK2 and cereblon through a newly characterized non-canonical degron which was unveiled through application of our QuEENTM discovery engine technologies. The unique character of the CDK2 degron interaction with cereblon, and the optimized features of our MGDs provide a high degree of selectivity over closely related proteins such as CDK1, CDK4, and CDK9. Our MGDs are designed to be orally bioavailable with favorable in vitro ADMET properties and preclinical safety profiles.
In vitro data
Our lead CDK2-directed MGD MRT-51443 has shown the ability to selectively degrade CDK2 and reduce E2F pathway proteins in vitro, with no significant effect on other CDKs or other kinases, as shown in Figure 75. Our data also support that our CDK2 MGD MRT-51443 can block DNA replication during S phase in CDK2 dependent cells and inhibits cellular proliferation in a concentration-dependent manner.
Figure 75: CDK2-directed MGD MRT-51443 is Selective and Showed Biological Activity in a CDK2 Dependent Cell Line

MRT-51443 displayed superior selectivity compared to clinical CDK2 inhibitors, as shown in Figure 76. Clinical-stage CDK2 inhibitors show off-target activity in biochemical kinome profiling. CDK2 inhibitors, but not a CDK2 MGD, display CDK2-independent activity, as demonstrated by their suppression of cell proliferation in the absence of their primary target, CDK2.
Figure 76: CDK2-directed MGD Displayed Superior Selectivity Compared to CDK2 Inhibitors
Increased activity and reliance on CDK2 due to cyclin E1 overexpression is thought to be one of the key mechanisms of resistance occurring in ER+ breast cancer patients when treated with CDK4/6 inhibitors such as ribociclib. As shown in figure 77, the combination of MRT-51443 and ribociclib delayed resistance onset in in-vitro long term culture assays using a ER+ breast cancer cell line, suggesting that addition of a CDK2 MGD to standard of care therapy might have the potential to delay the occurrence of relapses in patients.
Figure 77: CDK2 MGD/Ribociclib Combination Delayed Resistance Onset

In vivo data
As shown in Figure 78, when dosed orally in preclinical models of ER-positive/HER2-negative breast cancer, MRT-51443 drove deep tumor regression in a triple combination with a CDK4/6 inhibitor (ribociclib) and endocrine therapy (fulvestrant) and substantially reduced tumor burden versus ribociclib + fulvestrant combination therapy alone.
Figure 78: CDK2 MGD Demonstrated Activity in Combination with CDK4/6 Inhibitor and Fulvestrant in ER+ Breast Cancer Model

Other programs
We are specifically focused on developing product candidates for target proteins that have been deemed undruggable or inadequately drugged. Our QuEENTM discovery engine was purpose-built to support the discovery
and development of drugs that degrade a wide landscape of therapeutically relevant proteins by (i) systematically identifying therapeutically relevant target proteins that may be amenable to molecular glue-based degradation; and (ii) rationally designing MGD molecules that can be optimized towards high potency and selectivity, with properties that we believe to be favorable, so to become MGD product candidates. Our pipeline includes programs in I&I indications as well as in oncology. We also have early-stage efforts in areas including cardiovascular, metabolic and genetic diseases.
We believe that the strengths of MGDs align very well with requirements for I&I drugs, as shown in Figure 79. Namely, we have shown that MGDs can achieve deep degradation of target proteins in immune and blood cells as cereblon is expressed highly in those cells and in immune relevant sites and organs; the catalytic mechanism of action of MGDs drives a sustained pharmacodynamic effect, potentially allowing for dose regimens that are convenient for patients; the exquisite selectivity of MGDs enables a high therapeutic index; and MGDs have the potential to deplete both membrane receptors and intracellular signaling nodes critical for immune cell regulation.
Figure 79: MGD Strengths Align with I&I Requirements

We are advancing novel discovery programs for I&I targets that we believe have the potential to be highly differentiated, by designing oral MGD product candidates that are degrading undruggable targets in critical I&I
pathways. These may include programs to degrade multiple undisclosed targets in Th1, Th2, and Th17-driven autoimmune conditions, as illustrated in Figure 80.
Figure 80: Degrading Undruggable Targets in Critical I&I Disease Pathways

Our services, collaboration and licenses agreements
Roche agreement
On October 16, 2023, Monte Rosa AG entered into a Collaboration and License Agreement with Roche Basel and Roche US, and together with Roche Basel, Roche, or the “Roche Agreement”. Pursuant to the Roche Agreement, the parties will seek to identify and MGDs against cancer or neurological disease targets using our proprietary drug discovery platform for an initial set of targets in oncology and neuroscience selected by Roche, with each target being subject for a limited time to certain substitution rights owned by Roche. We will lead preclinical discovery and research activities until a defined point. Upon such point, Roche gains the right to exclusively pursue further preclinical and clinical development activities.
Under the Roche Agreement, Roche will have a worldwide, exclusive license under patents and know-how controlled by us to develop and commercialize products directed to applicable targets. The research collaboration activities governed by the Roche Agreement will be overseen by a joint research committee.
Unless earlier terminated, the Roche Agreement will remain in effect for each product licensed under the Roche Agreement until expiration of the royalty term for the applicable product. The parties have included customary termination provisions in the agreement, allowing termination of the Roche Agreement in its entirety, on a country-by-country or a target-by-target basis.
Under the terms of the agreement, we received an upfront payment of $50 million, and are eligible to receive future preclinical, clinical, commercial and sales milestone payments that could exceed $2 billion, including up to $172 million for achieving preclinical milestones. We are also eligible to receive tiered royalties ranging from high-single-digit percent to low-teens percent on any products that are commercialized by Roche as a result of the collaboration.
To date through December 31, 2025, the Company has received $9.0 million and recorded a $7.0 million receivable related to Roche's decision to pay preclinical milestones. The Company has also received $3.0 million related to Roche's decision to exercise its option rights to replace certain targets for research and development services. The related payments are initially classified as deferred revenue in the accompanying consolidated balance sheet and recognized in revenue as the related research and development services are performed.
2024 Novartis agreement
On October 25, 2024, Monte Rosa AG and Novartis entered into a global exclusive development and commercialization license agreement, or the Novartis Agreement. Pursuant to the Novartis Agreement, we granted to Novartis an exclusive, royalty-bearing, sublicensable and transferable license to develop, manufacture,
and commercialize VAV1 MGDs, including MRT-6160. We were responsible for completing the Phase 1 clinical studies and Novartis is responsible for all subsequent development and commercial activities starting at Phase 2. Development and commercial activities governed by the Novartis Agreement will be overseen by a Development Committee and a Commercialization Committee.
Pursuant to the Novartis Agreement, in December 2024, we received from Novartis a non-refundable upfront payment of $150 million, and we are eligible to receive from Novartis (1) up to $2.1 billion in development, regulatory, and sales milestones, beginning upon initiation of Phase 2 studies including (a) potential development and regulatory milestone payments, exceeding $1.5 billion if multiple indications achieve regulatory approval in multiple territories, (b) potential sales milestone payments in connection with sales outside of the United States, and (2) tiered royalties on sales outside of the United States. Novartis will be responsible for costs associated with Phase 2 clinical studies. We and Novartis also agreed to a net profit and loss sharing arrangement, pursuant to which we will co-fund any global clinical development from Phase 3 onwards and will share 30% of any profits and losses associated with the manufacturing and commercialization of the licensed products in the United States. We have defined opportunities to opt out of the net profit and loss sharing arrangement, in such case, sales in the United States would be entitled to the potential sales milestone payments and tiered royalties on sales available outside of the United States. Any costs for any co-funded development and commercialization activities are subject to budgets reviewed by the Development Committee and Commercialization Committee, respectively. The Novartis Agreement includes customary termination provisions, including Novartis’ ability to terminate the Novartis Agreement in its entirety.
2025 Novartis License Agreement
In September 2025, Monte Rosa AG entered into a collaboration, option, and license agreement with Novartis, or the 2025 Novartis Agreement. Pursuant to the 2025 Novartis Agreement, we granted to Novartis an exclusive, royalty-bearing, sublicensable and transferable license to degraders for one I&I program, or the First Licensed Program, and the exclusive option to obtain exclusive, royalty-bearing, sublicensable and transferable licenses with respect to two programs from our growing preclinical immunology portfolio, or the Options, and the programs, or the Optioned I&I Programs. Such Options are individually exercisable at Novartis’ discretion until a program meets criteria for investigational new drug application-filing-readiness. On a program-by-program basis, if Novartis does not exercise an Option, all rights with respect to such program are retained by us; if Novartis does exercise its Option, such program becomes a Licensed Program, or together, with the First Licensed Program, the Licensed Programs. Under the 2025 Novartis Agreement, we will apply its proprietary AI/ML-enabled QuEEN™ product engine for the discovery and development of degraders for the First Licensed Program and the Optioned I&I Programs. The Licensed Programs will be further developed and commercialized by Novartis, unless otherwise agreed to by the parties in accordance with the 2025 Novartis Agreement. Research activities for the Licensed Programs governed by the Agreement will be overseen by a Joint Research Committee.
Under the agreement, the Company received a $120.0 million non-refundable upfront payment from Novartis. The Company is entitled to receive further payments from Novartis to maintain the Options totaling up to $60.0 million, and is also eligible to receive from Novartis (1) preclinical milestone payments relating to the First Licensed Program and option exercise payments related to the Options of up to $180.0 million, (2) up to $5.4 billion in clinical development, regulatory, and sales milestones relating to the First Licensed Program and the two Optioned I&I Programs, beginning upon initiation of Phase 1 studies, including (a) potential development and regulatory milestone payments up to $2.2 billion if regulatory approval is achieved for multiple indications in multiple territories and (b) potential sales milestone payments up to $3.2 billion, allocated across licensed products, and (3) tiered royalties on global net sales in the high-single to low double-digit range for the First Licensed Program and in the low double-digit range for the two Optioned I&I Programs. We will be responsible for costs related to research activities, while Novartis will be responsible for costs related to development and commercialization activities.
Competition
The biotechnology industry is extremely competitive in the race to develop new products and the industry is characterized by a high level of innovation and strong emphasis on proprietary products and intellectual property rights. While we believe we have significant competitive advantages due to our management team’s years of expertise in protein degradation, molecular glues and clinical and preclinical development of precision medicines in general, coupled with our unique scientific expertise and our growing portfolio of intellectual property rights, we currently face and will continue to face competition for our development programs from other companies that develop heterobifunctional degraders, similar MGDs or have protein degradation development platforms and their own associated intellectual property. Our competition will also include companies focused on existing and novel
therapeutic modalities such as small molecule inhibitors antibodies and gene therapies. The competition is likely to come from multiple sources, including large and specialty pharmaceutical companies, biotechnology companies and academic institutions that are in the business of research, development, manufacturing and commercialization. Moreover, the existence of large numbers of patents and frequent allegations of patent infringement is typical in our industry.
The main competitors in our efforts to develop targeted protein degraders or MGD therapeutics for patients include, but are not limited to, C4 Therapeutics, Inc., Nurix Therapeutics, Inc., Kymera Therapeutics, Inc., Bristol-Myers Squibb, and Novartis, all of whom have reported having TPD or MGD product candidates in preclinical or clinical development. Several other large pharmaceutical companies have disclosed investments in the TPD field. In addition to competition we face in developing TPD or MGD therapeutics, we will also face competition in the indications we expect to pursue with our GSPT1, NEK7, and CCNE1/CDK2 programs, including, but not limited to, programs from AstraZeneca, Roche, Novo Nordisk, Novartis, Ventyx Biosciences, BioAge Labs, NodThera, Pfizer, Merck, BeOne Medicines, and Incyte Corporation.
In addition to the competitors we face in developing small molecule-based protein degraders, we will also face competition in the indications we expect to pursue with our MGD programs. Many of these indications already have approved standards of care which may include existing therapeutic modalities. In order to compete effectively with these existing therapies, we will need to demonstrate that our MGDs perform favorably when compared to existing therapeutics.
Manufacturing
We do not own or operate manufacturing facilities for the production of our product candidates and we currently have no plans to build our own clinical or commercial scale manufacturing capabilities. We currently contract with third-party contract manufacturing organizations, or CMOs, for the manufacture of our product candidates and we intend to continue to do so in the future. We rely on and expect to continue to engage with third-party manufacturers for the production of both drug substance and finished drug product. We currently obtain our supplies from these manufacturers on a purchase order basis and do not have long-term supply arrangements in place. Should any of these manufacturers become unavailable to us or their services to us become delayed for any reason, we believe that there are a number of potential replacements, although we may incur some delay in identifying and qualifying such replacements.
Intellectual property
We are an innovation-driven company and we seek to aggressively protect the innovations, intellectual property, and proprietary technology that we generate that we consider important to our business, including the pursuit of patent applications that cover our product candidates and methods of using the same, innovations around our industry leading QuEENTM discovery engine and our proprietary library of MGDs, as well as any other relevant innovations, inventions, and improvements that are considered commercially relevant to the development of our business and to maintain our perceived competitive advantages. We also rely on trade secrets, know-how and continuing technological innovation to develop and maintain our proprietary and intellectual property position. For our product candidates, we generally pursue patent protection covering compositions of matter, pharmaceutical compositions, methods of use, including combination therapies, methods of administration including dosing methods, methods for monitoring potential clinical events, compositions and methods for personalizing, monitoring, and potentially refining clinical use, including biomarkers, processes of manufacture and process intermediates, where relevant. For our QuEENTM discovery engine, we pursue patent protection covering our approaches, methods, and research and development tools. We continually assess and iteratively refine our intellectual property strategies as we develop new innovations and product candidates. We continue to invest in filing additional patent applications based on our intellectual property strategies to build value in our business and/or to improve our business and partnering opportunities, where appropriate.
Our commercial success depends, in part, on our ability to obtain, maintain, enforce and protect our intellectual property and other proprietary rights for the technology, inventions and improvements we consider important to our business, and to defend any patents we may own or in-license in the future, prevent others from infringing any patents we may own or in-license in the future, preserve the confidentiality of our trade secrets, and operate without infringing, misappropriating or otherwise violating the valid and enforceable patents and proprietary rights of third parties.
As with other biotechnology and pharmaceutical companies, our ability to maintain and solidify our proprietary and intellectual property position for our product candidates and technologies will depend on our success in obtaining
effective patent claims and enforcing those claims if granted. However, our pending provisional and Patent Cooperation Treaty, or PCT, patent applications, and any patent applications that we may in the future file or license from third parties, may not result in the issuance of patents and the validity and/or enforceability of any of our issued patents may be challenged by third parties. Further, as with other companies, the patents we may obtain do not guarantee us the right to practice our technology in relation to the commercialization of our products. With respect to obtaining issued patents, here in the United States as well as in other jurisdictions of interest to our business, the patent positions for biopharmaceutical companies like us are generally uncertain and can involve complex legal, scientific, and factual issues. Further, the laws governing the protection of intellectual property may change over time due to the issuance of new judicial decisions or the passage of new laws, rules or regulations. In addition, the coverage claimed in a patent application can be significantly reduced before a patent is issued and its scope can be reinterpreted and challenged even after issuance. As a result, we cannot guarantee that any of our product candidates will be protected or remain protected by valid, enforceable patents. We also cannot predict whether the patent applications we currently pursue will issue as patents in any particular jurisdiction or whether the claims of any issued patents will provide sufficient proprietary protection from competitors. Any patents that we hold may be challenged, circumvented, or invalidated by third parties.
The exclusivity terms of our patents depend upon the laws of the countries in which they are obtained. In the countries in which we file, the patent term is 20 years from the earliest date of filing of a non-provisional patent application. The term of a U.S. patent may be extended to compensate for the time required to obtain regulatory approval to sell a drug (referred to as a patent term extension) or by delays encountered during patent prosecution that are caused by the United States Patent and Trademark Office (referred to as patent term adjustment). For example, the Hatch-Waxman Act permits a patent term extension for FDA-approved new chemical entity drugs of up to five years beyond the ordinary expiration date of one patent that covers the approved drug or its use. The length of the patent term extension is related to the length of time the drug is under regulatory review and diligence during the review process. Patent term extensions in the United States cannot extend the term of a patent beyond a total of 14 years from the date of product approval and only one patent covering an approved drug or its method of use may be extended. A similar kind of patent extension, referred to as a Supplementary Protection Certificate, is available in Europe. Legal frameworks may also be available in certain other jurisdictions to extend the term of a patent. We currently intend to seek patent term extensions for our products on any of our issued patents in any jurisdiction where we have a qualifying patent and the extension is available; however, there is no guarantee that the applicable regulatory authorities, including the FDA in the United States, will agree with our assessment of whether extensions of this nature should be granted and, even if granted, the length of these extensions. Further, even if any of our patents are extended or adjusted, those patents, including the extended or adjusted portion of those patents, may be held invalid or unenforceable by a court of final jurisdiction in the United States or a foreign country.
Patents and Patent Applications
As of December 31, 2025, we solely owned a patent portfolio that included fifty-three (53) pending patent families, including pending patent applications filed under the PCT, national and regional phase patent applications, and multiple pending United States provisional patent applications. Our portfolio is built to cover our MGDs product candidates and various uses thereof, and our industry-leading QuEENTM discovery engine, as further described below. Patent prosecution related to our portfolio is currently in the early stages and, as such, only four patent applications have proceeded to grant in the United States.
Wholly Owned Product Candidates
With respect to our GSPT1 program, as of December 31, 2025, our portfolio included two granted US patents, two pending PCT patent applications, ten pending non-provisional patent applications in the United States, and pending patent applications in Australia, Canada, Chile, China, Europe, Israel, India, Japan, Mexico, Nigeria, New Zealand, Singapore and South Africa, and two U.S. provisional patent applications. These patents and patent applications cover various GSPT1-directed MGDs and uses thereof, including methods of treatment, pharmaceutical formulations of a GSPT1-directed MGD, processes for making GSPT1-directed MGDs, combinations comprising various GSPT1-directed MGDs, and biomarkers related to use of our GSPT1-directed MGDs. The earliest scheduled expiration of any U.S. or foreign patent covering our GSPT1-directed MGDs, if such patent is issued, would be 2040, excluding any additional term available for patent term adjustment or patent term extension, and assuming timely payment of all applicable maintenance or annuity fees.
With respect to our NEK7 program, as of December 31, 2025, our portfolio included one granted U.S. patent, three pending PCT patent applications and four U.S. provisional patent applications that cover various NEK7-directed MGDs and uses thereof, including methods of treatment, processes for making various NEK7-directed
MGDs, combinations comprising various NEK7-directed MGDs, and pharmaceutical formulations of a NEK7-directed MGD. The earliest scheduled expiration of any U.S. or foreign patents issuing from these patent applications, if such patents are issued, would be 2044, excluding any additional term available for patent term adjustment or patent term extension, and assuming timely payment of all applicable maintenance or annuity fees.
With respect to our CDK2 program, as of December 31, 2025, our portfolio included four pending PCT applications, three pending non-provisional patent applications in the United States, and pending patent applications in Australia, Canada, Chile, China, Europe, Israel, India, Japan, Korea, Mexico, New Zealand, Singapore and South Africa that cover various CDK2-directed MGDs and uses thereof, and combinations comprising various CDK2-directed MGDs. The earliest scheduled expiration of any U.S. or foreign patents issuing from these patent applications, if such patents are issued, would be 2042, excluding any additional term available for patent term adjustment or patent term extension, and assuming timely payment of all applicable maintenance or annuity fees.
With respect to our CCNE1 program, as of December 31, 2025, our portfolio included one pending PCT patent application that covers CCNE1-directed MGDs. The earliest scheduled expiration of any U.S. or foreign patents issuing from this PCT application, if such patents are issued, would be 2045, excluding any additional term available for patent term adjustment or patent term extension, and assuming timely payment of all applicable maintenance or annuity fees.
With respect to our VAV1 program, on October 25, 2024, the patent rights protecting our VAV1 MGDs were exclusively licensed to Novartis Pharma AG.
QuEENTM discovery engine
With respect to our QuEENTM discovery engine, as of December 31, 2025, our portfolio included two pending PCT patent applications, seven pending U.S. non-provisional patent applications, three U.S. provisional patent applications, and three pending European patent applications, that protect our QuEENTM discovery engine and uses thereof for the design, discovery, and development of MGD product candidates. The earliest scheduled expiration of any U.S. or foreign patent issuing from these U.S. provisional patent applications, if such patents are issued, would be 2042, excluding any available additional term for patent term adjustment or patent term extension.
Trademarks
As of December 31, 2025, we owned various registered and unregistered trademarks in Australia, Canada, China, Japan, Switzerland and the United States, including Monte Rosa, Monte Rosa Therapeutics and our housemark ‘M’ logo.
Trade secrets and know how
As an innovation driven biotechnology company, we rely on trade secrets, technical know-how and continuing innovation to develop and maintain the competitive advantage relevant to our business. Under the agreements we enter into with our employees and consultants, full rights in any intellectual property are assigned to us. We also rely on confidentiality or other agreements with our employees, consultants, other advisors and business partners to protect our proprietary information. Our policy is to require third parties that receive material confidential information to enter into confidentiality or other agreements with us that contain appropriate protections for our confidential and trade secret information.
Government regulation
The FDA and other regulatory authorities at federal, state and local level, as well as in foreign countries and local jurisdictions, extensively regulate among other things, the research, development, testing, manufacture, quality control, sampling, import, export, safety, effectiveness, labeling, packaging, storage, distribution, record-keeping, approval, advertising, promotion, marketing, post-approval monitoring and post-approval reporting of drugs. We, along with our vendors, contract research organizations, or CROs, and contract manufacturers, will be required to navigate the various preclinical, clinical, manufacturing and commercial approval requirements of the governing regulatory agencies of the countries in which we wish to conduct studies or seek approval of our product candidates. The process of obtaining regulatory approvals of drugs and ensuring subsequent compliance with appropriate federal, state, local and foreign statutes and regulations requires the expenditure of substantial time and financial resources.
In the U.S., the FDA regulates drug products under the Federal Food, Drug, and Cosmetic Act, or FD&C Act, as amended, its implementing regulations and other laws. If we fail to comply with applicable FDA or other
requirements at any time with respect to product development, clinical testing, approval or any other legal requirements relating to product manufacture, processing, handling, storage, quality control, safety, marketing, advertising, promotion, packaging, labeling, export, import, distribution, or sale, we may become subject to administrative or judicial sanctions or other legal consequences. These sanctions or consequences could include, among other things, the FDA’s refusal to approve pending applications, issuance of clinical holds for ongoing studies, withdrawal of approvals, warning or untitled letters, product withdrawals or recalls, product seizures, relabeling or repackaging, total or partial suspensions of manufacturing or distribution, injunctions, fines, civil penalties or criminal prosecution.
The process required by the FDA before a drug may be marketed in the U.S. generally involves the following:
•completion of extensive preclinical studies in accordance with applicable regulations, including studies conducted in accordance with good laboratory practice, or GLP, requirements;
•submission to the FDA of an IND application, which must become effective before clinical trials may begin;
•approval by an IRB or independent ethics committee at each clinical trial site before each trial may be initiated;
•performance of adequate and well-controlled clinical trials in accordance with applicable IND regulations, good clinical practice, or GCP, requirements and other clinical trial-related regulations, to establish the safety and efficacy of the investigational product for each proposed indication;
•submission to the FDA of a NDA;
•a determination by the FDA within 60 days of its receipt of a New Drug Application, or an NDA, to accept the filing for review;
•satisfactory completion of one or more FDA pre-approval inspections of the manufacturing facility or facilities where the drug will be produced to assess compliance with current Good Manufacturing Practice, or cGMP, requirements to assure that the facilities, methods and controls are adequate to preserve the drug’s identity, strength, quality and purity;
•potential FDA audit of the clinical trial sites that generated the data in support of the NDA;
•payment of user fees for FDA review of the NDA; and
•FDA review and approval of the NDA, including consideration of the views of any FDA advisory committee, prior to any commercial marketing or sale of the drug in the U.S.
Preclinical studies and clinical trials for drugs
Before testing any drug in humans, the product candidate must undergo rigorous preclinical testing. Preclinical studies include laboratory evaluations of drug chemistry, formulation and stability, as well as in vitro and animal studies to assess safety and in some cases to establish the rationale for therapeutic use. The conduct of preclinical studies is subject to federal and state regulations and requirements, including GLP requirements for safety/toxicology studies. The results of the preclinical studies, together with manufacturing information and analytical data must be submitted to the FDA as part of an IND. An IND is a request for authorization from the FDA to administer an investigational product to humans and must become effective before clinical trials may begin. Some long-term preclinical testing may continue after the IND is submitted. The IND automatically becomes effective 30 days after receipt by the FDA, unless the FDA, within the 30-day time period, raises concerns or questions about the conduct of the clinical trial, including concerns that human research patients will be exposed to unreasonable health risks, and imposes a clinical hold. In such a case, the IND sponsor and the FDA must resolve any outstanding concerns before the clinical trial can begin. Submission of an IND may result in the FDA not allowing clinical trials to commence or not allowing clinical trials to commence on the terms originally specified in the IND.
The clinical stage of development involves the administration of the product candidate to healthy volunteers or patients under the supervision of qualified investigators, generally physicians not employed by or under the trial sponsor’s control, in accordance with GCP requirements, which include the requirements that all research subjects provide their informed consent for their participation in any clinical trial. Clinical trials are conducted under protocols detailing, among other things, the objectives of the clinical trial, dosing procedures, subject selection and exclusion criteria and the parameters and criteria to be used in monitoring safety and evaluating effectiveness. Each protocol, and any subsequent amendments to the protocol must be submitted to the FDA as part of the IND. Furthermore, each clinical trial must be reviewed and approved by an IRB for each institution at
which the clinical trial will be conducted to ensure that the risks to individuals participating in the clinical trials are minimized and are reasonable related to the anticipated benefits. The IRB also approves the informed consent form that must be provided to each clinical trial subject or his or her legal representative, and must monitor the clinical trial until completed. The FDA, the IRB or the sponsor may suspend or discontinue a clinical trial at any time on various grounds, including a finding that the patients are being exposed to an unacceptable health risk or that the trial is unlikely to meet its stated objectives. Some studies also include oversight by an independent group of qualified experts organized by the clinical study sponsor, known as a data safety monitoring board, which provides authorization for whether or not a study may move forward at designated check points based on access to certain data from the study and may halt the clinical trial if it determines that there is an unacceptable safety risk for subjects or other grounds, such as no demonstration of efficacy. There also are requirements governing the reporting of ongoing clinical trials and completed clinical trials to public registries. Information about applicable clinical trials, including clinical trial results, must be submitted within specific timeframes for publication on the www.clinicaltrials.gov website.
A sponsor who wishes to conduct a clinical trial outside of the U.S. may, but need not, obtain FDA authorization to conduct the clinical trial under an IND. If a foreign clinical trial is not conducted under an IND, the sponsor must submit data from the clinical trial to the FDA in support of an NDA. The FDA will accept a well-designed and well-conducted foreign clinical trial not conducted under an IND if the trial was conducted in accordance with GCP requirements, and the FDA is able to validate the data through an onsite inspection if deemed necessary.
Clinical trials to evaluate therapeutic indications to support NDAs for marketing approval are typically conducted in three sequential phases, which may overlap or be combined.
•Phase 1—Phase 1 clinical trials involve initial introduction of the investigational product into healthy human volunteers or patients with the target disease or condition. These studies are typically designed to test the safety, dosage tolerance, absorption, metabolism and distribution of the investigational product in humans, excretion the side effects associated with increasing doses, and, if possible, to gain early evidence of effectiveness. In the case of some products for severe or life-threatening diseases, such as cancer, especially when the product may be too inherently toxic to ethically administer to healthy volunteers, the initial human testing is often conducted in patients.
•Phase 2—Phase 2 clinical trials typically involve administration of the investigational product to a limited patient population with a specified disease or condition to evaluate the preliminary efficacy, optimal dosages and dosing schedule and to identify possible adverse side effects and safety risks.
•Phase 3—Phase 3 clinical trials typically involve administration of the investigational product to an expanded patient population to further evaluate dosage, to provide statistically significant evidence of clinical efficacy and to further test for safety, generally at multiple geographically dispersed clinical trial sites. These clinical trials are intended to establish the overall risk/benefit ratio of the investigational product and to provide an adequate basis for product approval and physician labeling. Generally, two adequate and well-controlled clinical trials have been required by the FDA for approval of an NDA, although there are known exceptions, particularly for rare diseases. FDA leadership announced in February 2026 that the FDA will, going forward, adopt the default position that one adequate and well-controlled trial, combined with confirmatory evidence, can serve as the basis of approval for novel products.
Post-approval trials, sometimes referred to as Phase 4 clinical trials, may be conducted after initial marketing approval. These trials are used to gain additional experience from the treatment of patients in the intended therapeutic indication and are commonly intended to generate additional safety data regarding use of the product in a clinical setting. In certain instances, the FDA may mandate the performance of Phase 4 clinical trials as a condition of approval of an NDA.
Progress reports detailing the results of the clinical trials, among other information, must be submitted at least annually to the FDA. Written IND safety reports must be submitted to the FDA and the investigators fifteen days after the trial sponsor determines the information qualifies for reporting for serious and unexpected suspected AEs, findings from other studies or animal or in vitro testing that suggest a significant risk for human volunteers and any clinically important increase in the rate of a serious suspected adverse reaction over that listed in the protocol or investigator brochure. The sponsor must also notify the FDA of any unexpected fatal or life-threatening suspected adverse reaction as soon as possible but in no case later than seven calendar days after the sponsor’s initial receipt of the information.
Concurrent with clinical trials, companies usually complete additional animal studies and must also develop additional information about the chemistry and physical characteristics of the product candidate and finalize a
process for manufacturing the drug product in commercial quantities in accordance with cGMP requirements. The manufacturing process must be capable of consistently producing quality batches of the product candidate and manufacturers must develop, among other things, methods for testing the identity, strength, quality and purity of the final drug product. Additionally, appropriate packaging must be selected and tested, and stability studies must be conducted to demonstrate that the product candidate does not undergo unacceptable deterioration over its shelf life.
U.S. marketing approval for drugs
Assuming successful completion of the required clinical testing, the results of the preclinical studies and clinical trials, together with detailed information relating to the product’s chemistry, manufacture, controls and proposed labeling, among other things are submitted to the FDA as part of an NDA requesting approval to market the product for one or more indications. An NDA must contain proof of the drug’s safety and efficacy in order to be approved. The marketing application may include both negative and ambiguous results of preclinical studies and clinical trials, as well as positive findings. Data may come from company-sponsored clinical trials intended to test the safety and efficacy of a product’s use or from a number of alternative sources, including studies initiated by investigators. To support marketing approval, the data submitted must be sufficient in quality and quantity to establish the safety and efficacy of the investigational product to the satisfaction of the FDA. FDA approval of an NDA must be obtained before a drug may be marketed in the U.S.
The FDA reviews all submitted NDAs before it accepts them for filing and may request additional information rather than accepting the NDA for filing. The FDA must make a decision on accepting an NDA for filing within 60 days of receipt, and such decision could include a refusal to file by the FDA. Once the submission is accepted for filing, the FDA begins an in-depth substantive review of the NDA. The FDA reviews an NDA to determine, among other things, whether the drug is safe and effective and whether the facility in which it is manufactured, processed, packaged or held meets standards designed to assure the product’s continued safety, quality and purity. Under the goals and polices agreed to by the FDA under the Prescription Drug User Fee Act, or PDUFA, the FDA targets ten months, from the filing date, in which to complete its initial review of a new molecular entity NDA and respond to the applicant, and six months from the filing date of a new molecular entity NDA for priority review. The FDA does not always meet its PDUFA goal dates for standard or priority NDAs, and the review process is often extended by FDA requests for additional information or clarification.
Further, under PDUFA, as amended, each NDA must be accompanied by a user fee. The FDA adjusts the PDUFA user fees on an annual basis. Fee waivers or reductions are available in certain circumstances, including a waiver of the application fee for the first application filed by a small business. Additionally, no user fees are assessed on NDAs for products designated as orphan drugs, unless the product also includes a non-orphan indication.
The FDA also may require submission of a Risk Evaluation and Mitigation Strategy, or REMS, program to ensure that the benefits of the drug outweigh its risks. The REMS program could include medication guides, physician communication plans, assessment plans and/or elements to assure safe use, such as restricted distribution methods, patient registries or other risk-minimization tools.
The FDA may refer an application for a novel drug to an advisory committee. An advisory committee is a panel of independent experts, including clinicians and other scientific experts, which reviews, evaluates and provides a recommendation as to whether the application should be approved and under what conditions. The FDA is not bound by the recommendations of an advisory committee, but it considers such recommendations carefully when making decisions.
Before approving an NDA, the FDA typically will inspect the facility or facilities where the product is manufactured. The FDA will not approve an application unless it determines that the manufacturing processes and facilities are in compliance with cGMP requirements and adequate to ensure consistent production of the product within required specifications. Additionally, before approving an NDA, the FDA may inspect one or more clinical trial sites to assure compliance with GCP and other requirements and the integrity of the clinical data submitted to the FDA.
After evaluating the NDA and all related information, including the advisory committee recommendation, if any, and inspection reports regarding the manufacturing facilities and clinical trial sites, the FDA may issue an approval letter, or, in some cases, a complete response letter. A complete response letter generally contains a statement of specific conditions that must be met in order to secure final approval of the NDA and may require additional clinical or preclinical testing in order for the FDA to reconsider the application. Even with submission of this additional information, the FDA ultimately may decide that the application does not satisfy the regulatory
criteria for approval. If and when those conditions have been met to the FDA’s satisfaction, the FDA will typically issue an approval letter. An approval letter authorizes commercial marketing of the drug with specific prescribing information for specific indications.
Even if the FDA approves a product, depending on the specific risk(s) to be addressed it may limit the approved indications for use of the product, require that contraindications, warnings or precautions be included in the product labeling, require that post-approval studies, including Phase 4 clinical trials, be conducted to further assess a drug’s safety after approval, require testing and surveillance programs to monitor the product after commercialization or impose other conditions, including distribution and use restrictions or other risk management mechanisms under a REMS, which can materially affect the potential market and profitability of the product. The FDA may prevent or limit further marketing of a product based on the results of post-marketing studies or surveillance programs. After approval, some types of changes to the approved product, such as adding new indications, manufacturing changes and additional labeling claims, are subject to further testing requirements and FDA review and approval.
Orphan drug designation and exclusivity
Under the Orphan Drug Act, the FDA may grant orphan designation to a drug intended to treat a rare disease or condition, which is a disease or condition that affects fewer than 200,000 individuals in the U.S., or if it affects 200,000 or more individuals in the U.S., there is no reasonable expectation that the cost of developing and making the product available in the U.S. for the disease or condition will be recovered from sales of the product. Orphan designation must be requested before submitting an NDA. After the FDA grants orphan designation, the identity of the therapeutic agent and its potential orphan use are disclosed publicly by the FDA. Orphan designation does not convey any advantage in or shorten the duration of the regulatory review and approval process, though companies developing orphan products are eligible for certain incentives, including tax credits for qualified clinical testing and waiver of application fees.
If a product that has orphan designation subsequently receives the first FDA approval for the disease or condition for which it has such designation, the product is entitled to a seven-year period of marketing exclusivity during which the FDA may not approve any other applications to market the same therapeutic agent for the same indication, except in limited circumstances, such as a subsequent product’s showing of clinical superiority over the product with orphan exclusivity or where the original applicant cannot produce sufficient quantities of product. Competitors, however, may receive approval of different therapeutic agents for the indication for which the orphan product has exclusivity or obtain approval for the same therapeutic agent but for a different indication than that for which the orphan product has exclusivity. Orphan product exclusivity could also block the approval of one of our products for seven years if a competitor obtains approval for the same therapeutic agent for the same indication before we do, unless we are able to demonstrate that our product is clinically superior. If an orphan designated product receives marketing approval for an indication broader than what is designated, it may not be entitled to orphan exclusivity. Further, orphan drug exclusive marketing rights in the U.S. may be lost if the FDA later determines that the request for designation was materially defective or the manufacturer of the approved product is unable to assure sufficient quantities of the product to meet the needs of patients with the rare disease or condition.
Expedited development and review programs for drugs
The FDA maintains several programs intended to facilitate and expedite development and review of new drugs to address unmet medical needs in the treatment of serious or life-threatening diseases or conditions. These programs include Fast Track Designation, Breakthrough Therapy Designation, Priority Review and Accelerated Approval, and the purpose of these programs is to either expedite the development or review of important new drugs to get them to patients earlier than under standard FDA development and review procedures.
A new drug is eligible for Fast Track Designation if it is intended to treat a serious or life-threatening disease or condition and demonstrates the potential to address unmet medical needs for such disease or condition. Fast Track Designation provides increased opportunities for sponsor interactions with the FDA during preclinical and clinical development, in addition to the potential for rolling review once a marketing application is filed, meaning that the agency may review portions of the marketing application before the sponsor submits the complete application, as well as Priority Review, discussed below.
In addition, a new drug may be eligible for Breakthrough Therapy Designation if it is intended to treat a serious or life-threatening disease or condition and preliminary clinical evidence indicates that the drug may demonstrate substantial improvement over existing therapies on one or more clinically significant endpoints, such as substantial treatment effects observed early in clinical development. Breakthrough Therapy Designation provides
all the features of Fast Track Designation in addition to intensive guidance on an efficient drug development program beginning as early as Phase 1, and FDA organizational commitment to expedited development, including involvement of senior managers and experienced review staff in a cross-disciplinary review, where appropriate.
Any product submitted to the FDA for approval, including a product with Fast Track or Breakthrough Therapy Designation, may also be eligible for additional FDA programs intended to expedite the review and approval process including Priority Review designation and Accelerated Approval. A product is eligible for Priority Review if it has the potential to provide a significant improvement in safety or effectiveness in the treatment, diagnosis or prevention of a serious disease or condition. Under priority review, the FDA targets reviewing an application in six months after filing compared to ten months after filing for a standard review.
Additionally, products are eligible for Accelerated Approval if they can be shown to have an effect on a surrogate endpoint that is reasonably likely to predict clinical benefit, or an effect on a clinical endpoint that can be measured earlier than an effect on irreversible morbidity or mortality which is reasonably likely to predict an effect on irreversible morbidity or mortality or other clinical benefit, taking into account the severity, rarity or prevalence of the condition and the availability or lack of alternative treatments. Accelerated Approval is usually contingent on a sponsor’s agreement to conduct additional post-approval studies to verify and describe the product’s clinical benefit and, under the Food and Drug Omnibus Reform Act of 2022, or FDORA, the FDA may require, as appropriate, that such trials be underway prior to approval or within a specific time period after the date of approval for a product granted Accelerated Approval. Under FDORA, the FDA has increased authority for expedited procedures to withdraw approval of a drug or indication approved under Accelerated Approval if, for example, the confirmatory trial fails to verify the predicted clinical benefit of the product. In addition, for products being considered for accelerated approval, the FDA generally requires, unless otherwise informed by the agency, that all advertising and promotional materials that are intended for dissemination or publication within 120 days following marketing approval be submitted to the agency for review during the pre-approval review period, and that after 120 days following marketing approval, all advertising and promotional materials must be submitted at least 30 days prior to the intended time of initial dissemination or publication.
Even if a product qualifies for one or more of these programs, the FDA may later decide that the product no longer meets the conditions for qualification or the time period for FDA review or approval may not be shortened. Furthermore, Fast Track Designation, Breakthrough Therapy Designation, Priority Review and Accelerated Approval do not change the scientific or medical standards for approval or the quality of evidence necessary to support approval but may expedite the development or review process.
Pediatric information and pediatric exclusivity
Under the Pediatric Research Equity Act, or PREA, as amended, certain NDAs and certain supplements to an NDA must contain data to assess the safety and efficacy of the drug for the claimed indications in all relevant pediatric subpopulations and to support dosing and administration for each pediatric subpopulation for which the product is safe and effective. The FDA may grant deferrals for submission of pediatric data or full or partial waivers. The FD&C Act requires that a sponsor who is planning to submit a marketing application for a drug that includes a new active ingredient, new indication, new dosage form, new dosing regimen or new route of administration submit an initial Pediatric Study Plan, or PSP, within 60 days of an end-of-Phase 2 meeting or, if there is no such meeting, as early as practicable before the initiation of the Phase 3 or Phase 2/3 trial. The FDA and the sponsor must reach an agreement on the PSP. A sponsor can submit amendments to an agreed-upon initial PSP at any time if changes to the pediatric plan need to be considered based on data collected from preclinical studies, early phase clinical trials and/or other clinical development programs.
A drug can also obtain pediatric market exclusivity in the U.S. Pediatric exclusivity, if granted, adds six months to existing exclusivity periods and patent terms. This six-month exclusivity, which runs from the end of other exclusivity protection or patent term, may be granted based on the voluntary completion of a pediatric trial or of multiple pediatric trials in accordance with an FDA-issued “Written Request” for such trials, provided that at the time pediatric exclusivity is granted there is not less than nine months of term remaining.
U.S. post-approval requirements for drugs
Drugs manufactured or distributed pursuant to FDA approvals are subject to pervasive and continuing regulation by the FDA, including, among other things, requirements relating to record-keeping, periodic reporting, product sampling and distribution, reporting of adverse experiences with the product, complying with promotion and advertising requirements, which include restrictions on promoting products for unapproved uses or patient populations (known as “off-label use”) and limitations on industry-sponsored scientific and educational activities. Although physicians may prescribe legally available products for off-label uses, manufacturers and individuals
working on behalf of manufacturers may not market or promote such uses. The FDA and other agencies actively enforce the laws and regulations prohibiting the promotion of off-label uses, and a company that is found to have improperly promoted off-label uses may be subject to significant liability, including investigation by federal and state authorities. Prescription drug promotional materials must be submitted to the FDA in conjunction with their first use or first publication. Further, if there are any modifications to the drug, including changes in indications, labeling or manufacturing processes or facilities, the applicant may be required to submit and obtain FDA approval of a new NDA or NDA supplement, which may require the development of additional data or preclinical studies and clinical trials. The FDA may impose a number of post-approval requirements as a condition of approval of an NDA. For example, the FDA may require post-market testing, including Phase 4 clinical trials, and surveillance to further assess and monitor the product’s safety and effectiveness after commercialization.
In addition, drug manufacturers and their subcontractors involved in the manufacture and distribution of approved drugs, and those supplying products, ingredients, and components of them, are required to register their establishments with the FDA and certain state agencies and are subject to periodic unannounced inspections by the FDA and certain state agencies for compliance with ongoing regulatory requirements, including cGMP, which impose certain procedural and documentation requirements upon us and our contract manufacturers. Manufacturers and other parties involved in the drug supply chain for prescription drug products must also comply with product tracking and tracing requirements and for notifying the FDA of counterfeit, diverted, stolen and intentionally adulterated products or products that are otherwise unfit for distribution in the United States. Failure to comply with statutory and regulatory requirements can subject a manufacturer to possible legal or regulatory action, such as warning letters, suspension of manufacturing, product seizures, injunctions, civil penalties or criminal prosecution. There is also a continuing, annual prescription drug product program user fee.
Later discovery of previously unknown problems with a product, including AEs of unanticipated severity or frequency, or with manufacturing processes, or failure to comply with regulatory requirements, may result in revisions to the approved labeling to add new safety information, requirements for post-market studies or clinical trials to assess new safety risks, or imposition of distribution or other restrictions under a REMS. Other potential consequences include, among other things:
•restrictions on the marketing or manufacturing of the product, complete withdrawal of the product from the market or product recalls;
•safety alerts, Dear Healthcare Provider letters, press releases or other communications containing warnings or other safety information about the product;
•fines, warning letters or untitled letters or holds on post-approval clinical trials;
•refusal of the FDA to approve applications or supplements to approved applications, or suspension or revocation of product approvals;
•product seizure or detention, or refusal to permit the import or export of products;
•injunctions or the imposition of civil or criminal penalties; and
•consent decrees, corporate integrity agreements, debarment or exclusion from federal healthcare programs or mandated modification of promotional materials and labeling and issuance of corrective information.
Marketing exclusivity
Market exclusivity provisions under the FD&C Act can delay the submission or the approval of certain marketing applications. The FD&C Act provides a five-year period of non-patent exclusivity within the United States to the first applicant to obtain approval of an NDA for a new chemical entity. A drug is a new chemical entity if the FDA has not previously approved any other new drug containing the same active moiety, which is the molecule or ion responsible for the action of the drug substance. During the exclusivity period, the FDA may not approve or even accept for review an abbreviated new drug application, or ANDA, or an NDA submitted under Section 505(b)(2), or 505(b)(2) NDA, submitted by another company for another drug based on the same active moiety, regardless of whether the drug is intended for the same indication as the original innovative drug or for another indication. However, such an application may be submitted after four years if it contains a certification of patent invalidity or non-infringement to one of the patents listed with the FDA by the innovator NDA holder.
The FD&C Act alternatively provides three years of marketing exclusivity for an NDA, or supplement to an existing NDA, if new clinical investigations, other than bioavailability studies, that were conducted or sponsored by the applicant are deemed by the FDA to be essential to the approval of the application, for example new indications, dosages or strengths of an existing drug. This three-year exclusivity covers only the modification for which the
drug received approval on the basis of the new clinical investigations and does not prohibit the FDA from approving ANDAs or 505(b)(2) NDAs for drugs containing the active agent for the original indication or condition of use. Five-year and three-year exclusivity will not delay the submission or approval of a full NDA. However, an applicant submitting a full NDA would be required to conduct or obtain a right of reference to any preclinical studies and adequate and well-controlled clinical trials necessary to demonstrate safety and effectiveness.
Other regulatory matters
From time to time, legislation is drafted, introduced, passed in Congress and signed into law that could significantly change the statutory provisions governing the approval, manufacturing, and marketing of products regulated by the FDA. In addition to new legislation, FDA regulations, guidances, and policies are often revised or reinterpreted by the agency in ways that may significantly affect the manner in which pharmaceutical products are regulated and marketed.
Manufacturing, sales, promotion and other activities of product candidates following product approval, where applicable, or commercialization are also subject to regulation by numerous regulatory authorities in the U.S. in addition to the FDA, which may include the Centers for Medicare & Medicaid Services, or CMS, other divisions of the Department of Health and Human Services, the Department of Justice, the Drug Enforcement Administration, the Consumer Product Safety Commission, the Federal Trade Commission, the Occupational Safety & Health Administration, the Environmental Protection Agency and state and local governments and governmental agencies.
Current and future healthcare reform legislation
In the United States and in some foreign jurisdictions, there have been, and likely will continue to be, a number of legislative and regulatory changes and proposed changes intended to broaden access to healthcare, improve the quality of healthcare, and contain or lower the cost of healthcare. For example, in the United States, the Patient Protection and Affordable Care Act, as amended by the Health Care and Education Reconciliation Act, or ACA, among other things, subjected products to potential competition by lower-cost products, expanded the types of entities eligible for the 340B drug discount program, increased rebates owed by manufacturers under the Medicaid Drug Rebate Program and extended the rebate program to individuals enrolled in Medicaid managed care organizations, established annual fees and taxes on manufacturers of certain branded prescription drugs, and created a Medicare Part D coverage gap discount program for certain Medicare Part D beneficiaries, in which manufacturers must agree to offer 50% (increased effective January 2019 to 70%) point-of-sale discounts off negotiated prices of applicable brand drugs to eligible beneficiaries during their coverage gap period, as a condition for the manufacturer’s outpatient drugs to be covered under Medicare Part D (later replaced altogether by a similar manufacturer-owed discount obligation under the Inflation Reduction Act of 2022).
There have been executive, judicial and congressional challenges to certain aspects of the ACA Act as well as efforts to repeal or replace certain aspects of the ACA. On June 17, 2021, for example, the U.S. Supreme Court dismissed the most recent judicial challenge to the ACA brought by several states without specifically ruling on the constitutionality of the ACA. In addition, President Trump has issued multiple executive orders that have sought to reduce prescription drug costs. Although a number of these and other proposed measures may require authorization through additional legislation to become effective, and the Trump administration may reverse or otherwise change these measures, both the Trump administration and Congress have indicated that they will continue to seek new legislative measures to control drug costs.
Other federal health reform measures have been proposed and adopted in the U.S. since the ACA was enacted. The Budget Control Act of 2011, for example, included aggregate reductions to Medicare payments to providers of up to 2% per fiscal year that will remain in effect through 2031. In addition, the American Taxpayer Relief Act of 2012 was signed into law which, among other things, reduced Medicare payments to several providers, and increased the statute of limitations period for the government to recover overpayments to providers from three to five years.
Furthermore, there has been heightened governmental scrutiny over the manner in which manufacturers set prices for their marketed products, which has resulted in several congressional inquiries and proposed legislation designed to, among other things, bring more transparency to product pricing, review the relationship between pricing and manufacturer patient assistance programs and reform government program reimbursement methodologies for drug products.
In addition, the Inflation Reduction Act of 2022, or the IRA, included several provisions that could impact our business to varying degrees. The IRA, which among other things, allows for Centers for Medicare & Medicaid Services to negotiate prices for certain single-source drugs and biologics reimbursed under Medicare Part B and
Part D, beginning with select high-cost drugs in 2026. The legislation subjects drug manufacturers to civil monetary penalties and a potential excise tax for offering a price that is not equal to or less than the price negotiated under the law or for taking price increases that exceed inflation. The legislation also requires manufacturers to pay rebates for drugs in Medicare Part D whose price increases exceed inflation. Further, the legislation caps Medicare beneficiaries’ annual out-of-pocket drug expenses at $2,000. The effect of IRA on our business and the healthcare industry in general is not yet known.
Under the One Big Beautiful Bill Act of 2025, or OBBBA, imposed significant reductions in Medicaid funding, additional work requirements for Medicaid recipients, and more frequent reenrollment requirements. These changes are expected to place substantial pressure on state Medicaid budgets, reduce enrollment, and limit covered services, which could decrease utilization of, and reimbursement for, our products, if approved.
We cannot predict the initiatives that may be adopted in the future. The continuing efforts of the government, insurance companies, managed care organizations and other payors of healthcare services to contain or reduce costs of healthcare and/or impose price controls may adversely affect:
•the demand for our product candidates, if we obtain regulatory approval;
•our ability to set a price that we believe is fair for our approved products;
•our ability to generate revenue and achieve or maintain profitability;
•the level of taxes that we are required to pay; and
•the availability of capital.
Any reduction in reimbursement from Medicare or other government programs may result in a similar reduction in payments from private payors, which may adversely affect our future profitability.
Prescription drug pricing in the United States is subject to significant political, legislative, and regulatory scrutiny. In recent years, Congress and federal and state agencies have considered and adopted measures aimed at increasing pricing transparency, reducing drug costs under government programs, reforming reimbursement methodologies, and examining manufacturer patient assistance programs. In 2025, the Trump Administration issued executive actions and supported regulatory initiatives focused on implementing most-favored-nation, or MFN, pricing concepts and expanding direct-to-consumer sales models, and CMS proposed multiple reimbursement models that would incorporate international reference pricing benchmarks into Medicare and Medicaid payment structures. These initiatives, if implemented, could adversely affect the prices that manufacturers are able to obtain for prescription drugs in the United States. Although certain proposals remain subject to rulemaking, legal challenge, or voluntary participation, continued efforts to regulate or constrain drug pricing could materially impact our future revenue, pricing flexibility, and commercial strategy if our product candidates are approved.
Individual states in the United States have also become increasingly active in passing legislation and implementing regulations designed to control pharmaceutical product pricing, including price or patient reimbursement constraints, discounts, restrictions on certain product access and marketing cost disclosure and transparency measures, and, in some cases, designed to encourage importation from other countries and bulk purchasing. In addition, regional healthcare authorities and individual hospitals are increasingly using bidding procedures to determine what pharmaceutical products and which suppliers will be included in their prescription drug and other healthcare programs. It is difficult to predict the future legislative landscape in healthcare and the effect on our business, results of operations, financial condition and prospects. However, we expect that additional state and federal healthcare reform measures will be adopted in the future.
Third-party payor coverage and reimbursement
Significant uncertainty exists as to the coverage and reimbursement status of any products for which we may obtain regulatory approval. In the U.S. and markets in other countries, sales of any products for which we may receive regulatory marketing approval for commercial sale will depend, in part, on the availability of coverage and reimbursement from third-party payors. Third-party payors include government healthcare programs (e.g., Medicare, Medicaid), managed care providers, private health insurers, health maintenance organizations and other organizations. These third-party payors decide which medications they will pay for and will establish reimbursement levels. The availability of coverage and extent of reimbursement by governmental and other third-party payors is essential for most patients to be able to afford treatments such as targeted protein degradation therapies.
In the United States, no uniform policy exists for coverage and reimbursement for products among third-party payors. Therefore, decisions regarding the extent of coverage and amount of reimbursement to be provided can differ significantly from payor to payor. Third-party payors often follow Medicare coverage policy and payment limitations in setting their own reimbursement rates, but also have their own methods and approval process apart from Medicare determinations. Factors payors consider in determining reimbursement are based on whether the product is:
•a covered benefit under its health plan;
•safe, effective and medically necessary;
•appropriate for the specific patient;
•neither experimental nor investigational.
One third-party payor’s decision to cover a particular product or service does not ensure that other payors will also provide coverage for the medical product or service. Third-party payors may limit coverage to specific products on an approved list or formulary, which may not include all FDA-approved products for a particular indication. Also, third-party payors may refuse to include a particular branded product on their formularies or otherwise restrict patient access to a branded drug when a less costly generic equivalent or other alternative is available. Our ability to successfully commercialize our product candidates will depend in part on the extent to which coverage and adequate reimbursement for these products and related treatments will be available from third-party payors.
Moreover, the process for determining whether a payor will provide coverage for a product may be separate from the process for setting the reimbursement rate a payor will pay for the product. A payor’s decision to provide coverage for a product does not imply that an adequate reimbursement rate will be approved. Further, third-party payors are increasingly challenging the price and examining the medical necessity and cost-effectiveness of medical products and services, in addition to their safety and efficacy. In order to secure coverage and reimbursement for any product that might be approved for sale, we may need to conduct expensive pharmacoeconomic studies in order to demonstrate the medical necessity and cost-effectiveness of our products, in addition to the costs required to obtain FDA or comparable regulatory approvals. Additionally, we may also need to provide discounts to purchasers, private health plans or government healthcare programs. Despite our best efforts, our product candidates may not be considered medically necessary or cost-effective. If third-party payors do not consider a product to be cost-effective compared to other available therapies, they may not cover an approved product as a benefit under their plans or, if they do, the level of payment may not be sufficient to allow us to sell our products at a profit. A decision by a third-party payor not to cover a product could reduce physician utilization once the product is approved and have a material adverse effect on sales, our operations and financial condition.
Finally, in some foreign countries, the proposed pricing for a product candidate must be approved before it may be lawfully marketed. The requirements governing product pricing vary widely from country to country. For example, in the European Union, or EU, pricing and reimbursement of pharmaceutical products are regulated at a national level under the individual EU Member States’ social security systems. Some foreign countries provide options to restrict the range of medicinal products for which their national health insurance systems provide reimbursement and can control the prices of medicinal products for human use. To obtain reimbursement or pricing approval, some of these countries may require the completion of clinical trials that compare the cost effectiveness of a particular product candidate to currently available therapies. A country may approve a specific price for the medicinal product or it may instead adopt a system of direct or indirect controls on the profitability of the company placing the medicinal product on the market. There can be no assurance that any country that has price controls or reimbursement limitations for products will allow favorable reimbursement and pricing arrangements for any of our product candidates. Even if approved for reimbursement, historically, product candidates launched in some foreign countries, such as some countries in the EU, do not follow price structures of the U.S. and prices generally tend to be significantly lower.
Other healthcare laws and regulations
Healthcare providers, physicians, and third-party payors will play a primary role in the recommendation and prescription of any products for which we obtain marketing approval. Our business operations and any current or future arrangements with third-party payors may expose us to broadly applicable federal and state fraud and
abuse laws, as well as other healthcare laws and regulations. These laws may impact, among other things, our proposed sales, marketing, and distribution strategies. In the U.S., these laws include, among others:
•The federal Anti-Kickback Statute, or AKS, which prohibits, among other things, any person or entity from knowingly and willfully offering, soliciting, receiving or paying remuneration (a term interpreted broadly to include anything of value, including, for example, gifts, discounts and credits), directly or indirectly, overtly or covertly, in cash or in kind, to induce or reward, or in return for, either the referral of an individual for, or the purchase, lease, order or recommendation of, or arranging for, an item, good, facility or service for which payment may be made under a federal healthcare program such as Medicare and Medicaid. The AKS has been interpreted to apply to arrangements between manufacturers on one hand and prescribers, purchasers, and formulary managers on the other. A person or entity does not need to have actual knowledge of the statute or specific intent to violate it in order to have committed a violation. Violations can result in significant civil monetary and criminal penalties for each violation, plus up to three times the amount of remuneration, imprisonment, and exclusion from government healthcare programs.
•Additionally, the civil False Claims Act, or FCA, prohibits knowingly presenting or causing the presentation of a false, fictitious or fraudulent claim for payment to the U.S. government. Actions under the FCA may be brought by the Attorney General or as a qui tam action by a private individual in the name of the government. Violations of the FCA can result in very significant monetary penalties, for each false claim and treble the amount of the government’s damages. Manufacturers can be held liable under the FCA even when they do not submit claims directly to government payors if they are deemed to “cause” the submission of false or fraudulent claims. Further, a violation of the AKS can also form the basis for FCA liability.
