Please wait
TABLE OF CONTENTS
As filed with the United States Securities and Exchange Commission on December 15, 2023.
Registration No. 333-275094
UNITED STATES
SECURITIES AND EXCHANGE COMMISSION
Washington, D.C. 20549
AMENDMENT NO. 2
TO
FORM S-1
REGISTRATION STATEMENT
UNDER
THE SECURITIES ACT OF 1933
NKGen Biotech, Inc.
(Exact name of registrant as specified in its charter)
Delaware
(State or other jurisdiction of
incorporation or organization)
001-40427
(Commission
File Number)
86-2191918
(I.R.S. Employer
Identification Number)
3001 Daimler St.
Santa Ana, California 92705
(949) 396-6830
(Address, Including Zip Code, and Telephone Number, Including Area Code, of Registrant’s Principal Executive Offices)
Paul Y. Song
Chief Executive Officer
3001 Daimler St.
Santa Ana, California 92705
(949) 396-6830
(Name, Address, Including Zip Code, and Telephone Number, Including Area Code, of Agent for Service)
Copies to:
Kenneth J. Rollins
Cooley LLP
10265 Science Center Drive
San Diego, California 92121
Tel: (858) 550-6000
If any of the securities being registered on this Form are to be offered on a delayed or continuous basis pursuant to Rule 415 under the Securities Act of 1933, check the following box. ☒
If this Form is filed to register additional securities for an offering pursuant to Rule 462(b) under the Securities Act, please check the following box and list the Securities Act registration statement number of the earlier effective registration statement for the same offering. ☐
If this Form is a post-effective amendment filed pursuant to Rule 462(c) under the Securities Act, check the following box and list the Securities Act registration statement number of the earlier effective registration statement for the same offering. ☐
If this Form is a post-effective amendment filed pursuant to Rule 462(d) under the Securities Act, check the following box and list the Securities Act registration statement number of the earlier effective registration statement for the same offering. ☐
Indicate by check mark whether the registrant is a large accelerated filer, an accelerated filer, a non-accelerated filer, a smaller reporting company, or an emerging growth company. See the definitions of “large accelerated filer,” “accelerated filer,” “smaller reporting company,” and “emerging growth company” in Rule 12b-2 of the Exchange Act.
Large accelerated filer
Accelerated filer
Non-accelerated filer
   ☒
Smaller reporting company
Emerging growth company
If an emerging growth company, indicate by check mark if the registrant has elected not to use the extended transition period for complying with any new or revised financial accounting standards provided pursuant to Section 7(a)(2)(B) of the Securities Act. ☐
The registrant hereby amends this registration statement on such date or dates as may be necessary to delay its effective date until the registrant shall file a further amendment which specifically states that this registration statement shall thereafter become effective in accordance with Section 8(a) of the Securities Act of 1933, as amended, or until the registration statement shall become effective on such date as the SEC, acting pursuant to said Section 8(a), may determine.

TABLE OF CONTENTS
The information in this preliminary prospectus is not complete and may be changed. These securities described herein may not be sold until the registration statement filed with the U.S. Securities and Exchange Commission is declared effective. This preliminary prospectus is not an offer to sell these securities and it is not soliciting an offer to buy these securities in any jurisdiction where the offer or sale is not permitted.
SUBJECT TO COMPLETION, DATED DECEMEBER 15, 2023
PRELIMINARY PROSPECTUS
[MISSING IMAGE: lg_nkgenbiotech-4clr.jpg]
Up to 36,104,035 Shares of Common Stock
Up to 8,676,959 Shares of Common Stock Issuable Upon Exercise of Warrants and
Up to 5,246,033 Warrants to Purchase Common Stock
This prospectus relates to the issuance by us of an aggregate of up to 8,676,959 shares of our common stock, $0.0001 par value per share (the “common stock”), which consists of (i) up to 4,721,533 shares of common stock that are issuable upon the exercise of warrants (the “Private Warrants”) originally issued in a private placement to Graf Acquisition Partners IV LLC (the “Sponsor”), at a price of $1.50 per warrant, in connection with the initial public offering of Graf Acquisition Corp. IV (“Graf”), with an exercise price of $11.50 per share, (ii) up to 3,432,286 shares of common stock that are issuable upon the exercise of certain warrants (the “Public Warrants”) originally issued as part of the units at a price of $10.00 per unit in the initial public offering of Graf, with an exercise price of 11.50 per share, (iii) up to 523,140 shares of common stock that are issuable upon the exercise of warrants issued to the Sponsor at a price of $1.50 per warrant, in connection with the conversion of working capital loans (the “Working Capital Warrants” and, together with the Private Warrants and Public Warrants, the “Warrants”), with an exercise price of $11.50 per share.
This prospectus also relates to the offer and sale from time to time by the selling securityholders named in this prospectus or their permitted transferees (the “selling securityholders”) of (i) up to 36,104,035 shares of common stock consisting of (a) up to 17,249,368 shares of common stock (excluding the shares of common stock underlying the Private Warrants and the Working Capital Warrants) pursuant to the Amended and Restated Registration Rights Agreement (as defined below), consisting of (A) up to 14,724,464 shares of common stock issued or issuable in connection with the Business Combination (as defined below) at an equity consideration value of approximately $10.00 per share by certain of the selling securityholders named in this prospectus; (B) up to 2,516,744 shares of common stock originally purchased by Graf Acquisition Partners LLC (the “Founder Shares”) in a private placement prior to Graf’s initial public offering, at an effective price of approximately $0.006 per share; and (C) up to 6,800 shares of common stock and 1,360 shares of common stock underlying 1,360 Public Warrants held by James A. Graf, which were originally issued by Graf as part of the 6,800 units at a value of $10.00 per unit (each unit representing one share of common stock and one-fifth of a Public Warrant) in its initial public offering, at an average price of approximately $9.91 per unit, which were separated into such shares of common stock and Public Warrants at the Closing (defined below), (b) up to 1,320,000 shares common stock (the “Convertible Notes Shares”) that are issuable upon the conversion of the $10,000,000 aggregate principal amount of 5.0% / 8.0% Convertible Senior Notes due 2027 (the “Senior Convertible Notes”), which have a conversion price of $10.00 per share, that were issued in a private placement pursuant to the securities purchase agreement dated September 15, 2023 (the “Securities Purchase Agreement”), together with the 1,000,000 SPA Warrants (as defined below), for an aggregate purchase price of $10.0 million, (c) up to 1,000,000 shares of common stock (the “SPA Warrant Shares”) that are issuable upon the exercise of warrants (the “SPA Warrants”) at an exercise price of $11.50 per share, which were issued pursuant to the Securities Purchase Agreement; (d) up to 10,209,994 shares of common stock (the “PIPE Warrant Shares”) issuable upon the exercise of the warrants (the “PIPE Warrants”) issued pursuant to those certain subscription agreements, dated September 26, 2023 and September 27, 2023 (collectively, the “Warrant Subscription Agreements”), with each such PIPE Warrant issued at $1.00 per warrant, with the exercise price initially set at $10.00, $12.50 and $15.00 per share for each of the three tranches, respectively, (e) up to 1,080,000 shares of common stock (the “Polar FPA Shares”) issued at approximately $10.44 per share (excluding 80,000 shares of common stock of which were issued for no cash consideration but in consideration for the selling securityholder’s entering into the forward purchase arrangement with the Company), pursuant to the forward purchase agreement funding amount subscription agreement dated September 29, 2023 (the “Polar FPA Funding Subscription Agreement”), (f) up to 4,721,533 shares of common stock (the “Private Warrant Shares”) underlying the Private Warrants, and (g) up to 523,140 shares of common stock (the “Working Capital Warrant Shares”) underlying the Working Capital Warrants; and (ii) up to 5,246,033 Warrants consisting of (a) up to 4,721,533 Private Warrants, (b) up to 523,140 Working Capital Warrants and (c) up to 1,360 Public Warrants held by James A. Graf. We will not receive any proceeds from the sale of shares of common stock or the Warrants by the selling securityholders pursuant to this prospectus.
The selling securityholders may offer, sell or distribute all or a portion of the securities hereby registered publicly or through private transactions at prevailing market prices or at negotiated prices. We will not receive any of the proceeds from such sales of these securities, except with respect to amounts received by us upon exercise of the Warrants for cash. We believe the likelihood that warrant holders will exercise their Warrants for cash and therefore the amount of cash proceeds that we would receive, is dependent upon the trading price of our common stock. The market price of our common stock is lower than the exercise prices of the Warrants as of the date of this prospectus. The value of our common stock will fluctuate and may not align

TABLE OF CONTENTS
with the exercise price of the warrants at any given time. If the trading price for our common stock is less than $11.50 per share, meaning the Warrants are “out of the money”, we believe the holders of Warrants will be unlikely to exercise these Warrants on a cash basis. In addition, the Private Warrants and Working Capital Warrants may be exercised on a cashless basis. To the extent such Warrants are exercised on a cashless basis, we would not receive any cash from such exercise and the total amount of cash that we would receive from the exercise of the Warrants will decrease. Such exercises may not bring us more liquidity but result in further dilution of our common stock, which could adversely affect our financial position. In addition, we may not have sufficient cash to fund on our ongoing operations, and the lack of liquidity could negatively impact our cash flow and business. See “Risk Factors — Risks Related to Our Business and Industry — We do not currently have sufficient funds to continue our operations and require additional capital immediately, and our independent registered public accountants and management have expressed substantial doubt as to our ability to continue as a going concern” for more details. The Public Warrants and the PIPE Warrants may only be exercised for cash provided there is then an effective registration statement registering the shares of common stock issuable upon the exercise of such warrants. If there is not a then-effective registration statement, then such warrants may be exercised on a “cashless basis,” pursuant to an available exemption from registration under the Securities Act of 1933, as amended. We will bear all costs, expenses and fees in connection with the registration of these securities, including with regard to compliance with state securities or “blue sky” laws. The selling securityholders will bear all commissions and discounts, if any, attributable to their sale of shares of common stock or Warrants. See the section titled “Plan of Distribution.”
Our common stock is listed on The Nasdaq Global Market under the symbol “NKGN” and our Public Warrants are listed on The Nasdaq Capital Market under the symbol “NKGNW”. On December 13, 2023, the last reported sales price of our common stock was $3.67 per share and the last reported sales price of our Public Warrants was $0.1599 per warrant.
The number of shares of common stock being offered for resale in this prospectus (the “Resale Securities”) exceeds the number of shares of common stock constituting our public float. The Resale Securities represent approximately 181% of our public float and approximately 96% of our outstanding shares of common stock upon exercise of the Warrants, the SPA Warrants and the PIPE Warrants and upon conversion of the Senior Convertible Notes based on the trading price of our common stock on December 13, 2023. The sale of the Resale Securities, or the perception that these sales could occur, could depress the market price of our common stock. Despite a decline in price, our selling securityholders may still experience a positive rate of return on the shares purchased by them due to the lower price per share at which such shares were purchased. While these selling securityholders may, on average, experience a positive rate of return based on the current market price, public securityholders may not experience a similar rate of return on the common stock they purchased if there is such a decline in price and due to differences in the purchase price and the current market price. For example, based on the closing price of our common stock of $3.67 as of December 13, 2023, the holders of the Founder Shares (as defined below), which were initially purchased at less than $0.01 per share prior to the initial public offering of Graf, would experience a potential profit of up to approximately $3.66 per share, or up to approximately $9.2 million in the aggregate for selling the 2,516,744 Founder Shares held by the Sponsor and Graf’s directors and are covered by this prospectus, assuming all Founder Shares held by the Sponsor that are subject to vesting and forfeiture are fully vested. However, The sales of the securities by the selling securityholders, or the possibility that these sales may occur, also might make it more difficult for us to sell equity securities in the future and at a price that we deem appropriate.
We are an “emerging growth company” as defined under U.S. federal securities laws and, as such, have elected to comply with reduced public company reporting requirements. This prospectus complies with the requirements that apply to an issuer that is an emerging growth company.
Investing in our securities involves a high degree of risk. You should review carefully the risks and uncertainties described in the section titled “Risk Factors” beginning on page 8 of this prospectus, and under similar headings in any amendments or supplements to this prospectus.
Neither the Securities and Exchange Commission nor any state securities commission has approved or disapproved of these securities, or passed upon the accuracy or adequacy of this prospectus. Any representation to the contrary is a criminal offense.
Prospectus dated            , 2023

TABLE OF CONTENTS
 
ABOUT THIS PROSPECTUS
This prospectus is part of a registration statement on Form S-1 that we filed with the Securities and Exchange Commission (the “SEC”) using the “shelf” registration process. Under this shelf registration process, the selling securityholders may, from time to time, sell the securities offered by them described in this prospectus. We will not receive any proceeds from the sale by such selling securityholders of the securities offered by them described in this prospectus. This prospectus also relates to the issuance by us of the shares of common stock issuable upon the exercise of the Public Warrants, Private Warrants and Working Capital Warrants. We will not receive any proceeds from the sale of shares of common stock or the Warrants by selling securityholders pursuant to this prospectus, except with respect to amounts received by us upon the exercise of the warrants for cash.
Neither we nor the selling securityholders have authorized anyone to provide you with any information or to make any representations other than those contained in this prospectus or any applicable prospectus supplement or any free writing prospectuses prepared by or on behalf of us or to which we have referred you. Neither we nor the selling securityholders take responsibility for, and can provide no assurance as to the reliability of, any other information that others may give you. Neither we nor the selling securityholders will make an offer to sell these securities in any jurisdiction where the offer or sale is not permitted.
We may also provide a prospectus supplement or post-effective amendment to the registration statement to add information to, or update or change information contained in, this prospectus. You should read both this prospectus and any applicable prospectus supplement or post-effective amendment to the registration statement together with the additional information to which we refer you in the sections of this prospectus titled “Where You Can Find More Information.”
Legacy NKGen, Graf and Austria Merger Sub, Inc., a Delaware corporation and wholly-owned subsidiary of Graf (“Merger Sub”), entered into that certain Agreement and Plan of Merger, dated as of April 14, 2023 (the “Business Combination Agreement”). Pursuant to the terms and subject to the conditions of the Business Combination Agreement, on September 29, 2023, Merger Sub merged with and into Legacy NKGen with the separate corporate existence of Merger Sub ceasing and Legacy NKGen becoming a wholly-owned subsidiary of Graf (the “Merger” or the “Business Combination”). In connection with the Merger, Graf was renamed “NKGen Biotech, Inc.” and Legacy NKGen changed its name to “NKGen Operating Biotech, Inc.” References herein to “NKGen” denote Graf as the post-Business Combination entity.
Unless the context indicates otherwise, references in this prospectus to “we,” “us,” “our,” the “Company” and similar terms refer to NKGen. References to “Graf” refer to the predecessor company prior to the consummation of the Business Combination.
 
i

TABLE OF CONTENTS
 
SPECIAL NOTE REGARDING FORWARD-LOOKING STATEMENTS
Certain statements in this prospectus may contain “forward-looking statements” within the meaning of Section 27A of the Securities Act and Section 21E of the Exchange Act. The Company’s forward-looking statements include, but are not limited to, statements regarding the Company’s or its management team’s expectations, hopes, beliefs, intentions or strategies regarding the future, including the Company’s expectations regarding the plans and strategy for our business, future financial performance, expense levels and liquidity sources. In addition, any statements that refer to projections, forecasts or other characterizations of future events or circumstances, including any underlying assumptions, are forward-looking statements. The words “anticipate,” “believe,” “continue,” “could,” “estimate,” “expect,” “intends,” “may,” “might,” “plan,” “possible,” “potential,” “predict,” “project,” “should,” “would,” “goal” and similar expressions may identify forward-looking statements, but the absence of these words does not mean that a statement is not forward-looking.
The forward-looking statements contained in this prospectus are based on the Company’s current expectations and beliefs concerning future developments and their potential effects on us taking into account information currently available to the Company. There can be no assurance that future developments affecting the Company will be those that the Company has anticipated. These forward-looking statements involve a number of risks, uncertainties (many of which are difficult to predict and beyond the Company’s control) or other assumptions that may cause actual results or performance to be materially different from those expressed or implied by these forward-looking statements.
As a result of a number of known and unknown risks and uncertainties, the Company’s actual results or performance may be materially different from those expressed or implied by these forward-looking statements. Some factors that could cause actual results to differ include:

the Company’s ability to raise financing in the future;

the Company’s ability to service its operations and expenses and other liquidity needs and to address its ability to continue as a going concern;

the ability to recognize the anticipated benefits of the Business Combination;

the ability to maintain the listing of the NKGen common stock on the Nasdaq Global Market and its warrants on The Nasdaq Capital Market, and the potential liquidity and trading of such securities;

the risk that the consummation of the Business Combination disrupts current plans and operations of the Company;

costs related to the Business Combination and expenses and/or payments due to third parties;

changes in applicable laws or regulations;

the Company’s success in retaining or recruiting, or changes required in, our officers, key employees or directors after the Business Combination;

the Company’s ability to successfully commercialize any product candidates that it successfully develops and that are approved by applicable regulatory authorities;

the Company’s expectations for the timing and results of data from clinical trials and regulatory approval applications;

the Company’s business, operations and financial performance including:

the Company’s history of operating losses and expectations of significant expenses and continuing losses for the foreseeable future;

the Company’s ability to execute its business strategy;

the Company’s ability to develop and maintain its brand and reputation;

the Company’s ability to partner with other companies;

the size of the addressable markets for the Company’s product candidates;
 
ii

TABLE OF CONTENTS
 

the Company’s expectations regarding its ability to obtain and maintain intellectual property protection and not infringe on the rights of others;

the outcome of any legal proceedings that may be instituted against the Company; and

unfavorable conditions in the Company’s industry, the global economy or global supply chain, including financial and credit market fluctuations, international trade relations, pandemics, political turmoil, natural catastrophes, warfare (such as the war between Russia and Ukraine and the armed conflict in Israel and the Gaza Strip and Israel’s declaration of war against Hamas), and terrorist attacks.
These forward-looking statements are based on information available as of the date of this prospectus, and current expectations, forecasts and assumptions, and involve a number of risks and uncertainties. Accordingly, forward-looking statements in this prospectus and in any document incorporated herein by reference should not be relied upon as representing the Company’s views as of any subsequent date, and the Company does not undertake any obligation to update forward-looking statements to reflect events or circumstances after the date they were made, whether as a result of new information, future events or otherwise, except as may be required under applicable securities laws.
You should read this prospectus and the documents that we reference in this prospectus and have filed as exhibits to the registration statement, of which this prospectus is a part, completely and with the understanding that our actual future results may be materially different from what we expect. We qualify all of our forward-looking statements by these cautionary statements.
In addition, statements that “we believe” and similar statements reflect our beliefs and opinions on the relevant subject. These statements are based upon information available to us as of the date of this prospectus and while we believe such information forms a reasonable basis for such statements, such information may be limited or incomplete, and such statements should not be read to indicate that we have conducted an exhaustive inquiry into, or review of, all potentially available relevant information. These statements are inherently uncertain, and investors are cautioned not to unduly rely upon these statements.
 
iii

TABLE OF CONTENTS
 
TABLE OF CONTENTS
1
5
8
63
64
65
66
67
95
147
156
166
173
176
182
191
197
200
200
200
201
F-1
You should rely only on the information contained in this prospectus, any supplement to this prospectus or in any free writing prospectus, filed with the Securities and Exchange Commission. Neither we nor the selling securityholders have authorized anyone to provide you with additional information or information different from that contained in this prospectus filed with the Securities and Exchange Commission. We take no responsibility for, and can provide no assurance as to the reliability of, any other information that others may give you. The selling securityholders are offering to sell, and seeking offers to buy, our securities only in jurisdictions where offers and sales are permitted. The information contained in this prospectus is accurate only as of the date of this prospectus, regardless of the time of delivery of this prospectus or any sale of our securities. Our business, financial condition, results of operations and prospects may have changed since that date.
For investors outside of the United States: Neither we nor the selling securityholders, have done anything that would permit this offering or possession or distribution of this prospectus in any jurisdiction where action for that purpose is required, other than in the United States. Persons outside the United States who come into possession of this prospectus must inform themselves about, and observe any restrictions relating to, the offering of our securities and the distribution of this prospectus outside the United States.
 
iv

TABLE OF CONTENTS
 
FREQUENTLY USED TERMS
Amended and Restated Registration Rights Agreement” means the amended and restated registration rights agreement entered into at Closing by and among NKGen, the Sponsor, the members of Sponsor, certain former stockholder of Legacy NKGen, dated September 2023.
Business Combination” means the transactions contemplated by the Business Combination Agreement.
Closing” means the closing of the Business Combination.
Closing Date” means the date of the Closing.
Code” means the Internal Revenue Code of 1986, as amended.
Senior Convertible Notes” means the $10,000,000 aggregate principal amount of 5.0% / 8.0% convertible senior notes due 2027 issued to NKMAX in a private placement pursuant to the Securities Purchase Agreement.
Convertible Notes Shares” means up to 1,320,000 aggregate shares of NKGen common stock that are issuable upon the conversion of the Senior Convertible Notes, at NKMAX’s election, at a conversion price of $10.00 per share, subject to adjustment in accordance with the terms of the Securities Purchase Agreement.
Deferred Founder Shares” means 2,947,262 of the Founder Shares held by the Sponsor, which were subject to vesting in accordance with the Sponsor Support and Lockup Agreement, as amended and supplemented.
Charter” means the amended and restated certificate of incorporation of NKGen, filed with the Secretary of State of the State of Delaware on May 20, 2021 and amended on May 20, 2023 and September 29, 2023.
DGCL” means the Delaware General Corporation Law, as amended.
Exchange Act” means the U.S. Securities Exchange Act of 1934, as amended.
Forward Purchase Agreements” means those certain forward purchase agreements dated September 22, 2023, September 26, 2023 and September 29, 2023, by and among Graf and certain investors.
Founder Shares” means the aggregate 4,312,500 shares of common stock issued to Graf Acquisition Partners LLC (“Graf LLC”) prior to Graf IPO. All of such shares were later transferred from Graf LLC to the Sponsor, and an aggregate of 80,000 such shares were further transferred from Sponsor to Graf’s independent directors. After the Graf IPO underwriters’ partial exercise of their over-allotment option, an aggregate of 22,125 Founder Shares were forfeited, resulting in 4,290,375 Founder Shares outstanding. 1,773,631 Founder Shares were forfeited by the Sponsor prior to the Closing, resulting in an aggregate of 2,516,744 Founder Shares held by the Sponsor and Graf’s directors outstanding, which were converted into shares of NKGen common stock at the Closing.
GAAP” means U.S. generally accepted accounting principles.
Graf” means Graf Acquisition Corp. IV, a Delaware corporation (which, after the Closing, became NKGen Biotech, Inc.).
Graf Board” means the board of directors of Graf.
Graf Insiders” means the Sponsor and the directors and officers of Graf.
Graf Stockholders” means the holders of common stock of Graf prior to the Closing.
Graf IPO” means Graf’s initial public offering, consummated on May 25, 2021, through the sale of 17,161,500 Units at $10.00 per Unit.
Legacy NKGen” means NKGen Operating Biotech, Inc., a Delaware corporation which, pursuant to the Business Combination, became a direct, wholly owned subsidiary of NKGen Biotech, Inc., and unless the context otherwise requires, its consolidated subsidiaries.
 
v

TABLE OF CONTENTS
 
Merger” means the merger of Merger Sub with and into Legacy NKGen, pursuant to which Legacy NKGen survived the merger as a wholly-owned subsidiary of Graf.
Merger Agreement” means that Agreement and Plan of Merger, dated as of April 14, 2023, by and among Graf, Merger Sub and Legacy NKGen.
Merger Sub” means Austria Merger Sub, Inc., a Delaware corporation and wholly-owned subsidiary of Graf.
Nasdaq” means the Nasdaq Stock Market LLC.
NKGen” means the Delaware corporation which, prior to consummation of the Business Combination, was known as Graf Acquisition Corp. IV.
NKGen Board” means the board of directors of NKGen.
NKGen Bylaws” or “Bylaws” means the amended and restated bylaws to be adopted by NKGen immediately after the Closing.
NKGen common stock” mean the shares of common stock, par value $0.0001 per share, of NKGen.
NKGen Options” means options to acquire NKGen common stock.
NKGen” means NKGen Biotech, Inc. and its subsidiaries prior to the consummation of the Business Combination, which has changed its name to “NKGen Operating Biotech, Inc.” upon the Closing.
NKGen Board” means the board of directors of NKGen.
NKGen common stock” or “our common stock” means an issued and outstanding share of common stock, par value $0.0001 per share, of NKGen.
NKGen Options” means unvested NKGen options to purchase shares of common stock of NKGen.
NKGen Stockholder” means each holder of NKGen common stock.
NKMAX” means NKMAX Co., Ltd., the majority stockholder of NKGen, a company formed under the laws of the Republic of Korea.
NYSE” means the New York Stock Exchange.
PIPE Warrants” means the aggregate 10,209,994 Warrants purchased by those warrant subscribers pursuant to the Warrant Subscription Agreements, each of which is exercisable for cash or cashless exercise under certain circumstances in accordance with the respective Warrant Subscription Agreement.
Private Warrants” means the 4,721,533 Warrants purchased by the Sponsor concurrently with Graf IPO, each of which is exercisable for cash at an exercise price of $11.50 or cashless exercise under certain circumstances for one share of NKGen common stock.
Public Warrants” means the 3,432,286 warrants included as a component of the units of Graf sold in the Graf IPO, each of which is exercisable, at an exercise price of $11.50, for one share of NKGen common stock, in accordance with its terms.
SEC” means the U.S. Securities and Exchange Commission.
Securities Purchase Agreement” means the securities purchase agreement in relation to the Senior Convertible Notes and SPA Warrants by and among Graf and NKMAX, dated September 15, 2023.
Senior Convertible Notes” means the $10,000,000 aggregate principal amount of 5.0% / 8.0% convertible senior notes due 2027 issued to NKMAX in a private placement pursuant to the Securities Purchase Agreement.
SPA Warrants” means the 1,000,000 Warrants issued in connection with the Senior Convertible Notes, each of which is exercisable, at an exercise price of $11.50, for one share of NKGen common stock, in accordance with its terms.
 
vi

TABLE OF CONTENTS
 
Sponsor” means Graf Acquisition Partners IV LLC, a Delaware limited liability company, which liquidated and distributed its holdings to its ultimate beneficiaries prior to the Closing.
Sponsor Support and Lockup Agreement” means the sponsor support and lockup agreement by and among Graf, the Sponsor, Legacy NKGen and certain of Graf’s directors and officers entered into in connection with the execution of the Merger Agreement, as amended and restated from time to time.
Warrant Subscription Agreements” means those certain warrant subscription agreements, dated September 26, 2023 and September 27, 2023, by and among Graf and the warrant investors pursuant to, and on the terms and subject to the conditions of which, the warrant investors have collectively subscribed for and agreed to purchase in private placements an aggregate of 10,209,994 shares of common stock at a purchase price of $1.00 per warrant, resulting in an aggregate purchase price of $10,209,994.
Warrants” means the Private Warrants, the Public Warrants and the Working Capital Warrants.
Working Capital Note” means the convertible promissory note issued by Graf to the Sponsor with a principal amount up to $1.5 million on May 15, 2023.
Working Capital Warrants” means the 523,140 Warrants issued upon conversion of the then outstanding amount under the Working Capital Note upon the Closing, each of which is exercisable, for cash at an exercise price of $11.50, for one share of NKGen common stock, or on cashless exercise, in accordance with its terms.
 
vii

TABLE OF CONTENTS
 
PROSPECTUS SUMMARY
This summary highlights information contained elsewhere in this prospectus and does not contain all of the information that you should consider in making your investment decision. Before investing in our securities, you should carefully read this entire prospectus, including our consolidated financial statements and the related notes thereto and the information set forth in the sections titled “Risk Factors,” “Business” and “Management’s Discussion and Analysis of Financial Condition and Results of Operations.” Unless the context otherwise requires, we use the terms “NKGen Biotech,” “company,” “we,” “us” and “our” in this prospectus to refer to NKGen Biotech, Inc. and our wholly owned subsidiary after the Closing.
Overview
We are a clinical-stage biotechnology company focused on the development and commercialization of innovative autologous, allogeneic and CAR-natural killer (“NK”) cell therapies utilizing a proprietary SuperNKTM (“SNK”) platform. Our product candidates are based on a proprietary manufacturing and cryopreservation process which produces SNK cells that have increased activity as compared to the starting population of NK cells, based on the results of in vitro experiments performed by NKMAX, as defined by parameters such as cytotoxicity, cytokine production and activating receptor expression. NKGen believes that SNK cells have the potential to deliver transformational benefits to patients with neurodegenerative diseases, such as Alzheimer’s Disease (“AD”) and Parkinson’s disease (“PD”) and cancer.
Corporate Information
We were originally known as Graf Acquisition Corp. IV. On September 29, 2023, Legacy NKGen, Graf and Merger Sub consummated the transactions contemplated under the Merger Agreement, following the approval at the special meeting of the stockholders of Graf held on September 25, 2023. In connection with the closing of the Business Combination, we changed our name from Graf Acquisition Corp. IV to NKGen Biotech, Inc.
Our principal executive offices are located at 3001 Daimler St., Santa Ana, California 92705, and our telephone number is (949) 396-6830. Our corporate website address is https://nkgenbiotech.com. Information contained on or accessible through our website is not a part of this prospectus, and the inclusion of our website address in this prospectus is an inactive textual reference only.
Emerging Growth Company Status
We are an “emerging growth company,” as defined in the Jumpstart Our Business Startups Act of 2012 (“JOBS Act”). As an emerging growth company, we are exempt from certain requirements related to executive compensation, including the requirements to hold a nonbinding advisory vote on executive compensation and to provide information relating to the ratio of total compensation of our President and Chief Executive Officer to the median of the annual total compensation of all of our employees, each as required by the Investor Protection and Securities Reform Act of 2010, which is part of the Dodd-Frank Act.
Section 102(b)(1) of the Jumpstart Our Business Startups Act of 2012 (the “JOBS Act”) exempts emerging growth companies from being required to comply with new or revised financial accounting standards until private companies (that is, those that have not had a registration statement under the Securities Act declared effective or do not have a class of securities registered under the Exchange Act) are required to comply with the new or revised financial accounting standards. The JOBS Act provides that a company can elect to opt out of the extended transition period and comply with the requirements that apply to non-emerging growth companies but any such an election to opt out is irrevocable. We have elected not to opt out of such extended transition period, which means that when a standard is issued or revised and it has different application dates for public or private companies, we, as an emerging growth company, can adopt the new or revised standard at the time private companies adopt the new or revised standard. This may make comparison of NKGen Biotech’s financial statements with those of another public company that is neither an emerging growth company nor an emerging growth company that has opted out of using the extended transition period difficult or impossible because of the potential differences in accounting standards used.
 
1

TABLE OF CONTENTS
 
We will remain an emerging growth company until the earlier of: (1) the last day of the fiscal year (a) following the fifth anniversary of the Closing of Graf’s IPO, (b) in which we have total annual gross revenue of at least $1.235 billion or (c) in which we are deemed to be a large accelerated filer, which means the market value of our common equity that is held by non-affiliates exceeds $700 million as of the end of the prior fiscal year’s second fiscal quarter; and (2) the date on which we have issued more than $1.00 billion in non-convertible debt securities during the prior three-year period. References herein to “emerging growth company” are to its meaning under the Securities Act, as modified by the JOBS Act.
Liquidity
We do not currently have sufficient funds to service our operations and our expenses and other liquidity needs and require additional capital immediately, and our independent registered public accountants and management have expressed substantial doubt as to our ability to continue as a going concern.
As of September 30, 2023 and December 31, 2022, we had cash and cash equivalents of approximately $8.8 million and $0.1 million, respectively, and working capital deficits of approximately $31.5 million and $14.4 million, respectively. We have incurred substantial transaction expenses in connection with the Business Combination. Approximately $14.3 million in transaction expenses and deferred underwriter fees were settled upon the consummation of the Business Combination. However, we continue to have substantial transaction expenses accrued and unpaid subsequent to the Closing. As of October 31, 2023, we had incurred approximately $10.6 million in accounts payable and accrued expenses, including transaction expenses from the Business Combination and our ongoing business operations. We continue to have substantial transaction expenses accrued and unpaid subsequent to the Business Combination. Furthermore, we expect to incur additional expenses in connection with transitioning to, and operating as, a public company.
In addition, we had approximately $20.2 million in outstanding debts as of September 30, 2023, inclusive of our revolving line of credit with East West Bank, loans with related parties and the Senior Convertible Notes. In addition, our revolving line of credit with East West Bank is secured by all of our assets, and requires us to deposit and maintain a minimum cash balance of $15.0 million with the bank by December 31, 2023 and at all times thereafter as long as there is an outstanding balance under the revolving line of credit. We intend to seek delays on certain payments and explore other ways of potentially reducing immediate expenses with the goal of preserving cash until any potential additional financing is secured, but these efforts may not be successful or sufficient in amount or on a timely basis to meet our ongoing capital requirements. We are in discussions with certain financing sources to attempt to secure additional interim financing by the end of December 2023, which is needed to continue operations and fund other liquidity needs. In the absence of additional sources of liquidity, management anticipates that existing cash resources will not be sufficient to meet operating and liquidity needs beyond the end of December 2023. However, there is no assurance that we will be able to timely secure such additional liquidity or be successful in raising additional funds or that such required funds, if available, will be available on acceptable terms or that they will not have a significant dilutive effect on our existing stockholders. In addition, we are unable to determine at this time whether any of these potential sources of liquidity will be adequate to support our operations or provide sufficient cash flows to us to meet our obligations as they become due and continue as a going concern. In the event we determine that additional sources of liquidity will not be available to us or will not allow us to meet our obligations as they become due, we may need to file a voluntary petition for relief under the United States Bankruptcy Code in order to implement a restructuring plan or liquidation. In addition, substantial doubt about our ability to continue as a going concern may cause, investors or other financing sources to be unwilling to provide funding to us on commercially reasonable terms, if at all. If sufficient funds are not available, we will have to delay, reduce the scope of, or eliminate some or all of our business activities, which would adversely affect our business prospects and our ability to continue our operations.
In addition, we may have to liquidate our assets and may receive less than the value at which those assets are carried on our financial statements, and/or seek protection under Chapters 7 or 11 of the United States Bankruptcy Code. This could potentially cause us to cease operations and result in a complete or partial loss of your investment in our common stock. This could potentially cause us to cease operations and result in a total loss of your investment in our common stock. See “Risk Factors — Risks Related to Our Business and Industry — We do not currently have sufficient funds to continue our operations and require additional capital immediately” for more details.
 
2

TABLE OF CONTENTS
 
Summary Risk Factors
Investments in our securities involve substantial risk. The following is a summary of select risks and uncertainties that could materially adversely affect us and our business, financial condition and results of operations. You should carefully consider all the information in this prospectus, including matters set forth under the section entitled “Risk Factors” for more details. The below summary is qualified in its entirety by that more complete discussion of such risks and uncertainties. These risks include the following, among others:
Risks Related to Our Business and Industry

We do not currently have sufficient funds to continue our operations and require additional capital immediately, and our independent registered public accountants and management have expressed substantial doubt as to our ability to continue as a going concern.

Our business depends upon the success of our NK cell therapy platform.

Utilizing NK cells represents a novel approach to the treatment of oncological and neurodegenerative diseases, and we must overcome significant challenges in order to develop, commercialize and manufacture our product candidates.

Certain aspects of the function and production of NK cells are currently unknown or poorly understood, and may only become known through further preclinical testing and clinical trials. Any potential changes to our process may result in delays and additional expenses.

Results of any patient who receives our product candidates through the compassionate use access program should not be viewed as representative of how the product candidate will perform in a well-controlled clinical trial, and cannot be used to establish safety or efficacy for regulatory approval.

Clinical development involves a lengthy and expensive process with an uncertain outcome, and we may encounter substantial delays due to a variety of reasons outside our control.

Our business is highly dependent on the clinical success of our product candidates, and on the clinical success of SNK01 and SNK02 in particular, and we may fail to develop SNK01, SNK02 and/or our other product candidates successfully or may be unable to obtain regulatory approval for them.

Even if we obtain regulatory approval for a product candidate, our products will remain subject to continuous subsequent regulatory obligations and scrutiny.

We have never commercialized a product candidate before, and we may lack the necessary expertise, personnel and resources to successfully commercialize any products, if approved. We may be unable to establish effective marketing and sales capabilities or enter into agreements with third parties or related parties to market and sell our product candidates, if they are approved, and as a result, we may be unable to generate product revenues.
Risks Related to Our Financial Position

We have a limited operating history, have incurred significant losses since our inception, and we expect to continue to incur significant losses for the foreseeable future.

We have never generated revenue from product sales and may never achieve or maintain profitability.

Our East West Bank Loan Agreement provides the lender with a security interest in all of our assets, and contains financial covenants and other restrictions on our actions that may limit our operational flexibility or otherwise adversely affect our results of operations.

The terms of our 2023 NKMAX Loan Agreements and the East West Bank Loan Agreement require us to meet certain payment obligations, and may subject us to default.
Risks Related to Government Regulations

The regulatory approval process of the FDA and comparable foreign regulatory authorities are lengthy, time-consuming and inherently unpredictable, and even if we complete the necessary clinical
 
3

TABLE OF CONTENTS
 
trials, we cannot predict when, or if, we will obtain regulatory approval for any of our product candidates, and any such regulatory approval may be for a more narrow indication than we seek.

We are and will be subject to U.S. and certain foreign export and import controls, sanctions, embargoes, anti-corruption laws and anti-money laundering laws and regulations. Compliance with these legal standards could impair our ability to compete in domestic and international markets. We could face criminal and/or civil liability and other serious consequences for violations, which would harm our business.
Risks Related to Manufacturing

Our manufacturing process is novel and complex, and we may encounter difficulties in production, or difficulties with internal manufacturing, which would delay or prevent our ability to provide a sufficient supply of our product candidates for clinical trials or our products for patients, if approved.

Delays in commissioning and receiving regulatory approvals for our manufacturing facilities could delay our development plans and thereby limit our ability to develop our product candidates and generate revenues.
Risks Related to Our Intellectual Property

If our license agreement with NKMAX is terminated, we could lose our rights to key components enabling our NK cell technology platform.

We may need to license additional intellectual property from third parties, and any such licenses may not be available or may not be available on commercially reasonable terms.

Our development and commercialization rights to our current and future product candidates and technology are subject, in part, to the terms and conditions of licenses granted to us by others.
Risks Related to Ownership of Our Securities

Our stock price may be volatile and may decline regardless of its operating performance.

We may be unable to maintain the listing of our securities on Nasdaq in the future.

Future sales of shares by existing stockholders could cause our stock price to decline.

The shares of common stock being offered in this prospectus represent a substantial percentage of our outstanding common stock, and the sales of such shares, or the perception that these sales could occur, could cause the market price of our common stock to decline significantly.

The Warrants, SPA Warrants and PIPE Warrants may not be exercised at all or may be exercised on a cashless basis and we may not receive any cash proceeds from the exercise of the Warrants, SPA Warrants or PIPE Warrants.

We may issue additional shares of common stock or other equity securities without your approval, which would dilute your ownership interests and may depress the market price of our common stock.
 
4

TABLE OF CONTENTS
 
The Offering
Issuance of common stock
Shares of common stock offered
by us
Up to 8,676,959 shares of NKGen common stock, consisting of (i) up to 4,721,533 shares of NKGen common stock that are issuable upon exercise of the Private Warrants, (ii) up to 3,432,286 shares of NKGen common stock that are issuable upon exercise upon the exercise of the Public Warrants, and (iii) up to 523,140 shares of common stock that are issuable upon the exercise of the Working Capital Warrants.
Shares of common stock outstanding prior to the exercise of all
Warrants
21,888,976 (as of December 15, 2023)
Shares of common stock outstanding assuming exercise of all of the Warrants
30,565,935 (based on the total shares of NKGen common stock outstanding as of December 15, 2023)
Exercise price of the Warrants
$11.50 per share, for the Warrants, subject to adjustment as described herein
Use of proceeds
We will receive up to an aggregate of approximately $99.8 million from the exercise of the Warrants, assuming exercise in full of all the Warrants for cash. We expect to use the net proceeds from the exercise of the Warrants for general corporate purposes. We believe the likelihood that the holders of the Warrants will exercise or convert their securities, and therefore the amount of cash proceeds that we would receive is dependent upon the trading price of our common stock. If the trading price for our common stock is less than $11.50 per share for the Warrants, meaning the Warrants are “out of the money”, we believe the holders of Warrants will be unlikely to exercise these Warrants on a cash basis. To the extent that any Warrants are exercised on a cashless basis, we would not receive any cash from such exercise and the total amount of cash we would receive from the exercise of the Warrants will decrease. See “Use of Proceeds.”
Resale of Common Stock, Private Warrants and Working Capital Warrants
Shares of common stock offered by the selling securityholders
We are registering the resale by the selling securityholders named in this prospectus, or their permitted transferees, and aggregate of 36,104,035 shares of NKGen common stock, consisting of:

up to 17,249,368 shares of NKGen common stock pursuant to the Amended and Restated Registration Rights Agreement (excluding the shares of common stock issuable upon exercise of the Private Warrants and the Working Capital Warrants);

up to 1,320,000 shares of NKGen common stock issuable upon conversion of the Senior Convertible Notes that were issued in a private placement pursuant to the Securities Purchase Agreement;
 
5

TABLE OF CONTENTS
 

up to 1,000,000 shares of NKGen common stock issuable upon the exercise of the SPA Warrants issued pursuant to the Securities Purchase Agreement;

up to 10,209,994 shares of NKGen common stock issuable upon exercise of the PIPE Warrants issued pursuant to the Warrant Subscription Agreement;

up to 1,080,000 shares of NKGen common stock issued pursuant to the Polar FPA Funding Subscription Agreement;

up to 4,721,533 shares of NKGen common stock issuable upon the exercise of the Private Warrants; and

up to 523,140 shares of NKGen common stock issuable upon exercise of the Working Capital Warrants.

Given the substantial number of shares of NKGen common stock being registered for potential resale by the selling securityholders pursuant to this prospectus, the sale of shares of the selling securityholders of a large number of shares, or the perception in the market that the selling securityholders intend to sell a large number of shares, could increase the volatility of the market price of our common stock or result in a significant decline in the market price of our common stock. Even if the market price of our common stock is below the exercise prices or the offering price in Graf’s initial public offering, the some of the selling securityholders may still have an incentive to sell our shares because they purchased the shares at a significantly lower price than the purchase price paid by our public investors or the current market price of our common stock. While these selling securityholders may, on average, experience a positive rate of return on their investment in our common stock as a result, the public securityholders may not experience a similar rate of return on the securities they purchased due to differences in their purchase prices and the trading price. For example, based on the closing price of our common stock on December 13, 2023, assuming all shares held by the Sponsor that are subject to vesting and forfeiture are fully vested, the original holders of the Founder Shares would experience a potential profit of up to approximately $3.66 per share that they purchased prior to the initial public offering of Graf, or up to approximately $9.2 million in the aggregate (not giving effect to the issuance of the shares of NKGen common stock issuable upon exercise of the Warrants held by them), assuming all Founder Shares held by the Sponsor that are subject to vesting and forfeiture are fully vested. The sales of the securities by the selling securityholders, or the possibility that these sales may occur, also might make it more difficult for us to sell equity securities in the future and at a price that we deem appropriate.
Warrants offered by the selling stockholders
Up to 5,246,033 Warrants, consisting of (i) up to 4,721,533 Private Warrants, (ii) up to 523,140 Working Capital Warrants and (iii) 1,360 Public Warrants held by Mr. Graf.
 
6

TABLE OF CONTENTS
 
Redemption
The Public Warrants are redeemable in certain circumstances. See “Description of Our Securities — Warrants — Public Warrants.”
Terms of the offering
The selling securityholders will determine when and how they will dispose of the shares of NKGen common stock registered for resale under this prospectus.
Lock-Up Agreements
Certain of our securityholders are subject to certain restrictions on transfer until the termination of applicable lock-up periods. See the section titled “Certain Relationships and Related Party Transactions — Lock-Up Agreement.
Use of proceeds
We will not receive any of the proceeds from the sale of the shares of common stock or the Warrants by the selling securityholders, except with respect to amounts received by us due to the exercise of the Warrants.
Risk factors
Before investing in our securities, you should carefully read and consider the information set forth in “Risk Factors” beginning on page 8.
Nasdaq ticker symbols
“NKGN” and “NKGNW.”
For additional information concerning the offering, see “Plan of Distribution” beginning on page 197.
 
7

TABLE OF CONTENTS
 
RISK FACTORS
Investing in our securities involves a high degree of risk. You should carefully consider the risks and uncertainties described below together with all of the other information contained in this prospectus, including the risks and uncertainties discussed above under “Special Note Regarding Forward-Looking Statements,” our financial statements and related notes appearing at the end of this prospectus and in the section titled “Management’s Discussion and Analysis of Financial Condition and Results of Operations,” before deciding to invest in our securities. If any of the events or developments described below were to occur, our business, prospects, operating results and financial condition could suffer materially, the trading price of our common stock could decline, and you could lose all or part of your investment. The risks and uncertainties described below are not the only ones we face. Additional risks and uncertainties not presently known to us or that we currently believe to be immaterial may also adversely affect our business.
Risks Related to Our Business and Industry
We do not currently have sufficient funds to service our operations and expenses and other liquidity needs and require additional capital immediately, and our independent registered public accountants and management have expressed substantial doubt as to our ability to continue as a going concern.
We do not currently have sufficient funds to service our operations and our expenses and other liquidity needs and require additional capital immediately, and our independent registered public accountants and management have expressed substantial doubt as to our ability to continue as a going concern. As of September 30, 2023 and December 31, 2022, we had cash and cash equivalents of approximately $8.8 million and $0.1 million, respectively. We received approximately $21.9 million in gross proceeds from the Closing. We have incurred substantial transaction expenses in connection with the Business Combination and approximately $14.3 million of transaction expenses and deferred underwriting fees were settled at the Closing. However, we continue to have substantial transaction expenses accrued and unpaid subsequent to the Closing. As of October 31, 2023, we had approximately $10.6 million in accounts payable and accrued expenses, including transaction expenses from the Business Combination and our ongoing business operations. We intend to seek delays on certain payments and explore other ways of potentially reducing immediate expenses with the goal of preserving cash until any potential additional financing is secured, but these efforts may not be successful or sufficient in amount or on a timely basis to meet our ongoing capital requirements.
We are in discussions with certain financing sources to attempt to secure additional interim financing by the end of December 2023, which is needed to continue operations and fund other liquidity needs. In the absence of additional sources of liquidity, management anticipates that existing cash resources will not be sufficient to meet operating and liquidity needs beyond the end of December 2023. However, there is no assurance that we will be able to timely secure such additional liquidity or be successful in raising additional funds or that such required funds, if available, will be available on acceptable terms or that they will not have a significant dilutive effect on our existing stockholders. In addition, we are unable to determine at this time whether any of these potential sources of liquidity will be adequate to support our operations or provide sufficient cash flows to us to meet our obligations as they become due and continue as a going concern. In the event we determine that additional sources of liquidity will not be available to us or will not allow us to meet our obligations as they become due, we may need to file a voluntary petition for relief under the United States Bankruptcy Code in order to implement a restructuring plan or liquidation. If sufficient funds are not available, we will have to delay, reduce the scope of, or eliminate some or all of our business activities, which would adversely affect our business prospects and our ability to continue our operations. In addition, we may have to liquidate our assets and may receive less than the value at which those assets are carried on our financial statements, and/or seek protection under Chapters 7 or 11 of the United States Bankruptcy Code. This could potentially cause us to cease operations and result in a total loss of your investment in our common stock.
In addition, we had approximately $20.2 million in outstanding debts as of September 30, 2023, inclusive of our revolving line of credit with East West Bank, loans with related parties and the Senior Convertible Notes. In addition, our revolving line of credit with East West Bank is secured by all of our assets, and requires us to deposit and maintain a minimum cash balance of $15.0 million with the bank by
 
8

TABLE OF CONTENTS
 
December 31, 2023 and at all times thereafter as long as there is an outstanding balance under the revolving line of credit. We may be unable to service our debt obligations and our minimum cash requirements under our revolving line of credit. See “— Risks Related to Our Financial Position — The East West Bank Loan Agreement provides the lender with a security interest in all of our assets, and contains financial covenants and other restrictions on our actions that may limit our operational flexibility or otherwise adversely affect our results of operations” for more details. We have entered into certain financing arrangements with certain investors, as discussed in the “Management’s Discussion and Analysis of Financial Condition and Results of Operations” herein, in order to facilitate the consummation of the Business Combination. However, in accordance with such Forward Purchase Agreements, the funds raised in connection with such transactions were placed into escrow accounts and not received by the Company at the Closing. There is no guarantee that the Company will receive substantial funds or any in connection with the Forward Purchase Agreements. See “— Risks Related to Ownership of Our Securities — The shares of common stock being offered in this prospectus represent a substantial percentage of our outstanding common stock, and the sales of such shares, or the perception that these sales could occur, could cause the market price of our common stock to decline significantly” and “— Risks Related to Ownership of Our Securities — We may be required to pay cash or issue shares of common stock to investors with whom we entered into Forward Purchase Agreements, which could reduce the amount of cash available to us or further dilute your ownership in us” for more details on risks related to outstanding warrants and the Forward Purchase Agreements.
The Report of Independent Registered Public Accounting Firm to our December 31, 2022 financial statements includes an explanatory paragraph that expressed substantial doubt about our ability to continue as a going concern. In addition, our unaudited condensed financial statements as of and for the nine months ended September 30, 2023 continue to disclose that there is substantial doubt about our ability to continue as a going concern. Our management has also independently determined that there is substantial doubt about our ability to continue as a going concern because we have incurred significant operating losses and expect to continue incurring losses for the foreseeable future. Our financial statements were prepared assuming that we will continue as a going concern and do not include any adjustments that may result from the outcome of this uncertainty. Given the uncertainty regarding our financial condition, substantial doubt exists about our ability to continue as a going concern for a reasonable period of time.
Because the proceeds from the Business Combination and our recent financing arrangements as discussed in the “Management’s Discussion and Analysis of Financial Condition and Results of Operations” herein, including the Forward Purchase Agreements, the Warrant Subscription Agreements and the Securities Purchase Agreement, are not adequate to cover our accrued and unpaid expenses and provide the cash and liquidity necessary to operate our business, we continue to seek additional financing, including debt and equity financing, and other sources of financing such as forward purchase arrangements, senior convertible notes and other sources of capital, including with related parties. To the extent that we raise additional capital through the future sale of equity or debt, the ownership interest of our stockholders will be diluted. The terms of these securities may include liquidation or other preferences that adversely affect the rights of our existing common stockholders. If we raise additional funds through collaboration agreements, marketing agreements, or licensing arrangements, we may have to relinquish valuable rights to our technologies, future revenue streams or product candidates on terms that may not be favorable to it.
If we seek additional financing to fund our business activities in the future and there remains substantial doubt about our ability to continue as a going concern, investors or other financing sources may be unwilling to provide additional funding to us on commercially reasonable terms or at all. Further, the perception that we may be unable to continue as a going concern may impede our ability to pursue any potential strategic opportunities or operate our business due to concerns regarding our ability to discharge our contractual obligations. Any additional fundraising efforts may divert our management from their day-to-day activities, which may adversely affect our ability to develop and, if approved, commercialize our product candidates. In addition, our ability to raise necessary financing could be impacted by macro-economic conditions, such as an inflationary period or economic slowdown, and market impacts as a result of geopolitical events, including relating to Russia’s invasion of Ukraine and the State of Israel’s war against Hamas. If we are unable to obtain sufficient funding on a timely basis and on acceptable terms and continue as a going concern, we may be required to significantly curtail, delay or discontinue one or more of our research or development programs or the commercialization of any product candidates or to otherwise reduce or discontinue our operations. If we are ultimately unable to continue as a going concern, we may have to seek the protection
 
9

TABLE OF CONTENTS
 
of bankruptcy laws or liquidate our assets and may receive less than the value at which those assets are carried on our audited financial statements, and it is likely that our stockholders will lose all or a part of their investment.
Our business depends upon the success of our NK cell therapy platform.
Our success depends on our ability to utilize our NK cell technology platform to generate product candidates, to obtain regulatory approval for such product candidates, and to ultimately commercialize such product candidates. Phase I and Phase I/II clinical trials to evaluate our first NK cell product candidate, SNK01, in humans are ongoing. All of our product candidates developed from our technology platform will require significant additional clinical and non-clinical development, review and approval by the U.S. Food and Drug Administration (the “FDA”) or other regulatory authorities in one or more jurisdictions, substantial investment, access to sufficient commercial manufacturing capacity and significant marketing efforts before they can be successfully commercialized. If any of our product candidates encounter safety or efficacy problems, developmental delays or regulatory issues, or other problems, such problems could impact the development plans for our other product candidates because all of our product candidates are based on the same core NK cell manufacturing technology.
Utilizing NK cells represents a novel approach to the treatment of oncological and neurodegenerative diseases, and we must overcome significant challenges in order to develop, commercialize and manufacture our product candidates.
To date, the FDA has approved only a few cell-based therapies for commercialization and no NK-based cell therapy has been approved for commercial use by any regulatory authority. The processes and requirements imposed by the FDA or other applicable regulatory authorities may cause delays and additional costs in obtaining approvals for marketing authorization for our product candidates. We believe our NK cell platform product candidates are novel, and because cell-based therapies are relatively new, regulatory agencies may lack precedents for evaluating product candidates like our NK product candidates. As the cell-based therapy field develops further, the processes and requirements imposed by the regulatory agencies may evolve in a manner that adversely impacts us. The novelty of our product candidates may also lengthen the regulatory review process, including the time it takes for the FDA to review our investigational new drug (“IND”) applications if and when submitted, increase our development costs and delay or prevent approval and commercialization of our NK cell therapy platform product candidates.
Additionally, advancing novel cell-based therapies for the treatment of oncological and neurodegenerative diseases creates significant challenges for us, including, but not limited to:

enrolling and retaining sufficient numbers of patients in our ongoing and future clinical trials;

training a sufficient number of medical personnel on how to properly prepare and administer our NK cells;

training a sufficient number of medical and clinical laboratory personnel in the proper collection and handling of clinical samples in our clinical trials to enable a sufficient understanding of pharmacokinetics and pharmacodynamics for the design of an optimal dosing regimen;

educating medical personnel regarding the potential side-effect profile of our NK cells and, as the clinical program progresses, on observed side effects with the therapy;

developing a reliable and safe and an effective means of manufacturing our NK cells;

manufacturing, cryopreservation, storage, and transport logistics of handling our NK cells on a large scale and in a cost-effective manner;

sourcing starting material suitable for clinical and commercial manufacturing; and

establishing sales and marketing capabilities, as well as developing a manufacturing process and distribution network to support the commercialization of any approved products.
We must be able to overcome these challenges in order for us to develop, commercialize and manufacture our product candidates utilizing NK cells.
 
10

TABLE OF CONTENTS
 
Certain aspects of the function and production of NK cells are currently unknown or poorly understood, and may only become known through further preclinical testing and clinical trials. Any potential changes to our process may result in delays and additional expenses.
Our current clinical experience with NK cell therapy is predominantly based on cells from both donors and patients. Current industry limitations include difficulty in expanding cell production to commercial levels, low cell cytotoxicity at baseline, loss of cytotoxicity after cryopreservation, low persistence requiring repeated dosing, and poor solid tumor microenvironment penetration. We are conducting Phase I clinical trials for SNK01 and SNK02, and we advance the clinical development of SNK01 and initiate a Phase I/IIa trial in the United States for AD. There is a risk that the early clinical results or compassionate use results may not be reflective of future clinical trial results which may require us to re-evaluate trial design and other aspects of the testing procedures. There is also a limited history of NK cell manufacturing for clinical use, and our understanding of NK cell biology is continuously expanding. If we find that our current manufacturing processes are inadequate, or should we identify opportunities for material improvement, adaptation of process improvements may require significant time and expense. Process improvements might also necessitate new pre-clinical studies and clinical protocols to establish product comparability. If we are unable to show comparability after a process change, further changes to our manufacturing process and/or clinical trials will be required. For example, if sufficient comparability is not shown, we may be required to repeat one or more clinical trials.
The foregoing processes would require us to redesign the clinical protocols and clinical trials for our product candidates and could require significant additional time and resources to complete, as well as the participation of a significant number of additional clinical trial participants and cell donors, any of which would delay the clinical development of our product candidates and their eventual commercialization.
Results of any patient who receives our product candidates through the compassionate use access program should not be viewed as representative of how the product candidate will perform in a well-controlled clinical trial, and cannot be used to establish safety or efficacy for regulatory approval.
We have received requests for compassionate use access to our investigational drugs by physicians for their patients that do not meet the entry criteria for enrollment into our clinical trials. Generally, physicians requesting compassionate use for their patients have no other treatment alternatives for these serious conditions. We evaluate each compassionate use request on an individual basis, and in some cases grant access to our investigational product candidates outside of our sponsored clinical trials in cases where there is rationale that our investigational product may impact the condition and only after currently approved treatments have been exhausted.
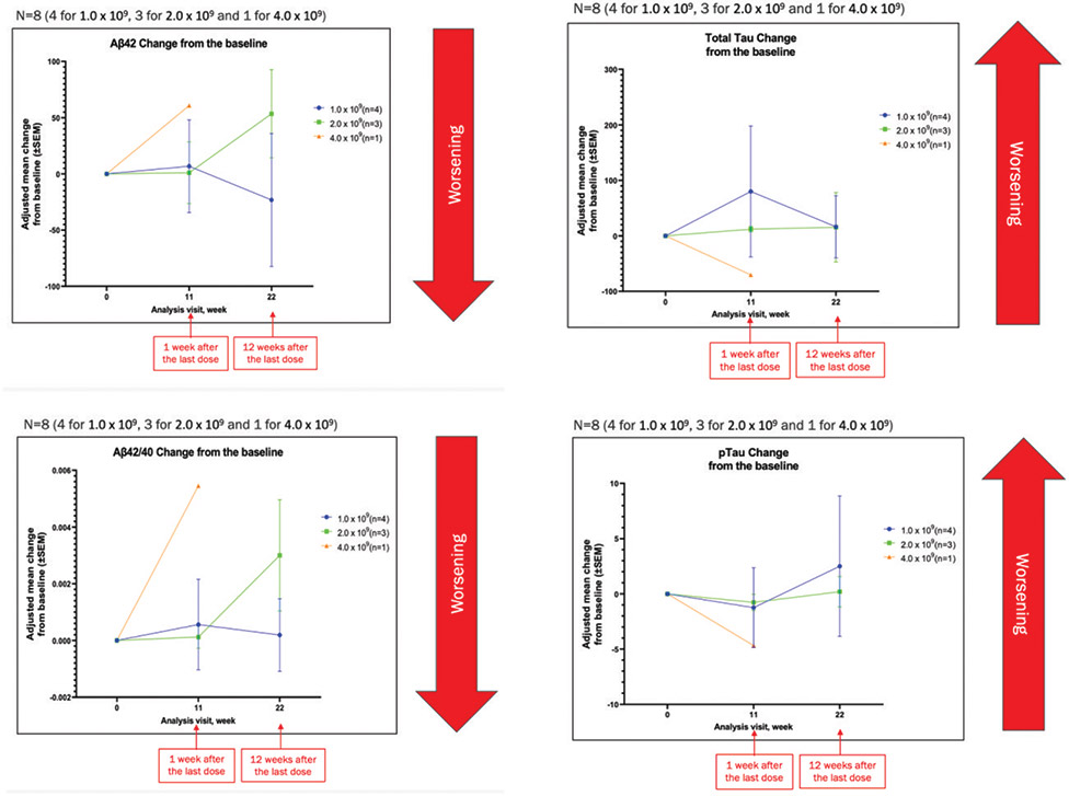
Individual patient results from compassionate use access, including but not limited to, their experiences, testimonials, testing results and related images, may not be used to support submission of a regulatory application, may not support approval of a product candidate, and should not be considered to be indicative of results from any on-going or future well-controlled clinical trial. Before we can seek regulatory approval for any of our product candidates, we must demonstrate in well-controlled clinical trials statistically significant evidence that the product candidate is both safe and effective for the indication for which we are seeking approval. The results of our compassionate use program may not be used to establish safety or efficacy or regulatory approval.
Clinical development involves a lengthy and expensive process with an uncertain outcome, and we may encounter substantial delays due to a variety of reasons outside our control.
Clinical trials are expensive, time consuming and subject to substantial uncertainty. A failure of one or more of our clinical trials can occur at any time during the clinical trial process due to scientific feasibility, safety, efficacy, changing standards of medical care and other variables. Any failure of one or more of our clinical trials could prevent us from obtaining the FDA and other regulatory approvals necessary to commercialize our product candidates. The results from preclinical testing, compassionate use or early clinical trials of a product candidate may not predict the results that will be obtained in later phase clinical trials of the product candidate. The FDA, or other applicable regulatory authorities may suspend or terminate clinical trials of a product candidate at any time for various reasons, including, but not limited to, a belief that subjects participating in such trials are being exposed to unacceptable health risks or adverse side effects,
 
11

TABLE OF CONTENTS
 
or other adverse initial experiences or findings. The FDA, or other applicable regulatory authorities may also require us to conduct additional preclinical studies or clinical trials due to negative or inconclusive results or other reasons, fail to approve or find deficiencies in the raw materials, manufacturing processes or facilities of third-party manufacturers upon which we rely, and change their approval policies or regulations or their prior guidance to us during clinical development in a manner rendering our clinical data insufficient for approval. In addition, data collected from clinical trials may not be sufficient to support the submission of a Biologics License Application (“BLA”) or other applicable regulatory filings. We cannot guarantee that any clinical trials that we may plan or initiate will be conducted as planned or completed on schedule, if at all.
Events that may prevent successful initiation, timely completion, or positive outcomes of our clinical development include, but are not limited to:

delays in obtaining regulatory approval to commence a clinical trial;

delays in reaching agreement on acceptable terms with prospective clinical trial sites or contract research organizations (“CROs”), the terms of which can be subject to extensive negotiation and may vary significantly among different trial sites and CROs;

our inability to recruit and maintain sufficient patients for our clinical trials in a timely manner or at all;

delays in achieving a sufficient number of clinical trial sites or obtaining the required institutional review board (“IRB”) and/or other site-specific review committee(s), approval(s) at each clinical trial site;

imposition of a temporary or permanent clinical hold by us or by the FDA or other regulatory agencies based on emerging data;

clinical sites deviating from trial protocol or dropping out of a trial;

our inability to obtain long-term follow-up data due to patient drop out or in cases where patients elect to receive post-protocol treatment for their disease before it progresses;

suspension or termination of a clinical trial by the IRB of the institutions in which such trials are being conducted or by a data safety monitoring board (where applicable);

delays in sufficiently developing, characterizing or controlling a manufacturing process suitable for clinical trials, or production delays, shutdowns or setbacks at any of our contract manufacturers;

delays due to additional regulatory, site and clinical trial participant approvals required if a product candidate, especially a product candidate custom manufactured for a specific patient, does not meet the required specifications;

delays in reaching a consensus with regulatory agencies on the design or implementation of our clinical trials;

changes in regulatory requirements or guidance that may require us to amend or submit new clinical protocols, or such requirements may not be as we anticipate;

changes in the standard of care or treatment landscape on which a clinical development plan was based, which may require new or additional trials;

insufficient quantities or inadequate quality of our product candidates or other materials necessary to conduct preclinical studies or clinical trials of our product candidates, including potential limitations to the availability of comparator or combination agents;

clinical trials of our product candidates producing negative or inconclusive results, which may result in our deciding, or regulators requiring us, to conduct additional clinical trials or abandon product development programs;

failure of enrolled patients in foreign countries to adhere to clinical protocol as a result of differences in healthcare services or cultural customs, or additional administrative burdens associated with foreign regulatory schemes;
 
12

TABLE OF CONTENTS
 

failure of regulators to accept data from our clinical trials completed in foreign jurisdictions if we do not satisfy certain regulatory requirements;

failure of ourselves or any third-party manufacturers, contractors or suppliers to comply with regulatory requirements, maintain adequate quality controls, or be able to provide sufficient product supply to conduct and complete preclinical studies or clinical trials of our product candidates;

failure of obligations by or termination of relationships with our or NKMAX’s collaboration partners, such as Merck KGaA; or

failure by one of our partners to provide combination drug whether due to shortage, discontinuation of product, termination of collaboration, or for any other reason.
Our business is highly dependent on the clinical success of our product candidates, and on the clinical success of SNK01 and SNK02 in particular, and we may fail to develop SNK01, SNK02 and/or our other product candidates successfully or may be unable to obtain regulatory approval for them.
We cannot guarantee that SNK01, SNK02 (which include allogeneic SNK02 and HER2-chimeric antigen receptor (“CAR”) SNK02), or any of our future product candidates, will be safe and effective, or will be approved for commercialization, on a timely basis or at all. Although we have employees with prior experience with clinical trials, regulatory approvals, and current good manufacturing practice (“GMP”), we have completed clinical trials in non-small cell lung cancer (“NSCLC”) using SNK01 but have not submitted a BLA to the FDA, or similar regulatory approval filings to comparable foreign authorities, for any product candidate, and we cannot be certain that SNK01 and SNK02, or any of our other product candidates, will be successful in clinical trials or receive regulatory approval. The FDA, and other comparable global regulatory authorities can delay, limit or deny approval of a product candidate for many reasons. For further details about such reasons, see “— Clinical development involves a lengthy and expensive process with an uncertain outcome, and we may encounter substantial delays due to a variety of reasons outside our control.” Any delay in obtaining, or inability to obtain, applicable regulatory approval will delay or harm our ability to successfully commercialize SNK01, SNK02, or any of our other product candidates, and could materially adversely affect our business, financial condition, results of operations and growth prospects.
SNK01 is in an early-stage clinical trial and is subject to the risks inherent in drug development. If the ongoing Phase I trial or our later clinical trials of SNK01 or SNK02 encounter concerning safety signals, efficacy concerns, manufacturing problems, enrollment issues, development delays, regulatory issues, or other problems, our development plans for SNK01or SNK02 could be significantly impaired, which could materially adversely affect our business, financial condition, results of operations and growth prospects.
Furthermore, because SNK01 and SNK02 are our lead product candidates, and because our other product candidates are based on similar technology, if our clinical trials of SNK01 or SNK02 experience any of the foregoing issues, our development plans for our other product candidates in our pipeline could also be significantly impaired, which could materially adversely affect our business, financial condition, results of operations and growth prospects.
We may also evaluate our product candidates in combination with one or more other neurodegenerative diseases treatments that have not yet been approved for marketing by the FDA or similar regulatory authorities outside of the United States. If the FDA or similar regulatory authorities outside of the United States do not approve these other drugs or revoke their approval of, or if safety, efficacy, manufacturing, or supply issues arise with, the drugs we choose to evaluate in combination with any product candidate we develop, we may be unable to obtain approval of or market our product candidates.
Even if we obtain regulatory approval for a product candidate, our products will remain subject to continuous subsequent regulatory obligations and scrutiny.
We intend to develop our product candidates to treat neurodegenerative diseases. Even if any product candidate we develop were to receive marketing approval or be commercialized for use in combination with other existing therapies, we would continue to be subject to the risks that the FDA or similar regulatory authorities outside of the United States could revoke approval of the combination therapy used with our
 
13

TABLE OF CONTENTS
 
product candidate or that safety, efficacy, manufacturing or supply issues could arise with these existing therapies. This could result in our own products being removed from the market or being less successful commercially.
If our product candidates are approved, they will be subject to ongoing regulatory requirements for pharmacovigilance, manufacturing, labeling, packaging, storage, advertising, promotion, sampling, record-keeping, conduct of post-marketing studies (if any) and submission of other post-market information, including both federal and state requirements in the United States and equivalent requirements of comparable regulatory authorities.
Manufacturers and manufacturers’ facilities are required to comply with extensive FDA, and comparable regulatory authority requirements, including ensuring that quality control and manufacturing procedures conform to GMP regulations. As such, we and our contract manufacturers, if any, will be subject to continual review and inspections to assess compliance with GMP and adherence to commitments made in any marketing authorization application. Accordingly, we and others with whom we work must continue to expend time, money and effort in all areas of regulatory compliance, including manufacturing, production and quality control.
Any regulatory approvals that we or our collaboration partners receive for our product candidates may be subject to limitations on the approved conditions of use for which the product may be marketed or to the conditions of approval or may contain requirements for potentially costly additional data generation, including clinical trials. We will be required to report certain adverse reactions and production problems, if any, to the FDA and comparable regulatory authorities, and to conduct surveillance to monitor the safety and efficacy of the product candidate. Any new legislation addressing drug safety could result in delays in product development or commercialization or increased costs to assure compliance.
We will have to comply with requirements concerning advertising and promotion for our products. Promotional communications with respect to prescription drugs are subject to a variety of legal and regulatory restrictions that vary throughout the world and must be consistent with the information in the product’s approved label. As such, we may not promote our products in ways that are not consistent with FDA-approved labeling, e.g., for indications or uses for which they do not have approval.
If our product candidates are approved, we must submit new or supplemental applications and obtain prior approval for certain changes to the licensed products, therapeutic indications, product labeling and manufacturing process. These changes may require submission of substantial data packages that may include clinical data.
If a regulatory authority discovers previously unknown problems with an approved product, such as adverse events of unanticipated severity or frequency, or if there are problems with the facility where the product is manufactured or the regulatory authority disagrees with the advertising, promotion, marketing or labeling of a product, such regulatory agency may impose restrictions on that product or on us. If we fail to comply with applicable regulatory requirements, a regulatory authority such as FDA may, among other things:

issue warning or untitled letters;

refer a case to the U.S. Department of Justice (“U.S. DOJ”) to impose civil or criminal penalties;

begin proceedings to suspend or withdraw regulatory approval;

issue an import alert;

suspend our ongoing clinical studies or put our IND on clinical hold;

refuse to approve pending applications (including supplements to approved applications) submitted by us;

ask us to initiate a product recall; or

refer a case to the U.S. DOJ to seize and forfeit products or obtain an injunction imposing restrictions on its operations.
 
