Please wait

 

 

UNITED STATES

SECURITIES AND EXCHANGE COMMISSION

Washington, D.C. 20549

 

 

SCHEDULE 14A

Proxy Statement Pursuant to Section 14(a) of the

Securities Exchange Act of 1934

(Amendment No. )

 

 

Filed by the Registrant ☒

Filed by a Party other than the Registrant ☐

Check the appropriate box:

 

  Preliminary Proxy Statement
  Confidential, For Use of the Commission only (as permitted by Rule 14a-6(e)(2))
  Definitive Proxy Statement
  Definitive Additional Materials
  Soliciting Material Pursuant to §240.14a-2

The Beachbody Company, Inc.

(Name of Registrant as Specified in Its Charter)

(Name of Person(s) Filing Proxy Statement, if other than the Registrant)

Payment of Filing Fee (Check all boxes that apply):

 

  No fee required.
  Fee paid previously with preliminary materials.
  Fee computed on table in exhibit required by Item 25(b) per Exchange Act Rules 14a-6(i)(1) and 0-11.

 

 

 


LOGO

P.O. BOX 8016, CARY, NC 27512-9903 Scan QR for digital voting Meeting Materials: Notice of Meeting and Proxy Statement & Annual Report on Form 10-K Important Notice Regarding the Availability of Proxy Materials for Stockholders The Beachbody Company, Inc. Meeting To Be Held On June 4, 2024 For Stockholders of record as of April 5, 2024 Annual Meeting of Stockholders To order paper materials, use one of the Tuesday, June 4, 2024 8:30 AM, Pacific Time Annual Meeting to be held live via the internet—please visit www.proxydocs.com/BODI for following methods. more details. You must register to attend the meeting by June 3, 2024 5:00PM PT online at www.proxydocs.com/BODI Internet: For a convenient way to view proxy materials, VOTE, and obtain www.investorelections.com/BODI directions to attend the meeting go to www.proxydocs.com/BODI To vote your proxy while visiting this site, you will need the 12 digit control number in the box below. Call: 1-866-648-8133 This communication presents only an overview of the more complete proxy materials that are available to you on the Internet. This is not a ballot. You cannot use this notice to vote your shares. We encourage you to access and review all of the important information contained in the proxy materials before voting. Email: paper@investorelections.com Under United States Securities and Exchange Commission rules, proxy materials do not have to be delivered in paper. Proxy materials can be distributed by making them available on the * If requesting material by e-mail, please send a blank e-mail with the internet. 12 digit control number (located below) in the subject line. No other requests, instructions OR other inquiries should be included with your If you want to receive a paper or e-mail copy of the proxy material, you must request one. e-mail requesting material. There is no charge to you for requesting a copy. In order to receive a paper package in time for this year’s meeting, you must make this request on or before May 24, 2024. Your control number Have the 12 digit control number located in the box above available when you access the website and follow the instructions. SEE REVERSE FOR FULL AGENDA Copyright © 2024 BetaNXT, Inc. or its affiliates. All Rights Reserved


LOGO

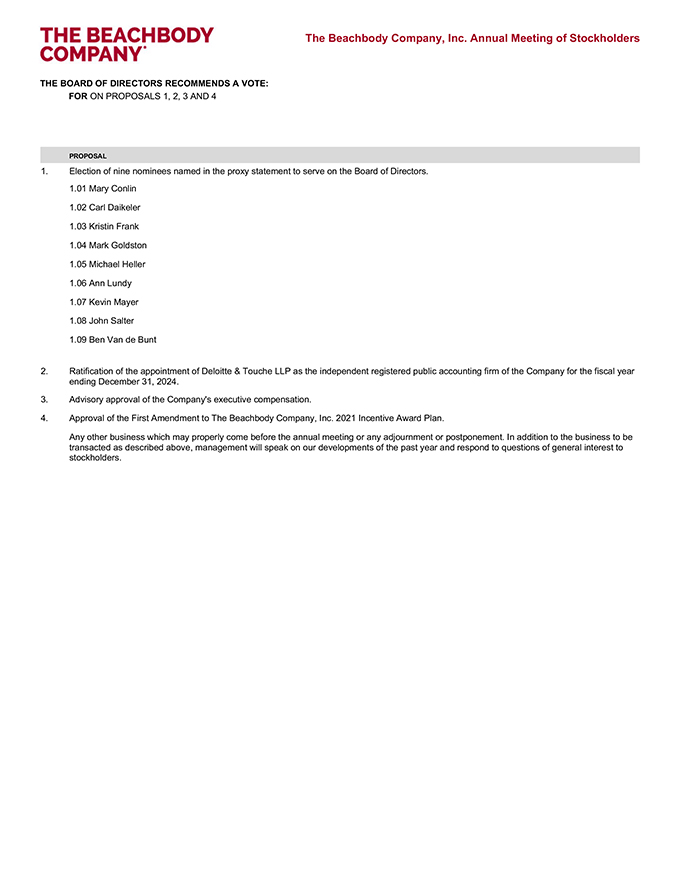
The Beachbody Company, Inc. Annual Meeting of Stockholders THE BOARD OF DIRECTORS RECOMMENDS A VOTE: FOR ON PROPOSALS 1, 2, 3 AND 4 PROPOSAL 1. Election of nine nominees named in the proxy statement to serve on the Board of Directors. 1.01 Mary Conlin 1.02 Carl Daikeler 1.03 Kristin Frank 1.04 Mark Goldston 1.05 Michael Heller 1.06 Ann Lundy 1.07 Kevin Mayer 1.08 John Salter 1.09 Ben Van de Bunt 2. Ratification of the appointment of Deloitte & Touche LLP as the independent registered public accounting firm of the Company for the fiscal year ending December 31, 2024. 3. Advisory approval of the Company’s executive compensation. 4. Approval of the First Amendment to The Beachbody Company, Inc. 2021 Incentive Award Plan. Any other business which may properly come before the annual meeting or any adjournment or postponement. In addition to the business to be transacted as described above, management will speak on our developments of the past year and respond to questions of general interest to stockholders.