•The U.S. federal Health Insurance Portability and Accountability Act of 1996, or HIPAA, imposes additional criminal and civil liability for knowingly and willfully executing, or attempting to execute, a scheme to defraud any healthcare benefit program or obtain, by means of false or fraudulent pretenses, representations, or promises, any of the money or property owned by, or under the custody or control of, any healthcare benefit program, regardless of the payor (e.g., public or private); and knowingly and willfully falsifying, concealing or covering up by any trick or device a material fact or making any materially false statement in connection with the delivery of, or payment for, healthcare benefits, items or services. Similar to the AKS, a person or entity does not need to have actual knowledge of the statute or specific intent to violate it in order to have committed a violation.
•HIPAA, as amended by the Health Information Technology for Economic and Clinical Health Act of 2009, or HITECH, and its implementing regulations, including the final omnibus rule published on January 25, 2013, imposes, among other things, certain requirements relating to the privacy, security and transmission of individually identifiable health information. Among other things, HITECH makes HIPAA’s privacy and security standards directly applicable to “business associates,” defined as independent contractors or agents of covered entities that create, receive, maintain, transmit, or obtain, protected health information in connection with providing a service for or on behalf of a covered entity. HITECH also increased the civil and criminal penalties that may be imposed against covered entities, business associates and possibly other persons, and gave state attorneys general new authority to file civil actions for damages or injunctions in federal courts to enforce the federal HIPAA laws and seek attorney’s fees and costs associated with pursuing federal civil actions.
•Federal transparency laws, including the federal Physician Payment Sunshine Act created under the ACA, and its implementing regulations, which requires manufacturers of certain drugs, devices, medical supplies, and biologics, among others, to track and disclose payments under Medicare, Medicaid or the Children’s Health Insurance Program (with certain exceptions) and other transfers of value they make to U.S. physicians (defined to include doctors, dentists, optometrists, podiatrists and chiropractors) and teaching hospitals, as well as ownership and investment interests held by physicians and their immediate family members. Effective January 1, 2022, these reporting obligations were extended to include transfers of value made to certain non-physician providers such as physician assistants and nurse practitioners. This information is subsequently made publicly available in a searchable format on a CMS website.
•Federal government price reporting laws, which require us to calculate and report complex pricing metrics in an accurate and timely manner to government programs.
•Federal consumer protection and unfair competition laws, which broadly regulate marketplace activities and activities that potentially harm consumers.
•Analogous state law equivalents of each of the above U.S. federal laws and similar healthcare laws and regulations in the EU and other jurisdictions, such, such as anti-kickback and false claims laws, which may apply to items or services reimbursed by any third-party payor, including commercial insurers or patients; state and local marketing and/or transparency laws applicable to manufacturers that may be broader in scope than the federal requirements; state laws that require the reporting of information related to drug pricing; state laws that require drug manufacturers to report information related to payments and other transfers of value to physicians and other healthcare providers or marketing expenditures and pricing information; state and local laws that require the licensure and/or registration of pharmaceutical sales representatives; state laws that require pharmaceutical companies to comply with the pharmaceutical industry’s voluntary compliance guidelines and the relevant compliance guidance promulgated by the federal government; and state laws governing the privacy and security of health information and/or other health information in certain circumstances, many of which differ from each other in significant ways and often are not pre-empted by HIPAA, thus complicating compliance efforts. There are ambiguities as to what is required to comply with these state requirements and if we fail to comply with an applicable state law requirement we could be subject to penalties. Finally, there are state and foreign laws governing the privacy and security of health information, many of which differ from each other in significant ways and often are not preempted by HIPAA, thus complicating compliance efforts.
•The scope and enforcement of each of these laws is uncertain and subject to rapid change in the current environment of healthcare reform, especially in light of the lack of applicable precedent and regulations. Federal, state and foreign enforcement bodies have recently increased their scrutiny of interactions between healthcare companies and healthcare providers, which has led to a number of investigations, prosecutions, convictions and settlements in the healthcare industry. It is possible that governmental authorities will conclude that our business practices may not comply with current or future statutes, regulations or case law involving applicable fraud and abuse or other healthcare laws and regulations. If our operations are found to be in violation of any of these laws or any other governmental regulations that may apply to us, we may be subject to significant civil, criminal and administrative penalties, damages, fines, disgorgement, contractual damages, reputational harm, diminished profits and future earnings, individual imprisonment, exclusion from participation in government funded healthcare programs, such as Medicare and Medicaid, and the curtailment or restructuring of our operations, as well as additional reporting obligations and oversight if we become subject to a corporate integrity agreement or similar settlement to resolve allegations of non-compliance with these laws, any of which could adversely affect our ability to operate our business and our financial results. If any of the physicians or other healthcare providers or entities with whom we expect to do business is found to be not in compliance with applicable laws, they may be subject to similar actions, penalties, and sanctions. Ensuring business arrangements comply with applicable healthcare laws, as well as responding to possible investigations by government authorities, can be time- and resource consuming and can divert a company’s attention from the business.
Privacy data protection, and security laws and regulations
We may be subject to Swiss, European, US federal, state, and foreign data protection laws and regulations (i.e., laws and regulations that address privacy and data security) which provide additional privacy restrictions. For example, in the European Economic Area, or EEA, and United Kingdom, or UK, the collection and use of personal data including health information is governed by the provisions of the General Data Protection Regulation, or the EU GDPR, and the UK’s implementation of the same, or the UK GDPR, and collectively the GDPR, as well as national data protection laws in force in relevant EEA Member States and the UK (including the UK Data Protection Act 2018 and the UK Data (Use and Access) Act 2025. The GDPR imposes a broad range of strict requirements on companies subject to the GDPR, such as requirements relating to ensuring a legal basis or condition applies to the processing of personal data, transferring such information outside the EEA/UK, including to the U.S. (see below), expanded disclosures to individuals regarding the processing of their personal data, implementing safeguards to keep personal data secure, having data processing agreements with third parties who process personal data, providing information to individuals regarding data processing activities, responding to individuals’ requests to exercise their rights in respect of their personal data, if required obtaining consent of the individuals to whom the personal data relates, reporting security and privacy breaches involving personal data to the competent national data protection authority and affected individuals, appointing data protection officers, conducting data protection impact assessments, and record-keeping. The GDPR substantially increases the penalties to which we could be subject in the event of any non-compliance, including fines of up to €20,000,000 (£17.5 million for the UK GDPR) or 4% of our corporate group's total annual global revenue from the proceeding year, whichever is greater. The GDPR also confers a private right of action on data subjects and consumer associations to lodge complaints with supervisory authorities, seek judicial remedies, and obtain compensation for
damages resulting from violations of the GDPR. The GDPR may impose additional responsibility and liability in relation to personal data that we process and we may be required to put in place additional mechanisms to ensure continued compliance with GDPR, which may be onerous and adversely affect our business, financial condition, results of operations and prospects. Compliance with the GDPR is a rigorous and time-intensive process that may increase our cost of doing business or require us to change our business practices, and despite those efforts, there is a risk that we may be subject to fines and penalties, litigation, and reputational harm in connection with our European activities.
The UK’s data protection regime is independent from but aligned to the EU’s data protection regime. Non-compliance with the UK GDPR may result in monetary penalties of up to £17.5 million or 4% of worldwide revenue, whichever is higher.
The GDPR imposes strict rules on the transfer of personal data outside of the EEA/UK to third countries, including the United States in certain circumstances, unless a valid GDPR mechanism (e.g., the European Commission issued Standard Contractual Clauses, or SCCs, and the UK International Data Transfer Addendum/Agreement, or UK IDTA) is put in place, or an international transfer derogation exists under the GDPR. Where relying on the SCCs or UK IDTA for data transfers, we may also be required to carry out transfer impact assessments. Further, the EU and United States have agreed to an adequacy decision for the EU-U.S. Data Privacy Framework, or the "Framework,” which entered into force on July 11, 2023. This Framework provides that the protection of personal data transferred between the EU and the United States is comparable to that offered in the EU. This provides a further avenue to ensuring transfers to the United States are carried out in line with GDPR. There has been an extension to the Framework to cover UK transfers to the United States. The Framework could be challenged like its predecessor frameworks. This complexity and the additional contractual burden increases our overall risk exposure, and there may be further divergence on international transfer safeguards in the future, including with regard to administrative burdens. The international transfer obligations under the EEA and UK data protection regimes will require effort and cost and may result in us needing to make strategic considerations around where EEA/UK personal data is located and which service providers we can utilize for the processing of EEA/UK personal data. Any inability to transfer personal data from the UK and EEA to the U.S (and other third countries) in compliance with data protection laws may adversely affect our operations and our business and financial position. Although the UK is regarded as a third country under the EU’s GDPR, the European Commission or EC issued a decision recognizing the UK as providing adequate protection under the EU GDPR and, therefore, transfers of personal data originating in the EEA to the UK remain unrestricted. The UK government has confirmed that personal data transfers from the UK to the EEA also remain free flowing.
The UK data protection regime is independent from but currently still aligned with the EEA’s data protection regime. However, going forward, there is increasing risk for divergence in application, interpretation and enforcement of the data protection laws as between the UK and EEA, creating additional regulatory uncertainty. For example, the UK Data (Use and Access) Act 2025, now in force, further differentiates the UK and EU data protection regimes. In December 2025, the European Commission adopted a decision determining that the UK continues to provide a level of data protection that is “essentially equivalent” to the EU standards and extended the validity of the UK adequacy decision for six years, through to December 2031. While this renewal reduces immediate adequacy concerns, uncertainty remains regarding how UK data protection laws will evolve in the medium to longer term. The lack of clarity on future UK laws and regulations and their interaction with EU laws and regulations may affect our efforts to maintain a harmonized approach to processing European personal data and expose us to two parallel regimes where the UK GDPR and EU GDPR both apply with differing interpretation and enforcement approaches. This could increase our legal risk, uncertainty, complexity and compliance cost associated with the handling of European personal data, and may require us to adapt our privacy and data security compliance programs to account for legal and regulatory divergence between the UK and EEA. Further, EU Member States have adopted implementing national laws to implement the EU GDPR which may partially deviate from the EU GDPR and the competent authorities in the EU Member States may interpret EU GDPR obligations slightly differently from country to country, so that we do not expect to operate in a uniform legal landscape in the EEA.
In Switzerland, we are also subject to comprehensive data protection requirements including the Swiss Federal Act on Data Protection, or the DPA, which imposes stringent rules on the processing of personal data including health related information.
In the United States, numerous federal and state laws and regulations, including federal health information privacy laws, state data breach notification laws, state health information privacy laws, and federal and state consumer protection laws (e.g., Section 5 of the Federal Trade Commission Act), that govern the collection, use, disclosure and protection of health-related and other personal information could apply to our operations or the
operations of our collaborators. For example, the California Consumer Privacy Act (CCPA) is a comprehensive law that creates individual privacy rights and protections for California consumers, places increased privacy and security obligations on entities handling personal data of consumers or households, and provides for civil penalties for violations and a private right of action for data breaches. The CCPA requires covered companies to provide certain disclosures to consumers about its data collection, use and sharing practices, and to provide affected California residents with ways to opt-out of certain sales or transfers of personal information.
Further, as of January 1, 2023, the California Privacy Rights Act (CPRA), amended the CCPA and created additional obligations with respect to processing and storing personal information and sensitive personal information. While the CCPA contains an exception for activities that are subject to HIPAA, we cannot yet determine the impact the CCPA and other such future laws, regulations and standards may have on our business
Numerous U.S. states have passed similar consumer privacy laws. Like the CCPA, these laws grant consumers rights in relation to their personal information and impose new obligations on regulated businesses, including, in some instances, broader data security requirements. Such legislation adds additional complexity, variation in requirements, restrictions and potential legal risk, requiring additional investment of resources in compliance programs, impacting our strategies and the availability of previously useful data which may result in increased compliance costs and/or changes in business practices and policies. The existence of comprehensive privacy laws in different states in the country make our compliance obligations more complex and costly and may increase the likelihood that we may be subject to enforcement actions or otherwise incur liability for noncompliance. State laws are changing rapidly and there are discussions in the U.S. Congress of new comprehensive federal data privacy laws to which we could become subject to, if enacted.
Furthermore, other states have proposed or enacted legislation that is focused on more narrow aspects of privacy. In the state of Washington, for example, the My Health My Data Act requires regulated entities to obtain consent to collect health information, grants consumers certain rights, including to request deletion of their information, and provides for robust enforcement mechanisms, including enforcement by the Washington state attorney-general and a private right of action for consumer claims. Additionally, a small number of states have enacted laws that specifically target the collection and use of biometric information.
At the federal level, the FTC has used its authority over “unfair or deceptive acts or practices” to impose stringent requirements on the collection and disclosure of sensitive categories of personal information, including health information. Moreover, the FTC’s expanded interpretation of a “breach” under its Health Breach Notification Rule could impose new disclosure obligations that would apply in the event of a qualifying breach. Regulators and legislators in the U.S. are also increasingly scrutinizing and restricting certain personal data transfers and transactions involving foreign countries. For example, the Department of Justice’s January 8, 2025, rule on “Preventing Access to U.S. Sensitive Personal Data and Government-Related Data by Countries of Concern or Covered Persons, prohibits data brokerage transactions involving certain sensitive personal data categories, including health data, genetic data, and biospecimens, to countries of concern, including China. The regulations also restrict certain investment agreements, employment agreements and vendor agreements involving such data and countries of concern, absent specified cybersecurity controls. Actual or alleged violations of these regulations may be punishable by criminal and/or civil sanctions, and may result in exclusion from participation in federal and state programs.
The uncertainty surrounding the implementation of recent and emerging state privacy and other similar laws, regulations and standards that may be adopted in other jurisdictions exemplifies the vulnerability of our business to the evolving regulatory environment related to personal data and protected health information. Compliance with U.S. and international data protection laws and regulations could require us to take on more onerous obligations in our contracts, restrict our ability to collect, use and disclose data, or in some cases, impact our ability to operate in certain jurisdictions. Failure to comply with these laws and regulations could result in government enforcement actions (which could include civil, criminal and administrative penalties), private litigation, and/or adverse publicity and could negatively affect our operating results and business. Moreover, clinical trial subjects, employees and other individuals about whom we or our potential collaborators obtain personal information, as well as the providers who share this information with us, may limit our ability to collect, use and disclose the information. Claims that we have violated individuals’ privacy rights, failed to comply with data protection laws, or breached our contractual obligations, even if we are not found liable, could be expensive and time-consuming to defend and could result in adverse publicity that could harm our business.
Many jurisdictions outside of Europe where we do business directly or through master resellers today and may seek to expand our business in the future, are also considering and/or have enacted comprehensive data protection legislation. We also continue to see jurisdictions imposing data localization laws. These and similar
regulations may interfere with our intended business activities, inhibit our ability to expand into those markets, require modifications to our products or services or prohibit us from continuing to offer services in those markets without significant additional costs.
Compliance with other federal and state laws or requirements; changing legal requirements
If any products that we may develop are made available to authorized users of the Federal Supply Schedule of the General Services Administration, additional laws and requirements apply. Products must meet applicable child-resistant packaging requirements under the U.S. Poison Prevention Packaging Act. Manufacturing, labeling, packaging, distribution, sales, promotion and other activities also are potentially subject to federal and state consumer protection and unfair competition laws, among other requirements to we may be subject.
The distribution of pharmaceutical products is subject to additional requirements and regulations, including extensive record-keeping, licensing, storage and security requirements intended to prevent the unauthorized sale of pharmaceutical products.
The failure to comply with any of these laws or regulatory requirements subjects firms to possible legal or regulatory action. Depending on the circumstances, failure to meet applicable regulatory requirements can result in criminal prosecution, fines or other penalties, injunctions, exclusion from federal healthcare programs, requests for recall, seizure of products, total or partial suspension of production, denial or withdrawal of product approvals, relabeling or repackaging, or refusal to allow a firm to enter into supply contracts, including government contracts. Any claim or action against us for violation of these laws, even if we successfully defend against it, could cause us to incur significant legal expenses and divert our management’s attention from the operation of our business. Prohibitions or restrictions on marketing, sales or withdrawal of future products marketed by us could materially affect our business in an adverse way.
Changes in regulations, statutes or the interpretation of existing regulations could impact our business in the future by requiring, for example: (i) changes to our manufacturing arrangements; (ii) additions or modifications to product labeling or packaging; (iii) the recall or discontinuation of our products; or (iv) additional record-keeping requirements. If any such changes were to be imposed, they could adversely affect the operation of our business.
Other U.S. environmental, health and safety laws and regulations
We may be subject to numerous environmental, health and safety laws and regulations, including those governing laboratory procedures and the handling, use, storage, treatment and disposal of hazardous materials and wastes. From time to time and in the future, our operations may involve the use of hazardous and flammable materials, including chemicals and biological materials, and may also produce hazardous waste products. Even if we contract with third parties for the disposal of these materials and waste products, we cannot completely eliminate the risk of contamination or injury resulting from these materials. In the event of contamination or injury resulting from the use or disposal of our hazardous materials, we could be held liable for any resulting damages, and any liability could exceed our resources. We also could incur significant costs associated with civil or criminal fines and penalties for failure to comply with such laws and regulations.
We maintain workers’ compensation insurance to cover us for costs and expenses we may incur due to injuries to our employees, but this insurance may not provide adequate coverage against potential liabilities. However, we do not maintain insurance for environmental liability or toxic tort claims that may be asserted against us.
In addition, we may incur substantial costs in order to comply with current or future environmental, health and safety laws and regulations. Current or future environmental laws and regulations may impair our research, development or production efforts. In addition, failure to comply with these laws and regulations may result in substantial fines, penalties or other sanctions.
Government regulation of drugs outside of the United States
To market any product outside of the U.S., we would need to comply with numerous and varying regulatory requirements of other countries regarding safety and efficacy and governing, among other things, clinical trials, marketing authorization or identification of an alternate regulatory pathway, manufacturing, commercial sales and distribution of our products.
Whether or not we obtain FDA approval of a product, we must obtain the requisite approvals from regulatory authorities in foreign countries prior to the commencement of clinical trials or marketing of the product in those countries. If we fail to comply with applicable foreign regulatory requirements, we may be subject to, among other things, fines, suspension or withdrawal of regulatory approvals, product recalls, seizure of products, operating restrictions and criminal prosecution.
Non-clinical studies and clinical trials
Similarly to the U.S., the various phases of non-clinical and clinical research in EU, are subject to significant regulatory controls.
Non-clinical studies are performed to demonstrate the safety and non-toxicity of new chemical (or biological) substances. Non-clinical studies, both in vitro and in vivo, must be planned, performed, monitored, recorded, reported and archived in accordance with the GLP principles, which define a set of rules and criteria for a quality system for the organizational process and the conditions for non-clinical studies. These GLP standards reflect the Organization for Economic Co-operation and Development requirements.
In April 2014, the EU adopted the Clinical Trials Regulation (EU) No 536/2014, or the Clinical Trials Regulation, which replaced the Clinical Trials Directive 2001/20/EC on January 31, 2022. The Clinical Trials Regulation, which is directly applicable in all EU Member States (meaning no national implementing legislation in each EU Member State is required), aims to simplify and streamline the approval of clinical trials in the EU, for example by providing for a streamlined application procedure via a single entry point and simplifying reporting procedures for clinical trial sponsors.
Marketing authorizations
In the EU, medicinal products can only be placed on the market after obtaining a marketing authorization, or MA. This process depends, among other things, on the nature of the medicinal product, but the two routes are either the centralized authorization procedure or one of the national authorization procedures.
•Centralized procedure—Under the centralized procedure, following the opinion of the European Medicines Agency’s, or EMA’s, Committee for Medicinal Products for Human Use, or, CHMP, the European Commission issues a single MA valid across the EU as well as the additional states of the EEA (Iceland, Norway and Liechtenstein). The centralized procedure is compulsory for human medicines derived from biotechnology processes, such as genetic engineering, or advanced therapy medicinal products (i.e. gene therapy, somatic cell therapy and tissue engineered products), products that contain a new active substance indicated for the treatment of certain diseases, (i.e. HIV/AIDS, cancer, neurodegenerative disorders, diabetes, autoimmune diseases and other immune dysfunctions and viral diseases), and officially designated orphan medicinal products. For medicines that do not fall within these categories, an applicant has the option of submitting an application for a centralized MA to the EMA, as long as the medicine concerned contains a new active substance not yet authorized in the EU, is a significant therapeutic, scientific or technical innovation, or if its authorization would be in the interest of public health in the EU. Under the centralized procedure the maximum timeframe for the evaluation of a marketing authorization application, or MAA, by the EMA is 210 days, excluding clock stops, when additional written or oral information is to be provided by the applicant in response to questions asked by the Committee for Medicinal Products for Human Use, or CHMP. Clock stops may extend the timeframe of evaluation of an MAA considerably beyond 210 days. Where the CHMP gives a positive opinion, the EMA provides the opinion together with supporting documentation to the European Commission, who makes the final decision to grant an MA, which is issued within 67 days of receipt of the EMA’s recommendation. In exceptional cases, the CHMP might perform an accelerated review of an MAA in no more than 150 days (not including clock stops). Innovative products that target an unmet medical need and are expected to be of major public health interest may be eligible for certain expedited development and review programs, such as the EMA’s PRIME scheme, which provides incentives similar to the Breakthrough Therapy Designation in the U.S. PRIME is a voluntary scheme aimed at enhancing the EMA’s support for the development of medicines that target unmet medical needs. It is based on increased interaction and early dialogue with companies developing promising medicines, to optimize their product development plans and speed up their evaluation to help them reach patients earlier. Product developers that benefit from PRIME designation can expect to be eligible for accelerated assessment, however this is not guaranteed. The benefits of a PRIME designation include the appointment of a CHMP rapporteur before submission of an MAA, early dialogue and scientific advice at key development milestones, and the potential to qualify products for accelerated review earlier in the application process.
•National authorization procedures—There are also two other possible routes to authorize products for therapeutic indications in several EU Member States, which are available for products that fall outside the mandatory scope of the centralized procedure:
•Decentralized procedure—Under the decentralized procedure, an applicant may apply for simultaneous authorization in more than one EU Member State for medicinal products that have not yet been authorized in any EU Member State.
•Mutual recognition procedure—Under the mutual recognition procedure, a medicine is first authorized in one EU Member State, in accordance with the national procedures of that country. Following this, the applicant may seek additional MAs from other EU Member States in a procedure whereby the countries concerned agree to recognize the validity of the original, national MA.
MAs have an initial duration of five years. After these five years, the authorization may be renewed for an unlimited period on the basis of a reevaluation of the risk-benefit balance by the EMA or the relevant national competent authority, as applicable.
Data and market exclusivity
In the EU, upon receiving an MA, innovative medicinal products, sometimes referred to as new active substances (i.e., reference products) generally qualify for eight years of data exclusivity and an additional two years of market exclusivity. If granted, the data exclusivity period prevents generic or biosimilar applicants from relying on the non-clinical and clinical trial data contained in the dossier of the reference product when applying for a generic or biosimilar MA in the EU during a period of eight years from the date on which the reference product was first authorized in the EU. During the additional two-year period of market exclusivity, a generic/biosimilar MAA can be submitted, and the innovator’s data may be referenced, but no generic or biosimilar product can be marketed in the EU until the expiration of the market exclusivity period. The overall ten-year period can be extended to a maximum of eleven years if, during the first eight years of those ten years, the MA holder obtains an MA for one or more new therapeutic indications which, during the scientific evaluation prior to their MA, are held to bring a significant clinical benefit in comparison with existing therapies. However, there is no guarantee that a product will be considered by the EMA or Member State regulatory authorities to be a new active substance, and products may not qualify for data exclusivity. Even if a product gains the prescribed period of data exclusivity, another company may market another version of the product if such company obtained a marketing authorization based on an application with a complete and independent data package of pharmaceutical tests, preclinical tests and clinical trials.
Orphan medicinal products
The criteria for designating an “orphan medicinal product” in the EU are similar in principle to those in the U.S. In the EU, a medicinal product may be designated as orphan if (i) it is intended for the diagnosis, prevention or treatment of a life-threatening or chronically debilitating condition; (ii) either (a) such condition affects no more than five in 10,000 persons in the EU when the application is made, or (b) it is unlikely that the product, without the benefits derived from orphan status, would generate sufficient return in the EU to justify the investment in its development; and (iii) there exists no satisfactory method of diagnosis, prevention or treatment of such condition authorized for marketing in the EU, or if such a method exists, the product will be of a significant benefit to those affected by that condition. The application for orphan designation must be submitted before the MAA. Orphan medicinal products are eligible for financial incentives such as reduction of fees or fee waivers and are, upon grant of an MA, entitled to ten years of market exclusivity for the approved therapeutic indication. During this ten-year orphan market exclusivity period, no MAA shall be accepted in the EU for the same indication in respect of a similar medicinal product to the authorized orphan product. A “similar medicinal product” is defined as a medicinal product containing a similar active substance or substances as contained in an authorized orphan medicinal product, and which is intended for the same therapeutic indication. An orphan medicinal product can also obtain an additional two years of market exclusivity in the EU for pediatric studies. No extension to any supplementary protection certificate can be granted on the basis of pediatric studies for orphan indications. Orphan designation does not convey any advantage in, or shorten the duration of, the regulatory review and approval process.
The ten-year market exclusivity may be reduced to six years if, at the end of the fifth year, it is established that the product no longer meets the criteria for orphan designation, for example, if the product is sufficiently profitable not to justify maintenance of market exclusivity. Additionally, an MA may be granted to a similar medicinal product for the same indication as an authorized orphan product at any time if (i) it is established that a similar medicinal product is safer, more effective or otherwise clinically superior than the authorized orphan product; (ii) the MA holder of the authorized orphan product consents to the second medicinal product authorization; or (iii) the MA holder of the authorized orphan product cannot supply enough orphan medicinal product.
Pediatric development
In the EU, MAAs for new medicinal products must include the results of trials conducted in the pediatric population, in compliance with a pediatric investigation plan, or PIP, agreed with the EMA’s Pediatric Committee, or PDCO, unless the EMA has granted a product-specific waiver, a class waiver, or a deferral for one or more of the measures included in the PIP. This requirement also applies when a company wants to add a new indication, pharmaceutical form or route of administration for a medicine that is already authorized. The PIP sets out the timing and measures proposed to generate data to support a pediatric indication of the product for which an MA is being sought. The PDCO can grant a deferral of the obligation to implement some or all of the measures of the PIP until there are sufficient data to demonstrate the efficacy and safety of the product in adults. Further, the obligation to provide pediatric clinical trial data can be waived by the PDCO when these data are not needed or appropriate because the product is likely to be ineffective or unsafe in children, the disease or condition for which the product is intended occurs only in adult populations, or when the product does not represent a significant therapeutic benefit over existing treatments for pediatric patients. Products that are granted an MA with the results of the pediatric clinical trials conducted in accordance with the PIP are eligible for a six month extension of the protection under an SPC (provided an application for such extension is made at the same time as filing the SPC application for the product, or at any point up to 2 years before the SPC expires) even where the trial results are negative. This pediatric reward is subject to specific conditions and is not automatically available when data in compliance with the PIP are developed and submitted.
Post-approval requirements
Similar to the United States, both MA holders and manufacturers of medicinal products are subject to comprehensive regulatory oversight by the EMA, the European Commission and/or the competent regulatory authorities of the EU Member States. The holder of an MA must establish and maintain a pharmacovigilance system and appoint an individual qualified person for pharmacovigilance who is responsible for oversight of that system. Key obligations include expedited reporting of suspected serious adverse reactions and submission of periodic safety update reports, or PSURs. All new MAAs must include a risk management plan, or RMP, describing the risk management system that the company will put in place and documenting measures to prevent or minimize the risks associated with the product. The regulatory authorities may also impose specific obligations as a condition of the MA. Such risk-minimization measures or post-authorization obligations may include additional safety monitoring, more frequent submission of PSURs, or the conduct of additional clinical trials or post-authorization safety studies.
The advertising and promotion of medicinal products is also subject to laws concerning promotion of medicinal products, interactions with physicians, misleading and comparative advertising and unfair commercial practices. All advertising and promotional activities for the product must be consistent with the approved summary of product characteristics, and therefore all off-label promotion is prohibited. Direct-to-consumer advertising of prescription medicines is also prohibited in the EU. Although general requirements for advertising and promotion of medicinal products are established under EU Directives, the details are governed by regulations in each EU Member State and can differ from one country to another.
Failure to comply with EU and Member State laws that apply to the conduct of clinical trials, manufacturing approval, authorization of medicinal products and marketing of such products, both before and after grant of the MA, manufacturing of pharmaceutical products, statutory health insurance, bribery and anti-corruption or with other applicable regulatory requirements may result in administrative, civil or criminal penalties. These penalties could include delays or refusal to authorize the conduct of clinical trials, or to grant an MA, product withdrawals and recalls, product seizures, suspension, withdrawal or variation of the MA, total or partial suspension of production, distribution, manufacturing or clinical trials, operating restrictions, injunctions, suspension of licenses, fines and criminal penalties.
The aforementioned EU rules are generally applicable in the European Economic Area, or EEA, which consists of the 27 EU Member States plus Norway, Liechtenstein and Iceland. For other countries outside of the EU, such as countries in Latin America or Asia, the requirements governing the conduct of clinical studies, product licensing, pricing and reimbursement vary from country to country. In all cases, again, the clinical studies are conducted in accordance with GCP and the applicable regulatory requirements and the ethical principles that have their origin in the Declaration of Helsinki.
Should we utilize third-party distributors, compliance with such foreign governmental regulations would generally be the responsibility of such distributors, who may be independent contractors over whom we have limited control.
Reform of the Regulatory Framework in the EU
The European Commission introduced legislative proposals in April 2023 that, if implemented, will replace the current regulatory framework in the EU for all medicines (including those for rare diseases and for children). In April 2024, the European Parliament adopted its position on the legislative proposals, and in June 2025, the Council of the EU adopted its position. A common position on the text has been agreed upon on December 11, 2025, in the context of subsequent inter-institutional trilogue negotiations. The proposed revisions remain to be adopted, and are not expected to become applicable before 2028.
Brexit and the regulatory framework in the United Kingdom
Following the end of the Brexit transition period on January 1, 2021 and the implementation of the Windsor Framework on January 1, 2025, the United Kingdom, or UK, is not generally subject to EU laws in respect of medicines. The EU laws that have been transposed into UK law through secondary legislation remain applicable in the UK however, new legislation such as the EU Clinical Trials Regulation is not applicable in the UK. As a result of the Northern Ireland protocol, different rules applied in Northern Ireland than in England, Wales, and Scotland, together, Great Britain or GB, for a period following Brexit, which continued to follow the EU regulatory regime. However, on January 1, 2025 a new arrangement called the “Windsor Framework” came into effect and reintegrated Northern Ireland under the regulatory authority of the Medicines and Healthcare products Regulatory Agency, or MHRA, with respect to medicinal products. The Windsor Framework removes EU licensing processes and EU labeling and serialization requirements in relation to Northern Ireland and introduces a UK-wide licensing process for medicines. In particular, the MHRA is now responsible for approving medicinal products placed on the UK market (i.e., Great Britain and Northern Ireland), and the EMA no longer has a role in UK marketing authorizations. A single UK-wide MA will be granted by the MHRA for medicinal products to be sold in the UK, enabling products to be sold in a single pack and under a single authorization throughout the UK. In addition, the new arrangements require, for packs placed on the UK market on or after January 1, 2025, a “UK Only” label, indicating they are not for sale in the EU. However, although separate authorization is now required to market medicinal products in the UK, since January 1, 2024, the MHRA may rely on the International Recognition Procedure, or IRP, when reviewing certain types of MAAs. Pursuant to the IRP, the MHRA will take into account the expertise and decision-making of trusted regulatory partners (e.g., the medicines regulatory authorities in Australia, Canada, Switzerland, Singapore, Japan, the U.S., and the EMA in the EU) when considering an application for a UK marketing authorization. There is no pre-MA orphan designation in the UK. Instead, the MHRA reviews applications for orphan designation in parallel to the corresponding MAA. The criteria are essentially the same, but have been tailored for the market, i.e., the prevalence of the condition in the UK (rather than the EU) must not be more than five in 10,000. Should an orphan designation be granted, the period of market exclusivity will be set from the date of first approval of the product in the UK.
Employees and human capital resources
As of December 31, 2025, we had 150 full-time employees, of which 71 have M.D. or Ph.D. degrees. Within our workforce, 118 employees are engaged in research and development and 32 are engaged in business development, finance, legal, and general management and administration. None of our employees are represented by labor unions or covered by collective bargaining agreements. We consider our relationship with our employees to be good.
Our human capital resources objectives include, as applicable, identifying, recruiting, retaining, incentivizing and integrating our existing and new employees, advisors and consultants. The principal purposes of our equity incentive plans are to attract, retain and reward personnel through the granting of equity-based compensation awards in order to increase shareholder value and the success of our company by motivating such individuals to perform to the best of their abilities and achieve our objectives.
Available Information
Investors and others should note that we announce material information to our investors using our investor relations website (https://ir.monterosatx.com/), SEC filings, press releases, public conference calls and webcasts. We use these channels as well as social media, including LinkedIn and our X (@MonteRosaTx), to communicate with the public about our company, our business, our product candidates and other matters. It is possible that the information we post on social media could be deemed to be material information. Therefore, we encourage investors, the media, and others interested in our company to review the information we post on the social media channels listed on our investor relations website. Information that is contained in and can be accessed through our website or our social media posts are not incorporated into, and does not form a part of, this Annual Report on Form 10-K.
We file Annual Reports on Form 10-K, Quarterly Reports on Form 10-Q, Current Reports on Form 8-K, proxy statements and other information with the SEC. Our filings with the SEC are available on the SEC’s website at www.sec.gov.
We make available, free of charge, in the Investor Relations section of our website, documents we file with or furnish to the SEC, including our Annual Reports on Form 10-K, Quarterly Reports on Form 10-Q, Current Reports on Form 8-K, including exhibits, proxy and information statements and amendments to those reports. We make this information available as soon as reasonably practicable after we electronically file such materials with, or furnish such information to, the SEC. The other information found on our website is not part of this or any other report we file with, or furnish to, the SEC. Copies of such documents are available in print at no charge to any shareholder who makes a request. Such requests should be made to our corporate secretary at our corporate headquarters, 321 Harrison Avenue, Suite 900, Boston, MA 02118.
Item 1A. Risk Factors
Careful consideration should be given to the following risk factors, in addition to the other information set forth in this Annual Report and in other documents that we file with the SEC, in evaluating our business. Investing in our common stock involves a high degree of risk. If any of the following risks and uncertainties actually occurs, our business, prospects, financial condition and results of operations could be materially and adversely affected. The risks described below are not intended to be exhaustive and are not the only risks that we face. New risk factors can emerge from time to time, and it is not possible to predict the impact that any factor or combination of factors may have on our business, prospects, financial condition and results of operations. Certain statements in this Annual Report are forward-looking statements. Please also see the section entitled “Special Note Regarding Forward-Looking Statements.”
Risks related to our financial position and capital needs
We are a biotechnology company with a limited operating history and have not generated any revenue to date from drug sales, and may never become profitable.
Biopharmaceutical drug development is a highly speculative undertaking and involves a substantial degree of risk. Since our formation as Monte Rosa Therapeutics AG in 2018, our operations have been limited primarily to organizing and staffing our company, business planning, raising capital, researching and developing our Quantitative and Engineered Elimination of Neosubstrates drug discovery engine, or our QuEENTM discovery engine, building our proprietary library of MGDs, developing our pipeline of product candidates, building our intellectual property portfolio, entering into collaboration agreements, undertaking preclinical and IND-enabling studies of our product candidates, and conducting our first clinical trials for MRT-2359, MRT-6160, and MRT-8102. We have never generated any revenue from drug sales. We have not obtained regulatory approvals for any of our current or future product candidates.
Typically, it takes many years to develop one new pharmaceutical drug from the time it is discovered to when it is available for treating patients. Consequently, any predictions we make about our future success or viability may not be as accurate as they could be if we had a longer operating history. In addition, as a business with a limited operating history, we may encounter unforeseen expenses, difficulties, complications, delays and other known and unknown factors, such as market volatility, public health crises or other geopolitical events. We will need to transition from a company focused on research and early-stage development to a company capable of supporting late-stage development and commercial activities. We may not be successful in such a transition.
We have incurred significant operating losses since our inception and anticipate that we will incur continued losses for the foreseeable future.
Since our inception, we have focused substantially all of our efforts and financial resources on developing our proprietary QuEENTM discovery engine, our proprietary MGD library, and our initial pipeline of product candidates. To date, we have financed our operations primarily through the issuance and sale of convertible promissory notes and our convertible preferred stock to outside investors in private equity financings, public offerings of our common stock or warrants to purchase common stock, registered direct offerings, and our collaboration agreements with Roche and Novartis. From our inception through the date hereof, we raised an aggregate of $1.3 billion of gross proceeds from such transactions. As of December 31, 2025, our cash, cash equivalents, restricted cash and marketable securities were $382.1 million. We have incurred net losses in each year since our inception, and we had an accumulated deficit of $477.2 million as of December 31, 2025. For the years ended December 31, 2025 and 2024, we reported net losses of $38.6 million and $72.7 million, respectively. Substantially all of our operating losses have resulted from costs incurred in connection with our research and initial pipeline programs and from general and administrative costs associated with our operations. We expect to continue to incur significant expenses and increasing operating losses over the next several years and for the foreseeable future. Our prior losses, combined with expected future losses, have had and will continue to have an adverse effect on our stockholders’ deficit and working capital. We expect our expenses to significantly increase in connection with our ongoing activities, as we:
•conduct our clinical trial for MRT-2359, our MGD product candidate targeting GSPT1;
•finalize our Phase 1 clinical trial for MRT-8102, our NEK7-directed MGD being developed for the treatment of inflammatory conditions driven by the NLRP3 inflammasome, IL-1β, and IL-6;
•continue preclinical activities for our CDK2, CCNE1 and other currently undisclosed programs;
•co-fund any global clinical development of Phase 3 onward;
•prepare and submit IND applications with the FDA for other current and future product candidates;
•complete preclinical studies for current or future product candidates;
•progress MGD molecules from our initial programs through lead optimization to development candidates and multiple areas of interest and indications;
•initiate and complete clinical trials for current or future product candidates;
•expand and improve the capabilities of our QuEENTM discovery engine;
•continue to build our proprietary library of MGDs;
•contract to manufacture our product candidates;
•advance research and development related activities to expand our product pipeline;
•seek regulatory approval for our product candidates that successfully complete clinical development;
•develop and scale up our capabilities to support our ongoing preclinical activities and future clinical trials for our product candidates and commercialization of any of our product candidates for which we may obtain marketing approval;
•maintain, expand, and protect our intellectual property portfolio;
•hire additional staff, including clinical, scientific and management personnel; and
•secure facilities to support continued growth in our research, development and commercialization efforts.
In addition, if we obtain marketing approval for our current or future product candidates, we will incur significant expenses relating to our commercialization of such product candidates via our sales, marketing, product manufacturing and distribution efforts. Because of the numerous risks and uncertainties associated with developing pharmaceutical drugs, including in light of any economic fluctuations, we are unable to predict the extent of any future losses or when we will become profitable, if at all.
Even if we achieve profitability, we may not be able to sustain or increase our profitability on a quarterly or annual basis. Our failure to become and remain profitable would depress the value of our company and could impair our ability to raise capital, expand our business, maintain our development efforts, obtain product approvals, diversify our offerings or continue our operations. A decline in the value of our company could also cause you to lose all or part of your investment.
We are very early in our development efforts. Several of our programs are still in the preclinical stages of drug development. If we are unable to commercialize our product candidates or experience significant delays in doing so, our business will be materially harmed.
Our ability to become profitable depends upon our ability to generate revenue. To date we have not generated any revenue from our product candidates, and we do not expect to generate any revenue from the sale of drugs in the near future. We do not expect to generate revenue from product sales unless and until we complete the development of, obtain marketing approval for, and begin to sell, one or more of our product candidates. We are also unable to predict when, if ever, we will be able to generate revenue from such product candidates due to the numerous risks and uncertainties associated with drug development, including the uncertainty of:
•our plans to submit IND applications to the FDA for our current or future product candidates;
•our ability to timely and successfully complete preclinical studies and clinical trials for our product candidates including MRT-2359, MRT-6160, MRT-8102, and our GSPT1, VAV1, NEK7, CDK2, our other currently undisclosed programs, and other current or future product candidates;
•our ability to advance additional MGD molecules through lead optimization;
•our successful initiation, enrollment in and completion of clinical trials, including our ability to generate positive data from any such clinical trials;
•our ability to demonstrate, to the satisfaction of the FDA and comparable regulatory authorities the safety, efficacy, consistent manufacturing quality and acceptable risk-benefit profile of our product candidates for their intended uses;
•our ability to timely receive necessary regulatory approvals from applicable regulatory authorities, including the FDA;
•the costs associated with the development of any additional development programs we identify in-house or via collaborations or other arrangements;
•the costs associated with collaboration or license agreements;
•our ability to establish timely manufacturing capabilities or make arrangements with third-party manufacturers for clinical supply and commercial manufacturing;
•obtaining and maintaining patent and trade secret protection or regulatory exclusivity for our current and future product candidates;
•launching commercial sales of our product candidates, if and when approved, whether alone or in collaboration with others;
•obtaining and maintaining acceptance of our product candidates, if and when approved, by patients, the medical community and third-party payors;
•effectively competing with other therapies;
•obtaining and maintaining healthcare coverage and adequate reimbursement;
•the terms and timing of any additional collaboration, license or other arrangement, including the terms and timing of any payments thereunder;
•our ability to enforce and defend intellectual property rights and claims; and
•our ability maintain a continued acceptable safety profile of our product candidates following approval.
We expect to incur significant sales and marketing costs as we prepare to commercialize our current or future product candidates. Even if we initiate and successfully complete pivotal or registration-enabling clinical trials of our current or future product candidates, and our current or future product candidates are approved for commercial sale, and despite expending these costs, our current or future product candidates may not be commercially successful. We may not achieve profitability soon after generating drug sales, if ever. If we are unable to generate revenue, we will not become profitable and may be unable to continue operations without continued funding.
As part of our ongoing business, we will need to raise substantial additional funding beyond our current capital. If we are unable to raise capital when needed or on attractive terms, we would be forced to delay, scale back or discontinue some of our product candidate development programs or future commercialization efforts.
We are currently finalizing our Phase 1/2 trial of MRT-2359 and our Phase 1 trial of MRT-8102 and we are preparing to advance both programs into Phase 2 clinical studies, we are advancing multiple late stage preclinical programs, including our CCNE1 program toward IND filing, and multiple discovery programs through the preclinical stages of drug development across a number of potential indications, and we are continuously discovering additional targets as candidates for new discovery programs via our prolific QuEENTM MGD discovery engine. We expect our expenses to increase substantially in connection with our ongoing activities, particularly as we continue the research and development of, advance the preclinical and clinical activities of, and seek marketing approval for, our current or future product candidates. In addition, if we obtain marketing approval for any of our product candidates, we expect to incur significant commercialization expenses related to product sales, marketing, manufacturing and distribution. Furthermore, we expect to continue to incur significant additional costs associated with operating as a public company. Accordingly, we will need to obtain substantial additional funding in connection with our continuing operations. However, changing circumstances may cause us to consume capital significantly faster than we currently anticipate, and we may need to spend more money than currently expected because of circumstances beyond our control. We cannot be certain that additional funding will be available on acceptable terms, or at all. Until such time, if ever, as we can generate substantial product revenue, we expect to finance our operations through a combination of public or private equity offerings, including use of our "at-the-market" program with Jefferies LLC, or Jefferies, debt financings, governmental funding, collaborations, such as our collaboration with Roche, strategic partnerships and alliances or marketing, distribution or licensing arrangements with third parties, such as our licensing arrangement with Novartis. If we are unable to raise capital or generate revenue when needed or on attractive terms, we would be forced to delay, reduce or eliminate our
discovery and preclinical development programs or any future commercialization efforts. To the extent that we raise additional capital through the sale of equity or convertible debt securities, your ownership interest will be diluted, and the terms of these securities may include liquidation or other preferences that adversely affect your rights as a common stockholder. Debt financing and preferred equity financing, if available, may involve agreements that include covenants limiting or restricting our ability to take specific actions, such as incurring additional debt, making capital expenditures or declaring dividends.
Since our initial public offering, or IPO, we have raised additional capital through the issuance and sale of our common stock and warrants to purchase our common stock, including a registered direct offering in October 2023 which raised aggregate net proceeds of approximately $24.9 million after deducting offering expenses, an underwritten public offering in May 2024 which raised aggregate net proceeds of $96.4 million after deducting offering expenses, an underwritten public offering in January 2026 which raised aggregate net proceeds of approximately $323.8 million after deducting offering expenses, collaboration and license agreements with Roche and Novartis and in “at-the-market” offerings, pursuant to an Open Market Sale Agreement with Jefferies which provided for the offering, issuance and sale of our common stock. We expect that our existing cash and cash equivalents and marketable securities, together with the proceeds from the 2026 Offering, will be sufficient to fund our operation into 2029. We have based this estimate on assumptions that may prove to be wrong, and we could use our capital resources sooner than we currently expect. This estimate also assumes that we do not obtain any additional funding through collaborations and licenses, such as our collaboration with Roche and our licenses to Novartis, or other strategic alliances. Our future capital requirements will depend on, and could increase significantly as a result of, many factors, including:
•the scope, prioritization and number of our research and development programs;
•the costs, timing and outcome of regulatory review of our current or future product candidates;
•the scope, progress, results and costs of drug discovery, preclinical development, laboratory testing and planned clinical trials for our current or future product candidates, including additional expenses attributable to adjusting our development plans (including any supply related matters) in response to public health crises or other geopolitical events;
•our ability to establish and maintain additional collaborations on favorable terms, if at all;
•the achievement of milestones or occurrence of other developments that trigger payments, including potential royalty payments, under our existing Collaboration and License Agreement with Roche and our existing License Agreements with Novartis, or any additional collaboration agreements we obtain;
•the extent to which we are obligated to reimburse, or entitled to reimbursement of, clinical trial costs under any current or future collaboration agreements, if any;
•the costs of preparing, filing and prosecuting patent applications, maintaining and enforcing our intellectual property rights and defending intellectual property-related claims;
•the extent to which we acquire or in-license other current or future product candidates and technologies;
•the costs of securing timely manufacturing arrangements for commercial production; and
•the costs of establishing or contracting for sales and marketing capabilities if we obtain regulatory clearances to market our current or future product candidates.
Identifying potential current or future product candidates and conducting preclinical studies and clinical trials is a time-consuming, expensive and uncertain process that takes years to complete, and we may never generate the necessary data or results required to obtain marketing approval and achieve drug sales. In addition, our current or future product candidates, if approved, may not achieve commercial success. Our commercial revenues, if any, will be derived from sales of drugs that we do not expect to be commercially available for many years, if at all. Accordingly, we will need to continue to rely on additional funding to achieve our business objectives. Adequate additional financing may not be available to us on acceptable terms, or at all.
Risks related to our business and industry
Risks related to drug development and regulatory approval
Our approach to the discovery and development of product candidates based on our QuEENTM discovery engine is novel, which makes it difficult to predict the time, cost of development and likelihood of successfully developing any product candidates.
Our QuEENTM discovery engine is a relatively new technology. Our future success depends on the successful development of this novel product candidate development approach. We have not yet succeeded and may not succeed in demonstrating the efficacy and safety of any of our product candidates in clinical trials or in obtaining marketing approval thereafter. In particular, our ability to successfully target therapeutically-relevant proteins using MGDs requires the successful development of MGDs developed via our QuEENTM discovery engine. This is a complex process requiring a number of component parts or biological mechanisms to work in unison to achieve the desired effect. We cannot be certain that we will be able to discover MGDs by matching the right target and its degron with the ideal E3 ligase in a timely manner, or at all. We have only initiated clinical development of our lead product candidate, and there may be adverse effects from treatment with any of our current or future product candidates that we cannot predict at this time.
As a result of these factors, it is more difficult for us to predict the time and cost of product candidate development, and we cannot predict whether our approaches will result in the development and marketing approval of any product candidates. Any development problems we experience in the future related to our QuEENTM discovery engine or any of our discovery programs may cause significant delays or unanticipated costs or may prevent the development of a commercially viable product. Any of these factors may prevent us from completing our preclinical studies and clinical trials, or any clinical trials that we may initiate in the future or commercializing any product candidates we may develop on a timely or profitable basis, if at all.
We may not be successful in our efforts to identify or discover additional product candidates or we may expend our limited resources to pursue a particular product candidate or indication and fail to capitalize on product candidates or indications that may be more profitable or for which there is a greater likelihood of success.
A key element of our strategy is to apply our QuEENTM discovery engine and product pipeline to address a broad array of target proteins in various therapeutic areas. The discovery activities that we are conducting may not be successful in identifying product candidates that are useful in treating oncology, inflammatory, immunologic, metabolic, cardiovascular, genetic and other diseases, and neurodegenerative or other neurologic diseases. Our discovery programs may be unsuccessful in identifying potential product candidates, or our potential product candidates may be shown to have harmful side effects or may have other characteristics that may make the products unmarketable or unlikely to receive marketing approval.
Because we have limited financial and management resources, we focus on a limited number of discovery programs and product candidates at a time. As a result, we may forego or delay pursuit of opportunities with other current or future product candidates or for other indications that later prove to have greater commercial potential. Our resource allocation decisions may cause us to fail to capitalize on viable commercial products or profitable market opportunities. Our spending on current and future research and development programs and product candidates for specific indications may not yield any commercially viable products. If we do not accurately evaluate the commercial potential or target market for a particular product candidate, we may relinquish valuable rights to that product candidate through collaboration, licensing or other royalty arrangements in cases in which it would have been more advantageous for us to retain sole development and commercialization rights to such product candidate.
Our business is dependent on the success of our lead programs, and any other product candidates that we advance into the clinic. We cannot be certain that we will be able to obtain regulatory approval for, or successfully commercialize, any of our current or future product candidates.
All of our pipeline programs other than MRT-2359, MRT-6160, and MRT-8102 are currently in preclinical development. The preclinical studies and future clinical trials of our current or future product candidates are, and the manufacturing and marketing of our current or future product candidates will be, subject to extensive and rigorous review and regulation by numerous government authorities in the U.S. and in other countries where we intend to test or, if approved, market any of our current or future product candidates. Before obtaining regulatory approvals for the commercial sale of any of our current or future product candidates, we must demonstrate through preclinical studies and clinical trials that each product candidate is safe and effective for use in each target indication. Drug development is a long, expensive and uncertain process, and delay or failure can occur at
any stage of any of our preclinical studies and clinical trials. This process can take many years and may include post-marketing studies and surveillance, which will require the expenditure of substantial resources beyond the proceeds we raised in our IPO. Of the large number of drugs in development in the U.S., only a small percentage will successfully complete the FDA regulatory approval process and will be commercialized, with similarly low rates of success for drugs in development in the European Union obtaining regulatory approval from the European Commission. Accordingly, even if we are able to obtain the requisite financing to continue to fund our development and preclinical studies and clinical trials, we cannot assure you that any of our current or future product candidates will be successfully developed or commercialized.
We are not permitted to market our current or future product candidates in the U.S. until we receive approval of an NDA from the FDA, or in the European Union (and the EEA, where applicable), until we receive approval of a marketing authorization application, or an MAA, from the European Commission, or in any other foreign countries until we receive the requisite approval from such countries. Obtaining approval of an NDA or MAA is a complex, lengthy, expensive, and uncertain process, and the FDA or EMA may delay, limit or deny approval of any of our current or future product candidates for many reasons, including, among others:
•we may not be able to demonstrate that our current or future product candidates are safe and effective in treating their target indications to the satisfaction of the FDA or applicable foreign regulatory agency;
•the results of our preclinical studies and clinical trials may not meet the level of statistical or clinical significance required by the FDA or applicable foreign regulatory agency for marketing approval;
•the FDA or applicable foreign regulatory agency may disagree with the number, design, size, conduct or implementation of our preclinical studies and clinical trials;
•the FDA or applicable foreign regulatory agency may require that we conduct additional preclinical studies and clinical trials;
•we may be unable to demonstrate that a product candidate’s clinical and other benefits outweigh its safety risks;
•the FDA or applicable foreign regulatory agency may not approve the formulation, labeling or specifications of any of our current or future product candidates;
•the Contract Research Organizations, or CROs that we retain to conduct our preclinical studies and clinical trials may take actions outside of our control that materially adversely impact our preclinical studies and clinical trials;
•the FDA or applicable foreign regulatory agency may find the data from preclinical studies and clinical trials insufficient to demonstrate that our current or future product candidates’ clinical and other benefits outweigh their safety risks;
•the FDA or applicable foreign regulatory agency may disagree with our interpretation of data from our preclinical studies and clinical trials;
•the FDA or applicable foreign regulatory agency may not accept data generated at our preclinical study and clinical trial sites;
•if our NDA, if and when submitted, is reviewed by an advisory committee, the FDA may have difficulties scheduling an advisory committee meeting in a timely manner or the advisory committee may recommend against approval of our application or may recommend that the FDA require, as a condition of approval, additional preclinical studies or clinical trials, limitations on approved labeling or distribution and use restrictions;
•the FDA may require development of a Risk Evaluation and Mitigation Strategy, or REMS, as a condition of approval or post-approval;
•the FDA or the applicable foreign regulatory agency may determine that the manufacturing processes or facilities of third-party manufacturers with which we contract do not conform to applicable requirements, including current Good Manufacturing Practices, or cGMPs;
•the FDA or applicable foreign regulatory agency may be delayed in their review processes due to staffing or other constraints arising from public health crises; or
•the FDA or applicable foreign regulatory agency may change its approval policies or adopt new regulations.
Any of these factors, many of which are beyond our control, could jeopardize our ability to obtain regulatory approval for and successfully market our current or future product candidates. In addition, the FDA and other applicable foreign regulatory agencies have substantial discretion in the approval process and determining when or whether regulatory approval will be granted for any product candidate that we develop and may decide that our data are insufficient for approval or require additional preclinical, clinical, or other data. The U.S. Supreme Court’s July 2024 decision to overturn prior established case law giving deference to regulatory agencies’ interpretations of ambiguous statutory language has introduced uncertainty regarding the extent to which FDA’s regulations, policies and decisions may become subject to increasing legal challenges, delays, and/or changes. Any setbacks in our pursuit of regulatory approval would have a material adverse effect on our business and prospects.
If we experience delays or difficulties in the initiation, enrollment and/or retention of patients in clinical trials, our regulatory submissions or receipt of necessary regulatory approvals could be delayed or prevented.
We may not be able to initiate our planned clinical trials or continue our ongoing trials on a timely basis or at all if we are unable to recruit and enroll a sufficient number of eligible patients to participate in these trials as required by the FDA or similar regulatory authorities outside the U.S. Patient enrollment is a significant factor in the timing of clinical trials. Our ability to enroll eligible patients may be limited or may result in slower enrollment than we anticipate.
Moreover, some of our clinical trials will compete with other clinical trials that are in the same therapeutic areas as our current or future product candidates, and this competition reduces the number and types of patients available to us, as some patients who would otherwise be eligible for our clinical trials may instead enroll in clinical trials of our competitors’ current or future product candidates. Because the number of qualified clinical investigators and clinical trial sites is limited, we expect to conduct some of our clinical trials at the same clinical trial sites that some of our competitors use, which will reduce the number of patients who are available for our clinical trials at such clinical trial sites. There may be limited patient pools from which to draw for clinical studies. In addition to the rarity of some diseases, the eligibility criteria of our clinical studies will further limit the pool of available study participants as we will require that patients have specific characteristics that we can measure or to assure their disease is either severe enough or not too advanced to include them in a study.
Patient enrollment for our ongoing clinical trial and any of our future clinical trials may be affected by other factors including:
•the size and nature of the patient population;
•competition with other companies for clinical sites or patients;
•the willingness of participants to enroll in our clinical trials in our countries of interest;
•the severity of the disease under investigation;
•availability and efficacy of approved drugs for the disease under investigation;
•the eligibility criteria for the clinical trial in question as defined in the protocol;
•the availability of an appropriate screening test for the indications we are pursuing;
•the perceived risks and benefits of the product candidate under study in relation to other available therapies, including any new products that may be approved for the indications we are investigating;
•the efforts to facilitate timely enrollment in and completion of clinical trials;
•delays in or temporary suspension of the enrollment of patients in our future clinical trials due to public health crises;
•ability to obtain and maintain patient consents;
•the patient referral practices of physicians;
•the ability to monitor patients adequately during and after treatment;
•the proximity and availability of clinical trial sites for prospective patients; and
•the risk that patients enrolled in clinical trials will drop out of the trials before completion.