14

TABLE OF CONTENTS
 
Any government investigation of alleged violations of law or regulations could require us to expend significant time and resources in response and could generate negative publicity. Any failure to comply with ongoing regulatory requirements may significantly and adversely affect our ability to commercialize and generate revenue from our products. If regulatory sanctions are applied or if regulatory approval is withdrawn, our value and operating results will be adversely affected.
We have never commercialized a product candidate before, and we may lack the necessary expertise, personnel and resources to successfully commercialize any products, if approved. We may be unable to establish effective marketing and sales capabilities or enter into agreements with third parties or related parties to market and sell our product candidates, if they are approved, and as a result, we may be unable to generate product revenues.
We have little to no prior experience in, and currently have a limited commercial infrastructure for, the marketing, sale and distribution of biopharmaceutical products. To achieve commercial success for the product candidates which we may license to others, we will rely on the assistance and guidance of those collaborators. For product candidates for which we retain commercialization rights and marketing approval, if approved, in order to commercialize our product candidates, we must continue to build out our marketing, sales and distribution capabilities, including a comprehensive healthcare compliance program, or arrange with third parties to perform these services, which will take time and require significant financial expenditures and could delay any product launch and we may not be successful in doing so. There are significant risks involved with building and managing a commercial infrastructure.
We, or our collaborators, will have to compete with other pharmaceutical and biotechnology companies to recruit, hire, train, manage and retain medical affairs, marketing, sales and commercial support personnel. Recruiting, training and retaining a sales force is expensive and time-consuming and could delay any product launch. If the commercial launch of a product candidate for which we recruit a sales force and establish marketing capabilities is delayed or does not occur for any reason, we would have incurred these commercialization expenses prematurely or unnecessarily. These efforts may be costly, and our investment would be lost if we cannot retain or reposition our sales and marketing personnel. In the event we are unable to develop a commercial infrastructure, we may not be able to commercialize our current or future product candidates, which would limit our ability to generate product revenues. Even if we are able to effectively establish a sales force and develop a marketing and sales infrastructure, our sales force and marketing teams may not be successful in commercializing our current or future product candidates. To the extent we rely on third parties to commercialize any products for which we obtain regulatory approval, we would have less control over their sales efforts and could be held liable if they failed to comply with applicable legal or regulatory requirements.
Enrollment and retention of patients in clinical trials is an expensive and time-consuming process and could be delayed, made more difficult or rendered impossible by multiple factors outside our control.
Clinical trials of a new product candidate require the enrollment of a sufficient number of patients, including patients who are suffering from the disease that the product candidate is intended to treat and who meet other eligibility criteria. The rates of patient enrollment, a significant component in the timing of clinical trials, are affected by many factors, including, but not limited to:

our ability to identify and qualify investigation sites to participate in our clinical trials;

the size and nature of the patient population;

the design and eligibility criteria of the clinical trial;

the proximity of subjects to clinical sites;

the patient referral practices of physicians;

staff turnover at the clinical sites;

changing medical practice patterns or guidelines related to the indications we are investigating;

competing clinical trials or approved therapies which present an attractive alternative to patients and their physicians;
 
15

TABLE OF CONTENTS
 

perceived risks and benefits of the product candidate under study, including as a result of adverse effects observed in similar or competing therapies;

our ability to obtain and maintain patient consents due to various reasons;

the risk that enrolled subjects will drop out or die before completion of the trial;

patients failing to complete a clinical trial or returning for post-treatment follow-up;

our ability to manufacture the requisite supply of our product candidates for a patient and clinical trials; and

any failure or any delay by us or by our clinical sites to obtain sufficient quantities of components and supplies necessary for the conduct of our clinical trials, including potential limitations to the availability of comparator or combination agents.
In addition, we need to compete with many ongoing clinical trials to recruit patients into our expected clinical trials. Our clinical trials may also compete with other clinical trials of product candidates that are in a similar cellular immunotherapy area as our product candidates, and this competition could reduce the number and types of patients available to us, because some patients who might have opted to enroll in our trials may instead opt to enroll in a trial being conducted by one of our competitors. Since the number of qualified clinical investigators is limited, we may conduct some of our clinical trials at the same clinical trial sites that some of our competitors use, which will reduce the number of patients who are available for our clinical trials at such clinical trial site. If we are unable to enroll a sufficient number of patients in our clinical trials in a timely manner, our completion of clinical trials may be delayed or may not be achieved, which would prevent us from further developing or commercializing our product candidates.
The clinical development of our product candidates depends on our ability to manufacture and provide the requisite supply of our product candidates for our clinical trials. Any failure or delays by us to manufacture and provide our product candidates in sufficient quantity and quality for the conduct of our clinical trials, may delay our ability to enroll and treat patients in, or complete, our current or future clinical trials of our product candidates on time, if at all.
The clinical development of our product candidates also depends on the availability of a sufficient supply of certain other materials and agents used in our clinical trials. For example, certain clinical trial protocols require the use of comparator treatments. If any standard of care therapies become unavailable or limited in supply, it would adversely impact our ability to complete the trial. Further, we may develop certain of our product candidates as a combination therapy with other neurodegenerative diseases treatments, which would require the availability and use of those therapeutic agents in certain of our clinical trial protocols.
If we are unable to enroll a sufficient number of patients in our clinical trials in a timely manner, our completion of clinical trials may be delayed or may not be achieved, which would prevent us from further developing or commercializing our product candidates.
Our preclinical programs may experience delays or may never advance to clinical trials, which would adversely affect our ability to obtain regulatory approvals or commercialize these programs on a timely basis or at all.
In order to obtain FDA or other regulatory authority approval to market a new biological product we must demonstrate proof of safety, purity and potency, or efficacy, in humans. To meet these requirements, we will have to conduct adequate and well-controlled clinical trials. On October 14, 2022, we received IND clearance from the FDA for SNK02 allogenic NK cell therapy for solid tumors. On October 20, 2023, we received IND clearance from the FDA for SNK01 in AD. During the remainder of 2023, we intend to (i) advance the clinical development of SNK01 and initiate a Phase I/IIa trial in the United States for AD, and (ii) continue the Phase I trial with SNK02 in refractory solid tumors. Before we can commence clinical trials for additional product candidates, we must complete extensive preclinical testing and studies that support our planned INDs in the United States.
We cannot be certain of the timely completion or outcome of our preclinical testing and studies and cannot predict if the FDA will accept our proposed clinical programs or if the outcome of our preclinical
 
16

TABLE OF CONTENTS
 
testing and studies will ultimately support the further development of our programs. In addition, we may voluntarily decide to delay, suspend, terminate or partner with third parties in respect of certain product development programs, for example to prioritize other product candidates. As a result, we may not submit INDs or similar applications for our preclinical programs within our anticipated timelines, if at all, and submission of INDs or similar applications may not result in the FDA or other regulatory authorities allowing clinical trials to begin.
Conducting preclinical testing is a lengthy, time-consuming and expensive process. The length of time may vary substantially according to the type, complexity and novelty of the program, and often can be several years or more per program. Any delays in preclinical testing and studies conducted by us or potential future partners may cause us to incur additional operating expenses. The commencement and rate of completion of preclinical studies for a product candidate may be delayed by many factors, including, for example:

inability to generate sufficient preclinical or other in vivo or in vitro data to support the initiation of clinical trials;

delays in reaching a consensus with regulatory agencies on study design;

the FDA (or other regulatory authorities) not allowing us to rely on clinical trials completed in foreign jurisdictions if we do not satisfy certain regulatory requirements; and

the FDA (or other regulatory authorities) not allowing us to rely on previous findings of safety and efficacy for other similar products and published scientific literature.
Moreover, because standards for pre-clinical assessment are evolving and may change rapidly, even if we reach an agreement with the FDA on a pre-IND proposal, the FDA may not accept the IND submissions as presented, in which case the clinical trial timeline could be delayed.
The results of preclinical studies and early-stage clinical trials may not be predictive of future results. Interim, “topline” and preliminary data from our clinical trials may differ materially from the final data.
The results of preclinical studies may not be predictive of the results of clinical trials, and the results of any early-stage clinical trials we commence may not be predictive of the results of the later-stage clinical trials. For example, preclinical models as applied to cell therapy in oncology do not adequately represent the clinical setting, and thus cannot predict clinical activity nor all potential risks, and may not provide adequate guidance as to the appropriate dose or administration regimen of a given therapy.
From time to time, we may publicly disclose preliminary or “topline” data from our clinical trials, which is based on a preliminary analysis of then-available data, and the results and related findings and conclusions are subject to change following a more comprehensive review of the data related to the particular trial, including as patient enrollment continues and more data on existing patients becomes available. We also make assumptions, estimations, calculations and conclusions as part of our analyses of data, and we may not have received or had the opportunity to evaluate all data fully and carefully. As a result, any topline data from our clinical trials, such as SNK01, may differ from, and may not be indicative of, future results of the same clinical trials, or different conclusions or considerations may qualify such topline results once additional data have been received and fully evaluated. Topline data also remain subject to audit and verification procedures that may result in the final data being materially different from the preliminary data we previously published. As a result, topline data should be viewed with caution until the final data are available and negative differences between preliminary or interim data and final data could materially adversely affect the prospects of any product candidate that is impacted by such data updates.
Further, others, including regulatory agencies, may not accept or agree with our assumptions, estimates, calculations, conclusions or analyses or may interpret or weigh the importance of data differently, which could impact the value of the particular program, the approvability or commercialization of the particular product candidate or product and the value of our company in general. In addition, the information we choose to publicly disclose regarding a particular study or clinical trial is typically a summary of extensive information, and others may not agree with what we determine is the material or otherwise appropriate information to include in our disclosure, and any information we determine not to disclose may ultimately be deemed significant with respect to future decisions, conclusions, views, activities or otherwise regarding a particular
 
17

TABLE OF CONTENTS
 
product, product candidate or our business. If the topline data that we report differ from actual results, or if others, including regulatory authorities, disagree with the conclusions reached, our ability to obtain approval for, and commercialize, our product candidates may be harmed.
If any of our product candidates, or any competing product candidates, demonstrate relevant, serious adverse events, we may be required to halt or delay further clinical development.
Undesirable side effects that may be caused by our product candidates could cause us or regulatory authorities to interrupt, delay or halt clinical trials and could result in a more restrictive label than anticipated or the delay or denial of regulatory approval by the FDA or comparable foreign regulatory authorities. Results of our clinical trials could reveal a high and unacceptable severity and prevalence of side effects or unexpected characteristics.
Current data from the SNK01 clinical trials indicates that SNK01 is generally well-tolerated. To date, there have been a total of four events ≥ Grade 2 reported by two participants as related/possibly related to SNK01 across the clinical trials. One patient experienced a total of three events which were grade 2 chills, grade 3 chills, and grade 2 infusion reaction, all of which resolved. A different patient experienced one grade 2 event of intermittent pain upper central abdomen which also resolved. However, due to the few events that have been reported on the SNK01 development program, there may be additional and unforeseen events that may emerge as we continue to conduct clinical trials. See “Business — SNK01 for the treatment of neurodegenerative diseases — Initial clinical report of SNK01 in neurodegenerative disease.
While the data from our SNK01 Phase I clinical trial investigating the safety and tolerability in AD patients and Phase I/IIa clinical trial investigating the combination of SNK01 with a therapeutic antibody, cetuximab, indicate that NK cell-based therapies may be well-tolerated, there can be no assurance that future patients will not experience adverse effects. If unacceptable side effects arise in the development of our product candidates such that there is no longer a positive benefit-risk profile, we, the FDA, or the IRBs at the institutions in which our trials are conducted could suspend or terminate our clinical trials or the FDA or comparable foreign regulatory authorities could order us to cease clinical trials or deny approval of our product candidates for any or all targeted indications. Treatment-related side effects could also affect patient recruitment or the ability of enrolled patients to complete the trial or result in potential product liability claims. In addition, these side effects may not be appropriately recognized or managed by the treating medical staff, and inadequate training in recognizing or managing the potential side effects of our product candidates could result in patient injury or death. The occurrence of side effects may also harm our reputation or the reputation of our products, which may have a significant impact on our business and stock price.
If we are not able to maintain or secure agreements with the third parties that conduct the activities related to our clinical trials on acceptable terms, or at all, or if these third parties do not perform their services as contractually required, or if these third parties fail to timely transfer any regulatory information held by them to us, we may not be able to obtain regulatory approval for our product candidates or commercialize any product candidates that may result from our development efforts, or may miss expected deadlines.
We rely on entities outside of our control, which may include academic institutions, CROs, hospitals, clinics and other third-party strategic partners, to monitor, support, conduct and oversee preclinical studies and clinical trials of our current and future product candidates. As a result, we have less control over the timing and cost of these studies and the ability to recruit trial subjects than if we conducted these trials with our own personnel. If we are unable to maintain or enter into agreements with these third parties on acceptable terms, or if any such engagement is terminated prematurely, we may be unable to enroll subjects on a timely basis or otherwise conduct our clinical trials as planned. In addition, there is no guarantee that these third parties will devote adequate time and resources to our clinical trials or perform as required by our contract or in accordance with regulatory requirements, including maintenance of clinical trial information regarding our product candidates. If these third parties fail to meet expected deadlines, fail to transfer to us any regulatory information in a timely manner, fail to adhere to protocols or fail to act in accordance with regulatory requirements or our agreements with them, or if they otherwise perform in a substandard manner or in a way that compromises the quality or accuracy of their activities or the data they obtain, then clinical trials of our product candidates may be extended or delayed with additional costs incurred, or our data may be rejected by the FDA or other regulatory agencies. Ultimately, we are responsible for ensuring
 
18

TABLE OF CONTENTS
 
that each of our clinical trials is conducted in accordance with the applicable protocol, legal, regulatory and scientific standards, and our reliance on third parties does not relieve us of our regulatory responsibilities.
We and our CROs are required to comply with good clinical practice (“GCP”), regulations and guidelines enforced by the FDA and comparable foreign regulatory authorities for products in clinical development. Regulatory authorities enforce these GCP through periodic inspections of clinical trial sponsors, principal investigators and clinical trial sites. If we or any of our CROs fail to comply with applicable GCP, the clinical data generated in our clinical trials may be deemed unreliable and our submission of marketing applications may be delayed, or the FDA or foreign regulatory authority may require us to perform additional clinical trials before approving our marketing applications. Upon inspection, the FDA or comparable foreign regulatory authority could determine that any of our clinical trials fail or have failed to comply with applicable GCP.
Our business also may be implicated if any of our CROs and/or clinical trial sites violates fraud and abuse or false claims laws and regulations or healthcare privacy and security laws.
If any of our third-party clinical trial sites terminate for any reason, we may experience the loss of follow-up information on subjects enrolled in our ongoing clinical trials unless we are able to transfer the care of those subjects to another qualified clinical trial site. Further, our CROs and/or clinical trial sites are not required to work indefinitely or exclusively with us. Our existing agreements with our CROs and/or clinical trial sites may be subject to termination by the counterparty upon the occurrence of certain circumstances. If any CRO and/or clinical trial sites terminates its agreement with us, the research and development of the relevant product candidate would be suspended, and our ability to research, develop and license future product candidates would be impaired. We may be required to devote additional resources to the development of our product candidates or seek a new CRO partner and/or clinical trial sites, and the terms of any additional arrangements that we establish may not be favorable to us. Switching or adding CROs and/or clinical trial sites or other service providers can involve substantial cost and require extensive management time and focus. In addition, there is a natural transition period when a new CRO and/or clinical trial sites or service provider commences work. As a result, delays may occur, which can materially impact our ability to meet our desired clinical development timelines. If we are required to seek alternative arrangements, the resulting delays and potential inability to find suitable replacements could materially and adversely impact our business.
Our approach to the development of product candidates based on our NK cell therapy platform is unproven, and we do not know whether we will be able to develop any products of commercial value, or if competing technological approaches will limit the commercial value of our product candidates or render our platform obsolete.
Our success depends on our ability to develop, obtain regulatory approval for and commercialize our product candidates utilizing our NK cell therapy platform, including manufacturing capabilities, which leverages relatively novel technologies. While we have had favorable preclinical study results based on our platform, we have not yet succeeded and may not succeed in demonstrating efficacy and safety for any product candidates in clinical trials or in obtaining marketing approval thereafter. We initiated Phase I trial of our lead product candidates, SNK01 and SNK02. There is no guarantee that we will be able to timely complete our clinical study and we may experience additional timeline delays or serious adverse events, and our product candidates may never become commercialized. All of our product candidates will require significant additional clinical and non-clinical development, review and approval by the FDA or other regulatory authorities in one or more jurisdictions, substantial investment, and significant marketing efforts before they can be successfully commercialized. Our methodology and novel approach to cellular therapy may be unsuccessful in identifying additional product candidates, and any product candidates based on our platform may be shown to have harmful side effects or may have other characteristics that may necessitate additional clinical testing, or make the product candidates unmarketable or unlikely to receive marketing approval. Further, because all of our product candidates and development programs are based on our NK cell therapy platform, adverse developments with respect to one of our programs may have a significant adverse impact on the actual or perceived likelihood of success and value of our other programs. For example, if our clinical trials of SNK01 encounter safety, efficacy or manufacturing problems, development delays, regulatory issues or other problems, our development plans for our other product candidates in our pipeline could be significantly impaired.
 
19

TABLE OF CONTENTS
 
In addition, from time to time, our competitors may also disclose interim or final data and/or findings from their preclinical studies or trials. Adverse data or findings released by our competitors, whether in relation to efficacy or safety of NK cell therapy, may have an adverse impact on our business and operations, including but not limited to, our ability to enroll patients in our clinical trials and could require additional studies to be conducted to refute the “class effect” interpretation, which would require additional time, resources, and financing.
We may seek special designations by the regulatory authorities to expedite regulatory approvals, but may not be successful in receiving such designations, and even if received, they may not benefit the development and regulatory approval process.
We may seek various expedited programs available through regulatory authorities such as Regenerative Medicine Advanced Therapy (“RMAT”) designation, Breakthrough Therapy designation, Fast Track designation, Priority Review or PRIority MEdicine (“PRIME”), from regulatory authorities, for any product candidate that we develop. A product candidate may receive RMAT designation from the FDA if it is a regenerative medicine therapy that is intended to treat, modify, reverse or cure a serious or life-threatening condition, and preliminary clinical evidence on a clinically meaningful endpoint, indicates that the product candidate has the potential to address an unmet medical need for such condition. A Breakthrough Therapy is defined by the FDA as a drug that is intended, alone or in combination with one or more other drugs, to treat a serious or life-threatening disease or condition, and preliminary clinical evidence indicates that the drug may demonstrate substantial improvement over currently approved therapies on one or more clinically significant endpoints, such as substantial treatment effects observed early in clinical development. If a product is intended for the treatment of a serious or life-threatening condition and preclinical or clinical data demonstrate the potential to address an unmet medical need for this condition, the product sponsor may apply for Fast Track designation by the FDA. PRIME is a voluntary scheme launched by the European Medicines Agency (“EMA”), to strengthen support for the development of medicines that target an unmet medical need through enhanced interaction and early dialogue with developers of promising medicines in order to optimize development plans and speed up evaluation to help such medicines reach patients earlier.
Seeking and obtaining these designations is dependent upon results of our clinical program and other considerations, and we cannot guarantee whether and when we may have the data from our clinical programs to support an application to obtain any such designation. The FDA and the EMA, as applicable, have broad discretion whether or not to grant any of these designations, so even if we believe a particular product candidate is eligible for one or more of these designations, we cannot assure you that the applicable regulatory authority would decide to grant it. Even if we do receive the designations we may apply for, we may not experience a faster development process, review or approval compared to conventional FDA or EMA procedures, as applicable. The FDA or EMA, as applicable, may rescind any granted designations if it believes that the designation is no longer supported by data from our clinical development program.
Public opinion and scrutiny of cell-based immuno-oncology therapies for treating neurodegenerative diseases may impact public perception of our company and product candidates, or impair our ability to conduct our business.
Our platform utilizes a novel technology involving the isolation of pure primary NK cells from peripheral blood or leukapheresis of patients themselves or from screened healthy adult donors, which is subsequently expanded. Future products may be developed using genetic modifications. To our knowledge, to date, there are no NK cell-based therapies with FDA-approval. Public perception may be negatively influenced by claims that NK cell-based immunotherapy is ineffective, unsafe, unethical, or immoral and, consequently, our approach may not gain the acceptance of the public or the medical community. Negative public reaction to cell-based immunotherapy in general could result in greater government regulation and stricter labeling requirements of cell-based immunotherapy products, including any of our product candidates, and could cause a decrease in the demand for any products we may develop. Adverse public attitudes may adversely impact our ability to enroll clinical trials. More restrictive government regulations or negative public opinion could have an adverse effect on our business or financial condition and may delay or impair the development and commercialization of our product candidates or demand for any products we may develop.
 
20

TABLE OF CONTENTS
 
We may not identify or discover other product candidates and may fail to capitalize on programs or product candidates that may present a greater commercial opportunity or for which there is a greater likelihood of success.
Our business depends upon our ability to identify, develop and commercialize product candidates. A key element of our strategy is to discover and develop additional product candidates based upon our NK cell therapy platform. We are seeking to do so through our internal research programs and may also explore strategic collaborations for the discovery of new product candidates. Research programs to identify product candidates require substantial technical, financial and human resources, whether or not any product candidates are ultimately identified. In addition, targets for different neurodegenerative diseases may require changes to our NK manufacturing platform, which may slow down development or make it impossible to manufacture our product candidates. Our research programs may initially show promise in identifying potential product candidates, yet fail to yield product candidates for clinical development for many reasons, including, but not limited to, the following:

the research methodology or technology platform used may not be successful in identifying potential product candidates;

competitors may develop alternatives that render our product candidates obsolete or less attractive;

we may choose to cease development if we determine that clinical results do not show promise;

product candidates we develop may nevertheless be covered by third parties’ patents or other exclusive rights;

a product candidate may be shown to have harmful side effects or other characteristics that indicate it is unlikely to be effective or otherwise does not meet applicable regulatory criteria; and

a product candidate may not be accepted as safe and effective by patients, the medical community or third-party payors.
Because we have limited resources, we must choose to pursue and fund the development of specific types of treatment, or treatment for a specific type of neurodegenerative disease, and we may forego or delay pursuit of opportunities with certain programs or product candidates or for indications that later prove to have greater commercial potential. Our estimates regarding the potential market for our product candidates could be inaccurate, and if we do not accurately evaluate the commercial potential for a particular product candidate, we may relinquish valuable rights to that product candidate through strategic collaboration, licensing or other arrangements in cases in which it would have been more advantageous for us to retain sole development and commercialization rights to such product candidate. Alternatively, we may allocate internal resources to a product candidate in a therapeutic area in which it would have been more advantageous to enter into a partnering arrangement.
If any of these events occur, we may be forced to abandon or delay our development efforts with respect to a particular product candidate or fail to develop a potentially successful product candidate.
If third parties that we rely on to conduct clinical trials do not successfully carry out their contractual duties, comply with regulatory requirements or meet expected deadlines, we may not be able to obtain marketing approval for or commercialize our product candidates.
We do not have the ability to independently conduct clinical trials. We rely on medical institutions, clinical investigators, contract laboratories, and other third parties, such as CROs to conduct or otherwise support clinical trials for our product candidates. We rely heavily on these parties for execution of clinical trials for our product candidates and control only certain aspects of their activities. Nevertheless, we are responsible for ensuring that each of our clinical trials is conducted in accordance with the applicable protocol, legal and regulatory requirements and scientific standards, and our reliance on CROs and other third parties will not relieve us of our regulatory responsibilities. For any violations of laws and regulations during the conduct of our clinical trials, we could be subject to untitled letters, warning letters or enforcement action that may include civil penalties up to and including criminal prosecution.
We and the third parties on which we rely for clinical trials are required to comply with regulations and requirements, including GCPs for conducting, monitoring, recording and reporting the results of clinical
 
21

TABLE OF CONTENTS
 
trials to ensure that the data and results are scientifically credible and accurate, and that the trial patients are adequately informed of the potential risks of participating in clinical trials and their rights are protected. These regulations are enforced by the FDA and comparable foreign regulatory authorities for any drugs in clinical development. The FDA enforces GCP requirements through periodic inspections of clinical trial sponsors, principal investigators and trial sites. If we or these third parties fail to comply with applicable GCP, the clinical data generated in our clinical trials may be deemed unreliable and the FDA or comparable foreign regulatory authorities may require us to perform additional clinical trials before approving our marketing applications. We cannot assure you that, upon inspection, the FDA will determine that any of our future clinical trials do not deviate from GCP. In addition, our clinical trials must be conducted with product candidates produced under GMP regulations. Our failure or the failure of these third parties to comply with these regulations may require us to repeat clinical trials, which would delay the marketing approval process and could also subject us to enforcement action. We also are required to register certain ongoing clinical trials and provide certain information, including information relating to the trial’s protocol, on a government-sponsored database, ClinicalTrials.gov, within specific timeframes. Failure to do so can result in fines, adverse publicity and civil and criminal sanctions.
Although we intend to design the clinical trials for our product candidates, we plan to rely on third parties to conduct our clinical trials. As a result, many important aspects of our clinical development, including their conduct and timing, will be outside of our direct control. Our reliance on third parties to conduct future clinical trials will also result in less direct control over the management of data developed through clinical trials than would be the case if we were relying entirely upon our own staff. Communicating with outside parties can also be challenging, potentially leading to mistakes as well as difficulties in coordinating activities. Outside parties may, without limitation:

have staffing difficulties;

fail to comply with contractual obligations;

experience regulatory compliance issues;

experience interruption of, or delays in enrolling patients for our clinical trials or manufacture our product candidates;

undergo changes in priorities or become financially distressed; or

form relationships with other entities, some of which may be our competitors.
If third parties do not perform our clinical trials in a satisfactory manner, breach their obligations to us or fail to comply with regulatory requirements, we would be unable to rely on clinical data collected by these third parties and may be required to repeat, extend the duration of, or increase the size of any clinical trials we conduct, which could significantly delay commercialization and require significantly greater expenditures.
If any of our relationships with these third parties terminate, we may not be able to enter into arrangements with alternative third parties on commercially reasonable terms, or at all. If third parties do not successfully carry out their contractual duties or obligations or meet expected deadlines, if they need to be replaced or if the quality or accuracy of the clinical data they obtain are compromised due to the failure to adhere to our clinical protocols, regulatory requirements or for other reasons, any clinical trials such third parties are associated with may be extended, delayed or terminated, and we may not be able to obtain marketing approval for or successfully commercialize our product candidates. As a result, we believe that our financial results and the commercial prospects for our product candidates in the subject indication would be harmed, our costs could increase and our ability to generate revenue could be delayed.
If we are not able to establish pharmaceutical or biotechnology collaborations on commercially reasonable terms, or at all, we may have to alter our development and commercialization plans.
The advancement of our product candidates and development programs and the potential commercialization of our current and future product candidates will require us to enter into collaborations, partnerships or other agreements with third parties, which may require substantial additional cash to fund expenses related to such relationships. Any of these relationships, may require us to incur non-recurring and
 
22

TABLE OF CONTENTS
 
other charges, increase our near and long-term expenditures, issue securities that dilute our existing stockholders, relinquish valuable rights to our product candidates, or disrupt our management and business.
We face significant competition in seeking appropriate strategic partners and the negotiation process is time-consuming and complex. Whether we reach a definitive agreement for new collaborations will depend, among other things, upon our assessment of the collaborator’s resources and expertise, the terms and conditions of the proposed collaboration and the proposed collaborator’s evaluation of a number of factors. Those factors may include the design or results of clinical trials, the progress of our clinical trials, the likelihood of approval by the FDA or similar regulatory authorities outside the United States, the potential market for the subject product candidate, the costs and complexities of manufacturing and delivering such product candidate to patients, the potential of competing products, the existence of uncertainty with respect to our ownership of technology, which can exist if there is a challenge to such ownership without regard to the merits of the challenge and industry and market conditions generally. The collaborator may also consider alternative product candidates or technologies for similar indications from our competitors that may be available to collaborate on and whether such a collaboration could be more attractive than the one with us for our product candidate. Further, we may not be successful in our efforts to establish a strategic partnership or other alternative arrangements for future product candidates because they may be deemed to be at too early of a stage of development for collaborative effort or third parties may not view them as having the requisite potential to demonstrate safety and efficacy. Any delays in entering into new collaborations or strategic partnership agreements related to any product candidate we develop could delay the development and commercialization of our product candidates, which would harm our business prospects, financial condition, and results of operations.
If any of our product candidates are approved for marketing and commercialization and we have not developed or secured marketing, sales and distribution capabilities, either internally or from third parties, we will be unable to successfully commercialize such products and may not be able to generate product revenue.
We currently do not have any commercial sales. We will need to develop internal and external sales, marketing and distribution capabilities and infrastructure to commercialize any product candidate that gains FDA or other regulatory authority approval, which would be expensive and time-consuming, or enter into partnerships with third parties to perform these services. If we decide to market any approved products directly, we will need to commit significant financial and managerial resources to develop a marketing and sales force with technical expertise and supporting distribution, administration and compliance capabilities. If we rely on third parties to market products or decide to co-promote products with partners, we will need to establish and maintain marketing and distribution arrangements with third parties, and there can be no assurance that we will be able to enter into such arrangements on acceptable terms or at all. In entering into third-party marketing or distribution arrangements, any product revenue we receive will depend upon the efforts of the third parties and we cannot assure you that such third parties will establish adequate sales and distribution capabilities or be successful in gaining market acceptance for any approved product. If we are not successful in commercializing any product approved in the future, if any, either on our own or through third parties, our business, financial condition, results of operations and growth prospects could be materially adversely affected.
The market opportunities for our product candidates, if and when approved, may be limited, and if such market opportunities are smaller than we expect, our revenues could be materially adversely affected and our business could suffer.
Our product candidates have not received FDA or other regulatory approval for market sales. We do not know at this time whether either SNK01 or SNK02 or any of our product candidates will be safe for use in humans or whether they will demonstrate any improvement in neurodegenerative diseases. If the activity is sufficient, we may initially seek approval of any product candidates we develop as a therapy for patients who have received one or more prior approved treatments. However, there is no guarantee that product candidates we develop, even if approved for later lines of therapy, would be approved for earlier lines of therapy, and, prior to any such approvals, we will have to conduct additional clinical trials.
The number of patients who have the neurodegenerative diseases we are targeting may turn out to be lower than expected. Additionally, the potentially addressable patient population for our current programs
 
23

TABLE OF CONTENTS
 
or future product candidates may be limited. Potentially addressable patient populations for of our product candidates are only estimates. These estimates could prove to be incorrect, and the estimated number of potential patients in the United States and elsewhere could be lower than expected. It may also be that such patients may not be otherwise amenable to treatment with our product candidates, or patients could become increasingly difficult to identify and access for a variety of reasons including other drugs being approved, any of which could materially adversely affect our business, financial condition, results of operations and growth prospects.
The commercial success of any of our product candidates will depend upon such product candidate’s degree of market acceptance by physicians, patients, third-party payors and others in the medical community.
Our product candidates may not be commercially successful. Even if requisite approvals are obtained from the FDA in the United States and other regulatory authorities internationally, the commercial success of our product candidates will depend, in part, on the acceptance by physicians, patients and healthcare payors of cell therapy products in general, and our product candidates in particular, as medically necessary, cost-effective and safe. Physicians, patients, healthcare payors and others in the medical community may not accept any product that we commercialize. If these products do not achieve an adequate level of acceptance, we may not generate significant product revenue and may not become profitable. The degree of market acceptance of cell therapy products and, in particular, our product candidates, if approved for commercial sale, will depend on several factors, including, but not limited to:

the efficacy and safety of such product candidates as demonstrated in clinical trials;

the potential and perceived advantages of product candidates over alternative treatments;

the cost of treatment relative to alternative treatments;

the clinical indications for which the product candidate is approved by the FDA;

the willingness of physicians to refer patients and prescribe new therapies;

the willingness of the target patient population to try new therapies;

the nature, prevalence and severity of any side effects;

product labeling or product insert requirements imposed by the FDA or other regulatory authorities, including any limitations or warnings contained in a product’s approved labeling;

the relative convenience and ease of administration;

the timing of market introduction of competitive products;

adverse publicity concerning our product candidates or favorable publicity about competing products and treatments;

sufficient third-party payor coverage, any limitations in terms of center or personnel training requirement imposed by third parties and adequate reimbursement;

the willingness of the target patient population to pay out-of-pocket in the absence of coverage and reimbursement by third-party payors and government authorities;

limitations or warnings contained in the FDA-approved labeling for our product candidates;

any FDA requirement to undertake a risk evaluation and mitigation strategy (“REMS”);

the effectiveness of our sales, marketing and distribution efforts; and

potential product liability claims.
Even if a product candidate displays a favorable efficacy and safety profile in preclinical studies and clinical trials, market acceptance of the product will not be fully known until after such product is launched. Our product candidates may not achieve broad market acceptance.
Furthermore, the FDA’s and other regulatory authorities’ policies may change and additional government regulations may be enacted that could prevent, limit or delay marketing approval of a product.
 
24

TABLE OF CONTENTS
 
We cannot predict the likelihood, nature or extent of government regulation that may arise from future legislation or administrative action, either in the United States or abroad. If we are slow or unable to adapt to changes in existing requirements or the adoption of new requirements or policies, or if we are not able to maintain regulatory compliance, we may lose any marketing approval that we may have obtained and we may not achieve or sustain profitability.
We and/or NKMAX have entered into collaboration agreements with Affimed, Pfizer and Merck KGaA regarding certain product candidates, and we may enter into additional collaborations with third parties to develop or commercialize other product candidates. Our prospects with respect to those product candidates will depend in significant part on the success of those collaborations, and we may not realize the benefits of such collaborations.
We previously entered into a clinical trial collaboration and supply agreement with AresTrading S.A., Z.I de l’Ouriettaz (“AresTrading”) (which is a subsidiary of Merck KGaA), and Pfizer, Inc. (“Pfizer”) in August 2020 to evaluate the safety and tolerability of SNK01 with avelumab, and a strategic collaboration agreement with Affimed GmbH (“Affimed”) in September 2020 to investigate the potential combination of SNK01 with AFM24 (which study was discontinued by mutual agreement in June 2023). As of July 2023, the collaborative alliance between Merck KGaA (through its subsidiary, AresTrading) and Pfizer was terminated and our collaboration with Merck KGaA with respect to the study on the safety and tolerability of SNK01 with avelumab is still in place. NKMAX, our parent company, entered into a clinical trial collaboration and supply agreement with Merck KGaA in April 2021 to investigate the potential combination of SNK01 with cetuximab. We believe these collaborations help us to further establish our clinical development plans and design and advance our NK cell therapy platform to treat oncologic diseases. See the section titled “Business — Background on NK or natural killer cells — SNK01/SNK02 for the treatment of solid tumors — SNK01 in combination with target-based biologics” for more details.
We may form strategic alliances or create joint ventures or collaborations with respect to our product candidates that we believe will complement or augment our existing business. We routinely engage, and are engaged, in partnering discussions with a range of pharmaceutical and biotechnology companies and could enter into new collaborations at any time. If we enter into a collaboration, strategic alliance or license arrangement, there is no guarantee that the collaboration will be successful, or that any future partner will commit sufficient resources to the development, regulatory approval, and commercialization effort for such products, or that such alliances will result in us achieving revenues that justify such transactions.
If we and/or NKMAX terminate any of these collaboration agreements in its entirety or with respect to a particular product candidate, due to a material breach by either party thereto or for other reasons, then our costs may increase as we may need to pay termination fees and shoulder additional costs to continue research, development, and commercialization of the terminated product candidate(s) on our own at our sole expense. We and/or NKMAX may not be able to re-negotiate terms with these partners or negotiate future agreements with terms that are favorable to us. Furthermore, assumption of sole responsibility for further development may increase our expenditures and may mean we would need to limit the size and scope of one or more of our programs, seek additional funding and/or choose to stop work altogether on one or more of the affected product candidates. This could result in a limited potential to generate future revenue from such product candidates, and our business could be adversely affected.
Whenever we enter into collaborations with third parties, we could face, without limitation, the following risks:

collaborators have significant discretion in determining the efforts and resources that they will apply to these collaborations;

collaborators may not pursue development or may elect not to continue or renew development programs based on clinical trial results, changes in their strategic focus due to the acquisition of competitive drugs, availability of funding or other external factors that diverts resources or creates competing priorities;

collaborators may delay clinical trials, provide insufficient funding for a clinical trial, stop a clinical trial, abandon a product candidate, or repeat or conduct new clinical trials;
 
25

TABLE OF CONTENTS
 

collaborators could independently develop, or develop with third parties, products and processes that compete directly or indirectly with our products or product candidates;

collaborators may own or co-own intellectual property that results from our collaborating with them, and in such cases, we could potentially not have the exclusive right to commercialize such intellectual property;

collaborators may not properly enforce, maintain or defend our intellectual property rights or may use our proprietary information in a way that gives rise to actual or threatened litigation that could jeopardize or invalidate our intellectual property or proprietary information or expose us to potential litigation, or other intellectual property proceedings;

disputes may arise between a collaborator and us that cause the delay or termination of the research, development or commercialization of the product candidate, or that result in costly litigation or arbitration that diverts management attention and resources;

if a present or future collaborator of ours were to be involved in a business combination, the continued pursuit and emphasis on our product development or commercialization program under such collaboration could be delayed, diminished or terminated; and

collaboration agreements may restrict our right to independently pursue new product candidates.
If conflicts arise between our collaborators and us, our collaborators may act in a manner adverse to us and could limit our ability to implement our strategies. Affimed, Pfizer or Merck KGaA or future collaborators may develop, either alone or with others, products in related fields that are competitive with the products or potential products that are the subject of these collaborations. Competing products, either developed by the collaborators or to which the collaborators have rights, may result in the withdrawal of support for our product candidates. Our collaborators may preclude us from entering into collaborations with their competitors, fail to obtain timely regulatory approvals, terminate their agreements with us prematurely or fail to devote sufficient resources to the development and commercialization of products. Competing product candidates, either developed by the collaborators or strategic partners or to which the collaborators or strategic partners have rights, may result in the withdrawal of our collaborator’s or partner’s support for our product candidates. Any of these developments could harm our product development efforts.
As a result, we may not be able to realize the benefit of new or existing collaboration agreements and strategic partnerships if we are unable to successfully integrate them with our existing operations, which could delay our timelines or otherwise adversely affect our business. We also cannot be certain that, following a strategic transaction or license, we will achieve the revenue or specific net income that justifies such transaction.
If we fail to compete effectively with academic institutions and other biotechnology companies that develop similar or alternatives to cellular immunotherapy product candidates, our business will be materially adversely affected.
The development and commercialization of new cellular immunotherapy products is highly competitive. We face competition from existing and future competitors with respect to each of our product candidates currently in development, and will face competition with respect to other product candidates that we may seek to develop or commercialize in the future. For example, Acepodia, Artiva, Celularity, Century Therapeutics, Cytovia Therapeutics, Fate Therapeutics, Nkarta, and ImmunityBio each have clinical-stage allogeneic programs. In addition, other competitors, such as Affimed, Innate Pharma, Dragonfly Therapeutics and GT Biopharma, are seeking to harness NK biology through cell engagers that direct a patient’s own NK cells to the site of a tumor. A number of academic institutions are also conducting preclinical and clinical research in these areas. It is also possible that new competitors, including those developing similar or alternatives to cellular immunotherapy product candidates, may emerge and acquire significant market share. Such competitors may have an advantage over us due to their greater size, resources or institutional experience, or may develop product candidates that are safer, more effective, more widely accepted, more cost-effective or enable higher patient quality of life than ours. More established biotechnology companies may also develop and commercialize their product candidates at a faster rate, which could render our product
 
26

TABLE OF CONTENTS
 
candidates obsolete or non-competitive before they are fully developed or commercialized. If we are not able to compete effectively against our existing and potential competitors, our business, financial condition, results of operations and growth prospects may be materially adversely affected.
We will need to increase the size of our organization, and we may experience difficulties in managing growth.
As of September 30, 2023, we had 63 full-time employees. We will need to continue to expand our managerial, operational, clinical, quality, human resources, legal, manufacturing, supply chain, finance, commercial and other resources in order to manage our operations and clinical trials, continue our development activities and eventually commercialize our product candidates. Our management and personnel, systems and facilities currently in place may not be adequate to support this future growth. Our need to effectively execute our growth strategy requires, without limitation, that we:

discover new product candidates, develop the process and analytical methods for IND-enabling studies and FDA submissions, complete the required IND-enabling studies for each, and receive approval from the FDA and other regulatory authorities to initiate clinical trials for such product candidates;

manage our vendors and clinical trials effectively;

identify, recruit, retain, incentivize and integrate additional employees;

expand into additional office and laboratory space as we grow our employee base; and

continue to improve our operational, financial and management controls, reports systems and procedures.
If we are unable to attract skilled employees, increase the size of our organization or manage our future growth effectively, it will impair our ability to execute our business strategy and our business, financial condition, results of operations and growth prospects will be materially adversely affected. Moreover, our management may need to divert a disproportionate amount of its attention away from its day-to-day activities and devote a substantial amount of time to managing these growth activities, which may adversely affect our ability to develop and, if approved, commercialize our product candidates.
If we fail to attract and retain senior management, clinical, and key scientific personnel, we may be unable to successfully develop our product candidates, conduct our clinical trials and commercialize our product candidates.
Our success depends in part on our continued ability to attract, retain and motivate highly qualified management, clinical and scientific personnel. In addition, we are highly dependent upon our senior management, particularly our chief executive officer, Dr. Paul Y. Song, as well as other members of our senior management team. The loss of services of any of these individuals could delay or prevent the successful development of our product pipeline, initiation or completion of our planned clinical trials or the commercialization of our future product candidates. We do not have employment agreements with our senior management team.
Competition for qualified personnel in the biotechnology and pharmaceuticals fields is intense due to the limited number of individuals who possess the skills and experience required by our industry. We will need to hire additional personnel as we expand our clinical development and manufacturing activities, or if we initiate commercial activities. We may not be able to attract and retain quality personnel on acceptable terms, or at all. If we are unable to hire and retain the qualified personnel we need to operate our business, our business, financial condition, results of operations and growth prospects would be materially adversely affected. In addition, to the extent we hire personnel from competitors, we may be subject to allegations that they have been improperly solicited or that they have divulged proprietary or other confidential information, or that their former employers own their research output.
Our employees, independent contractors, consultants, commercial partners, principal investigators, CROs, suppliers and vendors may engage in misconduct or other improper activities, including noncompliance with regulatory standards and requirements.
We are exposed to the risk of employee fraud or other illegal activity by our employees, independent contractors, consultants, commercial partners, principal investigators, CROs, suppliers and vendors.
 
27

TABLE OF CONTENTS
 
Misconduct by these parties could include intentional, reckless and/or negligent conduct that fails to: comply with the laws of the FDA and other similar foreign regulatory bodies, provide true, complete and accurate information to the FDA and other similar foreign regulatory bodies, comply with manufacturing standards we have established, comply with healthcare fraud and abuse laws in the U.S. and similar foreign fraudulent misconduct laws, or report financial information or data accurately or to disclose unauthorized activities to us. If we obtain FDA approval of any of our product candidates and begin commercializing those product candidates in the U.S., our potential exposure under such laws will increase significantly, and our costs associated with compliance with such laws are also likely to increase. In particular, the promotion, sales and marketing of healthcare items and services, as well as certain business arrangements in the healthcare industry, are subject to extensive laws and regulations designed to prevent fraud, kickbacks, self-dealing and other abusive practices. These laws and regulations may restrict or prohibit a wide range of pricing, discounting, marketing and promotion, structuring and commission(s), certain customer incentive programs and other business arrangements. Activities subject to these laws also involve the improper use of information obtained in the course of patient recruitment for clinical trials, which could result in regulatory sanctions and serious harm to our reputation.
It is not always possible to identify and deter misconduct or other improper activities by our employees or third parties that we engage for our business operations and the precautions we take to detect and prevent inappropriate conduct may not be effective in controlling unknown or unmanaged risks or losses or in protecting us from governmental investigations or other actions or lawsuits stemming from a failure to comply with such laws or regulations. If any such actions are instituted against us, and we are not successful in defending ourselves or asserting our rights, those actions could have a material adverse effect on our business, financial condition, results of operations and prospects, including the imposition of significant fines or other sanctions, including exclusion from government healthcare programs, and serious harm to our reputation. In addition, the approval and commercialization of any of our product candidates outside the U.S. will also likely subject us to foreign equivalents of the healthcare laws mentioned above, among other foreign laws. Efforts to ensure that our business arrangements will comply with applicable healthcare laws may involve substantial costs.
If any of the third parties that we rely on for various operational and administrative aspects of our business fail to provide timely, accurate and ongoing service or if the technology systems and infrastructure suffer outages that we are unable to mitigate, our business may be adversely affected.
We currently rely upon third-party consultants and contractors to provide specific operational and administrative services, including research and clinical consultation and management. The failure of any of these third parties to provide accurate and timely service may adversely impact our business operations. In addition, if such third-party service providers were to cease operations, temporarily or permanently, face financial distress or other business disruption, increase their fees or if our relationships with these providers deteriorate, we could suffer increased costs until an equivalent provider could be found, if at all, or we could develop internal capabilities, if ever. In addition, if we are unsuccessful in choosing or finding high-quality partners, if we fail to negotiate cost-effective relationships with them, or if we ineffectively manage these relationships, it could have an adverse impact on our business and financial performance.
Further, our operations depend on the continuing and efficient operation of our information technology, communications systems and infrastructure, and on cloud-based platforms. Any of these systems and infrastructure are vulnerable to damage or interruption from earthquakes, vandalism, sabotage, terrorist attacks, floods, fires, power outages, telecommunications failures, computer viruses or other deliberate attempts to harm the systems. The occurrence of a natural or intentional disaster, any decision to close a facility we are using without adequate notice, or particularly an unanticipated problem at a cloud-based virtual server facility, could result in harmful interruptions in our service, resulting in adverse effects to our business.
Product liability lawsuits against us could cause us to incur substantial liabilities and could limit commercialization of any product candidate that we may develop.
We face an inherent risk of product liability exposure related to the testing of our product candidates in clinical trials and may face an even greater risk if we commercialize any product candidate that we may
 
28

TABLE OF CONTENTS
 
develop. If we cannot successfully defend ourselves against claims that any such product candidates caused injuries, we could incur substantial liabilities. Regardless of merit or eventual outcome, liability claims may, without limitation, result in:

decreased demand for any product candidate that we may develop;

loss of revenue;

substantial monetary awards to trial participants or patients;

significant time and costs to defend the related litigation;

withdrawal of clinical trial participants;

increased insurance costs;

the inability to commercialize any product candidate that we may develop; and

injury to our reputation and significant negative media attention.
Any such outcomes could materially adversely affect our business, financial condition, results of operations and growth prospects.
Our insurance policies may be inadequate, may not cover all of our potential liabilities and may potentially expose us to unrecoverable risks.
We do not carry insurance for all categories of risk that our business may encounter. Although we maintain product liability insurance coverage that also covers our clinical trials, such insurance may not be adequate to cover all liabilities that we may incur, and we may be required to increase our product liability insurance coverage. We anticipate that we will need to increase our insurance coverage each time we commence a clinical trial and if we successfully commercialize any product candidate. Insurance availability, coverage terms and pricing continue to vary with market conditions. We endeavor to obtain appropriate insurance coverage for insurable risks that we identify. However, we may fail to correctly anticipate or quantify insurable risks, we may not be able to obtain appropriate insurance coverage and insurers may not respond as we intend to cover insurable events that may occur. Any significant uninsured liability may require us to pay substantial amounts, which would materially adversely affect our business, financial condition, results of operations and growth.
In addition, although we are dependent on certain key personnel, we do not have any key man life insurance policies on any such individuals. Therefore, if any of our chief executive officer or other executive officers die or become disabled, we will not receive any compensation to assist with such individual’s absence. The loss of any such person could materially adversely affect our business, financial condition, results of operations and growth prospects.
Our business involves the use of hazardous materials and we and our third-party manufacturers and suppliers must comply with environmental laws and regulations, which can be expensive and restrict how we do business.
Our research and development and manufacturing activities and our third-party manufacturers’ and suppliers’ activities involve the controlled storage, use and disposal of hazardous materials owned by us. We and our manufacturers and suppliers are subject to laws and regulations governing the use, manufacture, storage, handling and disposal of these hazardous materials. In some cases, these hazardous materials and various wastes resulting from their use are stored at our manufacturers’ facilities pending their use and disposal.
We cannot eliminate the risk of contamination, which could cause an interruption of our research and development efforts and business operations, including drug supply and inventory, and environmental damage resulting in costly clean-up and liabilities under applicable laws and regulations governing the use, storage, handling and disposal of these materials and specified waste products. Although we believe that the safety procedures utilized by our third-party manufacturers and suppliers for handling and disposing of these materials generally comply with the standards prescribed by these laws and regulations, we cannot guarantee that this is the case or eliminate the risk of accidental contamination or injury from these materials. In such an event, we may be held liable for any resulting damages and such liability could exceed our
 
29

TABLE OF CONTENTS
 
resources and state or federal or other applicable authorities may curtail our use of certain materials and/or interrupt our business operations. Furthermore, environmental laws and regulations are complex, change frequently and have tended to become more stringent over time. We cannot predict the impact of such changes and cannot be certain of our future compliance. We do not currently carry biological or hazardous waste insurance coverage. Any contamination by such hazardous materials could therefore materially adversely affect our business, financial condition, results of operations and growth prospects.
Risks Related to Our Financial Position
We have a limited operating history, have incurred significant losses since our inception, and we expect to continue to incur significant losses for the foreseeable future.
We are a clinical-stage biotechnology company developing cell therapies for neurodegenerative and oncological diseases with a limited operating history upon which you can evaluate its business and prospects. Since our inception in 2017, we have incurred significant operating losses. Our net losses were $49.3 million and $6.7 million for the nine months ended September 30, 2023 and 2022, respectively. Our accumulated deficit was $128.5 million as of September 30, 2023. See “— Risks Related to Our Business and Industry — We do not currently have sufficient funds to service our operations and expenses and other liquidity needs and require additional capital immediately, and our independent registered public accountants and management have expressed substantial doubt as to our ability to continue as a going concern” for more details on our current financial and business information and related risks.
We expect to continue to incur increasing operating losses for the foreseeable future as we continue to develop our product candidates. In addition, we anticipate that our expenses will increase substantially if, and as, we:

continue the clinical development of SNK01 and SNK02;

advance additional product candidates to clinical trials, including product candidates under the collaboration with Merck KGaA;

develop our current product candidates for additional disease indications;

seek to discover and develop additional product candidates;

maintain our own clinical- and commercial-scale clinical GMP facilities;

seek regulatory approval of our product candidates in various jurisdictions for commercial sale;

maintain, expand and protect our intellectual property portfolio;

acquire or in-license other product candidates and technologies;

incur additional costs associated with operating as a public company;

develop or secure marketing, sales and distribution capabilities, either internally or with third parties, to support commercialization; and

increase our employee headcount and related expenses to support the foregoing activities.
We may find that these efforts are more expensive than we currently anticipate or that these efforts may not result in revenues, which would further increase our losses. In addition, we have limited experience and have not yet demonstrated an ability to successfully overcome many of the risks and uncertainties frequently encountered by companies in the same industry. If we are unable to achieve and/or sustain profitability, or if we are unable to achieve the growth that we expect from these efforts, it could have a material adverse effect on our business, financial condition or results of operations. Even if we achieve profitability in the future, we may not be able to sustain profitability in subsequent periods.
We have never generated revenue from product sales and may never achieve or maintain profitability.
We are a clinical-stage biotechnology company without any products approved for commercial sale, and have not generated any revenue from product sales. We are focused on developing cell therapies for neurodegenerative and oncological diseases based on activated NK cells and our technologies are relatively
 
30

TABLE OF CONTENTS
 
new and largely unproven. Since our inception in 2017, we have invested most of our resources in developing our product candidates, building our intellectual property portfolio, conducting clinical trials, developing our in-house manufacturing capability, conducting business planning, raising capital and providing general and administrative support for these operations. Consequently, we have no meaningful operations upon which to evaluate our business, and predictions about our future success or viability may not be as accurate as they could be if we had a longer operating history or a history of successfully developing and commercializing drug products. We have not yet demonstrated an ability to overcome many of the risks and uncertainties frequently encountered by companies in the rapidly evolving biotechnology industry.
We continue to incur significant research and development and other expenses related to ongoing operations and the development of our two lead product candidates, SNK01 and SNK02. All of our product candidates will require substantial additional development time and resources before we would be able to apply for or receive regulatory approvals and begin generating revenue from product sales. Neither the FDA nor any other regulatory authority has approved SNK01, SNK02 or any of our other product candidates, and we do not anticipate generating revenues from product sales unless and until such time as SNK01, SNK02 or another of our product candidates has been approved by the FDA or another regulatory authority, if ever, and we are able to successfully market and sell a product candidate. Our ability to generate revenues from product sales depends on, without limitation, our, or potential future collaborators’ success in:

completing clinical development of our product candidates;

seeking and obtaining regulatory approvals for product candidates for which we successfully complete positive clinical trials, if any;

launching and commercializing product candidates, by establishing a commercial infrastructure or, alternatively, collaborating with a commercialization partner;

qualifying for adequate coverage and reimbursement by government and third-party payors for our product candidates;

establishing, maintaining and enhancing a sustainable, scalable, reproducible and transferable manufacturing process for each of our cell therapy product candidates;

establishing and maintaining supply and manufacturing relationships with third parties that can provide adequate products and services, in both amount and quality, to support clinical development and the market demand for our product candidates, if approved;

obtaining market acceptance of our product candidates as a viable treatment option;

addressing any competing technological and market developments;

implementing additional internal systems and infrastructure, as needed;

negotiating favorable terms in any collaboration, licensing or other arrangements into which we may enter and performing our obligations in such collaborations;

maintaining, protecting and expanding our portfolio of intellectual property rights, including patents, trade secrets, know-how, and trademarks;

avoiding and defending against third-party interference or infringement claims; and

attracting, hiring and retaining qualified personnel.
We anticipate incurring significant costs associated with commercializing any approved product candidate. Our expenses could increase beyond our current expectations if we are required by the FDA or other global regulatory authorities to perform clinical trials and/or other preclinical studies in addition to, or beyond the scope of, those that we currently anticipate being required to perform.
Even if we are able to generate revenues from the sale of any approved products, we may not become profitable or be able to sustain or increase profitability on a quarterly or annual basis. Our failure to become and remain profitable could decrease the value of our company and impair our ability to raise capital, thereby limiting our research and development programs and efforts to expand our business or continue our operations.
 
31

TABLE OF CONTENTS
 
The East West Bank Loan Agreement provides the lender with a security interest in all of our assets, and contains financial covenants and other restrictions on our actions that may limit our operational flexibility or otherwise adversely affect our results of operations.
In June 2023, we entered into a $5.0 million revolving line of credit agreement with East West Bank. This revolving line of credit is secured by all of our assets, including a deed of trust over our owned real property located in Santa Ana, California. We were required to maintain a minimum cash balance of $0.3 million with the bank to secure this revolving line of credit and will be required to maintain a minimum cash balance of $15.0 million with the bank by December 31, 2023 and at all times thereafter as long as there is an outstanding balance under the revolving line of credit. Failure to meet the minimum cash balance requirement would constitute an event of default under the East West Bank Loan Agreement, which would permit East West Bank to accelerate the indebtedness under the East West Loan Agreement and, if NKGen is unable to pay such indebtedness, foreclose on NKGen’s assets, including its owned real property which is subject to a deed of trust in favor of East West Bank. The East West Bank Loan Agreement permits NKGen to terminate the East West Bank Loan Agreement and security interest thereunder at any time by repaying in full the loan provided thereunder (together with all interest and any fees owed thereon), but contractually requires that even after such termination, if such termination occurs after the closing of the Business Combination, we maintain the minimum cash balance of $15.0 million until June 20, 2024. If following a termination of the loan agreement that occurs after the closing of the Business Combination NKGen fails to maintain the minimum deposit balance until June 20, 2024, it may be subject to a breach of contract claim by East West Bank. See the section of this prospectus titled “Management’s Discussion and Analysis of Financial Condition and Results of Operations — Liquidity and Capital Resources — Sources of Liquidity — Subsequent Financing Arrangements” for more details. The terms of our outstanding debt may restrict our current and future operations and could adversely affect our ability to finance our future operations or capital needs or to execute business strategies in the manner desired. In addition, complying with these covenants may make it more difficult for us to successfully execute our business strategy, invest in our growth strategy, and compete against companies who are not subject to such restrictions.
A failure by us to comply with any of the covenants or payment requirements specified in the revolving line of credit agreement could result in an event of default under the revolving line of credit agreement, which would give the lender the right to terminate their commitments to provide additional loans and extensions of credit and to declare any and all debt outstanding, together with accrued and unpaid interest and fees, to be immediately due and payable. In addition, the lender would have the right to proceed against the collateral in which we granted a security interest to them, which consists of substantially all our assets. If our outstanding debt were to be accelerated, we may not have sufficient cash or be able to borrow sufficient funds to refinance the loan or sell sufficient assets to repay the loan, which could materially and adversely affect our cash flows, business, results of operations and financial condition.
The terms of our 2023 NKMAX Loan Agreements and the East West Bank Loan Agreement require us to meet certain payment obligations, and may subject us to default.
We entered into a series of 2023 NKMAX Loan Agreements between January 2023 and April 2023, for an aggregate principal amount of $5.0 million. The proceeds of the loans are used by us for working capital and to fund our general business requirements. The loans carry an interest rate of 4.6% per annum and have a maturity date of December 31, 2024. In June 2023, we also entered into a $5.0 million revolving line of credit agreement with East West Bank, which bears an interest rate based on the higher of (i) the one month secured overnight financing rate plus 2.85% or (ii) 7.50%. If we default under the 2023 NKMAX Loan Agreements, we must pay to NKMAX all costs of collection including applicable attorney’s fees. If we default under the East West Bank Loan Agreement, at the lender’s option, all indebtedness will immediately become due and payable, with very limited exceptions. The occurrence of an event of default under either agreement could result in breach of our obligations under other agreements, including the Merger Agreement. Any declaration by either lender of an event of default could materially harm our business and prospects and limit how we conduct our business.
 
32

TABLE OF CONTENTS
 
Risks Related to Government Regulations
The regulatory approval process of the FDA and comparable foreign regulatory authorities are lengthy, time-consuming and inherently unpredictable, and even if we complete the necessary clinical trials, we cannot predict when, or if, we will obtain regulatory approval for any of our product candidates, and any such regulatory approval may be for a more narrow indication than we seek.
The research, testing, manufacturing, labeling, approval, selling, import, export, marketing, and distribution of drug products, including biologics, are subject to extensive regulation by the FDA and other regulatory authorities in and outside the United States. We are not permitted to market any biological drug product in the United States until we receive approval of a BLA from the FDA. We have not previously submitted a BLA to the FDA, or similar approval filings to comparable foreign authorities. A BLA must include extensive preclinical and clinical data and supporting information to establish the product candidate’s safety and effectiveness for each desired indication. The BLA must also include significant information regarding the chemistry, manufacturing and controls for the product, including with respect to chain of identity and chain of custody of the product.
Our product candidates could fail to receive regulatory approval from the FDA or a comparable foreign regulatory authority for many reasons, including, but not limited to:

disagreement with the design or conduct of our clinical trials;

failure to demonstrate to the satisfaction of regulatory agencies that our product candidates are safe and effective, or have a positive benefit/risk profile for its proposed indication;

failure of clinical trials to meet the level of statistical significance required for approval;

failure to conduct clinical trials according to GCP and guidelines as set forth by the International Council for Harmonization;

disagreement with our interpretation of data from preclinical studies or clinical trials;

the insufficiency of data collected from clinical trials of our product candidates to support the submission and filing of a BLA or other submission or to obtain regulatory approval;

failure to obtain approval of our manufacturing processes or facilities of third-party manufacturers with whom we contract for clinical and commercial supplies or our own manufacturing facility; or

changes in the approval policies or regulations that render our preclinical and clinical data insufficient for approval.
This lengthy approval process as well as the unpredictability of future clinical trial results may result in our failing to obtain regulatory approval to market our product candidates, which would significantly harm our business, results of operations and prospects. The FDA or a comparable foreign regulatory authority may require more information, including additional preclinical or clinical data to support approval, which may delay or prevent approval and our commercialization plans, or we may decide to abandon the development program. If we were to obtain approval, regulatory authorities may approve any of our product candidates for fewer or more limited indications than we request (including failing to approve the most commercially promising indications), may grant approval contingent on the performance of costly post-marketing clinical studies, or may approve a product candidate with a label that does not include the labeling claims necessary or desirable for the successful commercialization of that product candidate. Even if our product candidates meet their safety and efficacy endpoints in clinical trials, the regulatory authorities may not complete their review processes in a timely manner, or we may not be able to obtain regulatory approval.
We expect the novel nature of our product candidates to create further challenges in obtaining regulatory approval. The FDA may also require a panel of experts, referred to as an Advisory Committee, to deliberate on the adequacy of the safety and efficacy data to support marketing authorization. The opinion of the Advisory Committee, although not binding, may have a significant impact on our ability to obtain marketing authorization of the product candidates based on the completed clinical trials, as the FDA often adheres to the Advisory Committee’s recommendations. In addition, we may experience delays or rejections based upon additional government regulation from future legislation or administrative action, or changes
 
33

TABLE OF CONTENTS
 
in regulatory authority policy during the period of product development, clinical trials and the review process. Accordingly, the regulatory approval pathway for our product candidates may be uncertain, complex, expensive and lengthy, and approval may not be obtained. Regulatory authorities also may approve a product candidate for more limited indications than requested or they may impose significant limitations in the form of narrow indications, warnings or a REMS. These regulatory authorities may require labeling that includes precautions or contra-indications with respect to conditions of use, or they may grant approval subject to the performance of costly post-marketing clinical trials. In addition, regulatory authorities may not approve the labeling claims that are necessary or desirable for the successful commercialization of our product candidates. Regulatory authorities may withdraw or suspend their approval of the product or may impose restrictions on its distribution after obtaining marketing approval. Any of the foregoing scenarios could materially harm the commercial prospects for our product candidates and materially adversely affect our business, financial condition, results of operations and prospects.
We are and will be subject to U.S. and certain foreign export and import controls, sanctions, embargoes, anti-corruption laws and anti-money laundering laws and regulations. Compliance with these legal standards could impair our ability to compete in domestic and international markets. We could face criminal and/or civil liability and other serious consequences for violations, which would harm our business.
Our product candidates will be subject to export control and import laws and regulations, including the U.S. Export Administration Regulations, U.S. Customs regulations and various economic and trade sanctions regulations administered by the U.S. Treasury Department’s Office of Foreign Assets Controls, the U.S. Foreign Corrupt Practices Act of 1977, the U.S. domestic bribery statute contained in 18 U.S.C. §201, the U.S. Travel Act, the USA PATRIOT Act and possibly other state and national anti-bribery and anti-money laundering laws in countries in which we conduct activities. Exports of our product candidates must be made in compliance with export control and sanctions laws and regulations. In some cases, certain licensing, authorization, or reporting requirements may need to be performed. In addition, these laws may restrict or prohibit altogether the supply of certain of our product candidates to certain governments, persons, entities, countries, and territories. Changes in our product candidates or changes in applicable export or import laws and regulations may create delays in the introduction or provision of our product candidates in other jurisdictions, prevent others from using our product candidates or, in some cases, prevent the export or import of our product candidates to certain countries, governments or persons altogether. Any limitation on our ability to export or provide our product candidates could adversely affect our business, financial condition and results of operations.
Anti-corruption laws are interpreted broadly and prohibit companies and their employees, agents, third-party intermediaries, joint venture partners and collaborators from authorizing, promising, offering or providing, directly or indirectly, improper payments or benefits to recipients in the public or private sector. We may use CROs abroad for clinical trial activities. In addition, we may engage third-party intermediaries to sell our product candidates and solutions abroad once we enter a commercialization phase for our product candidates and/or to obtain necessary permits, licenses, and other regulatory approvals. We or our third-party intermediaries may have direct or indirect interactions with officials and employees of government agencies or state-owned or affiliated entities. We can be held liable for the corrupt or other illegal activities of these third-party intermediaries, our employees, representatives, contractors, partners and agents, even if we do not explicitly authorize or have actual knowledge of such activities. If we fail to comply with these laws and regulations, we and certain of our employees could be subject to substantial civil or criminal fines and penalties, imprisonment, the loss of export or import privileges, debarment, tax reassessments, breach of contract and fraud litigation, reputational harm and other consequences.
We have adopted an anti-corruption policy, which mandates compliance with the FCPA and other anti-corruption laws applicable to our business throughout the world. However, there can be no assurance that our employees and third-party intermediaries will comply with this policy or such anti-corruption laws. Non-compliance with anti-corruption and anti-money laundering laws could subject us to whistleblower complaints, investigations, sanctions, settlements, prosecution, other investigations, or other enforcement actions. If such actions are launched, or governmental or other sanctions are imposed, or if we do not prevail in any possible civil or criminal litigation, our business, results of operations and financial condition could be materially harmed. In addition, responding to any action will likely result in a materially significant diversion of management’s attention and resources and significant defense and compliance costs and
 
34

TABLE OF CONTENTS
 
other professional fees. In certain cases, enforcement authorities may even cause us to appoint an independent compliance monitor, which can result in added costs and administrative burdens.
Healthcare reform initiatives and other administrative and legislative proposals may harm our business.
We cannot predict the likelihood, nature or extent of government regulation that may arise from future legislation or administrative action in the United States, Mexico, Japan, the European Union or any other jurisdiction. In the United States, there have been several recent Congressional inquiries and proposed and enacted federal and state legislation designed to, among other things, bring more transparency to drug pricing, review the relationship between pricing and manufacturer patient programs, and reform government program reimbursement methodologies for drug products. For example, on August 16, 2022, President Biden signed the Inflation Reduction Act of 2022 (“IRA”) into law, which, among other things (i) directs the U.S. Department of Health and Human Services (“HHS”) to negotiate the price of certain high-expenditure, single-source drugs and biologics covered under Medicare and (ii) imposes rebates under Medicare Part B and Medicare Part D to penalize price increases that outpace inflation. These provisions will take effect progressively starting in fiscal year 2023, although they may be subject to legal challenges. HHS has and will continue to issue and update guidance as these programs are implemented. It is currently unclear how the IRA will be implemented but is likely to have a significant impact on the pharmaceutical industry. In addition, in response to the Biden administration’s October 2022 executive order, on February 14, 2023, HHS released a report outlining three new models for testing by the Center for Medicare and Medicaid Innovation which will be evaluated on their ability to lower the cost of drugs, promote accessibility, and improve quality of care. It is unclear whether the models will be utilized in any health reform measures in the future. If we or any third parties we may engage are slow or unable to adapt to changes in existing requirements or the adoption of new requirements or policies, or if we or such third parties are not able to maintain regulatory compliance, our product candidates may lose any regulatory approval that may have been obtained and we may not achieve or sustain profitability. Furthermore, future price controls or other changes in pricing regulation or negative publicity related to the pricing of pharmaceutical drugs could restrict the amount that we are able to charge for our drug products, which could render our product candidates, if approved, commercially unviable and materially adversely affect our ability to raise additional capital on acceptable terms.
If third-party payors fail to provide adequate coverage and reimbursement for our product candidates it could have a material adverse effect on our operating results and overall financial condition.
Significant uncertainty exists as to the coverage and reimbursement status of any product candidates for which we may obtain regulatory approval. Sales of any of product candidates, if approved, will depend, in part, on the extent to which the costs of the products will be covered by third-party payors, including government healthcare programs such as Medicare and Medicaid, and private payors, such as commercial health insurers and managed care organizations. Third-party payors determine which drugs they will cover and the amount of reimbursement they will provide for a covered drug. In the U.S., there is no uniform system among payors for making coverage and reimbursement decisions. In addition, the process for determining whether a payor will provide coverage for a product may be separate from the process for setting the price or reimbursement rate that the payor will pay for the product once coverage is approved. Third-party payors may limit coverage to specific products on an approved list, or formulary, which might not include all of the FDA-approved products for a particular indication.
In order to secure coverage and reimbursement for our product candidates, once approved, we may need to conduct expensive pharmacoeconomic studies in order to demonstrate the medical necessity and cost-effectiveness of the product, in addition to the costly studies required to obtain FDA or other comparable regulatory approvals. Even if we conduct pharmacoeconomic studies, our product candidates, once approved, may not be considered medically necessary or cost-effective by payors. Further, a payor’s decision to provide coverage for a product does not imply that an adequate reimbursement rate will be approved.
Furthermore, the healthcare industry in the U.S. has experienced a trend toward cost containment as government and private insurers seek to control healthcare costs by imposing lower payment rates and negotiating reduced contract rates with service providers. Therefore, we cannot be certain that the procedures using our product candidates, once approved, will be reimbursed at a cost-effective level. Nor can we be
 
35

TABLE OF CONTENTS
 
certain that third-party payors using a methodology that sets amounts based on the type of procedure performed, such as those utilized by government programs and in many privately managed care systems, will view the cost of our product candidates, once approved, to be justified so as to incorporate such costs into the overall cost of the procedure. Even if coverage is provided, the approved reimbursement amount may not be high enough to allow us to establish or maintain pricing sufficient to achieve profitability. Moreover, we are unable to predict what changes will be made to the reimbursement methodologies used by third-party payors in the future.
Our inability to promptly obtain coverage and adequate reimbursement from third-party payors for any of our product candidates for which we obtain marketing approval could have a material adverse effect on our operating results, our ability to raise capital needed to commercialize products and our overall financial condition.
Obtaining and maintaining marketing approval or commercialization of our product candidates in one jurisdiction does not mean that we will be successful in obtaining marketing approval of our product candidates in other jurisdictions.
Approval procedures vary among jurisdictions and can involve requirements and administrative review periods different from, and greater than, those in the United States, including additional preclinical studies or clinical trials as clinical trials conducted in one jurisdiction may not be accepted by regulatory authorities in other jurisdictions. In many jurisdictions outside the United States, a product candidate must be approved for reimbursement before it can be approved for sale in that jurisdiction. In some cases, the price that we intend to charge for our products is also subject to approval.
If we market approved products outside the United States, we expect that we will be subject to additional risks in commercialization, including, but not limited to:

different regulatory requirements for approval of therapies in foreign countries;

reduced protection for intellectual property rights;

unexpected changes in tariffs, trade barriers and regulatory requirements;

economic weakness, including inflation, or political instability in particular foreign economies and markets;

compliance with tax, employment, immigration and labor laws for employees living or traveling abroad;

foreign currency fluctuations, which could result in increased operating expenses and reduced revenues, and other obligations incident to doing business in another country;

foreign reimbursement, pricing and insurance regimes;

workforce uncertainty in countries where labor unrest is more common than in the United States;

production shortages resulting from any events affecting raw material supply or manufacturing capabilities abroad; and

business interruptions resulting from geopolitical actions, including war and terrorism (such as the military conflict between Russia and Ukraine and the State of Israel’s war against Hamas), natural disasters including earthquakes, typhoons, floods and fires, and other public health crises, illnesses, epidemics or pandemics.
We have no prior experience in these areas. In addition, there are complex regulatory, tax, labor and other legal requirements imposed by many of the individual countries in which we may operate, with which we will need to comply. Any of the foregoing difficulties, if encountered, could materially adversely affect our business, financial condition, results of operations and growth prospects.
Our business operations and relationships with investigators, healthcare professionals, consultants, third-party payors, patient organizations and customers will be subject to applicable fraud and abuse and other healthcare laws and regulations, which could expose us to penalties.
These laws may constrain the business or financial arrangements and relationships through which we conduct our operations, including how we research, market, sell and distribute our product candidates, if
 
36

TABLE OF CONTENTS
 
approved. Such laws include, the U.S. federal Anti-Kickback Statute, the U.S. federal civil and criminal false claims and civil monetary penalties laws, including the civil False Claims Act, the federal Health Insurance Portability and Accountability Act of 1996 (“HIPAA”), as amended by the Health Information Technology for Economic and Clinical Health Act, the U.S. Physician Payments Sunshine Act and its implementing regulations, U.S. state laws and regulations, including, state anti-kickback and false claims laws, laws that require pharmaceutical companies to comply with the pharmaceutical industry’s voluntary compliance guidelines and the relevant compliance guidance promulgated by the U.S. federal government, or otherwise restrict payments that may be made to healthcare providers and other potential referral sources, laws and regulations that require drug manufacturers to file reports relating to pricing and marketing information, laws requiring the registration of pharmaceutical sales representatives, laws governing the privacy and security of health information in certain circumstances, and similar healthcare laws and regulations in other jurisdictions, including reporting requirements detailing interactions with and payments to healthcare providers.
It is not always possible to identify and deter misconduct, and the precautions we take to detect and prevent this activity may not be effective in controlling unknown or unmanaged risks or losses or in protecting us from government investigations or other actions or lawsuits stemming from a failure to comply with these laws or regulations. Ensuring that our internal operations and future business arrangements with third parties comply with applicable healthcare laws and regulations will also involve substantial costs. If our operations are found to be in violation of any of the laws described above or any other governmental laws and regulations that may apply to us, we may be subject to significant penalties, including civil, criminal and administrative penalties, damages, fines, exclusion from government-funded healthcare programs, such as Medicare and Medicaid or similar programs in other countries or jurisdictions, integrity oversight and reporting obligations to resolve allegations of non-compliance, disgorgement, individual imprisonment, contractual damages, reputational harm, diminished profits and the curtailment or restructuring of our operations. If any of the physicians or other providers or entities with whom we expect to do business are found to not be in compliance with applicable laws, they may be subject to criminal, civil or administrative sanctions, including exclusions from government funded healthcare programs and imprisonment, which could affect our ability to operate our business. Further, defending against any such actions can be costly, time-consuming and may require significant personnel resources. Any of the foregoing could significantly harm our business, financial condition, results of operations and growth prospects.
We are subject to stringent and evolving laws, regulations, rules, contractual obligations, policies and other obligations related to data privacy and security. Our actual or perceived failure to comply with such obligations could lead to regulatory investigations or actions, litigation, fines and penalties, disruptions of our business operations, reputational harm, loss of revenue or profits, and other adverse business consequences.
In the ordinary course of business, we collect, receive, store, process, generate, use, transfer, disclose, make accessible, protect, secure, dispose of, transmit, and share (collectively, “processing”) personal data and other sensitive information, including proprietary and confidential business data, trade secrets, intellectual property, data we collect about trial participants in connection with clinical trials sensitive third-party data, business plans, transactions, and financial information (collectively, “sensitive data”).
Our data processing activities may subject us to numerous data privacy and security obligations, such as various laws, regulations, guidance, industry standards, external and internal privacy and security policies, contractual requirements, and other obligations relating to data privacy and security.
In the United States, federal, state, and local governments have enacted numerous data privacy and security laws, including data breach notification laws, personal data privacy laws, consumer protection laws (e.g., Section 5 of the Federal Trade Commission Act), and other similar laws (e.g., wiretapping laws). For example, the California Consumer Privacy Act of 2018 (“CCPA”) applies to personal information of consumers, business representatives, and employees, and requires businesses to provide specific disclosures in privacy notices and honor requests of California residents to exercise certain privacy rights. The CCPA provides for civil penalties of up to $7,500 per violation and allows private litigants affected by certain data breaches to recover significant statutory damages. Although the CCPA exempts some data processed in the context of clinical trials, the CCPA increases compliance costs and potential liability with respect to other personal data we maintain about California residents. In addition, the California Privacy Rights Act of
 
37

TABLE OF CONTENTS
 
2020 (“CPRA”) expands the CCPA’s requirements, including by adding a new right for individuals to correct their personal information and establishing a new regulatory agency to implement and enforce the law. Other states, such as Virginia and Colorado, have also passed comprehensive privacy laws, and similar laws are being considered in several other states, as well as at the federal and local levels. While these states, like the CCPA, also exempt some data processed in the context of clinical trials, these developments may further complicate compliance efforts, and increase legal risk and compliance costs for us and the third parties upon whom we rely.
Outside the United States, an increasing number of laws, regulations, and industry standards may govern data privacy and security and may become applicable to us as we expand. For example, the European Union’s General Data Protection Regulation (“EU GDPR”) and the United Kingdom’s GDPR (“UK GDPR”) impose strict requirements for processing personal data. For example, under the EU GDPR, companies may face temporary or definitive bans on data processing and other corrective actions; fines of up to 20 million Euros or 4% of annual global revenue, whichever is greater; or private litigation related to processing of personal data brought by classes of data subjects or consumer protection organizations authorized at law to represent their interests.
In addition, data localization requirements or limitations on cross-border data flows may render us unable to transfer personal data from other jurisdictions to the United States or other countries. For example, Europe and other jurisdictions have enacted laws requiring data to be localized or limiting the transfer of personal data to other countries. Other jurisdictions may adopt similarly stringent interpretations of their data localization and cross-border data transfer laws.
In addition to data privacy and security laws, we may become contractually subject to industry standards adopted by industry groups and other such obligations in the future. We are also bound by contractual obligations related to data privacy and security, and our efforts to comply with such obligations may not be successful. We also publish privacy policies, marketing materials, and other statements regarding data privacy and security. If these policies, materials or statements are found to be deficient, lacking in transparency, deceptive, unfair, or misrepresentative of our practices, we may be subject to investigation, enforcement actions by regulators, or other adverse consequences.
Obligations related to data privacy and security are quickly changing, becoming increasingly stringent, and creating regulatory uncertainty. Additionally, these obligations may be subject to differing applications and interpretations, which may be inconsistent or conflict among jurisdictions. Preparing for and complying with these obligations requires us to devote significant resources and may necessitate changes to our services, information technologies, systems, and practices and to those of any third parties that process personal data on our behalf. In addition, these obligations may require us to change our business model.
We may at times fail (or be perceived to have failed) in our efforts to comply with our data privacy and security obligations. Moreover, despite our efforts, our personnel or third parties on whom we rely may fail to comply with such obligations, which could negatively impact our business operations. If we or the third parties on which we rely fail, or are perceived to have failed, to address or comply with applicable data privacy and security obligations, we could face significant consequences, including but not limited to: government enforcement actions (e.g., investigations, fines, penalties, audits, inspections, and similar); litigation (including class-action claims); additional reporting requirements and/or oversight; bans on processing personal data; and orders to destroy or not use personal data. Any of these events could have a material adverse effect on our reputation, business, or financial condition, including but not limited to: loss of customers; inability to process personal data or to operate in certain jurisdictions; limited ability to develop or commercialize our products; expenditure of time and resources to defend any claim or inquiry; adverse publicity; or substantial changes to our business model or operations.
Risks Related to Manufacturing
Our manufacturing process is novel and complex, and we may encounter difficulties in production, or difficulties with internal manufacturing, which would delay or prevent our ability to provide a sufficient supply of our product candidates for clinical trials or our products for patients, if approved.
Our product candidates are engineered human cells, and the process of manufacturing such product candidates, is complex, highly regulated and subject to numerous risks. Manufacturing our product
 
