Please wait

 

 

UNITED STATES

 

SECURITIES AND EXCHANGE COMMISSION

 

Washington, D.C. 20549

 

 

 

SCHEDULE 14A

 

Proxy Statement Pursuant to Section 14(a) of the

 

Securities Exchange Act of 1934

 

 

Filed by the Registrant ☒ Filed by a party other than the Registrant ☐

 

Check the appropriate box:

 

Preliminary Proxy Statement

 

Confidential, for Use of the Commission Only (as permitted by Rule 14a-6(e)(2))

 

Definitive Proxy Statement

 

Definitive Additional Materials

 

Soliciting Material Under §240.14a-12

 

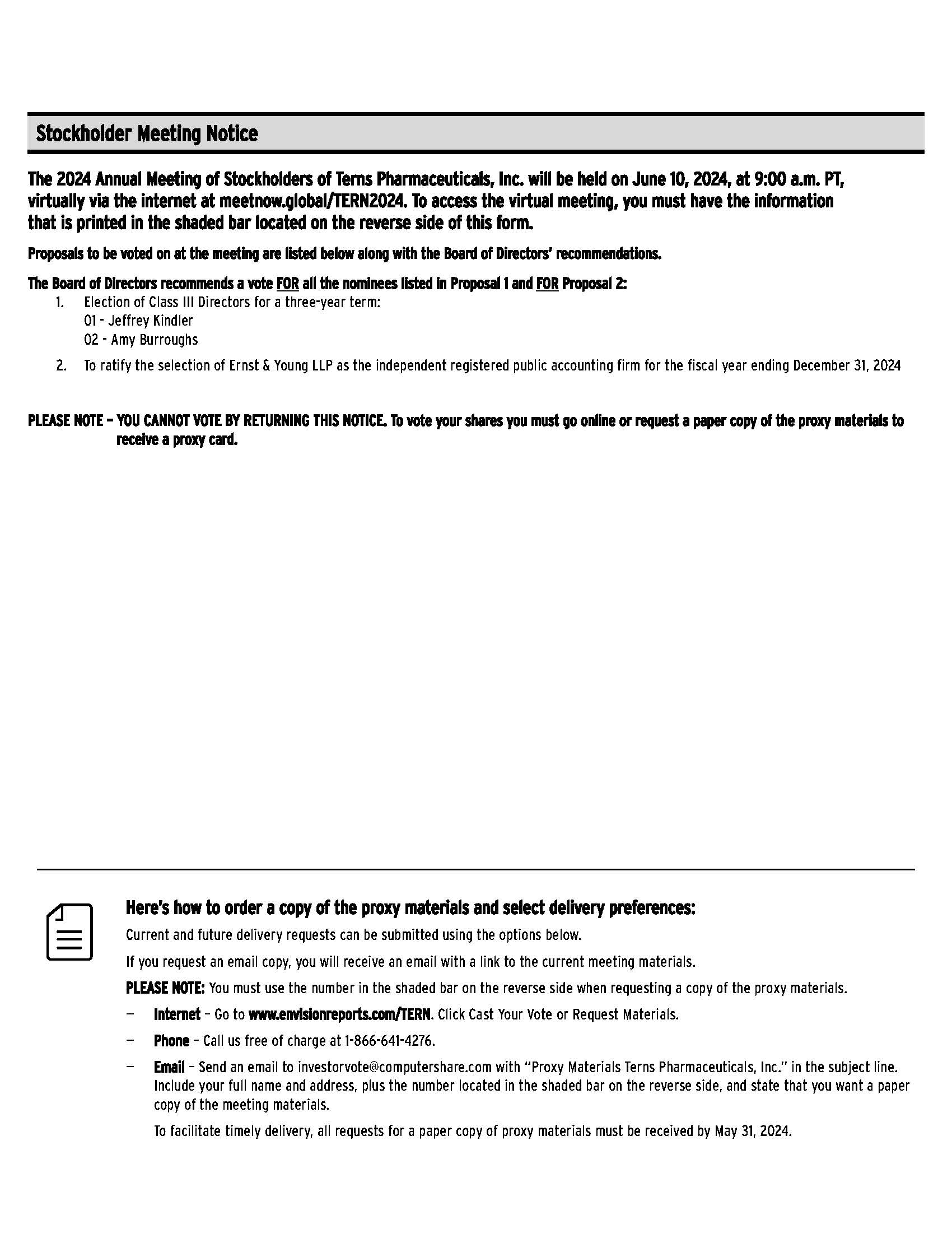
Terns Pharmaceuticals, Inc.

 

(Name of Registrant as Specified In Its Charter)

 

(Name of Person(s) Filing Proxy Statement, if other than the Registrant)

 

Payment of Filing Fee (Check all boxes that apply):

No fee required.
Fee paid previously with preliminary materials.
Fee computed on table in exhibit required by Item 25(b) per Exchange Act Rules 14a-6(i)(1) and 0-11.

 

 


 

img89441579_0.jpg 

 


 

img89441579_1.jpg 

3