These factors may make it difficult for us to enroll enough patients to complete our clinical trials in a timely and cost-effective manner. Our inability to enroll a sufficient number of patients for our clinical trials would result in significant delays or may require us to abandon one or more clinical trials altogether. Enrollment delays in our clinical trials may result in increased development costs for our product candidates and jeopardize our ability to obtain marketing approval for the sale of our product candidates. Furthermore, even if we are able to enroll a sufficient number of patients for our clinical trials, we may have difficulty maintaining participation in our clinical trials through the treatment and any follow-up periods.
The incidence and prevalence for target patient populations of our product candidates have not been established with precision. If the market opportunities for our product candidates are smaller than we estimate or if any approval that we obtain is based on a narrower definition of the patient population, our revenue and ability to achieve profitability will be adversely affected, possibly materially.
The precise incidence and prevalence for the indications being pursued by our current and future product candidates is currently unknown. Our projections of both the number of people who have these diseases, as well as the subset of people with these diseases who have the potential to benefit from treatment with our product candidates, are based on estimates. Our product candidates are targeting cancers, inflammatory diseases, and autoimmune diseases. The total addressable market opportunity for product candidates from these discovery programs and future product candidates will ultimately depend upon, among other things, its proven safety and efficacy, the diagnosis criteria included in the final label for each, whether our product candidates are approved for sale for these indications, acceptance by the medical community and patient access, product pricing and reimbursement. The number of patients for our product candidates in the United States and elsewhere may turn out to be lower than expected, patients may not be otherwise amenable to treatment with our products, or new patients may become increasingly difficult to identify or gain access to, all of which would adversely affect our results of operations and our business.
Preclinical and clinical drug development is a lengthy and expensive process, with an uncertain outcome. Our preclinical and clinical programs may experience delays or may never advance, which would adversely affect our ability to obtain regulatory approvals or commercialize our product candidates on a timely basis or at all, which could have an adverse effect on our business.
In order to obtain FDA approval to market a new small molecule product, we must demonstrate the safety and efficacy of our product candidates in humans to the satisfaction of the FDA. To meet these requirements, we will have to conduct adequate and well-controlled clinical trials. Clinical testing is expensive, time-consuming and subject to uncertainty. Before we can commence clinical trials for a product candidate, we must complete extensive preclinical studies that support our planned and future INDs in the United States. Other than MRT-2359, MRT-6160, and MRT-8102, which are being clinically evaluated, we are currently selecting development candidates or lead development candidates for preclinical development. We cannot be certain of the timely completion or outcome of our preclinical studies and cannot predict if the FDA will allow our proposed clinical programs to proceed or if the outcome of our preclinical studies will ultimately support further development of our programs. We cannot be sure that we will be able to submit INDs or similar applications with respect to our other product candidates on the timelines we expect, if at all, and we cannot be sure that submission of an IND or similar applications will result in the FDA or other regulatory authorities allowing clinical trials to begin.
Conducting preclinical testing and clinical trials represents a lengthy, time-consuming and expensive process. The length of time may vary substantially according to the type, complexity and novelty of the program, and often can be several years or more per program. Delays associated with programs for which we are directly conducting preclinical studies may cause us to incur additional operating expenses. The commencement and rate of completion of preclinical studies and clinical trials for a product candidate may be delayed by many factors, including, for example:
•inability to generate sufficient preclinical or other in vivo or in vitro data to support the initiation of clinical studies;
•timely completion of preclinical laboratory tests, animal studies and formulation studies in accordance with the FDA’s good laboratory practice requirements and other applicable regulations;
•approval by an independent Institutional Review Board, or IRB, ethics committee at each clinical site before each trial may be initiated;
•delays in reaching a consensus with regulatory agencies on study design and obtaining regulatory authorization to commence clinical trials;
•delays in reaching agreement on acceptable terms with prospective contract research organizations, or CROs, and clinical trial sites, the terms of which can be subject to extensive negotiation and may vary significantly among different CROs and clinical trial sites;
•delays in identifying, recruiting and training suitable clinical investigators;
•delays in recruiting suitable patients to participate in our clinical trials;
•delays in manufacturing, testing, releasing, validating or importing/exporting sufficient stable quantities of our product candidates for use in clinical trials or the inability to do any of the foregoing;
•insufficient or inadequate supply or quality of product candidates or other materials necessary for use in clinical trials, or delays in sufficiently developing, characterizing or controlling a manufacturing process suitable for clinical trials;
•imposition of a temporary or permanent clinical hold by regulatory authorities;
•developments on trials conducted by competitors for related technology that raises FDA or foreign regulatory authority concerns about risk to patients of the technology broadly, or if the FDA or a foreign regulatory authority finds that the investigational protocol or plan is deficient to meet its stated objectives;
•delays in recruiting, screening and enrolling patients and delays caused by patients withdrawing from clinical trials or failing to return for post-treatment follow-up;
•difficulty collaborating with patient groups and investigators;
•failure by our CROs, other third parties or us to adhere to clinical trial protocols;
•failure to perform clinical trials in accordance with the FDA’s good clinical practice requirements, or GCPs, or applicable regulatory guidelines in other countries;
•occurrence of adverse events associated with the product candidate that are viewed to outweigh its potential benefits, or occurrence of adverse events in a trial of the same class of agents conducted by other companies;
•changes to the clinical trial protocols;
•clinical sites dropping out of a trial;
•changes in regulatory requirements and guidance that require amending or submitting new clinical protocols;
•changes in the standard of care on which a clinical development plan was based, which may require new or additional trials;
•selection of clinical endpoints that require prolonged periods of observation or analyses of resulting data;
•the cost of clinical trials of our product candidates being greater than we anticipate;
•clinical trials of our product candidates producing negative or inconclusive results, which may result in our deciding, or regulators requiring us, to conduct additional clinical trials or abandon development of such product candidates;
•transfer of manufacturing processes to larger-scale facilities operated by a contract manufacturing organization, or CMO, and delays or failure by our CMOs or us to make any necessary changes to such manufacturing process; and
•third parties being unwilling or unable to satisfy their contractual obligations to us.
Further, conducting clinical trials in foreign countries, as we may do for our product candidates, presents additional risks that may delay completion of our clinical trials. These risks include the failure of enrolled patients in foreign countries to adhere to clinical protocol as a result of differences in healthcare services or cultural customs, managing additional administrative burdens associated with foreign regulatory schemes, as well as political and economic risks relevant to such foreign countries. Delays in the completion of any preclinical studies or clinical trials of our product candidates will increase our costs, slow down our product candidate development and approval process and delay or potentially jeopardize our ability to commence product sales and generate product revenue. In addition, many of the factors that cause, or lead to, a delay in the commencement or
completion of clinical trials may also ultimately lead to the denial of regulatory approval of our product candidates. Any delays to our preclinical studies or clinical trials that occur as a result could shorten any period during which we may have the exclusive right to commercialize our product candidates and our competitors may be able to bring products to market before we do, and the commercial viability of our product candidates could be significantly reduced. Any of these occurrences may harm our business, financial condition and prospects significantly.
The results of preclinical testing and early clinical trials may not be predictive of the results of later preclinical studies and clinical trials, and the results of our current and future clinical trials may not satisfy the requirements of the FDA or other comparable regulatory authorities. If we cannot replicate the positive results from our preclinical studies of our current or future product candidates in our current or future clinical trials, we may be unable to successfully develop, obtain regulatory approval for and commercialize our current or future product candidates.
We will be required to demonstrate with substantial evidence through well-controlled clinical trials that our product candidates are safe and effective before we can seek marketing approvals for their commercial sale. Positive results from our preclinical studies of our current or future product candidates, and any positive results we may obtain from our early clinical trials of our current or future product candidates, may not necessarily be predictive of the results from required subsequent preclinical studies and clinical trials. Similarly, even if we are able to complete our planned preclinical studies or any clinical trials of our current or future product candidates according to our current development timeline, the positive results from such preclinical studies and clinical trials of our current or future product candidates may not be replicated in subsequent preclinical studies or clinical trial results.
Additionally, several of our planned and ongoing clinical trials utilize an “open-label” trial design. An “open-label” clinical trial is one where both the patient and investigator know whether the patient is receiving the investigational product candidate or either an existing approved drug or placebo. Most typically, open-label clinical trials test only the investigational product candidate and sometimes may do so at different dose levels. Open-label clinical trials are subject to various limitations that may exaggerate any therapeutic effect as patients in open-label clinical trials are aware when they are receiving treatment. Open-label clinical trials may be subject to a “patient bias” where patients perceive their symptoms to have improved merely due to their awareness of receiving an experimental treatment. In addition, open-label clinical trials may be subject to an “investigator bias” where those assessing and reviewing the physiological outcomes of the clinical trials are aware of which patients have received treatment and may interpret the information of the treated group more favorably given this knowledge. The results from an open-label trial may not be predictive of future clinical trial results with any of our product candidates for which we include an open-label clinical trial when studied in a controlled environment with a placebo or active control.
Many companies in the pharmaceutical and biotechnology industries have suffered significant setbacks in late-stage clinical trials after achieving positive results in early-stage development, and we cannot be certain that we will not face similar setbacks. These setbacks have been caused by, among other things, preclinical findings made while clinical trials were underway or safety or efficacy observations made in preclinical studies and clinical trials, including previously unreported adverse events. Moreover, preclinical and clinical data are often susceptible to varying interpretations and analyses, and many companies that believed their product candidates performed satisfactorily in preclinical studies and clinical trials nonetheless failed to obtain approval from the FDA or a comparable foreign regulatory authority. If we fail to produce positive results in our planned preclinical studies or clinical trials of any of our current or future product candidates, the development timeline and regulatory approval and commercialization prospects for our current or future product candidates, and, correspondingly, our business and financial prospects, would be materially adversely affected. Thus, even if the results from our initial research and preclinical activities appear positive, we do not know whether subsequent clinical studies we may conduct will demonstrate adequate efficacy and safety to result in regulatory approval to market any product candidates.
Interim, top-line and preliminary data from our preclinical studies and clinical trials that we announce or publish from time to time may change as more data become available and are subject to audit and verification procedures that could result in material changes in the final data.
From time to time, we may publicly disclose interim, topline or preliminary data from our preclinical studies and clinical trials, which is based on a preliminary analysis of then-available data, and the results and related findings and conclusions are subject to change following a more comprehensive review of the data related to the particular study or trial. We may also make assumptions, estimations, calculations and conclusions as part of our analyses of preliminary or topline data, and we may not have received or had the opportunity to fully and carefully evaluate all data. As a result, the interim, topline or preliminary results that we report may differ from future results of the same studies, or different conclusions or considerations may qualify such results, once additional data have been
received and fully evaluated. For example, in December 2025, we announced interim data from our ongoing Phase 1/2 clinical study evaluating MRT-2359 in combination with enzalutamide in heavily pretreated patients with metastatic Castration-Resistant Prostate Cancer, or CRPC. While the interim clinical data from the study demonstrated that treatment with MRT-2359 in combination with enzalutamide in mCRPC patients with androgen receptor, or AR, mutations, led to a 100% PSA response rate (4 of 4 patients) and a 100% disease control rate, including 2 patients with RECIST responses and 2 with stable disease, we cannot be certain that the final data will demonstrate the same results, or that we will be able to draw the same conclusions from the final data (data for MRT-2359 was updated in February 2026, as described herein). Similarly, in January 2026 we announced positive interim data from our ongoing Phase 1 trial of MRT-8102, which showed reductions in serum hsCRP after four weeks of dosing, although we cannot be certain that final data, including in additional subjects with elevated CVD risk, will demonstrate the same results. Interim, topline and preliminary data also remain subject to audit and verification procedures that may result in the final data being materially different from the preliminary data we previously published. As a result, such data should be viewed with caution until the final data are available. Adverse differences between preliminary, interim or topline data and final data could significantly harm our business prospects.
Further, others, including regulatory agencies, may not accept or agree with our assumptions, estimates, calculations, conclusions or analyses or may interpret or weigh the importance of data differently, which could impact the value of the particular program, the approvability or commercialization of the particular product candidate or product and our company in general. In addition, the information we choose to publicly disclose regarding a particular study or clinical trial is based on what is typically extensive information, and you or others may not agree with what we determine is the material or otherwise appropriate information to include in our disclosure, and any information we determine not to disclose may ultimately be deemed significant with respect to future decisions, conclusions, views, activities or otherwise regarding a particular product, product candidate or our business. If the interim, topline or preliminary data that we report differ from actual results, or if others, including regulatory authorities, disagree with the conclusions reached, our ability to obtain approval for, and commercialize, our product candidates may be harmed, which could harm our business, operating results, prospects or financial condition.
If we are not able to obtain, or if there are delays in obtaining, required regulatory approvals for our current or future product candidates, we will not be able to commercialize, or will be delayed in commercializing, our current or future product candidates, and our ability to generate revenue will be materially impaired.
Our current or future product candidates and the activities associated with their development and commercialization, including their design, testing, manufacture, safety, efficacy, recordkeeping, labeling, storage, approval, advertising, promotion, sale, distribution, import and export, are subject to comprehensive regulation by the FDA and other regulatory agencies in the U.S. and by comparable authorities in other countries. Before we can commercialize any of our current or future product candidates, we must obtain marketing approval from the regulatory authorities in the relevant jurisdictions. We have not received approval to market any of our current or future product candidates from regulatory authorities in any jurisdiction, and it is possible that none of our current product candidates, nor any product candidates we may seek to develop in the future, will ever obtain regulatory approval. Securing regulatory approval requires the submission of extensive preclinical and clinical data and supporting information to the various regulatory authorities for each therapeutic indication to establish the product candidate’s safety and efficacy. Securing regulatory approval also requires the submission of information about the drug manufacturing process to, and inspection of manufacturing facilities by, the relevant regulatory authority. Our current or future product candidates may not be effective, may be only moderately effective or may prove to have undesirable or unintended side effects, toxicities or other characteristics that may preclude our obtaining marketing approval or prevent or limit commercial use.
In addition, even if we were to obtain approval, regulatory authorities may approve any of our current or future product candidates for fewer or more limited indications than we request, may not approve the price we intend to charge for our drugs, may grant approval contingent on the performance of costly post-marketing clinical trials, or may approve a product candidate with a label that does not include the labeling claims necessary or desirable for the successful commercialization of that product candidate. Any of the foregoing scenarios could materially harm the commercial prospects for our current or future product candidates.
If we experience delays in obtaining approval or if we fail to obtain approval of our current or future product candidates, the commercial prospects for our current or future product candidates may be harmed and our ability to generate revenues will be materially impaired.
Our current or future product candidates may cause adverse or other undesirable side effects that could delay or prevent their regulatory approval, limit the commercial profile of an approved label, or result in significant negative consequences following marketing approval, if any.
Undesirable side effects caused by our current or future product candidates could cause us to interrupt, delay or halt preclinical studies or could cause us or regulatory authorities to interrupt, delay or halt clinical trials and could result in a more restrictive label or the delay or denial of regulatory approval by the FDA or other regulatory authorities. As is the case with many treatments for cancer, inflammatory and autoimmune diseases, neurodegeneration or other diseases it is likely that there may be adverse side effects associated with the use of our product candidates. Additionally, a potential risk in any protein degradation product is that healthy proteins or proteins not targeted for degradation will be degraded or that the degradation of the targeted protein, in itself, could cause adverse events, undesirable side effects, or unexpected consequences. It is possible that healthy proteins or proteins not targeted for degradation could be degraded using our MGD molecules in any of our planned or future clinical studies. There is also the potential risk of delayed adverse events following treatment using any of our current or future product candidates.
These side effects could arise due to off-target activity, allergic reactions in trial subjects or unwanted on-target effects in the body. Results of our current or planned clinical trials could reveal a high and unacceptable severity and prevalence of these or other side effects. In such an event, our trials could be suspended or terminated and the FDA or comparable foreign regulatory authorities could order us to cease further development of, or deny approval of, our current or future product candidates for any or all targeted indications. The drug-related side effects could affect patient recruitment or the ability of enrolled patients to complete the trial or result in potential product liability claims. Any of these occurrences may harm our business, financial condition and prospects significantly.
Further, our current or future product candidates could cause undesirable side effects in clinical trials related to on-target toxicity. If on-target toxicity is observed, or if our current or future product candidates have characteristics that are unexpected, we may need to abandon their development or limit development to more narrow uses or subpopulations in which the undesirable side effects or other characteristics are less prevalent, less severe or more acceptable from a risk-benefit perspective. Many compounds that initially showed promise in early-stage testing for treating cancer or other diseases have later been found to cause side effects that prevented further development of the compound.
In addition, clinical trials by their nature utilize a sample of the potential patient population. With a limited number of patients and limited duration of exposure, rare and severe side effects of our current or future product candidates may only be uncovered with a significantly larger number of patients exposed to the product candidate. In any such event, our studies could be suspended or terminated and the FDA or comparable foreign regulatory authorities could order us to cease further development of or deny approval of our product candidates for any or all targeted indications. The side effects experienced could affect patient recruitment or the ability of enrolled subjects to complete the study or result in potential product liability claims. Moreover, if we elect, or are required, not to initiate, or to delay, suspend or terminate any future clinical trial of any of our product candidates, the commercial prospects of such product candidates may be harmed and our ability to generate product revenues from any of these product candidates may be delayed or eliminated. Any of these occurrences may harm our ability to develop other product candidates, and may harm our business, financial condition and prospects significantly.
In addition, if our current or future product candidates receive marketing approval and we or others identify undesirable side effects caused by such current or future product candidates after such approval, a number of potentially significant negative consequences could result, including:
•regulatory authorities may suspend, withdraw or limit approvals of such current or future product candidates, or seek an injunction against their manufacture or distribution;
•regulatory authorities may require the addition of labeling statements or warnings, such as a “boxed” warning or a contraindication;
•we may be required to create a medication guide outlining the risks of such side effects for distribution to patients;
•we may be required to change the way such current or future product candidates are distributed or administered, conduct additional clinical trials or change the labeling of the current or future product candidates;
•we may be required to conduct post-marketing studies or change the way the product is administered;
•regulatory authorities may require a REMS plan to mitigate risks, which could include medication guides, physician communication plans, or elements to assure safe use, such as restricted distribution methods, patient registries and other risk minimization tools;
•we may be subject to regulatory investigations and government enforcement actions;
•we may decide to remove such current or future product candidates from the market;
•we could be sued and held liable for injury caused to individuals exposed to or taking our current or future product candidates;
•we may be subject to fines, injunctions or imposition of criminal penalties; and
•our reputation may suffer.
We believe that any of these events could prevent us from achieving or maintaining market acceptance of the affected product candidates and could substantially increase the costs of commercializing our current or future product candidates, if approved, and significantly impact our ability to successfully commercialize our current or future product candidates and generate revenues.
We may seek and fail to obtain Breakthrough Therapy Designation or Fast Track Designation from the FDA for our current or future product candidates. Even if granted for any of our current or future product candidates, these programs may not lead to a faster development, regulatory review or approval process, and such designations do not increase the likelihood that any of our product candidates will receive marketing approval in the United States.
We may seek a Breakthrough Therapy Designation for one or more of our current or future product candidates. A breakthrough therapy is defined as a drug that is intended, alone or in combination with one or more other drugs, to treat a serious or life-threatening disease or condition, and preliminary clinical evidence indicates that the drug may demonstrate substantial improvement over existing therapies on one or more clinically significant endpoints, such as substantial treatment effects observed early in clinical development. For drugs that have been designated as breakthrough therapies, interaction and communication between the FDA and the sponsor of the trial can help to identify the most efficient path for clinical development while minimizing the number of patients placed in ineffective control regimens. Product candidates designated as breakthrough therapies by the FDA may also be eligible for priority review and accelerated approval. Designation as a breakthrough therapy is within the discretion of the FDA. Accordingly, even if we believe one of our current or future product candidates meets the criteria for designation as a breakthrough therapy, the FDA may disagree and instead determine not to make such designation. In any event, the receipt of a Breakthrough Therapy Designation for a current or future product candidate may not result in a faster development process, review or approval compared to drugs considered for approval under conventional FDA procedures and does not assure ultimate approval by the FDA. In addition, even if one or more of our current or future product candidates qualify as breakthrough therapies, the FDA may later decide that such product candidates no longer meet the conditions for qualification and rescind the designation or decide that the time period for FDA review or approval will not be shortened.
We were granted Fast Track Designations for MRT-2359 for the treatment of patients with previously treated, metastatic small cell lung cancer (SCLC) with L-MYC or N-MYC expression and MRT-2359 for the treatment of patients with previously treated, metastatic NSCLC with L-MYC or N-MYC expression. We may seek additional Fast Track Designations for one or more of our current or future product candidates, as appropriate. If a product candidate is intended for the treatment of a serious or life-threatening condition and preclinical or clinical data demonstrate the potential to address an unmet medical need for this condition, the product sponsor may apply for Fast Track Designation. The sponsor of a product candidate with Fast Track Designation has opportunities for more frequent interactions with the applicable FDA review team during product development and, once an NDA is submitted, the product candidate may be eligible for priority review. Such product candidate may also be eligible for rolling review, where the FDA may consider reviewing sections of the NDA on a rolling basis before the complete application is submitted, if the sponsor provides a schedule for the submission of the sections of the NDA, the FDA agrees to accept sections of the NDA and determines that the schedule is acceptable, and the sponsor pays any required user fees upon submission of the first section of the NDA. The FDA has broad discretion whether or not to grant this designation, so even if we believe a particular current or future product candidate is eligible for this designation, we cannot assure you that the FDA would decide to grant it. Even if we do receive Fast Track Designation for certain current or future product candidates, such as the Fast Track Designation we received for MRT-2359, we may not experience a faster development process, review or approval
compared to conventional FDA procedures. The FDA may rescind Fast Track Designation if it believes that the designation is no longer supported by data from our clinical development program. Fast Track Designation alone does not guarantee qualification for the FDA’s priority review procedures.
We may seek approval from the FDA through the use of the accelerated approval pathway. If we are unable to obtain such approval, we may be required to conduct additional preclinical studies or clinical trials beyond those that we contemplate, which could increase the expense of obtaining, and delay the receipt of, necessary marketing approvals. Even if we receive accelerated approval from the FDA, if our confirmatory trials do not verify clinical benefit, or if we do not comply with rigorous post-marketing requirements, the FDA may seek to withdraw accelerated approval.
A product may be eligible for accelerated approval if it is designed to treat a serious or life-threatening disease or condition and generally provides a meaningful advantage over available therapies upon a determination that the product candidate has an effect on a surrogate endpoint or intermediate clinical endpoint that is reasonably likely to predict clinical benefit or on a clinical endpoint that can be measured earlier than irreversible morbidity or mortality, or IMM, that is reasonably likely to predict an effect on IMM or other clinical benefit. The FDA considers a clinical benefit to be a positive therapeutic effect that is clinically meaningful in the context of a given disease, such as IMM. For the purposes of accelerated approval, a surrogate endpoint is a marker, such as a laboratory measurement, radiographic image, physical sign or other measure that is thought to predict clinical benefit, but is not itself a measure of clinical benefit. An intermediate clinical endpoint is a clinical endpoint that can be measured earlier than an effect on irreversible morbidity or mortality that is reasonably likely to predict an effect on irreversible morbidity or mortality or other clinical benefit. The accelerated approval pathway may be used in cases in which the advantage of a new drug over available therapy may not be a direct therapeutic advantage, but is a clinically important improvement from a patient and public health perspective. If granted, accelerated approval is usually contingent on the sponsor’s agreement to conduct, in a diligent manner, additional post-approval confirmatory studies to verity and describe the drug’s clinical benefit. Under FDORA, the FDA is permitted to require, as appropriate, that a post-approval confirmatory study or studies be underway prior to approval or within a specified time period after the date of approval for a product granted accelerated approval. FDORA also requires sponsors to send updates to the FDA every 180 days on the status of such studies, including progress toward enrollment targets, and the FDA must promptly post this information publicly. FDORA also gives the FDA increased authority to withdraw approval of a product granted accelerated approval on an expedited basis if the sponsor fails to conduct such studies in a timely manner, send the necessary updates to the FDA, or if such post-approval studies fail to verify the drug’s predicted clinical benefit. Under FDORA, the FDA is empowered to take action, such as issuing fines, against companies that fail to conduct with due diligence any post-approval confirmatory study or submit timely reports to the agency on their progress. In addition, for products being considered for accelerated approval, the FDA generally requires, unless otherwise informed by the Agency, that all advertising and promotional materials intended for dissemination or publication within 120 days of marketing approval be submitted to the Agency for review during the pre-approval review period. There can be no assurance that the FDA would allow any of the product candidates we may develop to proceed on an accelerated approval pathway, and even if the FDA did allow such pathway, there can be no assurance that such submission or application will be accepted or that any expedited development, review or approval will be granted on a timely basis, or at all. Moreover, even if we received accelerated approval, any post-approval studies required to confirm and verify clinical benefit may not show such benefit, which could lead to withdrawal of any approvals we have obtained. Receiving accelerated approval does not assure that the product’s accelerated approval will eventually be converted to a traditional approval.
We may seek Orphan Drug Designation for certain of our current or future product candidates, and we may be unsuccessful or may be unable to maintain the benefits associated with Orphan Drug Designation, including the potential for market exclusivity.
We have been granted by FDA Orphan Drug Designation for MRT-2359 for the treatment of small cell lung cancer, and as part of our business strategy, we may seek Orphan Drug Designation for certain indications of our other current or future product candidates, and we may be unsuccessful. Regulatory authorities in some jurisdictions, including the U.S. and Europe, may designate drugs for relatively small patient populations as orphan drugs. Under the Orphan Drug Act, the FDA may designate a drug as an orphan drug if it is a drug intended to treat a rare disease or condition, which is generally defined as a patient population of fewer than 200,000 individuals annually in the U.S., or a patient population of 200,000 or more in the U.S. where there is no reasonable expectation that the cost of developing the drug will be recovered from sales in the U.S. In the U.S., Orphan Drug Designation entitles a party to financial incentives such as opportunities for grant funding towards clinical trial costs, tax advantages and user-fee waivers.
Similarly, in the European Union, the European Commission, upon the recommendation of the EMA’s Committee for Orphan Medicinal Products, may grant orphan designation in respect of products that are intended for the diagnosis, prevention or treatment of life-threatening or chronically debilitating conditions affecting not more than 5 in 10,000 persons in the EU. Additionally, orphan designation may be granted for products intended for the diagnosis, prevention, or treatment of life-threatening or chronically debilitating conditions, and when, without incentives, it is unlikely that sales of the product in the EU would generate sufficient return to justify the necessary investment in developing the product. In each case, there must be no satisfactory method of diagnosis, prevention, or treatment of the applicable condition which is authorized for marketing in the EU (or, if such a method exists, the applicable product would be of significant benefit to those affected by the condition). In the EU, orphan designation entitles a party to financial incentives such as reduction of fees or fee waivers.
Generally, if a product with an orphan drug designation subsequently receives the first marketing approval for the indication for which it has such designation, the product is entitled to a period of marketing exclusivity, which precludes the FDA or the EMA from approving another MAA for the same drug for the same indication for that time period. The applicable period is seven years in the U.S. and ten years in the European Union. The exclusivity period in the European Union can be reduced to six years if, at the end of the fifth year, a drug no longer meets the criteria for orphan designation or if the drug is sufficiently profitable so that market exclusivity is no longer justified. Orphan drug exclusivity may be lost if the FDA or EMA determines that the request for designation was materially defective or if the manufacturer is unable to assure sufficient quantity of the drug to meet the needs of patients with the rare disease or condition.
Even if we obtain orphan drug exclusivity for a product candidate, that exclusivity may not effectively protect the product candidate from competition because different therapies can be approved for the same condition and the same therapies can be approved for different conditions but used off-label. Even after an orphan drug is approved, the FDA can subsequently approve the same drug for the same condition if the FDA concludes that the later drug is clinically superior in that it is shown to be safer, more effective or makes a major contribution to patient care. In addition, a designated orphan drug may not receive orphan drug exclusivity if it is approved for a use that is broader than the indication for which it received orphan designation. Orphan Drug Designation neither shortens the development time or regulatory review time of a drug nor gives the drug any advantage in the regulatory review or approval process. While we may seek Orphan Drug Designation for applicable indications for our current and any future product candidates, we may never receive such designations. Even if we do receive such designations, there is no guarantee that we will enjoy the benefits of those designations.
Even if we receive marketing authorization for our product candidates, we will be subject to extensive ongoing regulatory obligations and continued regulatory review, which may result in significant additional expense and we may be subject to penalties if we fail to comply with regulatory requirements or experience unanticipated problems with our product candidates.
If the FDA or a comparable foreign regulatory authority approves any of our current or future product candidates, the manufacturing processes, labeling, packaging, distribution, adverse event reporting, storage, advertising, promotion and recordkeeping for the drug will be subject to extensive and ongoing regulatory requirements. These requirements include submissions of safety and other post-marketing information and reports, registration requirements, continued compliance with cGMPs and GCPs, and applicable product tracking and tracing requirements. Any regulatory approvals that we receive for our current or future product candidates may also be subject to limitations on the approved indicated uses for which the drug may be marketed or to the conditions of approval, or contain requirements for potentially costly post-marketing testing, including Phase 4 clinical trials, and surveillance to monitor the safety and efficacy of the drug. Later discovery of previously unknown problems with a drug, including adverse events of unanticipated severity or frequency, or with our third-party manufacturers or manufacturing processes, or failure to comply with regulatory requirements, may result in, among other things:
•restrictions on the marketing or manufacturing of our product candidates, withdrawal of the product from the market, or voluntary or mandatory product recalls;
•manufacturing delays and supply disruptions where regulatory inspections identify observations of noncompliance during remediation;
•revisions to the labeling, including limitation on approved uses or the addition of warnings, contraindications, or other safety information, including boxed warnings;
•imposition of a REMS, which may include distribution or use restrictions;
•requirements to conduct additional post-market clinical trials to assess the safety of the product;
•fines, warning or untitled letters or holds on clinical trials;
•refusal by the FDA to approve pending applications or supplements to approved applications filed by us, or suspension or revocation of approvals;
•product seizure or detention, or refusal to permit the import or export of drugs; and
•injunctions or the imposition of civil or criminal penalties.
The occurrence of any event or penalty described above may inhibit our ability to commercialize our product candidates and generate revenue and could require us to expend significant time and resources in response and could generate negative publicity.
The FDA’s and other regulatory authorities’ policies may change and additional government regulations may be enacted that could prevent, limit or delay regulatory approval of our current or future product candidates. We also cannot predict the likelihood, nature or extent of government regulation that may arise from future legislation or administrative action, either in the United States or abroad. If we are slow or unable to adapt to changes in existing requirements or the adoption of new requirements or policies, or if we are not able to maintain regulatory compliance, we may lose any marketing approval that we may have obtained, which would adversely affect our business, prospects and ability to achieve or sustain profitability.
Even if we receive marketing approval for our current or future product candidates in the U.S., we may never receive regulatory approval to market our current or future product candidates outside of the U.S.
We plan to seek regulatory approval of our current or future product candidates outside of the U.S. Obtaining and maintaining regulatory approval of our product candidates in one jurisdiction does not guarantee that we will be able to obtain or maintain regulatory approval in any other jurisdiction.
For example, even if the FDA grants marketing approval of a product candidate, we may not obtain approvals in other jurisdictions, and comparable regulatory authorities in foreign jurisdictions must also approve the manufacturing, marketing and promotion and reimbursement of the product candidate in those countries. However, a failure or delay in obtaining marketing approval in one jurisdiction may have a negative effect on the regulatory approval process in others. Approval procedures vary among countries and can involve additional product candidate testing and administrative review periods different from those in the United States. The time required to obtain approvals in other countries might differ substantially from that required to obtain FDA approval. The marketing approval processes in other countries generally implicate all of the risks detailed above regarding FDA approval in the U.S. as well as other risks. In particular, in many countries outside of the U.S., products must receive pricing and reimbursement approval before the product can be commercialized. Obtaining this approval can result in substantial delays in bringing products to market in such countries.
Obtaining foreign regulatory approvals and establishing and maintaining compliance with foreign regulatory requirements could result in significant delays, difficulties and costs for us and could delay or prevent the introduction of our products in certain countries. If we or any future collaborator fail to comply with regulatory requirements in international markets or fail to receive applicable marketing approvals, it would reduce the size of our potential market, which could have a material adverse impact on our business, results of operations and prospects.
If we fail to comply with environmental, health and safety laws and regulations, we could become subject to fines or penalties or incur costs that could have a material adverse effect on the success of our business.
We are subject to numerous environmental, health and safety laws and regulations, including those governing laboratory procedures and the handling, use, storage, treatment and disposal of hazardous materials and wastes. Our operations involve the use of hazardous and flammable materials, including chemicals and biological and radioactive materials. Our operations also produce hazardous waste products. We generally contract with third parties for the disposal of these materials and wastes. We cannot eliminate the risk of contamination or injury from these materials. In the event of contamination or injury resulting from our use of hazardous materials, we could be held liable for any resulting damages, and any liability could exceed our resources. We also could incur significant costs associated with civil or criminal fines and penalties.
Although we maintain workers’ compensation insurance to cover us for costs and expenses we may incur due to injuries to our employees resulting from the use of hazardous materials, this insurance may not provide adequate coverage against potential liabilities. We do not maintain insurance for environmental liability or toxic tort claims that may be asserted against us in connection with our storage or disposal of biological, hazardous or radioactive
materials. In addition, we may incur substantial costs in order to comply with current or future environmental, health and safety laws and regulations. Current or future environmental laws and regulations may impair our research, development and production efforts, which could harm our business, prospects, financial condition or results of operations.
Our future growth may depend, in part, on our ability to penetrate foreign markets, where we would be subject to additional regulatory burdens and other risks and uncertainties that could materially adversely affect our business.
We are not permitted to market or promote any of our current or future product candidates before we receive regulatory approval from the applicable regulatory authority in that foreign market, and we may never receive such regulatory approval for any of our current or future product candidates. To obtain separate regulatory approval in many other countries we must comply with numerous and varying regulatory requirements of such countries regarding safety and efficacy. Such requirements govern, among other things, clinical trials and commercial sales, and pricing and distribution of our current or future product candidates, and we cannot predict success in these jurisdictions. If we obtain approval of our current or future product candidates and ultimately commercialize our current or future product candidates in foreign markets, we would be subject to additional risks and uncertainties, including:
•differing regulatory requirements in foreign countries, such that obtaining regulatory approvals outside of the U.S. may take longer and be more costly than obtaining approval in the U.S.;
•our customers’ ability to obtain reimbursement for our current or future product candidates in foreign markets;
•the burden of complying with complex and changing foreign regulatory, tax, accounting and legal requirements;
•different medical practices and customs in foreign countries affecting acceptance in the marketplace;
•import or export licensing requirements;
•longer accounts receivable collection times;
•longer lead times for shipping;
•language barriers for technical training;
•reduced protection of intellectual property rights in some foreign countries;
•the existence of additional potentially relevant third-party intellectual property rights;
•economic weakness, including inflation, or political instability in particular foreign economies and markets;
•compliance with tax, employment, immigration and labor laws for employees living or traveling abroad;
•foreign taxes, including withholding of payroll taxes;
•foreign currency fluctuations, which could result in increased operating expenses and reduced revenue, and other obligations incident to doing business in another country;
•difficulties staffing and managing foreign operations;
•workforce uncertainty in countries where labor unrest is more common than in the U.S.;
•potential liability under the Foreign Corrupt Practices Act of 1977 or comparable foreign regulations;
•the interpretation of contractual provisions governed by foreign laws in the event of a contract dispute;
•production shortages resulting from any events affecting raw material supply or manufacturing capabilities abroad; and
•business interruptions resulting from geopolitical actions, including war and terrorism.
Foreign sales of our current or future product candidates could also be adversely affected by the imposition of governmental controls, political and economic instability, trade restrictions and changes in tariffs.
Changes in funding or disruptions at the FDA, the SEC and other government agencies caused by funding shortages or global health concerns, or changes in policy could hinder their ability to hire and
retain key leadership and other personnel, or otherwise prevent new or modified products from being developed, approved or commercialized in a timely manner or at all, or otherwise prevent those agencies from performing normal business functions on which the operation of our business may rely, which could negatively impact our business.
The ability of the FDA to review and approve new products can be affected by a variety of factors, including government budget and funding levels, ability to hire and retain key personnel and accept the payment of user fees, and statutory, regulatory and policy changes and other events that may otherwise affect the FDA’s ability to perform routine functions. Average review times at the FDA have fluctuated in recent years as a result. In addition, government funding of the SEC and other government agencies on which our operations may rely, including those that fund research and development activities is subject to the political process, which is inherently fluid and unpredictable.
Disruptions at the FDA and other agencies may also slow the time necessary for new drugs to be reviewed and/or approved by necessary government agencies, which would adversely affect our business. For example, over the past decade, the U.S. government shut down several times, including beginning on October 1, 2025, and certain regulatory agencies, such as the FDA and the SEC, had to furlough critical employees and stop critical activities.
If a prolonged government shutdown occurs, or if global health concerns prevent the FDA or other regulatory authorities from conducting their regular inspections, reviews or other regulatory activities, it could significantly impact the ability of the FDA to timely review and process our regulatory submissions, which could have a material adverse effect on our business. Further, in our operations as a public company, future government shutdowns or delays could impact our ability to access the public markets and obtain necessary capital in order to properly capitalize and continue our operations.
We may in the future conduct clinical trials for current or future product candidates outside the U.S., and the FDA and comparable foreign regulatory authorities may not accept data from such trials.
We may in the future choose to conduct one or more clinical trials outside the U.S., including in Europe. The acceptance of study data from clinical trials conducted outside the U.S. or another jurisdiction by the FDA or comparable foreign regulatory authority may be subject to certain conditions or may not be accepted at all. In cases where data from foreign clinical trials are intended to serve as the sole basis for marketing approval in the U.S., the FDA will generally not approve the application on the basis of foreign data alone unless (i) the data are applicable to the U.S. population and U.S. medical practice; (ii) the trials were performed by clinical investigators of recognized competence and pursuant to GCP regulations; and (iii) the data may be considered valid without the need for an on-site inspection by the FDA, or if the FDA considers such inspection to be necessary, the FDA is able to validate the data through an on-site inspection or other appropriate means. In addition, even where the foreign study data are not intended to serve as the sole basis for approval, the FDA will not accept the data as support for an application for marketing approval unless the study is well-designed and well-conducted in accordance with GCP and the FDA is able to validate the data from the study through an onsite inspection if deemed necessary. Many foreign regulatory authorities have similar approval requirements. In addition, such foreign trials would be subject to the applicable local laws of the foreign jurisdictions where the trials are conducted. There can be no assurance that the FDA or any comparable foreign regulatory authority will accept data from trials conducted outside of the U.S. or the applicable jurisdiction. If the FDA or any comparable foreign regulatory authority does not accept such data, it would result in the need for additional trials, which could be costly and time-consuming, and which may result in current or future product candidates that we may develop not receiving approval for commercialization in the applicable jurisdiction.
We are subject to certain U.S. and foreign anti-corruption, anti-money laundering, export control, sanctions, and other trade laws and regulations. We can face serious consequences for violations.
Among other matters, U.S. and foreign anti-corruption, anti-money laundering, export control, sanctions, and other trade laws and regulations, which we collectively refer to as Trade Laws, prohibit companies and their employees, agents, clinical research organizations, legal counsel, accountants, consultants, contractors, and other partners from authorizing, promising, offering, providing, soliciting, or receiving directly or indirectly, corrupt or improper payments or anything else of value to or from recipients in the public or private sector. Violations of Trade Laws can result in substantial criminal fines and civil penalties, imprisonment, the loss of trade privileges, debarment, tax reassessments, breach of contract and fraud litigation, reputational harm, and other consequences. We have direct or indirect interactions with officials and employees of government agencies or government-affiliated hospitals, universities, and other organizations.
Governments outside the United States tend to impose strict price controls, which may adversely affect our revenues, if any.
In some countries, the pricing of prescription pharmaceuticals is subject to governmental control. In these countries, pricing negotiations with governmental authorities can take considerable time after the receipt of marketing approval for a product candidates. In addition, there can be considerable pressure by governments and other stakeholders on prices and reimbursement levels, including as part of cost containment measures. Political, economic and regulatory developments may further complicate pricing negotiations, and pricing negotiations may continue after coverage and reimbursement have been obtained. Reference pricing used by various countries and parallel distribution or arbitrage between low-priced and high-priced countries, can further reduce prices. To obtain reimbursement or pricing approval in some countries, we may be required to conduct a clinical trial that compares the cost-effectiveness of our product candidate to other available therapies, which is time-consuming and costly. If coverage and reimbursement of our product candidates are unavailable or limited in scope or amount, or if pricing is set at unsatisfactory levels, our business could be harmed, possibly materially.
Risks related to commercialization
Even if we receive marketing approval for our current or future product candidates, our current or future product candidates may not achieve broad market acceptance, which would limit the revenue that we generate from their sales.
The commercial success of our current or future product candidates, if approved by the FDA or other applicable regulatory authorities, will depend upon the awareness and acceptance of our current or future product candidates among the medical community, including physicians, patients and healthcare payors. If our product candidates do not achieve an adequate level of acceptance, we may not generate significant revenue and we may not become profitable. Market acceptance of our current or future product candidates, if approved, will depend on a number of factors, including, among others:
•the efficacy of our current or future product candidates as demonstrated in clinical trials, and, if required by any applicable regulatory authority in connection with the approval for the applicable indications, to provide patients with incremental health benefits, as compared with other available medicines;
•the timing of market introduction of the product candidates and potential advantages to alternative treatments;
•limitations or warnings contained in the labeling approved for our current or future product candidates by the FDA or other applicable regulatory authorities;
•the clinical indications for which our current or future product candidates are approved;
•availability of alternative treatments already approved or expected to be commercially launched in the near future;
•the potential and perceived advantages of our current or future product candidates over current treatment options or alternative treatments, including future alternative treatments;
•the willingness of the target patient population to try new therapies or treatment methods and of physicians to prescribe these therapies or methods;
•the need to dose such product candidates in combination with other therapeutic agents, and related costs;
•the strength of marketing and distribution support and timing of market introduction of competitive products;
•publicity concerning our products or competing products and treatments;
•pricing and cost effectiveness;
•the effectiveness of our sales and marketing strategies;
•our ability to increase awareness of our current or future product candidates;
•our ability to obtain sufficient third-party coverage or reimbursement; or
•the willingness of patients to pay out-of-pocket in the absence of third-party coverage.
If our current or future product candidates are approved but do not achieve an adequate level of acceptance by patients, physicians and payors, we may not generate sufficient revenue from our current or future product
candidates to become or remain profitable. Before granting reimbursement approval, healthcare payors may require us to demonstrate that our current or future product candidates, in addition to treating these target indications, also provide incremental health benefits to patients. Our efforts to educate the medical community, patient organizations and third-party payors about the benefits of our current or future product candidates may require significant resources and may never be successful.
If we are unable to establish sales, marketing and distribution capabilities for any product candidate that may receive regulatory approval, we may not be successful in commercializing those product candidates if and when they are approved.
We do not have sales or marketing infrastructure. To achieve commercial success for any product candidate for which we may obtain marketing approval, we will need to establish a sales and marketing organization. In the future, we expect to build a focused sales and marketing infrastructure to market some of our product candidates in the United States, if and when they are approved. There are risks involved with establishing our own sales, marketing and distribution capabilities. For example, recruiting and training a sales force is expensive and time consuming and could delay any product launch. If the commercial launch of a product candidate for which we recruit a sales force and establish marketing capabilities is delayed or does not occur for any reason, we would have prematurely or unnecessarily incurred these commercialization expenses. This may be costly, and our investment would be lost if we cannot retain or reposition our sales and marketing personnel.
Factors that may inhibit our efforts to market our products on our own include:
•our inability to recruit, train and retain adequate numbers of effective sales and marketing personnel;
•the inability of sales personnel to obtain access to physicians in order to educate physicians about our product candidates, once approved;
•the lack of complementary products to be offered by sales personnel, which may put us at a competitive disadvantage relative to companies with more extensive product lines; and
•unforeseen costs and expenses associated with creating an independent sales and marketing organization.
If we are unable to establish our own sales, marketing and distribution capabilities and are forced to enter into arrangements with, and rely on, third parties to perform these services, our revenue and our profitability, if any, are likely to be lower than if we had developed such capabilities ourselves. In addition, we may not be successful in entering into arrangements with third parties to sell, market and distribute our product candidates or may be unable to do so on terms that are favorable to us. We likely will have little control over such third parties, and any of them may fail to devote the necessary resources and attention to sell and market our products effectively. If we do not establish sales, marketing and distribution capabilities successfully, either on our own or in collaboration with third parties, we will not be successful in commercializing our product candidates.
The market opportunities for any current or future product candidate we develop, if and when approved, may be limited to those patients who are ineligible for established therapies or for whom prior therapies have failed, and may be small.
Cancer therapies are sometimes characterized as first-line, second-line, or third-line, and the FDA often approves new therapies initially only for third-line use. When cancer is detected early enough, first-line therapy, usually chemotherapy, hormone therapy, surgery, radiation therapy or a combination of these, is sometimes adequate to cure the cancer or prolong life without a cure. Second- and third-line therapies are administered to patients when prior therapy is not effective. We expect to initially seek approval of our product candidates we develop as a therapy for patients who have received one or more prior treatments. Subsequently, for those products that prove to be sufficiently beneficial, if any, we would expect to seek approval potentially as a first-line therapy, but there is no guarantee that product candidates we develop, even if approved, would be approved for first-line therapy, and, prior to any such approvals, we may have to conduct additional clinical trials.
The number of patients who have the cancers we are targeting may turn out to be lower than expected. Additionally, the potentially addressable patient population for our current programs or future product candidates in both oncology and non-oncology indications may be limited, if and when approved. Even if we obtain significant market share for any product candidate, if and when approved, if the potential target populations are small, we may never achieve profitability without obtaining marketing approval for additional indications, including to be used as first- or second-line therapy.
We face substantial competition, which may result in others discovering, developing or commercializing drugs before or more successfully than we do.
The development and commercialization of new drugs is highly competitive. We face and will continue to face competition from third parties that use protein degradation, antibody therapy, inhibitory nucleic acid, gene editing or gene therapy development platforms and from companies focused on more traditional therapeutic modalities, such as small molecule inhibitors. Potential competitors also include academic institutions, government agencies and other public and private research organizations that conduct research, seek patent protection and establish collaborative arrangements for research, development, manufacturing and commercialization of new drugs.
We are aware of several biotechnology companies focused on developing TPD, including MGD therapeutics for patients, the most prominent of which include but are not limited to, C4 Therapeutics, Inc., Nurix Therapeutics, Inc., Kymera Therapeutics, Inc., Bristol-Myers Squibb, Novartis, all of whom have reported having TPD or MGD product candidates in preclinical or clinical development. Several large pharmaceutical companies have disclosed investments in the TPD field.
Many of our current or future competitors have significantly greater financial resources and expertise in research and development, manufacturing, preclinical testing, conducting clinical trials, obtaining regulatory approvals and reimbursement and marketing of approved drugs than we do. Mergers and acquisitions in the pharmaceutical, biotechnology and diagnostic industries may result in even more resources being concentrated among a smaller number of our competitors. Smaller or early-stage companies may also prove to be significant competitors, particularly through collaborative arrangements with large and established companies. These competitors also compete with us in recruiting and retaining qualified scientific, sales, marketing and management personnel and establishing clinical trial sites and patient recruitment for clinical trials, as well as in acquiring technologies complementary to, or necessary for, our programs.
Our commercial opportunity could be reduced or eliminated if our competitors develop and commercialize drugs that are safer, more effective, have fewer or less severe side effects, are more convenient or are less expensive than any drugs that we or our collaborators may develop. Our competitors also may obtain FDA or other regulatory approval for their drugs more rapidly than we may obtain approval for ours, which could result in our competitors establishing a strong market position before we or our collaborators are able to enter the market. The key competitive factors affecting the success of all of our current or future product candidates, if approved, are likely to be their efficacy, safety, convenience, price, the level of generic competition and the availability of reimbursement from government and other third-party payors.
Product liability lawsuits against us could cause us to incur substantial liabilities and could limit commercialization of any current or future product candidates that we may develop.
We will face an inherent risk of product liability exposure related to the testing of our current or future product candidates in human clinical trials and will face an even greater risk if we commercially sell any current or future product candidates that we may develop. If we cannot successfully defend ourselves against claims that our current or future product candidates caused injuries, we could incur substantial liabilities. Regardless of merit or eventual outcome, liability claims may result in:
•decreased demand for any current or future product candidates that we may develop;
•injury to our reputation and significant negative media attention;
•withdrawal of clinical trial participants;
•significant costs to defend the related litigation;
•substantial monetary awards to trial participants or patients;
•the inability to commercialize any current or future product candidates that we may develop.
We do not yet maintain product liability insurance, and we anticipate that we will need to increase our insurance coverage when we begin clinical trials and if we successfully commercialize any product candidate. Insurance coverage is increasingly expensive. We may not be able to maintain product liability insurance coverage at a reasonable cost or in an amount adequate to satisfy any liability that may arise.
Even if we are able to commercialize any current or future product candidates, such drugs may become subject to unfavorable pricing regulations or third-party coverage and reimbursement policies, which would harm our business.
Significant uncertainty exists as to the coverage and reimbursement status of any products for which we may obtain regulatory approval. In the U.S. and in other countries, sales of any products for which we may receive regulatory marketing approval for commercial sale will depend, in part, on the availability of coverage and reimbursement from third-party payors. Third-party payors include government healthcare programs (e.g., Medicare and Medicaid), managed care providers, private health insurers, health maintenance organizations and other organizations. These third-party payors decide which medications they will pay for and establish reimbursement levels. The availability of coverage and extent of reimbursement by governmental and other third-party payors is essential for most patients to be able to afford treatments such as targeted protein degradation therapies. Third-party payors may also impose formulary placement requirements, utilization management controls, prior authorization or step therapy requirements, or patient cost-sharing obligations that could limit access to or adoption of our products, even if regulatory approval is obtained. See the section of this report titled, “Business – Government Regulation – Third-party payor coverage and reimbursement.”
Current and future healthcare legislative reform measures may have a material adverse effect on our business and results of operations.
In the United States and in some foreign jurisdictions, there have been, and likely will continue to be, a number of legislative and regulatory changes and proposed changes intended to broaden access to healthcare, improve the quality of healthcare, and contain or lower the cost of healthcare. For example, in March 2010, the Patient Protection and Affordable Care Act, as amended by the Health Care and Education Reconciliation Act, or the ACA, was passed, which substantially changed the way healthcare is financed by both governmental and private insurers, and significantly impacted the U.S. pharmaceutical industry. The ACA, among other things, subjected drug products to potential competition by lower-cost biosimilars, expanded the types of entities eligible for the 340B drug discount program, addressed a new methodology by which rebates owed by manufacturers under the Medicaid Drug Rebate Program are calculated for drugs that are inhaled, infused, instilled, implanted or injected, increased rebates owed by manufacturers under the Medicaid Drug Rebate Program and extended the rebate program to individuals enrolled in Medicaid managed care organizations, established annual fees and taxes on manufacturers of certain branded prescription drugs, and created a new Medicare Part D coverage gap discount program - later replaced by a similar program under the Inflation Reduction Act of 2022 - under which manufacturers must agree to offer point-of-sale discounts off negotiated prices of applicable brand drugs to eligible beneficiaries during certain coverage periods, as a condition for the manufacturer’s outpatient drugs to be covered under Medicare Part D; and provided incentives to programs that increase the federal government’s comparative effectiveness research.
In addition, other legislative changes have been proposed and adopted in the United States since the ACA was enacted. See the section of this report titled, “Business – Government Regulation - Current and future healthcare reform legislation.”
We expect that additional state and federal healthcare reform measures will be adopted in the future, any of which could limit the amounts that federal and state governments will pay for healthcare products and services, affect coverage or reimbursement criteria, or otherwise increase pricing pressure, which could result in reduced demand for our current or future product candidates. We cannot predict the likelihood, nature or extent of government regulation that may arise from future legislation or administrative action in the United States. If we or any third parties we may engage are slow or unable to adapt to changes in existing requirements or the adoption of new requirements or policies, or if we or such third parties are not able to maintain regulatory compliance, our product candidates may lose any regulatory approval that may have been obtained and we may not achieve or sustain profitability.
Our relationships with customers, health care providers, physicians, and third-party payors will be subject to applicable anti-kickback, fraud and abuse and other healthcare laws and regulations, which could expose us to criminal sanctions, civil penalties, exclusion from government healthcare programs, contractual damages, reputational harm and diminished future profits and earnings.
Healthcare providers, physicians and third-party payors will play a primary role in the recommendation and prescription of any current or future product candidates for which we obtain marketing approval. Our business operations and any current or future arrangements with third-party payors and customers may expose us to broadly applicable federal and state laws relating to fraud and abuse, as well as other healthcare laws and regulations. These laws may impact, among other things, the business or financial arrangements and
relationships through which we market, sell and distribute any current or future product candidates for which we obtain marketing approval. These laws are complex, broadly interpreted, and subject to evolving enforcement priorities. See the section of this report titled, "Business - Government Regulation – Other healthcare laws and regulations.”
It is possible that governmental authorities will conclude that our business practices, including our arrangements with certain physicians, some of whom are compensated in the form of stock or stock options for services provided to us, do not comply with current or future statutes, regulations or case law involving applicable fraud and abuse or other healthcare laws and regulations. If our operations are to be found to be in violation of any of these laws or any other governmental regulations that may apply to us, we may be subject to significant civil, criminal and administrative penalties, damages, fines, disgorgement, contractual damages, reputational harm, diminished profits and future earnings, imprisonment, exclusion from government funded healthcare programs, such as Medicare and Medicaid, and the curtailment or restructuring of our operations, as well as additional reporting obligations and oversight if we become subject to a corporate integrity agreement or similar settlement to resolve allegations of non-compliance with these laws, any of which could adversely affect our ability to operate our business and our financial results. If any of the physicians or other healthcare providers or entities with whom we expect to do business is found to be not in compliance with applicable laws, they may be subject to similar actions, penalties, and sanctions.
The provision of benefits or advantages to physicians to induce or encourage the prescription, recommendation, endorsement, purchase, supply, order or use of medicinal products is also prohibited in the EU and UK. The provision of benefits or advantages to induce improper performance generally is governed by the national anti-bribery laws of EU Member States, and the UK Bribery Act 2010 in the UK. Infringement of these laws could result in substantial fines and imprisonment. Payments made to physicians in certain EU Member States must be publicly disclosed. Moreover, agreements with physicians often must be the subject of prior notification and approval by the physician’s employer, his or her competent professional organization and/or the regulatory authorities of the individual EU Member States. These requirements are provided in the national laws, industry codes or professional codes of conduct, applicable in the EU Member States. Failure to comply with these requirements could result in reputational risk, public reprimands, administrative penalties, fines or imprisonment.
Significant political, trade, regulatory developments, and other circumstances beyond our control, including geopolitical events, could have a material adverse effect on our financial condition or results of operations.
We operate beyond the United States and, if approved, we may sell our products in countries throughout the world. Significant political, trade, geopolitical or regulatory developments globally and in the jurisdictions in which we may sell our products are difficult to predict and may have a material adverse effect on us. Similarly, changes in U.S. federal policy that affect the geopolitical landscape could give rise to circumstances outside our control that could have negative impacts on our business operations. For example, in 2025, the United States imposed tariffs on imports on its trading partners, including Canada, Mexico, the EU and China. Historically, tariffs have led to increased trade and political tensions. In response to tariffs, other countries have implemented retaliatory tariffs on U.S. goods. Political tensions as a result of trade policies could reduce trade volume, investment, technological exchange and other economic activities between major international economies, resulting in a material adverse effect on global economic conditions and the stability of global financial markets. Any changes in political, trade, regulatory, geopolitical and economic conditions, including U.S. trade policies or the recent U.S. and Israeli military action in Iran and effects thereof, could have a material adverse effect on our financial condition or results of operations.
Risks related to our dependence on third parties
We currently rely, and plan to rely on in the future, on third parties to conduct and support our preclinical studies and to conduct our clinical trials for our current and future product candidates. If these third parties do not successfully carry out their contractual duties, comply with regulatory requirements or meet expected deadlines, we may not be able to obtain marketing approval for or commercialize our current and potential future product candidates and our business could be substantially harmed.
We utilize and depend upon independent investigators and collaborators, such as medical institutions, CROs, CMOs and strategic partners to help conduct our preclinical studies and our clinical trials.
We do not have the ability to independently conduct clinical trials. We rely, and plan to continue to rely on in the future, on medical institutions, clinical investigators, contract laboratories, and other third parties, including collaboration partners, to conduct or otherwise support clinical trials for our current or future product candidates.
We expect to rely heavily on these parties for execution of clinical trials for our product candidates and control only certain aspects of their activities. Nevertheless, we will be responsible for ensuring that each of our clinical trials is conducted in accordance with the applicable protocol, legal and regulatory requirements and scientific standards, and our reliance on CROs will not relieve us of our regulatory responsibilities.