38

TABLE OF CONTENTS
 
candidates involves harvesting blood cells from a donor or patient, isolating the NK cells from peripheral blood mononuclear cells, activating and expanding the NK cells, cryopreservation, storage and eventually shipment. Our ability to consistently and reliably manufacture cell therapy product candidates is essential to our success, and there are risks associated with scaling to the level required for advanced clinical trials or commercialization, including cost overruns, potential problems with sourcing of materials, quality control, stability issues, consistency and timely availability of raw materials.
Our manufacturing process will be susceptible to product loss or failure, or product variation that may negatively impact patient outcomes, due to logistical issues associated with the collection of starting material from the donor, shipping such material to the manufacturing site, shipping the final product to the clinical trial recipient, preparing the product for administration, manufacturing issues or different product characteristics resulting from the differences in donor starting materials, variations between reagent lots, interruptions in the manufacturing process, contamination, equipment or reagent failure, improper installation or operation of equipment, vendor or operator error, inconsistency in cell growth and variability in product characteristics.
Even minor deviations from normal manufacturing processes could result in reduced production yields, product defects and other supply disruptions. If microbial, viral or other contaminations are discovered in our product candidates or in any of the manufacturing facilities in which products or other materials are made, such manufacturing facilities may need to be closed for an extended period of time to investigate and remedy the contamination. Any failure in the manufacturing processes could render a batch of product unusable, could impact supply and delay the progress of our clinical trials, could affect the regulatory approval of such product candidate, could cause us to incur fines or penalties or could harm our reputation and that of our product candidates.
Our manufactured product candidates may fail to meet the required specifications for any of a variety of reasons, including variability in starting material, deviations from normal manufacturing process, or insufficient optimization of specific process steps. This failure to meet specifications could result in supply shortages, or delays related to obtaining additional regulatory, site and patient approvals to continue dosing the clinical trial. If the required additional approvals cannot be obtained, additional delays may occur as manufacturing would need to be restarted and/or the patient may be unable to remain in the study. Any delay in the clinical development or commercialization of SNK01, SNK02, or our other product candidates could materially adversely affect our business, financial condition, results of operations and growth prospects.
We may make changes to our manufacturing process at various points during development, and even after commercialization, for various reasons, such as to control costs, achieve scale, decrease processing time, increase manufacturing success rate or for other reasons. Changes to our manufacturing process carry the risk that they will not achieve their intended objectives, and any of these changes could cause our product candidates to perform differently and affect the results of our ongoing clinical trials, or the performance of the product once commercialized. Changes to our process made during the course of clinical development could require us to show the comparability of the product candidate used in earlier clinical phases or at earlier portions of a trial to the product candidate used in later clinical phases or later portions of the trial. It is difficult to establish comparability of cell therapy products, and this may complicate efforts to verify process changes during scale up. Other changes to our manufacturing process made before or after commercialization could require us to show the comparability of the resulting product to the product candidate used in the clinical trials using earlier processes. Such showings could require us to collect additional nonclinical or clinical data from any modified process prior to obtaining marketing approval for the product candidate produced with such modified process. If such data are not ultimately comparable to that seen in the earlier trials or earlier in the same trial in terms of safety or efficacy, or if regulatory authorities do not agree that comparability has been established, we may be required to make further changes to our process and/or undertake additional clinical testing, either of which could significantly delay the clinical development or commercialization of the associated product candidate, which would materially adversely affect our business, financial condition, results of operations and growth prospects.
Although we are manufacturing SNK01 in our own internal manufacturing facility for the SNK01 clinical trials, and plan to manufacture other product candidates, including SNK02, in our internal manufacturing facilities in the future, we may encounter problems with the internal production of our product candidates. We believe our current clinical GMP manufacturing facility will supply our anticipated
 
39

TABLE OF CONTENTS
 
clinical trial needs, but if the dose and number of cycles needed increases, our current manufacturing process may not be able to support the enrollment of trials which could lead to delays until we scale up the manufacturing. While we believe that we have a manufacturing facility with capabilities to meet increased production needs, it would still require an increase in staff and significant internal resources. Our manufacturing facilities will be subject to compliance with regulatory requirements, which we may struggle to meet. We may encounter problems with properly staffing our internal manufacturing facilities due to hiring challenges or other issues. For example, factors such as potential future outbreaks of COVID-19 variants and related restrictions could impact our ability to properly staff production of our product candidates. Current inflationary pressures are negatively affecting and could continue to negatively affect the costs of constructing our commercial-scale manufacturing facility. Global supply chain disruptions, including procurement delays and long lead times on certain materials, have adversely impacted and could continue to adversely impact the scheduled completion and/or costs of constructing our commercial-scale manufacturing facility. We may also encounter problems with training the staff we have to effectively manage and control the complex manufacturing process required to produce our product candidates and comply with all necessary regulations. We may also find it difficult to properly manage supply chain issues critical to the manufacturing process. If we are unable to build, maintain, and properly staff our manufacturing facilities, manage and control the manufacturing process, and comply with regulations, the clinical development or commercialization of our product candidates could be significantly delayed, which would materially adversely affect our business, financial condition, results of operations and growth prospects.
Delays in commissioning and receiving regulatory approvals for our manufacturing facilities could delay our development plans and thereby limit our ability to develop our product candidates and generate revenues.
We believe that internal GMP manufacturing is important to facilitate clinical product supply, lower the risk of manufacturing disruptions and enable more cost-effective manufacturing. We have a GMP facility in Santa Ana, California that allows us to supply the product candidates needed for our early-stage clinical trials.
Furthermore, our manufacturing facilities will be subject to ongoing, periodic inspection by the FDA and other comparable regulatory agencies to ensure continued compliance with GMP. Our failure to follow and document our adherence to these regulations or other regulatory requirements may lead to significant delays in the availability of product candidates for clinical use or may result in the termination of or a hold on a clinical study. Failure to comply with applicable regulations could also result in sanctions being imposed on us, including fines, injunctions, civil penalties, a requirement to suspend or put on hold one or more of our clinical trials, failure of regulatory authorities to grant marketing approval of our drug candidates, delays, suspension or withdrawal of approvals, license revocation, seizures or recalls of drug candidates, operating restrictions and criminal prosecutions, any of which could materially adversely affect our business, financial condition, results of operations and growth prospects.
We also may encounter problems with, without limitation, the following:

complying with regulations regarding evolving donor infectious disease testing, traceability, manufacturing, release of product candidates and other requirements from regulatory authorities outside the United States;

achieving adequate or clinical-grade materials that meet regulatory agency standards or specifications with consistent and acceptable production yield and costs;

bacterial, fungal or viral contamination in our manufacturing facilities;

disruptions due to natural disasters or supply chain interruptions; and

shortages of qualified personnel, raw materials or key contractors.
Our product candidates, if approved by applicable regulatory authorities, may require significant commercial supply to meet market demand. In these cases, we may need to increase, or “scale up,” the production process by a significant factor over the initial level of production. If we fail to develop sufficient manufacturing capacity and experience, whether internally or with a third party, are delayed in doing so, or fail to manufacture our product candidates economically or on reasonable scale or volumes, or in accordance with GMP, or if the cost of this scale-up is not economically feasible, our development programs
 
40

TABLE OF CONTENTS
 
and commercialization of any approved products will be materially adversely affected and we may not be able to produce our product candidates in a sufficient quantity to meet future demand and our business, financial condition, results of operations and growth prospects may be materially adversely affected.
Any contamination or interruption in our manufacturing process, shortages of raw materials or failure of our suppliers to deliver necessary components could result in delays in our clinical development or marketing schedules.
Given the nature of cell therapy manufacturing, there is a risk of contamination. If microbial, viral or other contaminants are discovered in our product candidates or in any of the manufacturing facilities in which products or other materials are made, such manufacturing facilities may need to be closed for an extended period of time to investigate and remedy the contamination. Any contamination could adversely affect our ability to produce product candidates on schedule and could, therefore, delay our clinical trials, harm our results of operations and cause reputational damage. Some of the raw materials required in our manufacturing process are derived from biologic sources. These raw materials are difficult to procure and may be subject to contamination or recall. A material shortage, contamination, recall or restriction on the use of biologically derived substances in the manufacture of our product candidates could adversely impact or disrupt the commercial manufacturing or the production of clinical material, which could adversely affect our development timelines and our business, financial condition, results of operations and prospects.
The optimal donor and manufacturing parameters for our product candidates have not been definitively established, which may hinder our ability to optimize our product candidates or to address any safety or efficacy issues that may arise.
If any of our clinical trials reveal issues with the safety or efficacy of any of our product candidates, modification of the donor selection criteria or the manufacturing process may be necessary to address such issues. Alternatively, we may choose to modify the manufacturing process in an effort to improve the efficiency of the process or efficacy of the product candidates. However, we have not, at present, fully characterized or identified how donor characteristics and manufacturing process parameters affect the optimal potency of function for our engineered NK cell product candidates for in vitro and animal efficacy studies or how such potency differences may translate into efficacy to be seen in human clinical trials, including both the proportion of patients who achieve a meaningful clinical response, and the duration of any such clinical responses. Our ability to improve our manufacturing process or product potency, safety, or efficacy according to such parameters is limited and may require significant trial and error, which may cause us to incur significant costs or could result in significant delays to the clinical development and eventual commercialization of our product candidates.
Dependency on third parties to store our NK cells, viral vector, master and working cell banks, and any damage or loss would cause delays in replacement, and our business could suffer.
The NK cells, the viral vector, and the master and working cell banks are stored in freezers at third-party biorepositories and will also be stored in our freezers at our production facility. If these materials are damaged at these facilities, including by the loss or malfunction of these freezers or our back-up power systems, as well as by damage from fire, power loss or other natural disasters, we would need to establish replacement of NK cells, viral vector, and master and working cell banks, which would impact clinical supply and delay our patients’ treatments. If we are unable to establish replacement materials, we could incur significant additional expenses and liability to patients whose treatment is delayed, and our business could suffer.
We have not yet established a shelf life beyond one to two years for our product candidates, which may have an impact on commercial supply and expenses.
We have not yet developed a validated method of manufacturing our product candidates for long-term storage, in large quantities without damage, in a cost-efficient manner and without degradation beyond one to two years. We may encounter difficulties not only in developing the relevant methodologies but also in obtaining the necessary regulatory approvals for using such methodologies in treatment. If we cannot adequately demonstrate that our product candidates can be safely stored for long-term and to the satisfaction of regulatory authorities, we could face substantial delays in obtaining regulatory approvals to market and further commercialize our products. If we are unable to develop a validated method to store our product
 
41

TABLE OF CONTENTS
 
candidates for long-term for shipping purposes, our ability to promote the adoption of our product candidates, as well as achieve economies of scale by utilizing our production facility, will be limited. Even if we are able to successfully develop such methodology, we will also need to develop a cost-effective and reliable distribution and logistics network, which we may be unable to accomplish.
In addition, if the product candidates cannot be stored for extended periods of time, then we may need to reduce manufacturing batch size to ensure that the material we produce will be used before it expires. In that case, the scaling of our production processes will not deliver the efficiencies we expect, and the cost per dose of our product candidates will be substantially higher. Furthermore, if our product candidates do not have established long-term stability, then we may incur significant additional expenses, such as costs for conducting more frequent manufacturing runs or potential disputes or issues that may arise in relation to the use of product candidates due to stability issues.
Risks Related to Our Intellectual Property
If our license agreement with NKMAX is terminated, we could lose our rights to key components enabling our NK cell technology platform.
On February 12, 2020, we entered into a license agreement, amended October 2021, April 2023 and August 1, 2023, with NKMAX (the “Intercompany License”). Pursuant to Intercompany License, NKMAX granted to us an exclusive (even to NKMAX and its affiliates), royalty-bearing, sublicensable license under certain patents and know-how related to NK cell therapy in any fields to (i) research, develop, manufacture, have manufactured, use and commercialize any NK cell pharmaceutical product, process, service or therapy or a combination of any of the forgoing with any other active ingredient, product or service (the “Licensed Products”) in all countries excluding the countries and territories in Asia (the “Licensed Territory”) and (ii) research, develop, manufacture and have manufactured Licensed Products outside of the Licensed Territory solely to support our rights in the Licensed Territory. We are reliant upon certain rights and proprietary technology provided to us under the Intercompany License for the production and development of certain of our product candidates, such as SNK01 and SNK02. We previously paid a non-refundable upfront fee of $1.0 million to NKMAX, and we are required to pay certain one-time milestone fees to NKMAX upon the first receipt of regulatory approval of a Licensed Product by us or any of our affiliates, which range from $1.0 million to $5.0 million, depending on the jurisdiction, in addition to a mid-single digit royalty on net sales of Licensed Products by us, our affiliates or our sublicensees, subject to customary reductions. See “Business — Licensing Agreements — NKMAX License” for more details. NKMAX may terminate the Intercompany License upon the occurrence of certain events, such as an uncured material breach by us, our failure to make any required payments under the Intercompany License or our insolvency. If NKMAX terminates the Intercompany License, we could lose the use of intellectual property rights that may be material or necessary to the development, production, or marketing of our product candidates, including SNK01 and SNK02, which could impede or prevent our successful commercialization of such product candidates and materially and adversely affect our business, financial condition, results of operations and growth prospects. If any of the foregoing were to occur, it could delay our development and commercialization of our product candidates, which in turn could materially and adversely affect our business, financial condition, results of operations and growth prospects.
We may need to license additional intellectual property from third parties, and any such licenses may not be available or may not be available on commercially reasonable terms.
The growth of our business may depend in part on our ability to acquire or in-license additional proprietary rights. For example, our programs may involve product candidates that may require the use of additional proprietary rights held by third parties. Our product candidates may also require specific formulations to work effectively and efficiently. These formulations may be covered by intellectual property rights held by others. We may develop products containing our compositions and pre-existing pharmaceutical compositions. These pharmaceutical products may be covered by intellectual property rights held by others. We may be required by the FDA, EMA or other foreign regulatory authorities to provide a companion diagnostic test or tests with our product candidates. These diagnostic test or tests may be covered by intellectual property rights held by others. We may be unable to acquire or in-license any relevant third-party intellectual property rights that we identify as necessary or important to our business operations. We may
 
42

TABLE OF CONTENTS
 
fail to obtain any of these licenses at a reasonable cost or on reasonable terms, if at all, which would harm our business. We may need to cease use of the compositions or methods covered by such third-party intellectual property rights, and may need to seek to develop alternative approaches that do not infringe on such intellectual property rights, which may entail additional costs and development delays, even if we were able to develop such alternatives, which may not be feasible. Even if we are able to obtain a license to such intellectual property rights, any such license may be non-exclusive, which may allow our competitors access to the same technologies licensed to us.
Our development and commercialization rights to our current and future product candidates and technology are subject, in part, to the terms and conditions of licenses granted to us by others.
We are a party to a variety of intellectual property license agreements with third parties and expect to enter into additional license agreements in the future. These license agreements provide us with access to certain rights and proprietary technology from third parties for the production and development of our current and future product candidates, including SNK01 and SNK02. However, these licenses may not provide exclusive rights to use such intellectual property and technology in all relevant fields of use and in all territories in which we choose to develop or commercialize our technology and product candidates in the future. As a result, we may not be able to prevent competitors from developing and commercializing competitive products in territories included in all of our licenses.
We also engage in collaborations or advisory partnerships with scientists at academic and non-profit institutions to access technologies and materials that are not otherwise available to us. Although the agreements that govern these collaborations or advisory partnerships may include an option to negotiate licenses to the institution’s rights in any inventions that are created in the course of these collaborations, we may not be able to come to a final agreement for an exclusive license with the institution.
We also have entered, and may in the future enter, into collaboration or license agreements with commercial entities to access technologies and materials that are not otherwise available to us. Our agreements with such entities may provide licenses to technology useful for the discovery, development, or commercialization of our product candidates. These licenses may in some instances, be non-exclusive.
Such licenses and other contracts may be the subject of disagreements with the grantors and/or various third parties regarding the interpretation of such licenses and contracts. The resolution of any such disagreements that may arise could affect the scope of our rights to the relevant technology, or affect financial or other obligations under the relevant agreement, either of which could inhibit our ability to utilize the underlying technology in a cost-effective manner to develop and commercialize our product candidates, which in turn could materially and adversely affect our business, financial condition, results of operations and growth prospects.
Our existing license agreements impose, and we expect that our future license agreements will impose, various diligence, milestone payment, royalty, insurance, indemnification and other obligations on us. Under certain circumstances such as a material breach of terms, our licensors could terminate our license agreements. If these in-licenses are terminated, or if the underlying patents fail to provide the intended exclusivity, competitors could have the freedom to seek regulatory approval of, and to market, products identical or similar to ours. In addition, we may seek to obtain additional licenses from our licensors and, in connection with obtaining such licenses, we may agree to amend our existing licenses in a manner that may be more favorable to the licensors, including by agreeing to terms that could enable third parties (potentially including our competitors) to receive licenses to a portion of the intellectual property that is subject to our existing licenses.
In addition, we may not have the right to control the preparation, filing, prosecution, maintenance, enforcement and defense of patents and patent applications directed to the technology that we license from third parties. Therefore, we cannot be certain that these patents and patent applications will be prepared, filed, prosecuted, maintained, enforced and defended in a manner consistent with our best interests. For example, if we do not have the right to control patent prosecution and maintenance of patents and patent applications directed to the technology that we license from licensors, such licensors could file terminal disclaimers and/or take other actions that could shorten the term of the patents or patent applications. If our licensors fail to prosecute, maintain, enforce and defend such patents, or lose rights to those patents or
 
43

TABLE OF CONTENTS
 
patent applications, the rights we have licensed may be reduced or eliminated, and our right to develop and commercialize any of our product candidates that are the subject of such licensed rights could be impaired. Additionally, we may be required to reimburse our licensors for all of their expenses related to the prosecution, maintenance, enforcement and defense of patents and patent applications that we in-license from them. Moreover, if these rights are narrowed or not enforced, third parties, including our competitors, may be able to compete with our products and technology.
Furthermore, our licensors may have relied on third-party consultants or collaborators or on funds from third parties such that our licensors are not the sole and exclusive owners of the patents we in-licensed. If other third parties have ownership rights to our in-licensed patents, they may be able to license such patents to our competitors, and our competitors could market competing products and technology. This could harm our competitive position, and our business.
Duration of patent terms may be inadequate to protect our competitive position on our product candidates for an adequate amount of time, and the expiration of our patents may subject us to increased competition.
As of September 30, 2023, the patent portfolio that is assigned to us, jointly owned with others or licensed to us includes issued patents in the United States and Mexico, and pending patent applications in the United States, Brazil, Canada, Chile, Egypt, Europe, Mexico, South Africa and Ukraine across our platform, SNK01, SNK02 and their patent families. Our portfolio of issued patents, excluding pending patent applications, has expected expiration dates between approximately June 2033 and January 2039. Our portfolio, including issued patents, and including pending non-provisional applications (including Patent Cooperation Treaty (“PCT”) applications) if they are issued, has expected expiration dates between approximately May 2033 and August 2043. Various events, such as patent term adjustment, patent term extension, or disclaimers, may alter the expiration dates. We may file additional patent applications directed to our SNK01 and SNK02 product candidates. However, we can provide no assurance that we will be able to file or receive additional patent protection for these or other product candidates.
Patent expiration dates may be shortened or lengthened by a number of factors, including terminal disclaimers, patent term adjustments, supplemental protection certificates and patent term extensions. Patent term extensions and supplemental protection certificates, filing prior to the full one-year period for conversion of a provisional, and the like, may be impacted by the regulatory process and may not significantly lengthen patent term. Our patent protection could also be reduced or eliminated for noncompliance with various procedural, document submission, fee payment and other requirements imposed by government patent agencies. In addition, if we or our licensors fail to apply for applicable patent term extensions or adjustments, we will have a more limited time during which we can enforce our or our licensors granted patent rights.
Given the amount of time required for the development, testing and regulatory review of product candidates, patents protecting such candidates might expire before or shortly after such product candidates are commercialized. We may be able to seek extensions of patent terms in the United States and, if available, in other countries where we have or will obtain patent rights. In the United States, the Drug Price Competition and Patent Term Restoration Act of 1984 permits a patent term extension of up to five years beyond the normal expiration of the patent; provided that the patent is not enforceable for more than 14 years from the date of drug approval, which is limited to the approved indication (or any additional indications approved during the period of extension). Furthermore, only one patent per approved product can be extended and only those claims directed to the approved product, a method for using it or a method for manufacturing it may be extended. However, the applicable authorities, including the FDA and the United States Patent and Trademark Office (the “USPTO”) in the United States, and any equivalent regulatory authority in other countries, may not agree with our assessment of whether such extensions are available, and may refuse to grant extensions to our patents, or may grant more limited extensions than we request. We may not have the right to seek extensions of patents that are in-licensed to us, or if such licenses are terminated, we may not have rights to any patents eligible for extension. If we are responsible for patent prosecution and maintenance of patent rights in-licensed to us, we could be exposed to liability to the applicable patent owner. If we or our licensors fail to maintain the patents and patent applications directed to our product candidates and technologies, we may not be able to prevent a competitor from marketing products that are the same as or similar to our product candidates. Further, others commercializing products similar or identical to ours,
 
44

TABLE OF CONTENTS
 
and our competitors may be able to take advantage of our investment in development and clinical trials by referencing our clinical and preclinical data and launch their product earlier than might otherwise be the case, which could increase competition for our product candidates and materially and adversely affect our business, financial condition, results of operations and growth prospects.
If any patent protection we or our licensors obtain is not sufficiently robust, our competitors could develop and commercialize products and technology similar or identical to ours.
The market for cell therapy is highly competitive and subject to rapid technological change. Our success depends, in large part, on our ability to maintain a competitive position in the development and protection of technologies and products for use in these fields and to obtain and maintain or license patent protection in the United States and other countries with respect to our product candidates and our technology. We may protect our proprietary position by filing patent applications in the United States and abroad related to our product candidates and our technology that are important to our business. If we are unable to protect our intellectual property, our competitive position could be materially and adversely affected, as third parties may be able to make, use or sell products and technologies that are substantially the same as ours without incurring the sizeable development and licensing costs that we have incurred. This, in turn, would materially and adversely affect our ability to compete in the market.
The patent position of biotechnology and pharmaceutical companies generally is uncertain, involves complex legal and factual questions and has, in recent years, been the subject of much litigation. As a result, the issuance, scope, validity, enforceability and commercial value of our patent rights are highly uncertain. Our in-licensed pending and future patent applications may not result in patents being issued that protect our technology or product candidates or effectively prevent others from commercializing competitive technologies and product candidates.
The patent prosecution process is expensive, time-consuming and complex, and we may not be able to file, prosecute, maintain, or license all necessary or desirable patent applications at a reasonable cost or in a timely manner. We also may fail to identify patentable aspects of our research and development output, or may identify patentable aspects of our research and development output once it is too late to obtain patent protection.
Claim scope in a patent application can be significantly reduced before the patent is issued, and its scope can be reinterpreted after issuance. Even if the patent applications we license or own do issue as patents, they may not issue in a form that will provide us with any meaningful protection, prevent competitors or other third parties from competing with us or otherwise provide us with any competitive advantage. Our competitors or other third parties may be able to circumvent our patents by developing similar or alternative products in a non-infringing manner.
Even after issuance, our in-licensed patents or patents we obtain the future may be subject to challenge, which if successful could require us to obtain licenses from third parties, which may not be available on commercially reasonable terms or at all, or to cease the use of the underlying technology, which could materially and adversely affect our business.
The issuance of a patent is not conclusive as to its inventorship, scope, validity or enforceability, and our or our licensors’ patents, even after issuance, may be challenged in the courts or patent offices in the United States and abroad. Third-party challenges may result in a loss of exclusivity or in our or our licensors’ patent claims being narrowed, invalidated or held unenforceable, which could limit our ability to prevent others from using or commercializing similar or identical technology and products, or could limit the duration of the patent protection of our technology and product candidates.
Even if our patents are determined to be valid and enforceable, they may not be interpreted sufficiently broadly to prevent others from marketing products similar to ours or designing around our or our licensors’ patents.
We may not identify relevant third-party patents or may incorrectly interpret the relevance, scope or expiration of a third-party patent, which could materially and adversely affect our ability to develop, manufacture and market our product candidates.
There are many patents issued or applied for in the biotechnology industry, and we may not be aware of patents or patent applications held by others that relate to our business. We cannot guarantee that any of
 
45

TABLE OF CONTENTS
 
our or our licensors’ patent searches or analyses, including, but not limited to, the identification of relevant patents, analysis of the scope of relevant patent claims or determination of the expiration of relevant patents, are complete or thorough, nor can we be certain that we have identified each and every third-party patent and pending application in the United States and elsewhere that is relevant to or necessary for the development and commercialization of our product candidates in any jurisdiction.
For example, patent applications in the United States and many international jurisdictions are typically not published until 18 months after the filing of certain priority documents (or, in some cases, are not published until they issue as patents) and publications in the scientific literature often lag behind actual discoveries. Thus, we cannot be certain that others have not filed patent applications or made public disclosures relating to our technology or our contemplated technology. A third party may have filed, and may in the future file, patent applications directed to our product candidates or technology similar to ours or that of our licensors. Any such patent application may have an earlier priority date than our patent applications or patents, or those of our licensors, which could further require us to obtain rights to patents directed to such technologies. Under certain circumstances, if third parties have filed such patent applications, an interference proceeding in the United States can be initiated by any such third party, or by the USPTO itself, to determine who was the first to invent any of the subject matter recited by the patent claims of our applications or issued patents.
Furthermore, after issuance, the scope of patent claims remains subject to construction as determined by an interpretation of the law, the written disclosure in a patent and the patent’s prosecution history. Our interpretation of the relevance or the scope of a patent or a pending application may be incorrect, and we may incorrectly determine that our product candidates or technology are not covered by a third party’s patent or may incorrectly predict whether a third party’s pending application will issue with claims of relevant scope. Our determination of the expiration date of any patent in the United States or elsewhere that we consider relevant may also be incorrect. If we fail to correctly identify or interpret relevant patents, we may be subject to infringement claims. We cannot guarantee that we will be able to successfully settle or otherwise resolve such infringement claims. If we fail in any such dispute, in addition to being forced to pay monetary damages, we may be temporarily or permanently prohibited from commercializing our product candidates. We may also be forced to attempt to redesign our product candidates or technology in a manner that no longer infringes third-party intellectual property rights. Any of these events, even if we were ultimately to prevail, could require us to divert substantial financial and management resources that we would otherwise be able to devote to the development and commercialization of our product candidates.
Claims brought against us for infringing, misappropriating or otherwise violating intellectual property rights of third parties or engaging in unfair competition, would be costly and time-consuming and could prevent or delay us from successfully developing or commercializing our product candidates.
Our success depends in part on our ability to develop, manufacture and market our technology and use our technology without infringing the proprietary rights of third parties. We or our collaborators may be subject to third-party claims that could cause us to incur substantial expenses to defend and these claims, if successful, could require us to pay substantial damages and/or limit our ability to commercialize our product candidates if we or our collaborators are found to be infringing a third party’s intellectual property rights.
There are third-party patents and patent applications that may relate to the areas in which we are developing product candidates. Additionally, as our industry expands and more patents are issued, the risk increases that there may be patents issued to third parties that relate to our product candidates and technology of which we are not aware or that we may need to challenge to continue our operations as currently contemplated. As a result, our technology and any future products that we commercialize could be alleged to infringe patent rights or other proprietary rights of third parties, which may require costly litigation and, if we are not successful in defending against such litigation, could cause us to pay substantial damages and/or limit our ability to commercialize our product candidates. Issued patents are entitled to a presumption of validity in many countries, including the United States and many European countries, and issued patents held by others that claim our technology or any of our product candidates may limit our ability to commercialize our product candidates, unless and until these patents expire or are declared invalid or unenforceable in a court of applicable jurisdiction, if we do not obtain a license or other right to practice the claimed inventions.
 
46

TABLE OF CONTENTS
 
We employ individuals who were previously employed at other biotechnology or pharmaceutical companies, including our competitors or potential competitors. While such employees are prohibited from disclosing to us confidential information belonging to their former employers, we may be subject to claims that these employees, or we, have used or disclosed trade secrets or other proprietary information of their former employers.
Third parties could threaten or initiate litigation or other legal proceedings alleging that we have infringed their patents, trade secrets, trademarks or other intellectual property rights. Litigation may make it necessary to defend ourselves by determining the scope, enforceability and validity of third-party proprietary rights, or to establish our proprietary rights. Regardless of whether any such claims that we are infringing patents or other intellectual property rights have merit, such claims can be time-consuming, divert management attention and financial resources and are costly to evaluate and defend.
Results of any such litigation are difficult to predict and may require us to stop treating certain conditions, obtain licenses or modify our product candidates or technology while we develop non-infringing substitutes, or may result in significant settlement costs. Litigation can involve substantial damages for infringement (and if the court finds that the infringement was willful, we could be ordered to pay treble damages and the patent owner’s attorneys’ fees), and the court could prohibit us from selling our product candidates or require us to take a license from a third party, which the third party is not required to do at a commercially reasonable price or at all. If a license is available from a third party, we may have to pay substantial royalties, upfront fees, or milestone fees, or grant cross-licenses to intellectual property rights for our product candidates or technology. We may also have to redesign our product candidates or technology so they do not infringe third-party intellectual property rights, which may not be possible or may require substantial monetary expenditures and time, during which our product candidates may not be available for manufacture, use, or sale.
We may not be able to effectively monitor unauthorized use of our intellectual property and enforce our or our in-licensed intellectual property rights against infringement, and may incur substantial costs as a result of bringing litigation or other proceedings relating to our or our in-licensed intellectual property rights.
Monitoring unauthorized use of our intellectual property is difficult and costly. We may not be able to detect unauthorized use of, or take appropriate steps to enforce, our intellectual property rights. Any inability to meaningfully monitor unauthorized use of our intellectual property could result in competitors offering products that incorporate our product candidates or service features, which could in turn reduce demand for our products.
We may also, from time to time, seek to enforce our intellectual property rights against infringers when we determine that a successful outcome is probable and may lead to an increase in the value of the intellectual property.
If we choose to enforce our patent rights against a party, that party could counterclaim that our patent is invalid and/or unenforceable. The defendant may challenge our or our licensors’ patents through proceedings before the Patent Trial and Appeal Board (“PTAB”), including inter partes and post-grant review. Proceedings to challenge patents are also available internationally, including, for example, opposition proceedings and nullity actions. In patent litigation in the United States, counterclaims alleging invalidity and/or unenforceability and PTAB challenges are commonplace. Grounds for a validity challenge could be an alleged failure to meet any of several statutory requirements, including lack of patentable subject matter, lack of novelty, lack of obviousness, lack of written description, or non-enablement. Grounds for an unenforceability assertion could be an allegation that someone connected with prosecution of the patent withheld relevant information from the USPTO, or made a misleading statement, during prosecution. Third parties may also raise similar claims before the PTAB, even outside the context of litigation. The outcome following legal assertions of invalidity and unenforceability is unpredictable. With respect to the validity question, for example, we cannot be certain that there is no invalidating prior art, of which we, our licensors, and the patent examiner were unaware during prosecution. If a defendant were to prevail on a legal assertion of invalidity and/or unenforceability, we may lose at least part, and perhaps all, of the patent protection on our product candidates.
 
47

TABLE OF CONTENTS
 
In addition, such lawsuits and proceedings are expensive and would consume time and resources and divert the attention of managerial and scientific personnel even if we were successful in stopping the infringement of such patents. Litigation is inherently unpredictable, and there is a risk that the court will decide that such patents are not valid and that we do not have the right to stop the other party from using the inventions. Furthermore, some of our competitors may be able to sustain the costs of complex patent litigation more effectively than we can because they have substantially greater resources. There is also the risk that, even if the validity of such patents is upheld, the court will refuse to stop the other party on the ground that such other party’s activities do not infringe our intellectual property rights.
Pharmaceutical products are vulnerable to counterfeiting. If our product candidates are approved and commercialized, third parties may illegally produce and distribute counterfeit versions of our products that are below the various manufacturing and testing standards that our products undergo. Counterfeit pharmaceutical products are often unsafe, ineffective and potentially life-threatening. As many counterfeit products may be visually indistinguishable from their authentic versions, the presence of counterfeit products could affect overall consumer confidence in the authentic product. A public loss of confidence in the integrity of pharmaceutical products in general or in any of our products in particular due to counterfeiting could have a material adverse effect on our business, prospects, financial condition and results of operations. In addition, we may also be subject to potential legal disputes and/or regulatory proceedings that may divert our management’s attention and resources, which could have a material adverse impact on our financial position.
There could also be public announcements of the results of hearings, motions or other interim proceedings or developments, and if securities analysts or investors perceive these results to be negative, it could materially adversely affect the price of our common stock. Finally, any uncertainties resulting from the initiation and continuation of any litigation could materially and adversely affect our ability to raise the funds necessary to continue our operations.
We and our licensors will not seek to protect our intellectual property rights in all jurisdictions throughout the world and we may not be able to adequately enforce our intellectual property rights even in the jurisdictions where we seek protection.
We in-license a number of international patents and patent applications and expect our licensors to continue to pursue patent protection in many of the significant markets in which we intend to do business. However, filing, prosecuting and defending patents relating to our product candidates and technology, including all of our in-licensed patent rights, in all countries throughout the world would be prohibitively expensive. We and our licensors must ultimately seek patent protection on a country-by-country basis, which is an expensive and time-consuming process with uncertain outcomes. Accordingly, we or our licensors may choose not to seek patent protection in certain countries, and we will not have the benefit of patent protection in such countries.
Furthermore, the protection offered by intellectual property rights in certain countries outside of the United States may be less extensive than those in the United States. Consequently, we may not be able to prevent third parties from utilizing proprietary technology in all countries outside of the United States, even if we or our licensors pursue and obtain issued patents in particular foreign jurisdictions, or from selling or importing products made using our proprietary technology in and into the United States or other jurisdictions. Such products may compete with our products, and our or in-licensed patent rights or our other intellectual property rights may not be effective or sufficient to prevent them from competing. If such competing products arise in jurisdictions where we are unable to exercise intellectual property rights to combat them, our business, financial condition, results of operations and growth prospects could be materially and adversely affected.
Changes in U.S. patent law or the patent law of other jurisdictions could decrease the certainty of our or our licensors’ ability to obtain patents and diminish the value of patents in general, thereby impairing our ability to protect our current and any future product candidates.
The U.S. Supreme Court and the Court of Appeals for the Federal Circuit have made, and will likely continue to make, changes in how the patent laws of the United States are interpreted. For example, in recent years the U.S. Supreme Court modified some tests used by the USPTO in granting patents over the
 
48

TABLE OF CONTENTS
 
past 20 years, which may decrease the likelihood that we or our licensors will be able to obtain patents and increase the likelihood of a challenge of any patents we obtain or license. Similarly, international courts have made, and will likely continue to make, changes in how the patent laws in their respective jurisdictions are interpreted. Those changes may materially and adversely affect our patent rights and our or our licensors’ ability to obtain issued patents.
Changes in either the patent laws or interpretation of the patent laws in the United States could increase the uncertainties and costs surrounding the prosecution of patent applications and the enforcement or defense of issued patents. For instance, the Leahy-Smith America Invents Act (the “America Invents Act”), enacted in 2011, included a number of significant changes to patent law in the United States. Many of the substantive changes to patent law under the America Invents Act came into effect in March 2013. For example, in March 2013, the United States transitioned from a “first-to-invent” patent system to a patent system in which, assuming that other requirements for patentability are met, the first inventor to file a patent application is entitled to the patent on an invention regardless of whether a third party was the first to invent the claimed invention. The America Invents Act also included a number of significant changes that affect the way patent applications are prosecuted and how issued patents may be challenged, such as allowing third-party submission of prior art to the USPTO during patent prosecution and new post-grant administrative proceedings which can be used by third parties to attack the validity of an issued patent, including post-grant review, inter partes review and derivation proceedings. The America Invents Act and its implementation could increase the uncertainties and/or costs surrounding the prosecution of our or our licensors’ patent applications and the enforcement or defense of our in-licensed issued patents, all of which could materially and adversely affect our business, financial condition, results of operations and growth prospects.
In addition, the U.S. Supreme Court has ruled on several patent cases in recent years, either narrowing the scope of patent protection available in certain circumstances or weakening the rights of patent owners in certain situations. In addition to increasing uncertainty with regard to our or our licensors’ ability to obtain patents in the future, this combination of events has created uncertainty with respect to the value of patents, once obtained. Depending on actions by the U.S. Congress, the federal courts and the USPTO, the laws and regulations governing patents could change in unpredictable ways that could weaken our ability to obtain new patents or to enforce patents that we have licensed or might obtain in the future.
Similarly, changes in patent law and regulations in other countries or jurisdictions, changes in the governmental bodies that enforce them or changes in how the relevant governmental authority enforces patent laws or regulations may weaken our or our licensors’ ability to obtain new patents or to enforce patents that we have licensed or that we may obtain in the future, which in turn could materially adversely affect our business, financial condition, results of operations and growth prospects. For example, the complexity and uncertainty of European patent laws have also increased in recent years. In Europe, a new unitary patent system will take effect on June 1, 2023, which will significantly impact European patents, including those granted before the introduction of such a system. Under the unitary patent system, European patent applications will have the option, upon grant of a patent, of becoming a Unitary Patent, which will be subject to the jurisdiction of the Unitary Patent Court (the “UPC”). As the UPC is a new court system, there is no precedent for the court or any decisions that it may take, increasing the uncertainty of any litigation. Existing European patents that have not lapsed as of June 1, 2023 and for which no action has been filed before the UPC will have the option of opting out of the jurisdiction of the UPC and remaining as national patents in the UPC countries. Patents under the jurisdiction of the UPC will be potentially vulnerable to a single UPC-based revocation challenge that, if successful, could invalidate the patent in all countries that have ratified the UPC agreement. We cannot predict with certainty the long-term effects of any potential changes.
We may fail to obtain or enforce assignments of intellectual property rights from our employees and contractors.
While it is our policy to require our employees and contractors who may be involved in the conception or development of intellectual property to execute agreements assigning such intellectual property to us, we may be unsuccessful in executing an enforceable agreement with each party who in fact conceives or develops intellectual property that we regard as our own. Furthermore, our assignment agreements may not be self-executing or may be breached, and we may be forced to bring or defend claims to determine the
 
49

TABLE OF CONTENTS
 
ownership of what we regard as our intellectual property, and we may not be successful in such claims. If we fail to obtain agreements assigning intellectual property rights or in bringing or defending any such claims, in addition to paying monetary damages, we may lose valuable intellectual property rights. Such an outcome could materially adversely affect our business, financial condition, results of operations and growth prospects. Even if we are successful in defending against such claims, litigation could result in substantial costs and distraction to management and other employees.
If we are not able to adequately prevent disclosure of trade secrets and other proprietary information, the value of our technology and product candidates could be materially diminished.
Trade secrets are difficult to protect. We may rely on trade secrets to protect our proprietary information and technologies, especially where we do not believe patent protection is appropriate or obtainable, or where such patents would be difficult to enforce. We rely in part on confidentiality agreements with our employees, consultants, contractors, collaboration partners, scientific collaborators, and other advisors to protect our trade secrets and other proprietary information. We cannot guarantee that we have entered into such agreements with each party that may have had access to our proprietary information or technologies, or that such agreements, even if in place, will not be circumvented. These agreements may not effectively prevent disclosure of proprietary information or technology and may not provide an adequate remedy in the event of unauthorized disclosure of such information or technology. In addition, others may independently discover our trade secrets and proprietary information, in which case we may have no right to prevent them from using such trade secrets or proprietary information to compete with us. Costly and time-consuming litigation could be necessary to enforce and determine the scope of our proprietary rights, and failure to obtain or maintain trade secret protection could materially adversely affect our business, financial condition, results of operations and growth prospects.
General Risk Factors
Our business is affected by macroeconomic conditions, including rising inflation, interest rates and supply chain constraints.
Various macroeconomic factors could adversely affect our business, results of operations and financial condition, including changes in inflation, interest rates and overall economic conditions and uncertainties, such as those resulting from the current and future conditions in the banking system and the global financial markets. For instance, inflation has negatively impacted us and could continue to negatively impact us by increasing our cost of labor (through higher wages), commercial support, construction, manufacturing and clinical supply expenditures. See above the subsection titled under “— Risks Related to Manufacturing” above for the risks related to the impact of inflation on the construction of our commercial-scale manufacturing facility. Current inflationary pressures, if sustained, could have a negative impact on our operations. In addition, interest rates, the liquidity of the credit markets and the volatility of the capital markets could also affect our ability to raise capital in order to fund our operations, if needed. Financial conditions affecting the banking system and financial markets may threaten our ability to access our cash, as well as our access to letters of credit or other funding necessary to support our business, which may require us to find additional sources of cash or funding on short notice. Similarly, these macroeconomic factors could affect the ability of our third-party manufacturers, contractors or suppliers to manufacture materials required for our product candidates on a cost-effective basis, if at all.
Any acquisitions or strategic collaborations may increase our capital requirements, dilute our stockholders, cause us to incur debt or assume contingent liabilities or subject us to other risks.
From time to time, we may evaluate various acquisitions and strategic collaborations, including licensing or acquiring complementary drugs, intellectual property rights, technologies or businesses. Any potential acquisition or strategic partnership may entail numerous risks, including, but not limited to:

increased operating expenses and cash requirements;

the assumption of indebtedness or contingent or unknown liabilities;

assimilation of operations, intellectual property and drugs of an acquired company, including difficulties associated with integrating new personnel;
 
50

TABLE OF CONTENTS
 

adequately prosecuting and maintaining protection of any acquired intellectual property rights;

the diversion of our management’s attention from our existing drug programs and initiatives in pursuing such a strategic partnership, merger or acquisition;

retention of key employees, the loss of key personnel, and uncertainties about our ability to maintain key business relationships;

risks and uncertainties associated with the other party to such a transaction, including the prospects of that party and their existing drugs or product candidates and regulatory approvals; and

our inability to generate revenue from acquired drugs, intellectual property rights, technologies, and/or businesses sufficient to meet our objectives in undertaking the acquisition or even to offset the associated acquisition and maintenance costs.
In addition, if we engage in acquisitions or strategic partnerships, we may issue dilutive securities, assume or incur debt obligations, incur large one-time expenses or acquire intangible assets that could result in significant future amortization expense. Moreover, we may not be able to locate suitable acquisition or strategic partnership opportunities, and this inability could impair our growth or limit access to technology or drugs that may be important to the development of our business.
Changes to, or interpretations of, financial accounting standards may affect our results of operations and could cause us to change our business practices.
We prepare our financial statements in accordance with GAAP. These accounting principles are subject to interpretation by the Financial Accounting Standards Board, the SEC and various bodies formed to interpret and create accounting rules and regulations. Changes in accounting rules can have a significant effect on our reported financial results and may affect our reporting of transactions completed before a change is announced. Changes to those rules or the questioning of current practices may materially adversely affect our financial results, including those contained in this filing, or the way we conduct our business.
If our information technology systems or data, or those of third parties upon which we rely, are or were compromised, we could experience adverse consequences resulting from such compromise, including but not limited to regulatory investigations or actions, litigation, fines and penalties, disruptions of our business operations, reputational harm, loss of revenue or profits, and other adverse consequences.
In the ordinary course of our business, we and the third parties upon which we rely process sensitive data, and, as a result, we and the third parties upon which we rely face a variety of evolving threats, including but not limited to ransomware attacks, which could cause security incidents. Cyber-attacks, malicious internet-based activity, online and offline fraud, and other similar activities threaten the confidentiality, integrity, and availability of our sensitive data and information technology systems, and those of the third parties upon which we rely. Such threats are prevalent and continue to rise, are increasingly difficult to detect, and come from a variety of sources, including traditional computer “hackers,” threat actors, “hacktivists,” organized criminal threat actors, personnel (such as through theft or misuse), sophisticated nation states, and nation-state-supported actors.
Some actors now engage and are expected to continue to engage in cyber-attacks, including without limitation nation-state actors for geopolitical reasons and in conjunction with military conflicts and defense activities. During times of war and other major conflicts, we and the third parties upon which we rely may be vulnerable to a heightened risk of these attacks, including retaliatory cyber-attacks that could materially disrupt our systems and operations, supply chain, and ability to develop and commercialize our product candidates.
We and the third parties upon which we rely are subject to a variety of evolving threats, including but not limited to social-engineering attacks (including through phishing attacks), malicious code (such as viruses and worms), malware (including as a result of advanced persistent threat intrusions), denial-of-service attacks (such as credential stuffing), credential harvesting, personnel misconduct or error, ransomware attacks, supply-chain attacks, software bugs, server malfunctions, software or hardware failures, loss of data or other information technology assets, adware, telecommunications failures, earthquakes, fires, floods, and other similar threats.
 
51

TABLE OF CONTENTS
 
In particular, severe ransomware attacks are becoming increasingly prevalent and can lead to significant interruptions in our operations, loss of sensitive data and income, reputational harm, and diversion of funds. Extortion payments may alleviate the negative impact of a ransomware attack, but we may be unwilling or unable to make such payments due to, for example, applicable laws or regulations prohibiting such payments.
Remote work has become more common and has increased risks to our information technology systems and data, as more of our employees utilize network connections, computers, and devices outside our premises or network, including working at home, while in transit and in public locations. Additionally, future or past business transactions (such as acquisitions or integrations) could expose us to additional cybersecurity risks and vulnerabilities, as our systems could be negatively affected by vulnerabilities present in acquired or integrated entities’ systems and technologies. Furthermore, we may discover security issues that were not found during due diligence of such acquired or integrated entities, and it may be difficult to integrate companies into our information technology environment and security program.
In addition, our reliance on third-party service providers could introduce new cybersecurity risks and vulnerabilities, including supply-chain attacks, and other threats to our business operations. We rely on third-party service providers and technologies to operate critical business systems to process sensitive data in a variety of contexts, including, without limitation, cloud-based infrastructure, data center facilities, encryption and authentication technology, employee email, and other functions. We also rely on third-party service providers to provide other products, services, parts, or otherwise to operate our business. Our ability to monitor these third parties’ information security practices is limited, and these third parties may not have adequate information security measures in place. If our third-party service providers experience a security incident or other interruption, we could experience adverse consequences. While we may be entitled to damages if our third-party service providers fail to satisfy their privacy or security-related obligations to us, any award may be insufficient to cover our damages, or we may be unable to recover such award. In addition, supply-chain attacks have increased in frequency and severity, and we cannot guarantee that third parties’ infrastructure in our supply chain or our third-party partners’ supply chains have not been compromised.
Any of the previously identified or similar threats could cause a security incident or other interruption that could result in unauthorized, unlawful, or accidental acquisition, modification, destruction, loss, alteration, encryption, disclosure of, or access to our sensitive data or our information technology systems, or those of the third parties upon whom we rely. A security incident or other interruption could disrupt our ability (and that of third parties upon whom we rely) to develop and commercialize our product candidates and operate our business.
We may expend significant resources or modify our business activities (including our clinical trial activities) to try to protect against security incidents. Additionally, certain data privacy and security obligations may require us to implement and maintain specific security measures or industry-standard or reasonable security measures to protect our information technology systems and sensitive data.
While we have implemented security measures designed to protect against security incidents, there can be no assurance that these measures will be effective. We take steps to detect and remediate vulnerabilities, but we may not be able to detect and remediate all vulnerabilities because the threats and techniques used to exploit the vulnerability change frequently and are often sophisticated in nature. Therefore, such vulnerabilities could be exploited but may not be detected until after a security incident has occurred. These vulnerabilities pose material risks to our business. Further, we may experience delays in developing and deploying remedial measures designed to address any such identified vulnerabilities.
Applicable data privacy and security obligations may require us to notify relevant stakeholders of security incidents. Such disclosures are costly, and the disclosure or the failure to comply with such requirements could lead to adverse consequences. If we (or a third party upon whom we rely) experience a security incident or are perceived to have experienced a security incident, we may experience adverse consequences, such as government enforcement actions (for example, investigations, fines, penalties, audits, and inspections); additional reporting requirements and/or oversight; restrictions on processing sensitive data (including personal data); litigation (including class claims); indemnification obligations; negative publicity; reputational harm; monetary fund diversions; interruptions in our operations (including availability of
 
52

TABLE OF CONTENTS
 
data); financial loss; and other similar harms. Security incidents and attendant consequences may negatively impact our ability to grow and operate our business.
Our contracts may not contain limitations of liability, and even where they do, there can be no assurance that limitations of liability in our contracts are sufficient to protect us from liabilities, damages, or claims related to our data privacy and security obligations. We cannot be sure that our insurance coverage will be adequate or sufficient to protect us from or to mitigate liabilities arising out of our privacy and security practices, that such coverage will continue to be available on commercially reasonable terms or at all, or that such coverage will pay future claims.
In addition to experiencing a security incident, third parties may gather, collect, or infer sensitive information about us from public sources, data brokers, or other means that reveals competitively sensitive details about our organization and could be used to undermine our competitive advantage or market position.
Risks Related to Ownership of Our Securities
We are an “emerging growth company” and “smaller reporting company” within the meaning of the Securities Act and if it takes advantage of certain exemptions from disclosure requirements available to emerging growth companies, it could make our securities less attractive to investors and may make it more difficult to compare our performance to the performance of other public companies.
We are an “emerging growth company” as defined in Section 2(a)(19) of the Securities Act, as modified by the JOBS Act. As such, we are eligible for and intends to take advantage of certain exemptions from various reporting requirements applicable to other public companies that are not emerging growth companies for as long as it continues to be an emerging growth company, including, but not limited to, (a) not being required to comply with the auditor attestation requirements of Section 404 of the Sarbanes-Oxley Act, (b) reduced disclosure obligations regarding executive compensation in our periodic reports and proxy statements and (c) exemptions from the requirements of holding a nonbinding advisory vote on executive compensation and stockholder approval of any golden parachute payments not previously approved. As a result, our stockholders may not have access to certain information they may deem important. We will remain an emerging growth company until the earliest of (i) the last day of the fiscal year in which the market value of shares of common stock that are held by non-affiliates exceeds $700 million as of June 30 of that fiscal year, (ii) the last day of the fiscal year in which it has total annual gross revenue of $1.235 billion or more during such fiscal year (as indexed for inflation), (iii) the date on which it has issued more than $1 billion in non-convertible debt in the prior three-year period or (iv) December 31, 2026, which is the last day of the fiscal year following the fifth anniversary of the date of the first sale of common stock in Graf’s IPO. We cannot predict whether investors will find our securities less attractive because it will rely on these exemptions. If some investors find our securities less attractive as a result of its reliance on these exemptions, the trading prices of our securities may be lower than they otherwise would be, there may be a less active trading market for our securities and the trading prices of our securities may be more volatile.
Further, Section 102(b)(1) of the JOBS Act exempts emerging growth companies from being required to comply with new or revised financial accounting standards until private companies (that is, those that have not had a Securities Act registration statement declared effective or do not have a class of securities registered under the Exchange Act) are required to comply with the new or revised financial accounting standards. The JOBS Act provides that a company can elect to opt out of the extended transition period and comply with the requirements that apply to non-emerging growth companies but any such election to opt out is irrevocable. We have elected not to opt out of such extended transition period, which means that when a standard is issued or revised and it has different application dates for public or private companies, we, as an emerging growth company, can adopt the new or revised standard at the time private companies adopt the new or revised standard. This may make comparison of our financial statements with another public company which is neither an emerging growth company nor an emerging growth company which has opted out of using the extended transition period difficult or impossible because of the potential differences in accounting standards used.
As an emerging growth company, we may also take advantage of certain exemptions from various reporting requirements that are applicable to other public companies that are not emerging growth companies including, but not limited to, not being required to obtain an assessment of the effectiveness of our
 
53

TABLE OF CONTENTS
 
internal controls over financial reporting from our independent registered public accounting firm pursuant to Section 404 of the Sarbanes-Oxley Act, reduced disclosure obligations regarding executive compensation in our periodic reports and proxy statements and exemptions from the requirements of holding a nonbinding advisory vote on executive compensation and stockholder approval of any golden parachute payments not previously approved. We cannot predict if investors will find our shares of common stock less attractive because we will rely on these exemptions. If some investors find our shares of common stock less attractive as a result, there may be a less active market for our shares of common stock and our share price may be more volatile.
Additionally, we qualify as a “smaller reporting company” as defined in Item 10(f)(1) of Regulation S-K. Smaller reporting companies may take advantage of certain reduced disclosure obligations, including, among other things, providing only two years of audited financial statements. We expect that we will remain a smaller reporting company until the last day of any fiscal year for so long as either (a) the market value of the NKGen common stock held by non-affiliates does not equal or exceed $250 million as of the end of that year’s second quarter, or (b) our annual revenues did not equal or exceed $100 million during such completed fiscal year and the market value of our common stock held by non-affiliates did not equal or exceed $700 million as of the end of that year’s second quarter. To the extent we take advantage of such reduced disclosure obligations, it may also make comparison of our financial statements with other public companies difficult or impossible.
Our stock price may be volatile and may decline regardless of its operating performance.
The market price of our common stock may fluctuate significantly in response to numerous factors and may continue to fluctuate for these and other reasons, many of which are beyond our control, including, but not limited to:

actual or anticipated fluctuations in our revenue and results of operations;

any financial projections we may provide to the public in the future, any changes in these projections or its failure to meet these projections;

failure of securities analysts to initiate and maintain our coverage, changes in financial estimates or ratings by any securities analysts who follow us or its failure to meet these estimates or the expectations of investors;

announcements by us or our competitors of significant technical innovations, acquisitions, strategic partnerships, joint ventures, results of operations or capital commitments;

changes in operating performance and stock market valuations of other life sciences companies generally, or those in the biotechnology industry in particular;

price and volume fluctuations in the overall stock market, including as a result of trends in the economy as a whole;

trading volume of our common stock;

the inclusion, exclusion or removal of our common stock from any indices;

changes in the NKGen Board or management;

transactions in NKGen common stock by directors, officers, affiliates and other major investors;

lawsuits threatened or filed against us;

changes in laws or regulations applicable to our business;

changes in our capital structure, such as future issuances of debt or equity securities;

short sales, hedging and other derivative transactions involving our capital stock;

general economic conditions in the United States and other markets in which we operate;

pandemics or other public health crises, including, but not limited to, the COVID-19 pandemic (including additional variants);
 
54

TABLE OF CONTENTS
 

other events or factors, including those resulting from war, incidents of terrorism or responses to these events; and

the other factors described in this “Risk Factors” section.
The stock market has recently experienced extreme price and volume fluctuations. The market prices of securities of companies have experienced fluctuations that often have been unrelated or disproportionate to their operating results. In the past, stockholders have sometimes instituted securities class action litigation against companies following periods of volatility in the market price of their securities. Any similar litigation against us could result in substantial costs, divert management’s attention and resources and harm its business, financial condition and results of operations.
We may be unable to maintain the listing of our securities on Nasdaq in the future.
Our common stock and public warrants are currently listed on the Nasdaq. However, we cannot guarantee that our securities will continue to be listed on Nasdaq. If we fail to meet the requirements of the applicable listing rules, such failure may result in a suspension of the trading of our shares or delisting in the future. In the event of a delisting, we can provide no assurance that any action taken by us to restore compliance with listing requirements would allow our securities to become listed again, stabilize the market price or improve the liquidity of our securities, prevent our securities from dropping below the minimum share price requirement or prevent future non-compliance with the listing requirements. This may further result in legal or regulatory proceedings, fines and other penalties, legal liability for us, the inability for our stockholders to trade their shares and negatively impact our share price, reputation, operations and financial position, as well as our ability to conduct future fundraising activities. If Nasdaq delists our securities and we are not able to list our securities on another national securities exchange, we expect that our securities could be quoted on an over-the-counter market. If this were to occur, we could face significant material adverse consequences, including but not limited to:

a limited availability of market quotations for our securities;

reduced liquidity for our securities;

a limited amount of news and analyst coverage for the company; and

a decreased ability to issue additional securities or obtain additional financing in the future.
An active trading market for our common stock may not be sustained.
Our common stock is listed on The Nasdaq Global Market under the symbol “NKGN” and to trades on that market. We cannot assure you that an active trading market for its common stock will be sustained. Accordingly, we cannot assure you of the liquidity of any trading market, your ability to sell your shares of common stock when desired or the prices that you may obtain for your shares.
Future sales of shares by existing stockholders could cause our stock price to decline.
If our existing stockholders sell or indicate an intention to sell substantial amounts of NKGen common stock in the public market, the trading price of the NKGen common stock could decline. All the shares of NKGen common stock subject to stock options outstanding and reserved for issuance under its equity incentive plans are expected to be registered on Form S-8 under the Securities Act and such shares are eligible for sale in the public markets, subject to Rule 144 under the Securities Act (“Rule 144”) limitations applicable to affiliates. If these additional shares are sold, or if it is perceived that they will be sold in the public market, the trading price of the common stock could decline. In addition, NKMAX donated an aggregate of 2,500,000 shares of NKGen common stock to eight charitable organizations or entities, including Alzheimer’s Drug Discovery Foundation, Alzheimer’s Research and Prevention Foundation, American Brian Foundation, Korea AI Blockchain Convergence, Korean Brain Research Institute, Korean Institute of Economic and Social Studies, The Earthshine Charity Ltd, and The University of Chicago, for no consideration on December 13, 2023. The charity recipients will continue to be subject to any sale or transfer restrictions on such donated shares until the relevant restrictions end.
Although the Sponsor and certain selling securityholders will be subject to restrictions regarding the transfer of shares of NKGen common stock held by them, as described elsewhere in this prospectus, these
 
55

TABLE OF CONTENTS
 
shares may be sold after the expiration of their respective lock-ups. As restrictions on resale end and the registration statements for the resale of our securities are available for use, the market price of NKGen common stock could decline if the holders of currently restricted shares sell them or are perceived by the market as intending to sell them.
The shares of common stock being offered in this prospectus represent a substantial percentage of our outstanding common stock, and the sales of such shares, or the perception that these sales could occur, could cause the market price of our common stock to decline significantly.
This prospectus relates to the offer and sale from time to time by the selling securityholders named in this prospectus or their permitted transferees of (i) up to 36,104,035 shares of common stock consisting of (a) 17,249,368 shares of common stock (excluding the shares of common stock underlying the Private Warrants and the Working Capital Warrants) pursuant to the Amended and Restated Registration Rights Agreement, consisting of (A) up to 14,724,464 shares of common stock issued or issuable in connection with the Business Combination (as defined below) at an equity consideration value of approximately $10.00 per share by certain of the selling securityholders named in this prospectus; (B) up to 2,516,744 shares of common stock originally purchased by Graf Acquisition Partners LLC in a private placement prior to Graf’s initial public offering, at an effective price of approximately $0.006 per share; and (C) up to 6,800 shares of common stock and 1,360 shares of common stock underlying 1,360 Public Warrants held by James A. Graf, which were originally issued by Graf as part of the 6,800 units at a value of $10.00 per unit (each unit representing one share of common stock and one-fifth of a Public Warrant) in its initial public offering, at an average price of approximately $9.91 per unit, which were separated into such shares of common stock and Public Warrants at the Closing, (b) up to 1,320,000 shares of common stock issuable upon the conversion of the Senior Convertible Notes, together with the 1,000,000 SPA Warrants, for an aggregate purchase price of $10.0 million, (c) up to 1,000,000 shares of common stock issuable upon the exercise of the SPA Warrants, which were purchased together with the Senior Convertible Notes discussed immediately above, (d) up to 10,209,994 shares of common stock issuable upon the exercise of the PIPE Warrants, which were purchased by the selling securityholders at $1.00 per warrant, (e) up to 1,080,000 shares of common stock issued pursuant to the Polar FPA Funding Subscription Agreement, which were purchased at approximately $10.44 per share (excluding 80,000 shares of which were issued for no cash consideration but in consideration for the selling securityholder’s entering into the forward purchase agreement as discussed elsewhere in this prospectus, (f) up to 4,721,533 shares of common stock issuable upon the exercise of the Private Warrants, which were purchased at a price of $1.50 per warrant, and (g) up to 523,140 shares of common stock issuable upon the exercise of the Working Capital Warrants, which were purchased at a price of $1.50 per warrant; and (ii) up to 5,246,033 Warrants consisting of (a) up to 4,721,533 Private Warrants, (b) up to 523,140 Working Capital Warrants, and (c) up to 1,360 Public Warrants held by Mr. Graf. We will not receive any proceeds from the sale of shares of common stock or the Warrants by the selling securityholders pursuant to this prospectus.
The selling securityholders named in this prospectus hold a substantial portion of the outstanding shares of our common stock. The number of Resale Securities exceeds the number of shares of NKGen common stock constituting our public float, and represents approximately 181% of our public float and approximately 96% of our outstanding shares of common stock (after giving effect to the issuance of shares of common stock upon exercise of the Warrants, the SPA Warrants and the PIPE Warrants and the conversion of the Senior Convertible Notes) as of December 13, 2023. Given the substantial number of shares of our common stock being registered for potential resale by the selling securityholders pursuant to this prospectus, the sale of all Resale Securities by the selling securityholders, or the perception that these sales could occur, could increase the volatility of the market price of our common stock or result in a significant decline in the market price of our common stock, even if our business is doing well. These sales, or the possibility that these sales may occur, also might make it more difficult for us to sell equity securities and/or raise additional capital through the sale of equity securities in the future and at a price that we deem appropriate. Even if our trading price were to trade significantly below $10.00 per share, the offering price for the units sold in the Graf IPO, certain of the selling securityholders may still have an incentive to sell our common stock because they may still experience a positive rate of return on the securities they purchased due to the differences in the purchase prices described in the preceding paragraph and the public trading price of our common stock. While these selling securityholders may, on average, experience a positive rate of return based on the current market price of the common stock they purchased, public securityholders may
 
56

TABLE OF CONTENTS
 
not experience a similar rate of return on the common stock they purchased due to differences in the purchase prices and the current market price. Despite the closing price being $3.67 per share as of December 13, 2023, our Sponsor and the selling securityholders may still experience a positive rate of return on the shares purchased by them due to the lower price per share at which their shares were purchased. While these selling securityholders may, on average, experience a positive rate of return based on the current market price, public stockholders may not experience a similar rate of return on the common stock they purchased if there is such a decline in price and due to differences in the purchase prices and the current market price. For example, based on the closing price of our common stock of $3.67 as of December 13, 2023, the holders of the Founder Shares, which were initially purchased at less than $0.01 per share prior to the Graf IPO would experience a potential profit of up to approximately $3.66 per share, or up to approximately $9.2 million in the aggregate for selling the 2,516,744 Founder Shares held by the Sponsor and Graf’s directors, assuming all Founder Shares held by the Sponsor that are subject to vesting and forfeiture are fully vested.
In addition, in the event that the applicable exercise price of the PIPE Warrants is less than $5.00 but greater than or equal to $1.50, the holders of PIPE Warrants may demand a cashless exchange of the relevant tranche of PIPE Warrants and receive a number of NKGen common stock as downside protection shares as calculated in accordance with the terms of the PIPE Warrants. In the event that the applicable exercise price of the PIPE Warrants is less than $1.50, then in addition to issuing the abovementioned downside protection shares, we will also pay a cash amount equal to (i) the difference between the applicable exercise price and $1.50 multiplied by (ii) the number of shares for which the holder has demanded downside protection, in accordance with the terms of the PIPE Warrants. As such, if the market price of our common stock trades below the applicable exercise price, certain holders of PIPE Warrants may demand downside protection which may result in additional share issuance and/or cash payment by us, which could further dilute your ownership interests, depress the public trading price of our common stock and negatively impact our financial condition. In addition, the sale of the securities being offered for resale pursuant to this prospectus, or the perception that these sales could occur, could result in a significant decline in the public trading price of our common stock.
The Warrants, SPA Warrants and PIPE Warrants may not be exercised at all or may be exercised on a cashless basis and we may not receive any cash proceeds from the exercise of the Warrants, SPA Warrants or PIPE Warrants.
The exercise price of the Warrants, SPA Warrants or PIPE Warrants may be higher than the prevailing market price of the underlying shares of common stock. The exercise price of the Warrants, SPA Warrants or PIPE Warrants is subject to market conditions and may not be advantageous if the prevailing market price of the underlying shares of common stock is lower than the exercise price. The cash proceeds associated with the exercise of Warrants, SPA Warrants or PIPE Warrants to purchase our common stock are contingent upon our stock price. The value of our common stock will fluctuate and may not align with the exercise price of the warrants at any given time. We believe that if the Warrants, SPA Warrants and PIPE Warrants are “out of the money,” meaning the exercise price is higher than the market price of our common stock, there is a high likelihood that warrant holders may choose not to exercise their warrants. As a result, we may not receive any proceeds from the exercise of the Warrants, SPA Warrants or PIPE Warrants.
Furthermore, with regard to the Private Warrants, Working Capital Warrants and the PIPE Warrants, it is possible that we may not receive cash upon their exercise, since these warrants may be exercised on a cashless basis. A cashless exercise allows warrant holders to convert the warrants into shares of our common stock without the need for a cash payment. Instead of paying cash upon exercise, the warrant holder would receive a reduced number of shares based on a predetermined formula. As a result, the number of shares issued through a cashless exercise will be lower than if the warrants were exercised on a cash basis, which could impact the cash proceeds we receive from the exercise of such warrants.
The Public Warrants and the PIPE Warrants may only be exercised for cash provided there is then an effective registration statement registering the shares of common stock issuable upon the exercise of such warrants. If there is not a then-effective registration statement, then such warrants may be exercised on a “cashless basis,” pursuant to an available exemption from registration under the Securities Act.
 
57

TABLE OF CONTENTS
 
We may be required to pay cash or issue shares of common stock to investors with whom we entered into Forward Purchase Agreements, which could reduce the amount of cash available to us or further dilute your ownership in us.
In connection with the Closing of the Business Combination, Graf entered into Forward Purchase Agreements with certain investors (“FPA Investors”) on September 22, 2023, September 26, 2023 and September 29, 2023, pursuant to which the FPA Investors agreed to collectively purchase approximately 3.2 million shares of NKGen common stock for approximately $32.9 million, which were not paid to us, but deposited into escrow accounts, in accordance with the terms and conditions of the Forward Purchase Agreements. All funds in the escrow accounts will be released to the Company and/or the FPA Investors at or before the one (1) year anniversary of Closing. In addition, all interest earned on the funds in each of the escrow accounts will be released to the respective FPA Investors.
The Forward Purchase Agreements provide that the Reset Price (as defined below), which was initially set at $10.44 per share, could be reduced to a lower sales price if the Company sells, issues or grants any common stock or securities convertible or exchangeable into NKGen common stock (excluding any secondary transfers) at a price below the then applicable Reset Price. The Reset Price is used as the settlement share price in the calculations for settlement at maturity and in the case of an Optional Early Termination (as defined below), which are discussed in turn below, and works as a “floor” share price for sales to effect Prepayment Shortfall (as defined below). If the Reset Price is effectively reduced to a lower price, then it could in turn result in less money to be released to us as set out in the Forward Purchase Agreements. See “Management’s Discussions and Analysis of Financial Condition and Results of Operations — Liquidity and Capital Resources — Sources of Liquidity — Forward Purchase Agreements, FPA Subscription Agreements, and Side Letter” for more information on how the Forward Purchase Agreements and related agreements operate and how the payments from the escrow accounts are calculated. In addition, the Reset Price may influence the FPA Investors’ decision to sell, early terminate or hold part or all their shares, and sales of such shares could result in fluctuations in the trading volume and/or trading price of our common stock. Such volatility in the trading volume and/or trading price of common stock could adversely affect our ability to raise additional funds.
The amounts to be potentially released to the Company from the Escrow Accounts will be based on the trading price over the Valuation Period (as defined below) and the applicable Reset Price. However, the Company may not receive all the funds in the escrow accounts and may be required to pay the Settlement Amount Adjustment in stock or in cash as discussed above. If our stock price exceeds the applicable Reset Price (as defined below) by more than $2.00, then the FPA Investors may be economically incented to sell their Subscribed Shares and exercise the Optional Early Termination (as defined below) rights as they would potentially more consideration collectively from the Escrow Account and from proceeds from such sales in the open market, less amounts payable to the Company than if they were to hold the Subscribed Shares until the Valuation Date (as defined below). Any such sales could increase the volatility of the trading price and/or result in a decline in the trading price. In addition, if the FPA Investors hold some or all of their Subscribed Shares until the Valuation Date, and the applicable volume weighted average price per share for 20 trading days of our common stock is less than $2.00 per share, then we would be required to pay an amount that equals to $2.00 per the Subscribed Shares held as of the Valuation Date (or the Settlement Amount Adjustment) to the FPA Investors in stock (unless we elect to pay it in cash), which could cause substantial dilution and further depress our stock price. If we are unable to pay such amount in stock, we may be required under certain of the agreements with the FPA Investors to settle any shortfall in the payment of the Settlement Adjustment Amount in cash. In any case, we would not receive any cash proceeds and could face adverse effects on our liquidity or financial position, which could negatively impact our business and results of operations. Such activities could also adversely affect the trading price of our common stock, which may also negatively affect the trading positions of our other securityholders.
We may issue additional shares of common stock or other equity securities without your approval, which would dilute your ownership interests and may depress the market price of our common stock.
We have NKGen Options outstanding to purchase up to an aggregate of 2,101,760 shares of NKGen common stock and Warrants outstanding to purchase up to 5,246,033 shares of NKGen common stock (excluding the shares issuable upon the exercise of the SPA Warrants and PIPE Warrants, or the conversion
 
58

TABLE OF CONTENTS
 
of the Senior Convertible Notes). NKGen will also have the ability to initially issue such number of shares of NKGen common stock equal to up to 12.0% of the fully diluted outstanding shares of NKGen common stock as of the Closing under the 2023 Plan (as defined below) and such number of shares of NKGen common stock equal to up to 3.0% of the fully diluted shares of common stock outstanding under the ESPP as of the Closing Date.
We may issue additional shares of common stock or other equity securities of equal or senior rank in the future in connection with, among other things, future acquisitions or repayment of outstanding indebtedness, without stockholder approval, in a number of circumstances.
Our issuance of additional shares of common stock or other equity securities of equal or senior rank could, without limitation, have the following effects:

our existing stockholders’ proportionate ownership interest in us will decrease;

the amount of cash available per share, including for payment of dividends (if any) in the future, may decrease;

the relative voting strength of each previously outstanding share of common stock may be diminished; and

the market price of our shares of common stock may decline.
If securities or industry analysts either do not publish research about us or publish inaccurate or unfavorable research about us, our business, or its market, or if they change their recommendations regarding our common stock adversely, the trading price or trading volume of our common stock could decline.
The trading market for our common stock is influenced in part by the research and reports that securities or industry analysts may publish about us, our business, market, or competitors. If one or more of the analysts initiate research with an unfavorable rating or downgrade the common stock, provide a more favorable recommendation about our competitors, or publish inaccurate or unfavorable research about its business, the trading price of the common stock would likely decline. In addition, we currently expect that securities research analysts will establish and publish their own periodic projections for its business. These projections may vary widely and may not accurately predict the results we actually achieve. Its stock price may decline if its actual results do not match the projections of these securities research analysts. While we expects research analyst coverage, if no analysts commence coverage of it, the trading price and volume for the common stock could be adversely affected. If any analyst who may cover us were to cease coverage of us or fail to regularly publish reports on us, we could lose visibility in the financial markets, which in turn could cause the trading price or trading volume of its common stock to decline.
Delaware law and provisions in our Charter and Bylaws could make a merger, tender offer, or proxy contest difficult, thereby depressing the trading price of our common stock.
Our Charter and Bylaws contains provisions that could depress the trading price of the common stock by acting to discourage, delay, or prevent a change of control of us or changes in our management that our stockholders may deem advantageous. These provisions include, without limitation, the following:

a classified board of directors so that not all members of the NKGen Board are elected at one time;

the right of the board of directors to establish the number of directors and fill any vacancies and newly created directorships;

director removal by stockholders solely for cause and with the affirmative vote of at least two-thirds (2/3) of the voting power of our then-outstanding shares of capital stock entitled to vote generally in the election of directors;

“blank check” preferred stock that the NKGen Board could use to implement a stockholder rights plan;

the right of the NKGen Board to issue our authorized but unissued common stock and preferred stock without stockholder approval;
 
59

TABLE OF CONTENTS
 

no ability of our stockholders to call special meetings of stockholders;

no right of our stockholders to act by written consent, which requires all stockholder actions to be taken at a meeting of our stockholders;

limitations on the liability of and the provision of indemnification to, our director and officers;

the right of the board of directors to make, alter, or repeal the NKGen Bylaws; and

advance notice requirements for nominations for election to the NKGen Board or for proposing matters that can be acted upon by stockholders at annual stockholder meetings.
Any provision of our Charter or NKGen Bylaws that has the effect of delaying or deterring a change in control could limit the opportunity for our stockholders to receive a premium for their shares of common stock and could also affect the price that some investors are willing to pay for common stock.
Our Charter provides that the Court of Chancery of the State of Delaware will be the exclusive forum for substantially all disputes between us and our stockholders, which could limit our stockholders’ ability to obtain a favorable judicial forum for disputes with us or our directors, officers or employees.
Our Charter provides that the Court of Chancery of the State of Delaware is the exclusive forum for any derivative action or proceeding brought on our behalf, any action asserting a breach of fiduciary duty, any action asserting a claim against us arising pursuant to the DGCL, our Charter or NKGen Bylaws or any action asserting a claim against us that is governed by the internal affairs doctrine. These choice of forum provisions may limit a stockholder’s ability to bring a claim in a judicial forum that it finds favorable for disputes with us or our directors, officers or other employees and may discourage these types of lawsuits. This provision would not apply to claims brought to enforce a duty or liability created by the Exchange Act or any other claim for which the federal courts have exclusive jurisdiction. Our Charter provides further that, to the fullest extent permitted by law, the federal district courts of the United States will be the exclusive forum for resolving any complaint asserting a cause of action arising under the Securities Act. However, Section 22 of the Securities Act provides that federal and state courts have concurrent jurisdiction over lawsuits brought under the Securities Act or the rules and regulations thereunder. To the extent the exclusive forum provision restricts the courts in which claims arising under the Securities Act may be brought, there is uncertainty as to whether a court would enforce such a provision. We note that investors cannot waive compliance with the federal securities laws and the rules and regulations thereunder. Furthermore, the enforceability of similar choice of forum provisions in other companies’ certificates of incorporation has been challenged in legal proceedings and it is possible that a court could find these types of provisions to be inapplicable or unenforceable. While the Delaware courts have determined that such choice of forum provisions are facially valid, a stockholder may nevertheless seek to bring a claim in a venue other than those designated in the exclusive forum provisions and there can be no assurance that such provisions will be enforced by a court in those other jurisdictions. If a court were to find the exclusive-forum provision contained in our Charter to be inapplicable or unenforceable in an action, we may incur additional costs associated with resolving such action in other jurisdictions, which could harm its business.
We do not intend to pay dividends for the foreseeable future.
We currently intend to retain any future earnings to finance the operation and expansion of its business and we do not expect to declare or pay any dividends in the foreseeable future. Moreover, the terms of any revolving credit facility into which we or any of our subsidiaries enter may restrict our ability to pay dividends and any additional debt we or any of our subsidiaries may incur in the future may include similar restrictions. As a result, stockholders must rely on sales of their common stock after price appreciation as the only way to realize any future gains on their investment.
We will incur increased costs and obligations as a result of being a public company.
As a publicly traded company, we will incur significant legal, accounting and other expenses that we were not required to incur in the recent past, particularly after we are no longer an “emerging growth company” as defined under the JOBS Act. In addition, new and changing laws, regulations and standards relating to corporate governance and public disclosure, including the Dodd Frank Wall Street Reform and
 
60

TABLE OF CONTENTS
 
Consumer Protection Act and the rules and regulations promulgated and to be promulgated thereunder, as well as under the Sarbanes-Oxley Act, the JOBS Act and the rules and regulations of the SEC and national securities exchanges have created uncertainty for public companies and increased the costs and the time that the NKGen Board and management must devote to complying with these rules and regulations. We expect these rules and regulations to increase our legal and financial compliance costs and lead to a diversion of management time and attention from revenue generating activities.
Furthermore, the need to establish the corporate infrastructure demanded of a public company may divert management’s attention from implementing our growth strategy, which could prevent us from improving our business, results of operations and financial condition. We have made and will continue to make, changes to our internal controls and procedures for financial reporting and accounting systems to meet our reporting obligations as a publicly traded company. However, the measures we take may not be sufficient to satisfy our obligations as a publicly traded company.
The requirements of being a public company may strain our resources, divert management’s attention and affect our ability to attract and retain qualified board members.
We are subject to the reporting requirements of the Exchange Act, the Sarbanes-Oxley Act and any rules promulgated thereunder, as well as the rules of the Stock Exchange. The requirements of these rules and regulations increase our legal and financial compliance costs, make some activities more difficult, time-consuming or costly and increase demand on our systems and resources. The Sarbanes-Oxley Act requires, among other things, that we maintain effective disclosure controls and procedures and internal controls for financial reporting. In order to maintain and, if required, improve our disclosure controls and procedures and internal control over financial reporting to meet this standard, significant resources and management oversight are required and, as a result, management’s attention may be diverted from other business concerns. These rules and regulations can also make it more difficult for us to attract and retain qualified independent members of the board of directors. Additionally, these rules and regulations make it more difficult and more expensive for us to obtain director and officer liability insurance. We may be required to accept reduced coverage or incur substantially higher costs to obtain coverage. The increased costs of compliance with public company reporting requirements and our potential failure to satisfy these requirements could have a material adverse effect on our operations, business, financial condition or results of operations.
If we fail to establish and maintain proper and effective internal control over financial reporting, as a public company, our ability to produce accurate and timely financial statements could be impaired, investors may lose confidence in our financial reporting and the trading price of our common stock may decline.
Pursuant to Section 404 of the Sarbanes-Oxley Act, the report by management on internal control over financial reporting will be on our financial reporting and internal controls (as accounting acquirer) and, when we are no longer an emerging growth company, an attestation of the independent registered public accounting firm will also be required. The rules governing the standards that must be met for management to assess internal control over financial reporting are complex and require significant documentation, testing and possible remediation. We have not historically had to comply with all of these rules and to comply with the Sarbanes-Oxley Act, the requirements of being a reporting company under the Exchange Act and any complex accounting rules in the future, we may need to upgrade our legacy information technology systems, implement additional financial and management controls, reporting systems and procedures and hire additional accounting and finance staff.
If we are unable to hire the additional accounting and finance staff necessary to comply with these requirements, we may need to retain additional outside consultants. If we or, if required, our independent registered public accounting firm, are unable to conclude that our internal controls over financial reporting are effective, investors may lose confidence in our financial reporting, which could negatively impact the price of our securities.
Changes in laws or regulations or how such laws or regulations are interpreted or applied, or a failure to comply with any laws or regulations, may adversely affect our business and results of operations.
We are subject to laws and regulations enacted by national, regional and local governments. In particular, we are required to comply with certain SEC and other legal requirements. Compliance with and monitoring
 
61

TABLE OF CONTENTS
 
of, applicable laws and regulations may be difficult, time consuming and costly. A failure to comply with applicable laws or regulations, as interpreted and applied, could have a material adverse effect on our business and results of operations. In addition, those laws and regulations and their interpretation and application may change from time to time, including as a result of changes in economic, political, social and government policies and those changes could have a material adverse effect on our business and results of operations.
 
62

TABLE OF CONTENTS
 
MARKET AND INDUSTRY DATA
Information contained in this prospectus concerning the market and the industries in which we compete, including our market position, general expectations of market opportunities and market size, is based on information from various third-party sources, publicly available information, various industry publications, internal data and estimates, and assumptions made by us based on such sources. Internal data and estimates are based upon information obtained from trade and business organizations and other contacts in the markets in which we operate and our management’s understanding of industry conditions. This information and any estimates provided herein involve numerous assumptions and limitations, and you are cautioned not to give undue weight to such information. Third-party sources generally state that the information contained in such sources has been obtained from sources believed to be reliable. Although we believe that such information is reliable, there can be no assurance as to the accuracy or completeness of such information. Industry and market data could be wrong because of the method by which sources obtained their data and because information cannot always be verified with complete certainty due to the limits on the availability and reliability of raw data, the voluntary nature of the data gathering process and other limitations and uncertainties. Although we are responsible for all of the disclosure contained in this prospectus and we believe the third-party market position, general expectations of market opportunity and market size data included in this prospectus are reliable, we have not independently verified any third-party information and each publication speaks as of its original publication date (and not as of the date of this prospectus). In addition, we do not know all of the assumptions regarding general economic conditions or growth that were used in preparing the forecasts from the sources relied upon or cited herein.
 
63

TABLE OF CONTENTS
 
USE OF PROCEEDS
All of the shares of our common stock and Warrants offered by the selling securityholders pursuant to this prospectus will be sold by the selling securityholders for their respective accounts. We will not receive any of the proceeds from these sales.
We will receive up to an aggregate of approximately $99.8 million from the exercise of the Warrants assuming the exercise in full of all of the Warrants for cash. We expect to use the net proceeds from the exercise of the Warrants for general corporate purposes. We will have broad discretion over the use of such proceeds. There is no assurance that the holders of the Warrants will elect to exercise any or all of such Warrants.
The Private Warrants, Working Capital Warrants and PIPE Warrants may be exercised for cash or on a cashless basis. To the extent that any Warrants are exercised on a cashless basis, we would not receive any cash from such exercise and the total amount of cash that we would receive from the exercise of the Warrants will decrease. We believe the likelihood that holder of the Warrants will exercise their Warrants for cash and therefore the amount of cash proceeds that we would receive, is dependent upon the trading price of our common stock. If the Warrants are “out of the money,” meaning the exercise price is higher than the market price of our common stock, the holders of the Warrants are not likely to exercise them. The Public Warrants may only be exercised for cash provided there is then an effective registration statement registering the shares of common stock issuable upon the exercise of such warrants. If there is not a then-effective registration statement, then such warrants may be exercised on a cashless basis, pursuant to an available exemption from registration under the Securities Act.
In addition, while the selling securityholders may, on average, experience a positive rate of return on their investment in our common stock, the public securityholders may not experience a similar rate of return on the common stock they purchased if there is such a decline in price and due to differences in the purchase price and the current market price. The sales of the securities by the selling securityholders, or the possibility that these sales may occur, also might make it more difficult for us to sell equity securities in the future and at a price that we deem appropriate. See “Risk Factors — Risks Related to Ownership of Our Securities — The shares of common stock being offered in this prospectus represent a substantial percentage of our outstanding common stock, and the sales of such shares, or the perception that these sales could occur, could cause the market price of our common stock to decline significantly” for more details.
 
64

TABLE OF CONTENTS
 
DETERMINATION OF OFFERING PRICE
The offering price of the shares of common stock underlying the Warrants, the SPA Warrants, the PIPE Warrants and the Senior Convertible Notes offered hereby is determined by reference to (i) the exercise price of the Warrants and SPA Warrants of $11.50 per share, (ii) the exercise price of the three tranches of the PIPE Warrants which shall initially be $10.00 per share, $12.50 per share and $15.00 per share, respectively, and (iii) the conversion price of the Senior Convertible Notes of $10.00 per share.
The Public Warrants are listed on The Nasdaq Capital Market under the symbol “NKGNW.”
We cannot currently determine the price or prices at which shares of our common stock or the Warrants that may be sold by the selling securityholders under this prospectus.
 
65

TABLE OF CONTENTS
 
MARKET INFORMATION FOR SECURITIES AND DIVIDEND POLICY
Market Information
Our common stock and Public Warrants are currently listed on Nasdaq under the symbols “NKGN” and “NKGNW,” respectively. Prior to the consummation of the Business Combination, our common stock and our Public Warrants were listed on the NYSE under the symbols “GFOR” and “GFOR.WS,” respectively. On December 15, 2023, there were 58 holders of record of our common stock and two holders of record of our Public Warrants. We currently do not intend to list the Private Warrants, the SPA Warrants or the PIPE Warrants on any stock exchange or stock market.
Dividend Policy
We have never declared or paid any dividends on shares of our common stock. We anticipate that we will retain all of our future earnings, if any, for use in the operation and expansion of our business and do not anticipate paying cash dividends in the foreseeable future. Any decision to declare and pay dividends in the future will depend on, among other things, the consent of our lender(s), our results of operations, cash requirements, financial condition, contractual restrictions and other factors that our board of directors may deem relevant.
 
66

TABLE OF CONTENTS
 
MANAGEMENT’S DISCUSSION AND ANALYSIS OF FINANCIAL CONDITION AND RESULTS OF OPERATIONS
Defined terms included below have the same meaning as terms defined and included elsewhere in this prospectus.
You should read the following Management’s Discussion and Analysis of Financial Condition and Results of Operations together with our unaudited interim condensed financial statements and the related notes thereto as of September 30, 2023 and for the nine months ended September 30, 2023 and 2022 and our audited financial statements as of and for the fiscal year ended December 31, 2022 included elsewhere in this prospectus. In addition to historical information, some of the information contained in this discussion and analysis or set forth elsewhere in this Supplement, including information with respect to our plans and strategy for our business, future financial performance, expense levels and liquidity sources, includes forward-looking statements that involve risks and uncertainties. You should read the sections entitled “Cautionary Note Regarding Forward-Looking Statements” and “Risk Factors” elsewhere in this prospectus for a discussion of a variety of important factors that could cause actual results and the timing of events to differ materially from the results described in or implied by the forward-looking statements contained in the following discussion and analysis.
Overview
We are a clinical-stage biotechnology company focused on the development and commercialization of innovative autologous, allogeneic and CAR-NK cell therapies utilizing a proprietary SNK platform. Our product candidates are based on a proprietary manufacturing and cryopreservation process which produces SNK cells that have increased activity as compared to the starting population of NK cells, based on the results of in vitro experiments performed by NKMAX, as defined by parameters such as cytotoxicity, cytokine production and activating receptor expression (see the section titled “Business — Background on NK or Natural Killer Cells — The NKGen Manufacturing Process — Activity” and “Business — Background on NK or Natural Killer Cells — Molecular Characteristics of SNK01” for additional details). We believe that SNK cells have the potential to deliver transformational benefits to patients with neurodegenerative diseases, such as AD and PD, and cancer. We are majority owned and controlled by NKMAX, a company formed under the laws of the Republic of Korea.
We were originally incorporated in Delaware on January 28, 2021 under the name Graf Acquisition Corp. IV, a special-purpose acquisition company for the purpose of effecting a merger, capital stock exchange, asset acquisition, stock purchase, reorganization or engaging in any other similar business combination with one or more businesses or entities.
On April 14, 2023, we entered into the Agreement and Plan of Merger by and among Graf, Merger Sub, and Legacy NKGen. Upon consummation of the transactions under the Merger Agreement on September 29, 2023, Merger Sub merged with and into the Company with Legacy NKGen surviving the merger as a wholly owned subsidiary of Graf. In connection with the consummation of the Business Combination, Graf was renamed to “NKGen Biotech, Inc.” and Legacy NKGen changed its name to “NKGen Operating Biotech, Inc.” The Common Stock and warrants of the combined company began trading on The Nasdaq Stock Market LLC under the symbols “NKGN” and “NKGNW”, respectively, on October 2, 2023.
Throughout the notes to the condensed consolidated financial statements, unless otherwise noted or otherwise suggested by context, the “Company”, “we”, “us”, “our” refers to Legacy NKGen prior to the consummation of the Business Combination, and the Company after the consummation of the Business Combination.
The Business Combination
On April 14, 2023, the Company entered into the Merger Agreement by and among Graf, Merger Sub, and the Company. Upon consummation of the Business Combination on September 29, 2023, Merger Sub merged with and into the Company with the Company surviving the Merger as a wholly owned subsidiary of Graf. In connection with the Closing, Graf was be renamed to “NKGen Biotech, Inc.” and the Company
 
67

TABLE OF CONTENTS
 
changed its name to “NKGen Operating Biotech, Inc.” References below to “NKGen” denote Graf as the post-Business Combination entity.
In accordance with the terms and subject to the conditions set forth in the Merger Agreement, Graf agreed to pay to equity holders of the Company (other than holders of unvested NKGen options to purchase shares of NKGen common stock as of immediately prior to the effective time pior to the Merger (the “Effective Time”), the Merger Consideration of a number of shares of newly issued common stock, par value $0.0001 per share, of NKGen common stock, valued at $10.00 per share, equal to the product of the number of outstanding shares of common stock of the Company at the Closing, multiplied by the Exchange Ratio.
The “Exchange Ratio” is equal to the quotient of (A) the sum of (i) $145.0 million plus (ii) the aggregate amount of principal and accrued interest underlying our convertible promissory notes that are converted into shares of the Company common stock as of immediately prior to the Effective Time of the Merger, divided by (B) $10.00, divided by (C) the number of fully diluted common stock of the Company immediately prior to the Effective Time. Prior to the Closing, each convertible note was be converted into shares of NKGen common stock pursuant to its terms as of immediately prior to the Effective Time.
Contemporaneously with the execution of the Merger Agreement, Graf and NKGen, among others, entered into the Sponsor Support and Lockup Agreement, as amended and supplemented. In connection with the amended and restated Sponsor Support and Lockup Agreement, of the 4,290,375 Founder Shares: (i) 1,773,631 shares were forfeited, (ii) 1,173,631 Deferred Founder Shares became restricted shares subject to vesting conditions, and (iii) the remaining 1,343,113 shares were not forfeited, did not become restricted, nor subject to vesting conditions. Deferred Founder Shares do not have voting rights, do not participate in dividends and are not transferrable. During the Vesting Period, if the trading price or price per share consideration upon a change in control for common stock is greater than or equal to $14.00 at any 20 trading days in a 30 consecutive trading-day period, then 873,631 Deferred Founder Shares will immediately vest; and if greater than or equal to $20.00 at any 20 trading days in a 30 consecutive trading-day period, then an additional 300,000 Deferred Founder Shares will immediately vest. In the event there is a sale of the Company, then immediately prior to the consummation of such sale, the calculated Acquiror Sale Price, as defined in the agreement, will take into account the number of Deferred Founder Shares that will vest upon a change in control. Upon the expiration of the Vesting Period, unvested Founder Shares will be forfeited and cancelled for no consideration.
Following the Closing, we were deemed the accounting acquirer and we are accounting for the Business Combination as a reverse capitalization.
In addition, a substantial number of shares of our common stock is being registered for potential resale by the selling securityholders pursuant to this prospectus. The sale of all Resale Securities by the selling securityholders, or the perception that these sales could occur, could increase the volatility of the market price of our common stock or result in a significant decline in the market price of our common stock. However, we will not receive any of the proceeds from such sales of securities by the selling securityholder, except with respect to amounts received by us upon exercise of the Warrant for cash. We believe the likelihood that holder of the Warrants will exercise their Warrants for cash and therefore the amount of cash proceeds that we would receive, is dependent upon the trading price of our common stock. If the Warrants are out of the money, then it is unlikely the holders of the Warrants will exercise them. In addition, while the selling securityholders may, on average, experience a positive rate of return on their investment in our common stock, the public securityholders may not experience a similar rate of return on the common stock they purchased if there is such a decline in price and due to differences in the purchase price and the current market price. The sales of the securities by the selling securityholders, or the possibility that these sales may occur, also might make it more difficult for us to sell equity securities in the future and at a price that we deem appropriate. See “Risk Factors — Risks Related to Ownership of Our Securities — The shares of common stock being offered in this prospectus represent a substantial percentage of our outstanding common stock, and the sales of such shares, or the perception that these sales could occur, could cause the market price of our common stock to decline significantly” for more details.
 
68

TABLE OF CONTENTS
 
Factors Affecting Our Performance
Our operations to date have been limited to business planning, raising capital, developing and identifying NK cell therapies utilizing our SNK platform, clinical studies, and other research and development activities. We have never been profitable from operations and our net losses were $33.2 million, $6.7 million, $49.3 million, and $19.8 million for the three months ended September 30, 2023 and 2022 and the nine months ended September 30, 2023 and 2022, respectively. As of September 30, 2023, our accumulated deficit was $128.5 million. We expect to continue incurring significant expenses and operating losses for at least the next several years associated with our ongoing activities as we:

initiate and complete nonclinical studies and clinical trials for our product candidates;

contract to manufacture and perform additional process development for our product candidates;

continue research and development efforts to build our pipeline beyond the current product candidates;

maintain, expand, and protect our intellectual property portfolio;

hire additional clinical, quality control, scientific, and management personnel;

add operational and financial personnel to support our product development efforts and planned future commercialization; and

add operational and administrative capabilities applicable to operating as a public company.
We do not expect to generate any revenues from product sales unless and until we successfully complete development and obtain regulatory approval for one or more product candidates, which will not be for many years, if ever. Accordingly, until such time as we can generate significant revenue from sales of our product candidates, if ever, we expect to finance our cash needs through equity offerings, debt financings or other capital sources, including from related parties, and potentially grants, collaborations, licenses or other similar arrangements. However, we may be unable to raise additional funds or enter into such other arrangements when needed on favorable terms or at all. Our failure to raise capital or enter into such other arrangements when needed would have a negative impact on our financial condition and could force us to delay, limit, reduce or terminate our product development or future commercialization efforts or grant rights to develop and market product candidates or to our platform technologies that we would otherwise prefer to develop and market ourselves.
We do not currently have, and do not currently expect to have, sufficient funds to service our operations and our expenses and other liquidity needs and will require additional capital immediately. In addition, we have expressed substantial doubt as to our ability to continue as a going concern. There can be no assurance that we will be able to timely secure such additional funding on acceptable terms and conditions, or at all. If we are unable to raise sufficient capital immediately, we will not have sufficient cash and liquidity to finance our business operations and make required payments and may be required to delay, limit, curtail or terminate our product development or may be forced to cease operations or file for bankruptcy protection.
Components of Our Results of Operations
Revenues
We do not currently have any products approved for sale and has not recognized any product revenue to date. In the future, we may generate revenue from a combination of sources, including, without limitation, product sales, payments from licenses, milestone payments or collaboration arrangements. If we fail to achieve clinical success or obtain regulatory approval of any of its product candidates, our ability to generate future revenue will be limited.
During the nine months ended September 30, 2022, we generated revenue in connection with providing testing services for the coronavirus (“COVID-19”). We did not have any revenues during the nine months ended September 30, 2023 and do not expect to generate revenues in connection with COVID-19 testing services in future periods as it has ceased providing such services.
 
69

TABLE OF CONTENTS
 
Costs and Expenses
Cost of Revenues
Cost of revenues historically consisted of test kits and supplements purchased from third parties in connection with providing COVID-19 testing services. We did not have any cost of revenues in the nine months ended September 30, 2023 and do not expect to incur such costs in future periods as we have ceased providing COVID-19 testing services.
Research and Development Expenses
We primarily focus our resources on research and development activities, including the conduct of preclinical studies, product development, regulatory support, and clinical trials for our product candidates. Our research and development expenses consist of:

employee-related expenses, including salaries, benefits, taxes, travel, and stock-based compensation expense, for personnel in research and development functions;

expenses related to process development and production of product candidates;

costs associated with preclinical activities and regulatory operations, including the costs of acquiring, developing and manufacturing research material;

clinical trials and activities related to regulatory filings for our product candidates; and

allocation of facilities, overhead, depreciation, and amortization of laboratory equipment and other expenses.
We expect our direct and indirect research and development expenses to increase in the future as we continue to develop our platform and product candidates. We remain focused on using our resources to further develop our existing pipeline. Our research and development activities are a critical component of achieving commercialization of any of our product candidates and realizing our business strategy.
Our goal is to bring transformative NK cell therapies to patients with both neurodegenerative and oncological diseases and thereby realize the potential of our extensive NK cell expertise. On October 14, 2022, we received IND clearance from the FDA for SNK02 allogenic NK cell therapy for solid tumors. On October 20, 2023, we received IND clearance from the FDA for SNK01 in AD. During the remainder of 2023, we intend to (i) advance the clinical development of SNK01 and initiate a Phase I/IIa trial in the United States for AD, and (ii) continue the Phase I trial with SNK02 in refractory solid tumors. In 2024 and beyond, we intend to submit an IND to the FDA to conduct a Phase I trial in PD, to evaluate the expansion into other neurodegenerative diseases, accelerate development in oncology through strategic collaborations, and continue investment in our manufacturing technology.
The successful development of our platform and product candidates is highly uncertain. The process of conducting the necessary preclinical and clinical research to obtain regulatory approval is costly and time consuming. At this time, we cannot reasonably estimate the nature, timing, or costs of the efforts necessary to finish developing any of our product candidates or the period in which material net cash, if any, from these product candidates may commence. This is due to the numerous risks and uncertainties associated with developing therapeutics and will depend on a variety of factors, including, but not limited to:

the scope, rate of progress, expense and results of clinical trials;

the scope, rate of progress and expense of process development and manufacturing;

preclinical and other research activities; and

the timing of regulatory approvals.
Research and development expenses consists of expenses incurred while performing research and development activities to discover and develop our product candidates. Direct research and development costs include external research and development expenses incurred under agreements with contract research organizations, consultants and other vendors that conduct its preclinical and clinical activities, expenses
 
70

TABLE OF CONTENTS
 
related to manufacturing its product candidates for preclinical and clinical studies, laboratory supplies and license fees. Indirect research and development costs include personnel-related expenses, consisting of employee salaries, payroll taxes, bonuses, benefits and stock-based compensation charges for those individuals involved in research and development efforts. Costs incurred in our research and development efforts are expensed as incurred.
We typically use our employee, consultant, facility, equipment and certain supply resources across our research and development programs. We track outsourced development costs by product candidate or development program, but we do not allocate personnel costs, other internal costs or certain external consultant costs to specific product candidates or development programs. These costs are included in indirect research and development expenses. All direct research and development expenses during the nine months ended September 30, 2022 and 2023 relate to SNK01 and SNK02.
General and Administrative Expenses
General and administrative expenses consist primarily of personnel-related expenses for executives, human resources, finance and other general and administrative employees, including salary and stock-based compensation, professional services costs and allocation of facility and overhead costs.
We anticipate that our general and administrative expenses will increase in the future in connection with one-time costs of becoming a public company as well as ongoing costs of operating as a public company, including expanding headcount and increased fees for directors and outside advisors. We expect to incur significant costs to comply with corporate governance, internal controls, and similar requirements applicable to public companies. Additionally, we expect to incur increased costs associated with establishing sales, marketing and commercialization functions prior to any potential future regulatory approvals or commercialization of our product candidates.
Interest Expense
For the three and nine months ended September 30, 2022, interest expense primarily consists of interest incurred associated with our related party loans.
For the three and nine months ended September 30, 2023, interest expense primarily consists of interest incurred for our Related Party Loans, Short Term Related Party Loan, revolving line of credit, and Senior Convertible Promissory Notes.
Interest expense associated with the Legacy Convertible Promissory Notes for which we have elected to account for at fair value is included in the change in fair value for such notes.
Other Income, Net
Other income, net primarily consists of sublease income for the three and nine months ended September 30, 2022, and sublease income and COVID-19 payroll tax credits for the nine months ended September 30, 2023. Other income, net, was zero for the three months ended September 30, 2023.
Change in Fair Value of Convertible Promissory Notes
Change in fair value of convertible promissory notes and convertible promissory notes due to related parties consists of gains or losses on the change in fair value of the Legacy Convertible Notes for the three and nine months ended September 30, 2023 and 2022, previously included within other expenses, net for the years ended December 31, 2022 and 2021. The Senior Convertible Notes are not carried at fair value and thus not included in within this financial statement caption.
Loss on Issuance of Forward Purchase Contract
The loss on issuance of forward purchase contract represents the initial recognition of the forward purchase derivative liability and the Bonus Shares (as defined below) in connection with the FPA Subscription Agreements and one side letter relating to the Forward Purchase Agreements (discussed below), which were executed in September 2023, issued upon the Closing of the Business Combination, and therefore not
 
71

TABLE OF CONTENTS
 
a component of our results of operations during 2022. The Bonus Shares are a non-recurring fair value measurement. The forward purchase derivative liability is a recurring fair value measurement. Accordingly, changes in fair value of the forward purchase derivative liability will be a component of our results of operations in future periods.
Transaction Costs Expensed
Transaction costs expensed represent Legacy NKGen’s transaction costs incurred in connection with the Business Combination that were allocated to liability-classified instruments issued on a relative fair value basis. The Business Combination occurred in September 2023, and therefore transaction costs expensed were not a component of our results of operations during 2022.
Provision for Income Taxes
We are subject to U.S. federal and state income taxes based on enacted rates, as adjusted for allowable credits, deductions, uncertain tax positions, changes in deferred tax assets and liabilities and changes in tax laws.
Provision for income taxes primarily relates to changes in deferred taxes, partially offset by valuation allowances.
Results of Operations
Comparison of Three and Nine Months Ended September 30, 2023 and 2022
The following tables summarize our results of operations for the three and nine months ended September 30, 2023 and 2022 (in thousands):
Three Months ended
September 30,
Change
2023
2022
$ Change
% Change
Revenues
$ $ 3 $ (3) *
Costs and expenses:
Cost of revenues
*
Research and development
3,929 4,121 (192) (5)%
General and administrative
2,974 1,874 1,100 59%
Total expenses
6,903 5,995 908 15%
Loss from operations
(6,903) (5,992) (911) 15%
Other income (expense):
Interest expense
(211) (636) 425 (67)%
Change in fair value of convertible promissory
notes
1,741 (73) 1,814 *
Loss on issuance of forward purchase contract
(24,475) (24,475) *
Transaction costs expensed
(3,329) (3,329) *
Other income, net
8 (8) *
Net loss before provision for income taxes
(33,177) (6,693) (26,484) 396%
Provision for income taxes
Net loss and comprehensive loss
$ (33,177) $ (6,693) $ (26,484) 396%

Not meaningful
 
72

TABLE OF CONTENTS
 
Nine Months ended
September 30,
Change
2023
2022
$ Change
% Change
Revenues
$ $ 77 $ (77) *
Costs and expenses:
Cost of revenues
3 (3) *
Research and development
11,577 12,659 (1,082) (9)%
General and administrative
8,737 5,501 3,236 59%
Total expenses
20,314 18,163 2,151 12%
Loss from operations
(20,314) (18,086) (2,228) 12%
Other income (expense):
Interest expense
(307) (1,690) 1,383 (82)%
Change in fair value of convertible promissory notes
(1,043) (88) (955) *
Loss on issuance of forward purchase contract
(24,475) (24,475) *
Transaction costs expensed
(3,329) (3,329) *
Other income, net
120 58 62 107%
Net loss before provision for income taxes
(49,348) (19,806) (29,542) 149%
Provision for income taxes
Net loss and comprehensive loss
$
(49,348)
$
(19,806)
$
(29,542)
149%

Not meaningful
Revenues
Revenue decreased by less than $0.1 million for the three months ended September 30, 2023 as compared to the three months ended September 30, 2022 and decreased by $0.1 million for the nine months ended September 30, 2023 as compared to the nine months ended September 30, 2022. These decreases related entirely to the winding down of our COVID-19 testing revenue stream during the three and nine months ended September 30, 2023.
Cost of Revenues
There was no cost of revenues incurred during each of the three months ended September 30, 2023 and 2022. Cost of revenues decreased by less than $0.1 million for the nine months ended September 30, 2023 as compared to the nine months ended September 30, 2022. These decreases related entirely to the winding down of NKGen’s COVID-19 testing revenue stream during the three and nine months ended September 30, 2023.
Research and Development Expenses
The following table summarizes the components of our research and development expenses for the three months ended September 30, 2023 and 2022 (in thousands):
Three Months ended
September 30,
Change
2023
2022
$ Change
% Change
Total direct research and development expense
$ 369 $ 123 $ 246 200%
Indirect research and development expense by type:
Personnel-related costs
1,922 2,230 (308) (14)%
Research and development supplies and services
1,280 1,357 (77) (6)%
Allocated facility, equipment and other expenses
358 411 (53) (13)%
Total indirect research and development expense
3,560 3,998 (438) (11)%
Total research and development expense
$ 3,929 $ 4,121 $ (192) (5)%
 
73

TABLE OF CONTENTS
 
Total research and development expenses decreased by $0.2 million, or 5%, for the three months ended September 30, 2023 as compared to the three months ended September 30, 2022. The decrease was primarily attributable to a decrease in total indirect research and development expenses of $0.4 million, or 11%, partially offset by a $0.2 million, or 200%, increase in total direct research and development expenses.
The increase in direct research and development expenses for the three months ended September 30, 2023 as compared to the three months ended September 30, 2022 was primarily attributable to the commencement of our SNK02 Phase I clinical trials during the third quarter of 2023, partially offset by decreases in costs incurred in connection with the substantial completion of our SNK01 sarcoma Phase I clinical trials, which occurred during the second half of 2022, as well as the discontinuation of the strategic collaboration described in Note 13 of the condensed consolidated financial statements, which occurred in June 2023.
The decrease in total indirect research and development expenses for the three months ended September 30, 2023 as compared to the three months ended September 30, 2022 was primarily attributable to a $0.1 million, or 6%, decrease in research and development supplies and services, a $0.3 million, or 14%, decrease in personnel-related costs, and a less than $0.1 million, or 13%, decrease in allocated facility, equipment, and other expenses.
The decrease in research and development supplies and services for the three months ended September 30, 2023 as compared to the three months ended September 30, 2022 was primarily attributable to a less than $0.1 million, or 26%, decrease in laboratory supply costs due to decreased purchases of research and development materials during the three months ended September 30, 2023 as compared to the three months ended September 30, 2022, in addition to a $0.1 million, or 10%, decrease in professional fees due to decreased consulting and regulatory affairs costs.
The decrease in personnel-related costs for the three months ended September 30, 2023 as compared to the three months ended September 30, 2022 was primarily attributable to a $0.5 million, or 24%, decrease in compensation costs for research and development personnel associated with the substantial completion of NKGen’s SNK01 sarcoma Phase I clinical trials, which occurred during the second half of 2022, partially offset by a $0.2 million increase in stock-based compensation expense as a result of stock option grants made during the first quarter of 2023 that vest over periods ranging from immediately upon grant to four years.
The decrease in allocated facility, equipment, and other expenses for the three months ended September 30, 2023 as compared to the three months ended September 30, 2022 was primarily attributable to a $0.1 million, or 55%, decrease in repair and maintenance costs due to decreased maintenance expenses during the nine months ended September 30, 2023 as compared to the nine months ended September 30, 2022, partially offset by a less than $0.1 million increase in utility costs.
The following table summarizes the components of our research and development expenses for the nine months ended September 30, 2023 and 2022 (in thousands):
Nine Months ended
September 30,
Change
2023
2022
$ Change
% Change
Total direct research and development expense
$ 1,387 $ 1,126 $ 261 23%
Indirect research and development expense by type:
Personnel-related costs
$ 6,132 $ 6,601 $ (469) (7)%
Research and development supplies and services
3,023 3,760 (737) (20)%
Allocated facility, equipment and other expenses
1,035 1,172 (137) (12)%
Total indirect research and development expense
10,190 11,533 (1,343) (12)%
Total research and development expense
$ 11,577 $ 12,659 $ (1,082) (9)%
Total research and development expenses decreased by $1.1 million, or 9%, for the nine months ended September 30, 2023 as compared to the nine months ended September 30, 2022. The decrease was primarily attributable to a decrease in total indirect research and development expenses of $1.3 million, or 12%, partially offset by a $0.3 million, or 23%, increase in total direct research and development expenses.
 
74

TABLE OF CONTENTS
 
The increase in direct research and development expenses for the nine months ended September 30, 2023 as compared to the nine months ended September 30, 2022 was primarily attributable to the commencement of our SNK02 Phase I clinical trials during the third quarter of 2023, partially offset by decreases in costs incurred in connection with the substantial completion of our SNK01 sarcoma Phase I clinical trials, which occurred during the second half of 2022, as well as the discontinuation of the strategic collaboration described in Note 13 of the condensed consolidated financial statements, which occurred in June 2023.
The decrease in total indirect research and development expenses for the nine months ended September 30, 2023 as compared to the nine months ended September 30, 2022 was primarily attributable to a $0.7 million, or 20%, decrease in research and development supplies and services, a $0.5 million, or 7%, decrease in personnel-related costs, and a $0.1 million, or 12%, decrease in allocated facility, equipment, and other expenses.
The decrease in research and development supplies and services for the nine months ended September 30, 2023 as compared to the nine months ended September 30, 2022 was primarily attributable to a $0.5 million, or 25%, decrease in laboratory supply costs due to decreased purchases of research and development materials during the nine months ended September 30, 2023 as compared to the nine months ended September 30, 2022, in addition to a $0.2 million, or 15%, decrease in professional fees due to decreased consulting and regulatory affairs costs.
The decrease in personnel-related costs or the nine months ended September 30, 2023 as compared to the nine months ended September 30, 2022 was primarily attributable to a $1.1 million, or 19%, decrease in compensation costs for research and development personnel associated with the substantial completion of NKGen’s SNK01 sarcoma Phase I clinical trials, which occurred during the second half of 2022, partially offset by a $0.7 million increase in stock-based compensation expense as a result of stock option grants made during the nine months ended September 30, 2023 that vest over periods ranging from immediately upon grant to four years.
The decrease in allocated facility, equipment, and other expenses for the nine months ended September 30, 2023 as compared to the three months ended September 30, 2022 was primarily attributable to a $0.1 million, or 41%, decrease in repair and maintenance costs due to decreased maintenance expenses during the nine months ended September 30, 2023 as compared to the nine months ended September 30, 2022, in addition to a $0.1 million, or 11%, decrease in depreciation expense, partially offset by a less than $0.1 million increase in utility costs.
General and Administrative Expenses
General and administrative expenses increased by $1.1 million, or 59%, for the three months ended September 30, 2023 as compared to the three months ended September 30, 2022. The increase was primarily attributable to an increase in stock-option compensation expense of $0.8 million as a result of stock option grants made during the first quarter of 2023 that vest over periods ranging from two to four years, as well as an increase in professional fees of $0.3 million, or 72%, due to increases in legal, consultant, and accounting costs incurred in relation to becoming a public company.
General and administrative expenses increased by $3.2 million, or 59%, for the nine months ended September 30, 2023 as compared to the nine months ended September 30, 2022. The increase was primarily attributable to an increase in stock-based compensation expense of $2.5 million as a result of stock option grants made during the nine months ended September 30, 2023 that vest over periods ranging from immediately upon grant to four years, in addition to increases in personnel-related costs of $0.4 million, or 18%, due to increases in salaries and wages, payroll taxes, and benefits.
Interest Expense
Interest expense decreased by $0.4 million, or 67%, for the three months ended September 30, 2023 as compared to the three months ended September 30, 2022. The decrease was primarily attributable to a decrease of $0.6 million, or 90%, in related party loans interest expense as a result of reductions in outstanding related party loan balances as of September 30, 2023 as compared to September 30, 2022, which bear an
 
75

TABLE OF CONTENTS
 
interest rate of 4.6%. Interest expense associated with the revolving line of credit was $0.1 million and was zero for the three months ended September 30, 2023 and 2022, respectively, due to timing of the establishment of the revolving line of credit facility, which was in June 2023.
Interest expense decreased by $1.4 million, or 82%, for the nine months ended September 30, 2023 as compared to the nine months ended September 30, 2022. The decrease was primarily attributable to a decrease of $1.5 million, or 90%, in related party loans interest expense as a result of reductions in outstanding related party loan balances as of September 30, 2023 as compared to September 30, 2022 in connection with conversions of certain related party loan balances into equity as described in Note 7 of the unaudited condensed consolidated financial statements as of and for the nine months ended September 30, 2023. Such related party loans bear an interest rate of 4.6%. Interest expense associated with the revolving line of credit was $0.1 million and was zero for the nine months ended September 30, 2023 and 2022, respectively, due to timing of the establishment of the revolving line of credit facility, which was in June 2023.
Change in Fair Value of Convertible Promissory Notes
The change in fair value of convertible notes for the three months ended September 30, 2023, was based upon the fair value of the Legacy Convertible Notes as of June 30, 2023 as compared to the fair value of the Legacy Convertible Notes upon conversion at Closing (exclusive of increases in fair value due to additional issuances). The expected conversion price (weighted down for the probability of the conversion event not occurring) as of June 30, 2023 was higher than the fair value of the shares issued upon the settlement of the Legacy Convertible Notes at Closing. As a result, we recognized a gain for the change in fair value of convertible promissory notes and convertible promissory notes due to related parties totaling $1.7 million for the three months ended September 30, 2023.
The change in fair value of convertible notes for the nine months ended September 30, 2023, was based upon the fair value of the Legacy Convertible Notes as of December 31, 2022 as compared to the fair value of the Legacy Convertible Notes upon conversion at Closing (exclusive of increases in fair value due to issuances). As of December 31, 2022, the probability of conversion was zero. At Closing, the Legacy Convertible Notes converted at their contractual discounts. As a result, we recognized a loss for the change in fair value of convertible promissory notes and convertible promissory notes due to related parties totaling $1.0 million for the nine months ended September 30, 2023.
We recognized a loss for the change in fair value of convertible promissory notes and convertible promissory notes due to related parties of $0.1 million for each of the three and nine months ended September 30, 2022 because of changes in expected conversion prices, probabilities of conversion, and the recognition of accrued interest during such periods.
Loss on Issuance of Forward Purchase Contract
The Closing of the Business Combination was on September 29, 2023, and therefore, loss on issuance of forward purchase contract was not a component of our results of operations during 2022.
Loss on issuance of forward purchase contract of $24.5 million for each of the three and nine months ended September 30, 2023 consisted of the initial recognition of the forward purchase derivative liability and the Bonus Shares issued in connection with the FPA Subscription Agreements and one side letter relating to the Forward Purchase Agreements.
Transaction Costs Expensed
The Closing of the Business Combination was on September 29, 2023, and therefore, transaction costs expensed was not a component of our results of operations during 2022.
Transaction costs expensed of $3.3 million for each of the three and nine months ended September 30, 2023 consisted of our transaction costs allocated on a relative fair value basis to liability-classified instruments issued in connection with the Business Combination.
Other Income, Net
Other income, net, decreased by less than $0.1 million for the three months ended September 30, 2023 as compared to the three months ended September 30, 2022. The increase was primarily attributable to
 
76

TABLE OF CONTENTS
 
sublease income earned of less than $0.1 million during the three months ended September 30, 2022. The sublease ended prior to July 2023.
Other income, net, increased by $0.1 million, or 107%, for the nine months ended September 30, 2023 as compared to the nine months ended September 30, 2022. The increase was primarily attributable to $0.1 million in COVID-19 payroll tax credits that were recognized during the nine months ended September 30, 2023, partially offset by a decline of less than $0.1 million in sublease income due to the expiration of a sublease for which NKGen was the lessor.
Comparison of the Years Ended December 31, 2021 and 2022
The following table summarizes NKGen’s results of operations (in thousands):
Fiscal Year Ended December 31,
Change
2021
2022
$ Change
% Change
Revenues $ 426 $ 77 $ (349) (82)%
Costs and expenses:
Cost of revenue
30 18 (12) (40)%
Research and development
14,672 16,746 2,074 14%
General and administrative
7,585 7,659 74 1%
Total expenses
22,287 24,423 2,136 10%
Loss from operations
(21,861) (24,346) (2,485) 11%
Other expenses:
Interest expense
(1,315) (2,306) (991) 75%
Other expenses, net
(84) (95) (11) 13%
Net loss before provision for income taxes
(23,260) (26,747) (3,487) 15%
Provision for income taxes
(5) (7) (2) (40)%
Net loss and comprehensive loss
$ (23,265) $ (26,754) $ (3,489) 15%
Revenues
Revenue decreased by $0.3 million, or 82%, for the year ended December 31, 2022 as compared to the year ended December 31, 2021. This decrease related entirely to the winding down of NKGen’s COVID-19 testing revenue stream during the year ended December 31, 2022.
Cost of Revenues
Cost of revenues decreased by less than $0.1 million, or 40%, for the year ended December 31, 2022 as compared to the year ended December 31, 2021. This decrease primarily relates to the reduction in test kit purchases due to the winding down of NKGen’s COVID-19 testing revenue stream during the year ended December 31, 2022.
Research and Development Expenses
The following table summarizes the components of NKGen’s research and development expenses (in thousands):
Years Ended December 31,
Change
2021
2022
$ Change
% Change
Total direct research and development expense
$ 2,247 $ 1,394 $ (853) (38)%
Indirect research and development expense by type:
Personnel-related costs
$ 7,038 $ 8,912 $ 1,874 27%
Research and development supplies and services
3,934 4,892 958 24%
 
77

TABLE OF CONTENTS
 
Years Ended December 31,
Change
2021
2022
$ Change
% Change
Allocated facility, equipment and other expenses
1,453 1,548 95 7%
Total indirect research and development expense
12,425 15,352 2,927 24%
Total research and development expense
$ 14,672 $ 16,746 $ 2,074 14%
Total research and development expenses increased by $2.1 million, or 14%, for the year ended December 31, 2022 as compared to the year ended December 31, 2021. The increase was primarily attributable to a $2.9 million, or 24%, increase in indirect research and development expenses, partially offset by a decrease in direct research and development expenses of $0.9 million, or 38%. NKGen expects direct research and development expenses to increase for the year ended December 31, 2023 as compared to the year ended December 31, 2022.
The decrease in direct research and development expenses in the year ended December 31, 2022 was primarily attributable to the completion in 2021 of NKMAX’s Phase I/IIa clinical trial for SNK01’s indication in the treatment of non-small cell lung cancer.
The increase in indirect research and development expenses was primarily attributable to increased personnel-related costs and research and development supplies and services. The increase in personnel-related costs was primarily attributable to a $1.9 million, or 29%, net increase in salaries, wages, bonuses, and payroll taxes per employee for higher-paid research and development personnel. The increase in research and development supplies and services was primarily attributable to a $0.5 million, or 26%, increase in laboratory supply costs due to increased purchases of research and development materials during the year ended December 31, 2022, in addition to a $0.4 million, or 24%, increase in professional fees due to increased consulting and regulatory affair costs.
General and Administrative Expenses
General and administrative expenses increased by $0.1 million, or 1% for the year ended December 31, 2022 as compared to the year ended December 31, 2021. The increase was primarily attributable to an increase in amortization expense of $0.5 million, or 409%, due to an additional lease that commenced during December 2021, partially offset by a decrease of $0.3 million, or 9%, in personnel-related expenses, as well as a decrease of $0.1 million, or 9%, in professional fees.
Interest Expense
Interest expense increased by $1.0 million, or 75% for the year ended December 31, 2022 as compared to the year ended December 31, 2021. The increase was primarily attributable to an increase of $1.0 million in related party loans interest expense as a result of $23.0 million in additional related party loan borrowings during 2022, which were borrowed ratably throughout 2022 prior to their conversion into common stock in December 2022.
Other Expenses, Net
Other expenses, net, increased by less than $0.1 million, or 13%, for the year ended December 31, 2022 as compared to the year ended December 31, 2021. The increase was primarily attributable to an increase of less than $0.1 million, or 23%, in losses on the change in fair value of convertible promissory notes.
Provision for Income Taxes
Provision for income taxes increased by less than $0.1 million or 40%, for the year ended December 31, 2022 as compared to the year ended December 31, 2021 primarily due to changes in deferred tax balances partially offset by valuation allowances.
Liquidity and Capital Resources
Funding Requirements and Going Concern
We have incurred operating losses since inception. We are still in our early stages of development and expects to continue to incur significant expenses and operating losses for the foreseeable future as we continue
 
78

TABLE OF CONTENTS
 
our research and preclinical studies and clinical trials, including our Phase I and Phase I/II clinical trials and anticipated Phase II clinical trials, expand our pipeline or scope of its current studies for our product candidates, initiates additional preclinical or other studies or clinical trials for our product candidates, changes or adds additional manufacturers or suppliers, seeks regulatory and marketing approvals for any of our product candidates that successfully complete clinical studies, if any, acquires or in-licenses other product candidates and technologies, maintains, protects and expands our intellectual property portfolio, attracts and retains skilled personnel, and experiences any delays or encounter issues with any of the above.
Until such time as we can generate substantial product revenue, if ever, we expect to finance our cash needs through a combination of equity and debt financings, or other capital sources, including with related parties. To the extent that we raise additional capital through the future sale of equity or debt, the ownership interest of our stockholders will be diluted. The terms of these securities may include liquidation or other preferences that adversely affect the rights of our existing common stockholders. If we raise additional funds through collaboration agreements, marketing agreements, or licensing arrangements, we may have to relinquish valuable rights to our technologies, future revenue streams or product candidates on terms that may not be favorable to us. If we are unable to raise sufficient funds through equity or debt financings, we may be required to delay, limit, curtail or terminate our product development or future commercialization efforts or may be forced to cease operations or file for bankruptcy protection. Additionally, we may never become profitable, or if we do, may not be able to sustain profitability on a recurring basis.
We do not currently have, and we do not currently expect to have, sufficient funds to service our operations and our expenses and other liquidity needs and will require additional capital immediately. In addition, our management has expressed substantial doubt as to our ability to continue as a going concern, including after consummation of the Business Combination. As of September 30, 2023 and December 31, 2022, we had cash and cash equivalents of approximately $8.8 million and $0.1 million, respectively, and working capital deficits of approximately $31.5 million and $14.4 million, respectively. On September 29, 2023, we received upon the closing of Business Combination: (i) an aggregate amount of $20.2 million from private placement financing, including (A) $10.0 million under the Securities Purchase Agreement with NKMAX and (B) $10.2 million under the Warrant Subscription Agreements with certain investors; (ii) approximately $0.8 million in proceeds from the Trust Account based on the number of shares that have not been redeemed by Graf Stockholders as of September 29, 2023. In addition, we will receive proceeds from any cash exercise of any Warrants. However, to the extent that any Private Warrants, Working Capital Warrants or PIPE Warrants are exercised on a cashless basis, we would not receive any cash. We believe the likelihood that warrant holders will exercise their warrants, and therefore the amount of cash proceeds that we will receive, is dependent upon the market price of our common stock. The value of our common stock will fluctuate and may not align with the exercise price of the warrants at any given time. We believe that if the Warrants, SPA Warrants and PIPE Warrants are “out of the money,” meaning the exercise price is higher than the market price of our common stock, there is a high likelihood that warrant holders may choose not to exercise their warrants.
We have incurred substantial transaction expenses in connection with the Business Combination. Approximately $14.3 million in transaction expenses and deferred underwriter fees were settled upon the consummation of the Business Combination. However, we continue to have substantial transaction expenses accrued and unpaid subsequent to the Closing. As of October 31, 2023, we had approximately $10.6 million in accounts payable and accrued expenses, including transaction expenses from the Business Combination and our ongoing business operations. Furthermore, we expect to incur additional expenses in connection with transitioning to, and operating as, a public company. We intend to seek delays on certain payments and explore other ways of potentially reducing immediate expenses with the goal of preserving cash until potential additional financing is secured, but these efforts may not be successful or sufficient in amount or on timely basis to meet our ongoing capital requirements. We are in discussions with certain financing sources to attempt to secure additional interim financing by the end of December 2023, which is needed to continue operations and fund other liquidity needs. In the absence of additional sources of liquidity, the management anticipates that existing cash resources will not be sufficient to meet operating and liquidity needs beyond the end of December 2023. However, there is no assurance that we will be able to timely secure such additional liquidity or be successful in raising additional funds or that such required funds, if available, will be available on acceptable terms or that they will not have a significant dilutive effect on our existing stockholders. In addition, we are unable to determine at this time whether any of these potential sources of
 
79

TABLE OF CONTENTS
 
liquidity will be adequate to support our operations or provide sufficient cash flows to us to meet our obligations as they become due and continue as a going concern. In the event we determine that additional sources of liquidity will not be available to us or will not allow us to meet our obligations as they become due, we may need to file a voluntary petition for relief under the United States Bankruptcy Code in order to implement a restructuring plan or liquidation. This could potentially cause us to cease operations and result in a complete or partial loss of investment in our common stock.
Additionally, we have $20.2 million in outstanding debts as of September 30, 2023, inclusive of our revolving line of credit with East West Bank, loan with related parties and the Senior Convertible Notes. Moreover, our revolving line of credit with East West Bank, which is secured by all of our assets, requires us to maintain a minimum cash balance of $15.0 million with the bank by December 31, 2023 and at all times thereafter as long as there is an outstanding balance under the revolving line of credit, and the failure of which could result in foreclosure on its assets. See “Risk Factors — Risks Related to Our Financial Position — The East West Bank Loan Agreement provides the lender with a security interest in all of our assets, and contains financial covenants and other restrictions on our actions that may limit our operational flexibility or otherwise adversely affect our results of operations” for more details.
Because the proceeds from the Business Combination and our recent financing arrangements described herein, including the Forward Purchase Agreements, the Warrant Subscription Agreements and the Securities Purchase Agreement, are not adequate to cover our accrued and unpaid expenses and provide the cash and liquidity necessary to operate our business, we continue to seek equity and debt financings, or other capital sources, including with related parties. Sales of a substantial number of shares of our common stock in the public market, including resales by the selling securityholders as covered by this offering or resales by other stockholders, could occur at any time. Such sales, or the perception in the market that such sales could occur, could result in a material decline in the public trading price of our common stock. Such a decline could adversely affect our ability to sell equity securities or the price at which we are able to sell equity securities and/or make it more difficult for us to raise additional capital through the sale of equity securities. For more information, see “Risk Factors — Risks Related to Ownership of Our Securities — The shares of common stock being offered in this prospectus represent a substantial percentage of our outstanding common stock, and the sales of such shares, or the perception that these sales could occur, could cause the market price of our common stock to decline significantly.” In addition, to the extent that we raise additional capital through the future sale of equity or debt, the ownership interest of our stockholders will be diluted. The terms of these securities may include liquidation or other preferences that adversely affect the rights of our existing common stockholders. If we raise additional funds through collaboration agreements, marketing agreements, or licensing arrangements, we may have to relinquish valuable rights to our technologies, future revenue streams or product candidates on terms that may not be favorable to it.
We have considered that our long-term operations anticipate continuing net losses and the need for potential debt or equity financing. However, there can be no assurances that additional funding or other sources of capital will be available on terms acceptable to us, or at all. If additional capital is not secured when required, we may need to delay or curtail our operations until such funding is received. If we cannot expand our operations or otherwise capitalize on our business opportunities because we lack sufficient capital, our business, financial condition and results of operations could be materially adversely affected.
As a result of these conditions, we have concluded that there is substantial doubt over our ability to continue as a going concern as conditions and events, considered in the aggregate, indicate that we are currently unable to meet our obligations as they become due and expect to be unable to meet our obligations within one year after the date that the financial statements included in this prospectus were originally issued. The accompanying financial statements have been prepared on a going concern basis, which contemplates the realization of assets and settlement of liabilities and commitments in the normal course of business. The financial information and financial statements do not include any adjustments that might be necessary if we are unable to continue as a going concern. Our ability to continue as a going concern is dependent upon our ability to raise additional funds and financing. We will need to raise additional capital immediately to continue operations based on our current business plan, and expectations and assumptions considering current macroeconomic conditions. There can be no assurance that we will be able to secure such additional funding on acceptable terms and conditions, or at all. If we cannot obtain sufficient capital immediately, we will not have sufficient cash flows and liquidity to finance our business
 
80

TABLE OF CONTENTS
 
operations as currently contemplated and we may need to substantially alter, or possibly even discontinue, our operations. In the event of a bankruptcy proceeding or insolvency, or restructuring of our capital structure, our stockholders could suffer a total loss of their investment.
Our future capital requirements and the adequacy of available funds will depend on many factors, including those set forth in the section of the prospectus entitled “Risk Factors.”
Sources of Liquidity
To date, we have funded our operations primarily with the proceeds from the issuance of convertible promissory notes, loans from related parties, and draws upon revolving lines of credit. As of September 30, 2023, we had cash and cash equivalents of $8.8 million and restricted cash of $0.3 million. In the future, we expect to finance our cash needs through a combination of equity and debt financings, including with related parties.
Senior Convertible Notes
We entered into the Securities Purchase Agreement with NKMAX for total proceeds of $10.0 million, with a four-year term and an interest rate of 5.0% paid in cash semi-annually or 8.0% paid in kind, which were issued upon Closing on September 29, 2023. We currently expect to make their interest payments in-kind in lieu of periodic cash payments. The Senior Convertible Notes have a conversion price of $10.00 per share of common stock (subject to anti-dilution adjustments in the event of stock splits and the like), and a put option. The put option may be exercised by NKMAX 2.5 years after the issuance of the Senior Convertible Notes. No less than six months after exercise of the put option, we will be required to repay all principal and accrued interest of the Senior Convertible Notes. Additionally, as described in Note 5, Warrants of the unaudited condensed consolidated financial statements, in connection with the Securities Purchase Agreement, the SPA Warrants were issued to NKMAX. There are no financial or non-financial covenants associated with the Senior Convertible Notes.
Legacy Convertible Notes
From November to December 2019, we issued the 2019 Convertible Notes and the 2019 Related Party Convertible Notes, and from March to September 2023, we issued the 2023 Convertible Notes and the 2023 Related Party Convertible Notes, collectively referred to as the Legacy Convertible Notes.
Total proceeds raised from the 2019 Convertible Notes and 2019 Related Party Convertible Notes were $10.8 million and $0.3 million, respectively, which each bore interest at 1.68% per year and had a maturity date of December 31, 2023. Total proceeds raised from the 2023 Convertible Notes and 2023 Related Party Convertible Notes were $6.1 million and $0.1 million, respectively, which each bore interest at 4.55% per year and had maturity dates of three years from their respective issuance dates. The terms of the Legacy Convertible Notes provided for conversion into common stock at a discount upon the occurrence of a qualified financing transaction, including upon the Closing of the Business Combination.
The Closing of the Business Combination triggered the conversion of the Legacy Convertible Notes at their contractual discounts. Pursuant to their terms, all of the Legacy Convertible Notes were converted into 5,579,266 shares of Legacy NKGen common stock, which then converted into 2,278,598 shares of common stock at Closing based on the Exchange Ratio.
Revolving Line of Credit
In June 2023, we entered into a $5.0 million revolving line of credit agreement with a commercial bank with a one-year term and an interest rate based on the higher of (i) the one month secured overnight financing rate plus 2.85% or (ii) 7.50%. Issuance fees of $0.1 million were incurred in connection with this revolving line of credit. All outstanding balances under the revolving line of credit are due and payable on June 20, 2024. The revolving line of credit is secured by all of our assets, including a deed of trust over our owned real property located in Santa Ana, California. Additionally, we are required to maintain a restricted cash balance of $0.3 million following the issuance. We will be required to maintain deposits with the lender in
 
81

TABLE OF CONTENTS
 
an amount of at least $15.0 million at all times by December 31, 2023 until June 20, 2024. As of September 30, 2023, the interest rate for the revolving line of credit is 8.17%.
Through September 30, 2023, we drew down $4.9 million upon the revolving line of credit and no repayments of drawdowns occurred.
Related Party Loans
Between August 2019 and April 2023, we entered into Related Party Loans with NKMAX.
In December 2022, the then-outstanding aggregate Related Party Loans’ principal and interest of $66.1 million was converted into 17,002,230 shares of common stock which was recognized as a capital contribution as of and for the year ended December 31, 2022.
From January through April 2023, we entered into additional Related Party Loans with NKMAX for aggregate gross proceeds of $5.0 million. These additional Related Party Loans bear an interest rate of 4.6% and mature on December 31, 2024. There are no financial or non-financial covenants associated with the Related Party Loans. The additional Related Party Loans are not convertible into equity.
Short Term Related Party Loan
In September 2023, we raised $0.3 million in proceeds in connection with the Short Term Related Party Loan, which bore a 30-day term and an interest rate of 5.12%. The Short Term Related Party Loan was not convertible into equity and was subsequently repaid on October 5, 2023.
SPA Warrants
Together with the issuance of the senior convertible notes described in Note 5, Warrants, of the unaudited condensed consolidated financial statements 1,000,000 warrants were issued to NKMAX at an exercise price of $11.50 per warrant. The terms of the SPA Warrants are identical to the terms of the Public Warrants. The SPA Warrants are equity classified due to terms indexed to our own stock and the satisfaction of other equity classification criteria.
PIPE Warrants
Prior to the Closing, we entered into Warrant Subscription Agreements with certain investors (the “Warrant Investors”), pursuant to which the Investors agreed to purchase an aggregate of 10,209,994 warrants, at a purchase price of $1.00 per warrant. The PIPE Warrants are exercisable for cash (or by “cashless” exercise under certain circumstances) during the five-year period beginning on the Closing Date. One-third of the PIPE Warrants are exercisable initially at $10.00, one-third of the PIPE Warrants are exercisable initially at $12.50, and one-third of the PIPE Warrants are exercisable initially at $15.00. The initial exercise prices of each tranche are subject to adjustment every 180 days after the Closing based upon declines in trading prices of our common stock, as well as antidilution adjustments for stock splits, stock dividends, and the like. In addition, the PIPE Warrants contain a downside protection provision whereby the Warrant Investors may demand a cashless exchange of certain PIPE Warrants and to the extent the relevant reference price is less than $1.50, a cash payment calculated as the difference between $1.50 and the then-current exercise price multiplied by the applicable number of warrant shares shall be paid to the Warrant Investors. The PIPE Warrants are liability classified due to terms not indexed to our own stock and their cash settlement provisions.
Forward Purchase Agreements, FPA Subscription Agreements, and Side Letter
Overview
Prior to the Closing, we entered into Forward Purchase Agreements, subscription agreements in connection with such Forward Purchase Agreements (“FPA Subscription Agreements”), and one side letter (discussed below) with the FPA Investors. Concurrently with the Closing of the Business Combination and pursuant to the Forward Purchase Agreements and FPA Subscription Agreements, the FPA Investors purchased an aggregate of 3,168,121 shares of common stock (“Subscribed Shares”) in exchange for a
 
82

TABLE OF CONTENTS
 
subscription receivable of $32.9 million (“Prepayment Amount”), which was placed into escrow accounts for the benefit of the FPA Investors (“Escrow Accounts”) with Continental Stock Transfer & Trust Company (“Escrow Agent”). All interest earned on the funds in the Escrow Accounts will be released to the FPA Investors. In addition to the Subscribed Shares, the FPA Investors received an aggregate 314,889 share consideration shares (“Share Consideration Shares”) for no cash consideration pursuant to the respective FPA Subscription Agreements, of which 80,000 Share Consideration Shares were newly issued shares. In addition, certain of the FPA Investors received 200,000 structuring shares for no cash consideration, pursuant to a side letter (“Structuring Shares”, collectively with the Share Consideration Shares, “Bonus Shares”). These Bonus Shares are not subject to any escrow arrangement.
Settlement following the Valuation Date
The Forward Purchase Agreements are scheduled to settle following the occurrence of the Valuation Date and the conclusion of a Valuation Period, as further described below. At settlement, following the Valuation Date, the amounts held in the Escrow Accounts would be disbursed to us and/or the FPA Investors, depending on (i) the number of Subscribed Shares that are still subject to the relevant Forward Purchase Agreement (and not subject to the Optional Early Termination described below), (ii) whether such Subscribed Shares have been sold by the FPA Investors prior to the Valuation Date, (iii) the Reset Price as of the Valuation Date and (iv) the volume weighted average price per share of our common stock over the Valuation Period (the “VWAP Price”).
For purposes of the Forward Purchase Agreements:

The “Valuation Date” is the earlier of (i) the date that is 12 months after the Closing Date and (ii) the date specified by a FPA Investor in a written notice delivered to us at the FPA Investor’s discretion (the “Valuation Date”) after the occurrence of any of (a) a VWAP Trigger Event, which is an event that occurs if the VWAP Price for any 20 trading days during a 30 consecutive trading day-period after 30 days after the Closing is below $2.00 per share; (b) a Delisting Event, which is an event that occurs if our common stock cease to be listed on any national securities exchange and continues for 10 calendar days; (c) a Registration Failure, which is an event that occurs if we fail to register relevant shares held by the FPA Investors for resale within the time period provided in the Forward Purchase Agreements; and (d) certain other events which no longer apply given that the Closing has taken place.

The “Valuation Period” commences on the Valuation Date, and ends at 4:00 PM on the trading day on which 10% of the total volume traded in the shares over the period, excluding any volumes traded during the opening and closing auctions, has reached an amount equal to the Subscribed Shares outstanding as of the Valuation Date, plus the estimated maturity shares (which is the VWAP Price over the 15 trading days ending on but excluding the Valuation Date), less any shares owned by FPA Investors that are neither unregistered for resale nor eligible for resale under Rule 144.

The “Reset Price” was initially set as the redemption price from the Closing, which was $10.44 per share (the “Initial Redemption Price”); but if we sell, issue or grant any common stock or securities convertible or exchangeable into our common stock (excluding any secondary transfers) at a price below the then applicable Reset Price (a “Dilutive Offering”), then the Reset Price will be reduced to such lower price as of such date (a “Dilutive Offering Reset”). The Reset Price is used as the settlement share price in the calculations for settlement at maturity and in the case of an Optional Early Termination (as defined below), which are discussed in turn below, and works as a “floor” share price for sales to effect Prepayment Shortfall (as defined below). A Dilutive Offering with a sales price that is lower than the Initial Redemption Price would effectively decrease the Reset Price, which could in turn result in less money to be released to us based on the formulas as set out in the Forward Purchase Agreements as discussed below. In addition, the Reset Price may influence the FPA Investors’ decision to sell, early terminate or hold part or all their shares, and sales of such shares could result in fluctuations in the trading volume and/or trading price of our common stock. Such volatility in the trading volume and/or trading price of our common stock could adversely affect our ability to raise additional funds.

The “Cash Settlement Payment Date” is the tenth business day following the last date of the Valuation Period and is the date on which amounts will be remitted to us and/or the FPA Investors from the Escrow Accounts.
 
83

TABLE OF CONTENTS
 
The settlement of the Forward Purchase Agreements following the Valuation Date will be calculated differently for Subscribed Shares that have been sold by the FPA Investors prior to the Valuation Date and for Subscribed Shares that have not been sold by the FPA Investors prior to the Valuation Date:

If shares have been sold by the FPA Investors prior to the Valuation Date: On the Cash Settlement Payment Date, we will receive an amount from the Escrow Accounts equal to the product of (i) the number of Subscribed Shares that have been sold by the FPA Investors as of the Valuation Date and (ii) the Reset Price as of the Valuation Date (the “Settlement Amount”). The FPA Investors will receive all other amounts in the Escrow Accounts, including any interest earned on the funds in the Escrow Account.
For example, assuming the FPA Investors sold 1,000,000 shares prior to the Valuation Date, and the existing Reset Price is $2.50 per share, we would receive the Settlement Amount that equals to 1,000,000 multiplied by $2.50, which equals $2,500,000. The remaining funds in the Escrow Accounts with respect to the 1,000,000 shares would be paid to the FPA Investors.

For shares not sold by the FPA Investors as of the Valuation Date: On the Cash Settlement Payment Date, we will receive an amount from the Escrow Accounts equal to (i) the number of Subscribed Shares that have not been sold as of the Valuation Date and (ii) the VWAP Price over the Valuation Period (as defined below), which shall not be less than zero, less (iii) an amount equal to $2.00 per such shares (the “Settlement Amount Adjustment”), unless we previously paid by the Settlement Amount Adjustment in shares of common stock; and the FPA Investors will receive the Settlement Amount Adjustment and all other remaining amounts in the Escrow Accounts including any interest earned on the funds in the Escrow Account.
For example, assuming the FPA Investors held 1,000,000 Subscribed Shares until maturity and the VWAP Price over the Valuation Period is $2.50 per share, then the amounts to be released to us would be $500,000 calculated as (a) 1,000,000 multiplied by $2.50, minus (b)  1,000,000 multiplied by $2.00. The Settlement Amount Adjustment of $2.0 million calculated in step (b) above in this example would be released to the FPA Investors, along with any remaining funds in the Escrow Accounts with respect to such shares.
In addition, if the FPA Investors hold some or all of their Subscribed Shares until the Valuation Date, and the VWAP Price for any 20 trading days during a 30 consecutive trading day-period is less than $2.00 per share, then we would be required to pay the Settlement Amount Adjustment in stock (unless we elect to pay it in cash), which could cause substantial dilution and further depress the stock price of our common stock. For example, if the FPA Investors held 1,000,000 shares until the Valuation Date, and the applicable VWAP Price was $1.00 per share (which is less than $2.00 per share), then we would be obligated to pay the amount that equals (a) 1,000,000 multiplied by (b) $2.00 minus $1.00, which is $1 million in stock, unless we elect to pay such amount in cash. If we are unable to pay such amount in stock, we may be required under certain of the agreements with the FPA Investors to settle any shortfall in the payment of the Settlement Amount Adjustment in cash. In any case, we would not receive any cash proceeds in this situation and could face adverse effects on its liquidity or financial position, which could negatively impact our business and results of operations. Such activities could also adversely affect the trading price of our common stock, which may also negatively affect the trading positions of other securityholders.
Optional Early Termination
From time to time and prior to the Valuation Date (any such date, an “OET Date”), each FPA Investor may, in its absolute discretion, terminate in whole or in part of its Forward Purchase Agreement (“Optional Early Termination”) by providing written notice to us and, if applicable, the Escrow Agent (which shall specify the quantity by which the number of shares subject to the escrow arrangement shall be reduced (such quantity, the “Terminated Shares”)). As of each OET Date, we shall be entitled to an amount from the Escrow Account equal to the product of (i) the number of Terminated Shares and (ii) the Reset Price as of such OET Date. The FPA Investors would receive an amount that equal to the product of (x) the number of Terminated Shares and (y) the difference between the Initial Redemption Price, which was $10.44 per
 
84

TABLE OF CONTENTS
 
share, and the existing Reset Price from the Escrow Account, in addition to the proceeds from the sales of the Terminated Shares in the open market.

If the trading price of NKGen common stock is higher than the existing Reset Price: The FPA Investors may choose to exercise their Optional Early Termination rights with respect to any Subscribed Shares that they have resold. For example, if the trading price of NKGen common stock is $3.50 per share, and the existing Reset Price is $1.00 per share, and a FPA Investor elects to early terminate 100,000 shares, then we would receive funds from the Escrow Account that equals 100,000 multiplied by $1.00, which equals $100,000. The FPA Investor would receive $944,000 from the Escrow Account which is calculated as (x) 100,000 multiplied by (y) $10.44 minus $1.00. In addition, the FPA Investor would also have received the proceeds from the sale of those Subscribed Shares. For example, assuming the FPA Investor sold those Subscribed Shares for $3.50 per share in the open market, the FPA Investor could potentially receive an additional $350,000 calculated as 100,000 multiplied by $3.50, resulting in an aggregate $1,294,000 from the Escrow Account and the open market sales.
Alternatively, an FPA Investor could choose to sell, for example, the 100,000 shares but elect not to exercise its Optional Early Termination right with respect to such shares, in which case the shares would be considered sold as of the Valuation Date and the calculations described above for shares sold prior to the Valuation Date would apply.
In comparison, if the FPA Investors were to hold the 100,000 shares until maturity (or the Valuation Date), and assuming if the then VWAP Price is $3.50 per share and Reset Price at $1.00 per share, then the FPA Investors would receive (i) the Settlement Amount Adjustment, which would be 100,000 multiplied by $2.00 equaling $200,000, and (ii) (a) 100,000 multiplied by (b) $10.44 minus $3.50, equaling $694,000, plus (iii) $350,000 from the potential open market sales (based on 100,000 multiplied by $3.00, assuming the FPA Investors sell the 100,000 shares at $3.00 per share in the open market), for an aggregate amount of $1,244,000.
Accordingly, if the trading price exceeds the existing Reset Price by more than $2.00 per share, given the $2.00 per share difference of the Settlement Amount Adjustment which is only paid to FPA Investors if the shares are held until maturity, the FPA Investors will be economically incentivized to sell Subscribed Shares and exercise the Optional Early Termination rights as they would receive potentially more consideration collectively from the Escrow Account and from proceeds from such sales in the open market, less amounts payable to us than if they were to hold the Subscribed Shares until the Valuation Date (as discussed above). Any such sales could increase the volatility of the trading price and/or result in a decline in the trading price of the NKGen common stock.