We and any third parties that we contract with are required to comply with regulations and requirements, including GCP requirements, which are regulations and guidelines enforced by the FDA and comparable foreign regulatory authorities for product candidates in clinical development, for conducting, monitoring, recording and reporting the results of clinical trials to ensure that the data and results are scientifically credible and accurate, and that the trial patients are adequately informed of the potential risks of participating in clinical trials and their rights are protected. These regulations are enforced by the FDA, the Competent Authorities of the Member States of the EEA and comparable foreign regulatory authorities for any drugs in clinical development. Regulatory authorities enforce these GCP requirements through periodic inspections of clinical trial sponsors, principal investigators and trial sites. If we or the third parties we contract with fail to comply with applicable GCP requirements, the clinical data generated in our clinical trials may be deemed unreliable and the FDA or comparable foreign regulatory authorities may require us to perform additional clinical trials before approving our marketing applications. We cannot assure you that, upon inspection, the FDA will determine that any of our ongoing or future clinical trials will comply with GCP requirements. In addition, our clinical trials must be conducted with current or future product candidates produced under cGMP regulations and will require a large number of study subjects. Our failure or the failure of third parties that we may contract with to comply with these regulations or to recruit a sufficient number of subjects may require us to repeat some aspects of a specific, or an entire, clinical trial, which would delay the marketing approval process and could also subject us to enforcement action. We also are required to register certain ongoing clinical trials and provide certain information, including information relating to the trial’s protocol, on a government-sponsored database, ClinicalTrials.gov, within specific timeframes. Failure to do so can result in fines, adverse publicity and civil and criminal sanctions.
Although we intend to design the clinical trials for our current or future product candidates, or be involved in the design when other parties sponsor the trials, we anticipate that third parties will conduct all of our clinical trials. As a result, many important aspects of our clinical development, will be outside of our direct control. Our reliance on third parties to conduct our ongoing clinical trial and future clinical trials will also result in less direct control over the management of data developed through clinical trials than would be the case if we were relying entirely upon our own staff, and we cannot control whether or not they will devote sufficient time and resources to our product candidates. These third parties may also have relationships with other commercial entities, including our competitors, for whom they may also be conducting clinical trials or other product development activities, which could affect their performance on our behalf. Communicating with outside parties can also be challenging, potentially leading to mistakes as well as difficulties in coordinating activities. Outside parties may:
•have staffing difficulties;
•fail to comply with contractual obligations;
•experience regulatory compliance issues; and
•form relationships with other entities, some of which may be our competitors.
These factors may materially adversely affect the willingness or ability of third parties to conduct our clinical trials and may subject us to unexpected cost increases that are beyond our control. If our CROs do not perform clinical trials in a satisfactory manner, breach their obligations to us or fail to comply with regulatory requirements, the development, marketing approval and commercialization of our current or future product candidates may be delayed, we may not be able to obtain marketing approval and commercialize our current or future product candidates, or our development programs may be materially and irreversibly harmed. If we are unable to rely on clinical data collected by our CROs, we could be required to repeat, extend the duration of, or increase the size of any clinical trials we conduct and this could significantly delay commercialization and require significantly greater expenditures.
If any of our relationships with these third-party CROs terminate, we may not be able to enter into arrangements with alternative CROs on commercially reasonable terms, or at all. If our CROs do not successfully carry out their contractual duties or obligations or meet expected deadlines, if they need to be replaced or if the quality or accuracy of the clinical data they obtain are compromised due to the failure to adhere to our clinical protocols, regulatory requirements or for other reasons, any clinical trials such CROs are associated with may be extended, delayed or terminated, and we may not be able to obtain marketing approval for or successfully commercialize our current or future product candidates. As a result, we believe that our financial results and the commercial
prospects for our current or future product candidates in the subject indication would be harmed, our costs could increase and our ability to generate revenue could be delayed.
The third parties upon whom we rely on for the supply of drug product and starting materials used in our product candidates are limited in number, and the loss of any of these suppliers, or their noncompliance with regulatory requirements or our quality standards, could significantly harm our business.
The drug substance and drug product in our product candidates are supplied to us from a small number of suppliers, and in some cases sole source suppliers. Our ability to successfully develop our current or future product candidates, and to ultimately supply our commercial drugs in quantities sufficient to meet the market demand, depends in part on our ability to obtain the drug product and drug substance for these drugs in accordance with regulatory requirements and in sufficient quantities for commercialization and clinical testing.
The facilities used by our contract manufacturers to manufacture our product candidates will be identified in, and subject to inspections that will be conducted after we submit, any marketing application to the FDA or other comparable foreign regulatory authorities. We may not control the manufacturing process of, and may be completely dependent on, our contract manufacturing partners for compliance with cGMP requirements and any other regulatory requirements of the FDA or other regulatory authorities for the manufacture of our product candidates. Beyond periodic audits, we have no control over the ability of our contract manufacturers to maintain adequate quality control, quality assurance and qualified personnel. If the FDA or a comparable foreign regulatory authority does not approve our marketing applications identifying these facilities for the manufacture of our product candidates or if it withdraws any approval in the future, we may need to find alternative manufacturing facilities, which would require that we incur significant additional costs and materially adversely affect our ability to develop, obtain regulatory approval for or market our product candidates, if approved. Similarly, if any third-party manufacturers on which we will rely fail to manufacture quantities of our product candidates at quality levels necessary to meet regulatory requirements and at a scale sufficient to meet anticipated demand at a cost that allows us to achieve profitability, our business, financial condition and prospects could be materially and adversely affected.
Further, we do not currently have arrangements in place for a redundant or second-source supply of all drug product or drug substance in the event any of our current suppliers of such drug product and drug substance cease their operations for any reason. Any delays in the delivery of our drug substance, drug product or starting materials could have an adverse effect and potentially harm our business.
For all of our current or future product candidates, we intend to identify and qualify additional manufacturers to provide drug product and drug substance prior to submission of an NDA to the FDA and/or an MAA to the EMA. We are not certain, however, that our single-source and dual source suppliers will be able to meet our demand for their products, either because of the nature of our agreements with those suppliers, our limited experience with those suppliers or our relative importance as a customer to those suppliers. It may be difficult for us to assess their ability to timely meet our demand in the future based on past performance. While our suppliers have generally met our demand for their products on a timely basis in the past, they may subordinate our needs in the future to their other customers.
Establishing additional or replacement suppliers for the drug product and drug substance used in our current or future product candidates, if required, may not be accomplished quickly. In some cases, the technical skills required to manufacture our products or product candidates may be unique or proprietary to the original supplier and we may have difficulty, or there may be contractual restrictions prohibiting us from, transferring such skills to a back-up or alternate supplier, or we may be unable to transfer such skills at all. If we are able to find a replacement supplier, such replacement supplier would need to be qualified and may require additional regulatory approval, which could result in further delay. In addition, changes in manufacturers often involve changes in manufacturing procedures and processes, which could require that we conduct bridging studies between our prior clinical supply used in our clinical trials and that of any new manufacturer. We may be unsuccessful in demonstrating the comparability of clinical supplies which could require the conduct of additional clinical trials.
While we seek to maintain adequate inventory of the drug product and drug substance used in our current or future product candidates, any interruption or delay in the supply of components or materials, or our inability to obtain drug product and drug substance from alternate sources at acceptable prices in a timely manner, could impede, delay, limit or prevent our development efforts, which could harm our business, results of operations, financial condition and prospects.
In addition, some of our suppliers are located outside of the United States. We currently have a supplier based in Ukraine which supplies us with services and materials related to the ongoing expansion of our library of MGDs.
Although we have reduced the work done by this supplier, continued Ukrainian geopolitical developments, including military activities related to Russia’s invasion of Ukraine, could adversely affect the ability for such supplier to meet our ongoing demand. We also have a supplier based in China which supplies us with services and materials to support the ongoing expansion of our library of MGDs and materials for use in the preclinical and clinical development of our product candidates, including for MRT-2359, and recent changes in U.S.-China trade policies, and a number of other economic and geopolitical factors both in China and abroad could affect the ability for such supplier to meet our ongoing demand. Disruptions in our suppliers ability to meet our ongoing demand could have an adverse effect on our business and could have a material adverse effect on our business, financial condition, results of operations or prospects.
We have entered into a Collaboration and License Agreement with Roche, and pursuant to the terms of that agreement, are dependent on Roche for certain development and commercialization activities with respect to certain of our product candidates.
In October 2023, we announced that Monte Rosa Therapeutics AG, our wholly-owned subsidiary, or Monte Rosa AG, entered into a Collaboration and License Agreement with F. Hoffmann-La Roche Ltd, or Roche Basel, and Hoffmann-La Roche Inc., or Roche US, and together with Roche Basel, Roche, or the “Roche Agreement.” Pursuant to the Roche Agreement, we and Roche will seek to identify and develop MGDs against cancer or neurological disease targets using our proprietary drug discovery engine for an initial set of targets in oncology and neuroscience selected by Roche, with each target being subject for a limited time to certain substitution rights owned by Roche. Pursuant to the Roche Agreement, we will lead preclinical discovery and research activities until a defined point. Upon such point, Roche gains the right to exclusively pursue further preclinical and clinical development activities. Under the Roche Agreement, Roche will have a worldwide, exclusive license under patents and know-how controlled by us to develop and commercialize products directed to applicable targets. The research collaboration activities governed by the Roche Agreement will be overseen by a joint research committee. Pursuant to the Roche Agreement, Under the terms of the agreement, we received an upfront payment of $50 million, and are eligible to receive future preclinical, clinical, commercial and sales milestone payments that could exceed $2 billion, including up to $172 million for achieving preclinical milestones. We are also eligible to receive tiered royalties ranging from high-single-digit percent to low-teens percent on any products that are commercialized by Roche as a result of the collaboration.
Unless earlier terminated, the Roche Agreement will remain in effect for each product licensed under the Roche Agreement until expiration of the royalty term for the applicable product. The parties have included customary termination provisions in the agreement, allowing termination of the Roche Agreement in its entirety, on a country-by-country or a target-by-target basis. If Roche elects to exercise these termination rights, it will result in a delay in or could prevent us from developing or commercializing certain product candidates. Further, disputes may arise between us and Roche, which may delay or cause the termination of this Roche Agreement, result in significant litigation, cause Roche to act in a manner that is not in our best interest or cause us to seek another collaborator or proceed with development, commercialization and funding on our own. If we seek a new collaborator but are unable to do so on acceptable terms, or at all, or do not have sufficient funds to conduct the development or commercialization of such development candidates we may have to curtail or abandon that development or commercialization, which could harm our business.
We have entered into License Agreements with Novartis, and pursuant to the terms of that agreement, are dependent on Novartis for certain development and commercialization activities with respect to certain of our product candidates.
In October 2024, we announced that Monte Rosa AG entered into a License Agreement with Novartis, or the 2024 Novartis Agreement. Pursuant to the 2024 Novartis Agreement, we granted to Novartis an exclusive, royalty-bearing, sublicensable and transferable license to develop, manufacture, and commercialize VAV1 MGDs, including MRT-6160, which is currently advancing into Phase 2 clinical development for immune-mediated conditions. We were responsible for completing Phase 1 clinical studies and Novartis is responsible for all subsequent development and commercial activities starting at Phase 2. Development and commercial activities governed by the 2024 Novartis Agreement will be overseen by a Development Committee and a Commercialization Committee. Pursuant to the 2024 Novartis Agreement, we received from Novartis an upfront payment of $150 million and are eligible to receive (1) up to $2.1 billion in development, regulatory, and sales milestones, beginning upon initiation of Phase 2 studies including (a) potential development and regulatory milestone payments, exceeding $1.5 billion if multiple indications achieve regulatory approval in multiple territories, (b) potential sales milestone payments in connection with sales outside of the United States, and (2) tiered royalties on sales outside of the United States. We were responsible for costs associated with Phase 1 clinical studies and Novartis is responsible for costs associated with any subsequent clinical studies. We and
Novartis also agreed to a net profit and loss sharing arrangement, pursuant to which we will co-fund any global clinical development from Phase 3 onwards and will share 30% of any profits and losses associated with the manufacturing and commercialization of the licensed products in the United States. We have defined opportunities to opt out of the net profit and loss sharing arrangement, in such case, sales in the United States would be entitled to the potential sales milestone payments and tiered royalties on sales available outside of the United States. Any costs for any co-funded development and commercialization activities are subject to budgets reviewed by the Development Committee and Commercialization Committee, respectively.
In September 2025, our wholly-owned subsidiary Monte Rosa Therapeutics AG entered into a collaboration, option, and license agreement with Novartis, or the 2025 Novartis Agreement. Pursuant to the 2025 Novartis Agreement, we granted to Novartis an exclusive, royalty-bearing, sublicensable and transferable license to degraders for one I&I program, or the First Licensed Program, and the exclusive option to obtain exclusive, royalty-bearing, sublicensable and transferable licenses with respect to two programs from our growing preclinical immunology portfolio, or the Options, and together with the programs, the Optioned I&I Programs. Such Options are individually exercisable at Novartis’ discretion until a program meets criteria for investigational new drug application-filing-readiness. On a program-by-program basis, if Novartis does not exercise an Option, all rights with respect to such program are retained by us; if Novartis does exercise its Option, such program becomes a Licensed Program, and together with the First Licensed Program, the Licensed Programs. Under the 2025 Novartis Agreement, we will apply our proprietary AI/ML-enabled QuEEN™ product engine for the discovery and development of degraders for the First Licensed Program and the Optioned I&I Programs. The Licensed Programs will be further developed and commercialized
Both the 2024 Novartis Agreement and the 2025 Novartis Agreement include customary termination provisions, including Novartis’ ability to terminate the agreements in their entirety. If Novartis elects to exercise these termination rights, it will result in a delay in or could prevent us from developing or commercializing certain product candidates. Further, disputes may arise between us and Novartis, which may delay or cause the termination of these agreements, result in significant litigation, cause Novartis to act in a manner that is not in our best interest or cause us to seek another collaborator or proceed with development, commercialization and funding on our own. If we seek a new collaborator but are unable to do so on acceptable terms, or at all, or do not have sufficient funds to conduct the development or commercialization of such development candidates we may have to curtail or abandon that development or commercialization, which could harm our business.
Our success is dependent on our executive management team’s ability to successfully pursue business development, strategic partnerships and investment opportunities as our company matures. We are engaged in a strategic collaboration and may also form or seek strategic alliances or acquisitions or enter into additional collaboration and licensing arrangements in the future, and we may not realize the benefits of such collaborations, alliances, acquisitions or licensing arrangements.
We are engaged in a strategic collaboration and may in the future form or seek strategic alliances or acquisitions, create joint ventures, or enter into additional collaboration and licensing arrangements with third parties that we believe will complement or augment our development and commercialization efforts with respect to our current product candidates and any future product candidates that we may develop. Any of these relationships may require us to incur non-recurring and other charges, increase our near and long-term expenditures, issue securities that dilute our existing stockholders or disrupt our management and business. For example, on October 16, 2023, we entered into the Agreement with Roche for the discovery and development of MGDs against targets in cancer and neurological diseases. Pursuant to the terms of the Agreement, we granted to Roche an exclusive license to use certain of our platform technology for the exploitation of compounds and products discovered and developed under the arrangement. In October 2024, we announced a global exclusive development and commercialization license agreement with Novartis to advance VAV1 MGDs, including MRT-6160, currently in Phase 1 clinical development for various immune-related conditions. Further, in September 2025, we announced an agreement to collaborate with Novartis to develop novel degraders for immune- mediated diseases.
In addition, we face significant competition in seeking appropriate strategic partners and the negotiation process is time-consuming and complex. Moreover, we may not be successful in our efforts to establish a strategic partnership or acquisition or other alternative arrangements for our current or future product candidates because they may be deemed to be at too early of a stage of development for collaborative effort and third parties may not view our current or future product candidates as having the requisite potential to demonstrate safety, potency, purity and efficacy and obtain marketing approval.
Further, collaborations and licensing deals involving our technologies or current or future product candidates, such as our arrangements with Roche and Novartis, are subject to numerous risks, which may include the following:
•collaborators have significant discretion in determining the efforts and resources that they will apply to a collaboration;
•collaborators may not pursue development and commercialization of our current or future product candidates or may elect not to continue or renew development or commercialization of our current or future product candidates based on clinical trial results, changes in their strategic focus due to the acquisition of competitive products, availability of funding or other external factors, such as a business combination that diverts resources or creates competing priorities;
•collaborators may delay clinical trials, provide insufficient funding for a clinical trial, stop a clinical trial, abandon a product candidate, repeat or conduct new clinical trials or require a new formulation of a product candidate for clinical testing;
•collaborators could independently develop, or develop with third parties, products that compete directly or indirectly with our current or future product candidates;
•a collaborator with marketing and distribution rights to one or more products may not commit sufficient resources to their marketing and distribution;
•collaborators may not properly maintain or defend our intellectual property rights or may use our intellectual property or proprietary information in a way that gives rise to actual or threatened litigation that could jeopardize or invalidate our intellectual property or proprietary information or expose us to potential liability;
•disputes may arise between us and a collaborator that cause the delay or termination of the research, development or commercialization of our current or future product candidates, or that result in costly litigation or arbitration that diverts management attention and resources;
•collaborations may be terminated and, if terminated, may result in a need for additional capital to pursue further development or commercialization of the applicable current or future product candidates;
•collaborators may own or co-own intellectual property covering our products that results from our collaborating with them, and in such cases, we would not have the exclusive right to commercialize such intellectual property; and
•collaborators may not pay milestones and royalties due to the company in a timely manner.
As a result, we may not be able to realize the benefits of our existing collaboration and licensing arrangements or any future strategic partnerships or acquisitions, collaborations or license arrangements we may enter into if we are unable to successfully integrate them with our existing operations and company culture, which could delay our timelines or otherwise adversely affect our business. We also cannot be certain that, following a strategic transaction, license, collaboration or other business development partnership, we will achieve the revenue or specific net income that justifies such transaction. Any delays in entering into new collaborations or strategic partnership agreements related to our current or future product candidates could delay the development and commercialization of our current or future product candidates in certain geographies or for certain indications, which would harm our business prospects, financial condition and results of operations.
Manufacturing our current or future product candidates is complex and we may encounter difficulties in production. If we encounter such difficulties, our ability to provide supply of our current or future product candidates for our preclinical studies and clinical trials or for commercial purposes could be delayed or stopped.
The process of manufacturing of our current or future product candidates is complex and highly regulated. We do not have our own manufacturing facilities or personnel and currently rely, and expect to continue to rely, on third parties for the manufacture of our current or future product candidates. These third-party manufacturing providers may not be able to provide adequate or timely resources or capacity to meet our needs and may incorporate their own proprietary processes into our product candidate manufacturing processes. We have limited control and oversight of a third party’s proprietary process, and a third party may elect to modify its process without our consent or knowledge. These modifications could negatively impact our manufacturing, including product loss or failure that requires additional manufacturing runs or a change in manufacturer, either of which could significantly increase the cost of and significantly delay the manufacture of our current or future product candidates.
As our current or future product candidates progress through preclinical studies and clinical trials towards potential approval and commercialization, it is expected that various aspects of the manufacturing process will be altered in an effort to optimize processes and results. Such changes may require amendments to be made to regulatory applications which may further delay the timeframes under which modified manufacturing processes can be used for any of our current or future product candidates and additional bridging studies or trials may be required and may not be successful. We may be unsuccessful in demonstrating the comparability of clinical supplies which could require the conduct of additional clinical trials. Any such delay could have a material adverse impact on our business, results of operations and prospects.
Our manufacturing process needs to comply with FDA regulations relating to the quality and reliability of such processes. Any failure to comply with relevant regulations could result in delays in or termination of our preclinical and future clinical programs and suspension or withdrawal of any regulatory approvals.
In order to commercially produce our products either at our own facility or at a third party’s facility, we will need to comply with the FDA’s cGMP regulations and guidelines. We may encounter difficulties in achieving quality control and quality assurance and may experience shortages in qualified personnel. We and our third-party manufacturers are subject to inspections by the FDA and comparable foreign regulatory authorities to confirm compliance with applicable regulatory requirements. Any failure to follow cGMP or other regulatory requirements or delay, interruption or other issues that arise in the manufacture, fill-finish, packaging, or storage of our product candidates as a result of a failure of our facilities or the facilities or operations of third parties to comply with regulatory requirements or pass any regulatory authority inspection could significantly impair our ability to develop and commercialize our current or future product candidates, including leading to significant delays in the availability of our product candidates for our future clinical trials or the termination of or suspension of a future clinical trial, or the delay or prevention of a filing or approval of marketing applications for our current or future product candidates. Significant non-compliance could also result in the imposition of sanctions, including warning or untitled letters, fines, injunctions, civil penalties, failure of regulatory authorities to grant marketing approvals for our current or future product candidates, delays, suspension or withdrawal of approvals, license revocation, seizures or recalls of products, operating restrictions and criminal prosecutions, any of which could damage our reputation and our business.
If our third-party manufacturers use hazardous and biological materials in a manner that causes injury or violates applicable law, we may be liable for damages.
Our research and development activities involve the controlled use of potentially hazardous substances, including chemical materials, by our third-party manufacturers. Our manufacturers are subject to federal, state and local laws and regulations in the U.S. governing the use, manufacture, storage, handling and disposal of medical and hazardous materials. Although we believe that our manufacturers’ procedures for using, handling, storing and disposing of these materials comply with legally prescribed standards, we cannot completely eliminate the risk of contamination or injury resulting from medical or hazardous materials. As a result of any such contamination or injury, we may incur liability or local, city, state or federal authorities may curtail the use of these materials and interrupt our business operations. In the event of an accident, we could be held liable for damages or penalized with fines, and the liability could exceed our resources. We do not have any insurance for liabilities arising from medical or hazardous materials. Compliance with applicable environmental laws and regulations is expensive, and current or future environmental regulations may impair our research, development and production efforts, which could harm our business, prospects, financial condition or results of operations.
Risks related to intellectual property
If we are unable to obtain and maintain patent and other intellectual property protection for our technology and product candidates or if the scope of the intellectual property protection obtained is not sufficiently broad, our competitors could develop and commercialize technology and drugs similar or identical to ours, and our ability to successfully commercialize our technology and drugs may be impaired, and we may not be able to compete effectively in our market.
We rely upon a combination of patents, trademarks, trade secret protection and confidentiality agreements to protect the intellectual property related to our products and technologies and to prevent third parties from copying and surpassing our achievements, thus eroding our competitive position in our market. Our commercial success depends in part on our ability to obtain and maintain patent or other intellectual property protection in the U.S. and other countries for our current or future product candidates and our core technologies, including our proprietary QuEENTM discovery engine, our GSPT1 program, including our clinical stage product candidate named MRT-2359, our VAV1 program, including our clinical stage product candidate named MRT-6160, our NEK7 program, including our clinical stage product candidate named MRT-8102, and our CDK2 and CCNE1 programs, which are
our three most advanced preclinical stage pipeline programs, as well as our proprietary compound library and other know-how. We seek to protect our proprietary and intellectual property position by, among other methods, filing patent applications in the U.S. and abroad related to our proprietary technology, inventions and improvements that are important to the development and implementation of our business.
As of December 31, 2025, we owned fifty-three patent families related to our QuEENTM discovery engine, our CCNE1 program, our CDK2 program, our NEK7 program, our VAV1 program, our GSPT1 program, including GSPT1-directed MGDs and biomarkers related to these compounds, and another early stage preclinical program. We currently own four issued U.S. patents. Further, patent prosecution related to our pending patent applications is on-going.
As of December 31, 2025, our patent portfolio related to our QuEENTM discovery engine included twelve patent families, our patent portfolio related to our GSPT1 program included fourteen patent families, our patent portfolio related to our NEK7 program included seven patent families, our patent portfolio related to our CDK2 program included seven patent families and our patent portfolio related to our CCNE1 program included one patent family. Our patent portfolio related to our VAV1 program has been exclusively licensed to Novartis. Patent term adjustments, supplementary protection certificate filings, or patent term extensions could result in later expiration dates in various countries, while terminal disclaimers could result in earlier expiration dates in the U.S.
The patent position of biotechnology and pharmaceutical companies generally is highly uncertain, involves complex legal and factual questions and has in recent years been the subject of much litigation. As such, we cannot guarantee that our pending and future patent applications will result in patents being issued or that issued patents will afford sufficient protection of our product candidates or their intended uses against competitors, nor can there be any assurance that the patents issued will not be infringed, designed around, invalidated by third parties, or effectively prevent others from commercializing competitive technologies, products or product candidates.
The degree of patent protection we require to successfully commercialize our current or future product candidates may be unavailable or severely limited in some cases and may not adequately protect our rights or permit us to gain or keep any competitive advantage. We cannot provide any assurances that any of our pending patent applications that mature into issued patents will include claims with a scope sufficient to protect our QuEENTM discovery engine and our current or future product candidates. In addition, if the breadth or strength of protection provided by our patent applications or any patents we may own or in-license is threatened, it could dissuade companies from collaborating with us to license, develop or commercialize current or future product candidates.
Other parties have developed technologies that may be related or competitive to our own, and such parties may have filed or may file patent applications, or may have acquired or may acquire patents, claiming inventions that may overlap or conflict with those claimed in our own patent applications or issued patents, with respect to either the same compounds, methods, formulations or other subject matter, in either case that we may rely upon to support our patent position in the market. Publications of discoveries in the scientific literature often lag behind the actual discoveries, and patent applications in the U.S. and other jurisdictions are typically not published until at least 18 months after the earliest priority date of the patent filing, or in some cases not at all. Therefore, we cannot know with certainty whether we were the first to make the inventions claimed in patents we may own or in-license patents or pending patent applications, or that we were the first to file for patent protection of such inventions. In addition, the USPTO might require that the term of a patent issuing from a pending patent application be disclaimed and limited to the term of another patent that is commonly owned or names a common inventor. As a result, the issuance, scope, validity, enforceability and commercial value of our patent rights cannot be predicted with any certainty. In addition, the laws of foreign countries may not protect our rights to the same extent as the laws of the United States.
In addition, the patent prosecution process is expensive and time-consuming, and we may not be able to file and prosecute all necessary or desirable patent applications at a reasonable cost or in a timely manner. Further, with respect to certain pending patent applications covering our current or future product candidates or technologies, prosecution has yet to commence and as such, no patent examiner has scrutinized the merits of such pending patent applications. Patent prosecution is a lengthy process, during which the scope of the claims initially submitted for examination by the relevant patent office(s) may be significantly narrowed by the time they issue, if they ever do. It is also possible that we will fail to identify patentable aspects of our research and development output before it is too late to obtain patent protection. Moreover, in some circumstances, we may not have the right to control the preparation, filing and prosecution of patent applications, or to maintain the patents, covering technology that we license from or to third parties. Therefore, these patents and applications may not be prosecuted and enforced in a manner consistent with the best interests of our business.
Even if we acquire patent protection that we expect should enable us to establish and/or maintain a competitive advantage, third parties may challenge the validity, enforceability or scope thereof, which may result in such patents being narrowed, invalidated or held unenforceable. The issuance of a patent is not conclusive as to its inventorship, scope, validity or enforceability, and our patents may be challenged in the courts or patent offices in the U.S. and abroad. We may become involved in opposition, derivation, reexamination, inter partes review, or post-grant review proceedings challenging our patent rights or the patent rights of others from whom we may in the future obtain licenses to such rights, in the U.S. Patent and Trademark Office, or USPTO, the European Patent Office, or EPO, or the relevant patent authorities in other countries. In addition, we may be subject to third-party submissions to the USPTO, the EPO, or elsewhere, that may reduce the scope or preclude the granting of claims from our pending patent applications. Competitors may challenge our issued patents or may file patent applications before we do.
Competitors may also claim that we are infringing their patents and that we therefore cannot practice our technology as claimed under our patents or patent applications. Competitors may also contest our patents by arguing before an administrative patent authority or judge that the invention was not patent-eligible, was not novel, was obvious, and/or lacked inventive steps, and/or that the patent application failed to meet relevant requirements relating to description, basis, enablement, and/or support; in litigation, a competitor could assert that our patents are not valid or are unenforceable for a number of reasons. If a court or administrative patent authority agrees, we would lose our protection of those challenged patents.
An adverse determination in any such submission or proceeding may result in loss of exclusivity or freedom to operate or in patent claims being narrowed, invalidated or held unenforceable, in whole or in part, which could limit our ability to stop others from using or commercializing similar or identical technology and drugs, without payment to us, or could limit the duration of the patent protection covering our technology and current or future product candidates. Such challenges may also result in our inability to manufacture or commercialize our current or future product candidates without infringing third-party patent rights. In addition, if the breadth or strength of protection provided by our patents and patent applications is threatened, it could dissuade companies from collaborating with us to license, develop or commercialize current or future product candidates.
Even if they are unchallenged, our issued patents and our pending patent applications, if issued, may not provide us with any meaningful protection or prevent competitors from designing around our patent claims to circumvent patents we may own or in-license by developing similar or alternative technologies or drugs in a non-infringing manner. For example, a third party may develop a competitive drug or product that provides benefits similar to one or more of our current or future product candidates but that has a different composition or otherwise falls outside the scope of our patent protection. If the patent protection provided by the patents and patent applications we hold or pursue with respect to our current or future product candidates is not sufficiently broad to impede such competition, our ability to successfully commercialize our current or future product candidates could be negatively affected, which would harm our business.
Obtaining and maintaining our patent protection, including patent term, depends on compliance with various procedural, document submission, deadlines, fee payment and other requirements imposed by governmental patent agencies, and our patent protection could be reduced or eliminated if we miss a filing deadline for patent protection on these inventions or otherwise fail to comply with these requirements.
The USPTO and foreign governmental patent agencies require compliance with a number of procedural, documentary, fee payment and other similar provisions during the patent application process and after issuance of any patent. In addition, periodic maintenance fees, renewal fees, annuity fees and/or various other government fees are required to be paid periodically. While an inadvertent lapse can in some cases be cured by payment of a late fee or by other means in accordance with the applicable rules, there are situations in which noncompliance can result in abandonment or lapse of the patent or patent application, resulting in partial or complete loss of patent rights in the relevant jurisdiction. Noncompliance events that could result in abandonment or lapse of a patent include, but are not limited to, failure to respond to official actions within prescribed time limits, non-payment of fees and failure to properly legalize and submit formal documents. In such an event, our competitors might be able to enter the market with similar or identical products or discovery engines, which could have a material adverse effect on our business prospects and financial condition.
Patent terms may be inadequate to protect our competitive position on our product candidates for an adequate amount of time.
Patents have a limited lifespan. In the U.S., and most other jurisdictions in which we have undertaken patent filings, the natural expiration of a patent is generally twenty years after it is filed, assuming all maintenance fees
are paid. Various extensions may be available, on a jurisdiction-by-jurisdiction basis; however, the life of a patent, and thus the protection it affords, is limited. Given the amount of time required for the development, testing and regulatory review of new product candidates, patents protecting such candidates might expire before or shortly after such candidates are commercialized. As a result, patents we may own or in-license may not provide us with adequate and continuing patent protection sufficient to exclude others from commercializing drugs similar or identical to our current or future product candidates, including generic versions of such drugs.
Depending upon the timing, duration and specifics of FDA marketing approval of our current or future product candidates, one or more of the U.S. patents we own or license may be eligible for limited patent term restoration under the Drug Price Competition and Patent Term Restoration Act of 1984, referred to as the Hatch-Waxman Amendments. The Hatch-Waxman Amendments permit a patent restoration term of up to five years as compensation for patent term lost during product development and the FDA regulatory review process. Different laws govern the extension of patents on approved pharmaceutical products in Europe and other jurisdictions. However, we may not be granted a patent extension because of, for example, failing to exercise due diligence during the testing phase or regulatory review process, failing to apply within applicable deadlines, failing to apply prior to expiration of relevant patents or otherwise failing to satisfy applicable requirements. For example, we may not be granted an extension in the U.S. if all of our patents covering an approved product expire more than fourteen years from the date of NDA approval for a product covered by those patents. Moreover, the applicable time period or the scope of patent protection afforded could be less than we request. If we are unable to obtain patent term extension or restoration or the term of any such extension is less than we request, our competitors may obtain approval of competing products following our patent expiration, and our ability to generate revenues could be materially adversely affected.
If our trademarks and trade names for our products or company name are not adequately protected in one or more countries where we intend to market our products, we may delay the launch of product brand names, use different trademarks or tradenames in different countries, or face other potentially adverse consequences to building our product brand recognition.
We use and will continue to use registered and/or unregistered trademarks or trade names to brand and market ourselves and our products. Our trademarks or trade names may be challenged, infringed, diluted, circumvented or declared generic or determined to be infringing on other marks. We intend to rely on both registration and common law protection for our trademarks. We may not be able to protect our rights to these trademarks and trade names or may be forced to stop using these names, which we need for name recognition by potential partners or customers in our markets of interest. During the trademark registration process, we may receive Office Actions from the USPTO or from comparable agencies in foreign jurisdictions objecting to the registration of our trademark. In addition, in the USPTO and in comparable agencies in many foreign jurisdictions, third parties are given an opportunity to oppose pending trademark applications and/or to seek the cancellation of registered trademarks. Opposition or cancellation proceedings may be filed against our trademark applications or registrations, and our trademark applications or registrations may not survive such proceedings. In addition, there could be potential trade name or trademark infringement claims brought by owners of other trademarks or trademarks that incorporate variations of our registered or unregistered trademarks or trade names. Over the long run, if we are unable to obtain a registered trademark or establish name recognition based on our trademarks and trade names, we may not be able to compete effectively and our business may be adversely affected.
Additionally, we may license our trademarks and trade names to third parties, such as distributors. Though these license agreements may provide guidelines for how our trademarks and trade names may be used, a breach of these agreements or misuse of our trademarks and tradenames by our licensees may jeopardize our rights in or diminish the goodwill associated with our trademarks and trade names.
If we are unable to adequately protect and enforce our trade secrets, our business and competitive position would be harmed.
In addition to the protection afforded by patents we may own or in-license, we seek to rely on trade secret protection, confidentiality agreements, and license agreements to protect proprietary know-how that may not be patentable, processes for which patents are difficult to enforce and any other elements of our product discovery and development processes that involve proprietary know-how, information, or technology that may not be covered by patents. Although we require all of our employees, consultants, advisors and any third parties who have access to our proprietary know-how, information, or technology to enter into non-disclosure and confidentiality agreements, trade secrets can be difficult to protect and we have limited control over the protection of trade secrets used by our collaborators and suppliers. We cannot be certain that we have or will obtain these
agreements in all circumstances and we cannot guarantee that we have entered into such agreements with each party that may have or have had access to our trade secrets or proprietary information.
Moreover, any of these parties might breach the agreements and intentionally or inadvertently disclose our trade secret information and we may not be able to obtain adequate remedies for such breaches. In addition, competitors may otherwise gain access (such as through unauthorized access to our information technology systems) to our trade secrets or independently develop substantially equivalent information and techniques. Enforcing a claim that a party illegally disclosed or misappropriated a trade secret is difficult, expensive and time-consuming, and the outcome is unpredictable. If we choose to go to court to stop a third party from using any of our trade secrets, we may incur substantial costs. These lawsuits may consume our time and other resources even if we are successful. Furthermore, the laws of some foreign countries do not protect proprietary rights and trade secrets to the same extent or in the same manner as the laws of the U.S. We may need to share our proprietary information, including trade secrets, with future business partners, collaborators, contractors and others located in countries at heightened risk of theft of trade secrets, including through direct intrusion by private parties or foreign actors, and those affiliated with or controlled by state actors. As a result, we may encounter significant problems in protecting and defending our intellectual property both in the U.S. and abroad. If we are unable to prevent unauthorized material disclosure of our intellectual property to third parties, we will not be able to establish or maintain a competitive advantage in our market, which could materially adversely affect our business, financial condition, results of operations and future prospects.
We may initiate, become a defendant in, or otherwise become party to lawsuits to protect or enforce our intellectual property rights, which could be expensive, time-consuming and unsuccessful.
Competitors may infringe or otherwise violate any patents or other intellectual property we may own or in-license. In addition, any patents we may own or in-license also may become involved in inventorship, priority, validity or unenforceability disputes. To counter infringement or unauthorized use, we may be required to file infringement claims, which can be expensive and time-consuming. Any such claims could provoke these parties to assert counterclaims against us, including claims alleging that we infringe their patents or other intellectual property rights. In patent litigation in the U.S. and in some other jurisdictions, defendant counterclaims alleging invalidity and/or unenforceability are commonplace. Grounds for a validity challenge could be an alleged failure to meet any of several statutory requirements, for example, lack of novelty, obviousness or non-enablement. Grounds for an unenforceability assertion could be an allegation that someone connected with prosecution of the patent withheld material information from the USPTO or the applicable foreign counterpart, or made a misleading statement, during prosecution. A litigant or the USPTO itself could challenge our patents on this basis even if we believe that we have conducted our patent prosecution in accordance with the duty of candor and in good faith. The outcome following such a challenge is unpredictable. Moreover, with respect to challenges to the validity of our patents, there might be invalidating prior art, of which we and the patent examiner were unaware during prosecution.
We may not prevail in any lawsuits that we initiate, and the damages or other remedies awarded, if any, may not be commercially meaningful. In addition, in an infringement proceeding, a court may decide that one or more of any patents we may own or in-license is not valid or is unenforceable or that the other party’s use of our technology that may be patented falls under the safe harbor to patent infringement under 35 U.S.C. §271(e)(1). There is also the risk that, even if the validity of these patents is upheld, the court may refuse to stop the other party from using the technology at issue on the grounds that any patents we may own or in-license do not cover the technology in question or that such third party’s activities do not infringe our patent applications or any patents we may own or in-license. An adverse result in any litigation or defense proceedings could put one or more of any patents we may own or in-license at risk of being invalidated, held unenforceable, or interpreted narrowly and could put our patent applications at risk of not issuing. Even if resolved in our favor, litigation or other legal proceedings relating to our intellectual property rights may cause us to incur significant expenses, and could distract our technical and management personnel from their normal responsibilities. Such litigation or proceedings could substantially increase our operating losses and reduce the resources available for development activities or any future sales, marketing, patient support or distribution activities. We may not have sufficient financial or other resources to conduct such litigation or proceedings adequately. Some of our competitors may be able to sustain the costs of such litigation or proceedings more effectively than we can because of their greater financial resources and more mature and developed intellectual property portfolios. Uncertainties resulting from the initiation and continuation of patent litigation or other proceedings could have a material adverse effect on our ability to compete in the marketplace.
We may be required to protect our patents through procedures created to attack the validity of a patent at the USPTO. Post-grant proceedings, including post-grant review, inter partes review and derivation proceedings, provoked by third parties or brought by the USPTO may be necessary to determine the validity or priority of
inventions with respect to our patent applications or any patents we may own or in-license. These proceedings are expensive and an unfavorable outcome could result in a loss of our current patent rights and could require us to cease using the related technology or to attempt to license rights to it from the prevailing party. Our business could be harmed if the prevailing party does not offer us a license on commercially reasonable terms. In addition to potential USPTO post-grant proceedings, we may become a party to patent opposition proceedings in the EPO, or similar proceedings in other foreign patent offices or courts where our patents may be challenged. The costs of these proceedings could be substantial, and may result in a loss of scope of some claims or a loss of the entire patent. An unfavorable result in a post-grant challenge proceeding may result in the loss of our right to exclude others from practicing one or more of our inventions in the relevant country or jurisdiction, which could have a material adverse effect on our business. Litigation or post-grant proceedings within patent offices may result in a decision adverse to our interests and, even if we are successful, may result in substantial costs and distract our management and other employees.
Furthermore, because of the substantial amount of discovery required in connection with intellectual property litigation, there is a risk that some of our confidential information could be compromised by disclosure during this type of litigation. In addition, there could be public announcements of the results of hearings, motions or other interim proceedings or developments. If securities analysts or investors perceive these results to be negative, it could have a substantial adverse effect on the price of our common stock.
We may not be able to detect infringement against any patents we may own or in-license. Even if we detect infringement by a third party of any patents we may own or in-license, we may choose not to pursue litigation against or settlement with the third party. If we later sue such third party for patent infringement, the third party may have certain legal defenses available to it, which otherwise would not be available except for the delay between when the infringement was first detected and when the suit was brought. Such legal defenses may make it impossible for us to enforce any patents we may own or in-license against such third party.
Intellectual property litigation and administrative patent office patent validity challenges in one or more countries could cause us to spend substantial resources and distract our personnel from their normal responsibilities. Even if resolved in our favor, litigation or other legal proceedings relating to intellectual property claims may cause us to incur significant expenses, and could distract our technical and management personnel from their normal responsibilities. Uncertainties resulting from the initiation and continuation of patent litigation or other proceedings could compromise our ability to compete in the marketplace, including compromising our ability to raise the funds necessary to continue our preclinical studies and future clinical trials, continue our discovery programs, license necessary technology from third parties, or enter into development collaborations or licensing arrangements that would help us commercialize our current or future product candidates, such as our arrangements with Roche and Novartis.
In addition, if our product candidates are found to infringe the intellectual property rights of third parties, these third parties may assert infringement claims against our licensees and other parties with whom we have business relationships, and we may be required to indemnify those parties for any damages they suffer as a result of these claims. The claims may require us to initiate or defend protracted and costly litigation on behalf of licensees and other parties regardless of the merits of these claims. If any of these claims succeed, we may be forced to pay damages on behalf of those parties or may be required to obtain licenses for the products they use.
Any of the foregoing events would harm our business, financial condition, results of operations and prospects.
We may be subject to claims challenging the inventorship of our patents and other intellectual property.
We may be subject to claims that former employees, collaborators or other third parties have an interest in our patents or other intellectual property as an inventor or co-inventor. The failure to name the proper inventors on a patent application can result in the patents issuing thereon being unenforceable. Inventorship disputes may arise from conflicting views regarding the contributions of different individuals named as inventors, the effects of foreign laws where foreign nationals are involved in the development of the subject matter of the patent, conflicting obligations of third parties involved in developing our product candidates or as a result of questions regarding co-ownership of potential joint inventions. Litigation may be necessary to resolve these and other claims challenging inventorship and/or ownership. Alternatively, or additionally, we may enter into agreements to clarify the scope of our rights in such intellectual property. If we fail in defending any such claims, in addition to paying monetary damages, we may lose valuable intellectual property rights, such as exclusive ownership of, or right to use, valuable intellectual property. Such an outcome could have a material adverse effect on our business. Even if we are successful in defending against such claims, litigation could result in substantial costs and be a distraction to management and other employees.
Our current and future licensors may have relied on third-party consultants or collaborators or on funds from third parties, such as the U.S. government, such that our licensors are not the sole and exclusive owners of the patents we in-licensed. If other third parties have ownership rights or other rights to our in-licensed patents, they may be able to license such patents to our competitors, and our competitors could market competing products and technology. This could have a material adverse effect on our competitive position, business, financial conditions, results of operations, and prospects.
In the case of employees, we enter into agreements providing that all inventions conceived by the individual, and which are related to our current or planned business or research and development or made during normal working hours, on our premises or using our equipment or proprietary information, are our exclusive property. Although we require all of our employees to assign their inventions to us, we may be unsuccessful in executing such an agreement with each party who, in fact, conceives or develops intellectual property that we regard as our own. The assignment of intellectual property rights may not be self-executing, or the assignment agreements may be breached, and we may be forced to bring claims against third parties, or defend claims that they may bring against us, to determine the ownership of what we regard as our intellectual property. Such claims could have a material adverse effect on our business, financial condition, results of operations, and prospects.
Third parties may initiate legal proceedings alleging that we are infringing, misappropriating or otherwise violating their intellectual property rights, the outcome of which would be uncertain. Defending against such law suits will be costly and time consuming, and an unfavorable outcome in that litigation would have a material adverse effect on our business.
The intellectual property landscape relevant to our products and programs is crowded, and third parties may initiate legal proceedings alleging that we are infringing, misappropriating or otherwise violating their intellectual property rights, the outcome of which would be uncertain and could have a material adverse effect on the success of our business. Our commercial success depends upon our ability to develop, manufacture, market and sell our current and future product candidates and use our proprietary technologies without infringing, misappropriating or otherwise violating the valid and enforceable intellectual property rights of third parties. There is a substantial amount of litigation involving patents and other intellectual property rights in the biotechnology and pharmaceutical industries, as well as administrative proceedings for challenging patents, including derivation, interference, reexamination, inter partes review and post grant review proceedings before the USPTO or oppositions and other comparable proceedings in foreign jurisdictions. We or any of our current or future licensors or strategic partners may be party to, exposed to, or threatened with, future adversarial proceedings or litigation by third parties having patent or other intellectual property rights alleging that our current or future product candidates and/or proprietary technologies infringe, misappropriate or otherwise violate their intellectual property rights. We cannot assure you that our current or future product candidates, the QuEENTM discovery engine, and other technologies that we have developed, are developing or may develop in the future do not or will not infringe, misappropriate or otherwise violate existing or future patents or other intellectual property rights owned by third parties.
While certain activities related to development and preclinical and clinical testing of our current or future product candidates may be subject to safe harbor of patent infringement under 35 U.S.C. §271(e)(1), upon receiving FDA approval for such candidates we or any of our future licensors or strategic partners may immediately become party to, exposed to, or threatened with, future adversarial proceedings or litigation by third parties having patent or other intellectual property rights alleging that such product candidates infringe, misappropriate or otherwise violate their intellectual property rights. Numerous U.S. and foreign issued patents and pending patent applications, which are owned by third parties, exist in the fields in which we are developing our current or future product candidates. As the biotechnology and pharmaceutical industries expand and more patents are issued, the risk increases that our current or future product candidates may give rise to claims of infringement of the patent rights of others. Moreover, it is not always clear to industry participants, including us, which patents cover various types of drugs, products or their methods of use or manufacture. Thus, because of the large number of patents issued and patent applications filed in our fields, there may be a risk that third parties may allege they have patent rights encompassing our current or future product candidates, technologies or methods.
If a third party claims that we infringe, misappropriate or otherwise violate its intellectual property rights, we may face a number of issues, including, but not limited to:
•infringement, misappropriation and other intellectual property claims which, regardless of merit, may be expensive and time-consuming to litigate and may divert our management’s attention from our core business and may impact our reputation;
•substantial damages for infringement, misappropriation or other violations, which we may have to pay if a court decides that the product candidate or technology at issue infringes, misappropriates or violates the third party’s rights, and, if the court finds that the infringement was willful, we could be ordered to pay treble damages and the patent owner’s attorneys’ fees;
•a court prohibiting us from developing, manufacturing, marketing or selling our current or future product candidates, or from using our proprietary technologies, including our QuEENTM discovery engine, unless the third-party licenses its product rights to us, which it is not required to do on commercially reasonable terms or at all;
•if a license is available from a third party, we may have to pay substantial royalties, upfront fees and other amounts, and/or grant cross-licenses to intellectual property rights for our products, or the license to us may be non-exclusive, which would permit third parties to use the same intellectual property to compete with us;
•redesigning our current or future product candidates or processes so they do not infringe, misappropriate or violate third-party intellectual property rights, which may not be possible or may require substantial monetary expenditures and time; and
•there could be public announcements of the results of hearings, motions or other interim proceedings or developments, and, if securities analysts or investors perceive these results to be negative, it could have a substantial adverse effect on the price of our common stock.
Some of our competitors may be able to sustain the costs of complex patent litigation more effectively than we can because they have substantially greater resources. In addition, any uncertainties resulting from the initiation and continuation of any litigation could have a material adverse effect on our ability to raise the funds necessary to continue our operations or could otherwise have a material adverse effect on our business, results of operations, financial condition and prospects. The occurrence of any of the foregoing could have a material adverse effect on our business, financial condition, results of operations or prospects.
Third parties may assert that we are employing their proprietary technology without authorization. Patents issued in the U.S. by law enjoy a presumption of validity that can be rebutted in U.S. courts only with evidence that is “clear and convincing,” a heightened standard of proof. There may be issued third-party patents of which we are currently unaware with claims to compositions, formulations, methods of manufacture or methods for treatment related to the use or manufacture of our current or future product candidates. Patent applications can take many years to issue. In addition, because some patent applications in the U.S. may be maintained in secrecy until the patents are issued, patent applications in the U.S. and many foreign jurisdictions are typically not published until 18 months after their earliest priority filing date, and publications in the scientific literature often lag behind actual discoveries, we cannot be certain that others have not filed patent applications covering our current or future product candidates or technology. If any such patent applications issue as patents, and if such patents have priority over our patent applications or patents we may own or in-license, we may be required to obtain rights to such patents owned by third parties which may not be available on commercially reasonable terms or at all, or may only be available on a non-exclusive basis. There may be currently pending third-party patent applications which may later result in issued patents that our current or future product candidates may infringe. It is also possible that patents owned by third parties of which we are aware, but which we do not believe are relevant to our current or future product candidates or other technologies, could be found to be infringed by our current or future product candidates or other technologies. In addition, third parties may obtain patents in the future and claim that use of our technologies infringes upon these patents. Moreover, we may fail to identify relevant patents or incorrectly conclude that a patent is invalid, not enforceable, exhausted, or not infringed by our activities. If any third-party patents were held by a court of competent jurisdiction to cover the manufacturing process of our current or future product candidates, molecules used in or formed during the manufacturing process, or any final product itself, the holders of any such patents may be able to block our ability to commercialize the product candidate unless we obtained a license under the applicable patents, or until such patents expire or they are finally determined to be held invalid or unenforceable. Similarly, if any third-party patent were held by a court of competent jurisdiction to cover aspects of our formulations, processes for manufacture or methods of use, including combination therapy or patient selection methods, the holders of any such patent may be able to block our ability to develop and commercialize the product candidate unless we obtained a license or until such patent expires or is finally determined to be held invalid or unenforceable. In either case, such a license may not be available on commercially reasonable terms or at all. If we are unable to obtain a necessary license to a third-party patent on commercially reasonable terms, or at all, our ability to commercialize our current or future product candidates or the QuEENTM discovery engine may be impaired or delayed, which could in turn significantly harm
our business. Even if we obtain a license, it may be nonexclusive, thereby giving our competitors access to the same technologies licensed to us.
In addition, parties making claims against us may seek and obtain injunctive or other equitable relief, which could effectively block our ability to further develop and commercialize our current or future product candidates. Defense of these claims, regardless of their merit, could involve substantial litigation expense and would be a substantial diversion of employee resources from our business. In the event of a successful claim of infringement, misappropriation or other violation against us, we may have to pay substantial damages, including treble damages and attorneys’ fees for willful infringement, obtain one or more licenses from third parties, pay royalties or redesign our infringing products, which may be impossible or require substantial time and monetary expenditure. We cannot predict whether any such license would be available at all or whether it would be available on commercially reasonable terms. Furthermore, even in the absence of litigation, we may need or may choose to obtain licenses from third parties to advance our research or allow commercialization of our current or future product candidates, which licenses may not be available on commercially reasonable terms, or at all. In that event, we would be unable to further develop and commercialize our current or future product candidates or technologies, which could harm our business significantly.
We may be subject to claims that our employees, consultants or independent contractors have wrongfully used or disclosed confidential information or alleged trade secrets of third parties or competitors or are in breach of non-competition or non-solicitation agreements with our competitors or their former employers.
As is common in the biotechnology and pharmaceutical industries, we employ individuals and engage the services of consultants who previously worked for other biotechnology or pharmaceutical companies, including our competitors or potential competitors. Although no claims against us are currently pending and we try to ensure that our employees, consultants and advisors do not use the proprietary information or know-how of others in their work for us, we may be subject to claims that we or these individuals have used or disclosed intellectual property, including trade secrets or other proprietary information, of any such individual’s former employer. We may also be subject to claims that patents and applications we have filed to protect inventions of our employees, consultants and advisors, even those related to one or more of our current or future product candidates, the QuEENTM discovery engine, or other technologies, are rightfully owned by their former or concurrent employer. Litigation may be necessary to defend against these claims. If we fail in defending any such claims, in addition to paying monetary damages, we may lose valuable intellectual property rights or personnel. Even if we are successful in defending against such claims, litigation or other legal proceedings relating to intellectual property claims may cause us to incur significant expenses, and could distract our technical and management personnel from their normal responsibilities.
We will not obtain patent or other intellectual property protection for any current or future product candidates in all jurisdictions throughout the world, and we may not be able to adequately enforce our intellectual property rights even in the jurisdictions where we seek protection.
We may not be able to pursue patent coverage of our current or future product candidates, the QuEENTM discovery engine, or other technologies in all countries. Filing, prosecuting and defending patents on current or future product candidates, the QuEENTM discovery engine, and other technologies in all countries throughout the world would be prohibitively expensive, and intellectual property rights in some countries outside the U.S. can be less extensive than those in the U.S. In addition, the laws of some foreign countries do not protect intellectual property rights to the same extent as federal and state laws in the U.S. Consequently, we may not be able to prevent third parties from infringing on our inventions in all countries outside the U.S., or from selling or importing products made using our inventions in and into the U.S. or other jurisdictions. Competitors may use our technologies in jurisdictions where we have not obtained patent protection to develop their own products and further, may export otherwise infringing products to territories where we have patent protection, but where enforcement is not as strong as that in the U.S. These products may compete with our current or future product candidates and in jurisdictions where we do not have any issued patents our patent applications or other intellectual property rights may not be effective or sufficient to prevent them from competing. Much of our patent portfolio is at the very early stage. We will need to decide whether and in which jurisdictions to pursue protection for the various inventions in our portfolio prior to applicable deadlines.
Many companies have encountered significant problems in protecting and defending intellectual property rights in foreign jurisdictions. The legal systems of certain countries, particularly certain developing countries, do not favor the enforcement of patents, trade secrets and other intellectual property protection, particularly those relating to pharmaceutical products, which could make it difficult for us to stop the infringement of any patents we may own
or in-license or marketing of competing products in violation of our proprietary rights generally. Proceedings to enforce any rights we may have in our patent applications or any patents we may own or in-license in foreign jurisdictions could result in substantial costs and divert our efforts and attention from other aspects of our business, could put any patents we may own or in-license at risk of being invalidated or interpreted narrowly and our patent applications at risk of not issuing, and could provoke third parties to assert claims against us. We may not prevail in any lawsuits that we initiate and the damages or other remedies awarded, if any, may not be commercially meaningful. Accordingly, our efforts to enforce our intellectual property rights around the world may be inadequate to obtain a significant commercial advantage from the intellectual property that we develop or license.
Many countries have compulsory licensing laws under which a patent owner may be compelled to grant licenses to third parties. In addition, many countries limit the enforceability of patents against government agencies or government contractors. In these countries, the patent owner may have limited remedies, which could materially diminish the value of such patent. If we are forced to grant a license to third parties with respect to any patents we may own or license that are relevant to our business, our competitive position may be impaired, and our business, financial condition, results of operations, and prospects may be adversely affected.
We may not obtain or grant licenses or sublicenses to intellectual property rights in all markets on equally or sufficiently favorable terms with third parties.
It may be necessary for us to use the patented or proprietary technology of third parties to commercialize our products, in which case we would be required to obtain a license from these third parties. The licensing of third-party intellectual property rights is a competitive area, and more established companies may pursue strategies to license or acquire third-party intellectual property rights that we may consider attractive or necessary. More established companies may have a competitive advantage over us due to their size, capital resources and greater clinical development and commercialization capabilities. In addition, companies that perceive us to be a competitor may be unwilling to assign or license rights to us. We also may be unable to license or acquire third-party intellectual property rights on terms that would allow us to make an appropriate return on our investment or at all. If we are unable to license such technology, or if we are forced to license such technology on unfavorable terms, our business could be materially harmed. If we are unable to obtain a necessary license, we may be unable to develop or commercialize the affected current or future product candidates, which could materially harm our business, and the third parties owning such intellectual property rights could seek either an injunction prohibiting our sales, or, with respect to our sales, an obligation on our part to pay royalties or other forms of compensation. Even if we are able to obtain a license, it may be non-exclusive, thereby giving our competitors access to the same technologies licensed to us. Any of the foregoing could harm our competitive position, business, financial condition, results of operations and prospects.
The Collaboration and License Agreement with Roche and the License Agreements with Novartis under which we currently license intellectual property or technology are complex, and certain provisions in such agreement, or other future collaboration and license agreements, may be susceptible to multiple interpretations. The resolution of any contract interpretation disagreement that may arise could narrow what we believe to be the scope of our rights to the relevant intellectual property or technology, increase what we believe to be our financial or other obligations under the relevant agreement, or decrease what we believe to be the financial or other obligations of our licensee under the relevant agreement, any of which could materially harm our business, financial condition, results of operations and prospects. Moreover, if disputes over intellectual property that we have licensed prevent or impair our ability to maintain our current licensing arrangements or obtain additional licensing arrangements on commercially acceptable terms, we may be unable to successfully develop and commercialize the affected products or product candidates, which could have a material adverse effect on our business, financial conditions, results of operations, and prospects.
Further, our licensors may retain certain rights under their agreements with us, including the right to use the underlying technology for noncommercial academic and research use, to publish general scientific findings from research related to the technology, and to make customary scientific and scholarly disclosures of information relating to the technology. It is difficult to monitor whether our licensors limit their use of the technology to these uses, and we could incur substantial expenses to enforce our rights to our licensed technology in the event of misuse. In addition, the United States federal government retains certain rights in inventions produced with its financial assistance under the Patent and Trademark Law Amendments Act, or the Bayh-Dole Act. The federal government retains a “nonexclusive, nontransferable, irrevocable, paid-up license” for its own benefit. The Bayh-Dole Act also provides federal agencies with “march-in rights.” March-in rights allow the government, in specified circumstances, to require the contractor or successors in title to the patent to grant a “nonexclusive, partially exclusive, or exclusive license” to a “responsible applicant or applicants.” If the patent owner refuses to do so, the
government may grant the license itself. If, in the future, we co-own or license in technology which is critical to our business that is developed in whole or in part with federal funds subject to the Bayh-Dole Act, our ability to enforce or otherwise exploit patents covering such technology may be adversely affected.
If we fail to comply with our obligations in our current or any future agreements under which we may license intellectual property rights from third parties or otherwise experience disruptions to our business relationships with our licensors, we could lose license rights that are important to our business.
We are dependent on patents, know-how and proprietary technology, both our own and in-licensed from collaborators. We may in the future enter into more license agreements with third parties under which we receive rights to intellectual property that are important to our business. Our commercial success depends upon our ability to develop, manufacture, market and sell our current or future product candidates and use our and our licensors’ proprietary technologies without infringing the proprietary rights of third parties. Our success will also depend in part on the ability of our licensors to obtain, maintain and enforce patent protection for our licensed intellectual property, in particular, those patents to which we have secured exclusive rights. Our licensors may not successfully prosecute the patent applications to which we are licensed. Even if patents are issued in respect of these patent applications, our licensors may fail to maintain these patents, may determine not to pursue litigation against other companies that are infringing these patents, or may pursue such litigation less aggressively than we would. Without protection for the intellectual property we license, other companies might be able to offer substantially identical products for sale, which could adversely affect our competitive business position and harm our business prospects. Further, we may have limited control over these activities or any other intellectual property that may be in-licensed. For example, we cannot be certain that such activities by licensors have been or will be conducted in compliance with applicable laws and regulations or will result in valid and enforceable patents and other intellectual property rights. We may have limited control over the manner in which our licensors initiate an infringement proceeding against a third-party infringer of the intellectual property rights, or defend certain of the intellectual property that is licensed to us. It is possible that the licensors’ infringement proceeding or defense activities may be less vigorous than had we conducted them ourselves. In the event our licensors fail to adequately pursue and maintain patent protection for patents and applications they control, and to timely cede control of such prosecution to us, our competitors might be able to enter the market, which would have a material adverse effect on our business.
In addition, our current and future intellectual property license agreements may require us various development, regulatory and/or commercial diligence obligations, payment of milestones and/or royalties and other obligations. If we fail to comply with our obligations under these agreements, we use the licensed intellectual property in an unauthorized manner or we are subject to bankruptcy-related proceedings, the terms of the licenses may be materially modified, such as by rendering currently exclusive licenses non-exclusive, or it may give our licensors the right to terminate their respective agreement with us. Any termination of these licenses, or if the underlying patents fail to provide the intended exclusivity, could result in the loss of significant rights and could harm our ability to commercialize our current or future product candidates, the QuEENTM discovery engine, or other technologies, competitors or other third parties would have the freedom to seek regulatory approval of, and to market, products identical to ours, and we may be required to cease our development and commercialization of certain of our current or future product candidates. Any of the foregoing could have a material adverse effect on our competitive position, business, financial conditions, results of operations, and prospects.
Disputes may also arise between us and our current or future licensors regarding intellectual property subject to a license agreement, including:
•the scope of rights granted under the license agreement and other interpretation-related issues;
•whether and the extent to which our technology and processes infringe, misappropriate or otherwise violate intellectual property rights of the licensor that is not subject to the licensing agreement;
•our right to sublicense patent and other rights to third parties under collaborative development relationships;
•our diligence obligations with respect to the use of the licensed technology in relation to our development and commercialization of our current or future product candidates, and what activities satisfy those diligence obligations;
•our right to transfer or assign the license;
•the priority of invention of any patented technology; and
•the ownership of inventions and know-how resulting from the joint creation or use of intellectual property by our current or future licensors and us and our partners.
In addition, the agreements under which we may license intellectual property or technology from third parties are likely to be complex, and certain provisions in such agreements may be susceptible to multiple interpretations. The resolution of any contract interpretation disagreement that may arise could narrow what we believe to be the scope of our rights to the relevant intellectual property or technology, or increase what we believe to be our financial or other obligations under the relevant agreement, either of which could have a material adverse effect on our business, financial condition, results of operations and prospects. Moreover, if disputes over intellectual property that we may license prevent or impair our ability to maintain current or future licensing arrangements on acceptable terms, we may be unable to successfully develop and commercialize the affected current or future product candidates or technologies, which could have a material adverse effect on our business, financial conditions, results of operations and prospects.
Changes in patent law in the U.S. and in foreign jurisdictions could diminish the value of patents in general, thereby impairing our ability to protect our products.
Changes in either the patent laws or interpretation of the patent laws in the United States could increase the uncertainties and costs surrounding the prosecution of patent applications and the enforcement or defense of issued patents. Assuming that other requirements for patentability are met, prior to March 16, 2013, in the United States, the first to invent the claimed invention was entitled to the patent, while outside the United States, the first to file a patent application was entitled to the patent. On March 16, 2013, under the Leahy-Smith America Invents Act, or the America Invents Act, enacted in September 2011, the United States transitioned to a first inventor to file system in which, assuming that other requirements for patentability are met, the first inventor to file a patent application will be entitled to the patent on an invention regardless of whether a third party was the first to invent the claimed invention. A third party that files a patent application in the USPTO on or after March 16, 2013, but before us could therefore be awarded a patent covering an invention of ours even if we had made the invention before it was made by such third party. This will require us to be cognizant of the time from invention to filing of a patent application. Since patent applications in the United States and most other countries are confidential for a period of time after filing or until issuance, we cannot be certain that we or our licensors were the first to either (i) file any patent application related to our product candidates or (ii) invent any of the inventions claimed in our or our licensor’s patents or patent applications.
The America Invents Act also includes a number of significant changes that affect the way patent applications are prosecuted and also may affect patent litigation. These include allowing third party submission of prior art to the USPTO during patent prosecution and additional procedures to attack the validity of a patent by USPTO administered post-grant proceedings, including post-grant review, inter partes review, and derivation proceedings. Because of a lower evidentiary standard in USPTO proceedings compared to the evidentiary standard in United States federal courts necessary to invalidate a patent claim, a third party could potentially provide evidence in a USPTO proceeding sufficient for the USPTO to hold a claim invalid even though the same evidence would be insufficient to invalidate the claim if first presented in a district court action. Accordingly, a third party may attempt to use the USPTO procedures to invalidate our patent claims that would not have been invalidated if first challenged by the third party as a defendant in a district court action. Therefore, the America Invents Act and its implementation could increase the uncertainties and costs surrounding the enforcement or defense of our owned or in-licensed issued patents, all of which could have a material adverse effect on our business, financial condition, results of operations, and prospects.
In addition, the patent positions of companies in the development and commercialization of biopharmaceuticals are particularly uncertain. Recent U.S. Supreme Court rulings have narrowed the scope of patent protection available in certain circumstances and weakened the rights of patent owners in certain situations. This combination of events has created uncertainty with respect to the validity and enforceability of patents, once obtained. Depending on future actions by the U.S. Congress, the federal courts, and the USPTO, the laws and regulations governing patents could change in unpredictable ways that could have a material adverse effect on our existing patent portfolio and our ability to protect and enforce our intellectual property in the future.
We may not identify relevant third-party patents or may incorrectly interpret the relevance, scope or expiration of a third-party patent, which might subject us to infringement claims or adversely affect our ability to develop and market our current or future product candidates.
We cannot guarantee that any of our or our licensors’ patent searches or analyses, including the identification of relevant patents, the scope of patent claims or the expiration of relevant patents, are complete or thorough, nor can we be certain that we have identified each and every third-party patent and pending patent application in the
U.S. and abroad that is relevant to or necessary for the commercialization of our current or future product candidates in any jurisdiction. For example, U.S. patent applications filed before November 29, 2000, and certain U.S. patent applications filed after that date that will not be filed outside the U.S. remain confidential until patents issue. As mentioned above, patent applications in the U.S. and elsewhere are published approximately 18 months after the earliest filing for which priority is claimed, with such earliest filing date being commonly referred to as the priority date. Therefore, patent applications covering our current or future product candidates could have been filed by third parties without our knowledge. Additionally, pending patent applications that have been published can, subject to certain limitations, be later amended in a manner that could cover our current or future product candidates or the use of our current or future product candidates. The scope of a patent claim is determined by an interpretation of the law, the written disclosure in a patent and the patent’s prosecution history. Our interpretation of the relevance or the scope of a patent or a pending application may be incorrect, which may negatively impact our ability to market our current or future product candidates. We may incorrectly determine that our current or future product candidates are not covered by a third-party patent or may incorrectly predict whether a third party’s pending application will issue with claims of relevant scope. Our determination of the expiration date of any patent in the U.S. or abroad that we consider relevant may be incorrect, which may negatively impact our ability to develop and market our current or future product candidates. Our failure to identify and correctly interpret relevant patents may negatively impact our ability to develop and market our current or future product candidates.
If we fail to identify and correctly interpret relevant patents, we may be subject to infringement claims. We cannot guarantee that we will be able to successfully settle or otherwise resolve such infringement claims. If we fail in any such dispute, in addition to being forced to pay damages, which may be significant, we may be temporarily or permanently prohibited from commercializing any of our current or future product candidates or technologies that are held to be infringing. We might, if possible, also be forced to redesign current or future product candidates so that we no longer infringe the third-party intellectual property rights. Any of these events, even if we were ultimately to prevail, could require us to divert substantial financial and management resources that we would otherwise be able to devote to our business and could adversely affect our business, financial condition, results of operations and prospects.
Intellectual property rights do not guarantee commercial success of current or future product candidates or other business activities. Numerous factors may limit any potential competitive advantage provided by our intellectual property rights.
The degree of future protection afforded by our intellectual property rights, whether owned or in-licensed, is uncertain because intellectual property rights have limitations, and may not adequately protect our business, provide a barrier to entry against our competitors or potential competitors, or permit us to maintain our competitive advantage. Moreover, if a third party has intellectual property rights that cover the practice of our technology, we may not be able to fully exercise or extract value from our intellectual property rights. The following examples are illustrative:
•patent applications that we own or may in-license may not lead to issued patents;
•patents, should they issue, that we may own or in-license, may not provide us with any competitive advantages, may be narrowed in scope, or may be challenged and held invalid or unenforceable;
•others may be able to develop and/or practice technology, including compounds that are similar to the chemical compositions of our current or future product candidates, that is similar to our technology or aspects of our technology but that is not covered by the claims of any patents we may own or in-license, should any patents issue;
•third parties may compete with us in jurisdictions where we do not pursue and obtain patent protection;
•we, or our future licensors or collaborators, might not have been the first to make the inventions covered by a patent application that we own or may in-license;
•we, or our future licensors or collaborators, might not have been the first to file patent applications covering a particular invention;
•others may independently develop similar or alternative technologies without infringing, misappropriating or otherwise violating our intellectual property rights;
•our competitors might conduct research and development activities in the U.S. and other countries that provide a safe harbor from patent infringement claims for certain research and development activities, as
well as in countries where we do not have patent rights, and may then use the information learned from such activities to develop competitive products for sale in our major commercial markets;
•we may not be able to obtain and/or maintain necessary licenses on reasonable terms or at all;
•third parties may assert an ownership interest in our intellectual property and, if successful, such disputes may preclude us from exercising exclusive rights, or any rights at all, over that intellectual property;
•we may choose not to file a patent in order to maintain certain trade secrets or know-how, and a third party may subsequently file a patent covering such trade secrets or know-how;
•we may not be able to maintain the confidentiality of our trade secrets or other proprietary information;
•we may not develop or in-license additional proprietary technologies that are patentable; and
•the patents of others may have an adverse effect on our business.
Should any of these events occur, they could significantly harm our business, financial condition, results of operations and prospects.
European patents and patent applications could be challenged in the recently created Unified Patent Court (UPC) for the European Union.
Our owned European patents and patent applications could be challenged in the recently created Unified Patent Court (UPC) for the European Union. We may decide to opt out our European patents and patent applications from the UPC. However, if certain formalities and requirements are not met, our European patents and patent applications could be challenged for non-compliance and brought under the jurisdiction of the UPC. We cannot be certain that our or our licensors’ European patents and patent applications will avoid falling under the jurisdiction of the UPC, if we decide to opt out of the UPC. Under the UPC, a granted European patent would be valid and enforceable in numerous European countries. A successful invalidity challenge to a European patent under the UPC would result in loss of patent protection in those European countries. Accordingly, a single proceeding under the UPC could result in the partial or complete loss of patent protection in numerous European countries, rather than in each validated European country separately as such patents always have been adjudicated. Such a loss of patent protection could have a material adverse impact on our business and our ability to commercialize our technology and products and, resultantly, on our business, financial condition, prospects and results of operations.
The use of new and evolving technologies, such as artificial intelligence (AI), in our business may result in spending material resources and presents risks and challenges that can impact our business including by posing security and other risks to our confidential information, proprietary information and personal information, and as a result we may be exposed to reputational harm and liability.
We continue to build and integrate AI into our business, in particular as a component of our QuEENTM drug discovery engine, and this innovation presents risks and challenges that could affect its adoption, and therefore our business. The use of certain AI technology can give rise to intellectual property risks, including compromises to proprietary intellectual property and intellectual property infringement. A growing number of legislators and regulators are adopting laws and regulations and have focused enforcement efforts on the adoption of AI, and use of such technologies in compliance with ethical standards and societal expectations. These developments may increase our compliance burden and costs in connection with use of AI and lead to legal liability if we fail to meet evolving legal standards or if use of such technologies results in harms or other causes of action we did not predict. For example, the EU’s Artificial Intelligence Act, or the “AI Act,” originally entered into force in August 2024 and is expected to undergo amendments as introduced in the EU’s November 2025 Digital Omnibus on AI which will come into effect in August 2026. As enacted, the AI Act imposes significant obligations on providers and deployers of high-risk AI systems, and encourages providers and deployers of artificial intelligence systems to account for EU ethical principles in their development and use of these systems. The scope of requirements depends on judicial interpretations and forthcoming legislative amendments, and non-compliance can lead to significant fines.
Likewise, in the U.S., the AI regulatory environment is complex and uncertain. Over the past year, states have advanced, and in some cases passed, dozens of laws focusing on AI governance and regulation, including on deployment of AI in healthcare settings. At the federal level, the Trump administration has endorsed a federal moratorium on the enforcement of state AI laws, including through a December 11, 2025, executive order on “Ensuring a National Policy Framework for Artificial Intelligence.” So far, these efforts have not been successful at curtailing state action on AI regulation, contributing to a complicated legislative patchwork, which may be litigated
in state and federal courts. In addition, various federal regulators have issued guidance and focused enforcement efforts on the use of AI in regulated sectors. The FDA, for example, issued a draft guidance on the use of AI in regulatory decision-making for drug and biological products that centers on the context of use while establishing a credibility assessment framework for establishing and evaluating AI model outputs intended to support regulatory decision-making. If we develop or use AI systems governed by these laws or regulations, we will need to meet higher standards of data quality, transparency, and human oversight, and we would need to adhere to specific and potentially burdensome and costly ethical, accountability, and administrative requirements, with the potential for significant enforcement or litigation in the event of any perceived non-compliance.
The rapid evolution of AI will require the application of significant resources to design, develop, test and maintain our products and services to help ensure that AI is implemented in accordance with applicable law and regulation and in a socially responsible manner and to minimize any real or perceived unintended harmful impacts. Our vendors may in turn incorporate AI tools into their own offerings, and the providers of these AI tools may not meet existing or rapidly evolving regulatory or industry standards, including with respect to privacy and data security. Further, bad actors around the world use increasingly sophisticated methods, including the use of AI, to engage in illegal activities involving the theft and misuse of personal information, confidential information and intellectual property. Any of these effects could damage our reputation, result in the loss of valuable property and information, cause us to breach applicable laws and regulations, and adversely impact our business.
Risks related to employee matters and managing growth
Our future success depends on our ability to retain key executives and to attract, retain and motivate qualified personnel.
We are highly dependent on the research and development, clinical and business development expertise of Markus Warmuth, M.D., our Chief Executive Officer, John Castle, Ph.D., our Chief Data and Information Officer, Sharon Townson, our Chief Scientific Officer, Filip Janku, our Chief Medical Officer, Philip Nickson, our Chief Business and Legal Officer, Jennifer Champoux, our Chief Operating Officer, Magnus Walter, our Chief Technology Officer, and Andrew Funderburk, our Chief Investor Relations and Strategy Officer, as well as the other principal members of our management and scientific teams. Although we have entered into employment letter agreements with our executive officers, each of them may terminate their employment with us at any time. We do not maintain “key person” insurance for any of our executives or other employees. In addition, we rely on consultants and advisors, including scientific and clinical advisors, to assist us in formulating our research and development and commercialization strategy. Our consultants and advisors may be employed by employers other than us and may have commitments under consulting or advisory contracts with other entities that may limit their availability to us. If we are unable to continue to attract and retain high quality personnel, our ability to pursue our growth strategy will be limited.
Recruiting and retaining qualified scientific, clinical, manufacturing and sales and marketing personnel will also be critical to our success. The loss of the services of our executive officers or other key employees could impede the achievement of our research, development and commercialization objectives and seriously harm our ability to successfully implement our business strategy. Furthermore, replacing executive officers and key employees may be difficult and may take an extended period of time because of the limited number of individuals in our industry with the breadth of skills and experience required to successfully develop, gain regulatory approval of and commercialize drugs. Competition to hire from this limited pool is intense, and we may be unable to hire, train, retain or motivate these key personnel on acceptable terms given the competition among numerous pharmaceutical and biotechnology companies for similar personnel. We also experience competition for the hiring of scientific and clinical personnel from universities and research institutions. Failure to succeed in clinical trials may make it more challenging to recruit and retain qualified scientific personnel. In addition, in order to induce employees to continue their employment with us, we have provided equity awards that vest over time and the value to our employees of such equity awards may be significantly affected by movements in our stock price that are beyond our control and may be at any time insufficient to counteract more lucrative offers from other companies. If we are unable to continue to attract and retain high quality personnel, the rate and success at which we can develop and commercialize product candidates will be limited.
We will need to develop and expand our company, and we may encounter difficulties in managing this development and expansion, which could disrupt our operations.
As of December 31, 2025, we had 150 full-time employees. We expect to increase our number of employees and the scope of our operations, including the areas of data sciences, platform biology and chemistry, drug discovery, clinical development, finance, business development, and legal. To manage our anticipated development and
expansion, we must continue to implement and improve our managerial, operational and financial systems, expand our facilities and continue to recruit and train additional qualified personnel. Our management may need to divert a disproportionate amount of its attention away from its day-to-day activities and devote a substantial amount of time to managing these development activities. Due to our limited resources, we may not be able to effectively manage the expansion of our operations or recruit and train additional qualified personnel. This may result in weaknesses in our infrastructure, give rise to operational mistakes, loss of business opportunities, loss of employees and reduced productivity among remaining employees. The expansion of our operations may lead to significant costs and may divert financial resources from other projects, such as the development of our current or future product candidates. If our management is unable to effectively manage our expected development and expansion, our expenses may increase more than expected, our ability to generate or increase our revenue could be reduced and we may not be able to implement our business strategy. Our future financial performance and our ability to commercialize our current or future product candidates, if approved, and compete effectively will depend, in part, on our ability to effectively manage the future development and expansion of our company.
We have offices in multiple countries and we may further expand in the future, which presents challenges in managing our business operations.
We are headquartered in Boston, Massachusetts and have offices in Basel, Switzerland. Conducting our business in multiple countries subjects us to a variety of risks and complexities that may materially and adversely affect our business, results of operations, financial condition and growth prospects, including, among other things:
•the increased complexity and costs inherent in managing international operations;
•diverse regulatory, financial and legal requirements, and any future changes to such requirements, in one or more countries where we are located or do business;
•country-specific tax, labor and employment laws and regulations;
•challenges inherent in efficiently managing employees in diverse geographies, including the need to adapt systems, policies, benefits and compliance programs to differing labor and other regulations;
•liabilities for activities of, or related to, our international operations or product candidates;
•changes in currency rates; and
•regulations relating to data security and the unauthorized use of, or access to, commercial and personal information.
We continue to expand our operations, and our corporate structure and tax structure is complex. In connection with our current and future potential partnerships, we are actively engaged in developing and applying technologies and intellectual property with a view toward commercialization of products globally, often with commercialization partners. In connection with those activities, we already have and will likely continue to engage in complex cross-border and global transactions involving our technology, intellectual property and other assets, between us and other entities such as partners and licensees, and between us and our subsidiaries. Such cross-border and global arrangements are both difficult to manage and can potentially give rise to complexities in areas such as tax treatment, particularly since we are subject to multiple tax regimes and different tax authorities can also take different views from each other, even as regards the same cross-border transaction or arrangement. There can be no assurance that we will effectively manage this increased complexity without experiencing operating inefficiencies, control deficiencies or tax liabilities. Significant management time and effort is required to effectively manage the increased complexity of our company, and our failure to successfully do so could have a material adverse effect on our business, financial condition, results of operations and growth prospects.
We may be unable to adequately protect our information systems from cyberattacks and security incidents, which could result in the disclosure of confidential or proprietary information, including personal data, damage our reputation, and subject us to significant financial and legal exposure.
We rely on information technology systems that we or our third-party providers operate to process, transmit and store electronic information in our day-to-day operations. In connection with our product discovery efforts, we may collect and use a variety of personal data, such as name, mailing address, email addresses, phone number and clinical trial information. We, like other organizations in our industry, have experienced and continue to experience attempted and actual cyber incidents. A successful security incident or cyberattack could result in the theft or destruction of intellectual property, data or other misappropriation of assets, or otherwise compromise our confidential or proprietary information and disrupt our operations. Cyberattacks generally are increasing in their frequency, sophistication and intensity, and have become increasingly difficult to detect. Cyberattacks could
include wrongful conduct by hostile foreign governments, or employees, industrial espionage, wire fraud and other forms of cyber fraud, the deployment of harmful malware, denial-of-service, ransomware, social engineering (including phishing attacks) fraud or other means to threaten or compromise the security, confidentiality, integrity and availability of systems and information. A successful cyberattack or security incident could cause serious negative consequences for us, including, without limitation, the disruption of operations, the misappropriation of protected information or confidential business information, including financial information, trade secrets, financial loss and the disclosure of corporate strategic plans.
Although we devote resources to protect our information systems, we realize that cyberattacks are a threat, and there can be no assurance that our efforts will prevent cybersecurity incidents or breaches that would result in business, legal, financial or reputational harm to us, or would have a material adverse effect on our results of operations and financial condition. In addition, although we carry cyber insurance, in the event of a cybersecurity incident or breach, such coverage may not be sufficient to cover all losses. Any failure to prevent or mitigate or adequately address any cybersecurity incidents, data breaches, or other improper access to, use of, or disclosure of our clinical data or patients’ personal data could require us to notify impacted stakeholders (including affected individuals, regulators and investors) and result in significant liability through litigation and regulatory investigations and enforcement actions, including under Swiss national data protection laws, U.S. state (e.g., state breach notification laws), and/or federal (e.g., HIPAA, as amended by HITECH) laws, and laws of other foreign jurisdictions (e.g., the EU General Data Protection Regulation, or GDPR) and may cause a material adverse impact to our reputation, affect our ability to use collected data, conduct new studies and potentially disrupt our business.
For example, the loss of data from preclinical studies or clinical trials for our current or future product candidates could result in delays in our regulatory approval efforts and significantly increase our costs to recover or reproduce the data. To the extent that any disruption or cybersecurity incident results in a loss of or damage to our data or applications, other data or applications relating to our technology or current or future product candidates, or inappropriate disclosure of confidential or proprietary information, we could incur liabilities and the further development of our current or future product candidates could be delayed.
We rely on our third-party providers to implement effective security measures and identify and correct for any such failures, deficiencies, cybersecurity incidents, or data breaches. We also rely on our employees and consultants to safeguard their security credentials and follow our policies and procedures regarding use and access of computers and other devices that may contain our sensitive information. If we or our third-party providers fail to maintain or protect our information technology systems and data integrity effectively or fail to anticipate, plan for or manage significant disruptions to our information technology systems, we or our third-party providers could have difficulty preventing, detecting and controlling such cyber-attacks and any such attacks could result in losses described above, as well as disputes with physicians, patients and our partners, litigation, regulatory sanctions or penalties, increases in operating expenses, expenses or lost revenues or other adverse consequences, any of which could have a material adverse effect on our business, results of operations, financial condition, prospects and cash flows. Any failure by such third parties to prevent or mitigate or adequately address any cybersecurity incidents, data breaches, or other improper access to or disclosure of such information could have similarly adverse consequences for us. If we are unable to prevent or mitigate the impact of such cybersecurity incidents or data breaches, we could be exposed to litigation and governmental investigations, which could lead to a potential disruption to our business, or fines and penalties. Our contracts may not contain limitations of liability, and even where they do, there can be no assurance that limitations of liability in our contracts are sufficient to protect us from liabilities, damages, or claims related to our privacy and data security obligations.
We, our collaborators and our service providers may be subject to a variety of privacy and data security laws, regulations and contractual obligations, and our failure to comply with them could harm our business.
We maintain a large quantity of sensitive information, including confidential business and patient health information in connection with our preclinical studies, and are subject to laws and regulations governing the privacy and security of such information. In the United States, there are numerous federal and state privacy and data security laws and regulations governing the collection, use, disclosure and protection of personal information, including federal and state health information privacy laws, federal and state security breach notification laws, and federal and state consumer protection laws. Each of these laws is subject to varying interpretations and new laws continue to be proposed. At the state level, numerous states have or are in the process of enacting or considering comprehensive state-level data privacy and security laws, rules and regulations while other states have focused on more narrow aspects of privacy. In the state of Washington, for
example, the My Health My Data Act requires regulated entities to obtain consent to collect health information, grant consumers certain rights, including to request deletion of their information, and provide for robust enforcement mechanisms, including enforcement by the Washington state attorney-general and a private right of action for consumer claims.
Outside of the United States, many jurisdictions have enacted stringent privacy and data protection laws. The collection, use, disclosure, transfer or other processing of personal data originating from the European Economic Area, or EEA, and United Kingdom, or UK, is governed by the General Data Protection Regulation, or EU GDPR, and the UK General Data Protection Regulation, or UK GDPR, which, together with the EU GDPR, is referred to as the GDPR. The GDPR imposes stringent requirements for controllers and processors of personal data of persons in the EU and UK, including, for example, ensuring an appropriate legal basis or condition applies to the processing of personal data, more robust disclosures to individuals and a strengthened individual data rights regime, shortened timelines for data breach notifications, limitations on retention of information, increased requirements pertaining to special categories of data, such as health data, and additional obligations when we contract with third-party processors in connection with the processing of the personal data. The GDPR also imposes strict rules on the transfer of personal data out of the EU and UK to the United States and other third countries. In addition, the GDPR provides that EU member states may make their own further laws and regulations limiting the processing of personal data, including genetic, biometric or health data. Failure to comply with the requirements of the GDPR may result in fines of up to €20,000,000 (or £17.5 million in the UK) or up to 4% of the total worldwide annual turnover of the preceding financial year, whichever is higher, and other administrative penalties. GDPR regulations may impose additional responsibility and liability in relation to the personal data that we process and we may be required to put in place additional mechanisms to ensure compliance with the new data protection rules. For additional information on these regimes, see “Government Regulation—Privacy and data protection laws and regulations”. Compliance with these and any other applicable privacy and data security laws and regulations is a rigorous and time-intensive process, and we may be required to put in place additional mechanisms to ensure compliance, and despite those efforts, if we fail, or are perceived to fail, to comply with any such laws or regulations, we may face significant fines and penalties that could adversely affect our reputation, business, financial condition and results of operations.
Our employees, principal investigators, CROs and consultants may engage in misconduct or other improper activities, including non-compliance with regulatory standards and requirements and insider trading laws.
We are exposed to the risk that our employees, principal investigators, CROs and consultants may engage in fraudulent conduct or other illegal activity. Misconduct by these parties could include intentional, reckless and/or negligent conduct or disclosure of unauthorized activities to us that violate the regulations of the FDA and other regulatory authorities, including those laws requiring the reporting of true, complete and accurate information to such authorities; healthcare fraud and abuse laws and regulations in the U.S. and abroad; or laws that require the reporting of financial information or data accurately. In particular, sales, marketing, patient support and business arrangements in the healthcare industry are subject to extensive laws and regulations intended to prevent fraud, misconduct, kickbacks, self-dealing and other abusive practices. These laws and regulations may restrict or prohibit a wide range of pricing, discounting, marketing and promotion, sales commission, customer incentive programs and other business arrangements. Other activities subject to these laws include the improper use of information obtained in the course of clinical trials or creating fraudulent data in our preclinical studies or clinical trials, which could result in regulatory sanctions and cause serious harm to our reputation. We have adopted a code of conduct applicable to all of our employees, but it is not always possible to identify and deter misconduct by employees and other third parties, and the precautions we take to detect and prevent this activity may not be effective in controlling unknown or unmanaged risks or losses or in protecting us from governmental investigations or other actions or lawsuits stemming from a failure to comply with these laws or regulations. Additionally, we are subject to the risk that a person could allege such fraud or other misconduct, even if none occurred. If any such actions are instituted against us, and we are not successful in defending ourselves or asserting our rights, those actions could have a significant impact on our business, including the imposition of civil, criminal and administrative penalties, damages, monetary fines, possible exclusion from participation in Medicare, Medicaid and other federal healthcare programs, contractual damages, reputational harm, diminished profits and future earnings, and curtailment of our operations, any of which could adversely affect our ability to operate our business and our results of operations.
Efforts to ensure that our business arrangements with third parties will comply with applicable healthcare laws and regulations will involve substantial costs. Because of the breadth of these laws and the narrowness of the statutory exceptions and safe harbors available, it is possible that some of our business activities could be subject
to challenge under one or more of such laws. It is possible that governmental authorities will conclude that our business practices may not comply with current or future statutes, regulations or case law involving applicable fraud and abuse or other healthcare laws and regulations. If our operations are found to be in violation of any of these laws or any other governmental regulations that may apply to us, we may be subject to significant criminal, civil and administrative sanctions including monetary penalties, damages, fines, disgorgement, individual imprisonment, reputational harm, exclusion from participation in government funded healthcare programs, such as Medicare and Medicaid, additional reporting requirements and oversight if we become subject to a corporate integrity agreement or similar agreement to resolve allegations of non-compliance with these laws and the curtailment or restructuring of our operations, any of which could adversely affect our ability to operate our business and our results of operations.
The risk of our being found in violation of these laws is increased by the fact that many of them have not been fully interpreted by the regulatory authorities or the courts, and their provisions are open to a variety of interpretations. Any action against us for violation of these laws, even if we successfully defend against it, could cause us to incur significant legal expenses and divert our management’s attention from the operation of our business. The shifting compliance environment and the need to build and maintain robust and expandable systems to comply with multiple jurisdictions with different compliance and/or reporting requirements increases the possibility that a healthcare company may run afoul of one or more of the requirements.
Risks related to our common stock
The price of our common stock may be volatile and fluctuate substantially, which could result in substantial losses for purchasers of our common stock.
Our stock price is likely to be volatile. The stock market in general and the market for biopharmaceutical companies in particular have experienced extreme volatility that has often been unrelated to the operating performance of particular companies. As a result of this volatility, purchasers of our common stock could incur substantial losses. The market price for our common stock may be influenced by many factors, including:
•the success of competitive drugs or technologies;
•results of preclinical studies and clinical trials of our current or future product candidates or those of our competitors;
•unanticipated safety concerns related to the use of any of our product candidates;
•regulatory or legal developments in the U.S. and other countries;
•developments or disputes concerning patent applications, issued patents or other proprietary rights;
•the recruitment or departure of key personnel;
•the level of expenses related to any of our current or future product candidates or clinical development programs;
•the results of our efforts to discover, develop, acquire or in-license additional current or future product candidates or drugs;
•actual or anticipated changes in estimates as to financial results, development timelines or recommendations by securities analysts;
•variations in our financial results or those of companies that are perceived to be similar to us;
•product liability claims or other litigation;
•changes in the structure of healthcare payment systems;
•market conditions in the pharmaceutical and biotechnology sectors;
•general economic, industry and market conditions, including inflation and potential tariffs; and
•the other factors described in this “Risk factors” section.
The stock market in general, and the Nasdaq Global Select Market and biopharmaceutical companies in particular, have experienced extreme price and volume fluctuations that have often been unrelated or disproportionate to the operating performance of these companies, which has resulted in decreased stock prices for many companies notwithstanding the lack of a fundamental change in their underlying business models or
prospects. Broad market and industry factors, including potentially worsening economic conditions and other adverse effects or developments relating to geopolitical events or public health crises, may negatively affect the market price of our common stock, regardless of our actual operating performance. The realization of any of the above risks or any of a broad range of other risks, including those described in this section, could have a significant and material adverse impact on the market price of our common stock.
Raising additional capital may cause dilution to our stockholders, restrict our operations or require us to relinquish rights to our technologies or current or future product candidates.
Until such time, if ever, as we can generate substantial product revenues, we expect to finance our cash needs through a combination of private and public equity offerings, debt financings, collaborations, such as our collaboration with Roche, strategic alliances and marketing, distribution or licensing arrangements, such as our licenses to Novartis. We do not currently have any committed external source of funds. To the extent that we raise additional capital through the sale of common stock or securities convertible or exchangeable into common stock, our stockholders’ ownership interests will be diluted, and the terms of these securities may include liquidation or other preferences that materially adversely affect their rights as a common stockholder. Debt financing, if available, would increase our fixed payment obligations and may involve agreements that include covenants limiting or restricting our ability to take specific actions, such as incurring additional debt, making capital expenditures or declaring dividends.
If we raise funds through additional collaborations, strategic alliances or marketing, distribution or licensing arrangements with third parties, we may have to relinquish valuable rights to our intellectual property, future revenue streams, discovery programs or current or future product candidates or to grant licenses on terms that may not be favorable to us. If we are unable to raise additional funds through equity or debt financings when needed, we may be required to delay, scale back or discontinue the development and commercialization of one or more of our product candidates, delay our pursuit of potential in-licenses or acquisitions or grant rights to develop and market current or future product candidates that we would otherwise prefer to develop and market ourselves.
If securities analysts do not publish research or reports about our business or if they publish negative evaluations of our stock, the price of our stock could decline.
The trading market for our common stock will rely in part on the research and reports that industry or financial analysts publish about us or our business. We do not currently have and may never obtain research coverage by industry or financial analysts. If no or few analysts commence coverage of us, the trading price of our stock would likely decrease. In the event we do have research analyst coverage, we will not have any control over the analysts or the content and opinions included in their reports. Additionally, if one or more of the analysts covering our business downgrade their evaluations of our stock, the price of our stock could decline. If one or more of these analysts cease to cover our stock, we could lose visibility in the market for our stock, which in turn could cause our stock price to decline.
We incur increased costs as a result of operating as a public company, and our management is required to devote substantial time to new compliance initiatives.
As a public company, we incur significant legal, accounting and other expenses. We are subject to the reporting requirements of the Exchange Act, which require, among other things, that we file with the SEC annual, quarterly and current reports with respect to our business and financial condition. In addition, the Sarbanes-Oxley Act of 2002, as amended, or Sarbanes-Oxley Act, as well as rules subsequently adopted by the SEC and The Nasdaq Stock Market LLC to implement provisions of the Sarbanes-Oxley Act, impose significant requirements on public companies, including requiring establishment and maintenance of effective disclosure and financial controls and changes in corporate governance practices. Further, in July 2010, the Dodd-Frank Wall Street Reform and Consumer Protection Act, or the Dodd-Frank Act, was enacted. There are significant corporate governance and executive compensation related provisions in the Dodd-Frank Act that require the SEC to adopt additional rules and regulations in these areas, such as “say on pay” and proxy access. Emerging growth companies may implement many of these requirements over a longer period and up to five years from the completion of an initial public offering. We intend to take advantage of these extended transition periods, but cannot guarantee that we will not be required to implement these requirements sooner than budgeted or planned and thereby incur unexpected expenses. Stockholder activism, the current political environment and the current high level of government intervention and regulatory reform may lead to substantial new regulations and disclosure obligations, which may lead to additional compliance costs and impact the manner in which we operate our business in ways we cannot currently anticipate.
The rules and regulations applicable to public companies substantially increase our legal and financial compliance costs and make some activities more time-consuming and costly. If these requirements divert the attention of our management and personnel from other business concerns, they could have a material adverse effect on our business, financial condition and results of operations. The increased costs will decrease our net income or increase our net loss and may require us to reduce costs in other areas of our business or increase the prices of our products or services. We cannot predict or estimate the amount or timing of additional costs we may incur to respond to these requirements. The impact of these requirements could also make it more difficult for us to attract and retain qualified persons to serve on our board of directors, our board committees or as executive officers.
Anti-takeover provisions under our charter documents and Delaware law could delay or prevent a change of control, which could limit the market price of our common stock and may prevent or frustrate attempts by our stockholders to replace or remove our current management.
Our fourth amended and restated certificate of incorporation, as amended, and our second amended and restated bylaws contain provisions that could delay or prevent a change of control of our company or changes in our board of directors that our stockholders might consider favorable. Some of these provisions include:
•a board of directors divided into three classes serving staggered three-year terms, such that not all members of the board will be elected at one time;
•a prohibition on stockholder action through written consent, which requires that all stockholder actions be taken at a meeting of our stockholders;
•a requirement that special meetings of stockholders be called only by the board of directors acting pursuant to a resolution approved by the affirmative vote of a majority of the directors then in office;
•advance notice requirements for stockholder proposals and nominations for election to our board of directors;
•a requirement that no member of our board of directors may be removed from office by our stockholders except for cause and, in addition to any other vote required by law, upon the approval of not less than two-thirds of all outstanding shares of our voting stock then entitled to vote in the election of directors;
•a requirement of approval of not less than two-thirds of all outstanding shares of our voting stock to amend any bylaws by stockholder action or to amend specific provisions of our certificate of incorporation; and
•the authority of the board of directors to issue preferred stock on terms determined by the board of directors without stockholder approval and which preferred stock may include rights superior to the rights of the holders of common stock.
In addition, because we are incorporated in Delaware, we are governed by the provisions of Section 203 of the Delaware General Corporate Law, or DGCL, which may prohibit certain business combinations with stockholders owning 15% or more of our outstanding voting stock. These antitakeover provisions and other provisions in our fourth amended and restated certificate of incorporation and amended and restated bylaws could make it more difficult for stockholders or potential acquirers to obtain control of our board of directors or initiate actions that are opposed by the then-current board of directors and could also delay or impede a merger, tender offer or proxy contest involving our company. These provisions could also discourage proxy contests and make it more difficult for you and other stockholders to elect directors of your choosing or cause us to take other corporate actions you desire. Any delay or prevention of a change of control transaction or changes in our board of directors could cause the market price of our common stock to decline.
Our amended and restated bylaws designate certain courts as the sole and exclusive forum for certain types of actions and proceedings that may be initiated by our stockholders, which could limit our stockholders’ ability to obtain a favorable judicial forum for disputes with us or our directors, officers, or employees.
Pursuant to our amended and restated bylaws, unless we consent in writing to the selection of an alternative forum, the Court of Chancery of the State of Delaware is the sole and exclusive forum for state law claims for: (i) any derivative action or proceeding brought on our behalf; (ii) any action asserting a claim of breach of a fiduciary duty owed by any of our directors, officers or other employees to us or our stockholders; (iii) any action asserting a claim arising pursuant to any provision of the DGCL, our amended and restated certificate of incorporation or our amended and restated bylaws (including the interpretation, application or validity thereof); or (iv) any action asserting a claim governed by the internal affairs doctrine, or the Delaware Forum Provision. The Delaware Forum Provision will not apply to any causes of action arising under the Securities Act or the Exchange Act. Our
amended and restated bylaws further provide that unless we consent in writing to the selection of an alternative forum, the federal district courts of the United States of America are the sole and exclusive forum for resolving any complaint asserting a cause of action arising under the Securities Act, or the rules and regulations promulgated thereunder, or the Federal Forum Provision. In addition, our amended and restated bylaws provide that any person or entity purchasing or otherwise acquiring any interest in shares of our common stock is deemed to have notice of and consented to the foregoing Delaware Forum Provision and Federal Forum Provision; provided, however, that stockholders cannot and will not be deemed to have waived our compliance with the U.S. federal securities laws and the rules and regulations thereunder.
The Delaware Forum Provision and the Federal Forum Provision may impose additional litigation costs on stockholders in pursuing any such claims. Additionally, these forum selection clauses may limit our stockholders’ ability to bring a claim in a judicial forum that they find favorable for disputes with us or our directors, officers or employees, which may discourage the filing of lawsuits against us and our directors, officers and employees, even though an action, if successful, might benefit our stockholders. In addition, Section 22 of the Securities Act creates concurrent jurisdiction for federal and state courts over all suits brought to enforce any duty or liability created by the Securities Act or the rules and regulations thereunder. While the Delaware Supreme Court and other states have upheld the validity of federal forum selection provisions purporting to require claims under the Securities Act be brought in federal, there is uncertainty as to whether other courts will enforce our Federal Forum Provision. If the Federal Forum Provision is found to be unenforceable, we may incur additional costs associated with resolving such matters. The Federal Forum Provision may also impose additional litigation costs on us and/or our stockholders who assert that the provision is invalid or unenforceable. The Court of Chancery of the State of Delaware or the federal district courts of United States of America may also reach different judgments or results than would other courts, including courts where a stockholder considering an action may be located or would otherwise choose to bring the action, and such judgments may be more or less favorable to us than our stockholders.
Sales of a substantial number of shares of our common stock in the public market could cause our stock price to fall.
If our existing stockholders sell, or indicate an intention to sell, substantial amounts of our common stock in the public market, the market price of our common stock could decline. Based upon the number of shares of common stock, on an as-converted basis, outstanding as of March 2, 2026, we have outstanding a total of 80,015,667 shares of common stock.
We previously entered into an Open Market Sale Agreement with Jefferies to provide for the offering, issuance and sale of up to an aggregate amount of $100.0 million of our common stock from time to time in “at-the-market” offerings under our registration statement on Form S-3ASR (File No. 333-293389), or the 2026 Automatic Shelf Registration Statement, and subject to the limitations thereof. We will pay to the Jefferies cash commissions of up to 3.0% of the aggregate gross proceeds of sales of common stock under the Open Market Sale Agreement. Sales of common stock, debt securities or other equity securities by us may represent a significant percentage of our common stock currently outstanding. If we sell, or the market perceives that we intend to sell, substantial amounts of our common stock under the 2026 Automatic Shelf Registration Statement or otherwise, the market price of our common stock could decline significantly. To date no shares have been sold pursuant to the Open Market Sale Agreement under our 2026 Automatic Shelf Registration Statement.
From time to time, we may sell shares of common stock or pre-funded warrants to purchase shares of common stock in underwritten public offerings, registered direct offerings or other types of offerings. Sales of common stock, debt securities or other equity securities by us may represent a significant percentage of our common stock currently outstanding.
We have reserved shares for issuance pursuant to our 2021 ESPP and 2021 Plan, each subject to evergreen renewal on January 1 of each year through January 1, 2031. Shares of unvested restricted stock that were issued and outstanding will become available for sale immediately upon the vesting of such shares, as applicable. Shares issued upon the exercise of stock options pursuant to awards that may be granted under our equity incentive plans or pursuant to future awards granted under those plans will become available for sale in the public market to the extent permitted by the provisions of applicable vesting schedules.
We are an emerging growth company and a smaller reporting company, and we cannot be certain if the reduced reporting requirements applicable to emerging growth companies and smaller reporting companies will make our common stock less attractive to investors.
We are an emerging growth company, as defined in the Jumpstart Our Business Startups Act, or JOBS Act, enacted in April 2012. For as long as we continue to be an emerging growth company, we may take advantage of exemptions from various reporting requirements that are applicable to other public companies that are not emerging growth companies, including not being required to comply with the auditor attestation requirements of Section 404 of the Sarbanes-Oxley Act reduced disclosure obligations regarding executive compensation in our periodic reports and proxy statements, and exemptions from the requirements of holding nonbinding advisory votes on executive compensation and stockholder approval of any golden parachute payments not previously approved. We could be an emerging growth company for up to five years following the year in which we completed our IPO, although circumstances could cause us to lose that status earlier. We will remain an emerging growth company until the earlier of (i) the last day of the fiscal year (a) following the fifth anniversary of the closing of our IPO, or December 31, 2026, (b) in which we have total annual gross revenue of at least $1.235 billion, or (c) in which we are deemed to be a large accelerated filer, which requires the market value of our common stock that is held by non-affiliates to exceed $700 million as of the prior June 30th, and (ii) the date on which we have issued more than $1 billion in non-convertible debt during the prior three-year period.
Under the JOBS Act, emerging growth companies can also delay adopting new or revised accounting standards until such time as those standards apply to private companies. We have elected to not “opt out” of this exemption from complying with new or revised accounting standards and, therefore, we will adopt new or revised accounting standards at the time private companies adopt the new or revised accounting standard and will do so until such time that we either: (i) irrevocably elect to “opt out” of such extended transition period or (ii) no longer qualify as an emerging growth company.
Even after we no longer qualify as an emerging growth company, we may still qualify as a “smaller reporting company,” which would allow us to continue to take advantage of many of the same exemptions from disclosure requirements, including not being required to comply with the auditor attestation requirements of Section 404 of the Sarbanes-Oxley Act and reduced disclosure obligations regarding executive compensation in our periodic reports and proxy statements. We cannot predict if investors will find our common stock less attractive because we may rely on these exemptions. If some investors find our common stock less attractive as a result, there may be a less active trading market for our common stock and our stock price may be more volatile.
Because we do not anticipate paying any cash dividends on our capital stock in the foreseeable future, capital appreciation, if any, will be the sole source of gain for our stockholders.
We have never declared or paid cash dividends on our capital stock. We currently intend to retain all of our future earnings, if any, to finance the growth and development of our business. As a result, capital appreciation, if any, of our common stock will be the sole source of gain for our stockholders for the foreseeable future.
We are at risk of securities class action litigation.
Historically, securities class action litigation has often been brought against a company following a decline in the market price of its securities. This risk is especially relevant for us because biotechnology and pharmaceutical companies have experienced significant stock price volatility in recent years. If we were to be sued, it could result in substantial costs and a diversion of management’s attention and resources, which could harm our business.
If our estimates or judgments relating to our critical accounting policies are based on assumptions that change or prove to be incorrect, our operating results could fall below our publicly announced guidance or the expectations of securities analysts and investors, resulting in a decline in the market price of our common stock.
The preparation of financial statements in conformity with GAAP requires management to make estimates and assumptions that affect the amounts reported in our consolidated financial statements and accompanying notes. We base our estimates on historical experience and on various other assumptions that we believe to be reasonable under the circumstances, the results of which form the basis for making judgments about the carrying values of assets, liabilities, equity, revenue and expenses that are not readily apparent from other sources. If our assumptions change or if actual circumstances differ from our assumptions, our operating results may be adversely affected and could fall below our publicly announced guidance or the expectations of securities analysts and investors, resulting in a decline in the market price of our common stock.
General risk factors
Our executive officers, directors, principal stockholders and their affiliates exercise significant influence over our company, which will limit our stockholders’ ability to influence corporate matters and could delay or prevent a change in corporate control.
The holdings of our executive officers, directors, principal stockholders and their affiliates represents beneficial ownership, in the aggregate, own a significant percentage of our outstanding common stock. As a result, these stockholders, if they act together, are able to influence our management and affairs and the outcome of matters submitted to our stockholders for approval, including the election of directors and any merger, consolidation or sale of all or substantially all of our assets. These stockholders may have interests with respect to their common stock that are different from our other stockholders. The concentration of voting power among these stockholders may have an adverse effect on the price of our common stock. In addition, this concentration of ownership might adversely affect the market price of our common stock by:
•delaying, deferring or preventing a change of control of us;
•impeding a merger, consolidation, takeover or other business combination involving us; or
•discouraging a potential acquirer from making a tender offer or otherwise attempting to obtain control of us.
Adverse developments affecting the financial services industry, such as actual events or concerns involving liquidity, defaults or non-performance by financial institutions or transactional counterparties, could adversely affect our current and projected business operations and its financial condition and results of operations.
Adverse developments that affect financial institutions, such as events involving liquidity that are rumored or actual, have in the past and may in the future lead to market-wide liquidity problems. Although we assess our banking relationships as we believe necessary or appropriate, our access to funding sources and other credit arrangements in amounts adequate to finance or capitalize our current and projected future business operations could be significantly impaired by factors that us, the financial institutions with which we have credit agreements or arrangements directly, or the financial services industry or economy in general. These factors could include, among others, events such as liquidity constraints or failures, the ability to perform obligations under various types of financial, credit or liquidity agreements or arrangements, disruptions or instability in the financial services industry or financial markets, or concerns or negative expectations about the prospects for companies in the financial services industry. While it is not possible at this time to predict the extent of the impact that high market volatility and instability of the financial services industry could have on economic activity and our business in particular, the failure of other banks and financial institutions and the measures taken by governments, businesses and other organizations in response to these events could adversely impact our business, financial condition and results of operations.
Public health crises, such as a pandemic, epidemic or outbreak of other highly infectious or contagious diseases, could seriously harm our research, development and potential future commercialization efforts, increase our costs and expenses and have a material adverse effect on our business, financial condition and results of operations.
Public health crises, such as a pandemic, epidemic or outbreak of other highly infectious or contagious diseases, could adversely impact our business, the business operations of third parties on whom we rely and our ongoing or planned research and development activities. Additionally, timely enrollment in our ongoing and planned clinical trials is dependent upon clinical trial sites which may be adversely affected by global health concerns. Public health crises could result in increased adverse events and deaths in our clinical trials. Some factors from public health crises that could delay or otherwise adversely affect enrollment in the clinical trials of our product candidates, as well as our business generally, include:
•the potential diversion of healthcare resources away from the conduct of clinical trials to focus on public health crises, including the attention of physicians serving as our clinical trial investigators, hospitals serving as our clinical trial sites and hospital staff supporting the conduct of our prospective clinical trials and the need for drugs, such as tocilizumab, and other supplies that clinical trial sites must have on hand to conduct our clinical trials to be used to address such public health crises;
•limitations on travel that could interrupt key trial and business activities, such as clinical trial site initiations and monitoring, domestic and international travel by employees, contractors or patients to clinical trial sites, including any government-imposed travel restrictions or quarantines that will impact the ability or willingness
of patients, employees or contractors to travel to our clinical trial sites or secure visas or entry permissions, a loss of face-to-face meetings and other interactions with potential partners, any of which could delay or adversely impact the conduct or progress of our prospective clinical trials;
•interruption in global shipping affecting the transport of clinical trial materials, such as patient samples, investigational drug product and conditioning drugs and other supplies used in our prospective clinical trials;
•interruptions in operations at our third-party manufacturers, which could result in delays or disruptions in the supply of our current product candidates and any future product candidates; and
•business disruptions caused by potential workplace, laboratory and office closures and an increased reliance on employees working from home, disruptions to or delays in ongoing laboratory experiments and operations, product manufacturing and supply, staffing shortages, travel limitations or mass transit disruptions, any of which could adversely impact our business operations or delay necessary interactions with local regulators, ethics committees and other important agencies and contractors.
Any of these factors, and other factors related to any such disruptions that are unforeseen, could have a material adverse effect on our business and our results of operations and financial condition. Further, uncertainty around these and related issues could lead to adverse effects on the economy of the United States and other economies, which could impact our ability to raise the necessary capital needed to develop and commercialize our product candidates.
If we fail to establish and maintain proper and effective internal control over financial reporting, our operating results and our ability to operate our business could be harmed.
Ensuring that we have adequate internal financial and accounting controls and procedures in place so that we can produce accurate financial statements on a timely basis is a costly and time-consuming effort that needs to be re-evaluated frequently. Our internal control over financial reporting is a process designed to provide reasonable assurance regarding the reliability of financial reporting and the preparation of financial statements in accordance with generally accepted accounting principles. Pursuant to Section 404 of the Sarbanes-Oxley Act, or Section 404, we are required to furnish a report by our management on our internal control over financial reporting. However, while we remain an “emerging growth company,” we will not be required to include an attestation report on internal control over financial reporting issued by our independent registered public accounting firm. To achieve compliance with Section 404 within the prescribed period, we are and will be engaged in a process to document and evaluate our internal control over financial reporting, which is both costly and challenging. In this regard, we need to continue to dedicate internal resources, potentially engage outside consultants, and adopt a detailed work plan to assess and document the adequacy of internal control over financial reporting, continue steps to improve control processes as appropriate, validate through testing that controls are functioning as documented, and implement a continuous reporting and improvement process for internal control over financial reporting. Despite our efforts, there is a risk that neither we nor our independent registered public accounting firm will be able to conclude within the prescribed timeframe that our internal control over financial reporting is effective as required by Section 404. This could result in an adverse reaction in the financial markets due to a loss of confidence in the reliability of our financial statements.
Implementing any appropriate changes to our internal controls may distract our officers and employees, entail substantial costs to modify our existing processes, and take significant time to complete. These changes may not, however, be effective in maintaining the adequacy of our internal controls, and any failure to maintain that adequacy, or consequent inability to produce accurate financial statements on a timely basis, could increase our operating costs and harm our business. In addition, investors’ perceptions that our internal controls are inadequate or that we are unable to produce accurate financial statements on a timely basis may harm our stock price and make it more difficult for us to effectively market and sell any of our present or future product candidates that may receive regulatory approval.
Our disclosure controls and procedures may not prevent or detect all errors or acts of fraud.
We are subject to certain reporting requirements of the Exchange Act. Our disclosure controls and procedures are designed to reasonably assure that information required to be disclosed by us in reports we file or submit under the Exchange Act is accumulated and communicated to management, recorded, processed, summarized and reported within the time periods specified in the rules and forms of the SEC. We believe that any disclosure controls and procedures or internal controls and procedures, no matter how well conceived and operated, can provide only reasonable, not absolute, assurance that the objectives of the control system are met. These inherent limitations include the realities that judgments in decision-making can be faulty, and that breakdowns can occur because of simple error or mistake. Additionally, controls can be circumvented by the individual acts of
some persons, by collusion of two or more people or by an unauthorized override of the controls. Accordingly, because of the inherent limitations in our control system, misstatements or insufficient disclosures due to error or fraud may occur and not be detected.
We or the third parties upon whom we depend may be adversely affected by natural disasters and our business continuity and disaster recovery plans may not adequately protect us from a serious disaster.
Natural disasters could severely disrupt our operations and have a material adverse effect on our business, results of operations, financial condition and prospects. If a natural disaster, power outage or other event occurred that prevented us from using all or a significant portion of our headquarters, that damaged critical infrastructure, such as the manufacturing facilities on which we rely, or that otherwise disrupted operations, it may be difficult or, in certain cases, impossible for us to continue our business for a substantial period of time. The disaster recovery and business continuity plans we have in place may prove inadequate in the event of a serious disaster or similar event. We may incur substantial expenses as a result of the limited nature of our disaster recovery and business continuity plans, which could have a material adverse effect on our business. For example, following Hurricane Maria, shortages in production and delays in a number of medical supplies produced in Puerto Rico resulted, and any similar interruption due to a natural disaster affecting us or any of our third-party manufacturers could materially delay our operations.
Unstable market and economic conditions may have serious adverse consequences on our business, financial condition and stock price.
As widely reported, global credit and financial markets have experienced extreme volatility and disruptions in the past several years, declines in consumer confidence, concerns about declines in economic growth, increases in the rate of inflation and uncertainty about economic stability, including in connection with actions undertaken by the U.S. Federal Reserve Board to address inflation and geopolitical conflicts. There can be no assurance that further volatility in credit and financial markets and confidence in economic conditions will not occur.
Regional or single-source dependencies may in some cases accentuate these risks. For example, the pharmaceutical industry in general, and in some instances we or our collaborators or other third parties on which we or they rely, depend on China-based suppliers or service providers for certain raw materials, products and services, or other activities, Our ability or the ability of our collaborators or such other third parties to continue to engage these China-based suppliers or service providers for certain preclinical research programs and clinical development programs could be restricted due to geopolitical developments between the United Sates and China, including as a result of the escalation of tariffs.
Our general business strategy may be adversely affected by any such economic downturn, volatile business environment or continued unpredictable and unstable market conditions. If the current equity and credit markets continue to be volatile it may make any necessary debt or equity financing more difficult, more costly, and more dilutive. Furthermore, our stock price may decline due in part to the volatility of the stock market and a general economic downturn.
Failure to secure any necessary financing in a timely manner and on favorable terms could have a material adverse effect on our growth strategy, financial performance and stock price and could require us to delay, scale back or discontinue the development and commercialization of one or more of our product candidates or delay our pursuit of potential in-licenses or acquisitions. In addition, there is a risk that one or more of our current service providers, manufacturers and other partners may not survive these difficult economic times, which could directly affect our ability to attain our operating goals on schedule and on budget.
Business disruptions could seriously harm our future revenue and financial condition and increase our costs and expenses.