If the trading price of NKGen common stock is lower than the existing Reset Price: The FPA Investors will not benefit from the upside scenario discussed above.
Prepayment Shortfall
In addition to the Settlement Amount Adjustment (discussed above), which reduces the cash payment to us for the benefit of the FPA Investors in respect of unsold shares held through maturity, the FPA Investors are also entitled to a prepayment shortfall amount that equals to 0.5% of their Subscribed Shares multiplied by the Initial Redemption Price of $10.44 (the “Prepayment Shortfall”). The FPA Investors may effect sales of Subscribed Shares, with sales during the first six months following the Closing being sold at price no less than the existing Reset Price, to cover the Prepayment Shortfall. Such sales are excluded from the Optional Early Termination calculations and are intended to allow the FPA Investors to cover their legal expenses and fees. If the FPA Investors cannot reach the Prepayment Shortfall, then we may, within five business days, decide to either (i) pay the difference between the sales proceeds and the Prepayment Shortfall in cash or (ii) issue and deliver additional shares that equal to such shortfall divided by 90% of the VWAP Price, within 30 calendar days.
Rationale for entering into the Forward Purchase Agreements and Related Agreements
We entered into the Forward Purchase Agreements and the related agreements with the FPA Investors for the funds in the Escrow Accounts, which will be released to us and the FPA Investors in accordance with
 
85

TABLE OF CONTENTS
 
the Forward Purchase Agreements as discussed above. We determined that such arrangements would facilitate the Closing of the Business Combination and that the potential release of such funds to us will support our operations. The amounts to be potentially released to us from the Escrow Accounts will be based on the trading price over the Valuation Period and the applicable Reset Price. However, we may not receive all the funds in the Escrow Accounts and may be required to pay the Settlement Amount Adjustment in stock or in cash as discussed above. In accordance with the Forward Purchase Agreements, the FPA Investors are expected to be made whole on their respective Prepayment Amounts through (i) funds to be released from the Escrow Accounts, as they will receive the amount that equals to the difference between the Initial Redemption Price and the applicable Reset Price and, in the case where their shares are unsold and held until maturity, the Settlement Amount Adjustment as well, and (ii) potential proceeds from sales of the shares in the open market, plus the Prepayment Shortfall as discussed above and any open market sales of the Bonus Shares, which are not subject to the escrow arrangement.
Working Capital Warrants
Prior to the Closing, Graf executed drawdowns upon a working capital loan facility. Upon Closing, the $0.8 million balance of the working capital loan facility was settled through its conversion into 523,140 warrants (“Working Capital Warrants”). The terms of the Working Capital Warrants are identical to the terms of the Private Warrants. The Working Capital Warrants are liability classified due to terms not indexed to our own common stock.
We did not receive any proceeds from the Working Capital Warrants upon the issuance at Closing but may receive proceeds upon their exercise.
Public Warrants
In connection with Graf’s IPO, 3,432,286 warrants were issued to Graf’s investors. The Public Warrants, which entitle the registered holder to purchase one share of the Company’s common stock, have an exercise price of $11.50, became exercisable 30 days after the completion of the Business Combination and are set to expire five years from the completion of the Business Combination, or earlier upon redemption. The Public Warrants may be called for redemption at our sole discretion if our stock price equals or exceeds $18.00 per share and other certain conditions are met. The Public Warrants are equity classified due to terms indexed to the Company’s own stock and the satisfaction of other equity classification criteria.
We did not receive any additional proceeds from the Public Warrants at Closing but may receive proceeds upon their exercise.
Private Warrants
Concurrently with Graf’s IPO, Graf issued 4,721,533 warrants to Graf Acquisition Partners IV LLC. The terms of the Private Warrants are identical to the Public Warrants, except that they are subject to certain transfer and sale restrictions and are not optionally redeemable so long as they are held by the initial purchasers or their permitted transferees. Additionally, the Private Warrants are exercisable on a cashless basis. If the Private Warrants are held by someone other than the initial purchasers or their permitted transferees, the Private Warrants will be redeemable by us and exercisable by such holders on the same basis as the Public Warrants. The Private Warrants are liability classified due to terms not indexed to our own stock.
We did not receive any additional proceeds from the Private Warrants at Closing but may receive proceeds upon their exercise.
Employee Stock Purchase Plan
We have adopted the ESPP (as defined below) at the Closing. The maximum number of shares of NKGen common stock that may be issued under the ESPP is 3% of the fully diluted common stock of NKGen, determined as of immediately following Closing. Such maximum number of shares is subject to automatic annual increases. NKGen employees and the employees of any designated affiliates may participate
 
86

TABLE OF CONTENTS
 
in the ESPP. The purchase price of the ESPP shares is 85% of the lesser of the fair market value of NKGen common stock on the first day of an offering or on the applicable date of purchase.
Cash Flows
The following is a summary of NKGen’s cash flows (in thousands):
Nine Months ended
September 30,
Fiscal Year ended
December 31,
2022
2023
2021
2022
Net cash used in operating activities
$ (17,091) $ (15,009) $ (19,548) $ (22,557)
Net cash used in investing activities
$ (158) $ (30) $ (459) $ (163)
Net cash provided by financing activities
$ 16,985 $ 23,958 $ 20,159 $ 22,486
Net cash used in operating activities
The decrease in net cash used in operating activities of $2.1 million for the nine months ended September 30, 2023 as compared to the nine months ended September 30, 2022 was primarily attributable to decreased research and development expenditures due to the substantial completion of NKGen’s SNK01 sarcoma Phase I clinical trials, which occurred during the second half of 2022.
Net cash used in operating activities of $15.0 million for the nine months ended September 30, 2023 was primarily attributable to NKGen’s net loss of $49.3 million, partially offset by changes in operating assets and liabilities of $0.8 million and $33.5 million in non-cash charges, which primarily relate to $24.5 million due to the loss on the issuance of the forward purchase contract, $3.3 million in transaction costs expensed, $1.0 million in changes in the fair value of Legacy Convertible Notes, $3.2 million in stock-based compensation, $0.9 million of depreciation and amortization, and $0.3 million in noncash lease expense and $0.3 million in noncash interest expense, including related party amounts.
Net cash used in operating activities of $17.1 million for the nine months ended September 30, 2022 was primarily attributable to NKGen’s net loss of $19.8 million and changes in operating assets and liabilities of $0.3 million, partially offset by $3.0 million in non-cash charges, which primarily relate to $1.6 million of related party non-cash interest expense, $0.9 million of depreciation and amortization, $0.3 million in noncash lease expense, and $0.1 million each in changes in the fair value of Legacy Convertible Notes and stock-based compensation.
The increase in net cash used in operating activities of $3.0 million for the year ended December 31, 2022 as compared to the year ended December 31, 2021 was primarily attributable to increased indirect research and development expenditures. Net cash used in operating activities of $19.5 million for the year ended December 31, 2021 was primarily attributable to NKGen’s net loss of $23.3 million, partially offset by $2.8 million in non-cash charges, which primarily relate to $1.3 million of related party non-cash interest expense, $1.1 million of depreciation and amortization and $0.1 million in amortization of operating lease right-of use assets.
Net cash used in operating activities of $22.6 million for the year ended December 31, 2022 was primarily attributable to NKGen’s net loss of $26.8 million, partially offset by $4.2 million in non-cash charges, which primarily relate to $2.3 million of related party non-cash interest expense, $1.2 million of depreciation and amortization and $0.4 million in amortization of operating lease right-of use assets.
Net cash used in investing activities
The decrease in net cash used in investing activities of $0.1 million for the nine months ended September 30, 2023 as compared to nine months ended September 30, 2022 was primarily attributable to decreased purchases of property and equipment.
Net cash used in investing activities was less than $0.1 million for the nine months ended September 30, 2023, which consisted of less than $0.1 million in purchases of capitalized software.
 
87

TABLE OF CONTENTS
 
Net cash used in investing activities was $0.2 million for the nine months ended September 30, 2022, which consisted of less than $0.1 million in purchases of capitalized software and $0.1 million in purchases of property and equipment.
The decrease in net cash used in investing activities of $0.3 million for the year ended December 31, 2022 as compared to the year ended December 31, 2021 was primarily attributable to decreased purchases of capitalized software expenditures.
Net cash used in investing activities was $0.5 million for the year ended December 31, 2021, which primarily consisted of $0.4 million in purchases of property and equipment and $0.1 million in purchases of capitalized software.
Net cash used in investing activities was $0.2 million for the year ended December 31, 2022, which consisted of $0.1 million in purchases of property and equipment and $0.1 million in purchases of capitalized software.
Net cash provided by financing activities
The increase in net cash provided by financing activities of $7.0 million for the nine months ended September 30, 2023 as compared to the nine months ended September 30, 2022 was primarily attributable to increased proceeds from related party loans, issuances of senior convertible promissory notes, draws upon a revolving line of credit, issuances of warrants, partially offset by payments of transaction costs as well as deferred underwriting fees.
Net cash provided by financing activities was $24.0 million for the nine months ended September 30, 2023, which primarily consisted of proceeds of $10.0 million from the issuance of Senior Convertible Notes with SPA Warrants, $10.2 million from the issuance of PIPE Warrants, $5.3 million from Related Party Loans and Short Term Related Party Loans, $6.2 million from issuances of Legacy Convertible Notes, $4.9 million from draws on revolving line of credit facility and $1.7 million from the issuance of common stock, partially offset by $13.1 million in payments of transaction costs, $1.3 million in payments of deferred underwriting fees, and $0.1 million for the payment of debt issuance costs on the revolving line of credit.
Net cash provided by financing activities was $17.0 million for the nine months ended September 30, 2022, which primarily consisted of proceeds of $17.5 million from Related Party Loan and $0.2 million from exercises of common stock options, partially offset by $0.7 million in repayments on payroll protection program loans.
The increase in net cash provided by financing activities of $2.3 million for the year ended December 31, 2022 as compared to the year ended December 31, 2021 was primarily attributable to increased proceeds from related party loans.
Net cash provided by financing activities was $20.2 million for the year ended December 31, 2021, which consisted of proceeds of $20.5 million from related party loans and $0.1 million from exercises of common stock options, partially offset by $0.4 million in repayments on payroll protection program loans for which NKGen had received $1.1 million of proceeds in May 2020.
Net cash provided by financing activities was $22.5 million for the year ended December 31, 2022, which consisted of proceeds of $23.0 million from related party loans and $0.2 million from exercises of common stock options, partially offset by $0.7 million in repayments on payroll protection plan loans for which no amounts remain outstanding as of December 31, 2022.
Contractual Obligations and Commitments
In February 2018, we entered into an operating lease agreement for office space located in 10 Pasteur, Irvine with a lease term of approximately five years. Rent payments commenced in February 2018. The lease expired on February 5, 2023.
In October 2021, we entered into an operating lease agreement for office space located in 19700 Fairchild with a lease term of approximately two years with an option to extend the term for one two-year term, which at the time was not reasonably assured of exercise and, therefore, not included in the lease term. Rent
 
88

TABLE OF CONTENTS
 
payments commenced in December 2021. The lease expires on December 31, 2023, and the future obligation until expiration is $0.1 million as of September 30, 2023.
Critical Accounting Policies and Estimates
Our management’s discussion and analysis of our financial condition and results of operations is based on our financial statements, which have been prepared in accordance with generally accepted accounting principles in the United States, or GAAP. The preparation of these financial statements requires our management to make estimates and assumptions that affect the reported amounts of assets and liabilities and the disclosure of contingent assets and liabilities at the date of the financial statements, as well as the reported revenues and expenses during the reporting periods. We evaluate these estimates and judgments on an ongoing basis. We base our estimates on historical experience and on various other factors that we believe are reasonable under the circumstances, the results of which form the basis for making judgments about the carrying value of assets and liabilities that are not readily apparent from other sources. Our actual results may differ from these estimates under different assumptions or conditions.
While our significant accounting policies are more fully described in Note 2 to our financial statements, we believe that the following accounting policies are the most critical to fully understanding and evaluating our financial condition and results of operations.
Accrued Clinical and Research and Development Expenses
All research and development costs are expensed in the period incurred. Research and development expenses primarily consist of services provided by contract organizations for clinical development, salaries and related expenses for personnel, including stock-based compensation expense, outside service providers, facilities costs, fees paid to consultants and other professional services, license fees, depreciation and supplies used in research and development. Payments made prior to the receipt of goods or services to be used in research and development are capitalized until the related goods or services are received.
As part of the process of preparing its financial statements, we are required to estimate our accrued expenses as of each balance sheet date. This process involves reviewing open contracts and purchase orders, communicating with our personnel to identify services that have been performed on our behalf and estimating the level of service performed and the associated cost incurred for the service when we have not yet been invoiced or otherwise notified of the actual cost. We make estimates of our accrued expenses as of each balance sheet date based on facts and circumstances known to us at that time. We periodically confirm the accuracy of our estimates with the service providers and make adjustments, if necessary. The significant estimates in our accrued clinical trial and research and development expenses include the costs incurred for services performed by our vendors in connection with clinical trial and research and development activities for which we have not yet been invoiced.
We have determined our expenses related to clinical trial and research and development activities on our estimates of the services received and efforts expended pursuant to quotes and contracts with vendors that conduct clinical trials and research and development on our behalf. The financial terms of these agreements are subject to negotiation, vary from contract to contract and may result in uneven payment flows. There may be instances in which payments made to our vendors will exceed the level of services provided and result in a prepayment of the clinical trial and research and development expense. In accruing service fees, we estimate the time period over which services will be performed and the level of effort to be expended in each period. If the actual timing of the performance of services or the level of effort varies from our estimate, we adjust the accrual or prepaid expense accordingly. Advance payments for goods and services that will be used in future clinical trial or research and development activities are expensed when the activity has been performed or when the goods have been received rather than when the payment is made.
Although we do not expect our estimates to be materially different from amounts actually incurred, if our estimates of the status and timing of services performed differ from the actual status and timing of services performed, it could result in us reporting amounts that are too high or too low in any particular period. To date, there have been no material differences between our estimates of such expenses and the amounts actually incurred.
 
89

TABLE OF CONTENTS
 
Stock-Based Compensation
Stock-based compensation expense is comprised of stock options awarded to employees and consultants. Our stock option awards granted to date contain service based vesting conditions only and do not require the achievement of a market or performance condition in order to vest. These share-based awards are accounted for under the fair-value-based method prescribed by ASC 718-10, Stock Compensation. The fair value of stock options is estimated using the Black-Scholes option pricing model on the date of grant. This option pricing model involves a number of estimates, including the per share value of the underlying common stock, exercise price, estimate of future volatility, expected term of the stock option award, risk-free interest rate and expected annual dividend yield.
We recognize the expense for options with graded-vesting schedules on a straight-line basis over the requisite service period, which is generally the vesting period. Forfeitures are recognized as they occur.
Valuation of Common Shares
Given the absence of a public trading market for our common stock prior to October 2, 2023, which was the first day of trading of our common stock following the Closing, and in accordance with the American Institute of Certified Public Accountants Accounting and Valuation Guide, Valuation of Privately-Held-Company Equity Securities Issued as Compensation, our board of directors exercises its reasonable judgment and considered numerous objective and subjective factors to determine the best estimate of fair value of NKGen common shares, including, but not limited to:

independent third-party valuations of NKGen common shares;

capital resources and financial condition;

the likelihood and timing of achieving a liquidity event;

historical operating and financial performance as well as our estimates of future financial performance;

valuations of comparable companies;

the status of our development;

the relative lack of marketability of NKGen common shares;

industry information such as market growth and volume and macro-economic events;

additional objective and subjective factors relating to our business; and

implied fair values upon a merger transaction.
Prior to October 2, 2023, our board of directors determines the fair value of our common shares using both the income and market approach valuation methods. The income approach estimates value based on the expectation of future cash flows that a company will generate. The market approach estimates value based on a comparison of the subject company to comparable public companies in a similar line of business as well as implied fair values upon a merger transaction such as the Business Combination. Under the market approach, based on a comparison of the subject company to comparable public companies in a similar line of business, a discount for lack of marketability (“DLOM”) was applied to arrive at a fair value of common shares. A DLOM was meant to account for the lack of marketability of shares that were not publicly traded. The valuation of common shares underlying common stock options granted during the nine months ended September 30, 2023 were estimated under the market approach, based upon the implied fair value of common stock agreed upon in the Business Combination, where the fair values of NKGen common shares as of the respective grant dates were determined using a linear interpolation between the previous valuation and the then-anticipated closing date of the Business Combination. It was determined that the straight-line calculation provides the most reasonable basis for the valuation of NKGen common stock because there was no single event that occurred during the period between the valuation dates that would have caused a material change in fair value.
Applying these valuation approaches involves the use of estimates, judgments and assumptions that are highly complex and subjective, including our expected future revenue and expenses, the determination of
 
90

TABLE OF CONTENTS
 
discount rates, interpolations, valuation multiples, the selection of comparable public companies and the probability of future events. Changes in any or all of these estimates and assumptions impact our valuation as of each valuation date. Such changes may have a material impact on the valuation of NKGen common shares and our share-based awards.
Accounting for Select Financial Instruments Issued in Connection with the Business Combination
In connection with the Business Combination, among other instruments, we issued Public Warrants, Private Warrants, PIPE Warrants, SPA Warrants, Working Capital Warrants, Senior Convertible Notes, Deferred Founder Shares, and a forward purchase derivative (collectively, “Select Financial Instruments”). The accounting determinations surrounding the Select Financial Instruments has a significant effect on our reported financial position and results of operations.
We determine the accounting classification of the Select Financial Instruments by first assessing each instrument under Financial Accounting Standards Board (“FASB”) Accounting Standard Codification (“ASC”) 480, Distinguishing Liabilities from Equity, then assessing each instrument under ASC 815, Derivatives and Hedging Activities. Under ASC 480, instruments are considered liability classified if they are mandatorily redeemable, obligate us to settle the warrants or the underlying shares by paying cash or other assets, and instruments that must or may require settlement by issuing variable number of shares. If instruments do not meet the liability classification under ASC 480-10, we assess the requirements under ASC 815-40, which states that contracts that require or may require the issuer to settle the contract for cash are liabilities recorded at fair value, irrespective of the likelihood of the transaction occurring that triggers the net cash settlement feature. If the financial instruments do not require liability classification under ASC 815-40, in order to conclude equity classification, we also assess whether the instruments are indexed to our own common stock and whether the instruments are classified as equity under ASC 815-40 or other GAAP. After all such assessments, we conclude whether the instruments are classified as liability or equity.
In addition, ASC 815 requires companies to bifurcate certain features from their host instruments and account for them as free-standing derivative financial instruments should certain criteria be met. We evaluate our financial instruments to determine whether such instruments are derivatives or contain features that qualify as embedded derivatives. Embedded derivatives must be separately measured from the host contract if all the requirements for bifurcation are met. The assessment of the conditions surrounding the bifurcation of embedded derivatives depends on the nature of the host contract and the features of the derivatives. Bifurcated embedded derivatives are recognized at fair value, with changes in fair value recognized in the condensed consolidated statement of operations and comprehensive loss each period. Bifurcated embedded derivatives are classified with the related host contract in our condensed consolidated balance sheets. The classification of derivative instruments, including whether such instruments should be recorded as liabilities or as equity, is re-assessed at the end of each reporting period.
For convertible debt instruments that are not considered liabilities under ASC 480 or ASC 815, we apply ASC 470, Debt, for the accounting of such instruments, including any premiums or discounts.
Liability classified instruments require fair value accounting at issuance and subsequent to initial issuance with all changes in fair value after the issuance date recorded in the statements of operations. Equity classified instruments only require fair value accounting at issuance with no changes recognized subsequent to the issuance date.
Based upon the application of the foregoing accounting guidance to the terms, features, and circumstances surrounding the Company’s Select Financial Instruments, the Public Warrants, SPA Warrants, and Deferred Founder Shares were determined to be equity classified instruments, and the Senior Convertible Notes, Private Warrants, PIPE Warrants, and forward purchase derivative were determined to be liability classified instruments. While the Senior Convertible Notes were determined to be liability-classified, they were determined to be in-scope of ASC 470 and not in-scope of ASC 480 or ASC 815. Accordingly, Senior Convertible Notes will not be measured at fair value on a recurring basis as the fair value measurement of this instrument was for purposes of the relative fair value allocation described below as the Senior Convertible Notes were issued together with the SPA Warrants.
 
91

TABLE OF CONTENTS
 
Fair Value of Financial Instruments
We account for the fair value of our financial instruments under the framework established by US GAAP which defines fair value and expands disclosures about fair value measurements. Fair value is defined as the price that would be received to sell an asset or paid to transfer a liability in an orderly transaction between market participants on the measurement date. Valuation techniques used to measure fair value must maximize the use of observable inputs and minimize the use of unobservable inputs. The standard describes a fair value hierarchy based on three levels of inputs, of which the first two are considered observable and the last unobservable, that may be used to measure fair value. These estimates may be subjective in nature and involve uncertainties and matters of significant judgment and therefore cannot be determined with precision.
Level 1 — Quoted prices in active markets for identical assets or liabilities we have the ability to access at the measurement date.
Level 2 — Inputs other than Level 1 that are observable, either directly or indirectly, such as quoted prices for similar assets or liabilities in markets that are not active; or other inputs that are observable or can be corroborated by observable market data for substantially the full term of assets or liabilities.
Level 3 — Pricing inputs that are unobservable, supported by little or no market activity and are significant to the fair value of the assets or liabilities.
Transfers to/from Levels 1, 2, and 3 are recognized at the beginning of the reporting period. There were no transfers to/from Levels 1, 2, and 3 during the three and nine months ended September 30, 2023 and 2022.
ASC 820, Fair Value Measurement, states that in many cases, the transaction price will equal the fair value (for example, that might be the case when on the transaction date the transaction to buy an asset takes place in the market in which the asset would be sold). In determining whether a transaction price represents the fair value at initial recognition, we consider various factors such as whether the transaction was between related parties, is a forced transaction, or whether the unit of account for the transaction price does not represent the unit of account for the measured instrument.
We do not measure assets at fair value on a recurring basis. The carrying value of our related party loans approximates fair value as the stated interest rate approximates market rates for similar loans and due to the short-term nature of such loans, which are due within three years or less from issuance. The carrying value of our cash, restricted cash, accounts payable, accrued expenses, other current liabilities, and revolving line of credit approximates fair value primarily due to the short term nature of such accounts.
Liability-classified instruments measured at fair value on a recurring basis include the Private Warrants, Working Capital Warrants, forward purchase derivative liability, and the Legacy Convertible Notes. Determining the fair value of the liability classified instruments requires the use of accounting estimates and assumptions. Liability-classified instruments measured at fair value on a non-recurring basis include the Senior Convertible Notes.
These estimates and assumptions are judgmental in nature and could have a has a significant effect on our reported financial position and results of operations.
The terms of the Private Warrants and Working Capital Warrants are identical. Accordingly, the methodology and assumptions used to value these instruments is identical. The fair value of the Private Warrants and Working Capital Warrants was measured at fair value using a Black-Scholes model. The estimated fair value of the Private Warrants and Working Capital Warrants was determined using Level 3 inputs. Inherent in a Black-Scholes model are assumptions related to expected stock-price volatility, expected life, risk-free interest rate and dividend yield. The Company estimates the volatility of our Private Warrants and Working Capital Warrants based on implied volatility from the Company’s traded Private Warrants and Working Capital Warrants and from historical volatility of select peer company’s common stock that matches the expected remaining life of the Private Warrants and Working Capital Warrants. The risk-free interest rate is based on the U.S. Treasury zero-coupon yield curve on the grant date for a maturity similar to the expected remaining life of the Private Warrants and Working Capital Warrants. The expected life of
 
92

TABLE OF CONTENTS
 
the Private Warrants and Working Capital Warrants is assumed to be equivalent to their remaining contractual term. The dividend rate is based on the historical rate, which we anticipate remaining at zero.
We determined the stand-alone fair value of the Senior Convertible Notes using a binomial lattice model, which generates a distribution of stock prices over the term of the note, calculates the associated payoff for the note, and discounts the probability-weighted values from the lattice back to the valuation date. The fair value was estimated by using assumptions that market participants would use in pricing a convertible debt instrument, including market interest rates, credit rating, yield curves, and volatilities.
We historically determined the carrying amount of the Legacy Convertible Notes using a scenario-based analysis that estimates the fair value of the Legacy Convertible Notes based on the probability-weighted present value of expected future investment returns by measuring the fair value of similar debt instruments that do not have the conversion feature. If no similar debt instrument existed, fair value was estimated by using assumptions that market participants would use in pricing a debt instrument, including market interest rates, credit standing, yield curves and volatilities. The fair value of Legacy Convertible Notes immediately prior to their conversion at Closing was based upon the fair value of the shares of our common stock issued upon their conversion totaling based upon the fair value of our common stock at Closing, which was the conversion date.
As Closing and as of September 30, 2023, the fair value of the PIPE Warrants was measured using its respective transaction price. In future reporting periods, the PIPE Warrants will be valued using level three inputs. We determined that the transaction price of the PIPE Warrants represented its fair value because the Warrant Investors were not related parties or holders of economic interest with respect to us prior to their investment, the consideration transferred by the Warrant Investors was cash, the transaction was not a forced transaction, and the unit of account for the transaction and the PIPE Warrants is the same as there were no other instruments issued together with the PIPE Warrants to the Warrant Investors or their related parties and affiliates in connection with the Warrant Subscription Agreements.
The fair value of the forward purchase derivative liability was estimated using a Monte Carlo simulation approach. Our common share price was simulated with daily time steps for a range of various possible scenarios. The breadth of all possible scenarios was captured in an estimate of volatility, based on comparable companies’ historical equity volatilities, considering differences in their capital structure. The simulated prices were compared against the settlement adjustment features of the Forward Purchase Agreements. Under each simulated scenario of future stock price, we calculated the value of the forward purchase derivative liability arrangement. The average value across this range of possible scenarios, discounted to present using the risk-free rate, was used as the fair value of the forward purchase derivative liability.
The Senior Convertible Notes were issued together with the SPA Warrants. Each instrument was recorded at its fair value, limited to a relative fair value based upon the percentage of its fair value to the total fair value based on the transaction price at Closing on September 29, 2023. The relative fair value of the SPA Warrants was treated as a discount to the Senior Convertible Notes, which will be amortized to interest expense over the term of the Senior Convertible Notes.
Recently Issued and Adopted Accounting Pronouncements
We describe the recently issued accounting pronouncements that apply in Note 2 of the unaudited condensed financial statements as of and for the nine months ended September 30, 2023 and Note 2 of the financial statements as of and for the years ended December 31, 2022 and 2021.
Emerging Growth Company Status
We qualify as an emerging growth company, as defined in the Jumpstart Our Business Startups (“JOBS Act”) and may remain an emerging growth company for up to five years following the completion of Graf’s initial public offering. For so long as we remain an emerging growth company, we are permitted and intends to rely on certain exemptions from various public company reporting requirements, including delaying adopting new or revised accounting standards issued until such time as those standards apply to private companies, not being required to have our internal control over financial reporting audited by its independent registered public accounting firm pursuant to Section 404 of the Sarbanes-Oxley Act, reduced
 
93

TABLE OF CONTENTS
 
disclosure obligations regarding executive compensation in its periodic reports and proxy statements, and exemptions from the requirements of holding a non-binding advisory vote on executive compensation and any golden parachute payments not previously approved. In particular, in this prospectus, we have provided only two years of audited financial statements and unaudited financial statements and have not included all of the executive compensation- related information that would be required if we were not an emerging growth company. Accordingly, the information contained herein may be different than the information you receive from other public companies in which you hold stock.
We are an emerging growth company until the earliest of (i) the last day of the fiscal year following the fifth anniversary of the consummation of Graf’s initial public offering, (ii) the last day of the fiscal year in which we have total annual gross revenue of at least $1.235 billion, (iii) the last day of the fiscal year in which we are deemed to be a “large accelerated filer” as defined in Rule 12b-2 under the Exchange Act, which would occur if the market value of NKGen common stock held by non-affiliates exceeded $700.0 million as of the last business day of the second fiscal quarter of such year, or (iv) the date on which we have issued more than $1.0 billion in non-convertible debt securities during the prior three-year period.
We qualified as a “smaller reporting company,” as such term is defined in Rule 12b-2 of the Exchange Act, meaning that the market value of its common stock held by non-affiliates plus the proposed aggregate amount of gross proceeds to us as a result of the Business Combination is less than $700.0 million and our annual revenue is less than $100.0 million during the most recently completed fiscal year. We may continue to be a smaller reporting company if either (i) the market value of NKGen common stock held by non-affiliates is less than $250.0 million or (ii) the our annual revenue is less than $100.0 million during the most recently completed fiscal year and the market value of its common stock held by non-affiliates is less than $700.0 million. If we are a smaller reporting company at the time it ceases to be an emerging growth company, we may continue to rely on exemptions from certain disclosure requirements that are available to smaller reporting companies. Specifically, as a smaller reporting company, we may choose to present only the two most recent fiscal years of audited financial statements in its Annual Report on Form 10-K and, similar to emerging growth companies, smaller reporting companies have reduced disclosure obligations regarding executive compensation.
Quantitative and Qualitative Disclosures About Market Risk
As a “smaller reporting company” as defined by Rule 12b-2 of the Exchange Act, and pursuant to Item 305 of Regulation S-K, we are not required to disclose information under this section.
 
94

TABLE OF CONTENTS
 
BUSINESS
Our Mission and Vision
Our mission is to improve patient outcomes in the areas of neurodegenerative and oncological diseases by developing safe and effective cellular therapies that leverage the power of a patient’s immune system. Our vision is to become the global leader in NK cell therapies.
Overview
We are a biotechnology company developing cell therapies for neurodegenerative and oncological diseases based on activated NK cells. NK cells are part of the human innate immune response system that can selectively identify and destroy abnormal or diseased cells. Our product candidates are based on a proprietary manufacturing and cryopreservation process which produces SNK cells that have shown increased activity as compared to the starting population of NK cells, based on the results of in vitro experiments performed by NKMAX, as defined by parameters such as cytotoxicity, cytokine production and activating receptor expression. See the sections of this prospectus entitled “— Background on NK or Natural Killer Cells — The NKGen Manufacturing Process — Activity” and “— Background on NK or Natural Killer Cells — Molecular Characteristics of SNK01” for additional details. SNK cells can be produced in large quantities and cryopreserved, while maintaining high levels of cytotoxicity and activating receptor expression after thawing and reconstitution. We believe that SNK cells have the potential to deliver transformational benefits to patients with both neurodegenerative diseases, such as AD and PD, and oncological diseases.
Our initial insights into the potential of SNK01, an autologous cell therapy candidate, in neurodegenerative disease is derived from compassionate use data from three patients with AD and two patients with PD. Compassionate use refers to the use outside of a clinical trial of an investigational, or unapproved, medical product (drug, biologic or medical device) in patients with a chronically or seriously debilitating disease who cannot be treated satisfactorily by an authorized medicinal product. Treatment of these five patients with SNK01 was associated with marked improvement in certain clinical symptoms typically associated with AD and PD, such as cognitive, vocal and motor impairments. Although the results from these compassionate use case studies provide no assurance or guarantee that SNK01 will be deemed to be safe or effective for the treatment of AD or PD, and extensive clinical testing and regulatory approval will be required for SNK01, such results led NKGen to initiate formal clinical development of SNK01 as a potential treatment for neurodegenerative diseases. Accordingly, we are conducting a Phase I trial in Mexico (MX04) to assess the safety and tolerability of SNK01 in AD patients, and expects to submit an IND to the FDA, and, if authorized to proceed, intends to initiate a Phase I/IIa trial in the United States.
In oncology, SNK01 treatment in Phase I trials has demonstrated certain antitumor activity, tumor shrinkage and stabilization of disease in solid tumors as monotherapy, in combination with checkpoint inhibitors, and with targeted therapies. In the monotherapy treatment group with SNK01, six out of nine heavily pre-treated and refractory patients had stopped tumor progression for a period of time. At the highest dose level (which was 4x109 cells in the Phase I trial), there was a trend towards tumor reduction, but it did not meet response evaluation criteria in solid tumors. In the combination treatment group of SNK01 and an immune checkpoint inhibitor, which consisted of heavily pre-treated and refractory patients, some patients achieved a partial response or were able to maintain a state of stabilized disease. This Phase I trial was not designed to support statistical significance testing.
For the remainder of 2023, we intend to advance the clinical development of SNK01 and initiate a Phase I/IIa trial in the United States for AD, and continue the Phase I trial with SNK02 in solid tumors. The clinical readouts are expected to serve as the basis for subsequent combination trials. In 2024 and beyond, we intend to submit an IND to the FDA to conduct a Phase I trial in PD, to evaluate the expansion into other neurodegenerative diseases, accelerate development in oncology through strategic collaborations, and continue investment in our manufacturing technology.
NK cells are components of the innate immune system, comprising approximately five to fifteen percent of circulating lymphoid cells, or lymphocytes. NK cells have the broad ability to recognize and destroy many types of cells that express markers associated with cellular damage or infection. Target cells for NK cell
 
95

TABLE OF CONTENTS
 
destruction include, without limitation, cancer cells, damaged neurons and infected cells. Although hundreds of clinical trials have been initiated with NK cells, there have been no FDA approvals of NK cell therapies to date. We believe that a key barrier to improving clinical outcomes is related to how potential NK cell therapies are prepared, and that our proprietary process has the potential to produce NK cells that may be transformational in the treatment of neurodegenerative and oncological diseases.
Our Solution
We have developed an innovative manufacturing process for SNK cells that addresses several factors that we believe have limited the potential of NK cell therapy to date.

Expandability.   We have demonstrated the ability to generate NK cells from both healthy donors and cancer patients, minimizing manufacturing failures that can leave patients without therapy.

Activity.   SNK cells have shown the ability to deliver increased NK cell activity per dose as compared to the starting populations of NK cells, based on the results of in vitro experiments performed by NKMAX, as defined by parameters such as cytotoxicity, cytokine production, and activating receptor expression (see the sections of this prospectus entitled “Business Background on NK or Natural Killer Cells — The NKGen Manufacturing Process — Activity” and “— Background on NK or Natural Killer Cells — Molecular Characteristics of SNK01” for additional details).

Cryopreservation.   We have developed technologies that facilitate the cryopreservation of NK cells that retain the majority of their cell activity. Because of this capability, we believe we are able to generate product candidates that can be made readily available as off-the-shelf therapies.

Scalability.   We have invested in developing the technology to enable the generation of hundreds of thousands of doses of SNK cells while maintaining high cellular activity and viability. This capability is critical as we seek to address highly prevalent diseases. We own and operate a 25,000 sq. ft. drug manufacturing facility in Santa Ana, California, of which approximately half is equipped for GMP production of NK cells.
We have treated approximately 64 oncology patients and 11 patients with AD in clinical trials with SNK01 either as monotherapy or in combination with other agents, including chemotherapy, cetuximab, avelumab, pembrolizumab and AFM24. As of September 30, 2023, these patients account for more than 530 infusions of SNK01. The median number of doses administered per patient across all studies is six infusions, with a minimum of one infusion and a maximum of 38 infusions. Five additional patients have been treated for either AD or PD on a compassionate use basis. There have been no reported significant adverse events (“SAEs”) deemed related to SNK01 and no immune-related AE ≥ Grade 2 attributed to SNK01. These factors have given us confidence to pursue treatment in neurodegenerative diseases, where we are assessing the therapeutic potential of SNK01 directly in human patients, rather than in animal models.
Autologous vs. Allogeneic SNK
Our novel manufacturing technology allows the production of SNK cells for use in either autologous (SNK01) or allogeneic (SNK02) cell therapy. Autologous SNK01 is manufactured using an individual patient’s own NK cells and the generated product is infused back into the same patient. The patient’s NK cells are purified and culture-expanded for up to 18 days, and the harvested cells are washed, packaged, and stored as a cryopreserved product at ≤-130°C. Allogeneic SNK02, on the other hand, is an “off the shelf” product generated from a healthy donor’s NK cells. The donor-derived NK cells are purified and used to establish a working cell bank (“WCB”). The WCBs are further processed by subjecting the NK cells to long-term culture and multiple passages which allow the production of multiple doses of the allogeneic cell therapy product. The manufactured SNK02 are cryopreserved at ≤-130°C and can be used by any patient.
SNK01
We are developing SNK01 for the potential treatment of neurodegenerative diseases, such as AD and PD, based on data from compassionate use cases in five patients. Based on the reported observations from these cases, and despite the caveats associated with limited data from uncontrolled case studies, we believe that SNK01 has the potential to transform the treatment of such neurodegenerative diseases. Patients with
 
96

TABLE OF CONTENTS
 
severe AD, who could no longer walk, talk or feed themselves, partially regained these abilities after treatment. AD is often assessed using the Mini-Mental State Examination (“MMSE”) score. Patients with early-stage disease typically have MMSE scores between 20 and 25. As patients develop moderate symptoms and exhibit clear impairment, their MMSE scores typically range from 13 to 20. One AD patient who was treated by NKGen on a compassionate use basis and exhibited severe dementia, had a documented pre-treatment MMSE score of 12, but improved to an MMSE score of 23 after six doses of SNK01.
We intend to open an IND with the FDA to initiate Phase I/II clinical trials to assess the potential of SNK01, first in AD and subsequently in PD. In preparation for these trials, we are conducting a dose escalation Phase I safety and tolerability trial of SNK01 that, as of the date of this prospectus, has been dosed in 10 AD patients in Mexico (MX04) under the hospital’s research ethics committee (“REC”) and Mexico regulatory body’s (“COFEPRIS”) approval. As part of this trial, we are conducting cognitive function testing collecting exploratory biomarker data to help assess the effects of SNK01 on disease severity in AD. Data that we have obtained to date indicates that intravenously administered SNK01 was well-tolerated by patients and led to stable or improved cognitive functions. Patients were evaluated using the Clinical Dementia Rating Sum of Boxes (“CDR-SB”), the Alzheimer’s Disease Assessment Scale — Cognitive Subscale (“ADAS-Cog”) and the MMSE, each of which are widely used and clinically validated general cognitive measures in clinical trials for AD. The data also indicated that SNK01 dosing was associated with stable or reduced levels of amyloid protein, tau, and neuroinflammation biomarkers in cerebrospinal fluid (“CSF”) that are suggestive of altering disease pathology. We continue to dose patients and collect data in this trial.
We and NKMAX have also conducted several trials with SNK01 that we believe demonstrates the tolerability and therapeutic potential of SNK cells in oncological diseases. These trials fall into three categories: (1) as a monotherapy, SNK01 treatment in highly advanced progressive cancer patients led to a stabilization of disease in six out of nine evaluated patients for at least nine weeks; (2) in combination with checkpoint inhibitors, the addition of SNK01 led to improved overall survival and an increase in progression free survival in refractory lung cancer patients; and (3) NKMAX’s collaboration with Merck KGaA, NKMAX is also conducting a Phase I/IIa trial investigating the combination of SNK01 with a therapeutic antibody, cetuximab, marketed as Erbitux® in advanced epidermal growth factor receptor (“EGFR”) mutated NSCLC that is refractory to tyrosine kinase inhibitors. Preliminary results from this collaborative trial presented at the annual American Society of Clinical Oncology (“ASCO”) 2023 meeting in June 2023 showed that three of six patients treated with SNK01 in combination with cetuximab achieved partial responses. All other patients treated with SNK01 had stable disease at the time of analysis for the ASCO meeting.
SNK02
Based on the proof-of-concept data generated with SNK01 in oncological diseases, the preference to use an off-the-shelf product and evidence suggesting there may be an improved antitumor response using allogeneic NK cells compared to autologous NK cells, we are transitioning our oncological diseases development program from SNK01, an autologous product, to SNK02, an allogeneic product. As a result, we believe that SNK02 may have greater potential in human clinical trials. Because of our manufacturing expertise, we anticipate that we will be able to create hundreds of thousands of doses of cryogenically preserved SNK02 which can be made readily available to patients, improving upon the current time and resource-intensive process of generating fresh NK cell products on demand. On October 14, 2022, we received IND clearance from the FDA for SNK02 allogenic NK cell therapy for solid tumors. We have begun dosing in Phase I of the SNK01 clinical trial in refractory solid tumors. Our allogeneic NK cell therapy product candidate will undergo clinical testing without the need for lymphodepletion. We believe this may provide an advantage in terms of antitumor response.
Background
We were founded in the United States in 2017 as a majority-owned subsidiary of NKMAX, a leading biotechnology company in South Korea that specializes in NK cell therapy and the development and manufacture of diagnostic assays, antibodies, and proteins. NKMAX became a publicly traded company on the KOSDAQ in 2015. Shortly thereafter, NKMAX began developing a unique NK cell therapy leading to
 
97

TABLE OF CONTENTS
 
the creation of a subsidiary in Japan via a collaboration with a Japanese clinic. Through this collaboration, NKMAX obtained early data on its autologous NK cell therapy treatment in human patients. This data served as the basis for NKMAX’s clinical strategy development and provided the basis in 2019 for starting, together with a leading hospital in South Korea, its first clinical trial in non-small cell lung cancer patients using an autologous NK cell therapy, SNK01, combined with an immune checkpoint inhibitor (“ICI”), pembrolizumab. We were founded to further develop SNK01 in oncological and neurodegenerative diseases, such as AD and PD.
After SNK01 was developed, NKMAX proceeded to develop an off-the-shelf cryopreserved allogeneic NK cell therapy, SNK02, to expand its clinical program in oncology. NKMAX plans to initiate its Phase I SNK02 trial in South Korea, pending IND approval which is currently under review by the South Korean regulatory body, MFDS. We have begun the dosing in Phase I of the clinical trials for SNK02 in the United States in August 2023.
In accordance with the terms of the Intercompany License, we have a license to use all data (non-clinical, clinical, and any other data) that NKMAX controls that would be reasonably useful to develop, manufacture, have manufactured, use or commercialize NK cell pharmaceutical products, processes, services, or therapies in the Licensed Territory. As such, NKMAX’s clinical development in South Korea is expected to continue to provide insight into the potential uses for SNK cells for years to come, for which we will have the right to use the data. See the section titled “Business — Licensing Agreements — NKMAX License” for additional details.
The NKGen team
Sangwoo Park, the Founder and President of NKMAX, serves as Executive Chairman of the NKGen Board. Paul Y. Song, MD, the CEO of our company, is a board certified radiation oncologist and has nearly 25 years of experience as a biopharma executive. Dr. Song was the co-founder and CEO of Fuse Biotherapeutics, Inc. and previously served as Chief Medical Officer at our company and other biotechnology companies. Yong Man Kim, Ph.D., our Chief Scientific Officer, has over 14 years of industrial experience in cell therapeutics. Prior to joining us, Mr. Kim served as the GMP and R&D Center Director for Pharmicell Co., Ltd, a well-known South Korean stem cell biotechnology company. Pierre Gagnon, our Chief Operating Officer, joined us from NKMAX, where he was a board member and oversaw operational activities including marketing, legal, regulatory and IP matters.
Strategy
Our goal is to bring transformative NK cell therapies to patients with both neurodegenerative and oncological diseases and thereby to realize the potential of the our team’s extensive NK cell expertise. We believe our differentiated strategy enables us to leverage our highly integrated platform to develop and manufacture NK cell therapies. Our expansion into neurodegenerative diseases as well as our solid tumor oncology strategy serve as pillars for our unique NK cell therapies. Key highlights of our strategy include, but are not limited to:

Advance clinical development of SNK01 in AD.   The results obtained thus far with SNK01 in advanced AD patients have revealed the possibility of bringing transformational therapeutic benefits to patients. On October 20, 2023, we received IND clearance from the FDA for SNK01 in AD. During the remainder of 2023, we intend to (i) advance the clinical development of SNK01 and initiate a Phase I/IIa trial in the United States for AD, and (ii) continue the Phase I trial with SNK02 in refractory solid tumors.

Advance clinical development of SNK01 in PD.   Preliminary results from patients treated with SNK01 in a compassionate use basis suggests that SNK01 is well-tolerated and has the potential to be a disease-modifying agent in PD. In 2024 and beyond, we intend to submit an IND to the FDA to conduct a Phase I trial in PD, to evaluate the expansion into other neurodegenerative diseases, accelerate development in oncology through strategic collaborations.

Develop SNK02 as the backbone for multiple oncology therapies.   Based on data generated with SNK02, which shows similar characteristics to SNK01, we believe that our SNK02 allogeneic product candidate presents the opportunity for a scalable off-the-shelf alternative to our autologous SNK01
 
98

TABLE OF CONTENTS
 
product. We obtained an IND clearance from the FDA in October 2022 for SNK02 in solid tumors and has begun dosing in Phase I of the clinical trial for SNK02 in August 2023. We are also developing chimeric antigen receptor (“CAR”), derivatives of SNK02 to target certain high-prevalence solid tumors.

Accelerate development in oncology through collaboration.   We have identified potential opportunities for SNK cell therapy to significantly enhance the antitumor potential of leading cancer therapeutics such as immune checkpoint inhibitors and therapeutic antibodies. We established a collaboration with Merck KGaA (through AresTrading) to evaluate combinations of SNK01 with avelumab, and anticipate establishing similar partnerships with other biotechnology companies in the future.

Continue to invest in manufacturing technology.   Our SNK manufacturing technology has demonstrated the ability to address certain key limitations of other NK cell manufacturing approaches. We believe we are capable of producing hundreds of thousands of potential doses of NK cell therapies from material collected from a single donor. We believe this is critical in unlocking the therapeutic potential of NK cell therapies. We continue to optimize the industrialization of our processes that will be required to address the market opportunities presented by our clinical development activities. Finally, we plan to invest in optimizing and developing the automation of our processes. We own and operate a 25,000 sq. ft. drug manufacturing facility in Santa Ana, California, of which approximately half is equipped for GMP production of NK cells.
Pipeline
[MISSING IMAGE: tb_productpipeline-4clr.jpg]
Background on NK or natural killer cells
NK cells are part of the human innate immune response system that can selectively identify and destroy abnormal or diseased cells. Unlike cells of the human adaptive immune response system, such as T cells, NK cells do not require prior sensitization or co-stimulation for activity, which is why they are referred to as so-called “natural” killers. This property allows NK cells to quickly mount an immune response within the human body. By contrast, it may take a week or more for T cells to expand to numbers that are meaningful enough to mount an effective immune response against a new antigen.
NK cells function through several mechanisms. NK cell stimulation and effector function depend upon the integration of signals derived from two distinct types of receptors — activating and inhibitory receptors. Normal healthy cells express major histocompatibility complex (“MHC”) class I molecules on their surface, which act as ligands for inhibitory receptors and contribute to the self-tolerance of NK cells. However, virus-infected cells or tumor cells lose surface MHC class I expression, leading to lower inhibitory signal in NK cells. Simultaneously, cellular stress associated with viral infection or tumor development such as DNA damage response, senescence program or tumor suppressor genes upregulate ligands for activating receptors in these cells. NK cell activation occurs as a consequence of receptor activation, which leads to a shift in signal balance towards activation and, subsequently, the killing of target cells via the release of lytic granules such as perforin and granzyme. Additionally, NK cells can initiate apoptosis via death receptors by expressing TRAIL and/or Fas ligand, which engage TRAIL-R1/-R2 or CD95/Fas on the target cell surface. Furthermore, NK cells can indirectly eliminate target cells by releasing cytokines that recruit
 
99

TABLE OF CONTENTS
 
and stimulate components of the adaptive immune system. NK cells also promote cell killing through a process known as antibody-dependent cellular cytotoxicity (“ADCC”) in which the NK cells recognize and kill cells targeted by antibodies.
[MISSING IMAGE: img_cell-4clr.jpg]
Figure 1.   NK cells have multiple activating and inhibiting receptors to recognize abnormal or diseased cells. The balance between activating and inhibiting signals determines the NK cell’s response.
 
100

TABLE OF CONTENTS
 
[MISSING IMAGE: img_immune-4clr.jpg]
Figure 2:   The mechanism of NK cell function in cancer.
Role of NK cells in preventing disease
NK cell activity is vital for maintaining health in many systems of the body, but the activity of these cells can wane during times of stress and fatigue. Infections, medications like steroids or immunosuppressants, and disordered sleep can all decrease NK cell activity in the short term. A recent review in Cells (2022) has proposed that the long-term decrease in NK cell activity experienced with age may be a contributor to the development of neurodegenerative and oncological diseases.
In extremely rare cases, primary immunodeficiency disease can be caused by mutations that lead to NK cell deficiency. These patients experience serious and recurrent viral infections and an increased risk of cancer. Most patients who do not obtain a hematopoietic stem cell transplant die in childhood or adolescence. While cases of severe NK cell deficiency are quite rare, the number of NK cells in otherwise healthy individuals is correlated with increased protection against infections including those of viral and bacterial origins.
Unlike infections, where the acute nature of the infection allows the specific roles of NK cells to be clearly identified, there are several other diseases for which the data linking NK cell activity to disease development is primarily correlative. One of the primary drivers of both a decrease in NK cell activity and a decrease of total NK cell numbers is aging. With increased age comes increased risks of developing diseases such as neurodegenerative and oncological diseases. For example, researchers in Japan previously found evidence that increased NK cell cytotoxicity was found to be associated with reduced cancer risk in a decade-long study. More recently, additional studies have found evidence that higher NK cell cytotoxicity and higher expression of activating receptors were associated with reduced cancer risk.
The potential of NK cell therapy to treat disease
The broad efficacy of NK cells in recognizing and eliminating abnormal or diseased cells positions NK cells as a basis for potential therapies for multiple diseases. For example, the treatment of cancer patients with NK cell therapies has shown encouraging antitumor activity. Complete remission rates of up to 50 percent have been observed following a single administration of allogeneic NK cells in patients with hematological malignancies such as relapsed or refractory acute myelogenous leukemia (“AML”). Modest clinical responses have also been reported in patients with solid tumors such as NSCLC; platinum-resistant ovarian cancer; and multiple myeloma. An advantage of NK cells over other types of immune cells used for cell therapy is
 
101

TABLE OF CONTENTS
 
that NK cells have been generally well-tolerated in clinical trials with few reports of serious adverse effects, thereby increasing the feasibility of testing in many indications. Unlike other immune cells used in cell therapies, NK cells do not recognize specific MHC alleles and thus can be administered as allogeneic therapies without the need for immune matching to individual patients. Notably, allogeneic NK cell therapies in the non-transplant setting have been administered to hundreds of individuals without life-threatening graft versus host disease, or major treatment-related toxicities.
Overall, there have been over 500 clinical trials with NK cells. Combination trials have comprised the majority of the more recent trials. Agents commonly combined with NK cells include NK cell stimulatory cytokines and cytokine derivatives and targeted chemotherapy agents. NK cells are the primary mediator of therapeutic oncology antibody therapy, which has led to the initiation of combination trials with antibodies such as trastuzumab, an anti-HER2 antibody, and cetuximab, an anti-EGFR antibody.
Challenges in developing NK cell therapies
Although literature and clinical experience have provided a rationale for the therapeutic use of NK cells, there have been a number of challenges that have limited NK cells’ clinical potential including, but not limited to.

Expansion limitations.   Existing manufacturing processes have not been optimized for robust production of NK cells from all patients or donors and this unpredictable expansion capability often represents a major hurdle in developing a therapeutic product.

Low activity during expansion.   Extended periods of cell culture, intended to increase cell numbers, can lead to loss of cell activity as compared to the starting population of NK cells and induce senescence.

Loss of activity following cryopreservation.   Cryopreserved NK cells have been reported at an effector to target (E:T) ratio of 10:1 to have about 50 percent decrease in cell-killing activity compared to freshly prepared NK cells.

Difficult to scale commercially.   Because of the relatively short half-life of NK cells, therapy often requires multiple doses, which is difficult to achieve with existing manufacturing processes.
To date, these limitations have often restricted the ability of other NK cell therapy companies to timely generate truly off-the-shelf allogeneic products where hundreds of thousands of doses may be required to meet clinical needs.
NKGen believes that these factors have led to the treatment of patients with NK cells that fail to demonstrate the full potential of NK cell therapy because of the low activity (as compared to the starting population of NK cells) based on in vitro experiments performed by NKMAX and the low numbers of NK cells that can be delivered with each dose. The combination of low activity (as compared to the starting population of NK cells) and low cell numbers also typically imposes the requirement that patients undergo lymphodepletion to enable NK cell therapy to survive due to competition for cytokine support from other immune cells. NKGen believes that lymphodepletion is counterproductive for a therapy that is intended to stimulate an immune response to disease. Lymphodepletion also often limits the ability to administer repeat doses to patients, especially for NK cell product candidates that must be freshly prepared rather than cryopreserved and prepared for use as needed.
Our Solution — SNK cells
We aim to develop NK cell therapies that address the limitations described by others, by focusing on the optimization of parameters that we believe are critical for NK cell therapy to drive clinical and commercial success. These optimization parameters include, but are not limited to:

improved cell expansion capabilities;

production of highly active cells compared to the starting population of NK cells;

process improvements to enable cryopreservation with minimal loss of NK cell activity pre- and post-freezing; and
 
102

TABLE OF CONTENTS
 

the ability to generate cells using GMP processes at a commercial scale.
NK cells typically comprise between approximately five and fifteen percent of circulating lymphocytes. We isolate NK cells from these blood samples and expands them using a proprietary process generating what refer to as “SNK cells”. SNK cells are then delivered to the patient without the need for preconditioning through lymphodepletion.
[MISSING IMAGE: fc_autosnk-4clr.jpg]
Figure 3.   Overview of SNK01 autologous process of isolating, expanding, and treating patients with cell therapy.
We refer to our autologous NK cell product candidate as SNK01 and our allogeneic NK cell product candidate as SNK02.
Our Manufacturing Process
Processes for isolating and expanding NK cells involve the use of cytokines such as interleukin-2, or IL-2; interleukin-15, or IL-15; and interleukin-21, or IL-21; often used in combinations. In some cases, other cells, referred to as feeder cells, are used to provide signaling stimuli to NK cells to increase their activation and proliferation. The reported cell expansion efficiencies of these processes vary widely from approximately five-fold in two weeks to over a thousand-fold in the same time period.
We have developed a proprietary process that combines cytokine stimulation and feeder cell culture that routinely results in expansions over a period of seventeen to eighteen days of several thousand-fold. This process typically yields a population of cells that are greater than 99 percent NK cells as measured by high levels of expression of an NK cell marker, CD56, and low expression of a CD3, a T cell marker.
[MISSING IMAGE: lc_culturing-4clr.jpg]
Figure 4.   The NKGen manufacturing process results in a highly enriched population of NK cells.
 
103

TABLE OF CONTENTS
 
Expandability
Our process is highly reproducible from patient to patient which is critical for autologous therapies. Ideally, the goal is for every patient who is recommended for treatment to have access to NK cell therapy on a timely basis, rather than add to their risk of disease progression due to manufacturing failures or delays. We have demonstrated our ability to generate large quantities of SNK01 cells from both healthy donors and cancer patients, the latter being essential for the development of autologous cell therapy for these individuals. This contrasts with traditional methods of autologous NK cell expansion from cancer patients, for which prior cancer treatments negatively affected both the ability to expand NK cells and their activity as compared to the starting population of NK cells, based on in vitro experiments performed by NKMAX.
[MISSING IMAGE: lc_expansion-4clr.jpg]
Figure 5.   In vitro experiments performed by NKMAX show NKGen manufacturing process is reproducible in both healthy donors and heavily pretreated cancer patients.
Activity
We designed our manufacturing process to generate NK cells that have increased activity compared to the activity of the initial and expanded NK cells obtained from donors. Importantly for their intended use as therapeutics, our manufacturing process generates SNK01 cells that have similar potencies across donors regardless of the activity of the original donor’s NK cells. The NK cell activity of expanded SNK01 cells from the initial NK cells of three donors was shown in vitro experiments performed by NKMAX to have increased relative to the NK cell activity of donor-matched initial and unexpanded NK cells. This was demonstrated by an increase of cytotoxicity, cytokine expression of IFN-γ and TNF-α, and expression of activating NK cell receptors as described below.
To characterize the cytokine released by expanded NK cells upon short incubations with K562 target cells, expanded NK cells were incubated with target cells and their supernatants that were harvested, and the concentration of 36 different human cytokines and chemokines were determined by a proteome profiler human cytokine array kit by NKMAX. The stimulation of NK cells with K562 cells induced IFN-γ and TNF-α secretion. Moreover, to investigate the ability of cytokine secretion by NK cells, the number of NK cells producing TNF-α and IFN-γ in response to K562 stimulation was analyzed by intracellular staining with initial and unexpanded and expanded NK cells. After stimulation with K562, the expression levels of TNF-α and IFN-γ were increased 68.5-fold and 8.2-fold, respectively, in the expanded NK cells (expressed 7.54% ± 0.10% of TNF-α and 55.30% ± 1.10% of IFN-γ), compared to the initial and unexpanded NK cells (expressed 0.11% ± 0.01% of TNF-α and 6.75% ± 0.60% of IFN-γ). In addition, the expression levels of TNF-α and INF-γ upon stimulation with K562 cells were increased 2.9-fold and 1.6-fold, respectively, in the simulated expanded NK cells (expressed 7.54 ± 0.10% of TNF-α and 55.30 ± 1.10% of IFN-γ), compared to the unstimulated expanded NK cells (expressed 2.60 ± 0.10% of TNF-α and 33.80 ± 0.50% of IFN-γ).
To characterize cytotoxicity of expanded NK cells toward K562 target cells, a comparison of cancer cell killing ability was done before and after culturing of SNK01. The cytotoxicity of SNK01 was shown to
 
104

TABLE OF CONTENTS
 
have increased several folds (i.e., 2.0- to 10.9-fold) higher than before NK Cell expansion from the same donor sample. Refer to Figure 6 in which donor 1 cytotoxicity went from less than 8.4% to approximately 91.8%, donor 2 cytotoxicity went from approximately 21.60% to approximately 90.1%, and donor 3 cytotoxicity went from approximately 44.70% to approximately 91.0%. In an NK cell cytotoxicity assay, the cancer cell killing ability percentage represents the proportion of target (cancer) cells that have been killed by the NK cells. For example, if the assay in Figure 6 below shows a 90% cytotoxicity, it means that approximately 90% of the target (cancer) cells have been killed by the NK cells, while the remaining 10% are still alive. Higher percentages indicate greater cytotoxic activity and a more effective response by the NK cells.
[MISSING IMAGE: bc_donor-4c.jpg]
Figure 6.   In in vitro experiments performed by NKMAX, SNK01 cells have demonstrated increased activity as compared to the NK cells from which they were derived.
To investigate the change in the percentage expression level of NK cell activating receptor on expanded NK cells, both expanded and initial NK cells were stained with antibodies for NK cell activating receptors of CD16, NKp30, NKp46, NKp44, and NKG2D, and then analyzed by flow cytometry. There was an increase of 1.2-fold for CD16 (expressed 97.21 ± 1.76%), 5.8-fold for NKp30 (expressed 97.32 ± 3.58%), 135.1-fold for NKp44 (expressed 62.15 ± 14.88%), 2.3-fold for NKp46 (expressed 93.98 ± 6.59%), and 1.1-fold for NKG2D (expressed 99.88 ± 0.10%) in the expanded NK cells, compared to initial unexpanded NK cells (expressed 80.83 ± 14.63% for CD16, 16.81 ± 13.06% for NKp30, 0.46 ± 0.38% for NKp44, 40.32 ± 23.07 for NKp46, and 91.29 ± 8.18% for NKG2D). Please see Figure 9 and Figure 10 below for more details.
The results of these in vitro experiments show significant increases with p values below 0.05 from the three donors. However, no statistical analyses were performed in a larger population of donors. Accordingly, we cannot guarantee that the results for every donor or the median donor would have been statistically significant in a larger population.
Cryopreservation
We have developed a cryopreservation method that preserves not only the viability of SNK cells but, more importantly, an increased level of their activity. We have shown that the cell-killing activity of both unmodified SNK cells and genetically modified CAR NK cells are largely preserved after thawing. We believe that the high activity of SNK cells, as compared to the starting population of NK cells, combined with the slightly decreased activity observed during cryopreservation enables the company to generate off-the-shelf NK cell product candidates that are more active than many freshly prepared NK cells generated by other methods.
 
105

TABLE OF CONTENTS
 
[MISSING IMAGE: lc_cytotoxicity-4clr.jpg]
Figure 7.   In in vitro experiments performed by NKMAX, our cryopreservation method preserves the increased activity of SNK product candidates (as compared to the starting population of NK cells).
Scaling
We believe our manufacturing process is highly scalable. Cells that are produced show little loss of activity as compared to the starting population of NK cells, nor is there evidence of senescence even after extended periods of cell culture. This potential scalability will enable the company to generate hundreds of thousands of doses of allogeneic SNK cells from a single donor. Combined with the ability to cryopreserve these cells, we believe that we will have the capacity to offer off-the-shelf cell therapy solutions to patients. However, we have not yet developed a validated method of manufacturing our product candidates for long-term storage, in large quantities without damage, in a cost-efficient manner and without degradation beyond two years. We own and operate a 25,000-square-foot drug manufacturing facility in Santa Ana, California, of which approximately half is equipped for GMP production of NK cells.
[MISSING IMAGE: bc_percent-bwlr.jpg]
Figure 8.   No evidence of senescence, measured by telomere length, with extended expansion of SNK02 cells from multiple donors.
Molecular characteristics of SNK01
The levels of a group of natural cytotoxicity receptors (“NCRs”), including NKp30, NKp46 and NKp44, typically increase during the manufacturing of SNK01. These receptors have been shown to be
 
106

TABLE OF CONTENTS
 
critical for the recognition and elimination of tumor cells. One of the ligands for NKp30, for example, is B7-H6, a common tumor antigen. The binding of NKp30 to B7-H6 leads to the secretion of cytokines such as TNF-alpha and IFN-gamma, and cell lysis perforins and granzymes. Expression of NKp30 has also been shown to correlate with overall improved survival and better prognosis in gastrointestinal stromal tumors. Whereas resting NK cells routinely express low levels of NKp30 and NKp46, NKp44 is only found on activated NK cells. Cell surface receptor expression between the starting (primary) NK cells and the expanded SNK cells have also been shown to increase several fold. In Figures 9 and 10, the cell receptor NKp30 went from approximately 0% to 95%, approximately 20% to 100%, and approximately 30% to 100% in donors 1, 2 and 3, respectively. The cell receptor NKp46 went from approximately 10% to 80%, approximately 40% to 100%, and approximately 60% to 100% in donors 1, 2 and 3, respectively. The cell receptor NKp44 went from approximately 0% to 45%, approximately 0% to 65%, and approximately 0% to 75%, in donors 1, 2 and 3, respectively. The cell receptor NKG2D went from approximately 70% to 100%, approximately 75% to 100%, and approximately 75% to 100% in donors 1, 2 and 3, respectively. Its high level of expression on SNK01 along with the elevated levels of NKp30, NKp44 and NKp46 serves as a confirmation of the activation state of SNK01.
[MISSING IMAGE: lc_express-4clr.jpg]
Figure 9.   In in vitro experiments performed by NKMAX, increased expression of NCRs during the manufacturing of SNK01 was observed across donors.
SNK01 cells also typically have high expression of NKG2D, a master regulator of immune response, and DNAM-1, a receptor that is essential for NK-cell mediated lysis of damaged cells such as tumor cells.
[MISSING IMAGE: lc_nkg-4clr.jpg]
Figure 10.   SNK01 cells have high expression of NKG2D and DNAM-1.
SNK01 for the treatment of neurodegenerative diseases
We are developing SNK01, an autologous NK cell therapy, for the treatment of neurodegenerative diseases including AD and PD. Results from case studies of SNK01 administered on a compassionate use
 
107

TABLE OF CONTENTS
 
basis have shown reversal of several symptoms in patients with advanced stages of these diseases. These results stand in contrast to many of those reported for other therapies in neurodegenerative diseases, for which meaningful improvements in parameters such as cognition have rarely been observed. We believe that SNK01 has the potential to transform the treatment of these debilitating diseases and we are initiating clinical trials to explore these early signals.
Alzheimer’s disease background
AD is a progressive neurodegenerative disorder that slowly destroys memory and cognitive ability and eventually even the ability to carry out simple tasks. Its symptoms include cognitive dysfunction, memory abnormalities, progressive impairment in daily living activities, and a wide range of behavioral and neuropsychiatric symptoms, including agitation and aggression.
One of the most common initial symptoms of AD is memory impairment, and in particular, the ability to recall recent events. As AD progresses, deficits in language begin to emerge. Worsening cognitive function brings about deficits in both executive function and problem solving. Patients often become less organized and less motivated. As the disease progresses, an inability to complete tasks emerges and patients typically require increasing levels of assistance for daily living activities, such as hygiene and feeding.
In late-stage disease, behavioral and psychiatric symptoms, such as apathy, social disengagement, and irritability are common. Some patients develop agitation, aggression, wandering, and psychosis. AD patients frequently develop sleep disorders and ten to twenty percent experience seizures. The severity of AD is often assessed using the MMSE score. Patients with early-stage disease typically have MMSE scores between 20 and 25. As patients develop moderate symptoms and exhibit clear impairment their MMSE scores typically range from 13 to 20. Patients with low double digit and with single digit MMSE scores usually require 24-hour supervision and assistance with activities of daily living. The average life expectancy after a diagnosis of AD has been reported to be between eight and ten years.
[MISSING IMAGE: tb_score-4c.jpg]
Figure 11.   MMSE score can be used to stage AD patients.
AD is highly prevalent
The Alzheimer’s Association estimates that there are 6 million people in the United States suffering from AD and an estimated 500,000 AD-associated deaths every year. According to the Alzheimer’s Association, one in nine Americans over the age of 65 have AD. In people aged 85 and above, the prevalence rate increases to about one in three persons.
In addition to its often debilitating effect on patients’ cognition and day-to-day functioning, AD places a significant burden on the healthcare system. The direct cost of care in 2020 for patients with AD in the
 
108

TABLE OF CONTENTS
 
United States was estimated to be $305 billion, with this cost expected to grow to more than $1 trillion by 2050 as the population ages.
Current therapies for AD
There are currently no known cures or clinically meaningful disease-modifying therapies for AD, despite clinical trials of numerous agents over a wide range of mechanisms. Two classes of therapies are approved for the treatment of symptoms of AD. Acetylcholinesterase inhibitors donepezil, galantamine and rivastigmine are designed to slow the degradation of acetylcholine, helping to preserve neuronal communication. Glutamatergic modulators such as memantine, designed to block sustained, low-level activation of the N-methyl-D-aspartate or NMDA receptor, also often provide temporary symptomatic relief. These drugs often provide temporary benefits but do not slow or halt neuronal death. In addition, antidepressants and antipsychotics are often prescribed off-label to treat the symptoms of severe AD when patients suffer from agitation, aggressive behaviors, psychosis and depression.
Recent drug candidates under development for AD include those focused on reducing amyloid beta accumulation or clearance in the brain, the phosphorylation of tau protein, chronic inflammation, vascular dysfunction, metabolic dysregulation and neurotoxicity. However, most of these drug candidates have failed to demonstrate any significant cognitive improvement. Two therapies, both antibodies directed against amyloid beta, have recently received accelerated approval by the FDA: aducanumab, marketed as Aduhelm® by Biogen, and lecanemab, marketed as Leqembi® by Eisai and Biogen. Both of these drugs aim to reduce levels of amyloid beta plaques.
Parkinson’s disease background
PD is a progressive neurodegenerative disorder that is most commonly characterized by resting tremors, slow motor movement, rigidity, and gait difficulty. The symptoms of PD result from degeneration and death of nerve cells in the substantia nigra, a part of the brain that produces the neurotransmitter dopamine. Progressive loss of dopamine-producing neurons results in loss of control of motor function with symptoms typically becoming apparent after 60 percent to 80 percent of a patient’s neurons have already died. Further disease progression often leads to more serious neurologic dysfunction and death.
The Parkinson’s Foundation estimates that nearly one million people in the United States are living with PD and there are 90,000 new diagnoses made each year. Worldwide it is estimated that there are seven to ten million people with PD. The combined direct and indirect cost of PD, including treatment, social security payments and lost income, is estimated to be nearly $52 billion per year in the United States alone.
Current therapies for PD
The primary treatments for PD are currently centered on increasing and preserving levels of dopamine. Levodopa is a direct precursor of dopamine and is the primary treatment for patients with advanced disease. Levodopa is administered orally, sometimes with carbidopa which limits the amount of levodopa that is metabolized before it has a chance to reach the brain. Proper dosing of levodopa can be challenging due to adverse events seen when peak drug levels are reached following administration of a dose and the reemergence of symptoms when drug levels drop between doses. Other drugs, such as monoamine oxidase-B inhibitors and catechol-O-methyltransferase inhibitors are sometimes used to help increase dopamine levels in the brain by preventing its breakdown. There currently are no known therapies that function to slow the progression of the disease. Existing therapies only help to address the symptoms.
Initial clinical report of SNK01 in neurodegenerative disease
Autologous NK cells have been used by physicians in Japan for several years to treat oncology patients including those with glioblastoma under the Regenerative Medicine Safety Act. A key advantage of non-genetically modified autologous cell therapies derived from somatic cells is that they are recognized by the patient’s immune system as their own. They also have a low risk of cancerous transformation. According to the above-mentioned review by Liu and coworkers published in 2021, hundreds of patients have been
 
109

TABLE OF CONTENTS
 
treated in a number of different countries with autologous NK cells. NKGen believes that the primary current limitation on even broader use of autologous NK cell therapy is weak efficacy.
Initially, NKMAX collaborated with a Japanese hospital to explore the potential of SNK01 cells in the treatment of various types of diseases associated with weak or dysfunctional NK cells. Treatment with SNK01 appeared to have some positive clinical effect in a patient with neurodegenerative disease. This result suggested the possibility of using SNK01 cells to directly treat neurodegenerative diseases.
Role of NK cells in neurodegenerative disease
Neuroinflammation is a common finding in neurodegenerative diseases and is the basis of immune therapies such as natalizumab, marketed as Tysabri® by Biogen, and fingolimod, marketed as Gilenya® by Novartis. These therapies have demonstrated the ability to slow disease progression in multiple sclerosis, but they have not led to significant reversal of neurological damage and despite widespread commercial availability there is currently no definitive clinical evidence for their efficacy in other neurodegenerative diseases such as AD and PD.
Although it is widely accepted that neuroinflammation in AD is driven by microglia and astrocytes, T cells are believed to be key mediators of the inflammatory response. In the past, it was generally believed that the brain was immunologically privileged with little communication with the systemic immune system. This immune privilege is not absolute but is instead a tightly regulated process in which immune cells can selectively cross into the brain. In particular, T cells that have high levels of expression of chemokine receptors, such as CXCR3, are recruited to the brain and promote both autoreactive neuronal toxicity and increased levels of proinflammatory cytokines.
NK cells have been shown to have a protective role in other diseases caused by autoreactive T cells through cytokine production and direct killing of T cells. NK cells have also been associated with the process of removing accumulated protein deposits from mouse brain disease models in both PD and AD. Studies in AD patients have shown that the number of NK cells in peripheral blood is lower than that found in healthy control subjects. In addition, the NK cells that are present in AD patients are enriched in a subset of NK cells with reduced cytotoxic activity.
These findings are consistent with a dysfunctional NK cell activity in some neurodegenerative diseases and suggest a potential role for NK cell therapy to reduce neuroinflammation caused by autoreactive T cells as well as the potential to reduce accumulated protein deposits themselves. In addition, damaged neurons have been shown to express NKG2D ligands enabling them to be recognized and eliminated by NK cells. Despite these findings, there has been, until now, no known efforts or direct clinical evidence supporting the potential effectiveness of NK cell treatment in neurodegenerative diseases. This is especially true for those associated with neuroinflammation.
Rationale for the use of SNK01 in neurodegenerative disease
Several characteristics of SNK01 cells differentiate them from other NK cells and NKGen believes make them attractive candidates for the treatment of neurodegenerative diseases. One of the most critical factors is the increased expression of chemokine receptor CXCR3.
 
110

TABLE OF CONTENTS
 
[MISSING IMAGE: lc_cxcr-4clr.jpg]
Figure 12.   Nearly 100 percent of SNK01 cells express CXCR3.
Neuroinflammation in AD and other neurodegenerative diseases is associated with high levels of inflammatory cytokines such as IFN-gamma. These cytokines, in turn, lead to the production of a series of chemokines that are natural ligands for CXCR3 resulting in the recruitment of immune cells to sites of inflammation. In neurodegenerative diseases, the activation of CXCR3 by these chemokines typically drives microglial activation and leads to the recruitment of cytotoxic T cells into the brain. The resulting increase in immune activation often causes further propagation of neuroinflammation. CXCR3 ligands have been found to be highly expressed in damaged neurons and amyloid plaques and the importance of CXCR3 in driving AD pathologies was demonstrated in mouse models, where the knockout of CXCR3 prevented plaque formation and improved cognition. NKGen believes that the high levels of CXCR3 expression on SNK01 cells has the potential to result in greater localization of SNK01 to the brain than possible with NK cells with low CXCR3 expression.
Once in the brain, NKGen believes SNK01 has the potential to deliver therapeutic benefit by reducing neuroinflammation. There are several potential mechanisms by which NKGen believes SNK01 will result in favorable activity in neurodegenerative diseases including, but not limited to:

suppression and elimination of autoreactive T cells via recognition of upregulated ligands for DNAM-1 and NKG2D receptors;

potential elimination of damaged neurons that express ligands for NKG2D; and

stimulation of microglia and macrophages to remove protein aggregates through secretion of cytokines such as IFN-gamma.
SNK01 Compassionate Use Program
SNK01 has been used to treat a total of five patients with severe or moderate AD or PD with SNK01 on a compassionate use basis. Although the results from these compassionate use treatments do not provide assurance or a guarantee that SNK01 will be deemed to be safe or effective for the treatment of AD or PD generally, and extensive clinical testing and regulatory approval will be required for SNK01, they led NKGen to initiate formal clinical development of SNK01 as a potential treatment for neurodegenerative diseases. The following is a summary of the compassionate use cases with respect to the three patients with severe or moderate AD.

AD Case 1:   A 38-year-old individual who was heterozygous for a mutation encoding an amino acid substitution at Leu113 of the PSEN1 gene received seven infusions of SNK01 over a period of five months between 2020-2021 on a compassionate use basis. Mutations in PSEN1, the gene encoding presenilin-1, are the most common cause of familial AD. At the end of the treatment period, this patient was reported by the patient’s treating physician and family members to have an improved ability to walk, talk and feed themself. No baseline MMSE score could be calculated for this patient, as the patient was non-verbal. This patient’s physician and family members did not report any adverse reactions related to the SNK01 treatment.
 
111

TABLE OF CONTENTS
 

AD Case 2:   A 70-year-old individual with advanced AD received 6 infusions of SNK01 over a period of 8 months in 2020 on a compassionate use basis. The individual could no longer remember their family members’ names, where such individual lived, how to feed themself, or how to navigate through their home on their own. Treatment was suspended due to COVID-19 restrictions and the individual’s condition reverted to their pre-treatment baseline after approximately six months from the date of the last infusion. Pursuant to a single compassionate use IND, the patient has re-initiated treatment and received 4 doses since January 2023 to date. The patient’s family members have reported that the patient’s cognitive and physical abilities have improved. The patient’s physician and family members have not reported any adverse reactions to date related to the SNK01 treatment.

AD Case 3:   A 79-year-old individual with an MMSE score of 12, which corresponds to severe dementia, initially received five infusions of SNK01 in 2020 on a compassionate use basis. At the end of the treatment period, the individual’s MMSE score improved to 22 and remained stable for five additional infusions of SNK01 for a total treatment period of over 8 months. Treatment was suspended due to COVID-19 restrictions. No additional MMSE scores were measured for the patient after 9 doses of SNK01 were administered and no additional information was reported. The patient’s physician and family members did not report any adverse reactions related to the SNK01 treatment.
In each of the compassionate use treatments for patients with severe or moderate AD, observational improvements were reported by the patients’ respective physicians and family members and no adverse reactions were reported related to the SNK01 treatment.
The following is a summary of the compassionate use case with respect to a patient with severe or moderate PD. In addition to this case study, one other patient was initially believed to have PD and had received SNK01 treatment under the compassionate use program. It later became unclear whether the patient had PD upon further examination. As a result, the patient was taken off the SNK01 compassionate use treatments.