Our operations, and those of our contractors and consultants, could be subject to earthquakes, power shortages, telecommunications failures, water shortages, floods, hurricanes, typhoons, fires, extreme weather conditions, medical epidemics, pandemics and other natural or man-made disasters or business interruptions, for which we are predominantly self-insured. The occurrence of any of these business disruptions could seriously harm our operations and financial condition and increase our costs and expenses. We rely on third-party manufacturers to produce our product candidates. Our ability to obtain clinical supplies of our product candidates could be disrupted if the operations of these suppliers are affected by a man-made or natural disaster or other business interruption.
Our internal computer systems, or those of our third-party CROs or other contractors or consultants, may fail or suffer from cybersecurity incidents or breaches, which could result in a material disruption of our current or future product candidates’ development programs.
Despite the implementation of security measures, our internal computer systems and those of our third-party CROs and other contractors and consultants are vulnerable to damage from computer viruses, unauthorized access, natural disasters, terrorism, war and telecommunication and electrical failures. While we have not experienced any such system failure, accident, or cybersecurity incident to date, if such an event were to occur and cause interruptions in our operations, it could result in a material disruption of our programs.
Our ability to utilize our net operating loss carryforwards and certain other tax attributes to offset future taxable income may be subject to certain limitations.
As of December 31, 2025, we had federal net operating loss carryforwards of $10.0 million and federal tax credits of $5.5 million. The Company's federal net operating loss carryforwards have an indefinite life and federal tax credit carryforwards begin to expire in 2040. The Company also had gross state NOLs of $26.0 million that begin to expire in 2039. As of December 31, 2025, we had gross foreign net operating loss carryforwards of $374.5 million that begin to expire in 2029. These net operating loss and tax credit carryforwards could expire unused and be unavailable to offset future income tax liabilities. In addition, in general, under Sections 382 and 383 of the Internal Revenue Code of 1986, as amended, or the Code, a corporation that undergoes an “ownership change” is subject to limitations on its ability to utilize its pre-change net operating losses or tax credits, or NOLs or credits, to offset future taxable income or taxes. For these purposes, an ownership change generally occurs where the aggregate stock ownership of one or more stockholders or groups of stockholders who owns at least 5% of a corporation’s stock increases its ownership by more than 50 percentage points over its lowest ownership percentage within a specified testing period.
Our existing NOLs or credits may be subject to limitations arising from previous ownership changes, and our ability to utilize NOLs or credits could be further limited by Sections 382 and 383 of the Code. In addition, future changes in our stock ownership, many of which are outside of our control, could result in an ownership change under Sections 382 and 383 of the Code. Our NOLs or credits may also be impaired under state law. Accordingly, we may not be able to utilize a material portion of our NOLs or credits.
Furthermore, our ability to utilize our NOLs or credits is conditioned upon our attaining profitability and generating U. S. federal and state taxable income. As described above under “Risk factors—Risks related to our financial position and capital needs,” we have incurred significant net losses since our inception and anticipate that we will continue to incur significant losses for the foreseeable future; and therefore, we do not know whether or when we will generate the U.S. federal or state taxable income necessary to utilize our NOL or credit carryforwards that are subject to limitation by Sections 382 and 383 of the Code.
Changes in tax law may adversely affect us or our investors.
The rules dealing with U.S. federal, state and local income taxation are constantly under review by persons involved in the legislative process and by the Internal Revenue Service, or IRS, and the U.S. Treasury Department. Changes to tax laws (which changes may have retroactive application) could adversely affect us or holders of our common stock. In recent years, many changes have been made and changes are likely to continue to occur in the future.
For example, the One Big Beautiful Bill Act, or the OBBBA, was signed into law on July 4, 2025 and made significant changes to U.S. federal tax law. Under Section 174 of the Code, for instance, in taxable years beginning after December 31, 2021, expenses that are incurred for research and development performed outside the U.S. will be capitalized and amortized, which may have had an adverse effect on our cash flow. The OBBBA provides that for taxable years beginning after December 31, 2024, expenses that are incurred for research and development performed in the U.S. may, at the taxpayer’s election, be immediately deducted or capitalized and amortized under Section 174 of the Code. In addition, the OBBBA provides that, for taxable years beginning after December 31, 2021 and before January 1, 2025, certain eligible taxpayers generally may elect to retroactively deduct expenses for research and development performed in the U.S. in such taxable years by filing amended tax returns for such taxable years and all other taxpayers that are not eligible to make such an election and that amortized expenses for research and development performed in the U.S. in such taxable years generally may elect to accelerate and deduct the remaining unamortized amounts of such research and development expenses (i) in the first taxable year beginning after December 31, 2024, or (ii) ratably over the two-taxable year period beginning with the first taxable year beginning after December 31, 2024.
Since the start of the Trump Administration in 2025, U.S. policy changes have been implemented at a rapid pace and additional changes are likely. Changes to U.S. policy implemented by the U.S. Congress, the Trump administration or any new administration have impacted and may in the future impact, among other things, the U.S. and global economy, international trade relations, unemployment, immigration, healthcare, taxation, the U.S. regulatory environment, inflation and other areas. Although we cannot predict the impact, if any, of these changes to our business, they could adversely affect our business. Until we know what policy changes are made, whether those policy changes are challenged and subsequently upheld by the court system and how those changes impact our business and the business of our competitors over the long term, we will not know if, overall, we will benefit from them or be negatively affected by them.
It cannot be predicted whether, when, in what form, or with what effective dates, new tax laws may be enacted, or regulations and rulings may be enacted, promulgated or issued under existing or new tax laws, which could result in an increase in our or our shareholders’ tax liability or require changes in the manner in which we operate in order to minimize or mitigate any adverse effects of changes in tax law or in the interpretation thereof.
Not applicable.
Item 1C. Cybersecurity
Cybersecurity Risk Management and Strategy
We have implemented a cybersecurity risk management program, in accordance with our risk profile and business size, that is designed to detect, identify, assess, and respond to current and emerging cybersecurity threats. Our cybersecurity risk management program is supported by third-party information technologies and vendors, including a managed services provider that assists us with, among other things, information technology system monitoring, detection, and response support services. We also leverage third-party information technology service providers to monitor and evaluate our cybersecurity posture through vulnerability scans, penetration tests, and cybersecurity risk reviews and assessments. Our cybersecurity risk assessments are informed by industry standards and frameworks and incorporate elements of the same, including elements of the National Institute of Standards and Technology (NIST) cybersecurity framework.
We have adopted an incident response plan designed to coordinate the steps to identify, contain, eradicate, and recover from cybersecurity incidents. We have a process requiring newly hired employees to participate in security awareness training and we conduct periodic phishing email simulations. We also have a risk-based process to review certain third-party information technology service providers and vendors, including through contractual requirements and proactive threat intelligence monitoring, as appropriate.
To date, we have not identified any cybersecurity incidents or threats that have materially affected us or are reasonably likely to materially affect us, including our business strategy, results of operations, or financial condition. Like other companies in our industry, we and our third-party information technology service providers and vendors have from time to time experienced threats that could affect our information or systems. For more information, please refer to Item 1A, “Risk Factors,” in this annual report on Form 10-K.
Governance
Our Head of Information Technology, or IT, with the support of our third-party information technology service providers and a team of IT professionals, is responsible for the strategic leadership and day-to-day management of our cybersecurity program, including the prevention, detection, mitigation, and remediation of cyber incidents. The individual serving as Head of IT has more than twenty-five years of experience in information technology and information security.
Our Board of Directors has delegated oversight of our cybersecurity risk management program to our Audit Committee, per the Audit Committee Charter. Our Head of IT provides quarterly updates to the Audit Committee regarding our cybersecurity risk management program, including information about cybersecurity risk management governance, and provides the Audit Committee with status updates on various projects intended to enhance the overall cybersecurity posture of the Company, as applicable.
Item 2. Properties
Our principal offices occupy approximately 63,327 square feet of office and laboratory space at 321 Harrison Avenue, Suite 900, Boston, Massachusetts, 02118, which has served as our headquarters since the second quarter of 2023. Our obligation to pay rent pursuant to the lease began on December 21, 2022. The initial term of the lease is 128 months following April 1, 2022. The annual base rent under the lease is $95 per square foot for the first year, which is subject to scheduled annual increases of 3%, plus certain costs, operating expenses and property management fees. We have the option to extend the lease once for five years upon notice to the Landlord at least one year prior to the end of the then-current term. We also have the option to sublet the Premises on the terms and conditions set forth in the lease.
We have an additional location used for office and laboratory space that occupies approximately 21,422 square feet located in Basel-City, Switzerland. In April 2023, we amended the lease to increase the square footage of the office and laboratory space to 44,685 square feet and extended the lease term through June 2027.
We believe that our facilities are adequate for our current needs and for the foreseeable future. To meet the future needs of our business, we may lease additional or alternate space. We believe that suitable additional or substitute space at commercially reasonable terms will be available as needed to accommodate any future expansion of our operations.
Item 3. Legal Proceedings
From time to time, we may become subject to various legal proceedings and claims that arise in the ordinary course of our business activities. Although the results of litigation and claims cannot be predicted with certainty, as of March 17, 2026, we do not believe we are party to any claim or litigation the outcome of which, if determined adversely to us, would individually or in the aggregate be reasonably expected to have a material adverse effect on our business. Regardless of the outcome, litigation can have an adverse impact on us because of defense and settlement costs, diversion of management resources and other factors.
Item 4. Mine Safety Disclosures
Not Applicable.
PART II
Item 5. Market for Registrant’s Common Equity, Related Stockholder Matters and Issuer Purchases of Equity Securities
Market information
Our common stock began trading on The Nasdaq Global Select Market on June 24, 2021, under the symbol “GLUE”. Prior to that time, there was no public market for our common stock.
Holders of record
As of March 2, 2026, we had approximately 4 holders of record for our common stock. Certain shares are held in “street” name and accordingly, the number of beneficial owners of such shares is not known or included in the foregoing number. This number of holders of record also does not include stockholders whose shares may be held in trust by other entities.
Dividends
We have never declared or paid cash dividends on our capital stock. We anticipate that we will retain all available funds and any future earnings, if any, for use in the operation of our business and do not anticipate paying cash dividends in the foreseeable future.
Stock performance graph
We are a smaller reporting company, as defined by Rule 12b-2 of the Exchange act, and are not required to provide a performance graph.
Recent sales of unregistered equity securities
None.
Issuer purchaser of equity securities
We did not purchase any of our registered equity securities during the period covered by this Annual Report.
Item 7. Management’s Discussion and Analysis of Financial Condition and Results of Operations
You should read the following discussion and analysis of our financial condition and results of operations together with our consolidated financial statements and related notes included elsewhere in this Annual Report on Form 10-K. This discussion contains forward-looking statements that involve risks and uncertainties, including those described in the section titled “Special Note Regarding Forward Looking Statements.” Our actual results and the timing of selected events could differ materially from those discussed below. Factors that could cause or contribute to such differences include, but are not limited to, those identified below and those set forth under the section titled “Risk Factors” included elsewhere in this Annual Report.
Overview
We are a biotechnology company developing a portfolio of novel and proprietary MGDs. MGDs are small molecule drugs that employ the body’s natural protein destruction mechanisms to selectively degrade therapeutically relevant proteins. MGDs work by inducing the engagement of defined surfaces identified on target proteins by an E3 ligase, such as cereblon. We have developed a proprietary and industry-leading protein degradation discovery engine, called QuEENTM, to enable our unique and target-centric MGD discovery and development and our rational design of MGD products. We believe our small molecule MGDs may give us significant advantages over existing therapeutic modalities, including other protein degradation approaches. We prioritize our product development on therapeutic targets backed by strong biological and genetic rationale with the goal of discovering and developing novel medicines.
Monte Rosa Therapeutics AG, a Swiss operating company, was incorporated under the laws of Switzerland in April 2018. Monte Rosa Therapeutics, Inc. was incorporated in Delaware in November 2019. In 2020, through a common control reorganization, Monte Rosa Therapeutics, Inc. acquired the net assets and shareholding of Monte Rosa Therapeutics AG. Monte Rosa Therapeutics, Inc. includes wholly owned subsidiaries Monte Rosa Therapeutics AG and Monte Rosa Securities Corporation. We are headquartered in Boston, Massachusetts with research operations in both Boston and Basel, Switzerland.
Liquidity
To date, we have financed our operations primarily through the issuance and sale of convertible promissory notes, convertible preferred stock, public offerings of our common stock or warrants to purchase common stock, registered direct offerings, and through our collaboration agreements. From our inception through the date hereof, we raised an aggregate of $1.3 billion of gross proceeds from such transactions, inclusive of approximately $345 million gross proceeds raised through an underwritten public offering, or the 2026 Offering, subsequent to December 31, 2025, which is discussed in Note 16, Subsequent events, to our consolidated financial statements appearing elsewhere in this Annual Report.
Since inception, we have had significant operating losses. Our primary use of cash is to fund operating expenses, which consist primarily of research and development expenditures and, to a lesser extent, general and administrative expenditures. For the years ended December 31, 2025 and 2024, we reported net losses of $38.6 million and $72.7 million, respectively. As of December 31, 2025, we had an accumulated deficit of $477.2 million and $382.1 million in cash, cash equivalents, restricted cash, and marketable securities. Aggregate net proceeds from the 2026 Offering were approximately $323.8 million after deducting the underwriter discounts, commissions, and other offering costs. We anticipate that our existing cash and cash equivalents and marketable securities, together with the proceeds from the 2026 Offering, defined below, supports our cash runway into 2029.
Impact of global economic and political developments
The development of our product candidates could be disrupted and materially adversely affected in the future by global economic or political developments. In addition, economic uncertainty in global markets caused by political instability and conflict, and economic challenges caused by global pandemics or other public health events, may lead to market disruptions, including significant volatility in commodity prices, credit and capital market instability and supply chain interruptions. Our business, financial condition and results of operations could be materially and adversely affected by negative impacts on the global economy and capital markets resulting from these global economic conditions, particularly if such conditions are prolonged or worsen.
Components of operating results
Collaboration revenue
Collaboration revenue represents amounts earned from our collaboration and license agreements with Roche and Novartis. We expect that our revenue for the next several years will be derived primarily through our current collaboration and license agreements and any additional collaborations that we may enter into in the future.
Roche collaboration and license agreement
In October 2023, Monte Rosa AG entered into a collaboration and license agreement, or the Roche Agreement, with Roche Basel and Roche US, and together with Roche Basel, Roche. Pursuant to the Roche Agreement, the parties will seek to identify MGDs against targets in cancer and neurological diseases selected by Roche using our proprietary drug discovery engine, where a certain number of targets selected by Roche are for a limited time subject to replacement rights owned by Roche. We will lead preclinical discovery and research activities with Roche leading late preclinical and clinical development activities.
Under the Roche Agreement, Roche will have a worldwide, exclusive license under patents and know-how controlled by us to develop and commercialize products directed to applicable targets. The license exclusivity is subject to our retained rights solely to fulfill our obligations under the arrangement.
The research collaboration activities governed by the Roche Agreement are overseen by a joint research committee.
In November 2023, we received a $50.0 million non-refundable upfront payment for the initial set of targets. Pursuant to the terms of the Roche Agreement, we expect to be entitled to receive from Roche certain variable consideration including potential preclinical milestones up to $172 million, and potential clinical, commercial and sales milestones exceeding $2 billion. We are also eligible to receive tiered royalties ranging from high-single-digit percent to low-teens percent on any products that are commercialized by Roche as a result of the collaboration.
Unless earlier terminated, the Roche Agreement will remain in effect for each product licensed under the Roche Agreement until expiration of the royalty term for the applicable product. The parties have included termination provisions in the Roche Agreement, allowing termination of the Roche Agreement in its entirety, on a country-by-country or a target-by-target basis.
2024 Novartis license agreement
In October 2024, Monte Rosa AG and Novartis entered into a license agreement with Novartis, or the 2024 Novartis Agreement. Pursuant to the 2024 Novartis Agreement, we granted to Novartis an exclusive, royalty-bearing, sublicensable and transferable license to develop, manufacture, and commercialize VAV1 MGDs, including MRT-6160. We were responsible for completing the Phase 1 clinical study and Novartis is responsible for all subsequent development and commercial activities starting at Phase 2. Development and commercial activities governed by the Novartis Agreement will be overseen by a Development Committee and a Commercialization Committee.
In December 2024, we received a $150 million non-refundable upfront payment. Pursuant to the 2024 Novartis Agreement, we are eligible to receive from Novartis up to $2.1 billion in development, regulatory, and sales milestones, beginning upon initiation of Phase 2 studies including (a) potential development and regulatory milestone payments, exceeding $1.5 billion if multiple indications achieve regulatory approval in multiple territories, (b) potential sales milestone payments in connection with sales outside of the U.S., and tiered royalties on sales outside of the U.S. Novartis will be responsible for costs associated with Phase 2 clinical studies. We and Novartis also agreed to a net profit and loss sharing arrangement prior to the initiation of Phase 3 clinical trials, pursuant to which we could co-fund any global clinical development from Phase 3 onwards and will share 30% of any profits and losses associated with the manufacturing and commercialization of the licensed products in the U.S. We have defined opportunities to opt out of the net profit and loss sharing arrangement. In such case, sales in the U.S. would be entitled to the potential sales milestone payments and tiered royalties as sales outside of the U.S. Any costs for any co-funded development and commercialization activities are subject to budgets reviewed by us and Novartis.
2025 Novartis license agreement
In September 2025, Monte Rosa AG entered into a collaboration, option, and license agreement with Novartis, or the 2025 Novartis Agreement. Pursuant to the 2025 Novartis Agreement, we granted to Novartis an exclusive, royalty-bearing, sublicensable and transferable license to degraders for one I&I program, or the First Licensed Program, and the exclusive option to obtain exclusive, royalty-bearing, sublicensable and transferable licenses
with respect to two programs from our growing preclinical immunology portfolio, or the Options, and the programs, or the Optioned I&I Programs. Such Options are individually exercisable at Novartis’ discretion until a program meets criteria for investigational new drug application-filing-readiness. On a program-by-program basis, if Novartis does not exercise an Option, all rights with respect to such program are retained by us; if Novartis does exercise its Option, such program becomes a Licensed Program, or together with the First Licensed Program, the Licensed Programs. Under the 2025 Novartis Agreement, we will apply our proprietary AI/ML-enabled QuEEN™ engine for the discovery and development of degraders for the First Licensed Program and the Optioned I&I Programs. The Licensed Programs will be further developed and commercialized by Novartis, unless otherwise agreed to by the parties in accordance with the 2025 Novartis Agreement. Research activities for the Licensed Programs governed by the Agreement will be overseen by a Joint Research Committee.
Research and development expenses
Our research and development expenses include:
•expenses incurred under agreements with consultants, third-party service providers that conduct research and development activities on our behalf;
•personnel costs, which include salaries, benefits, pension and stock-based compensation;
•laboratory and vendor expenses related to the execution of preclinical and clinical studies;
•laboratory supplies and materials used for internal research and development activities; and
•facilities and equipment costs.
Most of our research and development expenses have been related to the development of our QuEENTM discovery engine and advancement of our GSPT1, NEK7, and VAV1 programs, and advancement of our disclosed and undisclosed programs including for CDK2 and CCNE1.
We expense all research and development costs in the periods in which they are incurred. Costs for certain research and development activities are recognized based on an evaluation of the progress to completion of specific tasks using information and data provided to us by our vendors and third-party service providers.
We expect our research and development expenses to increase substantially for the foreseeable future as we continue to invest in research and development activities related to developing our product candidates, including investments in manufacturing, as we advance our programs and conduct clinical trials. The process of conducting the necessary clinical research to obtain regulatory approval is costly and time-consuming, and the successful development of our product candidates is highly uncertain. As a result, we are unable to determine the duration and completion costs of our research and development projects, the costs of related clinical development costs or when and to what extent we will generate revenue from the commercialization and sale of any of our product candidates.
General and administrative expenses
Our general and administrative expenses consist primarily of personnel costs and other expenses for outside professional services, including legal fees relating to patent and corporate matters, professional fees for accounting, auditing, tax and administrative consulting services, insurance costs and other operating costs. We expect our general and administrative expenses to increase over the next several years to support our continued research and development activities, manufacturing activities, and the potential commercialization of our product candidates and development of commercial infrastructure.
Non-operating income and expense
Our non-operating income and expense includes (i) interest earned on our investments, including principally U.S. government-backed money-market funds and marketable securities; (ii) gains and losses on transactions of our Swiss subsidiary denominated in currencies other than the U.S. Dollar; and (iii) proceeds from the sale of fixed assets.
Results of operations for the years ended December 31, 2025 and 2024
The following sets forth our results of operations (in thousands):
|
|
|
|
|
|
|
|
|
|
|
|
|
|
|
|
Year ended December 31, |
|
|
|
|
|
|
2025 |
|
|
2024 |
|
|
Dollar change |
|
Collaboration revenue |
|
$ |
123,672 |
|
|
$ |
75,622 |
|
|
$ |
48,050 |
|
Operating expenses: |
|
|
|
|
|
|
|
|
|
Research and development |
|
|
141,500 |
|
|
|
121,563 |
|
|
|
19,937 |
|
General and administrative |
|
|
36,380 |
|
|
|
35,171 |
|
|
|
1,209 |
|
Total operating expenses |
|
|
177,880 |
|
|
|
156,734 |
|
|
|
21,146 |
|
Loss from operations |
|
|
(54,208 |
) |
|
|
(81,112 |
) |
|
|
26,904 |
|
Other income |
|
|
14,485 |
|
|
|
10,982 |
|
|
|
3,503 |
|
Net loss before income taxes |
|
$ |
(39,723 |
) |
|
$ |
(70,130 |
) |
|
$ |
30,407 |
|
Income tax benefit (provision) |
|
|
1,097 |
|
|
|
(2,570 |
) |
|
|
3,667 |
|
Net loss |
|
$ |
(38,626 |
) |
|
$ |
(72,700 |
) |
|
$ |
34,074 |
|
Collaboration revenue
Collaboration revenue of $123.7 million and $75.6 million for the years ended December 31, 2025 and 2024, respectively, represents revenue recorded under our collaboration and license agreements with Roche and Novartis.
Research and development expenses
We use our personnel and infrastructure resources across the breadth of our research and development activities, which are directed toward identifying and developing product candidates. As such, we do not track all of our internal research and development expenses on a program-by-program basis.
The following table summarizes our research and development expense for each period presented (in thousands):
|
|
|
|
|
|
|
|
|
|
|
|
|
|
|
|
Year ended December 31, |
|
|
|
|
|
|
2025 |
|
|
2024 |
|
|
Dollar change |
|
External research and development expense: |
|
|
|
|
|
|
|
|
|
MRT-2359 |
|
$ |
8,959 |
|
|
$ |
12,332 |
|
|
$ |
(3,373 |
) |
MRT-6160 |
|
|
7,539 |
|
|
|
15,209 |
|
|
|
(7,670 |
) |
MRT-8102 |
|
|
19,696 |
|
|
|
10,163 |
|
|
|
9,533 |
|
Other development and discovery programs |
|
|
25,198 |
|
|
|
14,432 |
|
|
|
10,766 |
|
Personnel expense |
|
|
46,241 |
|
|
|
39,796 |
|
|
|
6,445 |
|
Overhead and administrative expense |
|
|
33,867 |
|
|
|
29,631 |
|
|
|
4,236 |
|
Total research and development expense |
|
$ |
141,500 |
|
|
$ |
121,563 |
|
|
$ |
19,937 |
|
As of December 31, 2025 and December 31, 2024, respectively, we had 118 and 105 employees engaged in research and development activities in our facilities in the U.S. and Switzerland.
Most of our research and development expenses were driven by the successful achievement of key research milestones in our research and development organization, including the continuation of the MRT-2359 and MRT-8102 clinical studies, continued program activities for MRT-6160, the progression of our preclinical pipeline including research performed for our collaborations with Roche and Novartis, and the continued development of the Company’s QuEENTM discovery engine, and reflect increased personnel expense and external R&D costs to achieve these milestones. Research and development expenses included non-cash stock-based compensation expense of $10.9 million and $10.6 million for the years ended December 31, 2025 and 2024, respectively.
General and administrative expenses
General and administrative expenses to support our business activities were comprised of (in thousands):
|
|
|
|
|
|
|
|
|
|
|
|
|
|
|
|
Year ended December 31, |
|
|
|
|
|
|
2025 |
|
|
2024 |
|
|
Dollar change |
|
Personnel costs |
|
$ |
22,975 |
|
|
$ |
22,153 |
|
|
$ |
822 |
|
Professional services |
|
|
5,740 |
|
|
|
5,091 |
|
|
|
649 |
|
Facility costs and other expenses |
|
|
7,665 |
|
|
|
7,927 |
|
|
|
(262 |
) |
Total general and administrative expenses |
|
$ |
36,380 |
|
|
$ |
35,171 |
|
|
$ |
1,209 |
|
As of December 31, 2025 and December 31, 2024, respectively, we had 32 and 29 employees engaged in general and administrative activities. Personnel and professional service costs increased in the year ended December 31, 2025, as compared to 2024, as a result of increased headcount and expenses in support of our growth and operations as a public company. General and administrative expenses included non-cash stock-based compensation of $8.0 million and $7.5 million for the years ended December 31, 2025 and 2024, respectively.
Other income
Other income was comprised of (in thousands):
|
|
|
|
|
|
|
|
|
|
|
|
|
|
|
|
Year ended December 31, |
|
|
|
|
|
|
2025 |
|
|
2024 |
|
|
Dollar change |
|
Interest income |
|
$ |
12,942 |
|
|
$ |
10,566 |
|
|
$ |
2,376 |
|
Foreign currency exchange gain, net |
|
|
1,484 |
|
|
|
416 |
|
|
|
1,068 |
|
Gain on disposal of property and equipment |
|
|
59 |
|
|
|
— |
|
|
|
59 |
|
Other income |
|
$ |
14,485 |
|
|
$ |
10,982 |
|
|
$ |
3,503 |
|
Other income for the years ended December 31, 2025 and 2024 was primarily attributable to interest earned on marketable securities. The increase in interest income for the year ended December 31, 2025, as compared to 2024, is principally attributable to higher average balances in marketable securities.
Foreign exchange gain on transactions denominated in currency other than the U.S. dollar increased in the year ended December 31, 2025, as to compared to the year ended December 31, 2024, primarily due to changes in the exchange rates between the U.S. Dollar and, principally, the Swiss Franc.
Provision for income taxes
For the year ended December 31, 2025, the income tax benefit is primarily related to the enactment of the OBBBA. On July 4, 2025, H.R. 1, the OBBBA, was signed into law. The modification to IRC Sec. 174 included in this act allows the deduction of domestic based research and development expenses in the period in which they are incurred which would reduce any taxable income being generated from the $150 million upfront payment for the 2024 Novartis Agreement. In accordance with U.S. GAAP, we have accounted for the tax effects of changes in tax law in the period of enactment. As of December 31, 2025, we did not capitalize any research and development expenditures. For the year ended December 31, 2025, we recorded an income tax benefit of $1.1 million.
For the year ended December 31, 2024, we recorded a provision for income taxes of $2.6 million, primarily driven by the current federal and state taxes related to the $50.0 million upfront payment for Roche Agreement, which was expected to be recognized as taxable Global Intangible Low Tax Income, or GILTI.
Liquidity and capital resources
Overview
Due to our significant research and development expenditures, we have generated operating losses since our inception. We have funded our operations primarily through the issuance and sale of convertible promissory notes, convertible preferred stock, public offerings of our common stock or warrants to purchase common stock, registered direct offerings, and through our collaboration agreements. As of December 31, 2025, we had $382.1 million in cash, cash equivalents, restricted cash and marketable securities. We have incurred losses since our
inception and, as of December 31, 2025, we had an accumulated deficit of $477.2 million. Our primary use of cash is to fund operating expenses, which consist primarily of research and development expenditures and, to a lesser extent, general and administrative expenditures. Cash used to fund operating expenses is impacted by the timing of when we pay these expenses, as reflected in the change in our outstanding accounts payable and accrued expenses.
Subsequent to December 31, 2025, we received aggregate net proceeds from the 2026 Offering, defined below, of approximately $323.8 million after deducting the underwriter discounts, commissions, and other offering costs.
At-the-market offerings
On July 1, 2022, we filed a registration statement on Form S-3 (File No. 333-266003) with the SEC, which was declared effective on July 13, 2022, or the 2022 Shelf Registration Statement, in relation to the registration of common stock, preferred stock, debt securities, warrants and/or units of any combination thereof for the purposes of selling, from time to time, our common stock, debt securities or other equity securities in one or more offerings. We also simultaneously entered into the Open Market Sale Agreement, or the Sales Agreement, with Jefferies to provide for the offering, issuance and sale of up to an aggregate amount of $100.0 million of our common stock from time to time in “at-the-market” offerings, or the ATM Program, through July 2025 under the 2022 Shelf Registration Statement and subject to the limitations thereof.
On March 20, 2025, we filed a registration statement on Form S-3 (File No. 333-285942) with the SEC, which was declared effective on March 31, 2025, or the 2025 Shelf Registration Statement, in relation to the registration of common stock, preferred stock, debt securities, warrants and/or units of any combination thereof for the purposes of selling, from time to time, our common stock, debt securities or other equity securities in one or more offerings. We also simultaneously entered into the Amendment No. 1 to the Sales Agreement, or the Amendment, with Jefferies, to provide for the offering, issuance and sale of up to an aggregate amount of $150.0 million of our common stock from time to time under the ATM Program, pursuant to a prospectus supplement, dated March 20, 2025, under 2025 Shelf Registration Statement, or the Original Prospectus Supplement, and subject to the limitations thereof. Under the Original Prospectus Supplement, we sold 2,955,082 shares of our common stock for aggregate gross proceeds of $25.0 million, or aggregate net proceeds of $23.9 million, pursuant to the Sales Agreement. As disclosed in a Current Report on Form 8-K filed on January 7, 2026, the Original Prospectus Supplement was terminated, effective as of January 7, 2026, and we did not issue any additional shares under the ATM Program following such termination.
On February 11, 2026, we filed a registration statement on Form S-3ASR (File No. 333-293389) with the SEC, or the 2026 Automatic Shelf Registration Statement, in relation to the registration of common stock, preferred stock, debt securities, warrants and/or units of any combination thereof for the purposes of selling, from time to time, our common stock, debt securities or other equity securities in one or more offerings. In connection with the ATM Program and pursuant to the 2026 Automatic Shelf Registration Statement, we filed a new prospectus supplement with the SEC on February 11, 2026, for the offer and sale of up to $100.0 million of shares of common stock from time to time through Jefferies. As of the date of this Annual Report on Form 10-K, we have sold no shares pursuant to our ATM program under the new prospectus supplement.
We will pay to Jefferies cash commissions of up to 3.0% of the aggregate gross proceeds of sales of common stock under the Sales Agreement, as amended.
Underwritten public offerings
In May 2024, we entered into an underwriting agreement with TD Securities (USA) LLC, as representative of the several underwriters, related to an underwritten public offering, or the 2024 Offering, of 10,638,476 shares of common stock at a price of $4.70 per share, and, in lieu of common stock to certain investors, pre-funded warrants to purchase 10,638,524 shares of common stock at a price of $4.6999 per pre-funded warrant, which represents the price per share at which shares of common stock were sold in the 2024 Offering, minus $0.0001, which is the exercise price of each pre-funded warrant. The pre-funded warrants are immediately exercisable and may be exercised at any time until the pre-funded warrants are exercised in full. Aggregate gross proceeds from the 2024 Offering were $100 million. Aggregate net proceeds from the 2024 Offering were $96.4 million after deducting the underwriter discounts, commissions, and other offering costs.
In January 2026, we entered into an underwriting agreement with Jefferies LLC, or Jefferies, TD Securities (USA) LLC, and Piper Sandler & Co. as representative of the several underwriters, related to the underwritten public offering, or the 2026 Offering, of 13,000,000 shares of common stock at a price of $24.00 per share, and, in lieu of common stock to certain investors, pre-funded warrants to purchase 1,375,000 shares of common stock at a
price of $23.9999 per pre-funded warrant, which represents the price per share at which shares of common stock were sold in the 2026 Offering, minus $0.0001, which is the exercise price of each pre-funded warrant. The 13,000,000 shares of common stock includes the full exercise by the underwriters of their option to purchase an additional 1,875,000 shares of common stock at the public offering price. The pre-funded warrants are immediately exercisable and may be exercised at any time until the pre-funded warrants are exercised in full. Aggregate gross proceeds from the 2026 Offering were $345.0 million. Aggregate net proceeds from the 2026 Offering were approximately $323.8 million after deducting the underwriter discounts, commissions, and other offering costs.
Cash flows
The following table summarizes our cash flows for the periods indicated (in thousands):
|
|
|
|
|
|
|
|
|
|
|
|
Year ended December 31, |
|
|
|
2025 |
|
|
2024 |
|
Net cash (used in) provided by: |
|
|
|
|
|
|
Operating activities |
|
$ |
(22,798 |
) |
|
$ |
41,996 |
|
Investing activities |
|
|
(101,833 |
) |
|
|
(44,452 |
) |
Financing activities |
|
|
30,351 |
|
|
|
98,892 |
|
Net (decrease) increase in cash, cash equivalents and restricted cash |
|
$ |
(94,280 |
) |
|
$ |
96,436 |
|
Operating activities
During the year ended December 31, 2025, net cash used in operating activities of $22.8 million was attributable to our net loss of $38.6 million and changes in our working capital accounts of $16.7 million, partially offset by $25.0 million in non-cash charges and an increase in deferred revenue of $7.5 million. Non-cash charges primarily include stock-based compensation expense of $18.9 million and depreciation expense of $8.4 million.
During the year ended December 31, 2024, net cash provided by operating activities of $42.0 million was attributable to our net loss of $72.7 million off-set by an increase in deferred revenue of $83.4 million, $23.3 million in non-cash charges, and changes in our working capital accounts of $8.0 million. Non-cash charges primarily include stock-based compensation expense of $18.1 million and depreciation expense of $8.1 million.
Investing activities
Cash used in investing activities of $101.8 million during the year ended December 31, 2025, was primarily attributable to the purchases of marketable securities of $376.7 million and property and equipment of $4.7 million, partially off-set by cash provided by financing activities attributable to the maturities of marketable securities of $279.5 million.
Cash used in investing activities of $44.5 million during the year ended December 31, 2024, was primarily attributable to the purchases of marketable securities of $230.4 million and property and equipment of $4.0 million, off-set by cash provided by financing activities attributable to the maturities of marketable securities of $189.9 million.
Financing activities
Net cash provided by financing activities for the year ended December 31, 2025 amounted to $30.4 million principally attributable to net proceeds of $23.9 million from shares sold pursuant to the ATM Program after deducting the underwriter discounts, commissions, and other offering costs.
Net cash provided by financing activities for the year ended December 31, 2024 amounted to $98.9 million principally attributable to net proceeds from our stock offerings of $97.3 million.
Funding requirements
Any product candidates we may develop may never achieve commercialization and we anticipate that we will continue to incur losses for the foreseeable future. We expect that our research and development expenses, general and administrative expenses, and capital expenditures will continue to increase. As a result, until such time, if ever, as we can generate substantial product revenue, we expect to finance our cash needs through a combination of equity offerings, debt financings or other capital sources, including potential collaborations, licenses and other similar arrangements. Our primary uses of capital are, and we expect will continue to be, compensation and related expenses, third-party clinical research, manufacturing and development services, license payments or milestone obligations that may arise, laboratory and related supplies, clinical costs, manufacturing costs, legal and other regulatory expenses and general overhead costs.
Based upon our current operating plan, we believe that our existing cash, cash equivalents, and marketable securities will enable us to fund our operating expenses and capital expenditure requirements for at least the next twelve months. We base this estimate on assumptions that may prove to be wrong, and we could utilize our available capital resources sooner than we currently expect.
We will continue to require additional financing to advance our current product candidates through clinical development, to develop, acquire or in-license other potential product candidates and to fund operations for the foreseeable future. We will continue to seek funds through equity offerings, debt financings or other capital sources, including potential collaborations, licenses and other similar arrangements. However, we may be unable to raise additional funds or enter into such other arrangements when needed on favorable terms or at
all. If we do raise additional capital through public or private equity offerings, the ownership interest of our existing stockholders will be diluted, and the terms of these securities may include liquidation or other preferences that adversely affect our stockholders’ rights. If we raise additional capital through debt financing, we may be subject to covenants limiting or restricting our ability to take specific actions, such as incurring additional debt, making capital expenditures or declaring dividends. Any failure to raise capital as and when needed could have a negative impact on our financial condition and on our ability to pursue our business plans and strategies. If we are unable to raise capital, we will need to delay, reduce or terminate planned activities to reduce costs.
Because of the numerous risks and uncertainties associated with research, development and commercialization of pharmaceutical products, we are unable to estimate the exact amount of our operating capital requirements. Our future funding requirements will depend on many factors, including, but not limited to:
•the scope, progress, results and costs of researching, developing and manufacturing our current product candidates or any future product candidates, and conducting preclinical studies and clinical trials;
•the timing of, and the costs involved in, obtaining regulatory approvals or clearances for our lead product candidates or any future product candidates;
•the number and characteristics of any additional product candidates we develop or acquire;
•the cost of manufacturing our lead product candidate or any future product candidates and any products we successfully commercialize, including costs associated with building-out our manufacturing capabilities;
•our ability to establish and maintain strategic collaborations, licensing or other arrangements and the financial terms of any such agreements that we may enter into;
•the expenses needed to attract and retain skilled personnel;
•the costs associated with being a public company;
•the timing, receipt and amount of sales of any future approved or cleared products, if any; and
•the impact of global economic and political developments, future public health events, and the corresponding responses of businesses and governments.
Further, our operating plans may change, and we may need additional funds to meet operational needs and capital requirements for clinical trials and other research and development activities. We currently have no credit facility or committed sources of capital. Because of the numerous risks and uncertainties associated with the development and commercialization of our product candidates, we are unable to estimate the amounts of increased capital outlays and operating expenditures associated with our current and anticipated product development programs.
Critical accounting policies and significant judgments and estimates
Our management’s discussion and analysis of our financial condition and results of operations is based on our consolidated financial statements, which have been prepared in accordance with U.S. generally accepted accounting principles, or GAAP. The preparation of these consolidated financial statements requires us to make estimates and assumptions that affect the reported amounts of assets and liabilities and the disclosure of contingent assets and liabilities at the date of the financial statements, as well as the reported expenses incurred during the reporting periods. Our estimates are based on our historical experience and on various other factors that we believe are reasonable under the circumstances, the results of which form the basis for making judgments about the carrying value of assets and liabilities that are not readily apparent from other sources. Actual results may differ from these estimates under different assumptions or conditions.
We believe that the accounting policies discussed below are critical to understanding our historical and future performance, as these policies relate to the more significant areas involving management’s judgments and estimates.
Research and development expense and accruals
We record research and development expenses to operations as incurred. Research and development expenses represent costs incurred by us for development of our technology discovery engine and the discovery and development of our product candidates and include: employee-related expenses, including salaries, benefits and non-cash stock-based compensation expense; external research and development expenses incurred under arrangements with third parties, including preclinical testing organizations, non-profit institutions and consultants; and other expenses, which include direct and allocated expenses for laboratory, facilities and other costs.
As part of the process of preparing financial statements, we are required to estimate and accrue expenses. We estimate costs of research and development activities conducted by service providers. Payments made prior to the receipt of goods or services to be used in research and development are deferred and recognized as expense in the period in which the related goods are received or services are rendered. If the costs have been prepaid, this expense reduces the prepaid expenses in the balance sheet, and if not yet invoiced, the costs are included in accrued expenses in the balance sheet. We classify such prepaid assets as current or non-current assets based on our estimates of the timing of when the goods or services will be realized or consumed. These costs are a significant component of our research and development expenses.
We estimate these costs based on factors such as estimates of the work completed and budget provided and in accordance with our agreements with established third-party service providers. We estimate the amount of work completed through discussions with internal personnel and external service providers as to the progress or stage of completion of the services and the agreed-upon fee to be paid for such services. We make significant judgments and estimates in determining the accrued expense balance in each reporting period. As actual costs become known, we adjust our estimates. Although we do not expect our estimates to be materially different from amounts actually incurred, our understanding of the status and timing of services performed may vary from our estimates and could result in us reporting amounts that are too high or too low in any particular period. Our accrued expenses are dependent, in part, upon the receipt of timely and accurate reporting from external third-party service providers. Amounts ultimately incurred in relation to amounts accrued for these services at a reporting date may be substantially higher or lower than our estimates.
We have and may continue to enter into license agreements to access and utilize certain technology. We evaluate if the license agreement is an acquisition of an asset or a business. To date none of our license agreements have been considered to be an acquisition of a business. For asset acquisitions, the upfront payments to acquire such licenses, as well as any future milestone payments made before product approval, are immediately recognized as research and development expense when due, provided there is no alternative future use of the rights in other research and development projects.
Revenue recognition
To date, our revenues have primarily consisted of consideration related to the Roche Agreement, the 2024 Novartis License Agreement, and the 2025 Novartis License Agreement. Goods and services that we are required to provide to Roche and Novartis under these agreements are accounted for under ASC 606. In accordance with ASC 606, we recognize revenue when our customers obtain control of promised goods or services, in an amount that reflects the consideration which we expect to receive in exchange for those goods or services.
To determine the appropriate amount of revenue to be recognized for arrangements determined to be within the scope of ASC 606, we perform the following five steps: (i) identification of the promised goods or services in the contract; (ii) determination of whether the promised goods or services are performance obligations including whether they are distinct in the context of the contract; (iii) measurement of the transaction price, including the assessment of the constraint on variable consideration; (iv) allocation of the transaction price to the performance obligations; and (v) recognition of revenue when, or as we satisfy each performance obligation.
As part of the accounting for arrangements under ASC 606, we must use significant judgment to determine the performance obligations based on the determination under step (ii) above. We also use judgment to determine whether milestones or other variable consideration, except for royalties and sales-based milestones, should be included in the transaction price as described below. We recognize revenue based on those amounts when, or as, the performance obligations under the contract are satisfied.
The transaction price is determined based on the consideration to which we will be entitled in exchange for transferring goods and services to the customer. To the extent the transaction price includes variable consideration, we estimate the amount of variable consideration that should be included in the transaction price utilizing either the expected value method or the most likely amount method, depending on the nature of the variable consideration. Variable consideration is included in the transaction price if, in management’s judgment, it is probable that a significant future reversal of cumulative revenue under the contract will not occur. Any estimates, including the effect of the constraint on variable consideration, are evaluated at each reporting period for any changes.
If the contract contains a single performance obligation, the entire transaction price is allocated to the single performance obligation. Contracts that contain multiple performance obligations require an allocation of the transaction price to each performance obligation on a relative standalone selling price basis unless the transaction price is variable and meets the criteria to be allocated entirely to a performance obligation or to a distinct service that forms part of a single performance obligation. The consideration to be received is allocated among the separate performance obligations based on relative standalone selling prices. Determining the standalone selling price of each performance obligation requires significant judgment and is discussed in further detail in Note 9, Collaboration and license agreements, to our consolidated financial statements appearing elsewhere in this Annual Report.
We utilize judgment to assess the nature of the performance obligation to determine whether the performance obligation is satisfied over time or at a point in time and, if over time, the appropriate method of measuring progress. We evaluate the measure of progress each reporting period and, if necessary, adjust the measure of performance and related revenue recognition. The measure of progress, and the resulting periods over which revenue should be recognized, are subject to estimates by management and may change over the course of the arrangement, which are subject to review by the joint research committee, or JRC. Such a change could have a material impact on the amount of revenue we record in future periods. We concluded that the transfer of control to the customer for the performance obligation occurs over the time period that the research and development services are provided by us. We recognize revenue for the performance obligation as those services are provided using an input method, based on the cumulative costs incurred compared to the total estimated costs expected to be incurred to satisfy the performance obligation. The percentage of completion method is, in management’s judgment, the best measure of progress towards satisfying the performance condition.
At the inception of each arrangement that includes research, development or regulatory milestone payments, we evaluate whether the milestones are considered likely to be met and estimate the amount to be considered for inclusion in the transaction price using the most-likely-amount method. If it is probable that a significant reversal in the amount of cumulative revenue recognized would not occur, the associated milestone value is included in the transaction price. For milestone payments due upon events that are not within our control, such as regulatory approvals, we are not able to assert that it is likely that the regulatory approval will be granted and that it is probable that a significant reversal in the amount of cumulative revenue recognized will not occur until those approvals are received. In making this assessment, we evaluate factors such as the scientific, clinical, regulatory, commercial, and other risks that must be overcome to achieve the particular milestone. There is considerable judgment involved in determining whether it is probable that a significant reversal in the amount of cumulative revenue recognized would not occur.
We reevaluate the transaction price and our total estimated costs expected to be incurred at the end of each reporting period and as uncertain events, such as changes to the expected timing and cost of certain research, development and manufacturing activities that we are responsible for, are resolved or other changes in circumstances occur. We consider at the contract level whether there is a need for a provision for losses on contracts. We periodically evaluate estimates against the actual time and costs incurred as well as any anticipated changes to the timing or estimated costs. Any cumulative effect of revisions to the total estimated costs to complete our performance obligation will be recorded in the period in which the changes are identified, and amounts can be reasonably estimated. A significant change in these assumptions and estimates could have a material impact on the timing and amount of revenue recognized in future periods and the classification of deferred revenue between short-term and long-term. To date, we have not had any significant changes in our estimates.
For a complete discussion of our significant accounting policies and recent accounting pronouncements, see Note 2 to our consolidated financial statements appearing elsewhere in this Annual Report.
Recently issued and adopted accounting pronouncements
Refer to Note 2, Summary of significant accounting policies, in the accompanying notes to our consolidated financial statements appearing elsewhere in this Annual Report for a discussion of recent accounting pronouncements.
Contractual obligations and commitments
Roche collaboration and license agreement
In October 2023, we entered into a collaboration and license agreement, or the Roche Agreement, with Roche for the discovery and development of MGDs against targets in cancer and neurological diseases. Under the Roche Agreement, we will lead the discovery and certain preclinical activities against multiple select targets. Following the completion of certain preclinical studies, Roche has the option to continue the further development and potential commercialization of compounds identified and generated under the collaboration and products containing such compounds at its sole responsibility and at its own cost. Pursuant to the terms of the Roche Agreement, we granted to Roche an exclusive license to use certain of its platform technology for the exploitation of compounds and products discovered and developed under the agreement. We received an upfront payment of $50.0 million and milestone payments of $12.0 million from Roche under the terms of the Roche Agreement and have recorded an additional receivable for $7.0 million. Additionally, we are eligible to receive additional contingent payments from Roche upon the occurrence of defined research, development, regulatory and sales-based events exceeding $2 billion. We are also entitled to tiered royalties on sales of products containing compounds identified and generated from activities conducted under the arrangement. The Roche Agreement term commenced on the execution date and continues until no payment obligations remain, unless otherwise terminated earlier.
2024 Novartis License Agreement
In October 2024, we entered into a license agreement with Novartis, or the 2024 Novartis Agreement. Pursuant to the 2024 Novartis Agreement, we granted to Novartis an exclusive, royalty-bearing, sublicensable and transferable license to develop, manufacture, and commercialize VAV1 MGDs, including MRT-6160 for immune-mediated conditions. We were responsible for completing the Phase 1 clinical studies and Novartis is responsible for all subsequent development and commercial activities starting at Phase 2.
In December 2024, we received a $150 million non-refundable upfront payment. Pursuant to the 2024 Novartis Agreement, we are entitled to receive from Novartis up to $2.1 billion in development, regulatory, and sales milestones, beginning upon initiation of Phase 2 studies including (a) potential development and regulatory milestone payments, exceeding $1.5 billion if multiple indications achieve regulatory approval in multiple territories, (b) potential sales milestone payments in connection with sales outside of the U.S, and tiered royalties on sales outside of the U.S. Novartis will be responsible for costs associated with Phase 2 clinical studies. We and Novartis also agreed to a net profit and loss sharing arrangement, pursuant to which we could co-fund any global clinical development from Phase 3 onwards and will share 30% of any profits and losses associated with the manufacturing and commercialization of the licensed products in the U.S. We have defined opportunities to opt out of the net profit and loss sharing arrangement prior to the initiation of Phase 3 clinical trials. In such case, sales in the U.S. would be entitled to the potential sales milestone payments and tiered royalties as sales outside of the U.S. Any costs for any co-funded development and commercialization activities are subject to budgets reviewed by us and Novartis.
2025 Novartis License Agreement
In September 2025, we entered into a collaboration, option, and license agreement with Novartis, or the 2025 Novartis Agreement. Pursuant to the 2025 Novartis Agreement, we granted to Novartis an exclusive, royalty-bearing, sublicensable and transferable license to degraders for the First Licensed Program and the exclusive option to obtain exclusive, royalty-bearing, sublicensable and transferable licenses with respect to the Optioned I&I Programs. Such Options are individually exercisable at Novartis’ discretion until a program meets criteria for investigational new drug application-filing-readiness. On a program-by-program basis, if Novartis does not exercise an Option, all rights with respect to such program are retained by us; if Novartis does exercise its Option, such program becomes a Licensed Program. Under the Agreement, we will apply our proprietary AI/ML-enabled QuEEN™ discovery engine for the discovery and development of degraders for the First Licensed Program and the Optioned I&I Programs. The Licensed Programs will be further developed and commercialized by Novartis, unless otherwise agreed to by the parties in accordance with the 2025 Novartis Agreement.
Under the agreement, the Company received a $120.0 million non-refundable upfront payment from Novartis. The Company is entitled to receive further payments from Novartis to maintain the Options totaling up to $60.0 million, and is also eligible to receive from Novartis (1) preclinical milestone payments relating to the First Licensed Program and option exercise payments related to the Options of up to $180.0 million, (2) up to $5.4 billion in clinical development, regulatory, and sales milestones relating to the First Licensed Program and the two Optioned I&I Programs, beginning upon initiation of Phase 1 studies, including (a) potential development and regulatory milestone payments up to $2.2 billion if regulatory approval is achieved for multiple indications in multiple territories and (b) potential sales milestone payments up to $3.2 billion, allocated across licensed products, and (3) tiered royalties on global net sales in the high-single to low double-digit range for the First Licensed Program and in the low double-digit range for the two Optioned I&I Programs. We will be responsible for costs related to research activities, while Novartis will be responsible for costs related to development and commercialization activities.
See the section entitled “Business—Our services, collaboration and licenses agreements” elsewhere in this Annual Report as well as Note 9, Collaboration and license agreements, to our annual consolidated financial statements appearing elsewhere in this Annual Report for a description of our collaboration and license agreements.
Lease commitments
Our lease commitments reflect payments due for our two lease agreements for laboratory and office space in Boston, Massachusetts and Basel, Switzerland that expire in 2032 and 2027, respectively. As of December 31, 2025, our contractual commitments for our leases were $54.1 million, which will be paid over the term of such leases. For additional information on our leases and timing of future payments, please see Note 7, Leases to the consolidated financial statements included elsewhere in this Annual Report.
Item 7A. Quantitative and Qualitative Disclosures About Market Risk
We are a smaller reporting company, as defined in Rule 12b-2 under the Exchange Act, for this reporting period and are not required to provide the information required under this item.
Item 8. Financial Statements and Supplementary Data
The financial information required by Item 8 is located beginning on page F-1 of this Annual Report.
Item 9. Changes in and Disagreements With Accountants on Accounting and Financial Disclosure
None.
Item 9A. Controls and Procedures
Limitations on effectiveness of controls and procedures
In designing and evaluating our disclosure controls and procedures, management recognizes that any controls and procedures, no matter how well designed and operated, can provide only reasonable assurance of achieving the desired control objectives. In addition, the design of disclosure controls and procedures must reflect the fact that there are resource constraints, and that management is required to apply judgment in evaluating the benefits of possible controls and procedures relative to their costs.
Evaluation of disclosure controls and procedures
Our management, with the participation of our principal executive officer and principal financial officer, evaluated, as of December 31, 2025, the effectiveness of our disclosure controls and procedures (as defined in Rules 13a-15(e) and 15d-15(e) under the Exchange Act). Based on the evaluation, our principal executive officer and principal financial officer concluded that, as of December 31, 2025, our disclosure controls and procedures as of such date are effective at the reasonable assurance level.
Management’s annual report on internal control over financial reporting
Our management is responsible for establishing and maintaining adequate internal control over financial reporting, as such term is defined in Rule 13a-15(f) under the Exchange Act. Our management conducted an assessment of the effectiveness of our internal control over financial reporting based on the criteria set forth in “Internal Control - Integrated Framework (2013)” issued by the Committee of Sponsoring Organizations of the Treadway Commission. Based on this assessment, our management concluded that, as of December 31, 2025, our internal control over financial reporting was effective.
This Annual Report on Form 10-K does not include an attestation report of our independent registered public accounting firm due to a transition period established by rules of the SEC for “emerging growth companies”.
Changes in internal control over financial reporting
There were no changes in our internal control over financial reporting (as defined in Rules 13a-15(f) and 15d-15(f) under the Exchange Act) during the quarter ended December 31, 2025 that have materially affected, or are reasonably likely to materially affect, our internal control over financial reporting.
Item 9B. Other Information
Rule 10b5-1 Trading Plans
During the fiscal quarter ended December 31, 2025, none of our directors or officers (as defined in Rule 16a-1(f) of the Exchange Act) adopted, terminated or modified a Rule 10b5-1 trading arrangement or any non-Rule 10b5-1 trading agreement (as defined in Item 408(c) of Regulation S-K), except as described in the table below:
|
|
|
|
|
|
|
Name and Title |
Action |
Action Date |
Duration of Trading Arrangements |
Rule 10b5-1 Trading Arrangement? (Y/N)* |
Aggregate Number of Securities Subject to Trading Arrangement |
Markus Warmuth Chief Executive Officer |
Adopt |
May 14, 2025 |
August 13, 2025 - August 13, 2026 |
Y |
Up to 32,000 shares of common stock to be sold (in four tranches of up to 8,000 shares each subject to vesting of RSUs) |
* Denotes whether the trading plan is intended, when adopted, to satisfy the affirmative defense of Rule 10b5-1(c).
Item 9C. Disclosure Regarding Foreign Jurisdictions That Prevent Inspections
Not applicable.
PART III
Item 10. Directors, Executive Officers and Corporate Governance
Information required by this Item 10 will be set forth in the “Proposal No. 1 – Election of Class II Directors” and “Corporate Governance” sections of our definitive proxy statement relating to our 2026 annual meeting of shareholders, or the Proxy Statement, which will be filed with the Securities and Exchange Commission within 120 days after the end of the year covered by this Annual Report.
Item 11. Executive Compensation
Information required by this Item 11 will be set forth in the “Corporate Governance” section of the Proxy Statement, which will be filed with the Securities and Exchange Commission within 120 days after the end of the year covered by this Annual Report.
Item 12. Security Ownership of Certain Beneficial Owners and Management and Related Stockholder Matters
Information required by this Item 12 will be set forth in the “Principal Stockholders” section of the Proxy Statement, which will be filed with the Securities and Exchange Commission within 120 days after the end of the year covered by this Annual Report.
Item 13. Certain Relationships and Related Transactions, and Director Independence
Information required by this Item 13 will be set forth in the “Corporate Governance” and “Certain Relationships and Related Party Transactions” sections of the Proxy Statement, which will be filed with the Securities and Exchange Commission within 120 days after the end of the year covered by this Annual Report.
Item 14. Principal Accountant Fees and Services
Our independent public accounting firm is Deloitte & Touche LLP, Boston, Massachusetts, PCAOB Auditor ID No. 34. Information required by this Item 14 will be set forth in our Proxy Statement, which will be filed with the Securities and Exchange Commission within 120 days after the end of the year covered by this Annual Report.
PART IV
Item 15. Exhibits and Financial Statement Schedules
For a list of the financial statements included herein, see Index to the Consolidated Financial Statements on page F-1 of this Annual Report on Form 10-K, incorporated into this Item by reference.
Financial statement schedules have been omitted because they are either not required or not applicable or the information is included in the consolidated financial statements or the notes thereto.
Exhibits:
|
|
|
|
Exhibit Number |
|
Description |
3.1 |
|
Fourth Amended and Restated Certificate of Incorporation of Registrant, as currently in effect (incorporated by reference to Exhibit 3.1 of the Registrant's Current Report on Form 8-K (File No. 001-40522) filed on June 28, 2021) |
3.2 |
|
Certificate of Amendment to the Fourth Amended and Restated Certificate of Incorporation of Registrant (incorporated by reference to Exhibit 3.1 of the Registrant’s Current Report on Form 8-K (File No. 001-40522) filed on June 14, 2023) |
3.3 |
|
Second Amended and Restated By-laws of the Registrant, as currently in effect (incorporated by reference to Exhibit 3.3 of the Registrant's Quarterly Report on Form 10-Q (File No. 001-40522) filed on May 9, 2024) |
4.1 |
|
Form of Specimen Common Stock Certificate (incorporated by reference to Exhibit 4.2 of the Registrant’s Registration Statement on Form S-1, as amended (File No. 333-256773) filed on June 28, 2021) |
4.2 |
|
Second Amended and Restated Investors’ Rights Agreement among the registrant and certain of its stockholders, dated March 11, 2021 (incorporated by reference to Exhibit 4.1 to the Registrant’s Registration Statement on Form S-1, as amended (File No. 333-256773) filed on June 28, 2021). |
4.3* |
|
Description of the Registrant’s Securities registered pursuant to Section 12 of the Securities Exchange Act of 1934, as amended. |
4.4 |
|
Form of Pre-Funded Warrant (incorporated by reference to Exhibit 4.1 of the Registrant's Current Report on Form 8-K (File No. 001-40522) filed on October 26, 2023) |
10.1# |
|
2020 Stock Option and Grant Plan, as amended, and forms of award agreements thereunder (Incorporated by reference to Exhibit 10.1 to the registrant’s Registration Statement on Form S-1, as amended (File No. 333-256773) filed on June 4, 2021) |
10.2# |
|
2021 Stock Option and Incentive Plan and forms of award agreements thereunder (incorporated by reference to Exhibit 99.2 of the Registrant’s Registration Statement on Form S-8 (File No. 333-257406) filed on June 25, 2021) |
10.3# |
|
2021 Employee Stock Purchase Plan (incorporated by reference to Exhibit 10.3 of the Registrant’s Registration Statement on Form S-1 (File No. 333-256773) filed on June 28, 2021) |
10.4# |
|
2026 Inducement Plan and forms of award agreements thereunder. |
10.5# |
|
Senior Executive Cash Incentive Bonus Plan (Incorporated by reference to Exhibit 10.4 to the registrant’s Registration Statement on Form S-1, as amended (File No. 333-256773) filed on June 4, 2021) |
10.6# |
|
Form of Officer Indemnification Agreement (Incorporated by reference to Exhibit 10.5 to the registrant’s Registration Statement on Form S-1, as amended (File No. 333-256773) filed on June 4, 2021) |
10.7# |
|
Form of Director Indemnification Agreement (Incorporated by reference to Exhibit 10.6 to the registrant’s Registration Statement on Form S-1, as amended (File No. 333-256773) filed on June 4, 2021) |
10.8# |
|
Employment Agreement between the Registrant and Markus Warmuth, effective as of June 28, 2021 (incorporated by reference to Exhibit 10.7 of the Registrant’s Registration Statement on Form S-1, as amended (File No. 333-256773) filed on June 21, 2021) |
10.9# |
|
Employment Agreement between the Registrant and Filip Janku, effective as of June 28, 2021 (incorporated by reference to Exhibit 10.12 of the Registrant’s Registration Statement on Form S-1, as amended (File No. 333-256773) filed on June 21, 2021) |
|
|
|
|
10.10 |
|
Lease Agreement between the Registrant and B9 LS Harrison & Washington LLC, dated December 14, 2021 (incorporated by reference by reference to Exhibit 10.20 of the Registrant's Annual Report on Form 10-K filed March 29. 2022) |
10.11# |
|
Amended and Restated Employment Agreement between the Registrant and Philip Nickson, effective as of March 1, 2022 (incorporated by reference to Exhibit 10.22 of the Registrant's Annual Report on Form 10-K filed March 29, 2022) |
10.12# |
|
Employment Agreement between the Registrant and Sharon Townson, effective as of June 28, 2021 (incorporated by reference to Exhibit 10.10 of the Registrant’s Registration Statement on Form S-1, as amended (File No. 333-256773) filed on June 21, 2021) |
10.13# |
|
Amended and Restated Employment Agreement between the Registrant and Jennifer Champoux, effective as of May 28, 2024 (incorporated by reference to Exhibit 10.1 of the Registrant’s Quarterly Report on Form 10-Q (File No. 001-40522) filed on August 8, 2024) |
10.14 |
|
Securities Purchase Agreement, dated October 26, 2023 (incorporated by reference to Exhibit 10.1 of the Registrant's Current Report on Form 8-K (File No. 001-40522) filed on October 26, 2023) |
10.15† |
|
Collaboration and License Agreement between Monte Rosa Therapeutics AG, F. Hoffmann-La Roche Ltd. and Hoffmann-La Roche Inc., dated as of October 16, 2023 (incorporated by reference to Exhibit 10.2 of the Registrant’s Quarterly Report on Form 10-Q filed on November 9, 2023) |
10.16† |
|
License Agreement between Monte Rosa Therapeutics AG and Novartis Pharma AG, dated as of October 25, 2024 (incorporated by reference by reference to Exhibit 10.16 of the Registrant's Annual Report on Form 10-K filed March 20. 2025) |
10.17† |
|
Collaboration, Option, and License Agreement between Monte Rosa Therapeutics AG and Novartis Pharma AG, dated as of September 13, 2025 (incorporated by reference to Exhibit 10.1 of the Registrant's Quarterly Report on Form 10-Q filed on November 6, 2025). |
19.1* |
|
Amended and Restated Insider Trading Policy and Rule 10b5-1 Trading Plan Policy |
21.1* |
|
List of Subsidiaries of the Registrant |
23.1* |
|
Consent of Deloitte & Touche LLP, independent registered public accounting firm |
31.1* |
|
Certification of Principal Executive Officer and Principal Financial Officer Pursuant to Rules 13a-14(a) and 15d-14(a) under the Securities Exchange Act of 1934, as Adopted Pursuant to Section 302 of the Sarbanes-Oxley Act of 2002 |
32.1** |
|
Certification of Principal Executive Officer and Principal Financial Officer Pursuant to 18 U.S.C. Section 1350, as Adopted Pursuant to Section 906 of the Sarbanes-Oxley Act of 2002 |
97.1 |
|
Monte Rosa Therapeutics, Inc. Amended and Restated Compensation Recovery Policy (incorporated by reference to Exhibit 97.1 of the Registrant's Annual Report on Form 10-K filed March 20, 2025) |
101.INS |
|
Inline XBRL Instance Document – the instance document does not appear in the Interactive Data File because XBRL tags are embedded within the Inline XBRL document. |
101.SCH |
|
Inline XBRL Taxonomy Extension Schema With Embedded Linkbase Documents |
104 |
|
Cover Page Interactive Data File (embedded within the Inline XBRL document) |
* Filed herewith.
** Deemed to be furnished with this Annual Report on Form 10-K and will not be deemed to be “filed” for purposes of Section 18 of the Securities Exchange Act of 1934, as amended, except to the extent that the registrant specifically incorporates it by reference.
# Management compensatory plan, contract, or arrangement
† Portions of this exhibit (indicated by asterisks) will be omitted in accordance with the rules of the SEC.
Item 16. Form 10-K Summary
Not applicable.
SIGNATURES
Pursuant to the requirements of Section 13 or 15(d) of the Securities Exchange Act of 1934, as amended, the Registrant has duly caused this Report to be signed on its behalf by the undersigned, thereunto duly authorized.
|
|
|
|
|
|
|
Monte Rosa Therapeutics, Inc |
|
|
|
|
Date: March 17, 2026 |
|
By: |
/s/ Markus Warmuth |
|
|
|
Markus Warmuth |
|
|
|
President and Chief Executive Officer |
Pursuant to the requirements of the Securities Exchange Act of 1934, as amended, this Report has been signed below by the following persons on behalf of the Registrant in the capacities and on the dates indicated.
|
|
|
|
|
|
Name |
|
Title |
|
Date |
|
|
|
|
|
/s/ Markus Warmuth |
|
President, Chief Executive Officer and Director |
|
March 17, 2026 |
Markus Warmuth, M.D. |
|
(Principal Executive Officer and Principal Financial Officer) |
|
|
|
|
|
|
|
/s/ Edmund Dunn |
|
SVP, Corporate Controller |
|
March 17, 2026 |
Edmund Dunn, CPA |
|
(Principal Accounting Officer) |
|
|
|
|
|
|
|
/s/ Ali Behbahani |
|
Director |
|
March 17, 2026 |
Ali Behbahani |
|
|
|
|
|
|
|
|
|
/s/ Kimberly L. Blackwell |
|
Director |
|
March 17, 2026 |
Kimberly L. Blackwell |
|
|
|
|
|
|
|
|
|
/s/ Andrew Schiff |
|
Director |
|
March 17, 2026 |
Andrew Schiff |
|
|
|
|
|
|
|
|
|
/s/ Chandra P. Leo |
|
Director |
|
March 17, 2026 |
Chandra P. Leo |
|
|
|
|
|
|
|
|
|
/s/ Christine Siu |
|
Director |
|
March 17, 2026 |
Christine Siu |
|
|
|
|
|
|
|
|
|
/s/ Jan Skvarka |
|
Director |
|
March 17, 2026 |
Jan Skvarka |
|
|
|
|
|
|
|
|
|
/s/ Anthony Manning |
|
Director |
|
March 17, 2026 |
Anthony Manning |
|
|
|
|
|
|
|
|
|
/s/ Eric A. Hughes |
|
Director |
|
March 17, 2026 |
Eric A. Hughes |
|
|
|
|
|
|
|
|
|
Index to consolidated financial statements
REPORT OF INDEPENDENT REGISTERED PUBLIC ACCOUNTING FIRM
To the stockholders and the Board of Directors of Monte Rosa Therapeutics, Inc.
Opinion on the Financial Statements
We have audited the accompanying consolidated balance sheets of Monte Rosa Therapeutics, Inc. and subsidiaries (the "Company") as of December 31, 2025 and 2024, the related consolidated statements of operations and comprehensive loss, stockholders' equity, and cash flows, for each of the two years in the period ended December 31, 2025, and the related notes (collectively referred to as the "financial statements"). In our opinion, the financial statements present fairly, in all material respects, the financial position of the Company as of December 31, 2025 and 2024, and the results of its operations and its cash flows for each of the two years in the period ended December 31, 2025, in conformity with accounting principles generally accepted in the United States of America.
Basis for Opinion
These financial statements are the responsibility of the Company's management. Our responsibility is to express an opinion on the Company's financial statements based on our audits. We are a public accounting firm registered with the Public Company Accounting Oversight Board (United States) (PCAOB) and are required to be independent with respect to the Company in accordance with the U.S. federal securities laws and the applicable rules and regulations of the Securities and Exchange Commission and the PCAOB.
We conducted our audits in accordance with the standards of the PCAOB. Those standards require that we plan and perform the audit to obtain reasonable assurance about whether the financial statements are free of material misstatement, whether due to error or fraud. The Company is not required to have, nor were we engaged to perform, an audit of its internal control over financial reporting. As part of our audits, we are required to obtain an understanding of internal control over financial reporting but not for the purpose of expressing an opinion on the effectiveness of the Company's internal control over financial reporting. Accordingly, we express no such opinion.
Our audits included performing procedures to assess the risks of material misstatement of the financial statements, whether due to error or fraud, and performing procedures that respond to those risks. Such procedures included examining, on a test basis, evidence regarding the amounts and disclosures in the financial statements. Our audits also included evaluating the accounting principles used and significant estimates made by management, as well as evaluating the overall presentation of the financial statements. We believe that our audits provide a reasonable basis for our opinion.
/s/ Deloitte & Touche LLP
Boston, Massachusetts
March 17, 2026
We have served as the Company's auditor since 2021.
Monte Rosa Therapeutics, Inc.
Consolidated balance sheets
|
|
|
|
|
|
|
|
|
|
|
|
December 31, |
|
|
December 31, |
|
(in thousands, except share and per share amounts) |
|
2025 |
|
|
2024 |
|
Assets |
|
|
|
|
|
|
Current assets: |
|
|
|
|
|
|
Cash and cash equivalents |
|
$ |
129,883 |
|
|
$ |
224,254 |
|
Marketable securities |
|
|
247,221 |
|
|
|
147,895 |
|
Collaboration receivable |
|
|
7,000 |
|
|
|
— |
|
Other receivables |
|
|
4,600 |
|
|
|
173 |
|
Prepaid expenses and other current assets |
|
|
4,481 |
|
|
|
5,118 |
|
Total current assets |
|
|
393,185 |
|
|
|
377,440 |
|
Property and equipment, net |
|
|
25,986 |
|
|
|
29,483 |
|
Operating lease right-of-use assets |
|
|
24,386 |
|
|
|
26,831 |
|
Restricted cash |
|
|
4,954 |
|
|
|
4,863 |
|
Other long-term assets |
|
|
148 |
|
|
|
115 |
|
Total assets |
|
$ |
448,659 |
|
|
$ |
438,732 |
|
Liabilities and stockholders’ equity |
|
|
|
|
|
|
Current liabilities: |
|
|
|
|
|
|
Accounts payable |
|
$ |
3,550 |
|
|
$ |
17,215 |
|
Accrued expenses and other current liabilities |
|
|
26,694 |
|
|
|
18,785 |
|
Current deferred revenue |
|
|
29,571 |
|
|
|
117,232 |
|
Current portion of operating lease liability |
|
|
4,397 |
|
|
|
3,714 |
|
Total current liabilities |
|
|
64,212 |
|
|
|
156,946 |
|
Deferred revenue, net of current |
|
|
111,332 |
|
|
|
16,147 |
|
Defined benefit plan liability |
|
|
5,265 |
|
|
|
3,702 |
|
Operating lease liability, net of current |
|
|
34,794 |
|
|
|
39,001 |
|
Total liabilities |
|
|
215,603 |
|
|
|
215,796 |
|
Commitments and contingencies (Note 8) |
|
|
|
|
|
|
Stockholders’ equity |
|
|
|
|
|
|
Preferred stock, $0.0001 par value, 10,000,000 shares authorized |
|
|
— |
|
|
|
— |
|
Common stock, $0.0001 par value; 500,000,000 shares authorized, 65,543,723 and 61,507,446 shares issued and outstanding as of December 31, 2025 and 2024, respectively |
|
|
7 |
|
|
|
6 |
|
Additional paid-in capital |
|
|
714,090 |
|
|
|
664,874 |
|
Accumulated other comprehensive loss |
|
|
(3,827 |
) |
|
|
(3,356 |
) |
Accumulated deficit |
|
|
(477,214 |
) |
|
|
(438,588 |
) |
Total stockholders’ equity |
|
|
233,056 |
|
|
|
222,936 |
|
Total liabilities and stockholders’ equity |
|
$ |
448,659 |
|
|
$ |
438,732 |
|
See accompanying notes to the consolidated financial statements.
Monte Rosa Therapeutics, Inc.
Consolidated statements of operations and comprehensive loss
|
|
|
|
|
|
|
|
|
|
|
|
Year ended December 31, |
|
(in thousands, except share and per share amounts) |
|
2025 |
|
|
2024 |
|
Collaboration revenue |
|
$ |
123,672 |
|
|
$ |
75,622 |
|
Operating expenses: |
|
|
|
|
|
|
Research and development |
|
|
141,500 |
|
|
|
121,563 |
|
General and administrative |
|
|
36,380 |
|
|
|
35,171 |
|
Total operating expenses |
|
|
177,880 |
|
|
|
156,734 |
|
Loss from operations |
|
|
(54,208 |
) |
|
|
(81,112 |
) |
Other income: |
|
|
|
|
|
|
Interest income |
|
|
12,942 |
|
|
|
10,566 |
|
Foreign currency exchange gain, net |
|
|
1,484 |
|
|
|
416 |
|
Gain on disposal of fixed assets |
|
|
59 |
|
|
|
— |
|
Total other income |
|
|
14,485 |
|
|
|
10,982 |
|
Net loss before income taxes |
|
|
(39,723 |
) |
|
|
(70,130 |
) |
Income tax benefit (provision) |
|
|
1,097 |
|
|
|
(2,570 |
) |
Net loss |
|
$ |
(38,626 |
) |
|
$ |
(72,700 |
) |
Net loss per share—basic and diluted |
|
$ |
(0.46 |
) |
|
$ |
(0.98 |
) |
Weighted-average number of shares outstanding used in computing net loss per common share—basic and diluted |
|
|
83,071,185 |
|
|
|
73,910,026 |
|
Comprehensive loss: |
|
|
|
|
|
|
Net loss |
|
$ |
(38,626 |
) |
|
$ |
(72,700 |
) |
Other comprehensive loss: |
|
|
|
|
|
|
Provision for pension benefit obligation |
|
|
(518 |
) |
|
|
(802 |
) |
Unrealized gain on available-for-sale securities |
|
|
47 |
|
|
|
170 |
|
Comprehensive loss |
|
$ |
(39,097 |
) |
|
$ |
(73,332 |
) |
See accompanying notes to the consolidated financial statements.
Monte Rosa Therapeutics, Inc.
Consolidated statements stockholders’ equity
|
|
|
|
|
|
|
|
|
|
|
|
|
|
|
|
|
|
|
|
|
|
|
|
|
|
|
|
Common stock |
|
|
|
|
|
|
|
|
|
|
|
|
|
(in thousands, except share amounts) |
|
Shares |
|
|
Amount |
|
|
Additional paid-in capital |
|
|
Accumulated other comprehensive loss |
|
|
Accumulated deficit |
|
|
Total Stockholders’ equity |
|
Balance—January 1, 2024 |
|
|
50,140,233 |
|
|
$ |
5 |
|
|
|
547,857 |
|
|
$ |
(2,724 |
) |
|
$ |
(365,888 |
) |
|
$ |
179,250 |
|
Restricted common stock vesting |
|
|
136,730 |
|
|
|
— |
|
|
|
— |
|
|
|
— |
|
|
|
— |
|
|
|
— |
|
Exercise of common stock options |
|
|
299,222 |
|
|
|
— |
|
|
|
1,061 |
|
|
|
— |
|
|
|
— |
|
|
|
1,061 |
|
Provision for pension benefit obligation |
|
|
— |
|
|
|
— |
|
|
|
— |
|
|
|
(802 |
) |
|
|
— |
|
|
|
(802 |
) |
Stock-based compensation expense |
|
|
— |
|
|
|
— |
|
|
|
18,126 |
|
|
|
— |
|
|
|
— |
|
|
|
18,126 |
|
Unrealized gain on available-for-sale securities |
|
|
— |
|
|
|
— |
|
|
|
— |
|
|
|
170 |
|
|
|
— |
|
|
|
170 |
|
Issuance of shares under employee stock purchase plan |
|
|
162,279 |
|
|
|
— |
|
|
|
527 |
|
|
|
— |
|
|
|
— |
|
|
|
527 |
|
Issuance of common stock pursuant to the at-the market sales agreement, net of issuance costs of $89 |
|
|
130,506 |
|
|
|
— |
|
|
|
884 |
|
|
|
— |
|
|
|
— |
|
|
|
884 |
|
Issuance of common stock pursuant to the Underwritten Public Offering, net of issuance cost of $3,290 |
|
|
10,638,476 |
|
|
|
1 |
|
|
|
46,709 |
|
|
|
— |
|
|
|
— |
|
|
|
46,710 |
|
Issuance of pre-funded warrant, net of issuance costs of $290 |
|
|
— |
|
|
|
— |
|
|
|
49,710 |
|
|
|
— |
|
|
|
— |
|
|
|
49,710 |
|
Net loss |
|
|
— |
|
|
|
— |
|
|
|
— |
|
|
|
— |
|
|
|
(72,700 |
) |
|
|
(72,700 |
) |
Balance—December 31, 2024 |
|
|
61,507,446 |
|
|
$ |
6 |
|
|
$ |
664,874 |
|
|
$ |
(3,356 |
) |
|
$ |
(438,588 |
) |
|
$ |
222,936 |
|
Exercise of common stock options |
|
|
779,114 |
|
|
|
— |
|
|
|
5,723 |
|
|
|
— |
|
|
|
— |
|
|
|
5,723 |
|
Provision for pension benefit obligation |
|
|
— |
|
|
|
— |
|
|
|
— |
|
|
|
(519 |
) |
|
|
— |
|
|
|
(519 |
) |
Stock-based compensation expense |
|
|
— |
|
|
|
— |
|
|
|
18,865 |
|
|
|
— |
|
|
|
— |
|
|
|
18,865 |
|
Unrealized gain on available-for-sale securities |
|
|
— |
|
|
|
— |
|
|
|
— |
|
|
|
48 |
|
|
|
— |
|
|
|
48 |
|
Issuance of shares under employee stock purchase plan |
|
|
189,922 |
|
|
|
— |
|
|
|
735 |
|
|
|
— |
|
|
|
— |
|
|
|
735 |
|
Restricted common stock vesting |
|
|
112,159 |
|
|
|
— |
|
|
|
— |
|
|
|
— |
|
|
|
— |
|
|
|
— |
|
Issuance of common stock pursuant to the at-the market sales agreement, net of issuance costs of $1,107 |
|
|
2,955,082 |
|
|
|
1 |
|
|
|
23,893 |
|
|
|
— |
|
|
|
— |
|
|
|
23,894 |
|
Net loss |
|
|
— |
|
|
|
— |
|
|
|
— |
|
|
|
— |
|
|
|
(38,626 |
) |
|
|
(38,626 |
) |
Balance—December 31, 2025 |
|
|
65,543,723 |
|
|
$ |
7 |
|
|
$ |
714,090 |
|
|
$ |
(3,827 |
) |
|
$ |
(477,214 |
) |
|
$ |
233,056 |
|
See accompanying notes to the consolidated financial statements.
Monte Rosa Therapeutics, Inc.
Consolidated statements of cash flows
|
|
|
|
|
|
|
|
|
|
|
|
Year ended December 31, |
|
(in thousands) |
|
2025 |
|
|
2024 |
|
Cash flows from operating activities: |
|
|
|
|
|
|
Net loss |
|
$ |
(38,626 |
) |
|
$ |
(72,700 |
) |
Adjustments to reconcile net loss to net cash used in operating activities |
|
|
|
|
|
|
Stock-based compensation expense |
|
|
18,865 |
|
|
|
18,126 |
|
Depreciation |
|
|
8,356 |
|
|
|
8,121 |
|
Net accretion of discounts/premiums on marketable securities |
|
|
(2,145 |
) |
|
|
(2,948 |
) |
Gain on disposal of property and equipment |
|
|
(59 |
) |
|
|
— |
|
Changes in operating assets and liabilities |
|
|
|
|
|
|
Collaboration receivable |
|
|
(7,000 |
) |
|
|
— |
|
Other receivables |
|
|
(4,427 |
) |
|
|
332 |
|
Prepaid expenses and other assets |
|
|
604 |
|
|
|
(1,588 |
) |
Accounts payable |
|
|
(13,708 |
) |
|
|
6,252 |
|
Accrued expenses and other current liabilities |
|
|
7,852 |
|
|
|
4,184 |
|
Defined benefit plan liability |
|
|
1,045 |
|
|
|
187 |
|
Right-of-use assets and operating lease liabilities |
|
|
(1,079 |
) |
|
|
(1,348 |
) |
Deferred revenue |
|
|
7,524 |
|
|
|
83,378 |
|
Net cash (used in) provided by operating activities |
|
$ |
(22,798 |
) |
|
$ |
41,996 |
|
Cash flows from investing activities: |
|
|
|
|
|
|
Purchases of property and equipment |
|
|
(4,700 |
) |
|
|
(3,988 |
) |
Purchases of marketable securities |
|
|
(376,675 |
) |
|
|
(230,361 |
) |
Proceeds from maturities of marketable securities |
|
|
279,542 |
|
|
|
189,897 |
|
Net cash used in investing activities |
|
$ |
(101,833 |
) |
|
$ |
(44,452 |
) |
Cash flows from financing activities: |
|
|
|
|
|
|
Proceeds from sale of common stock pursuant to the at-the-market sales agreement, net of underwriter's discount |
|
|
24,250 |
|
|
|
944 |
|
Proceeds from underwritten public offering, net of underwriter's discount of $3,000 |
|
|
— |
|
|
|
47,001 |
|
Proceeds from the issuance of pre-funded warrants |
|
|
— |
|
|
|
50,000 |
|
Payment of common stock and pre-funded warrant issuance costs |
|
|
(357 |
) |
|
|
(641 |
) |
Proceeds from exercise of employee stock options |
|
|
5,723 |
|
|
|
1,061 |
|
Proceeds from employee stock purchase plan |
|
|
735 |
|
|
|
527 |
|
Net cash provided by financing activities |
|
$ |
30,351 |
|
|
$ |
98,892 |
|
Net (decrease) increase in cash, cash equivalents and restricted cash |
|
$ |
(94,280 |
) |
|
$ |
96,436 |
|
Cash, cash equivalents and restricted cash—beginning of period |
|
|
229,117 |
|
|
|
132,681 |
|
Cash, cash equivalents and restricted cash—end of period |
|
$ |
134,837 |
|
|
$ |
229,117 |
|
Reconciliation of cash, cash equivalents and restricted cash |
|
|
|
|
|
|
Cash and cash equivalents |
|
$ |
129,883 |
|
|
$ |
224,254 |
|
Restricted cash |
|
|
4,954 |
|
|
|
4,863 |
|
Total cash, cash equivalents and restricted cash |
|
$ |
134,837 |
|
|
$ |
229,117 |
|
Supplemental disclosure of noncash items |
|
|
|
|
|
|
Purchases of property and equipment in accounts payable and accrued expenses |
|
$ |
149 |
|
|
$ |
50 |
|
See accompanying notes to the consolidated financial statements.
Monte Rosa Therapeutics, Inc.
Notes to the consolidated financial statements
1. Description of business and liquidity
Business
Monte Rosa Therapeutics, Inc. is a biotechnology company developing a portfolio of novel small molecule precision medicines that employ the body’s natural mechanisms to selectively degrade therapeutically-relevant proteins. As used in these consolidated financial statements, unless the context otherwise requires, references to the Company or Monte Rosa refer to Monte Rosa Therapeutics, Inc. and its wholly owned subsidiaries Monte Rosa Therapeutics AG and Monte Rosa Therapeutics Securities Corporation. Monte Rosa Therapeutics AG, a Swiss operating company, was incorporated under the laws of Switzerland in April 2018. Monte Rosa Therapeutics, Inc. was incorporated in Delaware in November 2019. The Company is headquartered in Boston, Massachusetts with research operations in both Boston and Basel, Switzerland.
Risks and uncertainties
The Company is subject to risks common to companies in the biotechnology industry including, but not limited to, the successful discovery and development of its product candidates, new technological innovations, protection of proprietary technology, dependence on key personnel, compliance with government regulations and the need to obtain additional financing.
Liquidity considerations
Since inception, the Company has devoted substantially all its efforts to business planning, research and development, recruiting management and technical staff, and raising capital and has financed its operations primarily through issuance and sale of convertible promissory notes, convertible preferred stock, public offerings of common stock or warrants to purchase common stock, registered direct offerings, and through its collaborations with F. Hoffman-La Roche Ltd. and Hoffman-La Roche Inc., or Roche, and with Novartis AG, or Novartis.
The Company’s continued discovery and development of its product candidates will require significant additional research and development efforts, including extensive preclinical and clinical testing and regulatory approval prior to commercialization. These efforts require significant amounts of additional capital, adequate personnel and infrastructure and extensive compliance-reporting capabilities. Even if product development efforts are successful, it is uncertain when, if ever, the Company will realize significant revenue from product sales.
As of December 31, 2025, the Company had an accumulated deficit of $477.2 million. The Company has incurred losses and negative cash flows from operations since inception, including net losses of $38.6 million and $72.7 million for the years ended December 31, 2025 and 2024, respectively. The Company expects that its operating losses and negative cash flows will continue for the foreseeable future as the Company continues to develop its product candidates. The Company currently expects that its cash, cash equivalents and marketable securities of $377.1 million as of December 31, 2025, will be sufficient to fund operating expenses and capital requirements for at least 12 months from the date the 2025 annual consolidated financial statements are issued. However, additional funding will be necessary to fund future discovery research, preclinical and clinical activities. The Company will seek additional funding through public financings, debt financings, collaboration agreements, strategic alliances and licensing arrangements. Although it has been successful in raising capital in the past, there is no assurance that the Company will be successful in obtaining such additional financing on terms acceptable to it, if at all, and the Company may not be able to enter into collaborations or other arrangements. If the Company is unable to obtain funding, it could be forced to delay, reduce or eliminate its research and development programs, product portfolio expansion or commercialization efforts, which could adversely affect the Company’s business prospects, and even the ability to continue operations.
2. Summary of significant accounting policies
Basis of presentation
The accompanying consolidated financial statements have been prepared in conformity with accounting principles generally accepted in the United States of America, or GAAP, and are stated in U.S. dollars. Any reference in these notes to applicable guidance is meant to refer to the authoritative GAAP as found in the Accounting
Standards Codification and Accounting Standards Updates, or ASUs, of the Financial Accounting Standards Board, or FASB. All intercompany balances and transactions have been eliminated in consolidation.
Use of estimates
The preparation of the consolidated financial statements in conformity with GAAP requires the Company to make estimates and assumptions that affect the reported amounts of assets and liabilities and disclosures of contingent assets and liabilities at the date of the consolidated financial statements and reported amounts of expenses during the reporting periods. Actual results could differ from those estimates. On an ongoing basis, the Company evaluates its estimates, including those related to revenue recognition, accrued research and development expenses, pension benefit obligation, stock-based compensation and the valuation of deferred tax assets. The Company bases its estimates using historical experience, Company forecasts and future plans, current economic conditions, and information from third-party professionals that management believes to be reasonable under the circumstances, the results of which form the basis for making judgments about the carrying value of assets and liabilities and recorded amounts of expenses that are not readily apparent from other sources and adjusts those estimates and assumptions when facts and circumstances dictate.
Currency and currency translation
The consolidated financial statements are presented in U.S. dollars, the Company’s reporting currency. The functional currency of the Company’s wholly owned subsidiaries, Monte Rosa Therapeutics AG and Monte Rosa Securities Corporation, is the U.S. dollar. Adjustments that arise from exchange rate changes on transactions denominated in a currency other than the functional currency are included in foreign currency exchange gain (loss), net in the consolidated statements of operations.
Cash, cash equivalents and restricted cash
The Company considers all highly liquid investments with original maturities at the date of purchase of three months or less to be cash equivalents. Cash and cash equivalents are stated at fair value and may include money market funds, U.S. Treasury and U.S. government-sponsored agency securities, corporate debt, commercial paper and certificates of deposit. The Company’s cash equivalents at December 31, 2025 and 2024 consist of bank demand deposits and money market fund investments.
The Company had restricted cash of $5.0 million and $4.9 million as of December 31, 2025 and 2024, respectively, primarily related to security deposits on its leases for offices in Boston, Massachusetts and Basel, Switzerland.
Marketable securities
Investments in marketable securities are classified as available-for-sale. Available-for-sale securities are measured and reported at fair value using quoted prices in active markets for similar securities. Unrealized gains and losses on available-for-sale securities are reported as a separate component of stockholders’ equity. Premiums or discounts from par value are amortized to investment income over the life of the underlying investment. All of the Company’s available-for-sale securities are available to the Company for use in current operations. As a result, the Company classified all of these securities as current assets even though the stated maturity of some individual securities may be one year or more beyond the balance sheet date.
The Company reviews marketable securities whenever the fair value of an investment is less than the amortized cost and evidence indicates that an investment’s carrying value is not recoverable. For available-for-sale debt securities, the credit allowance is limited to the amount that fair value is less than amortized cost. Unrealized gains (losses) are evaluated for impairment under ASC 326, Financial Instruments - Credit Losses, to determine if the impairment is credit-related or noncredit-related. Credit-related impairment is recognized as an allowance on the consolidated balance sheets with a corresponding adjustment to earnings, and noncredit-related impairment is recognized in other comprehensive loss. Evidence considered in this assessment includes reasons for the impairment, compliance with our investment policy, the severity of the impairment, collectability of the security, and any adverse conditions specifically related to the security, an industry, or geographic area. No such adjustments were necessary during the periods presented.
Concentrations of credit risk and off-balance sheet risk
Financial instruments that potentially subject the Company to a concentration of credit risk consist primarily of cash, cash equivalents, and marketable securities. The Company has invested in cash and cash equivalents at December 31, 2025 and 2024, held in financial institutions that management believes are creditworthy. These deposits may exceed federally insured limits. The Company has not experienced any losses historically in these
accounts and believes it is not exposed to significant credit risk in its cash and cash equivalents. The Company has no significant off-balance sheet concentrations of credit risk, such as foreign currency exchange contracts, option contracts, or other hedging arrangements.
Fair value of financial instruments
Assets and liabilities recorded at fair value on a recurring basis in the balance sheets are categorized based upon the level of judgment associated with the inputs used to measure their fair values. Fair value is defined as the exchange price that would be received for an asset or an exit price that would be paid to transfer a liability in the principal or most advantageous market for the asset or liability in an orderly transaction between market participants on the measurement date. Valuation techniques used to measure fair value must maximize the use of observable inputs and minimize the use of unobservable inputs. The authoritative guidance on fair value measurements establishes a three-tier fair value hierarchy for disclosure of fair value measurements as follows:
Level 1—Observable inputs such as unadjusted, quoted prices in active markets for identical assets or liabilities at the measurement date.
Level 2—Inputs (other than quoted prices included in Level 1) that are either directly or indirectly observable for the asset or liability. These include quoted prices for similar assets or liabilities in active markets and quoted prices for identical or similar assets or liabilities in markets that are not active.
Level 3—Unobservable inputs that are supported by little or no market activity and that are significant to the fair value of the assets or liabilities.
To the extent that the valuation is based on models or inputs that are less observable or unobservable in the market, the determination of fair value requires more judgment. Accordingly, the degree of judgment exercised by the Company in determining fair value is greatest for instruments categorized in Level 3. A financial instrument’s level within the fair value hierarchy is based on the lowest level of any input that is significant to the fair value instrument.
Property and equipment
Property and equipment are stated at cost, subject to adjustments for impairments, less accumulated depreciation. Purchased assets that are not yet in service are classified as construction-in-process and no depreciation expense is recorded. Depreciation is calculated using the straight-line method over the estimated useful life of the asset as follows:
|
|
|
Asset |
Estimated useful life |
Laboratory equipment |
Five years |
Computer hardware |
Three years |
Furniture and fixtures |
Five years |
Leasehold Improvements |
Shorter of useful life or remaining lease term |
Maintenance and repairs that do not improve or extend the life of the respective asset are expensed as incurred. Upon disposal of an asset, the related cost and accumulated depreciation are removed from the accounts and any resulting gain or loss is included in the results of operations. Leasehold improvements are amortized over the shorter of the useful life or remaining term of the lease.
Impairment of long-lived assets
The Company evaluates whether current facts or circumstances indicate that the carrying values of its long-lived assets may not be recoverable. If such facts or circumstances are determined to exist, an estimate of the undiscounted future cash flows of these assets is compared to the carrying value the assets to determine whether impairment exists. If the assets are determined to be impaired, the loss is measured based on the difference between the fair value and carrying value of the assets. No material impairment losses were recorded during the periods presented.
Research and development expenses
Research and development costs are expensed as incurred. The Company’s research and development expenses consist primarily of costs incurred for the research and development of its product candidates and include expenses incurred under agreements with consultants to conduct preclinical and clinical studies, costs to acquire supplies for preclinical and clinical studies, salaries and related personnel costs, including stock-based compensation, depreciation and other allocated facility-related and overhead expenses.
Accrued research and development costs
The Company records accruals for estimated costs of discovery research activities, preclinical, and clinical studies. A portion of the Company’s research and development activities are conducted by third-party service providers. The financial terms of these contracts are subject to negotiation, which vary by contract and may result in payments that do not match the periods over which materials or services are provided. The Company accrues the costs incurred under the agreements based on an estimate of actual work completed in accordance with the agreements. In the event the Company makes advance payments for goods or services that will be used or rendered for future research and development activities, the payments are deferred and capitalized as a prepaid expense and recognized as expense as the goods are received or the related services are rendered. Such payments are evaluated for current or long-term classification based on when they are expected to be realized. If the Company does not identify costs that have begun to be incurred or if the Company underestimates or overestimates the level of services performed or the costs of these services, actual expenses could differ from the Company’s estimates.
Stock-based compensation
Stock-based compensation expense related to stock options granted to employees, directors and non-employees is recognized based on the grant-date estimated fair values of the awards using the Black-Scholes option pricing model, or Black-Scholes. Stock-based compensation expense related to stock options and other stock based awards granted to employees and non-employees is recognized based on the grant-date fair value of the Company’s common stock. The value is recognized as expense ratably over the requisite service period, which is generally the vesting term of the award. For stock options with performance-based vesting conditions, the Company records the expense for these awards based upon the fair value of the awards on the date of grant and the number of shares expected to vest based on the terms of the underlying award agreement and the requisite service periods. The Company adjusts the expense for actual forfeitures as they occur. Stock-based compensation expense is classified in the accompanying consolidated statements of operations based on the function to which the related services are provided.
Income taxes
The Company uses the liability method to account for income taxes. Under this method, deferred tax assets and liabilities are determined based on differences between the financial statement carrying amounts of existing assets and liabilities and their tax bases. Deferred tax assets and liabilities are measured using enacted tax rates applied to taxable income in the years in which those temporary differences are expected to be recovered or settled. A valuation allowance is established when necessary to reduce deferred tax assets to the amount expected to be realized.
The Company assesses the likelihood of deferred tax assets being realized. A valuation allowance is provided when it is more likely than not that some portion or all of a deferred tax asset will not be realized. In assessing the realizability of deferred tax assets, the Company considers whether it is more likely than not that some portion or all of the deferred tax assets will not be realized. The ultimate realization of deferred tax assets is dependent upon the generation of future taxable income during the periods in which the temporary differences representing net future deductible amounts become deductible.
The Company files U.S. federal and state income tax returns, as well as Swiss income tax returns. The Company’s tax positions are subject to audit. Financial statement effects of uncertain tax positions are recognized when it is more likely than not, based on the technical merits of the position, that it will be sustained upon examination. The Company evaluates uncertain tax positions on a regular basis. The evaluations are based on a number of factors, including changes in facts and circumstances, changes in tax law, correspondence with tax authorities during the course of the audit, and effective settlement of audit issues. Interest and penalties related to unrecognized tax benefits are included within the provision for income tax. To date, the Company has not been subject to any interest and penalties.
Defined pension benefit obligation
The Company maintains a mandatory pension for its employees in Switzerland through affiliation with the AXA Leben AG, or AXA. All benefits in accordance with the regulations are reinsured in their entirety with AXA within the framework of the corresponding contract. This plan is considered to be a defined benefit plan under GAAP.
The Company recognizes an asset for the plan’s overfunded status or a liability for the plan’s underfunded status on its consolidated balance sheets. Additionally, the Company measures the plan’s assets and obligations that
determine its funded status as of the end of the year and recognizes the change in the funded status within the consolidated statements of operations and comprehensive loss.
The Company uses an actuarial valuation to determine its pension benefit costs and credits. The amounts calculated depend on a variety of key assumptions, including discount rates and expected return on plan assets. Details of the assumptions used to determine the net funded status are described in Note 13, Employee retirement plans. The Company’s pension plan assets are assigned to their respective levels in the fair value hierarchy in accordance with the valuation principles described in the Fair Value of Financial Instruments section above.
Segments
Operating segments are defined as components of an entity for which separate financial information is available and that is regularly reviewed by the chief operating decision maker, or CODM, in deciding how to allocate resources to an individual segment and in assessing performance. The Company’s CODM is its chief executive officer. The Company manages its operations as a single segment for the purposes of assessing performance and making operating decisions.
Revenue recognition
The Company recognizes revenue in accordance with ASC No. 606, Revenue from Contracts with Customers, or ASC 606. ASC 606 applies to all contracts with customers, except for certain contracts that are within the scope of other guidance. Accordingly, the Company recognizes revenue when its customer obtains control of the promised goods and/or services in an amount that reflects the consideration it expects to receive in exchange for those goods and/or services. To determine the appropriate amount of revenue to be recognized, the Company performs the following steps: (i) Identify the contract(s) with the customer, (ii) Identify the promised goods and/or services in the contract and determine which promised goods and/or services represent performance obligations, (iii) Measure the transaction price, (iv) Allocate the transaction price to the performance obligations in the contract and (v) Recognize revenue when (or as) each performance obligation is satisfied.
Pursuant to the guidance in ASC 606, the Company accounts for a contract with a customer that is within the scope of ASC 606 when all of the following criteria are met: (i) The arrangement has been approved by the parties and the parties are committed to perform their respective obligations, (ii) Each party’s rights regarding the goods and/or services to be transferred can be identified, (iii) The payment terms for the goods and/or services to be transferred can be identified, (iv) The arrangement has commercial substance and (v) Collection of substantially all of the consideration to which the Company will be entitled in exchange for the goods and/or services that will be transferred to the customer is probable.
The Company assesses the goods and/or services promised within a contract that contains multiple promises to evaluate which promises are distinct. Promises are considered to be distinct and therefore, accounted for as separate performance obligations, provided that: (i) The customer can benefit from the good or service either on its own or together with other resources that are readily available to the customer and (ii) The promise to transfer the good or service to the customer is separately identifiable from other promises in the contract. The Company determines that a customer can benefit from a good or service if it could be used, consumed, or sold for an amount that is greater than scrap value, or otherwise held in a way that generates economic benefits. Factors that are considered in determining whether or not two or more promises are not separately identifiable include, but are not limited to, the following: (i) The Company provides a significant service of integrating goods and/or services with other goods and/or services promised in the contract, (ii) One or more of the goods and/or services significantly modifies or customizes, or are significantly modified or customized by, one or more of the other goods and/or services promised in the contract and (iii) The goods and/or services are highly interdependent or highly interrelated. In assessing whether promised goods and/or services are distinct from the other promises, the Company considers factors such as the stage of development of the underlying intellectual property, the capabilities of the collaborative partner and the availability of the associated expertise in the marketplace. The Company also considers whether the customer can benefit from a promise for its intended purpose without the receipt of the remaining promises, whether the value of a promise is dependent on the unsatisfied promises, whether there are other vendors that could provide the remaining promises and whether a promise is separately identifiable from the remaining promises. Individual goods or services (or bundles of goods and/or services) that meet both criteria for being distinct are accounted for as separate performance obligations. Promises that are not distinct at contract inception are combined into a single performance obligation.
The Company considers a customer’s right to elect to obtain additional goods and/or services at such customer’s discretion to be an option if it is not presently obligated to provide the goods and/or services and it is not entitled
to compensation in exchange for the associated goods and/or services. Options to acquire additional goods and/or services are evaluated to determine if the option provides a material right to the customer that it would not have received without entering into the contract. If so, the option is accounted for as a separate performance obligation. If not, the option is considered a marketing offer which would be accounted for as a separate contract upon the customer’s exercise. Situations in which a customer has an ability to acquire additional goods and/or services for free or at significantly discounted rates are considered to provide the customer with a material right. Options to purchase goods and/or services at prices that reflect the standalone selling prices of the associated goods and/or services are accounted for as marketing offers.
The Company measures the transaction price based on the amount of consideration to which it expects to be entitled in exchange for transferring the promised goods and/or services to the customer. The Company utilizes either the expected value method or the most likely amount method to estimate the amount of variable consideration, depending on which method is expected to better predict the amount of consideration to which it will be entitled. Amounts of variable consideration are included in the transaction price to the extent that it is probable that a significant reversal in the amount of cumulative revenue recognized will not occur when the uncertainty associated with the variable consideration is subsequently resolved. There is considerable judgment involved in determining whether it is probable that a significant revenue reversal would not occur. With respect to research, development, regulatory and first sale milestone payments, at the inception of the arrangement, the Company evaluates whether the associated event is considered probable of achievement and estimates the amount to be included in the transaction price using the most likely amount method. As part of the evaluation for research and development milestone payments, the Company considers several factors, including the stage of development of the targets included in the arrangement, the risk associated with the remaining research and development work required to achieve the particular milestone and whether or not the achievement of the specific milestone event is within the Company’s control. Milestone events that are not within the control of the Company or the licensee, such as those dependent upon receipt of regulatory approval or the first sale of a commercialized product, are not considered to be probable of achievement until the triggering event occurs. With respect to royalties, including milestone payments based upon the achievement of a certain level of product sales, wherein the license is deemed to be the sole or predominant item to which the payments relate, the Company recognizes revenue upon the later of: (i) When the related sales occur or (ii) When the performance obligation to which some or all of the payment has been allocated has been satisfied (or partially satisfied). To date, the Company has not recognized any regulatory or sales-based milestone payments or royalty revenue resulting from its collaboration arrangements.
The Company updates its assessment of the estimated transaction price, including the constraint on variable consideration, at the end of each reporting period and as uncertain events are resolved or other changes in circumstances occur. Any adjustments to the transaction price are recorded on a cumulative catch-up basis, which affect revenue and net loss in the period of adjustment. Amounts to be received with respect to customer options are included in the transaction price upon exercise. And payments associated with milestone events that may only be achieved after the exercise of a customer option are excluded from the initial determination of the transaction price.
The Company generally allocates the transaction price to each performance obligation identified in the contract on a relative standalone selling price basis. However, certain components of variable consideration are allocated specifically to one or more particular performance obligations to the extent both of the following criteria are met: (i) The terms of the payment relate specifically to the efforts to satisfy the performance obligation or transfer the distinct good or service and (ii) Allocating the variable amount of consideration entirely to the performance obligation or the distinct good or service is consistent with the allocation objective of the standard whereby the amount allocated depicts the amount of consideration to which the entity expects to be entitled in exchange for transferring the promised goods or services. Option exercise fees are allocated to the goods and/or services underlying the associated option. The Company develops assumptions that require judgment to determine the standalone selling price for each performance obligation identified in the contract. The key assumptions utilized in determining the standalone selling price for each performance obligation include projected development timelines, estimated research costs, likelihood of exercise and probabilities of technical success.
Revenue is recognized based on the amount of the transaction price that is allocated to each respective performance obligation when or as the performance obligation is satisfied by transferring a promised good and/or service to the customer. For performance obligations that are satisfied at a point in time, the Company recognizes revenue when control of the goods and/or services are transferred to the customer. For performance obligations that are satisfied over time, the Company recognizes revenue by measuring the progress toward complete satisfaction of the performance obligation using a single method of measuring progress which depicts the
performance in transferring control of the associated goods and/or services to the customer. The Company uses input methods to measure the progress toward the complete satisfaction of performance obligations satisfied over time. With respect to promises related to licenses to intellectual property that is determined to be distinct from the other performance obligations identified in the arrangement, the Company recognizes revenue from amounts allocated to the license when the license is transferred to the licensee and the licensee is able to use and benefit from the license. For licenses that are bundled with other promises, the Company utilizes judgment to assess the nature of the combined performance obligation to determine whether the combined performance obligation is satisfied over time or at a point in time and, if over time, the appropriate method of measuring progress for purposes of recognizing revenue. The Company evaluates the measure of progress each reporting period and, if necessary, adjusts the measure of performance and related revenue recognition. Any such adjustments are recorded on a cumulative catch-up basis, which affect revenue and net loss in the period of adjustment. Amounts allocated to material rights are recognized as revenue the earlier of: (i) When or as the option is exercised and the underlying future goods and/or services are transferred or (ii) When the option expires.
Significant judgments and estimates made in accounting for contracts with customers include: identifying the performance obligations in the contract, measuring the amount of variable consideration to include in the transaction price, estimating the standalone selling prices of the individual performance obligations, assessing the nature of a combined performance obligation to determine whether control is transferred over time or at a point in time, selecting the appropriate method of measuring progress used to recognize revenue for performance obligations satisfied over time and updating measures of progress to reflect revisions in the outcome of performance obligations. Certain of these judgments and estimates are subject to change over the course of the arrangement, particularly with respect to estimating variable consideration and updating the measure of progress, which would impact the revenue recognized. Significant changes in these assumptions and estimates could have a material impact on the timing and amount of revenue recognized in future periods. The Company considers at the contract level whether there is a need for a provision for losses on contracts.
The Company receives payments from its licensee based on billing schedules established in the contract. Amounts received or due prior to the Company performing its obligations under the arrangement are recorded as deferred revenue. Amounts expected to be recognized as revenue within the 12 months following the balance sheet date are classified as current deferred revenue. Amounts not expected to be recognized as revenue within the 12 months following the balance sheet date are classified as deferred revenue, net of current portion. Amounts payable to the Company are recorded as accounts receivable when the Company’s right to the consideration is unconditional.
Warrants
The Company accounts for common stock warrants as either equity-classified or liability-classified instruments based on an assessment of the warrant’s specific terms and applicable authoritative guidance in ASC No. 480, Distinguishing Liabilities from Equity, or ASC 480, and ASC No. 815, Derivatives and Hedging, or ASC 815. The assessment considers whether the warrants are freestanding financial instruments pursuant to ASC 480, whether the warrants meet the definition of a liability pursuant to ASC 480, and whether the warrants meet all of the requirements for equity classification under ASC 815, including whether the warrants are indexed to the Company’s own common stock and whether the warrant holders could potentially require “net cash settlement” in a circumstance outside of the Company’s control, among other conditions for equity classification. This assessment, which requires the use of professional judgment, is conducted at the time of warrant issuance and as of each subsequent quarterly period end date while the warrants are outstanding.
For issued or modified warrants that meet all of the criteria for equity classification, the warrants are required to be recorded as a component of additional paid-in capital at the time of issuance. For issued or modified warrants that do not meet all the criteria for equity classification, the warrants are required to be recorded at their initial fair value on the date of issuance and remeasured each balance sheet date thereafter. Changes in the estimated fair value of the liability-classified warrants are recognized as a non-cash gain or loss in the accompanying consolidated statements of operations and comprehensive loss.
Comprehensive income (loss)
Comprehensive income (loss) is defined as the change in equity of a business enterprise during a period from transactions and other events and circumstances from non-owner sources. The Company’s other comprehensive income (loss) includes adjustments to unrecognized pension benefit costs for Monte Rosa Therapeutics AG and changes in unrealized gains and losses from available-for-sale investments. The Company reported other comprehensive loss of $0.5 million and $0.6 million for the years ended December 31, 2025 and 2024, respectively.
Recently issued accounting pronouncements
The Company has elected to use the extended transition period for complying with new or revised accounting standards as available under the Jumpstart Our Business Startups Act (JOBS Act).
In November 2024, the FASB issued ASU 2024-03, Income Statement Reporting Comprehensive Income—Expense Disaggregation Disclosures (Subtopic 220-40), which requires disaggregated disclosure of income statement expenses for public business entities. ASU 2024-03 requires disclosure of, in a tabular presentation, each relevant expense caption on the face of the income statement that includes any of the following natural expenses: (1) purchases of inventory, (2) employee compensation, (3) depreciation, (4) intangible asset amortization, and (5) depreciation, depletion, and amortization (DD&A) recognized as part of oil- and gas-producing activities or other types of depletion expenses. The tabular disclosure would also include certain other expenses, when applicable. The standard is effective for fiscal years beginning after December 15, 2026, and interim periods within fiscal years beginning after December 15, 2027. The Company is currently evaluating the impact the adoption of this standard will have on its consolidated financial statements and related disclosures.
Recently adopted accounting pronouncements
In December 2023, the FASB issued ASU 2023-09, Income Taxes (Topic 740): Improvements to Income Tax Disclosures, which is intended to provide enhancements to annual income tax disclosures. The standard requires more detailed information in the rate reconciliation table and for income taxes paid, among other enhancements. The Company retroactively adopted ASU 2023-09 in December 2025 and updated its disclosures in Note 12, Income taxes, as a result. The adoption did not otherwise materially affect the Company's consolidated financial statements.
3. Fair value measurements
The following tables present information about the Company’s financial assets and liabilities measured at fair value on a recurring basis and indicate the level of the fair value hierarchy utilized to determine such fair values (in thousands):
|
|
|
|
|
|
|
|
|
|
|
|
|
|
|
|
|
|
|
|
As of December 31, 2025 |
|
|
|
Level 1 |
|
|
Level 2 |
|
|
Level 3 |
|
|
Total |
|
Current assets |
|
|
|
|
|
|
|
|
|
|
|
|
Money market funds |
|
$ |
129,279 |
|
|
$ |
— |
|
|
$ |
— |
|
|
$ |
129,279 |
|
Pension plan assets |
|
|
— |
|
|
|
12,440 |
|
|
|
— |
|
|
|
12,440 |
|
Corporate debt securities |
|
|
— |
|
|
|
99,596 |
|
|
|
— |
|
|
|
99,596 |
|
U.S Treasury securities |
|
|
— |
|
|
|
147,625 |
|
|
|
— |
|
|
|
147,625 |
|
Total assets measured at fair value |
|
$ |
129,279 |
|
|
$ |
259,661 |
|
|
$ |
— |
|
|
$ |
388,940 |
|
|
|
|
|
|
|
|
|
|
|
|
|
|
|
|
|
|
|
|
|
As of December 31, 2024 |
|
|
|
Level 1 |
|
|
Level 2 |
|
|
Level 3 |
|
|
Total |
|
Current assets |
|
|
|
|
|
|
|
|
|
|
|
|
Money market funds |
|
$ |
223,657 |
|
|
$ |
— |
|
|
$ |
— |
|
|
$ |
223,657 |
|
Pension plan assets |
|
|
— |
|
|
|
9,413 |
|
|
|
— |
|
|
|
9,413 |
|
Corporate debt securities |
|
|
— |
|
|
|
63,758 |
|
|
|
— |
|
|
|
63,758 |
|
U.S Treasury securities |
|
|
— |
|
|
|
84,137 |
|
|
|
— |
|
|
|
84,137 |
|
Total assets measured at fair value |
|
$ |
223,657 |
|
|
$ |
157,308 |
|
|
$ |
— |
|
|
$ |
380,965 |
|
Money market funds are highly liquid investments and are actively traded. The pricing information on the Company’s money market funds is based on quoted prices in active markets for identical securities. This approach results in the classification of these securities as Level 1 of the fair value hierarchy.
The fair value of pension plan assets has been determined as the surrender value of the portfolio of active insured members held within the Columna Collective Foundation Group investment fund and is classified within Level 2 of the fair value hierarchy.
Marketable securities consist of corporate debt securities and U.S. Treasury securities which are classified as available-for-sale pursuant to ASC 320, Investments—Debt and Equity Securities. Marketable securities are classified within Level 2 of the fair value hierarchy because pricing inputs are other than quoted prices in active markets. The fair values of these investments are estimated by taking into consideration valuations obtained from third-party pricing services. The pricing services utilize industry standard valuation models, including both income- and market-based approaches, for which all significant inputs are observable, either directly or indirectly, to
estimate fair value. These inputs include reported trades of and broker/dealer quotes on the same or similar securities, issuer credit spreads, benchmark securities based on historical data and other observable inputs.
There were no transfers among Level 1, Level 2 or Level 3 categories in the years ended December 31, 2025 and 2024.
4. Marketable securities
Marketable securities as of December 31, 2025, consisted of the following (in thousands):
|
|
|
|
|
|
|
|
|
|
|
|
|
|
|
|
|
|
|
|
Amortized |
|
|
Unrealized |
|
|
Unrealized |
|
|
Fair |
|
|
|
Cost |
|
|
Gains |
|
|
Losses |
|
|
Value |
|
Description |
|
|
|
|
|
|
|
|
|
|
|
|
Corporate debt securities |
|
$ |
99,543 |
|
|
$ |
53 |
|
|
$ |
— |
|
|
|
99,596 |
|
U.S Treasury securities |
|
|
147,514 |
|
|
|
111 |
|
|
|
— |
|
|
|
147,625 |
|
Total |
|
$ |
247,057 |
|
|
$ |
164 |
|
|
$ |
— |
|
|
$ |
247,221 |
|
Marketable securities as of December 31, 2024, consisted of the following (in thousands):
|
|
|
|
|
|
|
|
|
|
|
|
|
|
|
|
|
|
|
|
Amortized |
|
|
Unrealized |
|
|
Unrealized |
|
|
Fair |
|
|
|
Cost |
|
|
Gains |
|
|
Losses |
|
|
Value |
|
Description |
|
|
|
|
|
|
|
|
|
|
|
|
Corporate debt securities |
|
$ |
63,710 |
|
|
$ |
56 |
|
|
$ |
(8 |
) |
|
|
63,758 |
|
U.S Treasury securities |
|
|
84,068 |
|
|
|
75 |
|
|
|
(6 |
) |
|
|
84,137 |
|
Total |
|
$ |
147,778 |
|
|
$ |
131 |
|
|
$ |
(14 |
) |
|
$ |
147,895 |
|
As of December 31, 2025, the Company held 69 marketable securities, 1 of which was in an unrealized loss position, and the aggregate fair value of securities in a loss position was $3.2 million. As of December 31, 2024, the Company held 53 marketable securities, 9 of which were in an unrealized loss position, and the aggregate fair value of securities in a loss position was $20.0 million. There were no individual securities that were in a significant unrealized loss position as of December 31, 2025 or 2024.
The Company holds debt securities of companies with high credit quality and has determined that there was no material change in the credit risk of any of its debt securities. The Company also believes that it will be able to collect both principal and interest amounts due to it at maturity.
5. Property and equipment, net
Property and equipment, net, consist of the following (in thousands):
|
|
|
|
|
|
|
|
|
|
|
|
December 31, 2025 |
|
|
December 31, 2024 |
|
Laboratory equipment |
|
$ |
27,022 |
|
|
$ |
25,041 |
|
Computer hardware and software |
|
|
1,388 |
|
|
|
1,256 |
|
Furniture and fixtures |
|
|
1,402 |
|
|
|
1,099 |
|
Leasehold improvements |
|
|
23,669 |
|
|
|
22,387 |
|
Construction in process |
|
|
118 |
|
|
|
64 |
|
Total property and equipment, at cost |
|
$ |
53,599 |
|
|
$ |
49,847 |
|
Less: accumulated depreciation |
|
|
(27,613 |
) |
|
|
(20,364 |
) |
Property and equipment, net |
|
$ |
25,986 |
|
|
$ |
29,483 |
|
Depreciation expense for the years ended December 31, 2025 and 2024 was $8.4 million and $8.1 million, respectively.