PD Case 1:   A 47-year-old individual with several years history of progressing PD received six infusions of SNK01 over four months in 2020 on a compassionate use basis. Treatment was suspended due to COVID-19 restrictions. At the end of treatment period after six doses of SNK01, the patient reported they had improved cognition, speech, energy, balance, and overall muscle strength and movement. The patient did not report any adverse reactions related to the SNK01 treatment.
SNK01 Clinical Trials
We decided to specifically evaluate the effects of SNK01 in AD patients by initiating a formal clinical trial in Mexico (MX04) that was approved by COFEPRIS on July 9, 2020, as well as REC at Hospital Angeles Tijuana on May 7, 2020. This open-label Phase I trial was designed to evaluate the safety, tolerability, and exploratory efficacy of SNK01 in patients with AD. We plan to enroll up to 30 patients in this trial with the primary endpoints on safety and tolerability and secondary endpoints on changes in cognitive function. On October 20, 2023, we received IND clearance from the FDA for SNK01 in AD. During the remainder of 2023, we intend to advance the clinical development of SNK01 and initiate a Phase I/IIa trial in the United States for AD.
[MISSING IMAGE: fc_clinicaltrials-4clr.jpg]
Figure 13.   Design of Phase I trial of SNK01 for AD patients.
As of July 13, 2023, we have obtained data from 10 AD patients dosed with SNK01 in this Phase I trial. These patients come from the first three cohorts in the dose escalation portion of the trial. Five of
 
112

TABLE OF CONTENTS
 
these patients had mild AD and the other five had moderate- to- severe AD. Their median age was 79. A preliminary review of clinical trial data from these patients suggests that using SNK01 was generally well-tolerated when four doses were given over a ten-week period with no treatment-related serious adverse events reported. Exploratory analyses in this safety trial have suggested that SNK01 may be associated with stabilization or improvement across three domains of AD: cognitive function, AD-related protein biomarkers and neuroinflammatory biomarkers.
Patients treated with SNK01 showed a tendency to stabilize or improve cognition by cognitive assessments when tested one week after the last dose. Seven of the ten patients had stable or improved scores on the CDR-SB at the end of week 11 as compared to week 1, a widely used general cognitive measure in clinical trials for AD that rates performance in six cognitive domains including memory, orientation, judgment/problem solving, community affairs, home and hobbies and personal care.
Six of the ten patients had stable or improved scores on the ADAS-COG at the end of week 11 as compared to week 1, a widely-used general cognitive measure in clinical trials for AD that assesses multiple cognitive domains including memory, language, praxis and orientation. Five of the ten patients had a stable or improved MMSE score at the end of week 11 as compared to week 1, which assesses orientation to time, place, three-word registration, attention and calculation, three-word recall, language and visual construction.
Furthermore, between four and five of the six patients, respectively, who were assessed at week 22, which is 12 weeks after the last dose, maintained or improved their cognitive function compared to week 12 using the Minimally Clinically Important Differences (“MCID”) criteria, which is a scoring mechanism used to determine clinically meaningful change in patients with mild AD.
[MISSING IMAGE: tbl_weekpost-4c.jpg]
Figure 14.   Summary of results in the Phase I trial of SNK01 in AD.
We observed that levels of amyloid and tau biomarkers of AD progression in the CSF were either held constant or improved one week after completion of SNK01 dosing compared to baseline values. Low Aβ42 levels and a low Aβ42/Aβ40 ratio have both often been described as predictors of AD severity. Similarly, the level of phospho-tau was either held constant or was reduced with SNK01 dosing. At week 22, however, the levels of these biomarkers rebounded from their week 11 post-treatment levels, suggesting that repeated dosing may be required to maintain therapeutic benefit.
 
113

TABLE OF CONTENTS
 
[MISSING IMAGE: lc_snk01treatled-4clr.jpg]
Figure 15.   SNK01 treatment led to changes in biomarkers of AD in CSF that are consistent with halting or reversing disease progression.
Dosing with SNK01 in these AD patients also led to dose-dependent changes in neuroinflammatory markers that were consistent with the reduction in inflammation. Notably, levels of inflammatory markers GFAP and YKL-40 as well as the marker for neuronal damage decreased in 30% to 60% of patients with SNK01 dosing. Consistent with the results observed with the amyloid and tau biomarkers, the levels of these neuroinflammatory markers increased after the last dose, indicative of an increase in neuroinflammation.
 
114

TABLE OF CONTENTS
 
[MISSING IMAGE: lc_snk01treat-4clr.jpg]
Figure 16.   SNK01 treatment led to changes in neuroinflammatory biomarkers in CSF that are consistent with halting or reversing disease progression.
These results provide evidence that SNK01 is able to enter the brain, leading to changes in a broad spectrum of biomarkers that are consistent with a reduction in protein pathologies associated with AD and a reduction in neuroinflammatory markers. These biomarker changes reverted after treatment was completed, further indicating that their changes were associated with SNK01 dosing. NKGen will continue to collect data on additional patients with the intent of confirming these and potentially additional biomarker changes in future trials.
We believe that SNK01 has the potential to transform the treatment of AD, PD, and other neurodegenerative diseases. On October 20, 2023, we received IND clearance from the FDA for SNK01 in AD. During the remainder of 2023, we intend to advance the clinical development of SNK01 and initiate a Phase I/IIa trial in the United States for AD. The endpoints of this trial will include safety as well as measures of cognitive ability and levels of biomarkers before and after treatment with SNK01. In parallel, we continue to optimize our manufacturing processes to address the potential market.
In 2024 and beyond, we intend to submit an IND to the FDA to conduct a Phase I trial in PD, to evaluate the expansion into other neurodegenerative diseases, accelerate development in oncology through strategic collaborations.
Expert advisors in neurodegenerative diseases
We have assembled a Scientific Advisory Board of leading clinical researchers to help guide the development of SNK01 in neurodegenerative disease. Craig Blackstone, MD, Ph.D., the Chief of Movement Disorders at the Massachusetts General Hospital, is a board-certified Neurologist who previously served as the Cell Biology Section Chief of the Neurogenetics Branch of the National Institute of Health. Ming Guo,
 
115

TABLE OF CONTENTS
 
MD, Ph.D. is the P. Gene & Elaine Smith Chair in Alzheimer’s Disease Research and Professor of Neurology, Molecular and Medical Pharmacology at the University of California, Los Angeles. Anthony T Reder, MD is Professor of Neurology and Director of the Neurology and Inflammatory Disease Infusion Center at The University of Chicago. NKGen has also partnered with the Parkinson’s Foundation to help accelerate clinical development of SNK01 with respect to PD.
SNK01/SNK02 for the treatment of solid tumors
SNK cells have several properties which position them as potential cancer therapies. We and NKMAX are conducting clinical trials to evaluate the potential of SNK01 monotherapy and also in combination with other agents such as ICIs and antibody-based biologics. Encouraged by the positive results observed in Phase I oncology trials of SNK01, we are transitioning oncology development efforts to SNK02, an off-the-shelf allogeneic product candidate, which we believe would have the benefit of eliminating delays associated with the manufacturing of autologous therapies.
Refractory solid tumor background
Roughly two million people are expected to be diagnosed with cancer in the United States in 2023 with solid tumors responsible for the vast majority of such cases. Some solid tumors, such as colorectal and breast cancers, that are identified early can be removed by surgical excision to ultimately cure the patient’s disease. However, many tumors are not amenable to complete surgical removal either due to the type of tumor or to their diagnosis after metastasis to other sites has occurred. Therapies such as chemotherapy, biologic therapy, and radiation therapy are then used to try to control tumor growth and extend survival. Resistance and lack of response to these therapies are common resulting in the use of combination therapies to improve outcomes. The sequential use of single agent or combination therapies is often referred to as “lines of therapy.” A patient that is no longer responding to a line of therapy is considered to have failed that line of therapy and they are left with no therapeutic options if they exhaust all lines of available therapy. Approximately 600,000 patients will die from cancer in 2023 in the United States highlighting the unmet clinical need.
SNK01 monotherapy
As part of a Phase I trial of SNK01 in solid tumors, we dosed ten patients with late-stage progressive disease with SNK01, of which nine were able to be evaluated. SNK01 was reportedly well-tolerated in all patients and was associated with stable disease in the majority of patients at the end of the study (week 9).
Monotherapy rationale
Immune cytotoxic responses to tumors are typically mediated by components of the adaptive immune system such as CD8+ T cells. Tumors, however, can escape immune control through a number of mechanisms such as the expression of checkpoints which prevents T cell attack. Drugs, such as PD-1/PDL-1 inhibitors, that can relieve these checkpoints have led to significant therapeutic benefits for many patients, but not all patients respond, and resistance can develop to these therapies.
Expression of checkpoints is far from the only mechanism employed by tumors to escape immune attack. Between 40 percent and 90 percent of tumors downregulate the expression of major histocompatibility complex (“MHC”) class I. T cell recognition of tumor cells is dependent on the presentation of tumor-specific antigens by MHC molecules and low levels of MHC class I often limit the ability of T-cells to recognize these tumor cells.
NK cells can serve as means of recognizing cells that lack MHC class I molecules. Receptors on NK cells such as killer cell immunoglobulin-like receptors (“KIR”) family receptors can act as inhibitor signals for NK cell lysis, preventing NK cell killing of cells that express MHC class I. The absence of MHC class I molecules along with the activation of other cell surface receptors can lead to the recognition of tumor cells as foreign and the activation of NK cells. Through this mechanism, NK cells can serve to thwart a potential immune oncology escape mechanism.
The use of allogeneic or autologous donor-derived NK cell-based therapy for treating hematological malignancies, such as AML, have been well established in publications. Although a large number of clinical
 
116

TABLE OF CONTENTS
 
trials of NK cells have been initiated in solid tumors, we are not aware of clinical results that come close to matching those reported for hematological malignancies. We believe that SNK cells may offer a competitive advantage with the potential of demonstrating meaningful efficacy in solid tumors.
Results from a Phase I monotherapy trial in solid tumors
We have evaluated nine heavily pretreated solid tumor cancer patients with progressive disease with SNK01 monotherapy. These patients had an average of five prior lines of chemotherapy before enrollment. Three cohorts were dosed with five weekly infusions of 1, 2, or 4 x 109 SNK01 cells. As presented at the ASCO meeting in 2022, at week five all patients had stable disease and at week nine, which was four weeks after completion of dosing, six of nine patients continued to have stable disease. Three patients received FDA compassionate use approval to continue SNK01 treatment in combination with an ICI.
[MISSING IMAGE: tbl_pha1snk01-4clr.jpg]
Figure 17.   Results from Phase I SNK01 monotherapy in advanced solid tumor patients.
SNK01 in combination with checkpoint inhibitors
In July 2021, NKMAX conducted a Phase I/IIa trial in advanced lung cancer and a Phase I trial in refractory solid tumors using SNK01 in combination with checkpoint inhibitors. SNK01 combination therapy improved overall survival and tumor response compared to ICI therapy alone in the Phase I/IIa trial in advanced lung cancer patients. There were no reported Grade 2 or 3 immune-related adverse events with the SNK01 combination therapy. By contrast, immune-related adverse events have been associated with hospitalizations in over 40 percent of patients treated with pembrolizumab monotherapy.
We believe that the therapeutic potential of ICIs in combination with SNK cells is much higher than with other NK cells because of the activity of SNK cells. Not only are SNK cells more cytotoxic, but their high level of activation, as compared to the starting population of NK cells, eliminated the need for patients to undergo lymphodepletion before treatment. We believe that this will not only avoid the emergence of adverse events associated with lymphodepletion but will also improve efficacy by sparing the destruction of components of the patient’s immune system that are required for an effective response to ICIs.
Immune checkpoint therapy
A number of mechanisms are used by the human immune system to avoid an attack on normal, healthy cells. One class of mechanisms is referred to as immune checkpoints, exemplified by the PD-1/PD-L1 checkpoint. Cells that express PD-L1 are protected from cell killing by T-cells through the binding of
 
117

TABLE OF CONTENTS
 
PD-L1 to the PD-1 receptor of T-cells. Expression of PD-L1 however can also be used by tumor cells to prevent T-cell attack. Therapies such as pembrolizumab, marketed as Keytruda® by Merck, and avelumab, marketed as Bavencio® by Merck KGaA, are ICIs that function by alleviating the PD-1/PD-L1 checkpoint. ICIs have transformed the treatment of some cancers by enabling the patient’s immune system to attack their own tumor. According to the FDA drug approval database, as of mid-2023, ICIs have been approved for the treatment of approximately twenty types of cancers.
There are three primary challenges to ICI therapy:

Only a subset of patients typically respond.   Although response rates vary significantly across indications and rates of 40 percent to 45 percent have been reported for NSCLC and rates of up to 50 percent have been reported for CRC, overall less than 20 percent of patients in the United States have tumors that respond to ICI therapy.

Immune-mediated adverse reactions.   Severe and fatal immune-mediated adverse events can develop as the elimination of immune checkpoints enables T cells to attack tumors but also enables autoreactive T cells to attack healthy cells.

Resistance develops.   Over half of melanoma patients that initially respond to ICI develop resistance.
Checkpoint combination rationale
We believe that both SNK01, the autologous NK cell product candidate, and SNK02, the allogeneic NK cell product candidate, have the potential to address all three of the above-mentioned challenges to ICI therapy.
In vitro experiments have shown that in addition to the role of NK cells in activating T cells, NK cells also serve to eliminate activated T cells, such as autoreactive T cells, through recognition of upregulated ligands for NKG2D receptor. We believe that reduction in the levels of autoreactive T cells is the cause of the low frequency of immune-mediated adverse events observed in SNK01 plus ICI combination trials to date.
Tumors develop resistance to ICI through a variety of mechanisms including the downregulation or loss of MHC Class I expression. Loss of MHC Class I prevents T cells from recognizing the tumor cells. NK cells, such as SNK01, however, are able to specifically target cells that lack MHC Class I expression, thereby eliminating one path for the development of resistance to ICIs.
NK cells can also express PD-1, rendering them sensitive to blockade by PD-L1 expressing tumor cells. Treatment with PD-1/PD-L1 ICIs, relieves this blockage, highlighting the potential of combination therapies consisting of SNK01 and ICIs.
We have established a collaboration arrangement with Merck KGaA (through its subsidiary, AresTrading) and Pfizer to evaluate the safety and tolerability of SNK01 with avelumab, a human anti-PD-L1 therapy co-developed and co-commercialized by Merck KGaA and Pfizer. As of July 2023, the collaborative alliance between Merck KGaA and Pfizer was terminated but NKGen’s collaboration with Merck KGaA is continuing.
Phase I SNK01 combination therapy with PD-1 or PD-L1 checkpoint inhibitors
Two phases of the SNK01 Phase I clinical trial in solid tumors enrolled patients in combination with ICIs. In one phase SNK01 was administered in combination with avelumab every two weeks for five cycles.
The avelumab combination phase enrolled seventeen advanced-stage cancer patients who had failed a mean of five prior therapies. The best objective response rate attained was 11.7 percent with two partial responses and six patients with stable disease. The median progression-free survival (“PFS”) was 11.3 weeks with four patients having a PFS of greater than 41 weeks. Median overall survival was 24.9 weeks and NKGen expects both the PFS and OS to increase as patients continue with the trial. SNK01 combined with avelumab was generally and reportedly well-tolerated and appears to have clinical activity against several types of heavily pre-treated advanced sarcomas independent of PD-L1 status.
 
118

TABLE OF CONTENTS
 
[MISSING IMAGE: tbl_resphase1-4clr.jpg]
Figure 18.   Results from Phase I SNK01 plus avelumab combination therapy in advanced solid tumor patients.
A Phase I/IIa randomized clinical trial was conducted in South Korea to assess the safety and efficacy of SNK01 in combination with pembrolizumab versus pembrolizumab monotherapy. This trial enrolled eighteen patients with advanced NSCLC, who had a history of failed platinum-based therapy. Patients were dosed with pembrolizumab every three weeks with or without the addition of six weekly infusions of SNK01. No dose-limiting toxicity was observed in conjunction with SNK01 administration. The objective response rate (41.7%), and one-year survival rate (66.7%) were both higher for patients treated with SNK01 combination therapy than for those treated with pembrolizumab monotherapy (0% and 50%). Combination treated patients had a median PFS of 6.2 months versus 1.6 months for pembrolizumab monotherapy. Based on longer term follow-up of these patients the estimated two-year survival rate was 58.3 percent when SNK01 was added versus 16.7 percent with pembrolizumab monotherapy.
[MISSING IMAGE: lc_nsclcpat-4clr.jpg]
Figure 19.   NSCLC patients treated with a combination of SNK01 and pembrolizumab had a significantly longer PFS than those treated with pembrolizumab monotherapy (Kim et al
Cancer Research and Treatment, 2022).
 
119

TABLE OF CONTENTS
 
We have observed that combination dosing of SNK01 with pembrolizumab has led to antitumor activity in patients with advanced sarcoma in two single-patient compassionate use investigational new drug applications authorized by the FDA.
A 32-year-old patient with Stage IVB desmoplastic small round cell sarcoma had previously failed five rounds of therapy including Yondelis/Keytruda combination therapy. The patient was enrolled in the monotherapy SNK01 Phase I trial where stable disease was achieved. Nevertheless, tumors persisted in the abdomen and pelvis with extensive involvement of abdominal and pelvic lymph nodes as well as the liver. Through the compassionate use application, this patient was able to be treated with a combination of SNK01 and pembrolizumab every three weeks. After one year, the patient’s tumor burden had decreased by 47 percent and the patient underwent surgical debulking of the tumor followed by SNK01 plus pembrolizumab treatment.
[MISSING IMAGE: ph_tumorburd-bwlr.jpg]
Figure 20.   Tumor burden was markedly reduced in a sarcoma patient treated with SNK01 and pembrolizumab on a compassionate use basis.
A second patient was diagnosed with Stage IV chondrosarcoma and progressive disease after failing multiple prior therapies including nivolumab. Treatment with SNK01 plus pembrolizumab on a compassionate use basis led to a marked reduction in liver metastases.
[MISSING IMAGE: ph_combsnk01-4clr.jpg]
Figure 21.   The combination of SNK01 plus pembrolizumab led to a marked reduction in tumor burden in a patient with refractory chondrosarcoma.
SNK01 in combination with target-based biologics
We believe that the high cytotoxicity of SNK cells along with their high level of CD16 expression position them as potentially attractive therapies to drive ADCC cell killing when combined with target-based biologics. NKMAX has established a collaboration with Merck KGaA to investigate the potential combination of SNK01 with cetuximab. We had previously established a collaboration with Affimed to
 
120

TABLE OF CONTENTS
 
investigate the potential of combinations of SNK01 with AFM24. The study investigating the combination of SNK01 with AFM24 was discontinued by mutual agreement between us and Affimed in June 2023, because Affimed advised us that it intends to explore the possibility of advancing the study with an allogeneic off-the-shelf NK cell product which it expects to be better suited for combination with AFM 24.
Anti-EGFR based therapies
Anti-EGFR antibody-based therapies such as cetuximab have been approved to treat colorectal cancer or CRC, and head and neck squamous cell carcinoma (“HNSCC”). Although treatment with these antibodies, typically in combination with chemotherapy agents, often leads to significant improvements in overall survival, there is a large opportunity for improved efficacy. Cetuximab in combination with FOLFIRI chemotherapy, for example, had a median overall survival of 19.6 months in CRC compared to 18.5 months for FOLFIRI alone. Only 10 percent of patients respond to monotherapy and about 23 percent respond when cetuximab is administered in combination with chemotherapy.
CRC is one of the most common tumors with 153,020 new diagnoses and 52,550 deaths projected in 2023 in the United States. An estimated 66,920 new diagnoses of HNSCC and 15,400 deaths are anticipated in 2023.
ADCC rationale
Targeted antibody therapies have revolutionized cancer treatment and much of their cell-killing activity is dependent on NK cells. NK cells have CD16 receptors on their surface which recognize the Fc domain of antibodies and, through this interaction, antibodies that bind to tumor-specific antigens can recruit NK cells directly to tumor cells and activate them to kill tumor cells. This process is referred to as antibody-dependent cellular cytotoxicity (“ADCC”). The critical role of NK cells and the interaction between CD16 and the Fc domain of antibodies is supported by alterations to the Fc domain of antibodies and by genetic alterations in CD16 which have both been shown to increase tumor cell-killing activity.
We have shown that SNK01 cells have consistently high expression of CD16, which we believe will enable increased cytotoxicity when combined with targeted oncology antibodies and antibody-derived product candidates.
[MISSING IMAGE: lc_cd16-4clr.jpg]
Figure 22.   CD16 is expressed in over 90 percent of SNK01 cells.
Phase I/IIa combination of SNK01 and cetuximab
We believe that there is a significant opportunity to improve the response rate to cetuximab through SNK-mediated ADCC based on preclinical experiments in EGFR-resistant cell lines. NKMAX is collaborating
 
121

TABLE OF CONTENTS
 
with Merck KGaA to conduct a Phase I/IIa trial investigating the combination of SNK01 with cetuximab. These antibodies work through two mechanisms: they directly inhibit EGFR signaling and they trigger ADCC attack of EGFR expressing cancer cells by NK cells. Preliminary results from this trial were presented at the ASCO meeting in June 2023. Three of six patients dosed with the combination of SNK01 and cetuximab achieved partial responses. All other patients dosed with SNK01 maintained a state of stabilized disease.
[MISSING IMAGE: lc_overall-4clr.jpg]
Figure 23.   Results from a Phase I/IIa trial of SNK01 in EGFR-mutated NSCLC with resistance to TKI. A. Overall survival. B. PFS.
Phase I/IIa combination of SNK01 and AFM24
In collaboration with Affimed, we initiated a Phase I/II trial of SNK01 in combination with AFM24, a tetravalent biologic created by Affimed designed to direct NK cell killing of EGFR-expressing tumors. AFM24 is a tetravalent, bispecific innate cell engager that activates the innate immune system by binding to CD16 on NK cells and EGFR. We and Affimed mutually decided to discontinue the study in June 2023, because Affimed has advised us that it intends to explore the possibility of advancing the study with an allogeneic off-the-shelf NK cell product which it expects to be better suited for combination with AFM 24.
SNK02, an allogeneic NK cell product candidate
Based on the results observed with SNK01, the autologous product candidate, we have decided to transition oncology development programs from SNK01 to SNK02, an allogeneic product candidate. It is generally accepted that allogeneic NK cells may be more active than autologous NK cells in oncology. We believe that SNK02 will retain the desirable attributes of SNK01 while enhancing antitumor efficacy. Furthermore, the ability to create an off-the-shelf NK cell therapy would reduce the time and resource intensive process required to create an autologous therapy for each patient. It takes several weeks to generate autologous NK cells from cancer patients, during which time some cancers may rapidly spread and the patient’s condition may deteriorate. We believe it would be advantageous, both for efficacy and from the clinician’s and patient’s perspective, to treat patients with highly active allogeneic NK cells that can be mass-produced, cryogenically preserved, and made available as off-the-shelf therapies.
The killing of autologous cells is prevented through the binding of KIR receptors on NK cells to MHC class I molecules. In the case of allogeneic therapies, a mismatch between the MHC class I molecule will fail to bind to the inhibitory KIR receptor. However, the lack of a matching MHC class I is insufficient to lead to a graft versus host response and instead serves to enhance the cytotoxic response of NK cells to other stimuli. Improved efficacy has been reported using allogeneic NK cell therapy compared to autologous NK cells in the clinic.
We have begun dosing in Phase I trial of SNK02 in patients with solid tumors in August 2023. Our allogeneic NK cell therapy product candidate will undergo clinical testing without the need for
 
122

TABLE OF CONTENTS
 
lymphodepletion. This may provide an advantage in terms of antitumor response. We believe this is very significant, especially for possible combination regimens with ICIs that require a robust T cell response which can otherwise be muted with lymphodepletion regimens.
HER2-CAR SNK02
We are developing a HER2-CAR SNK02 product candidate that aims to combine the advantages of SNK02 cells with the ability to directly target these cells to HER2-expressing tumors. We anticipate advancing this product candidate into the clinic in 2025.
HER2 targeted therapies
HER2 is a receptor tyrosine kinase that is overexpressed in a number of cancers including breast, gastric, gastroesophageal cancers and NSCLC. Trastuzumab is an anti-HER2 antibody that is approved for the treatment of HER2+ breast and gastric cancers. In breast cancer, trastuzumab is most frequently combined with chemotherapy agents including paclitaxel, docetaxel, vinorelbine, gemcitabine, and carboplatin.
It is estimated that there will be close to 300,000 new breast cancer diagnoses in the United States in 2023. About 15 percent to 20 percent of these cases are estimated to be HER2+ and therefore potentially eligible to be treated with an anti-HER2 therapy. There are approximately 26,500 new diagnoses of gastric cancer in the United States a year. Between 6 percent and 30 percent of cases are HER2+ with higher rates near the gastro-esophageal junction and lower rates in the distal part of the stomach.
Targeting HER2-expressing cancers with trastuzumab and NK cells
The response of metastatic breast cancer patients to trastuzumab monotherapy has been shown to correlate with NK cell cytotoxicity. Patients with HER2+ tumors who were previously treated with trastuzumab and chemotherapy were followed for six months on trastuzumab monotherapy. Patients who continued to respond to this treatment were found to have significantly higher levels of NK cell activity and ADCC. Furthermore, the NK cells from the responders had significantly higher cytotoxicity in vitro than nonresponders, highlighting the potential benefit of highly active NK cells, such as SNK cells, in ADCC-medicated tumor cell killing.
[MISSING IMAGE: lc_metasbre-bwlr.jpg]
Figure 24.   Metastatic breast cancer patients that respond to trastuzumab (circles) have NK cells with significantly higher cytotoxicity than nonresponders (triangles).
The potential for CAR SNK02 cells
While we believe unmodified SNK02 cell therapies are promising, we believe that additional increased cytotoxicity for SNK cell therapies can be achieved through the addition of CARs, to create CAR SNK02
 
123

TABLE OF CONTENTS
 
cells. CAR constructs couple a tumor-specific antigen binding domain, which is expressed on the CAR SNK02cell surface, to intracellular immune stimulatory domains. CARs designed to function in T cells have led to potent antitumor activity, primarily those that target CD19 on B cell lymphomas. However, approved CAR-T cell therapies are autologous products that are produced for each patient — a timely process with documented failure to generate products for some patients in the greatest need. Preliminary evidence supports the efficacy of CAR SNK02 cells which potentially have several advantages over CAR-T cells. CAR SNK02 cells can be prepared from healthy donors and can be made available as off-the-shelf allogeneic products. Unlike CAR-T cells, based on their inherent properties as NK cells, CAR SNK02 cells are not expected to increase the risk of life-threatening cytokine release syndrome. SNK02 cells also have a limited lifespan negating the necessity to engineer safety mechanisms to inhibit their activity and providing the opportunity for multiple doses.
HER2-CAR SNK02 cells
We have constructed a proprietary HER2-CAR consisting of an extracellular HER2 binding domain linked to intracellular costimulatory domains. Subsequent to the transduction of SNK02 cells with this CAR, we showed that its expression is maintained throughout the manufacturing process.
[MISSING IMAGE: lc_over80per-4clr.jpg]
Figure 25.   Over 80 percent of HER2-CAR SNK02 cells express the HER2-CAR construct throughout the extended cell culturing manufacturing process.
In vitro data using cell lines showed that HER2-CAR SNK02 cells had two to three-fold higher cell-killing activity against HER2-expressing tumor cell lines compared to SNK02 monotherapy.
 
124

TABLE OF CONTENTS
 
[MISSING IMAGE: lc_her2express-4clr.jpg]
Figure 26.   HER2-CAR SNK02 cells have exhibited high activity against HER2-expressing tumor cell lines compared to SNK02 monotherapy.
Expert advisors in oncology
We have assembled a panel of clinical and scientific advisors and collaborators to help guide the development of SNK cells in oncology. Yong Ben, MD, is a venture partner at Eight Roads and previously served as the Chief Medical Officer at BeiGene and BioAtla. Evren Alici, MD, Ph.D., is the Head of the Cell and Gene Therapy Group at the Karolinska Institute. He is also co-director of NextGenNK, an international competence center for developing NK cell therapies. Sant Chawla, MD, is the Head of the Sarcoma Oncology Center and serves on the clinical faculty at the University of California Los Angeles and the University of Southern California.
Industry and Competition
The biotechnology industry in general, and the cell therapy field in particular, is characterized by rapidly advancing and changing technologies, intense competition and a strong emphasis on intellectual property. While we believe that our approach, strategy, technology, knowledge, and experience provide us with competitive advantages, we face substantial competition with respect to our product candidates currently in development and will face competition with respect to other product candidates that we may seek to develop or commercialize in the future. Sources of competition include major pharmaceutical, specialty pharmaceutical, and existing or emerging biotechnology companies, academic research institutions and governmental agencies and public and private research institutions worldwide. Many of our competitors, either alone or with their collaborators, have significantly greater financial resources and expertise in research and development, manufacturing, preclinical testing, conducting clinical trials, obtaining regulatory approvals and marketing approved products than we do. As a result, they may be able to develop and commercialize their product candidates at a faster rate. Mergers and acquisitions in the biotechnology industry may result in even greater resource concentration among a smaller number of competitors. Smaller or early-stage companies may also prove to be significant competitors, either alone or through collaborative arrangements with large and established companies.
We currently face competition from Acepodia, Artiva, Celularity, Century Therapeutics, Cytovia Therapeutics, Fate Therapeutics, Nkarta, and ImmunityBio each of which have clinical-stage allogeneic programs. In addition, other competitors, such as Affimed, Innate Pharma, Dragonfly Therapeutics and GT Biopharma, are seeking to harness NK biology through cell engagers that direct a patient’s own NK cells to the site of a tumor. We are not aware of any other NK cell companies that have received FDA approvals of NK cell therapies to-date. However, it is also possible that new competitors, including those developing
 
125

TABLE OF CONTENTS
 
similar cellular immunotherapy product candidates or alternatives to immunotherapy, may emerge and acquire significant market share.
These competitors also compete with us in recruiting and retaining qualified scientific and management personnel and establishing clinical trial sites and patient enrollment in clinical trials, as well as in acquiring technologies complementary to, or necessary for, our programs. As a result, our competitors may discover, develop, license or commercialize products before or more successfully than we do.
Our commercial opportunity could be reduced or eliminated if our competitors develop and commercialize products that are safer, more effective, have fewer or less severe side effects, are more convenient or are less expensive than any products that we may develop. Our competitors also may obtain FDA or other regulatory approval for their products more rapidly than we may obtain approval for our products, which could result in our competitors establishing a strong market position before we are able to enter the market. The key competitive factors affecting the success of all of our programs are likely to include their efficacy, safety, convenience, price and degree of reimbursement.
Licensing Agreements
We entered into license agreements in the ordinary course of its business. We have in licensed certain technology from NKMAX that is necessary to research and develop its NK cell program. Because of the broad potential applicability of our therapeutic candidates, we may, but do not currently have plans to, out license our technology to third parties for development for other purposes that we do not intend to pursue or for certain territories.
NKMAX License
On February 12, 2020, we entered into that certain License Agreement with NKMAX (the “Original License”), which was amended and restated by that certain Amended License Agreement that we entered into with NKMAX on October 14, 2021, April 10, 2023 and August 1, 2023. Under the Intercompany License, NKMAX granted us an exclusive, royalty-bearing license, with the right to sublicense through multiple tiers, under certain patents and know-how of NKMAX in any fields of use to (i) research, develop, manufacture, have manufactured, use and commercialize any Licensed Products in the Licensed Territory and (ii) research, develop, have manufactured and manufacture Licensed Products outside of the Licensed Territory solely to support our rights in the Licensed Territory.
Pursuant to the Intercompany License, we granted NKMAX an exclusive, royalty-free, fully-paid, irrevocable, perpetual license, with very limited exception and the right to sublicense through multiple tiers, under certain of its patents and know-how for all fields of use to research, develop, manufacture, have manufactured, use and commercialize any Licensed Products in Asia. We also granted NKMAX a non-exclusive, royalty-free, fully-paid license, with the right to sublicense through multiple tiers, under certain of its patents and know-how for all fields of use for the purpose of manufacturing and having manufactured the Licensed Products outside of Asia solely for the purpose of development, manufacture, having manufactured and commercialization of the Licensed Products in Asia. We reserved the non-exclusive right under these licenses and our interest in any joint inventions or joint patents to make and have made Licensed Products in Asia solely for the purpose of development, manufacture or have manufactured, and commercialization of Licensed Products in the Licensed Territory for all fields of use.
As partial consideration for the rights granted to us under the Intercompany License, we previously paid an upfront fee of $1.0 million in accordance with the terms of the Original License. We are also required to pay one-time milestone payments for the first receipt of regulatory approval by us or any of our affiliates for a Licensed Product in the following jurisdictions (and amounts): the United States ($5.0 million), the European Union ($4.0 million), and four other countries ($1.0 million each). To date, we have not paid any milestone payments. We are obligated to pay a mid-single digit royalty on net sales of Licensed Products by us, our affiliates or our sublicensees, subject to customary reductions. Our royalty obligations continue on a Licensed Product-by-Licensed Product and country-by-country basis until the expiration of the last-to-expire valid claim of the patents licensed to us under the Intercompany License claiming such Licensed Product in such country of sale. We are also required to pay a percentage of our sublicensing revenue ranging from a low double-digit percentage to a mid-single digit percentage.
 
126

TABLE OF CONTENTS
 
We may unilaterally terminate the Intercompany License for any reason with a specified prior notice period, and NKMAX may terminate the Intercompany License if we fail to make any required payments under the Intercompany License after a specified cure and prior notice period. Either party may terminate the Intercompany License in the event of the other party’s insolvency or for the other party’s uncured material breach of the Intercompany License. Absent early termination, the Intercompany License will automatically expire upon the expiration of our obligations to pay royalties unless we mutually agree in writing to extend the term. Upon the expiration but not earlier termination of the Intercompany License, the licenses granted to us by NKMAX and the licenses we granted to NKMAX will survive on a royalty free, fully paid, irrevocable and perpetual basis. However, if we terminate the Intercompany License for the insolvency of NKMAX or an uncured material breach by NKMAX, the licenses we granted to NKMAX will terminate and revert to us. If we voluntarily terminate the Intercompany License, we agree to provide, upon the request of NKMAX all existing data in support of registration of Licensed Products with all regulatory authorities in the Licensed Territories, and NKMAX will have the unrestricted right to provide such data to third parties.
In April 2023, we executed an amendment to the Original License to expand the scope of Licensed Products initially limited to cancer treatment to any field of use.
Manufacturing
Our processes for cellular therapeutic candidates are designed to generate both autologous and allogeneic products.
Autologous process (SNK01)
Our manufacturing processes are designed to generate a consistent quality of activated cells, including cells sourced from cancer patients who are known to be immunocompromised, and to reduce the risk of manufacturing issues that could deprive patients of their desired therapy products. We aim to produce cryopreserved doses of NK cells for eight to 12 months of bi-weekly infusions through a one-time process, without compromising the NK cells’ activity.
The manufacturing process for SNK01 can be summarized as follows: The source material for SNK01 is primary NK cells that are isolated from either peripheral blood or leukapheresis from patients. These primary NK cells are then activated and expanded for up to 18 days using our proprietary methodology that involves two types of feeder cells and cytokines. The result is a cryopreserved product, achieved through the implementation of its proprietary cryopreservation method.
To have a steady clinical supply of SNK01 available, we established our own GMP manufacturing capabilities. This strategic move facilitates clinical product supply and mitigates the risk associated with manufacturing disruptions, while ultimately enabling a more cost-effective supply of SNK01 for commercial purposes. In 2019, we completed the construction of a new 25,000-square-foot clinical GMP facility, situated at our headquarters in Santa Ana, California, approximately half of which is fit for GMP production of NK cells. The implementation of GMP hardware and a robust Quality Management System (“QMS”) was finalized in the same year, encompassing manufacturing equipment, laboratory facilities, warehousing and a dedicated and cryo-storage area. Following a comprehensive qualification process, including multiple test runs, we commenced manufacturing operations for its U.S. oncology clinical trial in 2020. We believe that our clinical GMP facility is capable of producing approximately 12,000 doses of cryopreserved drug product per year, thus adequately meeting the anticipated demands of our clinical trials.
Allogeneic process (SNK02)
We have developed a manufacturing process for our allogeneic off-the-shelf NK cell therapy product, SNK02, building upon our manufacturing process for its autologous product, SNK01. Our primary focus has been on scalability, reproducibility, cost-effectiveness, and maintaining consistent activity of SNK02 post cryopreservation. To achieve these goals, our manufacturing process incorporates, without limitation, the following key elements:

source cells from healthy donor’s peripheral blood, ensuring they meet the eligibility criteria for allogeneic donation;
 
127

TABLE OF CONTENTS
 

activation and expansion technologies that allow NKGen to generate hundreds of thousands of doses from a single donor, without senescence or exhaustion;

cryopreservation techniques that enable bulk SNK02 product to be effectively frozen, ensuring its long-term stability; and

thawing techniques for the frozen NK cell product that are user-friendly and adaptable to different clinical settings.
These techniques are designed to deliver consistent cell recovery, viability, and activity.
Our overall manufacturing scheme is depicted in the figure below.
[MISSING IMAGE: ph_allogeneie-4clr.jpg]
Figure 27.   Overview of SNK02 allogeneic process of isolating, expanding, and treating patients with cell therapies.
The production of SNK02 begins with the isolation of pure primary NK cells from the peripheral blood of healthy donors, ensuring a reliable and high-quality source material. The NK cells undergo a process of activation and expansion through a proprietary process. Following an initial expansion period of fourteen days, the cells are harvested and cryopreserved, resulting in the generation of several hundred vials comprising NKGen’s WCB. To further activate and expand the product, one vial from the WCB is thawed and subjected to additional activation and expansion. The resulting cells are then harvested and cryopreserved, resulting in a cryopreserved final product. To facilitate off-the-shelf administration, the cryopreserved final product is shipped to the designated clinical sites. At the clinical sites, the product is thawed and reconstituted, rendering it ready for administration to patients.
We believe that NKMAX, who will produce SNK02 from its facility in South Korea using our processes, has the GMP manufacturing capabilities required to ensure a consistent and reliable source of its SNK02 product for clinical and commercial use. NKMAX has invested heavily in new manufacturing equipment, laboratory infrastructure and cryo-storage areas, all of which are managed under a rigorous QMS. With its extensive experience in clinical trial management and its track record of producing both SNK01 and SNK02, NKMAX is believed to be well-positioned to deliver cost-effective and high-quality products for NKGen’s Phase I study in solid tumors, which has already received IND clearance from the FDA. We estimate that NKMAX’s GMP facility can produce approximately 12,000 doses per year, providing ample supply to meet its anticipated clinical trial needs.
Intellectual Property
We strive to protect the proprietary technology that we believe is important to our business, including seeking and maintaining patents intended to cover our product candidates and technologies that are important to the development of our business, either directly or in collaboration with NKMAX. We also rely on trade secrets to protect aspects of our business that are not amenable to, or that we do not consider appropriate for, patent protection, as well as know-how, trademarks, continuing technological innovation and in-licensing opportunities to develop and maintain its proprietary position. We have in-licensed the patent portfolio that we relies on for our NK cell therapy program. We have not sought but may in the future seek
 
128

TABLE OF CONTENTS
 
appropriate patent protection for our product candidates, as well as other proprietary technologies and their uses by filing patent applications in the U.S. and other select countries.
Patents
We strive to protect and enhance the proprietary technology, inventions and improvements that are commercially important to our business, including seeking, maintaining and defending patent rights, whether developed internally or licensed from our collaborators or other third parties. Our policy is to seek to protect our proprietary position by, among other methods, obtaining licenses to and filing patent applications in the United States and in jurisdictions outside of the United States related to our proprietary technology, inventions, improvements and product candidates that are important to the development and implementation of our business. We also may rely on trade secrets and know-how relating to our proprietary technology and product candidates, continuing innovation, and in-licensing opportunities to develop, strengthen and maintain our proprietary position in the field of cell therapy. We additionally plan to rely on data exclusivity, market exclusivity and patent term extensions if and when available, and if appropriate, may seek and rely on regulatory protection afforded through orphan drug designations. Our commercial success may depend in part on our ability to obtain and maintain patent and other proprietary protection for our technology, inventions and improvements; to preserve the confidentiality of our trade secrets; to maintain our licenses to use intellectual property owned by third parties; to defend and enforce our proprietary rights, including our patents; and to operate without infringing on the valid and enforceable patents and other proprietary rights of third parties.
We have in-licensed numerous patents and patent applications, which include claims directed to methods of making, methods of use, and compositions, and possesses know-how and trade secrets relating to the development of our cell engineering technology platforms and related product candidates, including related manufacturing processes and protocols.
As of September 30, 2023, our in-licensed and owned patent portfolio includes approximately three licensed U.S. issued patents, approximately three licensed U.S. pending non-provisional patent applications, as well as approximately one licensed patent issued in jurisdictions outside of the United States, and approximately 14 licensed patent applications (including four PCT applications) pending in jurisdictions outside of the United States. The licensed patents and patent applications outside of the United States in our portfolio are held in countries including Brazil, Canada, Chile, Egypt, Europe, Mexico, South Africa and Ukraine. Our U.S. issued patents and pending patent applications are utility patents or patent applications, all of which relate to our product candidates SNK01 and/or SNK02. The licensed U.S. patents and U.S. patent applications have anticipated expiration dates that fall between May 2033 and November 2040 (or between May 2033 and August 2043, including PCT patent applications), subject to changes to patent terms, including, but not limited to, patent term adjustments or extensions. NKGen’s non-U.S. patent and patent applications (including non-provisional and PCT) are also utility patent or patent applications and relate to our product candidates SNK01 and/or SNK02. The non-U.S. patent and patent applications have anticipated expiration dates that fall between January 2039 and August 2043, subject to changes to patent terms, including, but not limited to patent term adjustments, extensions, or supplementary protection certificates.
We intend to develop and commercialize our product candidates and related manufacturing processes. We may pursue, when possible, on our own or in collaboration with our licensor, composition, method of use, process, dosing and formulation patent protection. We may also pursue patent protection with respect to manufacturing and drug development processes and technology and with respect to our technology platform. When available to expand market exclusivity, we may obtain or license additional intellectual property related to current or contemplated development technology platforms, core elements of technology and/or product candidates.
Individual patents extend for varying periods of time, depending upon the date of filing of the patent application, the date of patent issuance and the legal term of patents in the countries in which they are obtained. Generally, patents issued for applications filed in the United States are effective for 20 years from the earliest nonprovisional filing date. In the United States, a patent’s term may be lengthened by patent term adjustment (“PTA”), which compensates a patentee for administrative delays by the USPTO in examining and granting a patent, or may be shortened if a patent is terminally disclaimed over an earlier filed patent. In addition, in certain instances, the patent term of a U.S. patent that covers an FDA-approved drug may
 
129

TABLE OF CONTENTS
 
also be eligible for extension to recapture a portion of the term effectively lost as a result of clinical trials and the FDA regulatory review period. Such extension is referred to as patent term extension (“PTE”). The restoration period cannot be longer than five years and the total patent term, including the restoration period, must not exceed 14 years following FDA approval, however there is no guarantee that the applicable authorities, including the FDA in the United States, will agree with our assessment of whether such extensions should be granted, and if granted, the length of such extensions. Furthermore, NKGen may not have the right to seek extensions of patents that are in-licensed to it, or if such licenses are terminated, NKGen may not have rights to any patents eligible for extension. Similar provisions are available in Europe and certain other foreign jurisdictions to extend the term of a patent that covers an approved drug. The duration of patents outside of the United States varies in accordance with provisions of applicable local law, but typically is also 20 years from the earliest nonprovisional filing date. The actual protection afforded by a patent varies on a product-by-product basis, from country-to-country, and depends upon many factors, including the type of patent, the scope of its coverage, the availability of regulatory-related extensions, the availability of legal remedies in a particular country and the validity and enforceability of the patent.
In some instances, we or our licensors may submit patent applications directly to the USPTO as provisional patent applications. Provisional applications for patents were designed to provide a lower-cost first patent filing in the United States. Corresponding nonprovisional patent applications must be filed not later than 12 months after the provisional application filing date to claim priority to the provisional application. The claims in the corresponding nonprovisional application may or may not be entitled to the benefit of the earlier provisional application filing date(s), and the patent term of the finally issued patent is calculated from the later non-provisional application filing date. This system allows us or our licensors to potentially obtain an early priority date, add material to the patent application(s) during the priority year, obtain a later start to the patent term and to delay prosecution costs. Such delay may be useful in the event that we or our licensors decide not to pursue prosecution of the application. While we may file nonprovisional patent applications relating to our provisional patent applications where appropriate, we cannot predict whether any such nonprovisional patent applications will result in the issuance of patents that provide it with any competitive advantage.
We or our licensors can file U.S. nonprovisional applications and PCT applications that claim the benefit of the priority date of earlier filed provisional applications, when applicable. The PCT system allows a single application to be filed within 12 months of the original priority date of the patent application, and to designate all of the PCT member states in which national or regional patent applications can later be pursued based on the international patent application filed under the PCT. The PCT searching authority performs a patentability search and issues a non-binding patentability opinion. Although a PCT application does not issue as a patent, it allows the applicant to seek protection in any of the member states through national/regional-phase applications. At the end of the period of two and a half years from the first priority date of the patent application, separate patent applications can be pursued in any of the PCT member states either by direct national filing or, in some cases by filing through a regional patent organization, such as the European Patent Organization. The PCT system delays expenses, allows a limited evaluation of the chances of success for national/regional patent applications and enables substantial savings where applications are abandoned within the first two and a half years of filing.
In some cases, patent prosecution of our licensed technology may be controlled solely by our licensors. If our licensors fail to obtain and maintain patent or other protection for the proprietary intellectual property it in-licenses, then we could lose our rights to the intellectual property or our exclusivity with respect to those rights, and our competitors could market competing products using the intellectual property. In addition, our licensors may not pursue or obtain claims that are in our best interest. For patent applications that we may file on our own behalf, we will determine claiming strategy on a case-by-case basis. Advice of counsel, country-specific patent laws and our business model and needs are always considered. We may file patents containing claims for protection of useful applications of our proprietary technology platforms and any products, as well as new applications and/or uses we discover for existing technology platforms and products, assuming these are strategically valuable. We will continuously reassess the number and type of patent applications, as well as the pending and issued patent claims, to help pursue maximum coverage and value for our processes, and compositions, given existing patent office rules and regulations. Further, claims may be modified during patent prosecution to meet our intellectual property and business needs.
 
130

TABLE OF CONTENTS
 
We recognize that the ability to obtain patent protection and the degree of such protection depends on a number of factors, including, for example, the extent of the prior art, the novelty and non- obviousness of the invention and the ability to satisfy the patent eligibility, written description and enablement or support requirement of the patent laws. In addition, the coverage claimed in a patent application can be significantly reduced before a patent is issued, and the scope of a patent can be reinterpreted or further altered even after issuance. Consequently, we or our licensors may not ultimately obtain or maintain adequate patent protection for any of their product candidates or for their technology platform. We cannot predict whether the patent applications that NKGen has in-licensed will issue as patents in any particular jurisdiction or whether the claims of any issued patents will provide sufficient proprietary protection against competitors. Any patents that NKGen holds or licenses may be challenged, circumvented or invalidated by third parties.
The patent positions of companies like ours are generally uncertain and involve complex legal and factual questions. No consistent policy regarding the scope of claims allowable in patents in the field of cell therapy has emerged in the United States. The patent situation outside of the United States is also uncertain. Changes in either the patent laws or their interpretation in the United States and other countries may diminish our or our licensors’ ability to protect their inventions and enforce their intellectual property rights, and more generally could affect the value of our intellectual property. In particular, our ability to stop third parties from making, using, selling, offering to sell, or importing products that infringe our intellectual property will depend in part on our or our licensors’ success in obtaining and enforcing patent claims that cover their technology, inventions and improvements. With respect to both licensed and company-owned intellectual property, NKGen cannot be sure that patents will be granted with respect to any of our or our licensors’ pending patent applications or with respect to any patent applications filed by us or our licensors in the future, nor can we be certain that any of our in-licensed existing patents or any patents that may be granted to us or our licensors in the future will be commercially useful in protecting our products, their use and the methods used to manufacture those products. Moreover, even our in-licensed issued patents do not guarantee us the right to practice our technology in relation to the commercialization of our products. The area of patent and other intellectual property rights in biotechnology is an evolving one with many risks and uncertainties, and third parties may have blocking patents that could be used to prevent us from commercializing our patented product candidates and practicing our proprietary technology. It is uncertain whether the issuance of any third-party patent would require us to alter our development or commercial strategies, or our products or processes, obtain licenses or cease certain activities. Our breach of any license agreements or our failure to obtain a license to proprietary rights required to develop or commercialize our future products may have a material adverse impact on it. If third parties prepare and file patent applications in the United States that also claim technology to which we have rights, we or our licensors may have to participate in interference or derivation proceedings in the USPTO to determine priority of invention. Our in-licensed issued patents and those that may issue in the future may be challenged, invalidated, or circumvented, which could limit our ability to stop competitors from marketing related products or limit the length of the term of patent protection that we may have for our product candidates. In addition, the rights granted under any issued patents may not provide us with protection or competitive advantages against competitors with similar technology. Furthermore, our competitors may independently develop similar technologies. For these reasons, we may have competition for our product candidates. Moreover, because of the extensive time required for development, testing and regulatory review of a potential product, it is possible that, before any particular product candidate can be commercialized, any related patent may expire or remain in force for only a short period following commercialization, thereby reducing any advantage of the patent. Our commercial success will also depend in part on not infringing upon the proprietary rights of third parties. Patent disputes are sometimes interwoven into other business disputes.
We may also rely, in some circumstances, on trade secrets to protect our technology. However, trade secrets are difficult to protect. We seek to protect our proprietary information, including our trade secrets and proprietary know-how, in part, by entering into confidentiality agreements with those who have access to our confidential information, including our employees, contractors, consultants, collaborators and advisors. These agreements generally provide that all confidential information developed or made known during the course of the relationship with us be kept confidential and not be disclosed to third parties except in specific circumstances. In the case of our employees, the agreements also typically provide that all inventions resulting from work performed for us, utilizing our property or relating to our business and conceived or completed during employment shall be our exclusive property to the extent permitted by law. Where appropriate, agreements we obtain with our consultants also typically contain similar assignment of invention
 
131

TABLE OF CONTENTS
 
provisions. Further, we generally require confidentiality agreements from business partners and other third parties that receive our confidential information. We also seek to preserve the integrity and confidentiality of our proprietary technology and processes by maintaining physical security of our premises and physical and electronic security of our information technology systems. Although we have confidence in these individuals, organizations and systems, agreements or security measures may be breached and it may not have adequate remedies for any breach. In addition, our trade secrets may otherwise become known or may be independently discovered by competitors. To the extent that our employees, contractors, consultants, collaborators and advisors use intellectual property owned by others in their work for us, disputes may arise as to the rights in related or resulting know-how and inventions. For this and more comprehensive risks related to our proprietary technology, inventions, improvements and product candidates, see the subsection of this prospectus entitled “Risk Factors — Risks Related to Our Intellectual Property.”
Trademarks
Our registered trademark portfolio contains approximately 17 registered trademarks and pending trademark applications, consisting of approximately six pending trademark applications in the United States, approximately three foreign pending trademark applications in Canada, and trademark registrations through national filings in the United States, Europe, Canada, and Switzerland.
Government Regulation
We are subject to extensive regulation by the FDA and other federal, state, and local regulatory agencies. The Federal Food, Drug, and Cosmetic Act (the “FD&C Act”) and the FDA’s implementing regulations set forth, among other things, requirements for the testing, development, including clinical trials, manufacture, quality control, safety, effectiveness, approval/clearance, labeling, storage, record-keeping, reporting, distribution, import, export, sale, advertising and promotion of our products and product candidates. Although the discussion below focuses on regulation in the U.S. because that is currently our primary focus, We may seek approval/clearance for, and market, our products in other countries in the future. Generally, Our activities in other countries will be subject to regulation that is similar in nature and scope as that imposed in the U.S., although there can be important differences.
We expect the global regulatory environment will continue to evolve, which could impact the cost, the time needed to approve, and ultimately, our ability to maintain existing approvals or obtain future approvals for our products. Regulations of the FDA and other regulatory agencies in and outside the U.S. impose extensive compliance and monitoring obligations on our business. These agencies review our design and manufacturing practices, labeling, record keeping, and manufacturers’ required reports of adverse experiences and other information to identify potential problems with marketed products. We are also subject to periodic inspections for compliance with applicable manufacturing and quality system regulations, which govern the methods used in, and the facilities and controls used for, the design, manufacture, packaging, and servicing of finished drugs and medical devices intended for human use. In addition, the FDA and other regulatory bodies, both within and outside the U.S. (including, without limitation, the Federal Trade Commission, the Office of the Inspector General of the Department of Health and Human Services, the U.S. DOJ, and various state attorneys general), monitor the promotion and advertising of our products. Any adverse regulatory action, depending on its magnitude, may limit our ability to effectively market and sell our products, limit our ability to obtain future pre-market approvals or result in a substantial modification to our business practices and operations.
Drug Development and Approval
In the United States, biological products are subject to regulation under the Federal Food, Drug, and Cosmetic Act, the Public Health Service Act and other federal, state, local and foreign statutes and regulations. The process required by the FDA before biologics may be marketed in the United States generally involves, without limitation, the following:

completion of preclinical laboratory tests and animal studies performed in accordance with the FDA’s Good Laboratory Practice requirements (“GLP”);

submission to the FDA of an IND, which must become effective before clinical trials may begin;
 
132

TABLE OF CONTENTS
 

approval by an IRB or ethics committee at each clinical site before the trial is commenced;

performance of adequate and well-controlled human clinical trials according to the FDA’s regulations commonly referred to as GCP, regulations and any additional requirements for the protection of human research subjects and their health information to establish the safety, purity and potency of the proposed biologic product candidate for its intended purpose;

preparation of and submission to the FDA of a BLA, after completion of all pivotal clinical trials;

satisfactory completion of an FDA Advisory Committee review, if applicable;

a determination by the FDA within 60 days of its receipt of a BLA to file the application for review;

satisfactory completion of an FDA pre-approval inspection of the manufacturing facility or facilities at which the proposed product is produced to assess compliance with GMP and to assure that the facilities, methods and controls are adequate to preserve the biological product’s continued safety, purity and potency and, if applicable, to assess compliance with the FDA’s current good tissue practice requirements for the use of human cellular and tissue products, and of selected clinical investigation sites to assess compliance with GCPs;

potential FDA audit of the nonclinical and clinical trial sites that generated the data in support of the BLA; and

FDA review and approval of the BLA to permit commercial marketing of the product for particular indications for use in the United States.
Before testing any biological product candidate in humans, the product candidate enters the preclinical testing stage. Preclinical tests, also referred to as nonclinical studies, include laboratory evaluations of product chemistry, toxicity and formulation, as well as animal studies to assess the potential safety and activity of the product candidate. The conduct of the preclinical tests must comply with federal regulations and requirements including GLPs.
Prior to beginning the first clinical trial with a product candidate in the United States, we must submit an IND to the FDA. An IND is a request for authorization from the FDA to administer an investigational new drug to humans. The central focus of an IND submission is on the general investigational plan and the protocol(s) for clinical trials. The IND also includes results of animal and in vitro studies assessing the toxicology, pharmacokinetics, pharmacology and pharmacodynamic characteristics of the product; chemistry, manufacturing and controls information; and any available human data or literature to support the use of the investigational product. An IND must become effective before human clinical trials may begin. The IND automatically becomes effective 30 days after receipt by the FDA, unless the FDA, within the 30-day time period, raises safety concerns or questions about the proposed clinical trial. In such a case, the IND may be placed on clinical hold and the IND sponsor and the FDA must resolve any outstanding concerns or questions before the clinical trial can begin. Submission of an IND therefore may or may not result in FDA authorization to begin a clinical trial.
In addition to the submission of an IND to the FDA before initiation of a clinical trial in the United States, certain human clinical trials involving recombinant or synthetic nucleic acid molecules are subject to oversight of IBCs as set forth in the NIH Guidelines for Research Involving Recombinant DNA Molecules (the “NIH Guidelines”). Specifically, under the NIH Guidelines, supervision of human gene transfer trials includes evaluation and assessment by an IBC, a local institutional committee that reviews and oversees research utilizing recombinant or synthetic nucleic acid molecules at that institution. The IBC assesses the safety of the research and identifies any potential risk to public health or the environment, and such review may result in some delay before initiation of a clinical trial. While the NIH Guidelines are not mandatory unless the research in question is being conducted at or sponsored by institutions receiving NIH funding of recombinant or synthetic nucleic acid molecule research, many companies and other institutions not otherwise subject to the NIH Guidelines voluntarily follow them.
Clinical trials involve the administration of the investigational product to human subjects under the supervision of qualified investigators in accordance with GCPs, which include the requirement that all research subjects provide their informed consent for their participation in any clinical trial. Clinical trials are
 
133

TABLE OF CONTENTS
 
conducted under protocols detailing, among other things, the objectives of the study, the parameters to be used in monitoring safety and the effectiveness criteria to be evaluated. A separate submission to the existing IND must be made for each successive clinical trial conducted during product development and for any subsequent protocol amendments. Furthermore, an independent IRB for each site proposing to conduct the clinical trial must review and approve the plan for any clinical trial and its informed consent form before the clinical trial begins at that site, and must monitor the study until completed. Regulatory authorities, the IRB or the sponsor may suspend a clinical trial at any time on various grounds, including a finding that the subjects are being exposed to an unacceptable health risk or that the trial is unlikely to meet its stated objectives. Some studies also include oversight by an independent group of qualified experts organized by the clinical trial sponsor, known as a data safety monitoring board, which provides authorization for whether or not a study may move forward at designated check points based on access to certain data from the study and may halt the clinical trial if it determines that there is an unacceptable safety risk for subjects or other grounds, such as no demonstration of efficacy. There are also requirements governing the reporting of ongoing clinical trials and clinical trial results to public registries.
For purposes of BLA approval, human clinical trials are typically conducted in three sequential phases that may overlap or be combined:

Phase I — The investigational product is initially introduced into healthy human subjects or patients with the target disease or condition. These trials are designed to test the safety, dosage tolerance, absorption, metabolism and excretion of the investigational product in humans, the side effects associated with increasing doses, and, if possible, to gain early evidence on effectiveness.

Phase II — The investigational product is administered to a limited patient population with a specified disease or condition to evaluate the preliminary efficacy, optimal dosages and dosing schedule and to identify possible adverse side effects and safety risks. Multiple Phase II clinical trials may be conducted to obtain information prior to beginning larger and more expensive Phase 3 clinical trials.

Phase III — The investigational product is administered to an expanded patient population to further evaluate dosage, to provide statistically significant evidence of clinical efficacy and to further test for safety, generally at multiple geographically dispersed clinical trial sites. These clinical trials are intended to establish the overall risk/benefit ratio of the investigational product and to provide an adequate basis for product approval.
In some cases, the FDA may require, or companies may voluntarily pursue, additional clinical trials after a product is approved to gain more information about the product in the intended therapeutic indication, particularly for long-term safety follow-up. These so-called Phase 4 trials may also be made a condition to approval of the BLA.
Concurrent with clinical trials, companies may complete additional animal studies and develop additional information about the biological characteristics of the product candidate, and must finalize a process for manufacturing the product in commercial quantities in accordance with GMP requirements. The manufacturing process must be capable of consistently producing quality batches of the product candidate and, among other things, must develop methods for testing the identity, strength, quality and purity of the final product. Additionally, appropriate packaging must be selected and tested, and stability studies must be conducted to demonstrate that the product candidate does not undergo unacceptable deterioration over its shelf life.
BLA Submission and Review by the FDA
Assuming successful completion of all required testing in accordance with all applicable regulatory requirements, the results of product development, nonclinical studies and clinical trials are submitted to the FDA as part of a BLA requesting approval to market the product for one or more indications. The BLA must include all relevant data available from preclinical and clinical trials, including negative or ambiguous results as well as positive findings, together with detailed information relating to the product’s chemistry, manufacturing, controls and proposed labeling, among other things. Data can come from company-sponsored clinical trials intended to test the safety and effectiveness of a use of the product, or from a
 
134

TABLE OF CONTENTS
 
number of alternative sources, including trials initiated by independent investigators. The submission of a BLA requires payment of a substantial application user fee to the FDA, unless a waiver or exemption applies.
Within 60 days following submission of the application, the FDA reviews a BLA submitted to determine if it is substantially complete before the FDA accepts it for filing. The FDA may refuse to file any BLA that it deems incomplete or not properly reviewable at the time of submission and may request additional information. In this event, the BLA must be resubmitted with the additional information. Once a BLA has been accepted for filing, the FDA’s goal is to review standard applications within ten months after the filing date, or, if the application qualifies for priority review, six months after the FDA accepts the application for filing. In both standard and priority reviews, the review process may also be extended by FDA requests for additional information or clarification. The FDA reviews a BLA to determine, among other things, whether a product is safe, pure and potent and the facility in which it is manufactured, processed, packed or held meets standards designed to assure the product’s continued safety, purity and potency. The FDA may also convene an advisory committee to provide clinical insight on application review questions. The FDA is not bound by the recommendations of an advisory committee, but it considers such recommendations carefully when making decisions.
Before approving a BLA, the FDA will typically inspect the facility or facilities where the product is manufactured. The FDA will not approve an application unless it determines that the manufacturing processes and facilities are in compliance with GMP and adequate to assure consistent production of the product within required specifications. For a product candidate that is also a human cellular or tissue product, the FDA also will not approve the application if the manufacturer is not in compliance with cGTPs. These are FDA regulations that govern the methods used in, and the facilities and controls used for, the manufacture of human cells, tissues and cellular and tissue-based products, or HCT/Ps, which are human cells or tissue intended for implantation, transplant, infusion, or transfer into a human recipient. The primary intent of the GTP requirements is to ensure that cell and tissue-based products are manufactured in a manner designed to prevent the introduction, transmission and spread of communicable disease. FDA regulations also require tissue establishments to register and list their HCT/Ps with the FDA and, when applicable, to evaluate donors through screening and testing.
Additionally, before approving a BLA, the FDA will typically inspect one or more clinical sites to assure compliance with GCP. If the FDA determines that the application, manufacturing process or manufacturing facilities are not acceptable, it will outline the deficiencies in the submission and often will request additional testing or information. Notwithstanding the submission of any requested additional information, the FDA ultimately may decide that the application does not satisfy the regulatory criteria for approval.
After the FDA evaluates a BLA and conducts inspections of manufacturing facilities where the investigational product and/or its drug substance will be produced, the FDA may issue an approval letter or a Complete Response Letter (“CRL”). An approval letter authorizes commercial marketing of the product with specific prescribing information for specific indications. A CRL will describe all of the deficiencies that the FDA has identified in the BLA, except that where the FDA determines that the data supporting the application are inadequate to support approval, the FDA may issue the CRL without first conducting required inspections, testing submitted product lots, and/or reviewing proposed labeling. In issuing the CRL, the FDA may recommend actions that the applicant might take to place the BLA in condition for approval, including requests for additional information or clarification. The FDA may delay or refuse approval of a BLA if applicable regulatory criteria are not satisfied, require additional testing or information and/or require post-marketing testing and surveillance to monitor safety or efficacy of a product.
If regulatory approval of a product is granted, such approval will be granted for particular indications and may entail limitations on the indicated uses for which such product may be marketed. For example, the FDA may approve the BLA with a REMS, to ensure the benefits of the product outweigh its risks, or otherwise limit the scope of any approval. A REMS is a safety strategy implemented to manage a known or potential serious risk associated with a product and to enable patients to have continued access to such medicines by managing their safe use, and could include medication guides, physician communication plans, or elements to assure safe use, such as restricted distribution methods, patient registries and other risk minimization tools. The FDA also may condition approval on, among other things, changes to proposed labeling or the development of adequate controls and specifications. Once approved, the FDA may withdraw
 
135

TABLE OF CONTENTS
 
the product approval if compliance with pre- and post-marketing requirements is not maintained or if problems occur after the product reaches the marketplace. The FDA may require one or more Phase 4 post-marketing trials and surveillance to further assess and monitor the product’s safety and effectiveness after commercialization, and may limit further marketing of the product based on the results of these post-marketing studies.
Expedited Development and Review Programs
The FDA offers a number of expedited development and review programs for qualifying product candidates. For example, the Fast Track program is intended to expedite or facilitate the process for reviewing new products that are intended to treat a serious or life-threatening disease or condition and demonstrate the potential to address unmet medical needs for the disease or condition. Specifically, new biological products are eligible for Fast Track designation if they are intended to treat a serious or life-threatening disease or condition and demonstrate the potential to address unmet medical needs for the disease or condition. Fast Track designation applies to the combination of the product and the specific indication for which it is being studied. The sponsor of a new biologic may request that the FDA designate the biologic as a Fast Track product at any time during the clinical development of the product. The sponsor of a Fast Track product has opportunities for more frequent interactions with the applicable FDA review team during product development and, once a BLA is submitted, the product candidate may be eligible for priority review. A Fast Track product may also be eligible for rolling review, where the FDA may consider for review sections of the BLA on a rolling basis before the complete application is submitted, if the sponsor provides a schedule for the submission of the sections of the BLA, the FDA agrees to accept sections of the BLA and determines that the schedule is acceptable, and the sponsor pays any required user fees upon submission of the first section of the BLA.
A product candidate intended to treat a serious or life-threatening disease or condition may also be eligible for Breakthrough Therapy designation to expedite its development and review. A product candidate can receive Breakthrough Therapy designation if preliminary clinical evidence indicates that the product candidate, alone or in combination with one or more other drugs or biologics, may demonstrate substantial improvement over existing therapies on one or more clinically significant endpoints, such as substantial treatment effects observed early in clinical development. The designation includes all of the Fast Track program features, as well as more intensive FDA interaction and guidance beginning as early as Phase I and an organizational commitment to expedite the development and review of the product candidate, including involvement of senior managers.
Any marketing application for a drug or biologic submitted to the FDA for approval, including a product candidate with a Fast Track designation and/or Breakthrough Therapy designation, may be eligible for other types of FDA programs intended to expedite development and review, such as priority review and accelerated approval. A product candidate is eligible for priority review if it has the potential to provide safe and effective therapy where no satisfactory alternative therapy exists or a significant improvement in the treatment, diagnosis or prevention of a disease compared to marketed products. The FDA will attempt to direct additional resources to the evaluation of an application for a new biological product designated for priority review in an effort to facilitate the review. For original BLAs, priority review designation means the FDA’s goal is to take action on the marketing application within six months of the 60-day filing date (as compared to ten months under standard review).
Additionally, product candidates studied for their safety and effectiveness in treating serious or life-threatening diseases or conditions may receive accelerated approval upon a determination that the product has an effect on a surrogate endpoint that is reasonably likely to predict clinical benefit, or on a clinical endpoint that can be measured earlier than irreversible morbidity or mortality, that is reasonably likely to predict an effect on irreversible morbidity or mortality or other clinical benefit, taking into account the severity, rarity or prevalence of the condition and the availability or lack of alternative treatments. As a condition of accelerated approval, the FDA will generally require the sponsor to perform adequate and well-controlled post-marketing clinical trials to verify and describe the anticipated effect on irreversible morbidity or mortality or other clinical benefit. Products receiving accelerated approval may be subject to expedited withdrawal procedures if the sponsor fails to conduct the required post-marketing studies or if such studies fail to verify the predicted clinical benefit. In addition, the FDA currently requires as a condition for
 
136

TABLE OF CONTENTS
 
accelerated approval pre-approval of promotional materials, which could adversely impact the timing of the commercial launch of the product.
In 2017, the FDA established a new RMAT designation, which is intended to facilitate an efficient development program for, and expedite review of, any drug or biologic that meets the following criteria: (i) the drug or biologic qualifies as a RMAT, which is defined as a cell therapy, therapeutic tissue engineering product, human cell and tissue product, or any combination product using such therapies or products, with limited exceptions; (ii) the drug or biologic is intended to treat, modify, reverse, or cure a serious or life-threatening disease or condition; and (iii) preliminary clinical evidence indicates that the drug or biologic has the potential to address unmet medical needs for such a disease or condition. RMAT designation provides all the benefits of Breakthrough Therapy designation, including more frequent meetings with the FDA to discuss the development plan for the product candidate and eligibility for rolling review and priority review. Product candidates granted RMAT designation may also be eligible for accelerated approval on the basis of a surrogate or intermediate endpoint reasonably likely to predict long-term clinical benefit, or reliance upon data obtained from a meaningful number of clinical trial sites, including through expansion of trials to additional sites. RMAT-designated products that receive accelerated approval may, as appropriate, fulfill their post-approval requirements through submission of clinical evidence, clinical trials, patient registries, or other sources of real-world evidence (such as electronic health records); through the collection of larger confirmatory data sets; or via post-approval monitoring of all patients treated with such therapy prior to approval of such therapy. Fast track designation, Breakthrough Therapy designation, priority review, accelerated approval, and RMAT designation do not change the standards for approval but may expedite the development or approval process. Even if a product candidate qualifies for one or more of these programs, the FDA may later decide that the product no longer meets the conditions for qualification or decide that the time period for FDA review or approval will not be shortened.
Orphan Drug Designation and Exclusivity
Under the Orphan Drug Act, the FDA may grant orphan designation to a drug or biologic intended to treat a rare disease or condition, defined as a disease or condition with a patient population of fewer than 200,000 individuals in the United States, or a patient population greater than 200,000 individuals in the United States and when there is no reasonable expectation that the cost of developing and making available the drug or biologic in the United States will be recovered from sales in the United States for that drug or biologic. Orphan drug designation must be requested before submitting a BLA. After the FDA grants orphan drug designation, the generic identity of the therapeutic agent and its potential orphan use are disclosed publicly by the FDA. Orphan drug designation does not convey any advantage in or shorten the duration of the regulatory review and approval process.
In the United States, orphan drug designation entitles a party to financial incentives such as opportunities for grant funding towards clinical trial costs, tax advantages and user-fee waivers. In addition, if a product that has orphan drug designation subsequently receives the first FDA approval for a particular drug or biologic for the disease for which it has such designation, the product is entitled to orphan product exclusivity, which means that the FDA may not approve any other applications, including a full BLA, to market the same biologic for the same indication for seven years, except in limited circumstances, such as a showing of clinical superiority to the product with orphan drug exclusivity or if the FDA finds that the holder of the orphan drug exclusivity has not shown that it can assure the availability of sufficient quantities of the orphan drug to meet the needs of patients with the disease or condition for which the drug was designated. Orphan drug exclusivity does not prevent the FDA from approving a different drug or biologic for the same disease or condition, or the same drug or biologic for a different disease or condition. Orphan product exclusivity also could block the approval of one of our products for seven years if a competitor obtains approval of the same biological product as defined by the FDA or if our product candidate is determined to be contained within the competitor’s product for the same indication or disease.
A designated orphan drug may not receive orphan drug exclusivity if it is approved for a use that is broader than the indication for which it received orphan designation. In addition, orphan drug exclusive marketing rights in the United States may be lost if the FDA later determines that the request for designation was materially defective or, as noted above, if a second applicant demonstrates that its product is clinically
 
137

TABLE OF CONTENTS
 
superior to the approved product with orphan exclusivity or the manufacturer of the approved product is unable to assure sufficient quantities of the product to meet the needs of patients with the rare disease or condition.
Post-Approval Requirements
Biologics are subject to pervasive and continuing regulation by the FDA, including, among other things, requirements relating to record-keeping, reporting of adverse experiences, periodic reporting, product sampling and distribution and advertising and promotion of the product. After approval, most changes to the approved product, such as adding new indications or other labeling claims, are subject to prior FDA review and approval. There also are continuing, annual program fees for any marketed products. Biologic manufacturers and other entities involved in the manufacture and distribution of approved biological products are required to register their establishments with the FDA and certain state agencies, and are subject to periodic unannounced inspections by the FDA and certain state agencies for compliance with GMP requirements and other laws. Accordingly, manufacturers must continue to expend time, money and effort in the area of production and quality control to maintain GMP compliance. Changes to the manufacturing process or facility are strictly regulated, and, depending on the significance of the change, may require prior FDA approval before being implemented. FDA regulations also require investigation and correction of any deviations from GMP and impose reporting requirements. Accordingly, manufacturers must continue to expend time, money and effort in the area of production and quality control to maintain compliance with GMP and other aspects of regulatory compliance.
The FDA may withdraw approval if compliance with regulatory requirements and standards is not maintained or if problems occur after the product reaches the market. Later discovery of previously unknown problems with a product, including adverse events of unanticipated severity or frequency, or with manufacturing processes, or failure to comply with regulatory requirements, may result in revisions to the approved labeling to add new safety information; imposition of post-market studies or clinical trials to assess new safety risks; or imposition of distribution restrictions or other restrictions under a REMS program. Other potential consequences include, among other things:

restrictions on the marketing or manufacturing of the product, complete withdrawal of the product from the market or product recalls;

fines, warning letters or untitled letters;

clinical holds on clinical trials;

refusal of the FDA to approve pending applications or supplements to approved applications, or suspension or revocation of product license approvals;

product seizure or detention, or refusal to permit the import or export of products;

consent decrees, corporate integrity agreements, debarment or exclusion from federal healthcare programs;

mandated modification of promotional materials and labeling and the issuance of corrective information;

the issuance of safety alerts, Dear Healthcare Provider letters, press releases and other communications containing warnings or other safety information about the product; or

injunctions or the imposition of civil or criminal penalties.
The FDA closely regulates the marketing, labeling, advertising and promotion of biologics. A company can make only those claims relating to safety and efficacy, purity and potency that are approved by the FDA and in accordance with the provisions of the approved label. The FDA and other agencies actively enforce the laws and regulations prohibiting the promotion of off-label uses. Failure to comply with these requirements can result in, among other things, adverse publicity, warning letters, corrective advertising and potential civil and criminal penalties. FDA sanctions could include refusal to approve pending applications, withdrawal of an approval, clinical hold, warning or untitled letters, product recalls, product seizures, total or partial suspension of production or distribution, injunctions, fines, refusals of government contracts, mandated
 