6. Accrued expenses and other current liabilities
Accrued expenses and other current liabilities consist of the following (in thousands):
|
|
|
|
|
|
|
|
|
|
|
|
December 31, |
|
|
December 31, |
|
|
|
2025 |
|
|
2024 |
|
Accrued compensation and benefits |
|
$ |
9,998 |
|
|
$ |
8,220 |
|
Accrued research and development |
|
|
15,118 |
|
|
|
7,211 |
|
Other |
|
|
1,578 |
|
|
|
3,354 |
|
Total accrued expenses and other current liabilities |
|
$ |
26,694 |
|
|
$ |
18,785 |
|
7. Leases
The Company determines if an arrangement is a lease at inception. Operating leases are included in operating lease right-of-use or ROU assets and operating lease liabilities in the consolidated balance sheets. The Company has no finance leases as of December 31, 2025.
ROU assets represent the right to use an underlying asset for the lease term and lease liabilities represent the obligation to make lease payments arising from the lease. Operating lease ROU assets and liabilities are recognized at commencement date based on the present value of lease payments over the lease term. As the Company’s leases do not provide an implicit rate, management estimated the incremental borrowing rate based on the rate of interest the Company would have to pay to borrow a similar amount on a collateralized basis over a similar term. The Company uses its incremental borrowing rate based on the information available at commencement date in determining the present value of lease payments.
Klybeckstrasse Lease
In March 2021, the Company entered into an operating lease agreement, or the Klybeckstrasse Lease, for office and laboratory space with Wincasa AG, or the Basel Landlord, that occupies approximately 21,422 square feet located at Klybeckstrasse 191, 4057 Basel, Basel-City, Switzerland. In April 2023, the Company and the Basel Landlord amended the Klybeckstrasse Lease which increased the office and laboratory space square footage from 21,422 square feet to 44,685 square feet and extended the term of the lease through June 30, 2027.
Harrison Avenue Lease
In December 2021, the Company entered into a non-cancelable lease agreement, or the Harrison Avenue Lease, for 63,327 square feet of office and laboratory space to support its expanding operations, or the Harrison Avenue Lease. The term of the lease commenced on April 1, 2022, and the Company’s obligation to pay rent began on December 21, 2022. The initial term of the lease is 128 months following the commencement date at which point the Company has the option to extend the lease an additional 5 years. The Company has determined that it is not reasonably certain to exercise the option to extend the lease and has not included the extension period in the lease term. The annual base rent under the Harrison Avenue Lease is $95 per square foot for the first year, which is subject to scheduled annual increases of 3%, plus certain costs, operating expenses and property management fees.
The components of lease expense for the years ended December 31, 2025 and 2024 are as follows (in thousands):
|
|
|
|
|
|
|
|
|
|
|
|
Year ended December 31, |
|
|
|
2025 |
|
|
2024 |
|
Operating lease expense |
|
$ |
6,574 |
|
|
$ |
6,501 |
|
Variable lease expense |
|
|
2,646 |
|
|
|
3,954 |
|
Total lease expense |
|
$ |
9,220 |
|
|
$ |
10,455 |
|
The variable lease expenses generally include common area maintenance and property taxes.
Of the total lease expense recorded in the consolidated statements of operations and comprehensive loss, $7.8 million and $8.7 million were recorded within research and development expenses and $1.4 million and $1.8 million were recorded in general and administrative expenses for the years ended December 31, 2025 and 2024, respectively. Short-term lease costs in the years ended December 31, 2025 and 2024 were immaterial.
The weighted average remaining lease term and discount rate related to the Company's leases are as follows:
|
|
|
|
|
|
|
|
|
|
|
|
December 31, 2025 |
|
|
December 31, 2024 |
|
Weighted average remaining lease term (years) |
|
|
6.8 |
|
|
|
7.7 |
|
Weighted average discount rate |
|
|
9.9 |
% |
|
|
9.8 |
% |
Supplemental cash flow information and other information relating to the Company's leases for the years ended December 31, 2025 and 2024 are as follows (in thousands):
|
|
|
|
|
|
|
|
|
|
|
|
Year ended December 31, |
|
|
|
2025 |
|
|
2024 |
|
Right-of-use assets obtained in exchange for operating lease obligations |
|
$ |
— |
|
|
$ |
108 |
|
Cash paid for amounts included in the measurement of lease liabilities |
|
$ |
7,784 |
|
|
$ |
3,161 |
|
The amortization of the ROU assets for the years ended December 31, 2025 and 2024 was $2.5 million and $2.1 million, respectively.
Future minimum lease payments under non-cancelable leases as of December 31, 2025 for each of the years ending December 31st are as follows (in thousands):
|
|
|
|
|
|
Undiscounted lease payments |
|
|
|
2026 |
|
$ |
8,010 |
|
2027 |
|
|
7,687 |
|
2028 |
|
|
7,360 |
|
2029 |
|
|
7,581 |
|
2030 |
|
|
7,808 |
|
Thereafter |
|
|
15,635 |
|
Total undiscounted minimum lease payments |
|
|
54,081 |
|
Less: Imputed interest |
|
|
(14,890 |
) |
Total operating lease liability |
|
$ |
39,191 |
|
8. Commitments and contingencies
Legal proceedings
From time to time, the Company may be subject to legal proceedings, claims and disputes that arise in the ordinary course of business. The Company accrues a liability for such matters when it is probable that future expenditures will be made and that such expenditures can be reasonably estimated. As of December 31, 2025, the Company is not a party to any litigation and does not have a contingency reserve established for any litigation liabilities.
Indemnification
The Company, as permitted under Delaware law and in accordance with its certification of incorporation and bylaws and pursuant to indemnification agreements with certain of its officers and directors, indemnifies its officers and directors for certain events or occurrences, subject to certain limits, which the officer or director is or was serving at the Company’s request in such capacity.
The Company enters into certain types of contracts that contingently require the Company to indemnify various parties against claims from third parties. These contracts primarily relate to (i) the Company’s bylaws, under which the Company must indemnify directors and executive officers, and may indemnify other officers and employees, for liabilities arising out of their relationship, (ii) contracts under which the Company must indemnify directors and certain officers and consultants for liabilities arising out of their relationship, and (iii) procurement, service or license agreements under which the Company may be required to indemnify vendors, service providers or licensees for certain claims, including claims that may be brought against them arising from the Company’s acts or omissions with respect to the Company’s products, technology, intellectual property or services.
From time to time, the Company may receive indemnification claims under these contracts in the normal course of business. In the event that one or more of these matters were to result in a claim against the Company, an adverse outcome, including a judgment or settlement, may cause a material adverse effect on the Company’s future business, operating results or financial condition. As of December 31, 2025 and 2024, the Company was not aware of any claims under indemnification arrangements and does not expect significant claims related to these indemnification obligations and, consequently, concluded that the fair value of these obligations is negligible. Therefore, no related reserves have been established.
9. Collaboration and license agreements
Roche collaboration and license agreement
Description
In October 2023, Monte Rosa Therapeutics AG, a wholly-owned subsidiary of Monte Rosa Therapeutics, Inc, or the Company, entered into a collaboration and license agreement, or the Roche Agreement, with Roche. Pursuant to the Roche Agreement, the parties will seek to identify and develop molecular glue degraders, or MGDs, against cancer or neurological disease targets using the Company’s proprietary drug discovery engine for an initial set of targets in oncology and neuroscience selected by Roche, wherein a certain number of targets selected by Roche are for a limited time subject to replacement rights owned by Roche. The Company will lead preclinical discovery and research activities with Roche leading late preclinical and clinical development activities.
Under the Roche Agreement, Roche will have a worldwide, exclusive license under patents and know-how controlled by the Company to develop and commercialize products directed to applicable targets. The license exclusivity is subject to the Company’s retained rights solely to fulfill its obligations under the arrangement.
The research collaboration activities governed by the Roche Agreement are overseen by a joint research committee.
Unless earlier terminated, the Roche Agreement will remain in effect for each product licensed under the Roche Agreement until expiration of the royalty term for the applicable product. The parties have included termination provisions in the Roche Agreement, allowing termination of the Roche Agreement in its entirety, on a country-by-country or a target-by-target basis.
Pricing
In November 2023, the Company received a $50.0 million non-refundable upfront payment for the initial set of targets. Pursuant to the terms of the Roche Agreement, the Company expects to be entitled to receive from Roche certain variable consideration including potential preclinical milestones up to $172 million, and potential clinical, commercial and sales milestones exceeding $2 billion. The Company is also eligible to receive tiered royalties ranging from high-single-digits to low-teens on any products that are commercialized by Roche as a result of the collaboration.
To date through December 31, 2025, the Company has received $9.0 million and recorded a $7.0 million receivable related to Roche's decision to pay preclinical milestones. The Company has also received $3.0 million related to Roche's decision to exercise its option rights to replace certain targets for research and development services. The related payments are initially classified as deferred revenue in the accompanying consolidated balance sheet and recognized in revenue as the related research and development services are performed.
Accounting
This agreement represents a transaction with a customer and therefore is accounted for under ASC 606, Revenue From Contracts With Customers.
The Company determined that the development and commercialization licenses for each of the collaboration targets is neither capable of being distinct nor distinct within the context from the promised initial research services. In addition, the Company has determined that each target in the agreement is distinct from other targets because: (i) Roche can benefit from the license and research services for a given target on their own since the results related thereto can be evaluated discretely and (ii) the results of the research and development of each target does not affect either the Company’s ability to perform or Roche’s ability to assess the results for any other target. As such, the Company has identified certain performance obligations within the agreement as follows:
•Performance obligations for the research and development of initial targets, and
•Performance obligations for the research and development services related to Roche’s option to replace certain targets
The total transaction price of the Roche Agreement is allocated to the performance obligations based on their relative standalone selling price. The Company developed the standalone selling price for the performance obligations included in the Roche Agreement by determining the total estimated costs to fulfill each performance obligation identified with the objective of determining the price at which it would sell such an item if it were to be sold regularly on a standalone basis. The allocated transaction price is recognized as revenue from collaboration agreements in one of two ways:
•Research and development of the initial targets: The Company recognizes the portion of the transaction price allocated to each of the research and development performance obligations as the research and development services are provided, using an input method, in proportion to costs incurred to date for each research development target as compared to total costs incurred and expected to be incurred in the future to satisfy the underlying obligation related to said research and development target. The transfer of control occurs over this period and, in management’s judgment, is the best measure of progress towards satisfying the performance obligation.
•Option rights to replace targets: The transaction price allocated to the replacement option rights, which are considered material rights, is deferred until the period that Roche elects to exercise or elects to not exercise its option right to license and commercialize the underlying research and development target. Upon Roche's exercise of a replacement option right, the Company will recognize the portion of the transaction price allocated using the input method described above. Any payments made to exercise replacement option rights will be added to the allocated value and recognized as the related services are performed.
To date through December 31, 2025, $46.3 million related to the Roche Agreement has been recognized as collaboration revenue in the consolidated statements of operations and comprehensive loss. The remaining $22.7 million of the upfront payment and subsequent milestone and replacement target payments related to customer options are recorded as deferred revenue in the liabilities section of the consolidated balance sheet, with $10.6 million included in current liabilities and $12.1 million included in non-current liabilities.
The following table summarizes the deferred revenue amounts allocated to the Roche Agreement performance obligations (in thousands):
|
|
|
|
|
|
|
|
|
|
|
|
December 31, |
|
|
December 31, |
|
|
|
2025 |
|
|
2024 |
|
Roche Agreement performance obligations |
|
|
|
|
|
|
Research and development of initial targets |
|
$ |
14,140 |
|
|
$ |
19,395 |
|
Research and development for replacement targets |
|
|
8,517 |
|
|
|
5,622 |
|
Total Roche Agreement deferred revenue |
|
$ |
22,657 |
|
|
$ |
25,017 |
|
The Company expects that the remaining deferred revenue for the initial targets will be recognized within 21 months. The Company expects that deferred revenue related to replacement targets will be recognized within 33 months. Due to the uncertain nature of the research and development being performed by the Company, it may take longer than anticipated to recognize revenue related to the performance obligations for the initial and replacement targets. Any amounts remaining in deferred revenue will be recognized at the conclusion of the Roche Agreement in October 2028.
As of December 31, 2025, potential research, development and regulatory milestone payments that the Company is eligible to receive were excluded from the transaction price as they were fully constrained by uncertain events. The Company will reevaluate the transaction price at the end of each reporting period and as uncertain events are resolved or other changes in circumstances occur, and if necessary, the Company will adjust its estimate of the transaction price. Any additions to the transaction price would be reflected in the period as a cumulative revenue catch-up based on the ratio of costs incurred to the total estimated costs expected applied to the revised transaction price. Sales-based royalties and milestone payments, which predominantly relate to the license, will be recognized if and when the related sales occur.
2024 Novartis License Agreement
Description
In October 2024, Monte Rosa Therapeutics AG, a wholly-owned subsidiary of the Company, entered into a license agreement with Novartis, or the 2024 Novartis Agreement. Pursuant to the 2024 Novartis Agreement, the Company granted to Novartis an exclusive, royalty-bearing, sublicensable and transferable license to develop, manufacture, and commercialize VAV1 MGDs, including MRT-6160, which is currently in Phase 1 clinical development for immune-mediated conditions. The Company was responsible for completing the Phase 1 clinical study and Novartis is responsible for all subsequent development and commercial activities starting at Phase 2.
Pricing
In December 2024, the Company received a $150 million non-refundable upfront payment. Pursuant to the 2024 Novartis Agreement, the Company is entitled to receive from Novartis up to $2.1 billion in development, regulatory, and sales milestones, beginning upon initiation of Phase 2 studies including (a) potential development and regulatory milestone payments, exceeding $1.5 billion if multiple indications achieve regulatory approval in
multiple territories, (b) potential sales milestone payments in connection with sales outside of the U.S., and tiered royalties on sales outside of the U.S. Novartis will be responsible for costs associated with Phase 2 clinical studies. The Company and Novartis also agreed to a net profit and loss sharing arrangement, pursuant to which the Company could co-fund any global clinical development from Phase 3 onwards and will share 30% of any profits and losses associated with the manufacturing and commercialization of the licensed products in the U.S. The Company has defined opportunities to opt out of the net profit and loss sharing arrangement prior to the initiation of Phase 3 clinical trials, in such case, sales in the U.S. would be entitled to the potential sales milestone payments and tiered royalties as sales outside of the U.S. Any costs for any co-funded development and commercialization activities are subject to budgets reviewed by the Company and Novartis.
Accounting
The goods and services that the Company was obligated to deliver and perform (the License and Licensor Clinical Trial) were accounted for under ASC 606 as they represented a transaction with a customer.
The Company has concluded that the License and the completion of the Licensor Clinical Trial promises are treated as a single, combined performance obligation. The Company has determined the total transaction price to be $150 million, which consists solely of the upfront payment. All milestone payments were constrained as the achievement of the milestones are contingent upon the success of the underlying research and development activities and are generally outside the control of the Company. The Company’s options to share in further development and commercialization efforts via its opt-in/opt-out rights will be assessed and accounted for as separate units of accounting under the relevant guidance if, and when, such options are exercised by the Company.
The revenue the Company recognized associated with the combined performance obligation was recognized over time using a cost-based input methodology. The transfer of control occurred over the course of the Licensor Clinical Trial promise and, in management’s judgment, was the best measure of progress towards satisfying the combined performance obligation.
As of December 31, 2025, the total transaction price of $150 million plus $1.2 million of incremental cost reimbursements related to the Novartis Agreement, has been recognized as collaboration revenue in the consolidated statements of operations and comprehensive loss.
2025 Novartis License Agreement
Description
In September 2025, Monte Rosa Therapeutics AG, a wholly-owned subsidiary of the Company, entered into a collaboration, option, and license agreement with Novartis, or the 2025 Novartis Agreement. Pursuant to the 2025 Novartis Agreement, the Company granted to Novartis an exclusive, royalty-bearing, sublicensable and transferable license to degraders for one immunology and inflammation, or I&I program, or the First Licensed Program, and the option to obtain exclusive, royalty-bearing, sublicensable and transferable licenses with respect to two additional programs from the Company’s growing preclinical immunology portfolio, or the Options, and the programs, or the Optioned I&I Programs. Such Options are individually exercisable at Novartis’ discretion until a program meets criteria for investigational new drug application-filing-readiness. On a program-by-program basis, if Novartis does not exercise an Option, all rights with respect to such program are retained by the Company; if Novartis does exercise its Option, such program becomes a Licensed Program, or together, with the First Licensed Program, the Licensed Programs. Under the 2025 Novartis Agreement, the Company will apply its proprietary AI/ML-enabled QuEEN™ engine for the discovery and development of degraders for the First Licensed Program and the Optioned I&I Programs. The Licensed Programs will be further developed and commercialized by Novartis, unless otherwise agreed to by the parties in accordance with the 2025 Novartis Agreement. Research activities for the Licensed Programs governed by the Agreement will be overseen by a Joint Research Committee.
Pricing
In September 2025, the Company received a $120.0 million non-refundable upfront payment from Novartis. Pursuant to the 2025 Novartis Agreement, the Company is entitled to receive from Novartis payments to maintain the Options totaling up to $60.0 million, and is eligible to receive from Novartis (1) preclinical milestone payments relating to the First Licensed Program and option exercise payments related to the Options of up to $180.0 million, (2) up to $5.4 billion in clinical development, regulatory, and sales milestones relating to the First Licensed Program and the two Optioned I&I Programs, beginning upon initiation of Phase 1 studies, including (a) potential development and regulatory milestone payments up to $2.2 billion if regulatory approval is achieved for multiple
indications in multiple territories and (b) potential sales milestone payments up to $3.2 billion, allocated across licensed products, and (3) tiered royalties on global net sales in the high-single to low double-digit range for the First Licensed Program and in the low double-digit range for the two Optioned I&I Programs. The Company will be responsible for costs related to research activities, while Novartis will be responsible for costs related to development and commercialization activities.
Accounting
The goods and services that the Company is obligated to deliver and perform under the 2025 Novartis Agreement will be accounted for under ASC 606 as they represent a transaction with a customer.
The Company has concluded that the transaction price at inception is $180 million, which consists of the $120 million upfront payment and $60 million of option maintenance payments due over the course of the contract term. The Company has identified the following performance obligations in the contract:
•License and research services for an immunology target
•Research services for certain immunology targets to support the Immunology License Options
•Material Right First Immunology License Option
•Material Right Second Immunology License Option
The total transaction price of the 2025 Novartis Agreement is allocated to the performance obligations based on their relative standalone selling prices, or the price at which it would sell such an item if it were to be sold regularly on a standalone basis. The standalone selling price of performance obligations related to license and research services were determined using a cost-plus margin approach. The standalone selling price related to material rights for immunology license options were determined by benchmarking to comparable transactions, probability adjusted for the likelihood of exercise.
The allocated transaction price is recognized as revenue from collaboration agreements in one of two ways:
•License and research services for immunology targets: The Company recognizes the portion of the transaction price allocated to each of the research performance obligations as the research services are provided, using an input method, in proportion to costs incurred to date for each research development target as compared to total costs incurred and expected to be incurred in the future to satisfy the underlying obligation related to said research services. The transfer of control occurs over this period and, in management’s judgment, is the best measure of progress towards satisfying the performance obligation.
•Material option rights: The transaction price allocated to the options rights, which are considered material rights, is deferred until the period that Novartis elects to exercise its option right to license and commercialize the underlying immunology program. The Company will recognize the portion of the transaction price allocated to the option rights upon exercise. The Company has no further obligations to perform research services subsequent to the option exercise.
To date through December 31, 2025, $1.8 million of revenue related to the 2025 Novartis Agreement has been recognized as collaboration revenue in the consolidated statements of operations and comprehensive loss. The remaining $118.2 million has been recorded as deferred revenue on the consolidated balance sheets, with $19.0 million included in current liabilities related to performance obligations expected to be completed within 12 months from December 31, 2025 and $99.2 million included in non-current liabilities related to performance obligations expected to be completed later than 12 months from December 31, 2025. The total transaction price of $180 million includes $60 million of future option maintenance payments which are not included in deferred revenue on the consolidated balance sheet.
The following table summarizes the unearned amount of the 2025 Novartis Agreement transaction price allocated to the performance obligations (in thousands):
|
|
|
|
|
|
|
|
December 31, |
|
|
|
2025 |
|
2025 Novartis Agreement performance obligations |
|
|
|
License and research services for named immunology target |
|
$ |
7,019 |
|
Research services to support immunology license options |
|
|
85,698 |
|
Material right - first immunology license option |
|
|
49,091 |
|
Material right - second immunology license option |
|
|
36,439 |
|
Total unearned amount of transaction price |
|
$ |
178,247 |
|
The Company expects that that the remaining deferred revenue for the license and research services for a named immunology target and research services for two additional immunology targets to be recognized within 57 months. The deferred revenue related to material right license options will be recognized when Novartis exercises such options rights or at the expiration of the option rights. Due to the uncertain nature of the research and development being performed by the Company, it may take longer than anticipated to recognize revenue related to the performance obligations related to research services.
10. Equity
Undesignated preferred stock
The Company had 10,000,000 shares authorized of undesignated preferred stock, par value of $0.0001, of which no shares were issued and outstanding as of December 31, 2025.
Common stock
The Company had 500,000,000 shares of common stock authorized, of which 65,543,723 shares were issued and outstanding as of December 31, 2025.
Additionally, the Company has issued pre-funded warrants, to purchase 20,638,924 shares of the Company's common stock to accredited investors. The pre-funded warrants are immediately exercisable at an exercise price of $0.0001 per share. The pre-funded warrants are exercisable at any time after the date of issuance. A holder of a pre-funded warrant may not exercise such pre-funded warrant if the holder, together with its affiliates, would beneficially own more than 4.99% (or, at the election of the holder, up to 19.99% of the number of shares of the Company’s common stock outstanding immediately after giving effect to such exercise. No pre-funded warrants have been exercised as of December 31, 2025.
The Company has assessed the pre-funded warrants for appropriate equity or liability classification pursuant to the Company’s accounting policy described in Note 2, Summary of significant accounting policies. During this assessment, the Company determined the pre-funded warrants are a freestanding instrument that does not meet the definition of a liability pursuant to ASC 480 and does not meet the definition of a derivative pursuant to ASC 815. The pre-funded warrants are indexed to the Company’s common stock and meets all other conditions for equity classification under ASC 480 and ASC 815. Based on the results of this assessment, the Company concluded that the pre-funded warrants are a freestanding equity-linked financial instrument that meets the criteria for equity classification under ASC 480 and ASC 815. Accordingly, the pre-funded warrants are classified as equity and is accounted for as a component of additional paid-in capital at the time of issuance. The Company also determined that the pre-funded warrants should be included in the determination of basic and diluted earnings per share in accordance with ASC 260, Earnings per Share.
The holders of common stock are entitled to dividends when and if declared by the Company's board of directors, subject to the preferences applicable to any outstanding shares of preferred stock. The Company's board of directors has not declared any dividends and the Company has not paid any dividends.
The holders of common stock are entitled to one vote per share on all matters to be voted upon by the stockholders.
As of December 31, 2025 and 2024, the Company has reserved the following shares of common stock for the exercise of stock options, vesting of restricted stock and pre-funded warrants:
|
|
|
|
|
|
|
|
|
|
|
|
December 31, 2025 |
|
|
December 31, 2024 |
|
Options to purchase common stock |
|
|
14,064,599 |
|
|
|
11,589,269 |
|
Unvested restricted common stock units |
|
|
775,765 |
|
|
|
112,159 |
|
Pre-funded warrants |
|
|
20,638,924 |
|
|
|
20,638,924 |
|
|
|
|
35,479,288 |
|
|
|
32,340,352 |
|
At-the-market offerings
In July 2022, the Company entered into a sales agreement, or the 2022 Sales Agreement, with Jefferies LLC, or Jefferies, as amended on March 20, 2025, pursuant to which the Company could offer and sell shares of its common stock pursuant to the then-effective prospectus from time to time in “at-the-market” offerings through Jefferies, as the Company’s sales agent. In connection with the 2022 Sales Agreement, the Company also filed a prospectus supplement with the SEC on February 11, 2026, for the offer and sale of up to $100.0 million of
shares of common stock from time to time through the sales agent. See Note 16, Subsequent events, for additional information regarding the at-the-market offerings.
The Company agreed to pay Jefferies a commission of up to 3.0% of the gross proceeds of any shares sold by Jefferies under the Sales Agreement. During the year ended December 31, 2025, the Company sold 2,955,082 shares of common stock under the Sales Agreement for aggregate gross proceeds of $25.0 million, or aggregate net proceeds of $23.9 million after deducting sales agent discounts, commissions, and other offering costs. During the year ended December 31, 2024, the Company sold 130,506 shares of common stock under the Sales Agreement for aggregate gross proceeds of $1.0 million, or aggregate net proceeds of $0.9 million after deducting sales agent discounts, commissions, and other offering costs.
Underwritten public offerings
In May 2024, the Company entered into an underwriting agreement with TD Securities (USA) LLC, as representative of the several underwriters, related to an underwritten public offering, or the 2024 Offering, of 10,638,476 shares of common stock at a price of $4.70 per share, and, in lieu of common stock to certain investors, pre-funded warrants to purchase 10,638,524 shares of common stock at a price of $4.6999 per pre-funded warrant, which represents the price per share at which shares of common stock were sold in this 2024 Offering, minus $0.0001, which is the exercise price of each pre-funded warrant. The pre-funded warrants are immediately exercisable and may be exercised at any time until the pre-funded warrants are exercised in full. Aggregate gross proceeds from the 2024 Offering were $100 million, or aggregate net proceeds of $96.4 million after deducting the underwriter discounts, commissions, and other offering costs.
In January 2026, the Company entered into an underwriting agreement with Jefferies LLC, TD Securities (USA) LLC, and Piper Sandler & Co. as representatives of the several underwriters, related to an underwritten public offering, or the 2026 Offering, of 13,000,000 shares of common stock at a price of $24.00 per share, and, in lieu of common stock to certain investors, pre-funded warrants to purchase 1,375,000 shares of common stock at a price of $23.9999 per pre-funded warrant, which represents the price per share at which shares of common stock were sold in the 2026 Offering, minus $0.0001, which is the exercise price of each pre-funded warrant. The pre-funded warrants are immediately exercisable and may be exercised at any time until the pre-funded warrants are exercised in full. Aggregate gross proceeds from the 2026 Offering were $345.0 million, or aggregate net proceeds of $323.8 million after deducting the underwriter discounts, commissions, and other offering costs. See Note 16, Subsequent events, for additional information regarding the 2026 Offering.
11. Stock-based compensation
2020 Stock incentive plan
The Company's 2020 Stock Option and Grant Plan, or the 2020 Plan, provided for the Company to grant stock options, restricted stock, and other stock awards, to employees, non-employee directors, and consultants. Upon the effectiveness of the 2021 Plan (as defined below), no further issuances were made under the 2020 Plan.
2021 Stock incentive plan
The Company’s 2021 Stock Option and Incentive Plan, or the 2021 Plan, was approved by the Company’s board of directors on May 28, 2021 and the Company’s stockholders on June 17, 2021, and became effective on the date immediately prior to the date on which the registration statement for the Company’s initial public offering, or IPO, was declared effective. The 2021 Plan provides for the grant of incentive stock options; non-qualified stock options; stock appreciation rights; restricted stock units, or RSUs; restricted stock awards; unrestricted stock awards; cash-based awards and dividend equivalent rights to the Company’s officers, employees, directors and consultants. The number of shares initially reserved for issuance under the 2021 Plan was 4,903,145. Under the evergreen provision of the 2021 Plan, the shares available for issuance under the 2021 Plan will be automatically increased each January 1st by 5% of the outstanding number of shares of the Company’s common stock on the immediately preceding December 31st or such lesser number of shares as may be determined by the Company’s compensation, nomination and corporate governance committee. Effective January 1, 2025, the number of shares available under the 2021 Plan automatically increased by 3,075,372 shares pursuant to the evergreen provision of the 2021 Plan. As of December 31, 2025, 2,271,328 shares were available for issuance under the 2021 Plan.
2021 Employee stock purchase plan
The Company’s 2021 Employee Stock Purchase Plan, or the 2021 ESPP, was approved by the Company’s board of directors on May 28, 2021 and the Company’s stockholders on June 17, 2021, and became effective on the date immediately prior to the date on which the registration statement for the Company’s IPO was declared effective. A total of 439,849 shares of the Company’s common stock were initially reserved for issuance under the
2021 ESPP. The shares available for issuance under the 2021 ESPP will be automatically increased on each January 1st through January 1, 2031, by the least of (i) 439,849 shares of the Company’s common stock, (ii) 1% of the outstanding number of shares of the Company’s common stock on the immediately preceding December 31st or (iii) such lesser number of shares of the Company’s common stock as determined by the plan administrator of the 2021 ESPP. Effective January 1, 2025, the number of shares available under the 2021 ESPP automatically increased by 439,849 shares pursuant to the evergreen provision of the 2021 ESPP. As of December 31, 2025, 1,685,755 shares were available for issuance under the 2021 ESPP.
Stock option activity
The following summarizes stock option activity:
|
|
|
|
|
|
|
|
|
|
|
|
|
|
|
|
|
|
|
|
Number of options |
|
|
Weighted average exercise price |
|
|
Weighted average remaining contractual term (years) |
|
|
Aggregate intrinsic value (in thousands) |
|
Outstanding—December 31, 2024 |
|
|
11,589,269 |
|
|
$ |
8.10 |
|
|
|
7.6 |
|
|
$ |
11,419 |
|
Granted |
|
|
3,912,850 |
|
|
|
6.93 |
|
|
|
|
|
|
|
Exercised |
|
|
(779,114 |
) |
|
|
7.35 |
|
|
|
|
|
|
|
Forfeited |
|
|
(658,406 |
) |
|
|
9.65 |
|
|
|
|
|
|
|
Outstanding—December 31, 2025 |
|
|
14,064,599 |
|
|
$ |
7.74 |
|
|
|
7.2 |
|
|
$ |
115,245 |
|
Vested or expected to vest—December 31, 2025 |
|
|
14,064,599 |
|
|
$ |
7.74 |
|
|
|
7.2 |
|
|
$ |
115,245 |
|
Exercisable—December 31, 2025 |
|
|
8,079,048 |
|
|
$ |
8.47 |
|
|
|
6.2 |
|
|
$ |
61,894 |
|
The aggregate intrinsic value of options is calculated as the difference between the exercise price of the options and the estimated fair value of the Company’s common stock. The weighted average grant date fair value of options granted during the years ended December 31, 2025 and 2024 was $5.16 and $4.13 per share, respectively. The total intrinsic value of options exercised during the years ended December 31, 2025 and 2024 was $3.6 million and $1.0 million, respectively.
Fair value of stock option awards
The Company estimates the fair value of stock option awards on the grant date using Black-Scholes. The fair value of options granted were estimated using the following weighted-average assumptions:
|
|
|
|
|
|
|
|
|
|
|
|
Year ended December 31, |
|
|
|
2025 |
|
|
2024 |
|
Expected term (years) |
|
|
6.21 |
|
|
|
6.25 |
|
Expected volatility |
|
|
84.11 |
% |
|
|
84.81 |
% |
Risk-free interest rate |
|
|
4.40 |
% |
|
|
3.99 |
% |
Expected dividend yield |
|
|
— |
% |
|
|
— |
% |
Black-Scholes requires the use of subjective assumptions which determine the fair value of stock-based awards. These assumptions include:
Expected term: The Company’s expected term represents the period that options are expected to be outstanding and is determined using the simplified method. The Company does not have sufficient historical data to use any other method to estimate expected term.
Expected volatility: The Company has limited information on the volatility of stock options as the shares were not actively traded on any public markets prior to June 24, 2021. The expected volatility was derived from the Company's available stock price history and the historical stock volatilities of comparable peer public companies within its industry based on their similarities to the Company, including life cycle stage, therapeutic focus and size over a period equivalent to the expected term of the stock-based awards.
Risk-free interest rate: The risk-free interest rate is based on the U.S. Treasury zero coupon issues in effect at the time of grant for periods corresponding with the expected term of the stock option grants.
Expected dividend: The Company has never paid dividends on its common stock and has no plans to pay dividends on its common stock. Therefore, the Company used an expected dividend yield of zero.
Restricted stock unit activity
Starting in 2022, the Company granted RSUs to employees under the 2021 Plan. Each of the RSUs represents the right to receive one share of the Company’s common stock upon vesting. The RSUs will typically vest over two or four years provided the individual remains in continuous service of the Company. Accordingly, stock-based compensation expense for each RSU is recognized on a straight-line basis over the vesting term. The fair value of each RSU is based on the closing price of the Company’s common stock on the date of grant.
The following summarizes RSU activity:
|
|
|
|
|
|
|
|
|
|
|
|
Number of shares |
|
|
Weighted average grant date fair value |
|
Unvested restricted stock units as of December 31, 2024 |
|
|
112,159 |
|
|
$ |
7.55 |
|
Granted |
|
|
811,665 |
|
|
$ |
7.05 |
|
Vested |
|
|
(112,159 |
) |
|
$ |
7.55 |
|
Forfeited |
|
|
(35,900 |
) |
|
$ |
7.11 |
|
Unvested restricted stock units as of December 31, 2025 |
|
|
775,765 |
|
|
$ |
7.05 |
|
The aggregate fair value of RSUs that vested during each of the years ended December 31, 2025 and 2024 was $0.5 million. The weighted average grant date fair value of RSUs that vested during the years ended December 31, 2025 and 2024 was $7.55 per share and $8.42 per share, respectively.
Stock-based compensation expense
Stock-based compensation expense is classified as follows (in thousands):
|
|
|
|
|
|
|
|
|
|
|
|
Year ended December 31, |
|
|
|
2025 |
|
|
2024 |
|
Research and development |
|
$ |
10,860 |
|
|
$ |
10,629 |
|
General and administrative |
|
|
8,005 |
|
|
|
7,497 |
|
Total stock-based compensation expense |
|
$ |
18,865 |
|
|
$ |
18,126 |
|
As of December 31, 2025, total unrecognized stock-based compensation cost related to unvested stock options and restricted stock units was $24.2 million and $4.1 million, respectively. The Company expects to recognize this remaining cost over a weighted average period of 2.3 years and 3.0 years, respectively.
12. Income taxes
The Company has incurred net operating losses for all the periods presented. The Company has not reflected the benefit of any such net operating loss carryforwards, or NOLs, in the accompanying consolidated financial statements. Domestic and foreign components of net loss are as follows (in thousands):
|
|
|
|
|
|
|
|
|
|
|
|
Year ended December 31, |
|
|
|
2025 |
|
|
2024 |
|
U.S. |
|
$ |
(23,077 |
) |
|
$ |
(20,708 |
) |
Foreign |
|
|
(16,646 |
) |
|
|
(49,422 |
) |
Net loss before income taxes |
|
$ |
(39,723 |
) |
|
$ |
(70,130 |
) |
Income taxes paid, net of refunds received, are as follows (in thousands):
|
|
|
|
|
|
|
|
|
|
|
|
Year ended December 31, |
|
|
|
2025 |
|
|
2024 |
|
U.S. federal |
|
$ |
4,607 |
|
|
$ |
2,637 |
|
U.S state and local |
|
|
|
|
|
|
Massachusetts |
|
|
572 |
|
|
|
5 |
|
Total state and local |
|
$ |
572 |
|
|
$ |
5 |
|
Total income taxes paid |
|
$ |
5,179 |
|
|
$ |
2,642 |
|
The (benefit) expense for income taxes consists of the following (in thousands):
|
|
|
|
|
|
|
|
|
|
|
|
Year ended December 31, |
|
|
|
2025 |
|
|
2024 |
|
Current tax (benefit) expense |
|
|
|
|
|
|
U.S. federal |
|
$ |
(865 |
) |
|
$ |
2,175 |
|
U.S. state |
|
|
(232 |
) |
|
|
395 |
|
Total current tax (benefit) expense |
|
$ |
(1,097 |
) |
|
$ |
2,570 |
|
|
|
|
|
|
|
|
Total income tax (benefit) expense |
|
|
|
|
|
|
U.S. federal |
|
$ |
(865 |
) |
|
$ |
2,175 |
|
U.S. state |
|
|
(232 |
) |
|
|
395 |
|
Total provision (benefit) expense for income taxes |
|
$ |
(1,097 |
) |
|
$ |
2,570 |
|
The effective tax rate for the years ended December 31, 2025 and 2024 is different from the federal statutory rate primarily due to the valuation allowance against deferred tax assets as a result of insufficient sources of income. The reconciliation of the federal statutory income tax rate to the Company’s effective income tax rate is as follows:
|
|
|
|
|
|
|
|
|
|
|
|
|
|
|
|
|
|
Year ended December 31, |
|
|
|
2025 |
|
|
2024 |
|
Income tax benefit at the federal statutory rate |
|
$ |
(8,308 |
) |
|
21.0 |
% |
|
$ |
(14,727 |
) |
|
21.0 |
% |
Tax Credits |
|
|
|
|
|
|
|
|
|
|
Research and development tax credits |
|
|
(1,854 |
) |
|
4.7 |
% |
|
|
(2,656 |
) |
|
3.8 |
% |
Orphan drug credit |
|
|
(113 |
) |
|
0.3 |
% |
|
|
(1,448 |
) |
|
2.1 |
% |
Nontaxable or nondeductible items |
|
|
|
|
|
|
|
|
|
|
Stock-based compensation |
|
|
5,479 |
|
|
(13.9 |
)% |
|
|
2,209 |
|
|
(3.2 |
)% |
Other |
|
|
97 |
|
|
(0.3 |
)% |
|
|
143 |
|
|
(0.2 |
)% |
Cross-border tax laws |
|
|
|
|
|
|
|
|
|
|
GILTI |
|
|
(70 |
) |
|
0.2 |
% |
|
|
9,936 |
|
|
(14.2 |
)% |
Section 250 deduction |
|
|
15 |
|
|
— |
|
|
|
(5,089 |
) |
|
7.3 |
% |
Change in valuation allowance |
|
|
259 |
|
|
(0.7 |
)% |
|
|
6,396 |
|
|
(9.1 |
)% |
Other |
|
|
44 |
|
|
(0.1 |
)% |
|
|
(14 |
) |
|
— |
|
State income taxes, net of federal effect |
|
|
(183 |
) |
|
0.5 |
% |
|
|
1,579 |
|
|
(2.3 |
)% |
Foreign tax effects |
|
|
|
|
|
|
|
|
|
|
Switzerland |
|
|
|
|
|
|
|
|
|
|
Tax rate differential |
|
|
1,347 |
|
|
(3.4 |
)% |
|
|
3,954 |
|
|
(5.6 |
)% |
Change in valuation allowance |
|
|
(728 |
) |
|
1.8 |
% |
|
|
6,558 |
|
|
(9.4 |
)% |
Other |
|
|
2,918 |
|
|
(7.3 |
)% |
|
|
(133 |
) |
|
0.2 |
% |
Worldwide changes in uncertain tax benefits |
|
|
— |
|
|
— |
|
|
|
(4,138 |
) |
|
5.9 |
% |
Total effective tax rate |
|
$ |
(1,097 |
) |
|
2.8 |
% |
|
$ |
2,570 |
|
|
(3.7 |
)% |
For the years ended December 31, 2025 and 2024, state and local income taxes in Massachusetts comprise the majority of the state and local income taxes, net of federal effect category.
Deferred income taxes reflect the net effects of temporary differences between the carrying amounts of assets and liabilities for financial reporting purposes and the amounts used for income tax purposes. The principal components of the Company’s deferred tax assets consisted of the following (in thousands):
|
|
|
|
|
|
|
|
|
|
|
|
December 31, |
|
|
|
2025 |
|
|
2024 |
|
Deferred tax assets |
|
|
|
|
|
|
Federal, state, and foreign net operating loss carryforwards |
|
$ |
52,865 |
|
|
$ |
50,002 |
|
Research and development tax credits |
|
|
10,040 |
|
|
|
6,952 |
|
Capitalized research and development |
|
|
4,195 |
|
|
|
5,957 |
|
Lease liability |
|
|
10,867 |
|
|
|
11,676 |
|
Compensation related items |
|
|
5,426 |
|
|
|
8,044 |
|
Other |
|
|
13 |
|
|
|
482 |
|
Total deferred tax assets |
|
$ |
83,406 |
|
|
$ |
83,113 |
|
Less: valuation allowance |
|
|
(73,626 |
) |
|
|
(72,157 |
) |
Total net deferred tax assets |
|
$ |
9,780 |
|
|
$ |
10,956 |
|
Deferred tax liabilities |
|
|
|
|
|
|
Right-of-use asset |
|
|
(6,687 |
) |
|
|
(7,162 |
) |
Depreciation |
|
|
(3,093 |
) |
|
|
(3,794 |
) |
Total deferred tax liabilities |
|
|
(9,780 |
) |
|
|
(10,956 |
) |
Net deferred tax assets |
|
$ |
— |
|
|
$ |
— |
|
The Tax Cuts and Jobs Act resulted in significant changes to the treatment of research and developmental expenditures under Section 174 of the Internal Revenue Code. For tax years beginning after December 31, 2021, taxpayers are required to capitalize and amortize all research and developmental expenditures that are paid or incurred in connection with their trade or business. Per the One Big Beautiful Bill Act, effective July 4, 2025, taxpayers are still required to capitalize foreign research and development expenditures over 15 years, but now have the opportunity to deduct domestic research and development expenditures under IRC 174A. The Company has elected to continue to amortize prior year domestic capitalized costs until the amortization of such costs is complete. For the year ended December 31, 2025, the Company did not capitalize any research and developmental expenditures for income tax purposes. As of December 31, 2024, the Company capitalized $11.5 million of research and developmental expenditures for income tax purposes.
The Company has incurred annual net operating losses in each year since inception. The Company has not reflected the benefit of any such NOLs in the consolidated financial statements. Due to the Company’s history of losses, and lack of other positive evidence, the Company has determined that it is more likely than not that its net deferred tax assets will not be realized, and therefore, the net deferred tax assets are fully offset by a valuation allowance at December 31, 2025 and 2024. The Company increased its valuation allowance by $1.5 million for the year ended December 31, 2025 in order to maintain a full valuation allowance against its deferred tax assets.
As required under ASU 2023-09, the Company has included only the portion of the valuation allowance related to federal deferred tax assets in the "change in valuation allowance" line of the rate reconciliation. The following table presents a reconciliation of the total change in the valuation allowance (in thousands):
|
|
|
|
|
|
|
|
|
|
|
|
December 31, 2025 |
|
|
December 31, 2024 |
|
Beginning balance |
|
$ |
72,157 |
|
|
$ |
54,465 |
|
Change charged to income tax expense |
|
|
1,933 |
|
|
|
15,954 |
|
Changes to other comprehensive loss |
|
|
(464 |
) |
|
|
1,738 |
|
Ending balance |
|
$ |
73,626 |
|
|
$ |
72,157 |
|
As of December 31, 2025, the Company had federal net operating loss carryforwards, or NOLs, of $10.0 million and federal tax credits of $5.5 million available to offset tax liabilities. The Company’s federal NOLs have an indefinite life and federal tax credit carryforwards begin to expire in 2040. The Company also had gross foreign NOLs of $374.5 million that begin to expire in 2026. The Company also had gross state NOLs of $26.0 million that began to expire in 2039. The Company also had gross state tax credits of $4.5 million which are available to offset state tax liabilities and begin to expire in 2026. Federal and state NOLs and tax credit carryforwards are also subject to annual limitations in the event that cumulative changes in the ownership interests of significant stockholders exceed 50% over a three-year period, as defined under Sections 382 and 383 of the Internal Revenue Code of 1986. The Company completed an analysis as of December 31, 2023 and determined that an ownership change occurred on September 14, 2020 and October 30, 2023. As a result of these ownership changes, the utilization of the Company’s net operating loss carryforwards is subject to an annual limitation of
$0.3 million for attributes accumulated prior to September 14, 2020 and $0.8 million for the attributes generated prior to October 30, 2023, which is reflected in the numbers presented above.
The Company determines its uncertain tax positions based on whether and how much of a tax benefit taken by the Company in its tax filings is more likely than not to be sustained upon examination by the relevant income tax
A reconciliation of the beginning and ending amount of unrecognized tax benefits is as follows (in thousands):
|
|
|
|
|
|
|
|
|
|
|
|
Year ended December 31, |
|
|
|
2025 |
|
|
2024 |
|
Unrecognized tax benefits, beginning of year |
|
$ |
— |
|
|
$ |
4,475 |
|
Additions for tax positions of prior years |
|
|
— |
|
|
|
— |
|
Reductions for tax provisions of prior years |
|
|
— |
|
|
|
(4,475 |
) |
Unrecognized tax benefits, end of year |
|
$ |
— |
|
|
$ |
— |
|
The Company recognizes interest and penalties related to unrecognized tax benefits in U.S. federal, state, and foreign income tax expense. For the years ended December 31, 2025 and 2024, the Company did not have unrecognized tax benefits.
The Company files income tax returns in the U.S., Switzerland and Massachusetts. The Company is not currently under examination by any taxing authority for any open tax year. Due to NOLs, all years remain open for income tax examination. To the extent the Company has tax attribute carryforwards, the tax years in which the attribute was generated may still be adjusted upon examination by the Internal Revenue Service, or IRS, or state tax authorities to the extent utilized in a future period. No federal, foreign, or state tax audits are currently in process.
13. Employee retirement plans
Defined benefit plan
The Company, in compliance with Swiss Law, is contracted with AXA, for the provision of pension benefits in a defined benefit plan. All benefits are organized in a semi-autonomous collective foundation within the framework of the contract with AXA. Insurance benefits due are paid directly to the entitled persons by AXA in the name of and for the account of the collective foundation. The pension plan is financed by contributions of both employees and the Company.
The contract between the Company and the collective foundation can be terminated by either side. In the event of a termination, the Company would have an obligation to find alternative pension arrangements for its employees. Because there is no guarantee that the employee pension arrangements would be continued under the same conditions, there is a risk, albeit remote, that a pension obligation may fall on the Company.
The pension assets are pooled for all affiliated companies; the investment of assets is done by the governing bodies of the collective foundation.
The following table represents the changes in benefit obligations and plan assets and the net amount recognized on the consolidated balance sheets (in thousands):
|
|
|
|
|
|
|
|
|
|
|
|
Year ended December 31, |
|
|
|
2025 |
|
|
2024 |
|
Change in benefit obligation: |
|
|
|
|
|
|
Benefit obligation—beginning of period |
|
$ |
13,115 |
|
|
$ |
12,029 |
|
Service cost employer |
|
|
1,233 |
|
|
|
1,029 |
|
Contributions paid by employees |
|
|
502 |
|
|
|
425 |
|
Interest cost |
|
|
140 |
|
|
|
174 |
|
Contributions paid by plan participants |
|
|
219 |
|
|
|
690 |
|
Benefits paid |
|
|
(343 |
) |
|
|
(1,276 |
) |
Plan Amendment |
|
|
— |
|
|
|
(9 |
) |
Actuarial loss |
|
|
833 |
|
|
|
960 |
|
Foreign currency revaluation |
|
|
2,006 |
|
|
|
(907 |
) |
Benefit obligation—end of period |
|
$ |
17,705 |
|
|
$ |
13,115 |
|
Change in plan assets: |
|
|
|
|
|
|
Fair value of plan assets—beginning of period |
|
$ |
9,413 |
|
|
$ |
9,316 |
|
Actual return on plan assets |
|
|
253 |
|
|
|
106 |
|
Contributions paid by employer |
|
|
973 |
|
|
|
826 |
|
Contributions paid by employees |
|
|
502 |
|
|
|
425 |
|
Contributions paid by plan participants |
|
|
219 |
|
|
|
690 |
|
Benefits paid |
|
|
(343 |
) |
|
|
(1,276 |
) |
Foreign currency revaluation |
|
|
1,423 |
|
|
|
(674 |
) |
Fair value of plan assets—end of period |
|
$ |
12,440 |
|
|
$ |
9,413 |
|
Defined benefit plan liability |
|
$ |
5,265 |
|
|
$ |
3,702 |
|
The net pension cost was as follows (in thousands):
|
|
|
|
|
|
|
|
|
|
|
|
Year ended December 31, |
|
|
|
2025 |
|
|
2024 |
|
Service cost |
|
$ |
1,233 |
|
|
$ |
1,029 |
|
Interest cost |
|
|
140 |
|
|
|
174 |
|
Net pension cost |
|
$ |
1,373 |
|
|
$ |
1,203 |
|
The provision for pension benefit obligation recognized in other comprehensive loss was as follows (in thousands):
|
|
|
|
|
|
|
|
|
|
|
|
Year ended December 31, |
|
|
|
2025 |
|
|
2024 |
|
Actuarial (loss) gain arising from experience adjustments |
|
$ |
(1,589 |
) |
|
$ |
80 |
|
Actuarial gain (loss) arising from changes in financial assumptions |
|
|
756 |
|
|
|
(1,040 |
) |
Defined benefit cost for the year recognized in other comprehensive loss |
|
$ |
(833 |
) |
|
$ |
(960 |
) |
The assumptions used to measure the projected benefit obligation and net pension costs were as follows:
|
|
|
|
|
|
|
|
Year ended December 31, |
|
|
2025 |
|
2024 |
Inflation rate |
|
0.90% |
|
1.00% |
Discount rate |
|
1.35% |
|
1.00% |
Interest rate on savings accounts |
|
1.25% |
|
1.00% |
Expected rate of return on assets |
|
1.35% |
|
1.00% |
Salary increase |
|
1.25% |
|
1.25% |
Social Security increase |
|
0.90% |
|
1.00% |
Pension increase |
|
0.00% |
|
0.00% |
Retirement age |
|
100% Male 65 Female 65 |
|
100% Male 65 Female 65 |
Mortality and disability rates |
|
BVG 2020 Table |
|
BVG 2020 Table |
Estimated benefit payments, which reflect future expected service, are expected to be paid as follows (in thousands):
|
|
|
|
|
|
|
|
December 31, |
|
2026 |
|
$ |
1,166 |
|
2027 |
|
$ |
1,197 |
|
2028 |
|
$ |
1,225 |
|
2029 |
|
$ |
1,249 |
|
2030 |
|
$ |
1,272 |
|
2031-2035 |
|
$ |
7,419 |
|
Defined contribution plans
In February 2021, the Company adopted a defined contribution plan intended to qualify under Section 401(k) of the Internal Revenue Code covering all eligible U.S. based employees of the Company. All employees are eligible to become participants of the plan immediately upon hire. Each active employee may elect, voluntarily, to contribute a percentage of their compensation to the plan each year, subject to certain limitations. The Company reserves the right, but is not obligated, to make additional contributions to this plan. The Company makes safe-harbor match contributions of 100% of the first 4% of each participant’s eligible compensation. In January 2024, the Company adopted a defined contribution supplemental pension plan for eligible Swiss based employees defined by Swiss Law Art.1e BVV 2, or the 1e Plan. Employees earning above a defined threshold are eligible and automatically enrolled in the 1e Plan and required contributions are determined by age and salary under Swiss Law. The Company and the employee share the costs of the 1e Plan. The Company recorded $1.0 million and $0.8 million in defined contribution related expenses during the years ended December 31, 2025 and 2024, respectively.
14. Net loss per common share
Basic and diluted net loss per share is calculated based upon the weighted-average number of shares of common stock outstanding during the period. Shares of the Company's common stock underlying pre-funded warrants are included in the calculation of the basic and diluted earnings per share. Basic and diluted net loss per share are as follows (in thousands except share and per share amounts):
|
|
|
|
|
|
|
|
|
|
|
|
Year ended December 31, |
|
|
|
2025 |
|
|
2024 |
|
Net loss |
|
$ |
(38,626 |
) |
|
$ |
(72,700 |
) |
Net loss per share attributable to common stockholders—basic and diluted |
|
$ |
(0.46 |
) |
|
$ |
(0.98 |
) |
Weighted-average number of common shares used in computing net loss per share—basic and diluted |
|
|
83,071,185 |
|
|
|
73,910,026 |
|
The following outstanding potentially dilutive securities have been excluded from the calculation of diluted net loss per common share, as their effect is anti-dilutive:
|
|
|
|
|
|
|
|
|
|
|
|
Year ended December 31, |
|
|
|
2025 |
|
|
2024 |
|
Stock options to purchase common stock |
|
|
14,064,599 |
|
|
|
11,589,269 |
|
Restricted stock units |
|
|
775,765 |
|
|
|
112,159 |
|
15. Segment data
The Company defines its segments based on the way in which internally reported financial information is regularly reviewed by the chief operating decision maker, or CODM, to analyze financial performance, make decisions, and allocate resources. The Company manages its operations as a single operating and reportable segment committed to developing a portfolio of novel and proprietary MGDs. MGDs are small molecule drugs that employ the body’s natural protein destruction mechanisms to selectively degrade therapeutically-relevant proteins. As the internal reporting is based on the consolidated results, the Company has identified one operating and reportable segment. The CODM uses net income (loss) in the budget and forecasting process and considers budget-to-actual variances on a quarterly basis when making decisions about the allocation of operating and capital resources. The measure of the operating segment assets is reported on the consolidated balance sheet as total assets.
The accounting policies used in the segment reporting are the same as those described in Note 2, Summary of significant accounting policies. The Company’s CODM is the Chief Executive Officer.
The Company's reportable segment net revenues and loss for the years ended December 31, 2025 and 2024, consisted of the following:
|
|
|
|
|
|
|
|
|
|
|
|
Year ended December 31, |
|
|
|
2025 |
|
|
2024 |
|
Revenue: |
|
|
|
|
|
|
Collaboration revenue |
|
$ |
123,672 |
|
|
$ |
75,622 |
|
Operating expense: |
|
|
|
|
|
|
Research and development: |
|
|
|
|
|
|
External research and development expenses: |
|
|
|
|
|
|
MRT-2359 |
|
|
8,959 |
|
|
|
12,332 |
|
MRT-6160 |
|
|
7,539 |
|
|
|
15,209 |
|
MRT-8102 |
|
|
19,696 |
|
|
|
10,163 |
|
Other development and discovery programs |
|
|
25,198 |
|
|
|
14,432 |
|
Personnel expense |
|
|
46,241 |
|
|
|
39,796 |
|
Overhead and administrative expense |
|
|
33,867 |
|
|
|
29,631 |
|
General and administrative expenses: |
|
|
|
|
|
|
Personnel expense |
|
|
22,975 |
|
|
|
22,153 |
|
Professional services |
|
|
5,740 |
|
|
|
5,091 |
|
Facility costs and other expense |
|
|
7,665 |
|
|
|
7,927 |
|
Interest and other income, net |
|
|
14,485 |
|
|
|
10,982 |
|
Income tax benefit (provision) |
|
|
1,097 |
|
|
|
(2,570 |
) |
Net loss |
|
$ |
(38,626 |
) |
|
$ |
(72,700 |
) |
Other development and discovery expenses are related to the development of our QuEENTM discovery engine and our disclosed and undisclosed programs, including CDK2 and CCNE1. The Company's tangible assets are held in the U.S. and Switzerland, with 29% and 28% of the assets held in Switzerland as of December 31, 2025 and 2024, respectively. The Company's collaboration revenue is generated in the U.S. and Switzerland, with 90% and 100% of the collaboration revenue generated in Switzerland during the years ended December 31, 2025 and 2024, respectively.
16. Subsequent events
2026 Offering
In January 2026, the Company entered into an underwriting agreement with Jefferies LLC, TD Securities (USA) LLC, and Piper Sandler & Co. as representatives of the several underwriters, related to the 2026 Offering of 13,000,000 shares of common stock at a price of $24.00 per share, and, in lieu of common stock to certain investors, pre-funded warrants to purchase 1,375,000 shares of common stock at a price of $23.9999 per pre-funded warrant, which represents the price per share at which shares of common stock were sold in the 2026 Offering, minus $0.0001, which is the exercise price of each pre-funded warrant. The 13,000,000 shares of common stock includes the full exercise by the underwriters of their option to purchase an additional 1,875,000 shares of common stock at the public offering price. The pre-funded warrants are immediately exercisable and may be exercised at any time until the pre-funded warrants are exercised in full. To date, one pre-funded warrant holder has exercised its pre-funded warrant to purchase 750,000 shares of common stock. Aggregate gross proceeds from the 2026 Offering were $345.0 million and aggregate net proceeds were approximately $323.8 million after deducting the underwriter discounts, commissions, and other offering costs.
At-the-market offerings
Effective January 7, 2026, the Company terminated the $150 million prospectus pursuant to which it had been able to sell shares from time to time in “at-the-market” offerings under its 2022 Sales Agreement with Jefferies as the Company’s sales agent.
On February 11, 2026, the Company filed with the SEC a prospectus for $100 million, pursuant to which it may sell shares from time to time in “at-the-market” offerings under its 2022 Sales Agreement with Jefferies as the Company's sales agent.