138

TABLE OF CONTENTS
 
corrective advertising or communications with doctors, debarment, restitution, disgorgement of profits, or civil or criminal penalties. Physicians may prescribe legally available products for uses that are not described in the product’s labeling and that differ from those tested and approved by the FDA. Such off-label uses are common across medical specialties. Physicians may believe, in their independent medical judgment, that such off-label uses are the best treatment for many patients in varied circumstances. The FDA does not regulate the behavior of physicians in their choice of treatments. The FDA does, however, restrict manufacturer’s communications on the subject of off-label use of their products.
Biosimilars and Reference Product Exclusivity
The Affordable Care Act, signed into law in 2010, includes a subtitle called the Biologics Price Competition and Innovation Act (“BPCIA”), which created an abbreviated approval pathway for biological products that are biosimilar to or interchangeable with an FDA-licensed reference biological product. The FDA has issued several guidance documents outlining an approach to review and approval of biosimilars.
Biosimilarity, which requires that there be no clinically meaningful differences between the biological product and the reference product in terms of safety, purity and potency, can be shown through analytical studies, animal studies, and a clinical trial or trials. Interchangeability requires that a product is biosimilar to the reference product and the product must demonstrate that it can be expected to produce the same clinical results as the reference product in any given patient and, for products that are administered multiple times to an individual, the biologic and the reference biologic may be alternated or switched after one has been previously administered without increasing safety risks or risks of diminished efficacy relative to exclusive use of the reference biologic. However, complexities associated with the larger, and often more complex, structures of biological products, as well as the processes by which such products are manufactured, pose significant hurdles to implementation of the abbreviated approval pathway that are still being worked out by the FDA.
Under the BPCIA, an application for a biosimilar product may not be submitted to the FDA until four years following the date that the reference product was first licensed by the FDA. In addition, the approval of a biosimilar product may not be made effective by the FDA until 12 years from the date on which the reference product was first licensed. During this 12-year period of exclusivity, another company may still market a competing version of the reference product if the FDA approves a full BLA for the competing product containing that applicant’s own preclinical data and data from adequate and well-controlled clinical trials to demonstrate the safety, purity and potency of its product. The BPCIA also created certain exclusivity periods for biosimilars approved as interchangeable products. At this juncture, it is unclear whether products deemed “interchangeable” by the FDA will, in fact, be readily substituted by pharmacies, which are governed by state pharmacy law.
A biological product can also obtain pediatric market exclusivity in the United States. Pediatric exclusivity, if granted, adds six months to existing exclusivity periods and patent terms. This six-month exclusivity, which runs from the end of other exclusivity protection or patent term, may be granted based on the voluntary completion of a pediatric study in accordance with an FDA-issued “Written Request” for such a study. The BPCIA is complex and continues to be interpreted and implemented by the FDA. In addition, government proposals have sought to reduce the 12-year reference product exclusivity period. Other aspects of the BPCIA, some of which may impact the BPCIA exclusivity provisions, have also been the subject of recent litigation. As a result, the ultimate impact, implementation and impact of the BPCIA is subject to significant uncertainty.
Other Healthcare Laws
Pharmaceutical companies are subject to additional healthcare regulation and enforcement by the federal government and by authorities in the states and foreign jurisdictions in which they conduct their business and may constrain the financial arrangements and relationships through which we research, sell, market and distribute any products for which we obtain marketing approval. Such laws include, without limitation, federal and state anti-kickback, fraud and abuse, false claims, data privacy and security, price reporting and physician and other health care provider transparency laws and regulations. If our operations are found to be in violation of any of such laws or any other governmental regulations that apply, we may be subject to penalties, including, without limitation, administrative, civil and criminal penalties, damages,
 
139

TABLE OF CONTENTS
 
fines, disgorgement, the curtailment or restructuring of operations, integrity oversight and reporting obligations, exclusion from participation in federal and state healthcare programs and imprisonment.
The federal Anti-Kickback Statute prohibits, among other things, any person or entity, from knowingly and willfully offering, paying, soliciting or receiving any remuneration, directly or indirectly, overtly or covertly, in cash or in kind, to induce or in return for purchasing, leasing, ordering or arranging for the purchase, lease or order of any item or service reimbursable under Medicare, Medicaid or other federal healthcare programs. The term remuneration has been interpreted broadly to include anything of value. The Anti-Kickback Statute has been interpreted to apply to arrangements between pharmaceutical manufacturers on the one hand and prescribers, purchasers and formulary managers on the other. There are a number of statutory exceptions and regulatory safe harbors protecting some common activities from prosecution. The exceptions and safe harbors are drawn narrowly and practices that involve remuneration that may be alleged to be intended to induce prescribing, purchasing or recommending may be subject to scrutiny if they do not qualify for an exception or safe harbor but the exceptions and safe harbors are drawn narrowly and require strict compliance in order to offer protection. Failure to meet all of the requirements of a particular applicable statutory exception or regulatory safe harbor does not make the conduct per se illegal under the Anti-Kickback Statute. Instead, the legality of the arrangement will be evaluated on a case-by-case basis based on a cumulative review of all of its facts and circumstances.
Additionally, the intent standard under the Anti-Kickback Statute and the criminal healthcare fraud statutes under the federal HIPAA was amended by the ACA to a stricter standard such that a person or entity no longer needs to have actual knowledge of the statute or specific intent to violate it in order to have committed a violation. In addition, the ACA codified case law that a claim including items or services resulting from a violation of the federal Anti-Kickback Statute constitutes a false or fraudulent claim for purposes of the federal False Claims Act (“FCA”) (discussed below).
The FCA prohibits, among other things, any person or entity from knowingly presenting, or causing to be presented, a false claim for payment to, or approval by, the federal government or knowingly making, using, or causing to be made or used a false record or statement material to a false or fraudulent claim to the federal government. As a result of a modification made by the Fraud Enforcement and Recovery Act of 2009, a claim includes “any request or demand” for money or property presented to the U.S. government. Pharmaceutical and other healthcare companies have been prosecuted under these laws for allegedly providing free product to customers with the expectation that the customers would bill federal programs for the product and for causing false claims to be submitted because of the companies’ marketing of the product for unapproved, and thus non-covered, uses.
HIPAA also created new federal criminal statutes that prohibit knowingly and willfully executing, or attempting to execute, a scheme to defraud or to obtain, by means of false or fraudulent pretenses, representations or promises, any money or property owned by, or under the control or custody of, any healthcare benefit program, including private third-party payors and knowingly and willfully falsifying, concealing or covering up by trick, scheme or device, a material fact or making any materially false, fictitious or fraudulent statement in connection with the delivery of or payment for healthcare benefits, items or services. Also, many states have similar fraud and abuse statutes or regulations that apply to items and services reimbursed under Medicaid and other state programs, or, in several states, apply regardless of the payor.
Additionally, the federal Physician Payments Sunshine Act within the ACA, and its implementing regulations, require that certain manufacturers of drugs, devices, biological and medical supplies for which payment is available under Medicare, Medicaid or the Children’s Health Insurance Program (with certain exceptions) annually report information related to certain payments or other transfers of value made or distributed to physicians (defined to include doctors, dentists, optometrists, podiatrists and chiropractors) and teaching hospitals and certain ownership and investment interests held by these healthcare providers and their immediate family members. Beginning in 2022, applicable manufacturers also will be required to report information regarding its payments and other transfers of value to physician assistants, nurse practitioners, clinical nurse specialists, anesthesiologist assistants, certified registered nurse anesthetists and certified nurse midwives during the previous year.
We may also be subject to data privacy and security regulations by both the federal government and the states in which we conduct our business. HIPAA, as amended by the Health Information Technology for
 
140

TABLE OF CONTENTS
 
Economic and Clinical Health Act (“HITECH”) and its implementing regulations, impose requirements on covered entities, including certain healthcare providers, health plans, healthcare clearinghouses and their respective business associates that create, receive, maintain or transmit individually identifiable health information for or on behalf of a covered entity as well as their covered subcontractors relating to the privacy, security and transmission of individually identifiable health information. Among other things, HITECH makes HIPAA’s privacy and security standards directly applicable to business associates, independent contractors or agents of covered entities that receive or obtain protected health information in connection with providing a service on behalf of a covered entity. HITECH also created four new tiers of civil monetary penalties, amended HIPAA to make civil and criminal penalties directly applicable to business associates, and gave state attorneys general new authority to file civil actions for damages or injunctions in federal courts to enforce the federal HIPAA laws and seek attorneys’ fees and costs associated with pursuing federal civil actions. In addition, state laws govern the privacy and security of health information in specified circumstances, many of which differ from each other in significant ways and may not have the same effect, thus complicating compliance efforts.
In order to distribute products commercially, we must comply with state laws that require the registration of manufacturers and wholesale distributors of pharmaceutical products in a state, including, in certain states, manufacturers and distributors who ship products into the state even if such manufacturers or distributors have no place of business within the state. Some states also impose requirements on manufacturers and distributors to establish the pedigree of product in the chain of distribution, including some states that require manufacturers and others to adopt new technology capable of tracking and tracing product as it moves through the distribution chain. Several states have enacted legislation requiring pharmaceutical companies to establish marketing compliance programs, file periodic reports with the state, make periodic public disclosures on sales, marketing, pricing, track and report gifts, compensation and other remuneration made to physicians and other healthcare providers, clinical trials and other activities, and/or register their sales representatives, as well as to prohibit pharmacies and other healthcare entities from providing certain physician prescribing data to pharmaceutical companies for use in sales and marketing, and to prohibit certain other sales and marketing practices. All of our activities are potentially subject to federal and state consumer protection and unfair competition laws.
If our operations are found to be in violation of any of the federal and state healthcare laws described above or any other governmental regulations that apply to us, we may be subject to significant penalties, including without limitation, civil, criminal and/or administrative penalties, damages, fines, disgorgement, imprisonment, exclusion from participation in government programs, such as Medicare and Medicaid, injunctions, private “qui tam” actions brought by individual whistleblowers in the name of the government, or refusal to allow us to enter into government contracts, contractual damages, reputational harm, administrative burdens, diminished profits and future earnings, and the curtailment or restructuring of our operations, any of which could adversely affect our ability to operate our business and our results of operations
Coverage and Reimbursement
Sales of any product depend, in part, on the extent to which such product will be covered by third-party payors, such as federal, state and foreign government healthcare programs, commercial insurance and managed healthcare organizations, and the level of reimbursement for such product by third-party payors. Decisions regarding the extent of coverage and amount of reimbursement to be provided are made on a plan-by-plan basis. Reimbursement by a third-party payor may depend upon a number of factors, including the third-party payor’s determination that a product is safe, effective and medically necessary; appropriate for the specific patient; cost-effective; supported by peer-reviewed medical journals; included in clinical practice guidelines; and neither cosmetic, experimental, nor investigational. A third-party payor could also require that certain lines of therapy be completed or failed prior to reimbursing our therapy. The principal decisions about reimbursement for new medicines are typically made by the Centers for Medicare & Medicaid Services (“CMS”), an agency within the U.S. Department of Health and Human Services (“HHS”). CMS decides whether and to what extent products will be covered and reimbursed under Medicare and private payors tend to follow CMS to a substantial degree. Third-party payors determine which products and procedures they will cover and establish reimbursement levels. Even if a third-party payor covers a particular product or procedure, the resulting reimbursement payment rates may not be adequate. These third-party payors are increasingly reducing coverage and reimbursement for medical products, drugs and services. In
 
141

TABLE OF CONTENTS
 
addition, the U.S. government, state legislatures and foreign governments have continued implementing cost-containment programs, including price controls, restrictions on coverage and reimbursement and requirements for substitution of generic products. Adoption of price controls and cost-containment measures, and adoption of more restrictive policies in jurisdictions with existing controls and measures, could further limit sales of any product. Decreases in third-party reimbursement for any product or a decision by a third-party payor not to cover a product could reduce physician usage and patient demand for the product and also have a material adverse effect on sales.
Healthcare Reform
In the United States, in March 2010, the ACA was enacted, which substantially changed the way healthcare is financed by both governmental and private insurers, and significantly affected the pharmaceutical industry. The ACA contained a number of provisions, including those governing enrollment in federal healthcare programs, reimbursement adjustments and changes to fraud and abuse laws. For example, the ACA:

increased the minimum level of Medicaid rebates payable by manufacturers of brand name drugs from 15.1% to 23.1% of the average manufacturer price;

required collection of rebates for drugs paid by Medicaid managed care organizations;

required manufacturers to participate in a coverage gap discount program, under which they must agree to offer 70% point-of-sale discounts off negotiated prices of applicable brand drugs to eligible beneficiaries during their coverage gap period, as a condition for the manufacturer’s outpatient drugs to be covered under Medicare Part D;

imposed a non-deductible annual fee on pharmaceutical manufacturers or importers who sell “branded prescription drugs” to specified federal government programs;

imposed a non-deductible annual fee on pharmaceutical manufacturers or importers who sell “branded prescription drugs” to specified federal government programs;

expanded the entities eligible for discounts under the Public Health Service pharmaceutical pricing program; and

created a new Patient-Centered Outcomes Research Institute to oversee, identify priorities in and conduct comparative clinical effectiveness research, along with funding for such research.
There have been executive, judicial and Congressional challenges to certain aspects of the ACA. For example, the Tax Act was enacted, which includes a provision repealing, effective January 1, 2019, the tax-based shared responsibility payment imposed by the ACA on certain individuals who fail to maintain qualifying health coverage for all or part of a year that is commonly referred to as the “individual mandate.” On December 14, 2018, a U.S. District Court Judge in the Northern District of Texas ruled that the individual mandate is a critical and inseverable feature of the ACA, and therefore, because it was repealed as part of the Tax Act, the remaining provisions of the ACA are invalid as well. Additionally, on December 18, 2019, the U.S. Court of Appeals for the 5th Circuit ruled that that the individual mandate was unconstitutional and remanded the case back to the District Court to determine whether the remaining provisions of the ACA are invalid as well. The U.S. Supreme Court is currently reviewing this case, but it is unknown when a decision will be reached. Although the U.S. Supreme Court has not yet ruled on the constitutionality of the ACA, President Biden issued an executive order to initiate a special enrollment period from February 15, 2021 through August 15, 2021 for purposes of obtaining health insurance coverage through the ACA marketplace. The executive order also instructs certain governmental agencies to review and reconsider their existing policies and rules that limit access to healthcare, including among others, reexamining Medicaid demonstration projects and waiver programs that include work requirements, and policies that create unnecessary barriers to obtaining access to health insurance coverage through Medicaid or the ACA. It is unclear how the Supreme Court ruling, other such litigation and the healthcare reform measures of the Biden administration will impact the ACA and our business.
Other legislative changes have also been proposed and adopted in the United States since the ACA was enacted. On August 2, 2011, the Budget Control Act of 2011, among other things, included aggregate
 
142

TABLE OF CONTENTS
 
reductions to Medicare payments to providers of 2% per fiscal year, which went into effect on April 1, 2013. However, COVID-19 relief legislation suspended the 2% Medicare sequester from May 1, 2020 through December 31, 2021. In January 2013, the American Taxpayer Relief Act of 2012 was signed into law, which, among other things, further reduced Medicare payments to several providers, including hospitals, imaging centers and cancer treatment centers, and increased the statute of limitations period for the government to recover overpayments to providers from three to five years.
There has been heightened governmental scrutiny recently over the manner in which pharmaceutical companies set prices for their marketed products, which has resulted in several Congressional inquiries and proposed federal legislation, as well as state efforts, designed to, among other things, bring more transparency to product pricing, reduce the cost of prescription drugs under Medicare, review the relationship between pricing and manufacturer patient programs, and reform government program reimbursement methodologies for drug products. The likelihood of success of these and other measures initiated by the former Trump administration is uncertain, particularly in light of the new Biden administration. At the state level, legislatures have increasingly passed legislation and implemented regulations designed to control pharmaceutical and biological product pricing, including price or patient reimbursement constraints, discounts, restrictions on certain product access and marketing cost disclosure and transparency measures, and, in some cases, designed to encourage importation from other countries and bulk purchasing.
We anticipate that these new laws will result in additional downward pressure on coverage and the price that we receive for any approved product, and could seriously harm our business. Any reduction in reimbursement from Medicare and other government programs may result in a similar reduction in payments from private payors. The implementation of cost containment measures or other healthcare reforms may prevent us from being able to generate revenue, attain profitability, or commercialize our products (if approved). In addition, it is possible that there will be further legislation or regulation that could harm our business, financial condition and results of operations. For example, it is possible that additional governmental action is taken in response to address the COVID-19 pandemic.
Coverage and Reimbursement
Significant uncertainty exists as to the coverage and reimbursement status of our products and any product candidates for which we may obtain regulatory approval. Sales of any of our products and product candidates, if approved, will depend, in part, on the extent to which the costs of the products will be covered by third-party payors, including government healthcare programs such as Medicare and Medicaid, and private payors, such as commercial health insurers and managed care organizations. Third-party payors determine which drugs they will cover and the amount of reimbursement they will provide for a covered drug. In the U.S., there is no uniform system among payors for making coverage and reimbursement decisions. In addition, the process for determining whether a payor will provide coverage for a product may be separate from the process for setting the price or reimbursement rate that the payor will pay for the product once coverage is approved. Third-party payors may limit coverage to specific products on an approved list, or formulary, which might not include all of the FDA-approved products for a particular indication.
In order to secure coverage and reimbursement for our products we may need to conduct expensive pharmacoeconomic studies in order to demonstrate the medical necessity and cost-effectiveness of the product, in addition to the costly studies required to obtain FDA or other comparable regulatory approvals. Even if we conduct pharmacoeconomic studies, our products and product candidates may not be considered medically necessary or cost-effective by payors. Further, a payor’s decision to provide coverage for a product does not imply that an adequate reimbursement rate will be approved.
Furthermore, the healthcare industry in the U.S. has experienced a trend toward cost containment as government and private insurers seek to control healthcare costs by imposing lower payment rates and negotiating reduced contract rates with service providers. Therefore, we cannot be certain that the procedures using our products will be reimbursed at a cost-effective level. Nor can we be certain that third-party payors using a methodology that sets amounts based on the type of procedure performed, such as those utilized by government programs and in many privately managed care systems, will view the cost of our products to be justified so as to incorporate such costs into the overall cost of the procedure. Even if coverage is provided, the approved reimbursement amount may not be high enough to allow us to establish or
 
143

TABLE OF CONTENTS
 
maintain pricing sufficient to achieve profitability. Moreover, we are unable to predict what changes will be made to the reimbursement methodologies used by third-party payors in the future.
Additional legislative changes, regulatory changes and judicial challenges related to the Affordable Care Act remain possible, as discussed above under the subheading “U.S. Healthcare Reform.” In addition, there likely will continue to be proposals by legislators at both the federal and state levels, regulators, and third-party payors to contain healthcare costs. Thus, even if we obtain favorable coverage and reimbursement status for our products and any product candidates for which we receive regulatory approval, less favorable coverage policies and reimbursement rates may be implemented in the future.
Healthcare Fraud and Abuse Laws
In addition to FDA restrictions on marketing of pharmaceutical products, our business is subject to healthcare fraud and abuse regulation and enforcement by both the federal government and the states in which we conduct our business. These laws include, but are not limited to, the following:

The federal Anti-Kickback Statute prohibits, among other things, knowingly and willfully offering, paying, soliciting or receiving remuneration, directly or indirectly, in cash or in kind, to induce or in return for purchasing, leasing, ordering or arranging for or recommending the purchase, lease or order of any healthcare item or service reimbursable, in whole or in part, under Medicare, Medicaid or other federally financed healthcare programs. The term “remuneration” has been broadly interpreted to include anything of value. The Affordable Care Act, among other things, amended the intent requirement of the federal Anti-Kickback Statute such that a person or entity no longer needs to have actual knowledge of the statute or specific intent to violate in order to commit a violation.

The federal civil and criminal false claims laws, including the False Claims Act, which can be enforced by private individuals on behalf of the government through civil whistleblower or qui tam actions, and civil monetary penalty laws prohibit individuals or entities from knowingly presenting, or causing to be presented, a false or fraudulent claim for payment of government funds, or knowingly making, using, or causing to be made or used, a false record or statement material to an obligation to pay money to the government or knowingly concealing or knowingly and improperly avoiding, decreasing, or concealing an obligation to pay money to the U.S. federal government.

HIPAA, prohibits, among other things, knowingly and willfully executing, or attempting to execute, a scheme to defraud any healthcare benefit program, including private third-party payors. HIPAA also prohibits knowingly and willfully falsifying, concealing or covering up a material fact or making any materially false, fictitious or fraudulent statement or representation, or making or using any false writing or document knowing the same to contain any materially false, fictitious or fraudulent statement or entry in connection with the delivery of or payment for healthcare benefits, items or services.

HIPAA, as amended by the HITECH and its implementing regulations, imposes obligations on “covered entities,” including certain healthcare providers, health plans, and healthcare clearinghouses, as well as their respective “business associates” and their subcontractors that create, receive, maintain or transmit individually identifiable health information for or on behalf of a covered entity, with respect to safeguarding the privacy, security and transmission of individually identifiable health information. HITECH also increased the civil and criminal penalties that may be imposed under HIPAA and gave state attorneys general new authority to file civil actions for damages or injunctions in federal courts to enforce HIPAA.

The majority of states also have statutes or regulations similar to the federal anti-kickback and false claims laws, which apply to items and services reimbursed under Medicaid and other state programs, or, in several states, apply regardless of the payor. Several states now require pharmaceutical companies to report expenses relating to the marketing and promotion of pharmaceutical products in those states and to report gifts and payments to individual health care providers in those states. Some of these states also prohibit certain marketing-related activities including the provision of gifts, meals, or other items to certain health care providers. Other states have laws requiring pharmaceutical sales representatives to be registered or licensed, and still others impose limits on co-pay assistance that pharmaceutical companies can offer to patients. In addition, several states require pharmaceutical companies to implement compliance programs or marketing codes.
 
144

TABLE OF CONTENTS
 

The Physician Payments Sunshine Act, implemented as the Open Payments program, and its implementing regulations, requires manufacturers of drugs, devices, biologics and medical supplies for which payment is available under Medicare, Medicaid or the Children’s Health Insurance Program (with certain exceptions) to report annually to CMS information related to direct or indirect payments and other transfers of value to physicians (defined to include doctors, dentists, optometrists, podiatrists and chiropractors), other healthcare professionals (such as physician assistants and nurse practitioners) and teaching hospitals, as well as ownership and investment interests held in the company by physicians and their immediate family members.
Compliance with such laws and regulations requires substantial resources. Because of the breadth of these laws and the narrowness of available statutory exceptions and regulatory safe harbors, it is possible that some of our business activities could be subject to legal challenge and enforcement actions. In the event governmental authorities conclude that our business practices do not comply with current or future statutes, regulations or case law involving applicable fraud and abuse or other healthcare laws and regulations, they may impose sanctions under these laws, which are potentially significant and may include civil monetary penalties, damages, exclusion of an entity or individual from participation in government health care programs, criminal fines and imprisonment, additional reporting requirements if we become subject to a corporate integrity agreement or other settlement to resolve allegations of violations of these laws, as well as the potential curtailment or restructuring of our operations. Even if we are not determined to have violated these laws, government investigations into these issues typically require the expenditure of significant resources and generate negative publicity.
Foreign Corrupt Practices Act
In addition, the U.S. Foreign Corrupt Practices Act of 1997 prohibits corporations and their intermediaries from engaging in certain activities to obtain or retain business or to influence a person working in an official capacity. It is illegal to pay, offer to pay or authorize the payment of anything of value to any official of another country, government staff member, political party or political candidate in an attempt to obtain or retain business or to otherwise influence a person working in that capacity.
Facilities
Our principal office is located in Santa Ana California, where we own approximately 25,000 square feet of office, manufacturing and laboratory space, approximately half of which is fit for GMP production of NK cells. We also lease office facilities in Irvine, California. We intend to manufacture all finished autologous product in-house at our manufacturing facility in Santa Ana, California for our Phase I and II trials in neurodegenerative disease. We intend to partner with NKMAX for the allogeneic NK cell production for our Phases I and II trials in oncological diseases.
We believe our facilities are adequate to meet its current needs, although we may seek to negotiate new leases or evaluate additional or alternate space for its operations.
NKGen’s Team
As of September 30, 2023, we had approximately 63 full-time employees. Substantially all of our employees are located in California.
None of our employees is represented by a labor union or covered under collective bargaining agreement. We have not experienced any material work stoppages and we consider our relationship with its employees to be good, healthy and transparent. We actively engage with managers to collect feedback and ideas on how to improve its working environment.
Our human capital resources objectives include, as applicable, identifying, recruiting, retaining incentivizing and integrating its existing and new employees, advisors and consultants. The principal purpose of our equity and cash incentive plans is to attract, retain, and reward personnel through the granting of stock-based and cash-based compensation awards, in order to increase stockholder value and our success by motivating such individuals to perform to the best of their abilities and achieve our objectives.
 
145

TABLE OF CONTENTS
 
Legal Proceedings
From time to time, we may be subject to legal proceedings. We are not currently a party to or aware of any active legal proceedings that we believe will have, individually or in the aggregate, a material adverse effect on our business, financial condition or results of operations. Regardless of outcome, litigation can have an adverse impact on us because of defense and settlement costs, diversion of management resources and other factors.
 
146

TABLE OF CONTENTS
 
MANAGEMENT
Our business and affairs is managed by or under the direction of the NKGen Board, which has five members. The following table sets forth the name, age and position of each of the directors and executive officers as of the date of this prospectus.
Name
Age
Position
Executive Officers and Directors
Sangwoo Park
54
Director, Chairperson of the NKGen Board
Paul Song, M.D.
58
Chief Executive Officer, Director
Yong Man Kim, Ph.D.
57
Chief Scientific Officer
Pierre Gagnon
51
Chief Operating Officer
James A. Graf
59
Interim Chief Financial Officer
Non-Employee Directors
Michael Klowden(1)(2)(3)
78
Director
Kathleen Scott(1)(2)(3)
54
Director
Alana McNulty(1)(2)(3)
60
Director
(1)
Member of the Audit Committee.
(2)
Member of the Compensation Committee.
(3)
Member of the Nominating and Corporate Governance Committee.
Executive Officers and Directors
Sangwoo Park.   Mr. Park has served as the Chairperson of the NKGen Board and a member of the NKGen Board since September 2023. Mr. Park served as Founder and Executive Chairman of Legacy NKGen from May 2019 to September 2023, and a director of Legacy NKGen from December 2017 to September 2023. Mr. Park has served as the Founder and Chairman of NKMAX Co., Ltd., a public Korean biotech company that specializes in the development and manufacture of antibodies and proteins, since January 2002, and Chief Executive Officer since March 31, 2023. He is currently serves as Chairman and Chief Executive Officer of several subsidiaries and affiliates of NKMAX Co. Ltd.: NKMAX Japan Inc. since November 2017, NKMAX H&D Co., Ltd since June 2016, CoAsia Biotech Inc. since April 2016, ATGEN America, Inc. since February 2014, ATGEN Canada, Inc. since September 2013, and ATGEN Japan, Inc. since September 2017. Mr. Park earned his B.A. degree in economics from Korea University, Seoul Korea.
Yong Man Kim, Ph.D.   Dr. Kim has served as our Chief Scientific Officer since September 2023. Dr. Kim served as Chief Scientific Officer of Legacy NKGen from January 2020 to September 2023, and a director of Legacy NKGen from November 2021 to September 2023. Dr. Kim has served as the Chief Scientific Officer of NKMAX, a public Korean biotech company that specializes in the development and manufacture of antibodies and proteins, since September 2017, and a director since March 2021. Prior to his professional career, Dr. Kim was a research professor at Wonkwang University School of Medicine. He has been a visiting Fellow for the Genetic Pharmacology Unit in NINDS, the neurobiological branch of the National Institute of Health. He had his Post-Doc. at the Department of Immunology at the Korea Research Institute of Bioscience and Biotechnology. He earned his PhD in Cell Biology from Chungnam National University in Korea.
Pierre Gagnon.   Mr. Gagnon has served as our Chief Operating Officer since September 2023. Mr. Gagnon served as our Chief Operating Officer of Legacy NKGen from November 2021 to September 2023. Prior to that, he served as Global Operations Director of NKMAX, a public Korean biotech company specializing in in the development and manufacture of antibodies and proteins, since August 2009, and as a director from March 2013 to June 2019. He has served as director of ATGEN Canada, Inc. since May 2013. Mr. Gagnon earned his B.A. degree in Business Administration from University of Quebec in Canada.
Paul Song, M.D.   Dr. Song has serviced as our Chief Executive Officer since September 2023. Dr. Song served as Chief Executive Officer and Vice Chairman of Legacy NKGen from December 2022 to
 
147

TABLE OF CONTENTS
 
September 2023. He served as Chief Medical Officer of NKMAX, a public Korean biotech company that specializes in the development and manufacture of antibodies and proteins, from March 2016 to January 2021. Dr. Song co-founded and served as Chief Executive Officer and director of Fuse Biotherapeutics, Inc., a private immune modulating therapeutics company, from June 2021 to January 2023. Dr. Song has served as a director of PeproMeme Bio, a private CAR-T company, since March 2022. He is currently on the advisory board of the Pritzker School of Molecular Engineering at The University of Chicago and a director of Mercy Corps and Gideon’s Promise. Dr. Song graduated with honors from the University of Chicago and received his M.D. degree from George Washington University. He completed his residency in radiation oncology at The University of Chicago where he served as Chief Resident and did a brachytherapy fellowship at the Institute Gustave Roussy in Villejuif, France. He was also awarded an ASTRO research fellowship in 1995 for his research in radiation inducible gene therapy.
James A. Graf.   Mr. Graf has served our Interim Chief Financial Officer since September 2023. Mr. Graf served as the chief executive officer of Graf from its inception in January 2021 through the closing of the Business Combination in September 2023. Mr. Graf has served as an independent director of Catcha Investment Corp. (NYSE: CHAA) since February 2021. Mr. Graf served as the chief executive officer of Graf Industrial Corp., a blank check company, from June 2018 through its business combination with Velodyne Lidar, Inc. in September 2020. Mr. Graf served as a director of Graf Industrial Corp. from June 2018 to September 2019 and served as a director of Velodyne Lidar, Inc. from September 2020 to February 2021. Mr. Graf served as a director of Platinum Eagle Acquisition Corp. from January 2018 through its business combination with Target Logistics Management, LLC and RL Signor Holdings, LLC in March 2019. Mr. Graf served as the vice president, chief financial officer and treasurer of Double Eagle Acquisition Corp. from its inception in June 2015 through its business combination with Williams Scotsman, Inc. in November 2017. He served as vice president, chief financial officer, treasurer and secretary of Silver Eagle Acquisition Corp. from its inception in April 2013 through Silver Eagle’s business combination with Videocon d2h and he served as vice president, chief financial officer, treasurer and secretary of GEE from its inception in February 2011 to its business combination with Row 44, Inc. and Advanced Inflight Alliance AG in January 2013. He was vice chairman of Global Entertainment AG, the German entity holding GEE’s equity in AIA from 2013 to 2014 and special advisor to GEE in 2013. He served as a special advisor to Videocon d2h from 2015 to 2016. From 2008 to 2011 Mr. Graf served as a managing director of TC Capital Ltd., an investment bank, in Singapore. From 2007 to 2008, Mr. Graf was engaged as a consultant to provide financial advisory services to Metro- Goldwyn-Mayer, Inc. In 2001, Mr. Graf founded and became chief executive officer of Praedea Solutions, Inc., an enterprise software company with operations in the United States, Malaysia and Ukraine. The assets of Praedea Solutions, Inc. were sold in 2006 to a Mergent Inc., a wholly-owned subsidiary of Xinhua Finance Ltd. and renamed Mergent Data Technology, Inc., where Mr. Graf continued to serve as Chief Executive Officer from 2006 to 2007. Praedea Solutions Inc. was renamed PSI Capital Inc. and currently serves as an investment holding company for Mr. Graf’s private investments. Mr. Graf continues to be chief executive of PSI Capital Inc. Prior to founding Praedea, Mr. Graf was a managing director at Merrill Lynch, in Singapore from 1998 to 2000 and a consultant to Merrill Lynch in 2001. From 1996 to 1998, Mr. Graf served as a director and then managing director and president of Deutsche Bank’s investment banking entity in Hong Kong, Deutsche Morgan Grenfell (Hong Kong) Ltd. From 1993 to 1996, he was a vice president at Smith Barney in Hong Kong and Los Angeles. From 1987 to 1993, Mr. Graf was an analyst and then associate at Morgan Stanley in New York, Los Angeles, Hong Kong and Singapore. Mr. Graf received a Bachelor of Arts degree from The University of Chicago in 1987.
Non-Employee Directors
The NKGen Board consists of five directors. In addition to Mr. Park and Dr. Song, the NKGen’s director nominees are:
Michael Klowden.   Mr. Klowden has served as a member of NKGen Board since September 2023. Mr. Klowden is currently serving as the executive vice chairman of the board of the Milken Institute, a non-profit, nonpartisan think tank. Prior to this position, Mr. Klowden served as the Milken Institute’s chief executive officer for 21 years, during which time the institute enhanced its reputation and its worldwide outreach, its annual global conference became one of the world’s premier business, finance, and policy gatherings, and multiple specialized centers at the institute were created, including the Asia Center, the
 
148

TABLE OF CONTENTS
 
California Center, FasterCures, the Center for Financial Markets, the Center for the Future of Aging, the Center for Public Health, and the Center for Strategic Philanthropy. Prior to joining the Milken Institute, Mr. Klowden worked as president of Jefferies Group Inc. (“Jefferies”), a global investment bank and institutional securities firm, from 1995 to 2000, where he was responsible for directing the firm’s transition from a trading firm to a full-service investment bank. Prior to joining Jefferies, Mr. Klowden was a senior partner at the international law firm Morgan, Lewis & Bockius LLP from 1978 to 1995, where he served as a member of the firm’s management committee, was managing partner of the Los Angeles office, and national vice chairman of the firm’s business and finance practice. Mr. Klowden received a bachelor’s degree from The University of Chicago, where he has served as a trustee, and a J.D. from Harvard Law School.
Alana McNulty.   Ms. McNulty has served as a member of NKGen Board since September 2023. Ms. McNulty has been serving as an independent board member of two biopharmaceutical companies, Janux Therapeutics, Inc. (Nasdaq: JANX) and Lipidio Pharmaceuticals, Inc. since September 2021 and February 2023, respectively. Ms. McNulty served as the chief business officer of Effector Therapeutics, Inc. (“Effector”), a biopharmaceutical company, from July 2019 to July 2022, and as the chief financial officer of Effector from July 2012 until December 2020 (in a consulting capacity until October 2015). Previously, Ms. McNulty served as the chief financial officer of Lumena Pharmaceuticals Inc. from July 2012 until its acquisition by Shire plc in November 2014, and as the chief financial officer of Excaliard Pharmaceuticals, Inc. from March 2011 through its acquisition by Pfizer Inc. in November 2011. Prior to that, Ms. McNulty was acting chief financial officer at BrainCells, Inc. from 2004 until 2011 and the chief financial officer of Elitra Pharmaceuticals Inc. (“Elitra”) from 1998 to 2003. Prior to joining Elitra, Ms. McNulty was head of corporate development and a general manager of a business unit at Advanced Tissue Sciences. Ms. McNulty received a B.A. in Biology with high honors from the University of California, Santa Barbara and an M.B.A. from the Anderson School of Business at the University of California, Los Angeles.
Kathleen Scott.   Ms. Scott has served as a member of NKGen Board since September 2023. Ms. Scott has been serving as the chief financial officer of ARS Pharmaceuticals, Inc. (“ARS Pharma”) (Nasdaq: SPRY) since February 2022. Prior to joining ARS Pharma, Ms. Scott was the chief financial officer of various life science companies, including Neurana Pharmaceuticals, Inc. from January 2017 to March 2022, Recros Medica, Inc. from August 2014 to April 2021, Adigica Health, Inc. from February 2016 to March 2021 and Clarify Medical, Inc. from August 2014 to December 2016. Ms. Scott serves on the boards of directors of Dermata Therapeutics, Inc. (Nasdaq: DRMA), where she has served since August 2021, the YMCA of San Diego County and Corporate Directors Forum, and previously served as a member of the board of Conatus Pharmaceuticals Inc. from November 2019 to May 2020. Ms. Scott previously served as a partner at RA Capital Advisors LLC, a San Diego private investment bank, providing financial advisory services and completing mergers, acquisitions, divestitures and restructurings for a broad range of corporate clients, from 1994 to 2010. Ms. Scott started her career as an auditor in Arthur Andersen’s San Diego office, focusing on both public and private clients. Ms. Scott holds a bachelor’s degree in economics/business from the University of California, Los Angeles and is a CPA and CFA charter holder.
Family Relationships
There are no family relationships among any of our directors or executive officers.
Board Composition
Our business and affairs is organized under the direction of the NKGen Board. The NKGen Board consists of five members. Upon the Closing, each of Sangwoo Park, Paul Song, Michael Klowden, Alana McNulty and Kathleen Scott were elected to serve as directors on the NKGen Board. The NKGen Board appointed Mr. Park as Chair of the NKGen Board. The primary responsibilities of the NKGen Board is to provide oversight, strategic guidance, counseling and direction to our management. The NKGen Board will meet on a regular basis and additionally as required.
In accordance with the terms of our Charter, the NKGen Board is divided into three classes, Class I, Class II and Class III, with, only one class of directors being elected in each year and each class serving a three-year term. There is no cumulative voting with respect to the election of directors, with the result that the holders of more than 50% of the shares voted for the election of directors can elect all of the directors. Ms. McNulty was appointed to serve as Class I director, with a term expiring at the Company’s first annual meeting
 
149

TABLE OF CONTENTS
 
of stockholders following the Closing; Messrs. Song and Klowden were appointed to serve as Class II directors, with terms expiring at the Company’s second annual meeting of stockholders following the Closing; and Mr. Park and Ms. Scott were appointed to serve as Class III directors, with terms expiring at the Company’s third annual meeting of stockholders following the Closing of the Business Combination.
At each annual meeting of stockholders to be held after the initial classification, the successors to directors whose terms then expire will be elected to serve from the time of election and qualification until the third annual meeting following their election and until their successors are duly elected and qualified, or their earlier resignation, removal, retirement or death. This classification of the NKGen Board may have the effect of delaying or preventing changes in our control or management. Our directors may be removed for cause by the affirmative vote of the holders of at least 66 2/3% of our voting stock.
Director Independence
Based on information provided by each director concerning his background, employment and affiliations each of the directors on the NKGen Board, other than Mr. Park and Dr. Song qualifies as independent directors, as defined under Nasdaq’s listing rules (the “Nasdaq listing rules”), and the NKGen Board consists of a majority of “independent directors,” as defined under the rules of the SEC and Nasdaq listing rules relating to director independence requirements. In addition, we are subject to the rules of the SEC and Nasdaq relating to the membership, qualifications and operations of the audit committee, as discussed below.
Role of the NKGen Board in Risk Oversight/Risk Committee
One of the key functions of the NKGen Board is informed oversight of our risk management process. The NKGen Board does not have a standing risk management committee, but rather administers this oversight function directly through the NKGen Board as a whole, as well as through various standing committees of the NKGen Board that address risks inherent in their respective areas of oversight. In particular, the NKGen Board is responsible for monitoring and assessing strategic risk exposure and our audit committee has the responsibility to consider and discuss our major financial risk exposures and the steps its management will take to monitor and control such exposures, including guidelines and policies to govern the process by which risk assessment and management is undertaken. The audit committee also monitors compliance with legal and regulatory requirements. Our compensation committee assesses and monitors whether the our compensation plans, policies and programs comply with applicable legal and regulatory requirements.
Board Committees
Effective upon the consummation of the Business Combination, the NKGen Board established an audit committee, a compensation committee and a nominating and corporate governance committee. The NKGen Board will adopt a charter for each of these committees, which will comply with the applicable requirements of current Nasdaq listing rules. In addition, from time to time, special committees may be established under the direction of the NKGen Board when the board deems it necessary or advisable to address specific issues. We intend to comply with future requirements to the extent they will be applicable to the us. Copies of the charters for each committee are available on the investor relations portion of our website.
Audit Committee
Our audit committee consists of Kathleen Scott, Michael Klowden and Alana McNulty. The NKGen Board determined that each of the members of the audit committee satisfies the independence requirements of the Nasdaq listing rules and Rule 10A-3 under the Exchange Act. Each member of the audit committee can read and understand fundamental financial statements in accordance with applicable audit committee requirements. In arriving at this determination, the NKGen Board examined each audit committee member’s scope of experience and the nature of their prior and/or current employment
Kathleen Scott serves as the chair of the audit committee. The NKGen Board determined that Kathleen Scott qualifies as an audit committee financial expert within the meaning of SEC regulations and meets the financial sophistication requirements of the Nasdaq listing rules. In making this determination,
 
150

TABLE OF CONTENTS
 
the NKGen Board considered Kathleen Scott’s formal education and previous experience in financial roles. Both our independent registered public accounting firm and management periodically will meet privately with our audit committee.
The functions of this committee include, among other things:

evaluating the performance, independence and qualifications of our independent auditors and determining whether to retain our existing independent auditors or engage new independent auditors;

reviewing our financial reporting processes and disclosure controls;

reviewing and approving the engagement of our independent auditors to perform audit services and any permissible non-audit services;

reviewing the adequacy and effectiveness of our internal control policies and procedures, including reviewing, with the independent auditors, management’s plans with respect to the responsibilities, budget, staffing and effectiveness of our internal audit function;

reviewing with the independent auditors the annual audit plan, including the scope of audit activities and all critical accounting policies and practices to be used by us;

obtaining and reviewing at least annually (if required by applicable stock exchange listing requirements) or as otherwise determined, a report by our independent auditors describing the independent auditors’ internal quality-control procedures and any material issues raised by the most recent internal quality-control review, peer review, or any inquiry or investigation by governmental or professional authorities;

monitoring the rotation of partners of our independent auditors on NKGen’s engagement team as required by law;

at least annually, reviewing relationships that may reasonably be thought to bear on the independence of the committee, receiving and reviewing a letter from the independent auditor affirming their independence, discussing the potential effects of any such relationship, and assessing and otherwise taking the appropriate action to oversee the independence of our independent auditor;

reviewing our annual and quarterly financial statements and reports, including the disclosures contained in “Management’s Discussion and Analysis of Financial Condition and Results of Operations” and “Risk Factors,” and discussing the statements and reports with our independent auditors and management;

reviewing with our independent auditors and management significant issues that arise regarding accounting principles and financial statement presentation and matters concerning the scope, adequacy and effectiveness of our financial controls and critical accounting policies;

reviewing with management and our independent auditors any earnings announcements, disclosures and other financial information and guidance;

establishing procedures for the review, retention and investigation of complaints received by us regarding financial controls, accounting, auditing or other matters;

preparing the report that the SEC requires in our annual proxy statement;

reviewing and providing oversight of any related party transactions in accordance with our related party transaction policy;

reviewing and discussing with management risks related to data privacy, technology and information security, including cybersecurity, back-up of information systems, and policies and procedures that we have in place to monitor and control such exposures;

reviewing our major financial risk exposures, including the guidelines and policies to govern the process by which risk assessment and risk management is implemented;

reviewing any analyses prepared by management or the independent auditors setting forth significant financial reporting issues and judgments made in connection with the preparation of the financial statements, including analyses of the effects of alternative GAAP methods on the financial statements;
 
151

TABLE OF CONTENTS
 

reviewing with management and the independent auditors any disagreement between them regarding financial reporting, accounting practices or policies, or other matters, that individually or in the aggregate could be significant to our financial statements or the independent auditor’s report, reviewing management’s response, and resolving any other conflicts or disagreements regarding financial reporting;

considering and reviewing with management, the independent auditors, and outside advisors or accountants any correspondence with regulators or governmental agencies and any published reports that raise material issues regarding our financial statements or accounting policies;

reviewing with management legal and regulatory compliance and any material current, pending or threatened legal matters; and

reviewing and evaluating on an annual basis the performance of the audit committee and the audit committee charter.
The composition and function of the audit committee complies with all applicable requirements of the Sarbanes-Oxley Act, SEC rules and regulations and the Nasdaq listing rules.
Compensation Committee
NKGen’s compensation committee will consist of Kathleen Scott, Michael Klowden and Alana McNulty. Alana McNulty will serve as the chair of the compensation committee. The NKGen Board determined that each of the members of the compensation committee is a non-employee director, as defined in Rule 16b-3 promulgated under the Exchange Act and satisfies the independence requirements of Nasdaq. The functions of the committee includes, among other things:

reviewing and approving the corporate objectives that pertain to our overall compensation strategy and policies;

reviewing and approving annually the compensation and other terms of employment of our executive officers and other members of senior management, in the compensation committee’s discretion;

reviewing and approving the type and amount of compensation to be paid or awarded to our non-employee board members;

administering NKGen’s equity incentive plans and other benefit plans;

reviewing and approving the terms of any employment agreements, severance arrangements, change in control protections, indemnification agreements and any other material arrangements with our executive officers and other members of senior management, in the compensation committee’s discretion;

reviewing and establishing appropriate insurance coverage for our directors and officers;

reviewing and discussing with management our disclosures under the caption “Compensation Discussion and Analysis” in our periodic reports or proxy statements to be filed with the SEC, to the extent such caption is included in any such report or proxy statement;

preparing an annual report on executive compensation that the SEC requires in our annual proxy statement;

reviewing NKGen’s practices and policies for employee compensation as related to risk management and risk-taking incentives to determine if such compensation policies and practices are reasonably likely to have a material adverse effect on us;

establishing and monitoring stock ownership guidelines for our directors and executive officers, if and as determined to be necessary or appropriate;

providing recommendations to the NKGen Board on compensation-related proposals to be considered at our annual meeting of stockholders;

reviewing and discussing with management, if appropriate, the independence of and any conflicts of interest raised by the work of a compensation consultant, outside legal counsel, or advisor hired
 
152

TABLE OF CONTENTS
 
by the compensation committee or management and how such conflict is being addressed for disclosure in the appropriate filing or report;

annually reviewing and discussing with management our human capital management practices with respect to its employees and, where applicable, independent contractors;

approving and modifying, as needed, clawback policies allowing us to recoup improper compensation paid to employees; and

reviewing and evaluating on an annual basis the performance of the compensation committee and recommending such changes as deemed necessary with the NKGen Board.
The composition and function of the compensation committee complies with all applicable requirements of the Sarbanes-Oxley Act, SEC rules and regulations and Nasdaq listing rules.
Nominating and Corporate Governance Committee
Our nominating and corporate governance committee consists of Kathleen Scott, Michael Klowden and Alana McNulty. Michael Klowden serves as the chair of the nominating and corporate governance committee. The NKGen Board determined that each of the members of our nominating and corporate governance committee satisfies the independence requirements of Nasdaq. The functions of this committee include, among other things:

determining the qualifications, qualities, skills and other expertise required to be a director of NKGen, and developing and recommending to the NKGen Board for approval criteria to be considered in selecting nominees for director;

identifying, reviewing and making recommendations of candidates to serve on the NKGen Board, including incumbent directors for reelection;

evaluating the performance of the NKGen Board, committees of the NKGen Board and individual directors and determining whether continued service on the NKGen Board is appropriate;

periodically reviewing and making recommendations to the NKGen Board regarding NKGen’s process for stockholder communications with the NKGen Board, and making such recommendations to the NKGen Board with respect thereto;

evaluating nominations by stockholders of candidates for election to the NKGen Board;

evaluating the structure and organization of the NKGen Board and its committees and making recommendations to the NKGen Board for approvals;

considering possible conflicts of interest of officers and directors as set forth in NKGen’s code of business conduct and ethics;

reviewing and considering environmental, social responsibility and sustainability and governance matters as it determines appropriate and making recommendations to the NKGen Board regarding, or taking action with respect to, such matters;

periodically reviewing NKGen’s corporate governance guidelines and code of business conduct and ethics and recommending to the NKGen Board any changes to such policies and principles;

developing and periodically reviewing with NKGen’s Chief Executive Officer the plans for succession for NKGen’s Chief Executive Officer and other executive officers, as it sees fit, and making recommendations to the Board with respect to the selection of appropriate individuals to succeed to these positions;

considering the NKGen Board’s leadership structure, including the separation of the roles of chairperson of the NKGen Board and the Chief Executive Officer and/or the appointment of a lead independent director;

periodically reviewing the processes and procedures used by NKGen to provide information to the NKGen Board and its committees and the scope of such information and making recommendations to the NKGen Board and management for improvement as appropriate; and
 
153

TABLE OF CONTENTS
 

reviewing periodically the nominating and corporate governance committee charter and recommending any proposed changes to the NKGen Board, including undertaking an annual review of its own performance.
The composition and function of the nominating and corporate governance committee complies with all applicable requirements of the Sarbanes-Oxley Act, SEC rules and regulations and Nasdaq listing rules.
Compensation Committee Interlocks and Insider Participation
None of the members of our compensation committee has ever been one of our an executive officers or employees. None of our executive officers currently serve, or has served during the last completed fiscal year, on the compensation committee or board of directors of any other entity that has one or more executive officers that will serve as a member of the NKGen Board or compensation committee.
Limitation on Liability and Indemnification of Directors and Officers
Our Charter, which became effective upon the Closing of the Business Combination, eliminates the liability of our officer and directors for monetary damages to the fullest extent permitted by applicable law. The DGCL provides that officers and directors of a corporation will not be personally liable for monetary damages for breach of their fiduciary duties, except for liability:

for any transaction from which the director or officer derives an improper personal benefit;

for any act or omission not in good faith or that involves intentional misconduct or a knowing violation of law;

for any unlawful payment of dividends or redemption of shares by directors; or

for any breach of a director’s or officer’s duty of loyalty to the corporation or its stockholders.
If the DGCL is amended to authorize corporate action further eliminating or limiting the personal liability of officers and directors, then the liability of our officers and directors will be eliminated or limited to the fullest extent permitted by the DGCL, as so amended.
The NKGen Bylaws require us to indemnify and advance expenses to, to the fullest extent permitted by applicable law, its directors, officers and agents. we plan to maintain a directors’ and officers’ insurance policy pursuant to which our directors and officers are insured against liability for actions taken in their capacities as directors and officers. Finally, our Charter prohibits any retroactive changes to the rights or protections or increase the liability of any officer or director in effect at the time of the alleged occurrence of any act or omission to act giving rise to liability or indemnification.
In addition, we entered into separate indemnification agreements with our directors and executive officers. These agreements, among other things, require us to indemnify its directors and executive officers for certain expenses, including attorneys’ fees, judgments, fines and settlement amounts incurred by a director or executive officer in any action or proceeding arising out of their services as one of our directors or executive officers or any other company or enterprise to which the person provides services at our request.
We believe these provisions in our Charter and NKGen Bylaws are necessary to attract and retain qualified persons as directors and officers.
Code of Business Conduct and Ethics for Employees, Executive Officers and Directors
The NKGen Board adopted a Code of Business Conduct and Ethics (the “Code of Conduct”), applicable to all of NKGen’s employees, executive officers and directors. The Code of Conduct is available on NKGen’s website at www.nkgenbiotech.com. Information contained on or accessible through NKGen’s website is not a part of this prospectus, and the inclusion of NKGen’s website address in this prospectus is an inactive textual reference only. The nominating and corporate governance committee of the NKGen Board is responsible for overseeing the Code of Conduct.
 
154

TABLE OF CONTENTS
 
Non-Employee Director Compensation
The NKGen Board expects to review director compensation periodically to ensure that director compensation remains competitive such that NKGen is able to recruit and retain qualified directors. NKGen intends to develop a board of directors’ compensation program that is designed to align compensation with NKGen’s business objectives and the creation of stockholder value, while enabling NKGen to attract, retain, incentivize and reward directors who contribute to the long-term success of NKGen.
 
155

TABLE OF CONTENTS
 
EXECUTIVE COMPENSATION
Graf
Employment Agreements
Prior to the closing of the Business Combination, Graf did not enter into any employment agreements with its executive officers and did not make any agreements to provide benefits upon termination of employment.
NKGen
As used in this section, “NKGen” refers to Legacy NKGen prior to the closing of the Business Combination and NKGen after the Closing.
Executive Compensation
This section provides an overview of NKGen’s executive compensation programs as they relate to the executive officers named below (the “named executive officers”), including a narrative description of the material factors necessary to understand the information disclosed in the summary compensation table below. The NKGen Board has historically determined the compensation of NKGen’s Chief Executive Officer. The Chief Executive Officer has historically determined the compensation for NKGen’s Chief Scientific Officer and Chief Operating Officer, except that all bonus awards, stock options and restricted stock awards are approved by the NKGen Board. For the year ended December 31, 2022, NKGen’s named executive officers were:

Sangwoo Park, NKGen’s Founder, Executive Chairman, Former Chief Executive Officer and a member of the NKGen Board;

Paul Y. Song, M.D., NKGen’s Chief Executive Officer, Vice Chairman and a member of the NKGen Board;

Pierre Gagnon, NKGen’s Chief Operating Officer; and

Jill M. Jene, Ph.D., NKGen’s Former Chief Business Officer.
2022 Summary Compensation Table
The following table presents information regarding the compensation awarded by, earned by or paid to NKGen’s named executive officers during the fiscal year ended December 31, 2022.
Name and Principal Position
Year
Salary
($)
Bonus
($)
Total
($)
Sangwoo Park(1)
2022 480,000 96,000 576,000
Paul Y. Song, M.D.(2)
2022 365,769(3) 365,769
Jill M. Jene, Ph.D.(4)
2022 163,077 163,077
Pierre Gagnon
2022 300,000 16,000 316,000
(1)
Mr. Park, Founder and Executive Chairman of NKGen, served as Chief Executive Officer from January 1, 2020 until December 28, 2022. Mr. Park continues to serve as NKGen’s Executive Chairman.
(2)
Dr. Song has served as Chief Executive Officer and Vice Chairman of NKGen since December 28, 2022.
(3)
This value represents cash compensation in exchange for services provided under the consulting agreement between Dr. Song and NKGen that terminated on December 28, 2022 in connection with Dr. Song being hired as Chief Executive Officer and Vice Chairman of NKGen. For additional information, please see the section titled “Certain Relationships and Related Party Transactions.
(4)
Dr. Jene has served as Chief Business Officer of NKGen from July 2022 through March 2023.
 
156

TABLE OF CONTENTS
 
Narrative to Summary Compensation Table
Base Salaries
Mr. Park’s annual base salary for 2022 was $480,000.
Dr. Song’s annual base salary for 2022 was initially $360,000 pursuant to his consulting agreement with NKGen, and was increased to $500,000 upon his hiring as an employee and NKGen’s full-time Chief Executive Officer effective as of December 28, 2022.
Dr. Jene’s annual base salary for 2022 was $400,000.
Mr. Gagnon’s annual base salary for 2022 was $300,000.
Bonuses
In 2022, Mr. Park and Mr. Gagnon each earned and was paid a discretionary bonus of $96,000 and $16,000 respectively.
Equity Compensation
We did not have a formal policy with respect to the grant of equity incentive awards to our executive officers, or any formal equity ownership guidelines applicable to them prior to the Closing, we generally used equity incentive awards to compensate our executive officers in the form of initial grants in connection with the commencement of employment and also at various other times during their employment. Accordingly, the then NKGen Board periodically reviews the equity incentive compensation of NKGen’s executive officers and from time to time has granted equity incentive awards to them in the form of stock options. No equity incentive awards were granted to NKGen’s named executive officers in 2022.
In January and February 2023, we granted stock option awards to our executive officers, including certain of the named executive officers, see the section titled “Certain Relationships and Related Party Transactions — NKGen Related Party Transactions — Compensation Arrangements and Stock Option Grants for Executive Officers and Directors” for more information regarding these awards.
Following the Closing, our compensation committee oversees the compensation policies, plans and programs and reviews and determines compensation to be paid to executive officers, directors and other senior management, as appropriate. The compensation policies followed by us are intended to provide for compensation that is sufficient to attract, motivate and retain executives of Complete Solaria and potential other individuals and to establish an appropriate relationship between executive compensation and the creation of stockholder value.
Outstanding Equity Awards as of December 31, 2022
The following table provides information regarding outstanding stock options held by our named executive officers as of December 31, 2022.
Option Awards(1)
Stock Awards
Name
Grant date
Number of
securities
underlying
unexercised
options (#)
exercisable
Number of
securities
underlying
unexercised
options (#)
unexercisable
Option
exercise
price
($)
Option
expiration
date
Number of
shares or 
units of
stock that
have not
vested (#)
Market value
of shares or
units of stock
that have not
vested ($)
Sangwoo Park
Paul Y. Song, M.D.
Jill M. Jene, Ph.D.
Pierre Gagnon
10/23/2019(2) 27,800 0.13 10/23/2029
 
157

TABLE OF CONTENTS
 
(1)
All stock options were granted under the NKGen Biotech, Inc. 2019 Equity Incentive Plan (the “2019 Plan”), as described in more detail under “— Equity Incentive and Other Compensation Plans” below. All of the stock options were granted with a per share exercise price equal to the fair value of one share of NKGen’s common stock on the date of grant, as determined in good faith by the NKGen Board.
(2)
Mr. Gagnon’s outstanding stock options as of December 31, 2022 fully vested on October 1, 2019.
Equity Incentive and Other Compensation Plans
2019 Plan
The 2019 Plan was adopted by the NKGen Board and approved by NKGen’s stockholders on October 23, 2019, and amended on February 3, 2023. The 2019 Plan allows the NKGen Board to make equity incentive awards to NKGen’s employees, directors, and consultants. Upon the effective date of the NKGen Biotech, Inc. 2023 Equity Incentive Plan (the “2023 Plan”), NKGen will not grant any additional awards under the 2019 Plan.
Authorized Shares
The maximum aggregate number of shares of NKGen common stock that may be issued under the 2019 Plan is 8,723,922 shares. Shares issued under the 2019 Plan include authorized but unissued or reacquired shares of NKGen common stock. If (1) an outstanding award for any reason expires or is terminated or cancelled without all of the shares covered by such award having been issued or such award is settled in cash, (2) shares of common stock are acquired pursuant to an award subject to forfeiture or repurchase and are forfeited or repurchased by NKGen, or (3) shares of common stock are withheld upon exercise of an option or settlement of an award to cover the exercise price or tax withholding, then the shares of common stock allocable to the terminated portion of such award, such forfeited or repurchased shares of common stock or such shares of common stock used to pay the exercise price or tax withholding shall generally again be available for issuance under the 2019 Plan. The maximum number of shares of common stock that may be issued pursuant to the exercise of incentive stock options (“ISOs”) shall not exceed 26,171,766 shares, including, to the extent permitted by Section 422 of the Code, any shares that return to the 2019 Plan as described above.
Plan Administration
The NKGen Board administers the 2019 Plan and may delegate any or all of its powers under the plan to one or more of its committees. Subject to the terms of the 2019 Plan, the NKGen Board has the authority to set the terms of all awards.
Awards
The NKGen Board may grant awards of nonstatutory and incentive stock options and restricted stock under the 2019 Plan. All awards are granted pursuant to an award agreement. Awards other than ISOs may be granted to employees, directors, and consultants. ISOs may be granted only to employees. The NKGen Board determines the exercise price for a stock option within the terms and conditions of the 2019 Plan; provided, that the exercise price per share subject to an option cannot be less than 100% of the fair market value of NKGen common stock on the date of grant. However, an incentive stock option granted to an individual who directly or by attribution owns more than 10% of the total combined voting power of all of NKGen’s classes of stock will have an exercise price of at least 110% of the fair market value of NKGen common stock on the grant date. Options granted under the 2019 Plan become exercisable at the rate specified by the NKGen Board in the award agreement. The award agreement specifies circumstances under which awards may be forfeited. The NKGen Board determines the term of stock options granted under the 2019 Plan, generally, up to a maximum of 10 years, provided that an incentive stock option granted to an individual who directly or by attribution owns more than 10% of the total combined voting power of all of NKGen’s classes of stock may have a term of no longer than five (5) years from the grant date.
 
158

TABLE OF CONTENTS
 
Any shares of NKGen’s common stock awarded under any restricted stock award agreement may be subject to forfeiture to NKGen in accordance with a vesting schedule determined by the NKGen Board and award agreements for restricted stock will be subject to restrictions imposed by the NKGen Board, as it deems appropriate. Generally, if a grantee of restricted stock terminates employment or service during the applicable restriction period, NKGen has the right to repurchase from the grantee all or part of the shares of restricted stock still subject to restriction at the issue price or at another stated or formula price.
Corporate Transactions
The 2019 Plan provides that in the event of a “Corporate Transaction” ​(as defined in the 2019 Plan), each outstanding award will be treated as the NKGen Board determines. The NKGen Board may (1) accelerate the vesting and/or exercisability of any or all outstanding stock options, in whole or in part, with such award terminating if not exercised at or prior to the effective time of the Corporate Transaction; (2) make a payment, in such form as may be determined by the NKGen Board equal to the excess, if any, of (A) the value of the property such holder would have received upon the exercise of the award immediately prior to the effective time of the Corporate Transaction, over (B) any exercise price payable by such holder in connection with such exercise; (3) cancel awards in exchange for cash or another form of consideration, including cancelling for no consideration the portion of an option for which the fair market value on the date of the Corporate Transaction does not exceed the exercise price; (4) provide that the acquiring corporation will assume or continue the awards or substitute the awards for awards with respect to the acquiror’s shares; (5) arrange for the assignments of any reacquisition or repurchase rights held by NKGen with respect to any awards to the acquiring corporation; or (6) arrange for the lapse, in whole or in part, of any reacquisition or repurchase rights held by NKGen with respect to any awards.
The number and class of securities available under the 2019 Plan, the exercise price per share of each stock option, and the repurchase price per share for each restricted stock award is subject to adjustment in the event of any stock split, reverse stock split, stock dividend, recapitalization, combination or exchange of shares, reclassification of shares, spin-off or other similar change in capitalization.
Plan Amendment or Termination
The NKGen Board has the authority to alter, amend, suspend or terminate the 2019 Plan in whole or in part; provided, that the NKGen Board will obtain stockholder approval of any plan amendment to the extent necessary to comply with applicable law, rule, or regulation. In no event will any amendment increase the maximum number of shares of common stock with respect to which awards may be granted under the 2019 Plan without stockholder approval. The NKGen Board may amend, modify, or terminate any outstanding award, but the grantee will be required to consent to such action unless the amendment, modification, or termination would not adversely affect the grantee’s rights under the 2019 Plan or the change is permitted in connection with a Corporate Transaction or capitalization adjustments.
2023 Plan
On September 29, 2023, NKGen Board adopted and our stockholders approved the 2023 Plan (as defined above). The 2023 Plan became effective immediately upon the Closing.
Eligibility.   Any individual who is an employee of NKGen or any of its affiliates, or any person who provides services to NKGen or its affiliates, including members of the NKGen Board, is eligible to receive awards under the 2023 Plan at the discretion of the plan administrator. All 63 of NKGen’s full-time employees and two part-time employees, three non-employee directors and six advisors and consultants (as of September 30, 2023) will be eligible to receive awards.
Awards.   The 2023 Plan provides for the grant of incentive stock options (“ISOs”), within the meaning of Section 422 of the Code to employees, including employees of any parent or subsidiary, and for the grant of nonstatutory stock options (“NSOs”), stock appreciation rights, restricted stock awards, restricted stock unit awards, performance awards and other forms of awards to employees, directors and consultants, including employees and consultants of NKGen’s affiliates.
Authorized Shares.   Initially, the maximum number of shares of NKGen common stock that may be issued under the 2023 Plan after it becomes effective will not exceed a number of shares of NKGen common
 
159

TABLE OF CONTENTS
 
stock equal to the product of (i) 12%, multiplied by (ii) the total number of shares of the Fully Diluted Common Stock determined as of immediately following the closing of the Business Combination (the “Share Reserve”). The NKGen Options that have been assumed as part of the Business Combination and converted into options to purchase shares of NKGen common stock are not counted in the Share Reserve. In addition, the Share Reserve will automatically increase on January 1 of each year for a period of ten years, commencing on January 1, 2024 and ending on January 1, 2033, in an amount equal to (1) five percent (5%) of the total number of shares of the Fully Diluted Common Stock determined on December 31 of the preceding year, or (2) a lesser number of shares of NKGen common stock determined by the NKGen Board prior to January 1 of a given year. The maximum number of shares of NKGen common stock that may be issued on the exercise of ISOs under the 2023 Plan is equal to 14,341,200 shares.
Shares subject to stock awards granted under the 2023 Plan that expire or terminate without being exercised or otherwise issued in full or that are paid out in cash rather than in shares do not reduce the Share Reserve. Shares withheld under a stock award to satisfy the exercise, strike or purchase price of a stock award or to satisfy a tax withholding obligation do not reduce the Share Reserve. If any shares of NKGen common stock issued pursuant to a stock award are forfeited back to or repurchased or reacquired by NKGen (1) because of the failure to meet a contingency or vest, (2) to satisfy the exercise, strike or purchase price of an award, or (3) to satisfy a tax withholding obligation in connection with an award, the shares that are forfeited or repurchased or reacquired will revert back to the Share Reserve and will again become available for issuance under the 2023 Plan.
Non-Employee Director Compensation Limit.   The aggregate value of all compensation granted or paid to any non-employee director with respect to any period commencing on the date of NKGen’s annual meeting of stockholders for a particular year and ending on the day immediately prior to the date of the NKGen’s annual meeting of stockholders for the next subsequent year, including awards granted under the 2023 Plan and cash fees paid to such non-employee director, will not exceed (1) $1,000,000 in total value or (2) if such non-employee director is first appointed or elected to the NKGen Board during such annual period, $1,500,000 in total value, in each case, calculating the value of any equity awards based on the grant date fair value of such equity awards for financial reporting purposes.
Plan Administration.   The NKGen Board, or a duly authorized committee thereof, will administer the 2023 Plan and is referred to as the “plan administrator” herein. The NKGen Board may also delegate to one or more of NKGen’s officers the authority to, among other things, (1) designate employees (other than officers) to receive specified stock awards and (2) determine the number of shares subject to such stock awards. Under the 2023 Plan, the NKGen Board has the authority to determine award recipients, grant dates, the numbers and types of stock awards to be granted, the applicable fair market value and exercise price, and the provisions of each stock award, including the period of exercisability and the vesting schedule applicable to a stock award, subject to the limitations of the 2023 Plan.
Under the 2023 Plan, the NKGen Board also generally has the authority to effect, without the approval of stockholders but with the consent of any materially adversely affected participant, (1) the reduction of the exercise, purchase, or strike price of any outstanding option or stock appreciation right; (2) the cancellation of any outstanding option or stock appreciation right and the grant in substitution therefore of other awards, cash, or other consideration; or (3) any other action that is treated as a repricing under generally accepted accounting principles.
Stock Options.   ISOs and NSOs are granted under stock option agreements approved by the plan administrator. The plan administrator determines the exercise price for stock options, within the terms and conditions of the 2023 Plan, provided that the exercise price of a stock option cannot be less than 100% of the fair market value of a share of NKGen common stock on the date of grant. Options granted under the 2023 Plan vest at the rate specified in the stock option agreement as determined by the plan administrator.
The plan administrator determines the term of stock options granted under the 2023 Plan, up to a maximum of 10 years. Unless the terms of a participant’s stock option agreement provide otherwise or as otherwise provided by the plan administrator, if a participant’s service relationship with NKGen or any of NKGen’s affiliates ceases for any reason other than disability, death, or cause, the participant may generally exercise any vested options for a period of three months following the cessation of service. This period may be extended in the event that exercise of the option is prohibited by applicable securities laws. Unless
 
160

TABLE OF CONTENTS
 
the terms of a participant’s stock option agreement provide otherwise or as otherwise provided by the plan administrator, if a participant’s service relationship with NKGen or any of NKGen’s affiliates ceases due to death, or a participant dies within a certain period following cessation of service, the participant or a beneficiary of the participant may generally exercise any vested options for a period of 18 months following the date of death. Unless the terms of a participant’s stock option agreement provide otherwise or as otherwise provided by the plan administrator, if a participant’s service relationship with NKGen or any of NKGen’s affiliates ceases due to disability, the participant may generally exercise any vested options for a period of 12 months following the cessation of service. In the event of a termination for cause, options generally terminate upon the termination date. In no event may an option be exercised beyond the expiration of its term.
The plan administrator will determine the manner of payment of the exercise of a stock option, which may include (1) cash, check, bank draft or money order, (2) a broker-assisted cashless exercise, (3) the tender of shares of NKGen common stock previously owned by the participant, (4) a net exercise of the option if it is an NSO or (5) other legal consideration approved by the plan administrator.
Tax Limitations on ISOs.   The aggregate fair market value, determined at the time of grant, of NKGen common stock with respect to ISOs that are exercisable for the first time by an award holder during any calendar year under all of NKGen’s stock plans may not exceed $100,000. Options or portions thereof that exceed such limit will generally be treated as NSOs. No ISO may be granted to any person who, at the time of the grant, owns or is deemed to own stock possessing more than 10% of NKGen’s total combined voting power or that of any of NKGen’s parent or subsidiary corporations unless (1) the option exercise price is at least 110% of the fair market value of the stock subject to the option on the date of grant and (2) the term of the ISO does not exceed five years from the date of grant.
Restricted Stock Unit Awards.   Restricted stock unit awards are granted under restricted stock unit award agreements approved by the plan administrator. Restricted stock unit awards may be granted in consideration for any form of legal consideration that may be acceptable to the plan administrator and permissible under applicable law. The plan administrator determines the terms and conditions of restricted stock unit awards, including vesting and forfeiture terms, as well as the manner of settlement, which may be by cash, delivery of shares of NKGen common stock, a combination of cash and shares of NKGen common stock, or in any other form of consideration set forth in the restricted stock unit award agreement. Additionally, dividend equivalents may be credited in respect of shares covered by a restricted stock unit award. Except as otherwise provided in the applicable award agreement or by the plan administrator, restricted stock unit awards that have not vested will be forfeited once the participant’s continuous service ends for any reason.
Restricted Stock Awards.   Restricted stock awards are granted under restricted stock award agreements approved by the plan administrator. A restricted stock award may be awarded in consideration for cash, check, bank draft or money order, services to us, or any other form of legal consideration that may be acceptable to the plan administrator and permissible under applicable law. The plan administrator determines the terms and conditions of restricted stock awards, including vesting and forfeiture terms. If a participant’s service relationship with NKGen ends for any reason, NKGen may reacquire any or all of the shares of NKGen common stock held by the participant that have not vested as of the date the participant terminates service with NKGen common stock through a forfeiture condition or a repurchase right.
Stock Appreciation Rights.   Stock appreciation rights are granted under stock appreciation right agreements approved by the plan administrator. The plan administrator determines the strike price for a stock appreciation right, which cannot be less than 100% of the fair market value of NKGen common stock on the date of grant. A stock appreciation right granted under the 2023 Plan vests at the rate specified in the stock appreciation right agreement as determined by the plan administrator. Stock appreciation rights may be settled in cash or shares of NKGen Common Stock or in any other form of payment, as determined by the plan administrator and specified in the stock appreciation right agreement.
The plan administrator determines the term of stock appreciation rights granted under the 2023 Plan, up to a maximum of 10 years. Unless the terms of a participant’s stock appreciation rights agreement provide otherwise or as otherwise provided by the plan administrator, if a participant’s service relationship with NKGen or any of its affiliates ceases for any reason other than cause, disability, or death, the participant
 
161

TABLE OF CONTENTS
 
may generally exercise any vested stock appreciation right for a period of three months following the cessation of service. This period may be further extended in the event that exercise of the stock appreciation right following such a termination of service is prohibited by applicable securities laws. Unless the terms of a participant’s stock appreciation rights agreement provide otherwise or as otherwise provided by the plan administrator, if a participant’s service relationship with NKGen or any of its affiliates ceases due to disability or death, or a participant dies within a certain period following cessation of service, the participant or a beneficiary may generally exercise any vested stock appreciation right for a period of 12 months in the event of disability and 18 months in the event of death. In the event of a termination for cause, stock appreciation rights generally terminate immediately upon the occurrence of the event giving rise to the termination of the individual for cause. In no event may a stock appreciation right be exercised beyond the expiration of its term.
Performance Awards.   The 2023 Plan permits the plan administrator to grant performance awards, which may be settled in stock, cash or other property. Performance awards may be structured so that the stock, cash or a combination of stock and cash will be issued or paid only following the achievement of certain pre-established performance goals during a designated performance period as determined by the plan administrator. Performance awards that are settled in cash or other property are not required to be valued in whole or in part by reference to, or otherwise based on, NKGen common stock.
Other Stock Awards.   The plan administrator may grant other awards based in whole or in part by reference to NKGen Common Stock. The plan administrator will set the number of shares under the stock award (or cash equivalent) and all other terms and conditions of such awards.
Changes to Capital Structure.   In the event there is a specified type of change in the capital structure of NKGen, such as a stock split, reverse stock split, or recapitalization, appropriate adjustments will be made to (1) the class and maximum number of shares reserved for issuance under the 2023 Plan, (2) the class of shares by which the share reserve may increase automatically each year, (3) the class and maximum number of shares that may be issued on the exercise of ISOs (4) the class and number of shares and exercise price, strike price, or purchase price, if applicable, of all outstanding stock awards, and (5) the performance goals of any award if the change in the capital structure affects such goals.
Corporate Transactions.   The following applies to stock awards under the 2023 Plan in the event of a Corporate Transaction (as defined in the 2023 Plan), unless otherwise provided in a participant’s stock award agreement or other written agreement with NKGen or one of its affiliates.
In the event of a Corporate Transaction, stock awards outstanding under the 2023 Plan may be assumed or continued, or substitute awards may be issued, by any surviving or acquiring corporation (or its parent company), and any reacquisition or repurchase rights held by NKGen with respect to the stock award may be assigned to NKGen’s successor (or its parent company). If the surviving or acquiring corporation (or its parent company) does not assume, continue or issue substitute awards for such stock awards, then (i) with respect to any such stock awards that are held by participants whose continuous service has not terminated prior to the effective time of the Corporate Transaction, or current participants, the vesting (and exercisability, if applicable) of such stock awards will be accelerated in full (or, in the case of performance awards with multiple vesting levels depending on the level of performance, vesting will accelerate at 100% of the target level unless otherwise provided in the award agreement) to a date prior to the effective time of the Corporate Transaction (contingent upon the effectiveness of the Corporate Transaction), and such stock awards will terminate if not exercised (if applicable) at or prior to the effective time of the Corporate Transaction, and any reacquisition or repurchase rights held by NKGen with respect to such stock awards will lapse (contingent upon the effectiveness of the Corporate Transaction), and (ii) any such stock awards that are held by persons other than current participants will terminate if not exercised (if applicable) prior to the effective time of the Corporate Transaction, except that any reacquisition or repurchase rights held by NKGen with respect to such stock awards will not terminate and may continue to be exercised notwithstanding the Corporate Transaction.
In the event a stock award will terminate if not exercised prior to the effective time of a Corporate Transaction, the plan administrator may provide, in its sole discretion, that the holder of such stock award may not exercise such stock award but instead will receive a payment equal in value to the excess (if any) of (i) the value of the property the holder would have received upon the exercise of the award (including, at
 
162

TABLE OF CONTENTS
 
the discretion of the plan administrator, any unvested portion of such award), over (ii) any per share exercise price payable by such holder, if applicable, provided that the plan administrator may also determine that the payment to be made to such holder with respect to such award shall be made in the same form, at the same time and subject to the same conditions as the payments to be made to NKGen’s stockholders in connection with the Corporate Transaction to the extent permitted by Section 409A of the Code. If the amount so determined for any award is $0, then such award shall be automatically cancelled at the effective time for no consideration.
Change in Control.   Awards granted under the 2023 Plan may be subject to acceleration of vesting and exercisability upon or after a change in control (as defined in the 2023 Plan) as may be provided in the applicable stock award agreement or in any other written agreement between us or any affiliate and the participant, but in the absence of such provision, no such acceleration will automatically occur.
Transferability.   A participant may not transfer stock awards under the 2023 Plan other than by will, the laws of descent and distribution, or as otherwise provided under the 2023 Plan.
Recoupment.   Awards granted under the 2023 Plan are subject to recoupment in accordance with any clawback policy adopted by the NKGen Board.
Plan Amendment or Termination.   The NKGen Board has the authority to amend, suspend, or terminate the 2023 Plan at any time, provided that such action does not materially impair (within the meaning of the 2023 Plan) the existing rights of any participant without such participant’s written consent. Certain material amendments also require approval of the stockholders of NKGen. No ISOs may be granted after the tenth anniversary of the date that Graf’s Board adopts the 2023 Plan. No stock awards may be granted under the 2023 Plan while it is suspended or after it is terminated.
2023 ESPP
On September 29, 2023, NKGen Board adopted and our stockholders approved an employee stock purchase Plan (the “ESPP”) . The 2023 ESPP became effective immediately upon the Closing.
Share Reserve.   The maximum number of shares of NKGen common stock that may be issued under the ESPP will not exceed the number of shares of NKGen common stock equal to three percent (3%) of the Fully Diluted Common Stock (as defined in the ESPP) determined as of immediately following the closing of the Business Combination. This number is referred to herein as the “Initial Share Reserve”, subject to adjustment for specified changes in NKGen’s capitalization. Additionally, the number of shares of NKGen common stock reserved for issuance under the ESPP will automatically increase on January 1 of each year for a period of up to ten years, beginning on January 1, 2024 and continuing through and including January 1, 2033, by an amount equal to the lesser of (x) two percent (2%) of the total number of shares of the Fully Diluted Common Stock determined on December 31 of the preceding year, and (y) two hundred percent (200%) of the Initial Share Reserve. Notwithstanding the foregoing, the NKGen Board may act prior to January 1st of a given year to provide that the increase for such year will be a lesser number of shares. Shares issuable under the ESPP may be shares of authorized but unissued or reacquired NKGen common stock, including shares purchased by NKGen on the open market. Shares subject to purchase rights granted under the ESPP that terminate without having been exercised in full will not reduce the number of shares available for issuance under the ESPP.
Administration.   The NKGen Board, or a duly authorized committee thereof, will administer the ESPP.
Eligibility.   NKGen employees and the employees of any of its designated affiliates, will be eligible to participate in the ESPP, provided they may have to satisfy one or more of the following service requirements before participating in the ESPP, as determined by the administrator: (1) customary employment with NKGen or one of its affiliates for more than 20 hours per week and more than five months per calendar year or (2) continuous employment with NKGen or one of its affiliates for a minimum period of time, not to exceed two years, prior to the first date of an offering. In addition, the NKGen Board may also exclude from participation in the ESPP or any offering, employees who are “highly compensated employees” (within the meaning of Section 423(b)(4)(D) of the Code) or a subset of such highly compensated employees. All the 63 full-time employees and two part-time employees of NKGen and its related corporations (as of
 
163

TABLE OF CONTENTS
 
September 30, 2023) will be eligible to participate in the ESPP. An employee may not be granted rights to purchase stock under the 423 Component of the ESPP (a) if such employee immediately after the grant would own stock (including stock issuable upon exercise of all such employee’s purchase rights) possessing 5% or more of the total combined voting power or value of all classes of NKGen common stock or (b) to the extent that such rights would accrue at a rate that exceeds $25,000 worth of NKGen common stock for each calendar year that the rights remain outstanding. The NKGen Board may approve different eligibility rules for the Non 423 Component.
Offerings.   The 423 Component of the ESPP is intended to qualify as an employee stock purchase plan under Section 423 of the Code. The administrator may specify offerings under the 423 Component with a duration of not more than 27 months and may specify one or more shorter purchase periods within each offering. For the Non 423 Component, the administrator may specify offerings, and purchase periods within each offering, as determined by the administrator. Each offering will have one or more purchase dates on which shares of NKGen common stock will be purchased for the employees who are participating in the offering. The administrator, in its discretion, will determine the other terms of offerings under the ESPP. The administrator has the discretion to structure an offering so that if the fair market value of a share of NKGen common stock on any purchase date during the offering period is less than or equal to the fair market value of a share of New common stock on the first day of the offering period, then that offering will terminate immediately, and the participants in such terminated offering will be automatically enrolled in a new offering that begins immediately after such purchase date.
A participant may not transfer purchase rights under the ESPP other than by will, the laws of descent and distribution, or as otherwise provided under the ESPP.
Payroll Deductions.   The ESPP permits participants to purchase shares of NKGen common stock through payroll deductions, subject to such limitations as the administrator specifies. The administrator may limit a participant’s payroll deductions to a certain percentage or amount of pay, or by limiting the number of shares that may be purchased during the offering.
Purchase Price.   Unless otherwise determined by the administrator, the purchase price of the shares will be 85% of the lesser of the fair market value of NKGen common stock on the first day of an offering or on the applicable date of purchase.
Withdrawal.   Participants may withdraw from an offering by delivering a withdrawal form to NKGen and terminating their contributions. Such withdrawal may be elected at any time prior to the end of an offering, except as otherwise provided by the administrator. Upon such withdrawal, NKGen will distribute to the employee such employee’s accumulated but unused contributions without interest (unless otherwise required by law), and such employee’s right to participate in that offering will terminate. However, an employee’s withdrawal from an offering does not affect such employee’s eligibility to participate in any other offerings under the ESPP.
Termination of Employment.   A participant’s rights under any offering under the ESPP will terminate immediately if the participant either (i) is no longer employed by NKGen or any of its parent or subsidiary companies (subject to any post-employment participation period required by law) or (ii) is otherwise no longer eligible to participate. In such event, NKGen will distribute to the participant such participant’s accumulated but unused contributions, without interest (unless otherwise required by law).
Corporate Transactions.   In the event of certain specified significant corporate transactions, such as a merger or change in control, a successor corporation may assume, continue, or substitute each outstanding purchase right. If the successor corporation does not assume, continue, or substitute for the outstanding purchase rights, the offering in progress will be shortened and a new purchase date will be set. The participants’ purchase rights will be exercised on the new purchase date and such purchase rights will terminate immediately thereafter.
Amendment and Termination.   The NKGen Board has the authority to amend, suspend, or terminate the ESPP, at any time and for any reason, provided certain types of amendments will require the approval of the stockholders of NKGen. Any benefits, privileges, entitlements and obligations under any outstanding purchase rights granted before an amendment, suspension or termination of the ESPP will not be materially impaired by any such amendment, suspension or termination except (i) with the consent of the person to
 
164

TABLE OF CONTENTS
 
whom such purchase rights were granted, (ii) as necessary to facilitate compliance with any laws, listing requirements, or governmental regulations, or (iii) as necessary to obtain or maintain favorable tax, listing, or regulatory treatment. The ESPP will remain in effect until terminated by the NKGen Board in accordance with the terms of the ESPP.
Other Benefit Plans
We maintain the NKGen Retirement Savings 401(k) Plan (the “401(k) Plan”) for our U.S.-based employees, including the named executive officers, who satisfy certain eligibility requirements. The 401(k) Plan is intended to qualify as a tax-qualified plan under Section 401(k) of the Code. The named executive officers are eligible to participate in the 401(k) Plan on the same basis as our other employees. The Code allows eligible employees to contribute, on a pre-tax basis, a portion of their salary, within prescribed limits, through contributions to the 401(k) Plan. Contributions are allocated to each participant’s account and are then invested in selected investment alternatives according to each participant’s directions. We do not provide for a discretionary matching contribution.
Non-Employee Director Compensation
We did not have non-employee directors in 2022. Currently, we have three non-employee directors.
Emerging Growth Company Status
We are an “emerging growth company,” as defined in the JOBS Act. As an emerging growth company it is exempt from certain requirements related to executive compensation, including the requirements to hold a nonbinding advisory vote on executive compensation and to provide information relating to the ratio of total compensation of its chief executive officer to the median of the annual total compensation of all of its employees, each as required by the Investor Protection and Securities Reform Act of 2010, which is part of the Dodd-Frank Wall Street Reform and Consumer Protection Act.
 
165

TABLE OF CONTENTS
 
CERTAIN RELATIONSHIPS AND RELATED PARTY TRANSACTIONS
Graf Related Party Transactions
Founder Shares
In connection with Graf’s formation, on February 13, 2021, Graf LLC paid an aggregate of $25,000 for certain expenses on Graf’s behalf in exchange for issuance of 4,312,500 Founder Shares. On April 2, 2021, Graf LLC transferred all of its Founder Shares to the Sponsor. On April 8, 2021, the Sponsor transferred 20,000 Founder Shares to each of Graf’s independent director nominees, resulting in the Sponsor holding 4,252,500 Founder Shares. The holders of the Founder Shares agreed to forfeit up to an aggregate of 562,500 Founder Shares, on a pro rata basis, to the extent that the option to purchase additional units was not exercised in full by the underwriters, so that the Founder Shares would represent 20% of Graf’s issued and outstanding shares after the Graf IPO. The underwriters partially exercised their over-allotment option on June 2, 2021 and forfeited the remaining option; and, as a result, an aggregate of 22,125 Founder Shares were forfeited, resulting in 4,290,375 Founder Shares outstanding. On July 14, 2021, in connection with the appointment of Alexandra Lebenthal to the Graf Board, the Sponsor transferred 20,000 Founder Shares to Ms. Lebenthal. In connection with the Closing, an aggregate of 1,173,631 Founder Shares were forfeited by the Sponsor to NKGen, resulting in an aggregate of 2,436,744 Founder Shares held by the Sponsor and 80,000 Founder Shares held by Graf’s directors. See “— Sponsor Support and Lockup Agreement” below for more details. Upon closing of the Business Combination, the then outstanding Founder Shares converted into 2,436,744 shares of NKGen common stock held by the Sponsor and 80,000 shares of NKGen common stock held by Graf’s directors.
Private Warrants
Simultaneously with the closing of the Graf IPO, Graf consummated the private placement of 4,433,333 Private Warrants at a price of $1.50 per Warrant to the Sponsor, generating proceeds of approximately $6.7 million. Graf consummated the second closing of the private placement on June 2, 2021 simultaneously with the closing of the over-allotment, resulting in the sale of an additional 288,200 Private Warrants, generating additional gross proceeds of approximately $432,000. The Private Warrants are identical to the Public Warrants included in the Units sold in the Graf IPO, except that, so long as they are held by their initial purchasers or their permitted transferees, (i) they will not be redeemable by Graf, (ii) they (including the shares of common stock issuable upon exercise of these Private Placement Warrants) may not, subject to certain limited exceptions, be transferred, assigned or sold until 30 days after Graf completes its initial business combination, (iii) they may be exercised by the holders on a cashless basis and (iv) they will be entitled to registration rights.
Graf Related Party Loans
On January 29, 2021, the Sponsor agreed to loan Graf up to $150,000 to be used for the payment of costs related to the Graf IPO pursuant to the Sponsor Note. The Sponsor Note was non-interest bearing, unsecured and due upon the consummation of the Graf IPO. Graf had borrowed approximately $70,000 under the Sponsor Note. The Sponsor Note was repaid in full on May 26, 2021. Subsequent to the repayment, the facility was no longer available to Graf.
In connection with the First Extension and advances the Sponsor may make in the future to Graf for working capital expenses, on May 15, 2023, Graf issued a Working Capital Note to the Sponsor with a principal amount up to $1,500,000. The Working Capital Note bears no interest and is repayable in full upon the earlier of (a) the date of the consummation of Graf’s initial business combination, or (b) the date of Graf’s liquidation. If Graf does not consummate an initial business combination by the Liquidation Date, as may be extended, the Working Capital Note will be repaid only from funds held outside of the Trust Account or will be forfeited, eliminated or otherwise forgiven. Subject to the terms and conditions of the Merger Agreement, upon maturity, the outstanding principal of the Graf Working Capital Note may be converted into Working Capital Warrants, at a price of $1.50 per warrant, at the option of the Sponsor. Such Working Capital Warrants will have terms identical to the Private Warrants. Any drawdowns in connection with the Working Capital Note are subject to unanimous written consent of the Graf Board and the consent
 
166

TABLE OF CONTENTS
 
of the Sponsor. In no event shall the quantity of warrants issued exceed one million (1,000,000) warrants. At the Closing, the then outstanding principal amount under the Working Capital Note converted into 523,140 Working Capital Warrants of NKGen.
In addition, in order to finance transaction costs in connection with an initial business combination, the Sponsor or an affiliate of the Sponsor or any of Graf’s officers or directors may, but are not obligated to, loan Graf funds, from time to time or at any time, in whatever amount they deem reasonable in their sole discretion. Each loan would be evidenced by a promissory note. The notes would either be paid upon consummation of the initial business combination, without interest, or converted into Warrants at the option of the holder. In the event that the initial business combination does not close, Graf may use a portion of the working capital held outside the Trust Account to repay such loaned amounts but no proceeds from the Trust Account would be used for such repayment. Up to $1,500,000 of such working capital loans may be convertible into additional warrants at a price of $1.50 per warrant at the option of the lender. The warrants would be identical to the Private Warrants. Except for the foregoing, the terms of such working capital loans, if any, have not been determined and no written agreements exist with respect to such loans.
Administrative Services Agreement
On May 20, 2021, Graf entered into an agreement that provided that, commencing on the date that Graf’s securities were first listed on the NYSE through the earlier of consummation of the initial Business Combination and the liquidation, Graf agreed to pay G-SPAC Management LLC, an affiliate of the Sponsor, $15,000 per month for office space, utilities, secretarial, administrative and support services provided to Graf and members of the management team. As of September 30, 2023 and December 31, 2022, there was no outstanding balance on the unaudited condensed consolidated balance sheets for these expenses.
In addition, the Sponsor, officers and directors, or any of their respective affiliates will be reimbursed for any out-of-pocket expenses incurred in connection with activities on Graf’s behalf such as identifying potential target businesses and performing due diligence on suitable business combinations. The audit committee will review on a quarterly basis all payments that were made by Graf to the Sponsor, officers or directors, or their affiliates. Any such payments prior to an initial business combination will be made from funds held outside the Trust Account.
Sponsor Support and Lockup Agreement
In connection with the execution of the Merger Agreement, Graf entered into a sponsor support and lockup agreement (the “Sponsor Support Agreement”) with the Sponsor, Legacy NKGen and certain of Graf’s directors and officers. Pursuant to the Sponsor Support Agreement, the Sponsor and Graf’s directors and officers (the “Sponsor Holders”), among other things, agreed to vote all of their shares of capital stock (and any securities convertible or exercisable into capital stock) in favor of the approval of the Business Combination. In addition, the Sponsor Support Agreement provides that 2,947,262 of the shares of NKGen common stock held by the Sponsor immediately after the Closing Date (such shares, the “Sponsor Earnout Shares”) became subject to potential forfeiture if certain triggering events are not achieved prior to the fifth anniversary of the Closing Date (the “Earnout Period”). Pursuant to the Sponsor Support Agreement, (i) 1,473,631 of the shares of NKGen common stock held by the Sponsor Holders will only vest if, during the Earnout Period, the volume weighted average price of NKGen common stock equals or exceeds $14.00 for any twenty trading days within a period of thirty consecutive trading days (“Tranche III Founder Shares”) and (ii) 1,473,631 of the shares of NKGen common stock held by the Sponsor Holders will only vest if, during the Earnout Period (the “Tranche IV Founder Shares” and together with the Tranche III Founder Shares, the “Sponsor Earnout Shares”), the volume weighted average price of NKGen common stock equals or exceeds $16.00 for any twenty trading days within a period of thirty consecutive trading days. Any such shares held by the Sponsor Holders that remain unvested after the Earnout Period will be forfeited and cancelled for no consideration. Additionally, if there was a sale during the Earnout Period, such that such third party acquiror offered $14.00 or more to each holder of NKGen common stock, the Tranche III Founder Shares would be deemed vested and if such third party acquiror offered $16.00 or more to each holder of NKGen common stock, the Tranche IV Founder Shares would be deemed vested. The Sponsor also agreed (i) with respect to 631,557 shares of the common stock held by it (which are not the Sponsor Earnout Shares), to lockup such shares for a period from the Closing Date until the earliest of
 
167

TABLE OF CONTENTS
 
(A) 12 months after the Closing and (B) the volume weighted average price of the common stock equals or exceeds $14.00 per share (as adjusted for share splits, share dividends, reorganizations and recapitalizations) for any 20 trading days in a 30 consecutive trading day period starting after 180 days following the Closing (“Tranche I Founder Shares”) and (ii) with respect to an additional 631,556 shares of the common stock held by it (which are not the Sponsor Earnout Shares) (“Tranche II Founder Shares”), to lockup such shares for a period from the Closing Date until the earliest of (A) 24 months after the Closing and (B) the volume weighted average price of the common stock equals or exceeds $14.00 per share (as adjusted for share splits, share dividends, reorganizations and recapitalizations) for any 20 trading days in a 30 consecutive trading day period starting after 12 months following the Closing and (ii) with respect to the Sponsor Earnout Shares, to lockup such shares until their applicable vesting and to the extent that such shares become fully vested, a lock-up period until 30 days following the date upon which such shares become fully vested.
On September 21, 2023, Graf, the Sponsor, Legacy NKGen and certain directors of Graf entered into an amended and restated Sponsor Support and Lockup Agreement to clarify that, in the event there is a sale of the post-Business Combination company, then immediately prior to the consummation of such sale, the calculated Acquiror Sale Price (as defined in the A&R Sponsor Support Agreement) will take into account the number of Sponsor Earnout Shares that will vest upon a change in control.
On September 28, 2023, Graf, the Sponsor, Legacy NKGen and certain directors of Graf entered into a second amended and restated Sponsor Support and Lockup Agreement, pursuant to which the Sponsor agreed to forfeit 600,000 shares of the Tranche III Founder Shares at the Closing for no consideration, reducing to 873,631 shares of NKGen common stock, and forfeited 873,631 shares of the Tranche IV Founder Shares at the Closing for no Consideration and increased the volume weighted average price threshold for the vesting of Tranche IV Founder Shares from $16.00 to $20.00 per share.
On September 29, 2023, Graf, the Sponsor, Legacy NKGen and certain directors of Graf entered into a third amended and restated Sponsor Support and Lockup Agreement, pursuant to which the Sponsor agreed to forfeit an additional 300,000 shares of the Tranche IV Founder Shares at the Closing for no consideration.
NKGen Related Party Transactions
Other than the compensation arrangements for our directors and executive officers, which are described in the section of this prospectus entitled “Executive and Director Compensation”, below is a description of transactions since January 1, 2021 to which we were a party or will be a party, in which:

the amounts involved exceeded or will exceed $120,000 or 1% of our average total assets at year-end for the last two completed fiscal years; and

any of our directors, executive officers or holders of more than 5% of our capital stock, or any member of the immediate family of, or person sharing the household with, the foregoing persons, had or will have a direct or indirect material interest.
Related Party Loan
On September 5, 2023, we issued an unsecured promissory note in the principal amount of $300,000 to Lisa J. Ling (the “September 2023 Promissory Noteholder”), an immediate family member of NKGen’s chief executive officer, Paul Y. Song (the “September 2023 Promissory Note”). We borrowed the full principal amount of the September 2023 Promissory Note to cover its operational and business expenses. The September 2023 Promissory Note carried an interest rate of 5.12% per annum and. As of the date of this prospectus, 2023, all outstanding amounts under the September 2023 Promissory Note has been fully repaid.
Convertible Note Financings
Legacy NKGen sold convertible promissory notes with an aggregate principal amount of $375,000 to Mary Ling, who is the mother-in-law of our Chief Executive Officer, Paul Y. Song, in November 2019 and May 2023, respectively. The total amount owed to Mary Ling as of September 29, 2023 were approximately $0.4 million, which converted into an aggregate of 48,250 shares of NKGen common stock held by Mary Ling at the Closing.
 
168

TABLE OF CONTENTS
 
Securities Purchase Agreement
On September 15, 2023, we entered into the Securities Purchase Agreement in connection with the issuance of the Senior Convertible Notes and the SPA Warrants to NKMAX. See “Management’s Discussion and Analysis of Financial Condition and Results of Operations — Liquidity and Capital Resources — Sources of Liquidity — Securities Purchase Agreement” for more details.
Loan Agreements
NKMAX Loan Agreements
Between August 2019 and December 2022, NKGen entered into multiple loan agreements with NKMAX, its parent company, in an aggregate principal amount of $62.0 million. The loan agreements accrued interest at an annual rate of 4.6%. On December 20, 2022, NKGen and NKMAX entered into a Loan Conversion Agreement. Pursuant to the Loan Conversion Agreement, NKGen issued 17,002,230 shares of its common stock in full satisfaction of the obligations owed by NKGen under the loan agreements, which was approximately $66.1 million of principal and accrued but unpaid interest.
2023 NKMAX Loan Agreements
From January through April 2023, NKGen entered into additional loan agreements with NKMAX for aggregate gross proceeds of $5.0 million. The terms of the loans included a 4.6% interest rate and a maturity date of December 31, 2024.
Consulting Agreements
On December 15, 2021, we entered into a consulting agreement with Paul Song, M.D. (the “Song Consulting Agreement”). Pursuant to the Song Consulting Agreement, Dr. Song was compensated for his professional clinical program advisory services. During the term of the Song Consulting Agreement, Dr. Song was paid a monthly retainer of $30,000 and a one-time upfront payment of $25,000. The Song Consulting Agreement was terminated effective December 28, 2022 in connection with Dr. Song’s hiring by NKGen as its Chief Executive Officer and full-time employee. For a description of Dr. Song’s compensation and employment agreement, see the section titled “Executive and Director Compensation — Executive Employment Agreements and Other Arrangements.
NKMAX Intercompany License
On February 12, 2023, we and NKMAX entered into the Intercompany License, which has been amended in October 2021, April 2023 and August 2023. For a description of the Intercompany License, see the section titled “Business — Licensing Agreements — NKMAX License.”
ATGen Canada Services
Between January 2021 and December 2022, ATGen Canada, Inc., a subsidiary of NKMAX and sister company to NKGen (“ATGen Canada”), provided us with various services relating to NK Vue, NKMAX’s proprietary blood test for the measurement of immune function, including strategic guidance, training, and commercial readiness activities (the “ATGen Services”). In 2021 and 2022, we paid ATGen Canada $158,900 and $68,264, respectively, for the ATGen Services. We are not party to any contract with ATGen Canada, and have no ongoing obligation to ATGen Services.
NKGen Support Agreements
In connection with the execution of the Merger Agreement, certain of Legacy NKGen’s stockholders entered into support agreements (collectively, the “NKGen Support Agreements”) with Graf and Legacy NKGen, pursuant to which the such Legacy NKGen stockholders each agreed, among other things, to (i) consent to, and vote to approve and adopt, the Merger Agreement and the Business Combination, subject to certain customary exceptions, (ii) waive any dissenters’ or approval rights under applicable law in
 
169

TABLE OF CONTENTS
 
connection with the Business Combination, and (iii) not transfer, subject to certain permitted exceptions, any of such stockholders’ shares of NKGen capital stock prior to the Closing Date.
Lock-up Agreement
In connection with the Business Combination, Graf, the Sponsor and certain stockholders of Legacy NKGen entered into lockup agreements pursuant to which such stockholders agreed, subject to certain exceptions, to not transfer any shares of NKGen common stock held by them for a period of 180 days after the Closing. Notwithstanding the foregoing, the lockup with respect to the Lockup Shares held by NKMAX and Sponsor and their respective permitted transferees will end (i) with respect to 50% of their Lockup Shares, the earlier of (x) the date that is 12 months after the Closing Date and (y) the occurrence of the First Early Release Event and (ii) with respect to the remaining 50% of their Lockup Shares, the earlier of (x) the date that is 24 months after the Closing Date and (y) the occurrence of the Second Early Release Event, provided that with respect to NKMAX, such lockup shares shall not apply to any shares of NKGen common stock that may be issued to NKMAX upon conversion of the Senior Convertible Notes or pursuant to exercise of the SPA Warrants held by NKMAX. The Sponsor and its members are subject to a lockup on substantially similar terms pursuant to the terms of a letter Agreement with Graf, dated May 20, 2021.
On September 20, 2023, Graf waived the requirement that certain Legacy NKGen stockholders holding 5% or more of the shares of Legacy NKGen common stock on a fully-diluted basis as of the date of the Merger Agreement (other than NKMAX and certain NKGen directors and officers) enter into the lockup agreements. The waiver effectively released an aggregate of approximately 1,448,304 of the shares of NKGen common stock held by such Legacy NKGen stockholders, which became not subject to lockup restrictions.
Compensation Arrangements and Stock Option Grants for Executive Officers and Directors
We have employment arrangements with our named executive officers. For a description of these agreements, see the section titled “Executive and Director Compensation — Executive Employment Agreements and Other Arrangements.”
We have granted stock options to its executive officers and directors. For a description of certain of these equity awards, see “Executive and Director Compensation — Outstanding Equity Awards as of December 31, 2022.” In addition, the following table provides information regarding outstanding stock options issued to our officers and directors following December 31, 2022.
Option Awards(1)
Name
Grant date
Number of
securities
underlying
unexercised
options (#)
exercisable
Number of
securities
underlying
unexercised
options (#)
unexercisable
Option
exercise
price
($)
Option
expiration
date
Sangwoo Park
2/3/2023 1,800,830(2) 2.72 2/3/2033
Paul Y. Song, M.D.
1/17/2023 205,000(3) 2.72 1/17/2033
Paul Y. Song, M.D.
2/3/2023 963,046(4) 2.72 2/3/2033
Pierre Gagnon
2/3/2023 368,461(5) 2.72 2/3/2033
Yong Man Kim
2/3/2023 326,761(6) 2.72 2/3/2033
(1)
All stock options were granted under the NKGen Biotech, Inc. 2019 Plan, as described in more detail under “Executive and Director Compensation — Equity Incentive and Other Compensation Plans”. All of the stock options were granted with a per share exercise price equal to the fair value of one share of our common stock on the date of grant, as determined in good faith by the NKGen Board.
 
170

TABLE OF CONTENTS
 
(2)
On February 3, 2023, Mr. Park was granted an option to purchase 1,800,830 shares of common stock, with 25% of the shares vesting on the one-year anniversary of the grant date and the remaining 75% vesting in equal monthly installments over the following 36-mointh period.
(3)
On January 17, 2023, Dr. Song was granted an option to purchase 205,000 shares of common stock, with 25% of the shares vesting on December 28, 2023 and the remaining 75% vesting in equal monthly installments over the following 36-month period.
(4)
On February 3, 2023, Dr. Song was granted an option to purchase 963,046 shares of common stock, with 25% of the shares vesting on the one-year anniversary of the grant date and the remaining 75% vesting in equal monthly installments over the following 36-mointh period.
(5)
On February 3, 2023, Mr. Gagnon was granted an option to purchase 368,461 shares of common stock, with 25% of the shares vesting on the one-year anniversary of the grant date and the remaining 75% vesting in equal monthly installments over the following 36-mointh period.
(6)
On February 3, 2023, Dr. Kim was granted an option to purchase 326,761 shares of common stock, with 25% of the shares vesting on the one-year anniversary of the grant date and the remaining 75% vesting in equal monthly installments over the following 36-mointh period.
Indemnification Agreements
Our Charter provides that we will indemnify our directors and officers to the fullest extent permitted by Delaware law, subject to certain exceptions contained in our proposed constitution.
We also entered into indemnification agreements with each of its directors and executive officers. The indemnification agreements provide the indemnitees with contractual rights to indemnification, and expense advancement and reimbursement, to the fullest extent permitted under Delaware law, subject to certain exceptions contained in those agreements.
Related Person Transaction Policy
Upon the consummation of the Business Combination, the NKGen Board adopted a written related person transactions policy that sets forth our policies and procedures regarding the identification, review, consideration and oversight of “related person transactions.” For purposes of our policy only, a “related person transaction” will be considered a transaction, arrangement or relationship (or any series of similar transactions, arrangements or relationships) in which we or any of our subsidiaries are participants involving an amount that exceeds $120,000 or 1% of our total assets at the end of the applicable fiscal year, in which any “related person” has a material interest.
Transactions involving compensation for services provided to us as an employee, consultant or director will not be considered related person transactions under this policy. A related person is any executive officer, director, nominee to become a director or a holder of more than 5% of any class of our voting securities (including NKGen common stock), including any of their immediate family members and affiliates, including entities owned or controlled by such persons.
Under the policy, the related person in question or, in the case of transactions with an entity holding more than 5% of any class of our voting securities, an officer with knowledge of a proposed transaction, must present information regarding the proposed related person transaction to our audit committee (or, where review by our audit committee would be inappropriate, to another independent body of the NKGen Board) for review. To identify related person transactions in advance, we will rely on information supplied by our executive officers, directors and certain significant stockholders. In considering related person transactions, our audit committee will take into account the relevant available facts and circumstances, which may include, but are not limited to:

the risks, costs, and benefits to us;

the impact on a director’s independence in the event the related person is a director, immediate family member of a director or an entity with which a director is affiliated;
 
171

TABLE OF CONTENTS
 

the terms of the transaction;

the availability of other sources for comparable services or products; and

the terms available to or from, as the case may be, unrelated third parties.
Our audit committee will approve only those transactions that it determines are fair and in our best interests. All of the transactions described above were entered into prior to the adoption of such policy.
 
172

TABLE OF CONTENTS
 
PRINCIPAL STOCKHOLDERS
Security Ownership of Certain Beneficial Owners and Management
The following table sets forth information known to the Company regarding the actual beneficial ownership of NKGen common stock as of December 15, 2023, after giving effect to the Closing, by:

each person known by the Company to be the beneficial owner of more than 5% of the Company’s outstanding shares NKGen common stock;

each of the Company’s executive officers and directors; and

all executive officers and directors of the Company as a group.
Beneficial ownership is determined in accordance with SEC rules, which generally provides that a person has beneficial ownership of a security if he, she or it possesses sole or shared voting or investment power with respect to the security. Under SEC rules, beneficial ownership includes securities that the individual or entity has the right to acquire, such as through exercise of stock options or warrants, within 60 days and are deemed to be outstanding and beneficially owned by the persons holding those options or warrants for the purpose of computing the number of shares beneficially owned and the percentage ownership of that person. They are not, however, deemed to be outstanding and beneficially owned for the purpose of computing the percentage ownership of any other person.
The beneficial ownership percentages set forth in the table below are based on 21,888,976 shares of NKGen common stock issued and outstanding as of December 15, 2023. Unless otherwise noted in the footnotes to the following table, and subject to applicable community property laws, the persons and entities named in the table have sole voting and investment power with respect to their beneficially owned NKGen common stock.
Name of Beneficial Owner(1)
Number of
Shares of
NKGen
common
stock
Beneficially
Owned
Percentage of
Outstanding
NKGen
Common
Stock
Directors and Executive Officers
Sangwoo Park(2)
12,869,756 53.09%
Paul Y. Song, M.D.(3)
342,286 1.55%
Kathleen Scott
*
Alana McNulty
*
Michael Klowden
*
James A. Graf(4)
7,689,577 28.33%
Yong Man Kim, Ph.D.(5)
28,384 *
Pierre Gagnon(6)
86,593 *
All executive officers and directors after the business combination as a group (8 individuals)
21,486,611 79.13%
Five Percent Holders
NKMAX Co., Ltd.(7)
12,150,612 50.80%
Graf Acquisition Partners IV LLC(8)
7,681,417 28.31%
Meteora Entities(9)
2,192,780 9.99%
Polar Multi-Strategy Master Fund(10)
2,309,541 9.99%
Sandia Entities(11)
1,470,999 6.43%
*
Less than 1%
 
173

TABLE OF CONTENTS
 
(1)
Unless otherwise noted, the business address of each of the following entities or individuals is c/o NKGen Biotech, Inc., 3001 Daimler Street, Santa Ana, California 92705.
(2)
Consists of (i) 397,378 shares of NKGen common stock held directly by Mr. Park, (ii) 321,766 shares of NKGen common stock issuable to Mr. Park pursuant to NKGen Options that are exercisable within 60 days, (iii) 10,120,612 shares of NKGen common stock held of record by NKMAX, (iv) 1,000,000 shares of NKGen common stock issuable pursuant to the exercise of the SPA Warrants held directly by NKMAX, and (v) up to approximately 1,030,000 shares of NKGen common stock issuable pursuant to the conversion of the Senior Convertible Notes held directly by NKMAX, calculated based on the principal amount of the Senior Convertible Notes, and all accrued and unpaid and yet to be accrued amounts of PIK interest under the Senior Convertible Notes within 60 days. Mr. Park is the chairman of NKMAX and therefore may be deemed to have voting and dispositive power with respect to the shares of NKGen common stock held by record by NKMAX, Mr. Park disclaims beneficial ownership over such securities except to the extent of his pecuniary interest therein. The business address of NKMAX is 1F/6F, SNUH Healthcare Innovation Park, 172, Dolma-ro, Bundang-gu, Seongnam-si, Gyeonggi-do, 13605, Republic of Korea.
(3)
Consists of (i) 170,305 shares of NKGen common stock held directly by Dr. Song, and (ii) 172,074 shares of NKGen common stock issuable pursuant to NKGen Options that are exercisable within 60 days.
(4)
Consists of (i) 2,436,744 shares of NKGen common stock directly held by Graf Acquisition Partners IV LLC (the “Sponsor”), (ii) 6,800 public shares of NKGen common stock held by Mr. Graf, (iii) 4,721,533 shares of NKGen common stock underlying 4,721,533 Private Warrants held directly by the Sponsor, (iv) 1,360 shares of NKGen common stock underlying 1,360 Public Warrants held directly by Mr. Graf, and (v) 523,140 shares of NKGen common stock underlying the 523,140 working capital warrants held directly by the Sponsor. James A. Graf, the managing member of the Sponsor and the Sponsor’s parent entity, has the sole voting and investment discretion with respect to the Founder Shares held by the Sponsor. Mr. Graf may be deemed to share voting and dispositive control over the shares held by the Sponsor. Mr. Graf disclaims beneficial ownership over such securities except to the extent of his pecuniary interest therein. The business address of the Sponsor and Mr. Graf is 1790 Hughes Landing Blvd., Suite 400, The Woodlands, TX 77380.
(5)
Consists of 28,384 shares of NKGen common stock held directly by Dr. Kim.
(6)
Consists of 86,593 shares of NKGen common stock issuable pursuant to NKGen Options that are exercisable within 60 days.
(7)
Consists of the shares in items (iii)  – (v) in Footnote (2) set forth above. NKMAX donated an aggregate of 2,500,000 shares of NKGen common stock to eight charitable organizations or entities, including Alzheimer’s Drug Discovery Foundation, Alzheimer’s Research and Prevention Foundation, American Brian Foundation, Korea AI Blockchain Convergence, Korean Brain Research Institute, Korean Institute of Economic and Social Studies, The Earthshine Charity Ltd, and The University of Chicago, for no consideration on December 13, 2023. Mr. Park is the chairman of NKMAX and therefore may be deemed to have voting and dispositive power with respect to the shares of NKGen common stock held by record by NKMAX. Mr. Park disclaims beneficial ownership over such securities except to the extent of his pecuniary interest therein. The business address of NKMAX is 1F/6F, SNUH Healthcare Innovation Park, 172, Dolma-ro, Bundang-gu, Seongnam-si, Gyeonggi-do, 13605, Republic of Korea.
(8)
Represents (i) 2,436,744 shares of NKGen common stock directly held by the Sponsor, (ii) 4,721,533 shares of NKGen common stock underlying 4,721,533 Private Warrants held directly by the Sponsor, and (iii) 523,140 shares of NKGen common stock underlying the 523,140 Working Capital Warrants held directly by the Sponsor. James A. Graf, the managing member of the Sponsor and the Sponsor’s parent entity, has the sole voting and investment discretion with respect to the Founder Shares held by the Sponsor. The business address of the Sponsor is 1790 Hughes Landing Blvd., Suite 400, The Woodlands, Texas 77380.
(9)
Represents (i) 795,453 shares of NKGen common stock held directly by Meteora Select Trading Opportunities Master, LP (“MSTO”), (ii) 1,078,586 shares of NKGen common stock held directly by Meteora Capital Partners, LP (“MCP”), (iii) 257,971 shares of NKGen common stock held directly by
 
174

TABLE OF CONTENTS
 
Meteora Strategic Capital, LLC (“MSC” and, together with MSTO and MCP, “Meteora Entities”) and (iv) 60,770 shares of NKGen common stock underlying 60,770 PIPE Warrants held by the Meteora Entities, which excludes 1,939,228 shares of NKGen common stock issuable on the exercise of the remaining 1,939,228 PIPE Warrants, due to a 9.99% ownership limitation in the PIPE Warrants that limits the exercise of such warrants by the Meteora Entities. Voting and investment power over the securities held by these entities resides with its investment manager, Meteora Capital, LLC. Mr. Vik Mittal serves as the managing member of Meteora Capital, LLC and may be deemed to be the beneficial owner of the securities held by such entities. Mr. Mittal disclaims any beneficial ownership over such securities except to the extent of his pecuniary interest therein. The business address of Meteora Entities is 1200 N Federal Hwy, Ste 200, Boca Raton, FL 33432.
(10)
Consists of (i) 1,080,000 shares of NKGen common stock held directly by Polar Multi-Strategy Master Fund (the “Polar Fund”), (ii) 60,000 shares of NKGen common stock underlying 60,000 public warrants held directly by the Polar Fund, and (iii) 1,169,541 shares of NKGen common stock underlying the 1,169,541 PIPE Warrants held directly by the Polar Fund, which excludes 80,549 shares of NKGen common stock issuable on the exercise of the remaining 80,549 PIPE Warrants, due to a 9.99% ownership limitation in the PIPE Warrants that limits the exercise of such warrants by the Polar Fund. The Polar Fund is under management by Polar Asset Management Partners Inc. (“PAMPI”). PAMPI serves as investment advisor of the Polar Fund and has control and discretion over the shares held by the Polar Fund. As such, PAMPI may be deemed to be the beneficial owner of the shares held by the Polar Fund. PAMPI disclaims any beneficial ownership of the reported shares other than to the extent of any pecuniary interest therein. The business address of Polar Multi-Strategy Master Fund is 16 York Street, Suite 2900, Toronto, Ontario M5J 0E6.
(11)
Consists of (i) an aggregate of 471,000 shares of NKGen common stock held directly by: (A) Diametric True Alpha Market Neutral Master Fund (50,008 shares); (B) Diametric True Alpha Enhanced Market Neutral Master Fund, LP (273,858 shares) and Pinebridge Partners Master Fund, LP (147,134 shares), and (ii) 999,999 shares of NKGen common stock underlying the 999,999 PIPE Warrants held directly by HF Fund LP. Voting and investment power over the securities held by the foregoing entities resides with Sandia Investment Management LP (“Sandia”). Sandia Investment Management LLC is the general partner of Sandia. Tim Sichler serves as founder and chief information officer of the general partner of Sandia, and in such capacity may be deemed to be the beneficial owner. Each of the parties to this footnote disclaims any beneficial ownership of the reported securities other than to the extent of any pecuniary interest the party may have therein. The business address of these entities and Mr. Sichler is 201 Washington Street, Boston, MA 02108.
 
175

TABLE OF CONTENTS
 
SELLING SECURITYHOLDERS
The selling securityholders may offer and sell, from time to time, any or all of the shares of common stock or warrants being offered for resale by this prospectus, which consists of:

up to 17,249,368 shares of common stock pursuant to the Amended and Restated Registration Rights Agreement (excluding shares of NKGen common stock underlying the Private Warrants and Working Capital Warrants);

up to 1,320,000 shares of NKGen common stock issuable upon the conversion of the Senior Convertible Notes issued pursuant to the Securities Purchase Agreement;

up to 1,000,000 shares of NKGen common stock issuable upon the exercise of the SPA Warrants issued pursuant to the Securities Purchase Agreement;

up to 10,209,994 shares of NKGen common stock issuable upon the exercise of the PIPE Warrants issued pursuant to the Warrant Subscription Agreements;

up to 1,080,000 shares of common stock issued pursuant to the Polar FPA Funding Subscription Agreement;

up to 4,721,533 shares of NKGen common stock issuable upon the exercise of the Private Warrants;

up to 523,140 shares of common stock issuable upon the exercise of Working Capital Warrants;

up to 4,721,533 Private Warrants;

up to 523,140 Working Capital Warrants; and

up to 1,360 Public Warrants held by Mr. Graf.
Certain of the selling securityholders listed below entered into agreements that restrict the transfer of the shares of our common stock that otherwise may be sold from time to time pursuant to the registration statement of which this prospectus forms part. See the section titled “Certain Relationships and Related Party Transactions — Lock-Up Agreement” for further discussion.
As used in this prospectus, the term “selling securityholders” includes the selling securityholders listed in the table below, together with any additional selling securityholders listed in a subsequent amendment to this prospectus, and their donees, pledgees, assignees, transferees, distributees and successors-in-interest that receive shares in any non-sale transfer after the date of this prospectus.
The following table provides, as of the date of this prospectus, information regarding the beneficial ownership of our common stock of each selling securityholder, the number of shares of common stock and the Warrants that may be sold by each selling securityholder under this prospectus and that each selling securityholder will beneficially own assuming all securities that may be offered pursuant to this prospectus are sold. Because each selling securityholder may dispose of all, none or some portion of their securities, no estimate can be given as to the number of securities that will be beneficially owned by a selling securityholder upon termination of this offering. For purposes of the table below, however, we have assumed that after termination of this offering none of the securities covered by this prospectus will be beneficially owned by the selling securityholders and further assumed that the selling securityholders will not acquire beneficial ownership of any additional securities during the offering. In addition, the selling securityholders may have sold, transferred or otherwise disposed of, or may sell, transfer or otherwise dispose of, at any time and from time to time, our securities in transactions exempt from the registration requirements of the Securities Act after the date on which the information in the table is presented.
Except as set forth in the footnotes below, (i) except as otherwise disclosed, the following table does not include the shares of NKGen common stock issuable upon exercise of the Public Warrants and (ii) unless otherwise indicated, the address of each selling securityholder is 3001 Daimler St, Santa Ana, California 92705.
Please see the section titled “Plan of Distribution” for further information regarding the stockholders’ method of distributing these shares.
 
176

TABLE OF CONTENTS
 
Shares of Common Stock
Warrants
Name of Selling Securityholder
Number
Beneficially
Owned
Prior to
Offering
Number
Registered
for Sale
Hereby
Number
Beneficially
Owned
After
Offering
Percent
Owned
After
Offering
Number
Beneficially
Owned
Prior to
Offering
Number
Registered
for Sale
Hereby
Number
Beneficially
Owned
After
Offering
Percent
Owned
After
Offering
Alexandra Lebenthal(1)
20,000 20,000
Alzheimer’s Drug Discovery Foundation(2)
550,000 550,000
Alzheimer’s Research and Prevention Foundation(3)
150,000 150,000
American Brain Foundation(4)
550,000 550,000
Anatolio B. Cruz III(5)
20,000 20,000
Edwin J. Rigaud(6)
20,000 20,000
Funicular Funds, LP(7)
999,999 999,999
Graf Acquisition Partners IV LLC(8)
7,681,417 7,681,417 5,244,673 5,244,673
Jeanne L. Manischewitz(9)
20,000 20,000
James A. Graf(10)
7,689,577 8,160 7,681,417 28.3% 5,246,033 1,360 5,244,673
Kepos Alpha Master Fund L.P.(11)
999,999 999,999
Korea AI Blockchain Convergence(12)
150,000 150,000
Korea Brain Research Institute(13)
175,000 175,000
Korean Institute of Economic and Social Studies(14)
100,000 100,000
Meteora Entities(15)
2,192,780 60,770 2,132,010 9.7%
Nautilus Master Fund, L.P.(16)
360,000 360,000
NKMAX Co., Ltd.(17)
12,150,612 2,320,000 9,650,612 39.9%
Paul Y. Song(18)
350,181 477,034
Pierre Gagnon(19)
89,533 161,834
Polar Multi-Strategy Master Fund(20)
2,330,000 2,330,000
Sandia Entities(21)
1,470,999 999,999 471,000 2.1%
Sangwoo Park(22)
15,372,123 735,467 12,148,879 49.4%
Sea Otter Trading, LLC(23)
600,000 600,000
Shaolin Funds(24)
999,999 999,999
The Earthshine Charity Ltd(25)
275,000 275,000
The University of Chicago(26)
550,000 550,000
Walleye Entities(27)
2,004,500 2,000,000 4,500
Yong Man Kim(28)
28,384 133,450
*
Represents less than 1%.
(1)
Consists of 20,000 shares of NKGen common stock held by Alexandra Lebenthal, who was a director of Graf until the Closing.
(2)
Consists of 550,000 shares of NKGen common stock held by Alzheimer’s Drug Discovery Foundation (“ADDF”). Karen Harris, as chief financial officer and head of mission related investing, has voting and/or dispositive power over the holdings of ADDF. The business address of ADDF is 57 West 57th Street, Suite 904, New York, NY 10019.
(3)
Consists of 150,000 shares of NKGen common stock held by Alzheimer’s Research and Prevention Foundation (“ARPF”). Kirti Kaur Khalsa, as chief executive officer, and Dharma Singh Khalsa, M.D., as president, have voting and/or dispositive power over the holdings of ARPF. The business address of ARPF is PO Box 30783, Tucson, AZ 85751.
 
177

TABLE OF CONTENTS
 
(4)
Consists of 550,00 shares of NKGen common stock held by American Brain Foundation (“ABF”). Jane Ransom, as executive director, has voting and/or dispositive power over the holdings of ABF. The business address of ABF is 201 Chicago Ave., Minneapolis, MN 55422.
(5)
Consists of 20,000 shares of NKGen common stock held by Anatolio B. Cruz III, who was a director of Graf until the Closing.
(6)
Consists of 20,000 shares of NKGen common stock held by Edwin J. Rigaud, who was a director of Graf until the Closing.
(7)
Consists of 999,999 shares of NKGen common stock issuable upon exercise of PIPE Warrants held by Funicular Funds, LP (“Funicular Funds”). Jacob Ma-Weaver has voting and dispositive power over securities held by Funicular Funds. Mr. Ma-Weaver disclaims any beneficial ownership of the securities held by Funicular Funds other than to the extent of his pecuniary interest therein. The business address of the foregoing entity and individual is 601 California Street, Suite 1151, San Francisco, CA 94108.
(8)
The number of shares of NKGen common stock consists of (i) 2,436,744 shares of NKGen common stock directly held by the Sponsor, (ii) 4,721,533 shares of NKGen common stock issuable upon the exercise of Private Warrants held by the Sponsor, and (iii) 523,140 shares of NKGen common stock issuable upon the exercise of Working Capital Warrants held by the Sponsor. The number of Warrants consists of (i) the 4,721,533 Private Warrants held by the Sponsor and (ii) 523,140 Working Capital Warrants held by the Sponsor. James A. Graf, our interim Chief Financial Officer and the chief executive officer of Graf from its inception to the Closing, is the managing member of the Sponsor and the Sponsor’s parent entity. The business address of the Sponsor and Mr. Graf is 1790 Hughes Landing Blvd., Suite 400, The Woodlands, TX 77380.
(9)
Consists of 20,000 shares of NKGen common stock held by Jeanne L. Manischewitz, who was director of Graf until the Closing.
(10)
The number of shares of NKGen common stock consists of (i) 2,436,744 shares of NKGen common stock held directly by the Sponsor, (ii) 6,800 shares of NKGen common stock held directly by Mr. Graf, (iii) 1,360 shares of NKGen common stock issuable upon exercise of the Public Warrants held by Mr. Graf. The number of Warrants consists of (i) 4,721,533 Private Warrants held by the Sponsor, (ii) 523,140 Working Capital Warrants held by the Sponsor, and (iii) 1,360 Public Warrants held by Mr. Graf, (iv) 4,721,533 shares of NKGen common stock issuable upon exercise of the Private Warrants held by the Sponsor and (v) 523,140 shares of NKGen common stock issuable upon exercise of the Working Capital Warrants held by the Sponsor. The (a) an aggregate of 7,681,477 shares of NKGen common stock, consisting of (i) the 2,436,744 shares of NKGen common stock held by the Sponsor and (ii) the 4,721,533 shares of NKGen common stock and 523,140 shares of NKGen common stock underlying the Private Warrants and the Working Capital Warrants held by the Sponsor, and (b) (i) 4,721,533 Private Warrants held by the Sponsor and (ii) 523,140 Working Capital Warrants held by the Sponsor are not reflected in Mr. Graf’s “Number Registered for Sale Hereby” figure under “Shares of Common Stock” and “Warrants” in the table, respectively, as they are reflected in the Sponsor’s row and described in footnote 5 above.
(11)
Consists of 999,999 shares of NKGen common stock issuable upon exercise of PIPE Warrants held by Kepos Alpha Master Fund L.P. (“Kepos Master Fund”). Kepos Capital LP is the investment manager of Kepos Master Fund and Kepos Partners LLC is the general partner of Kepos Master Fund, and each may be deemed to have voting and dispositive power with respect to the securities. The general partner of Kepos Capital LP is Kepos Capital GP LLC (“Kepos GP”) and the managing member of Kepos Partners LLC is Kepos Partners MM LLC (“Kepos MM”). Mark Carhart controls Kepos GP and Kepos MM and, accordingly, may be deemed to have voting and dispositive power with respect to the securities held by Kepos Master Fund. Mr. Carhart disclaims any beneficial ownership of the securities held by Kepos Master Fund other than to the extent of his pecuniary interest therein. The business address of these entities and Mr. Carhart is 11 Times Square, 35th Floor, New York, NY 10036.
(12)
Consists of 150,000 shares of NKGen common stock held by Korea AI Blockchain Convergence. Sang Hyuk Do, as secretary general, has voting and/or dispositive power over the holdings of Korea AI Blockchain Convergence. The business address of Korea AI Blockchain Convergence is 63, Seochojungang-ro, Seocho-gu, Seoul, 06651, Republic of Korea.
 
178

TABLE OF CONTENTS
 
(13)
Consists of 175,000 shares of NKGen common stock held by Korea Brain Research Institute (“KBRI”). Pann-Ghill Suh, as president, has voting and/or dispositive power over the holdings of KBRI. The business address of KBRI is 61, Cheomdan-ro, Dong-gu, Daegu, 41062, Republic of Korea.
(14)
Consists of 100,000 shares of NKGen common stock held by Korean Institute of Economic and Social Studies (“KIESS”). Youngsun Chang, as president and board member, has voting and/or dispositive power of the holdings of KIESS. The business address of KIESS is 5F, 10, Gukhoe-daero 74-gil, Yeongdeungpo-gu, Seoul, 07238, Republic of Korea.
(15)
Consists of (i) 795,453 shares of NKGen common stock held directly by Meteora Select Trading Opportunities Master, LP (“MSTO”), (ii) 1,078,586 shares of NKGen common stock held directly by Meteora Capital Partners, LP (“MCP”), (iii) 257,971 shares of NKGen common stock held directly by Meteora Strategic Capital, LLC (“MSC” and, together with MSTO and MCP, “Meteora Entities”) and (iv) 60,770 shares of NKGen common stock issuable upon the exercise of PIPE Warrants held by the Meteora Entities, which excludes 1,939,228 shares of NKGen common stock issuable on the exercise of the remaining PIPE Warrants, due to a 9.99% ownership limitation in the PIPE Warrants that limits the exercise of such warrants by the Meteora Entities. Voting and investment power over the securities held by these entities resides with its investment manager, Meteora Capital, LLC. Mr. Vik Mittal serves as the managing member of Meteora Capital, LLC and may be deemed to be the beneficial owner of the securities held by such entities. Mr. Mittal disclaims any beneficial ownership over such securities except to the extent of his pecuniary interest therein. The business address of Meteora Entities is 1200 N Federal Hwy, Ste 200, Boca Raton, FL 33432.
(16)
Consists of 360,000 shares of NKGen common stock issuable upon exercise of PIPE Warrants held by Nautilus Master Fund, L.P. (“Nautilus Fund”), excluding 26,800 shares of NKGen common stock issuable upon exercise of Public Warrants held by Nautilus Fund. Voting and investment power of the securities held by Nautilus Fund resides with its investment manager, Periscope Capital Inc. (“Periscope Capital”). Jamie Wise and Periscope Capital disclaim any beneficial ownership of the securities held by Nautilus Fund. The business address of the foregoing entities and individual is c/o 333 Bay Street, Suite 1240, Toronto, ON, M5H 2R2, Canada.
(17)
Consists of the shares in (i) 10,120,612 shares of NKGen common stock held by NKMAX, (ii) 1,000,000 shares of NKGen common stock issuable pursuant to the exercise of the SPA Warrants held by NKMAX, and (iii) up to 1,320,000 shares of NKGen common stock issuable pursuant to the conversion of the Senior Convertible Notes held directly by NKMAX, calculated based on the principal amount of the Senior Convertible Notes, and all accrued and unpaid and yet to be accrued amounts of PIK interest under the Senior Convertible Notes for the full term (approximately 1,030,000 of which is issuable within 60 days). Mr. Park is the chairman of NKMAX and therefore may be deemed to have voting and dispositive power with respect to the shares of NKGen common stock held by record by NKMAX. Mr. Park disclaims beneficial ownership over such securities except to the extent of his pecuniary interest therein. The business address of NKMAX is 1F/6F, SNUH Healthcare Innovation Park, 172, Dolma-ro, Bundang-gu, Seongnam-si, Gyeonggi-do, 13605, Republic of Korea.
(18)
Consists of (i) 170,305 shares of NKGen common stock held directly by Dr. Song, and (ii) 477,034 shares of NKGen common stock issuable upon exercise of NKGen Options (179,876 of which are exercisable within 60 days).
(19)
Consists of 161,834 shares of NKGen common stock issuable upon exercise of NKGen Options (89,533 of which are exercisable within 60 days).
(20)
Consists of (i) 1,080,000 shares of NKGen common stock held directly by Polar Multi-Strategy Master Fund (the “Polar Fund”), and (ii) 1,250,000 shares of NKGen common stock issuable upon the exercise of PIPE Warrants held directly by the Polar Fund. The Polar Fund is under management by Polar Asset Management Partners Inc. (“PAMPI”), excluding 60,000 shares of NKGen common stock issuable upon the exercise of Public Warrants held by Polar Fund. PAMPI serves as investment advisor of the Polar Fund and has control and discretion over the shares held by the Polar Fund. As such, PAMPI may be deemed to be the beneficial owner of the shares held by the Polar Fund. PAMPI disclaims any beneficial ownership of the reported shares other than to the extent of any pecuniary interest therein. The business address of the foregoing entities is 16 York Street, Suite 2900, Toronto, Ontario M5J 0E6.
 
179

TABLE OF CONTENTS
 
(21)
Consists of (i) 50,008 shares of NKGen common stock held by Diametric True Alpha Market Neutral Master Fund, (ii) 273,858 shares of NKGen common stock held by Diametric True Alpha Enhanced Market Neutral Master Fund, LP, (iii) 147,134 shares of NKGen common stock held by Pinebridge Partners Master Fund, LP, and (iv) 999,999 shares of NKGen common stock issuable upon the exercise of PIPE Warrants held by HF Fund LP. Voting and investment power over the securities held by the foregoing entities resides with Sandia Investment Management LP (“Sandia”). Sandia Investment Management LLC is the general partner of Sandia. Tim Sichler serves as founder and chief information officer of the general partner of Sandia, and in such capacity may be deemed to be the beneficial owner. Each of the parties to this footnote disclaims any beneficial ownership of the reported securities other than to the extent of any pecuniary interest the party may have therein. The business address of these entities and Mr. Sichler is 201 Washington Street, Boston, MA 02108.
(22)
Consists of the shares in (i) 10,120,612 shares of NKGen common stock held by NKMAX, (ii) 1,000,000 shares of NKGen common stock issuable pursuant to the exercise of the SPA Warrants held by NKMAX, (iii) up to 1,320,000 shares of NKGen common stock issuable pursuant to the conversion of the Senior Convertible Notes held directly by NKMAX, calculated based on the principal amount of the Senior Convertible Notes, and all accrued and unpaid and yet to be accrued amounts of PIK interest under the Senior Convertible Notes for the full term (approximately 1,030,000 of which is issuable within 60 days). Mr. Park is the chairman of NKMAX and therefore may be deemed to have voting and dispositive power with respect to the shares of NKGen common stock held by record by NKMAX, (iv) 397,378 shares of NKGen common stock held directly by Mr. Park, and (v) 735,467 shares of NKGen common stock issuable upon the exercise of NKGen Options held by Mr. Park (336,356 of which is issuable within 60 days). The (i) 1,000,000 shares of NKGen common stock issuable pursuant to the exercise of the SPA Warrants held by NKMAX and (ii) up to 1,320,000 shares of NKGen common stock issuable pursuant to the conversion of the Senior Convertible Notes held by NKMAX are not reflected in Mr. Park’s “Number Registered for Sale Hereby” figure in the table, as they are reflected in NKMAX’s row above. Mr. Park is the chairman of NKMAX and therefore may be deemed to have voting and dispositive power with respect to the shares of NKGen common stock held by record by NKMAX, Mr. Park disclaims beneficial ownership over such securities except to the extent of his pecuniary interest therein. The business address of NKMAX is 1F/6F, SNUH Healthcare Innovation Park, 172, Dolma-ro, Bundang-gu, Seongnam-si, Gyeonggi-do, 13605, Republic of Korea.
(23)
Consists of 600,000 shares of NKGen common stock issuable upon exercise of PIPE Warrants held by Sea Otter Trading, LLC. Sea Otter Advisors LLC is the advisor of Sea Otter Trading LLC and has investment and dispositive power over the securities held by these entities. Peter Smith and Nicholas Fahey are the Managing Members of Sea Otter Advisors, LLC and may be deemed to have voting and investment control with respect to the securities held by these entities. Each of the parties in this footnote disclaims any beneficial ownership of the reported securities other than to the extent of any pecuniary interest that the party may have therein. The business address of these entities is 107 Grand St., 7th Floor, New York, NY 10013.
(24)
Consists of (i) 401,001 shares of NKGen common stock issuable upon exercise of PIPE Warrants held by Shaolin Capital Partners Master Fund Ltd (“Shaolin Capital”), excluding 67,696 shares of NKGen common stock issuable upon exercise of Public Warrants held by Shaolin Capital; (ii) 195,999 shares of NKGen common stock issuable upon exercise of PIPE Warrants held by MAP 214 Segregated Portfolio, a segregated portfolio of LMA SPC (“MAP Portfolio”), excluding 29,792 shares of NKGen common stock issuable upon exercise of Public Warrants held by MAP Portfolio; (iii) 221,001 shares of NKGen common stock issuable upon exercise of PIPE Warrants held by DS Liquid DIV RVA SCM LLC (“DS LLC”), excluding 37,241 shares of NKGen common stock issuable upon exercise of Public Warrants held by DS LLC, and (iv) 181,998 shares of NKGen common stock issuable upon exercise of PIPE Warrants held by Shaolin Capital Partners SP, a segregated portfolio of PC MAP SPC (“Shaolin Capital Partners” and together with Shaolin Capital, MAP Portfolio and DS LLC, the “Shaolin Funds”), excluding 30,786 shares of NKGen common stock issuable upon exercise of Public Warrants held by Shaolin Capital Partners. Shaolin Capital Management LLC serves as the investment advisor to the Shaolin Funds. David Puritz, in his position as the chief information officer at Shaolin Capital Management LLC and Michael Jester in his position as co-founder and head of research at Shaolin Capital Management LLC may be deemed to have voting and investment control with respect to the
 
180

TABLE OF CONTENTS
 
securities held by the Shaolin Funds. Shaolin Capital Management LLC has sole voting and dispositive power over the securities held by the Shaolin Funds. The business address of these entities is 230 NW 24th Street, Suite 603, Miami, FL 33127.
(25)
Consists of 275,000 shares of NKGen common stock held by The Earthshine Charity Ltd. Suwan Kim, as director, has voting and/or dispositive power of the holdings of The Earthshine Charity Ltd. The business address of The Earthshine Charity Ltd is 111 Somerset Road #06-11T, Singapore, 238164.
(26)
Consists of 550,000 shares of NKGen common stock held by The University of Chicago. The business address of University of Chicago is 401 N. Michigan Avenue, 9th Floor, Chicago, IL 60611.
(27)
Consists of (i) 1,620 shares of NKGen common stock held directly by Walleye Investments Fund LLC (“Walleye Investments”), and 720,000 shares of NKGen common stock issuable upon the exercise of PIPE Warrants held by Walleye Investments, excluding 24,750 of NKGen common stock issuable upon the exercise of PIPE Warrants held by Walleye Investments; (ii) 2,430 shares of NKGen common stock held directly by Walleye Opportunities Master Fund Ltd (“Walleye Opportunities Fund”), and 1,080,000 shares of NKGen common stock issuable upon exercise of PIPE Warrants held by Walleye Opportunities Fund, excluding 37,118 shares of NKGen common stock issuable upon exercise of Public Warrants held by Walleye Opportunities Fund; (iii) 450 shares of NKGen common stock held directly by Sea Hawk Multi-Strategy Master Fund Ltd (“Sea Hawk Fund”), and 200,000 shares of NKGen common stock issuable upon exercise of PIPE Warrants held by Sea Hawk Fund, excluding 6,875 shares of NKGen common stock issuable upon exercise of Public Warrants held by Sea Hawk Fund. Walleye Investments, Walleye Opportunities Fund, Sea Hawk Fund (collectively, the “Walleye Entities”) are private investment funds managed by Walleye Capital LLC. William England is the chief executive officer of Walleye Capital LLC. As a result, Walleye Capital LLC and Mr. England may be deemed to have shared voting and dispositive power with respect to the securities held by Walleye Entities. The business address of these entities is 2800 Lane N., Plymouth, MN 55447.
(28)
Consists of (i) 28,384 shares of NKGen common stock held directly by Dr. Kim, and (ii) 133,450 shares of NKGen common stock issuable upon exercise of NKGen Options (none of which are exercisable within 60 days).
 
181

TABLE OF CONTENTS
 
DESCRIPTION OF OUR SECURITIES
The following summary of certain provisions of our securities does not purport to be complete and is subject to the Certificate of Incorporation, the Bylaws and the provisions of the DGCL.
Authorized and Outstanding Stock
The total amount of our authorized share capital will consist of 500,000,000 shares of NKGen common stock and 10,000,000 shares of NKGen preferred stock. As of December 15, 2023, there were approximately 21,888,976 shares of NKGen common stock issued and outstanding.
Common stock
Voting Power
Except as otherwise required by law or as otherwise provided in any certificate of designation for any series of preferred stock, the holders of shares of NKGen common stock possess all voting power for the election of NKGen’s directors and all other matters requiring stockholder action. Holders of shares of NKGen common stock are entitled to one vote for each share held on all matters to be voted on by stockholders.
Dividends
Subject to the rights of the holders of NKGen preferred stock and any other provisions of our Charter, as it may be amended from time to time, holders of NKGen common stock will be entitled to receive such dividends and other distributions in cash, stock or property of NKGen when, as and if declared thereon by the NKGen Board, in its discretion, from time to time out of assets or funds of NKGen legally available therefor. See “— Preferred Stock,” below for more information regarding the dividend rights of the holders of NKGen preferred stock.
Liquidation, Dissolution and Winding Up
Subject to the rights of holders of NKGen preferred stock, in the event of any liquidation, dissolution or winding up of our affairs, whether voluntary or involuntary, after payment or provision for payment of our debts and any other payments required by law and amounts payable upon shares of NKGen preferred stock ranking senior to the shares of NKGen common stock upon such dissolution, liquidation or winding up, if any, NKGen’s remaining net assets will be distributed to the holders of NKGen common stock and the holders of any other class or series of capital stock ranking equally with the NKGen common stock upon such dissolution, liquidation or winding up, equally on a per share basis.
Preemptive or Other Rights
The NKGen stockholders will have no preemptive or other subscription rights. No sinking fund provisions will be applicable to NKGen common stock.
Preferred Stock
The NKGen Board has the authority to issue shares of preferred stock from time to time on terms it may determine, to divide shares of preferred stock into one or more series and to fix the designations, preferences, privileges, and restrictions of preferred stock, including dividend rights, conversion rights, voting rights, terms of redemption, liquidation preference, sinking fund terms and the number of shares constituting any series or the designation of any series to the fullest extent permitted by the DGCL. The issuance of NKGen preferred stock could have the effect of decreasing the trading price of NKGen common stock, restricting dividends on the capital stock of NKGen, diluting the voting power of the NKGen common stock, impairing the liquidation rights of the capital stock of NKGen, or delaying or preventing a change in control of NKGen.
Registration Rights
On the Closing Date, in connection with the Closing and as contemplated by the Business Combination Agreement, NKGen, the Sponsor, the members of the Sponsor, and certain former stockholders of Legacy
 
182

TABLE OF CONTENTS
 
NKGen entered into an Amended and Restated Registration Rights Agreement. Pursuant to the Amended and Restated Registration Rights Agreement, we agreed to file, not later than 30 days after the Closing Date, a registration statement to register for resale, pursuant to Rule 415 under the Securities Act, certain of our securities that are held by the parties thereto (the “Registrable Securities”). Pursuant to the Amended and Restated Registration Rights Agreement, subject to certain requirements and customary conditions, we also granted piggyback registration rights and demand registration rights to the parties thereto, will pay certain expenses related to such registration and will indemnify the parties thereto against certain liabilities related to such registration. The Amended and Restated Registration Rights Agreement will terminate with respect to any party thereto, on the date that such party no longer holds any Registrable Securities.
Election of Directors and Vacancies
The NKGen Board is divided into three (3) classes, designated Class I, II and III, respectively. The NKGen Board is authorized to assign members of the NKGen Board already in office to such classes at the time the classification becomes effective.
Under the NKGen Bylaws, at all meetings of stockholders called for the election of directors, a plurality of the votes properly cast will be sufficient to elect such directors to the NKGen Board.
Except as the DGCL may otherwise require and subject to the rights, if any, of the holders of any one or more series of NKGen preferred stock, in the interim between annual meetings of stockholders or special meetings of stockholders called for the election of directors and/or the removal of one or more directors and the filling of any vacancy in that connection, newly created directorships and any vacancies on the NKGen Board, including unfilled vacancies resulting from the removal of directors, may be filled only by the affirmative vote of a majority of the remaining directors then in office, although less than a quorum, or by the sole remaining director. All directors will hold office until the expiration of their respective terms of office and until their successors will have been elected and qualified. A director elected or appointed to fill a vacancy resulting from the death, resignation or removal of a director or a newly created directorship will serve for the remainder of the full term of the class of directors in which the new directorship was created or the vacancy occurred and until his or her successor will have been elected and qualified.
Subject to the rights, if any, of the holders of any one or more series of NKGen preferred stock, any director may be removed from office only for cause and only by the affirmative vote of the holders of not less than sixty-six and two-thirds percent (6623%) of the outstanding capital stock of NKGen then entitled to vote generally in the election of directors, voting together as a single class.
In addition to the powers and authorities hereinbefore or by statute expressly conferred upon them, the directors are hereby empowered to exercise all such powers and do all such acts and things as may be exercised or done by us, subject, nevertheless, to the provisions of the DGCL, Our Charter and to any NKGen Bylaws adopted and in effect from time to time; provided, however, that no bylaw so adopted will invalidate any prior act of the directors which would have been valid if such bylaw had not been adopted.
Quorum; Voting
The holders of a majority of the voting power of the capital stock issued and outstanding and entitled to vote thereat, present in person or represented by proxy, will constitute a quorum at all meetings of the stockholders for the transaction of business except as otherwise required by law or provided by our Charter. If, however, such quorum will not be present or represented at any meeting of the stockholders, the chairperson or holders of a majority of the voting power present in person or represented by proxy, will have power to adjourn the meeting from time to time, without notice other than announcement at the meeting, until a quorum will be present or represented. At such adjourned meeting at which a quorum will be present or represented, any business may be transacted which might have been transacted at the meeting as originally noticed. If the adjournment is for more than thirty (30) days, a notice of the adjourned meeting will be given to each stockholder entitled to vote at such adjourned meeting. If after the adjournment a new record date for determination of stockholders entitled to vote is fixed for the adjourned meeting, the NKGen Board shall fix as the record date for determining stockholders entitled to notice of such adjourned meeting the same or an earlier date as that fixed for determination of stockholders entitled to vote at the adjourned meeting, and shall give notice of the adjourned meeting to each stockholder of record as of the
 
183

TABLE OF CONTENTS
 
record date so fixed for notice of such adjourned meeting. The stockholders present at a duly called or convened meeting, at which a quorum is present, may continue to transact business until adjournment, notwithstanding the withdrawal of enough stockholders to leave less than a quorum.
Unless a different or minimum vote is required by statute or by applicable stock exchange rules, or by our Charter or the NKGen Bylaws, in which case such different or minimum vote shall be the applicable vote on the matter, in all matters other than the election of directors, the affirmative vote of a majority of the votes cast on such matter, voting affirmatively or negatively (excluding abstentions and broker non-votes) shall be the act of the stockholders. Except as otherwise provided by statute, our Charter or the NKGen Bylaws, directors shall be elected by a plurality of the votes of the shares present in person, by remote communication, if applicable, or represented by proxy at the meeting and entitled to vote in the election of directors. Where a separate vote by a class or classes or series is required, unless a different or minimum vote is required by statute or by our Charter or the NKGen Bylaws or any applicable stock exchange rules, in which case such different or minimum vote shall be the applicable vote on the matter, the holders of a majority of the voting power of the outstanding shares of such class or classes or series, present in person, by remote communication, if applicable, or represented by proxy, shall constitute a quorum entitled to take action with respect to that vote on that matter. Unless a different or minimum vote is required by statute or by our Charter or the NKGen Bylaws or any applicable stock exchange rules, in which case such different or minimum vote shall be the applicable vote on the matter, the affirmative vote of the holders of a majority (or plurality, in the case of the election of directors) of the votes cast on such matter, voting affirmatively or negatively (excluding abstention and broker non-votes) shall be the act of such class or classes or series.
Anti-takeover Effects of the Proposed Certificate of Incorporation and the Proposed Bylaws
Our Charter or the NKGen Bylaws contain provisions that may delay, defer or discourage another party from acquiring control of us. We expect that these provisions, which are summarized above, will discourage coercive takeover practices or inadequate takeover bids. These provisions are also designed to encourage persons seeking to acquire control of us to first negotiate with the NKGen Board, which we believe may result in an improvement of the terms of any such acquisition in favor of our stockholders. However, they also give the NKGen Board the power to discourage acquisitions that some stockholders may favor. See the section titled “Risk Factors” above for more information.
Authorized but Unissued Capital Stock
Delaware law does not require stockholder approval for any issuance of authorized shares. However, the listing requirements of Nasdaq, which would apply if and so long as the NKGen common stock (or units or warrants) remains listed on the exchange, require stockholder approval of certain issuances equal to or exceeding 20% of the then outstanding voting power or then outstanding number of shares of NKGen common stock. Additional shares that may be issued in the future may be used for a variety of corporate purposes, including future public offerings, to raise additional capital or to facilitate acquisitions.
Amendment to Certificate of Incorporation and Bylaws
The DGCL provides generally that the affirmative vote of a majority of the outstanding stock entitled to vote on amendments to a corporation’s certificate of incorporation or bylaws is required to approve such amendment, unless a corporation’s certificate of incorporation or bylaws, as the case may be, requires a greater percentage.
Our Charter provides however, in addition to the votes required by law, that the following provisions therein may be amended, altered, repealed or rescinded only by the affirmative vote of the holders of at least sixty-six and two-thirds percent (6623%) of the voting power of all of the then-outstanding shares of capital stock of NKGen entitled to thereon, voting together as a single class:

the provisions regarding the management of NKGen, the size of the NKGen Board, the election and removal of directors to the NKGen Board, the filling of vacancies, preferred stockholder election rights, and bylaw amendments;

the provisions regarding the limited liability of directors of NKGen;
 
184

TABLE OF CONTENTS
 

the provisions regarding exclusive forums for certain actions; and

the provisions regarding amending our Charter.
Subject to our Charter, the NKGen Board is expressly empowered to adopt, amend or repeal the NKGen Bylaws. The stockholders also shall have power to adopt, amend or repeal the NKGen Bylaws; provided, however, that, in addition to any vote of the holders of any class or series of stock of NKGen required by applicable law or by our Charter (including any certificate of designation relating to any series of preferred stock, such action by stockholders shall require the affirmative vote of the holders of sixty-six and two-thirds percent (6623%) of the voting power of all of the then-outstanding shares of the capital stock of NKGen entitled to vote thereon, voting together as a single class.
Limitations on Liability and Indemnification of Officers and Directors
Our Charter limits the liability of our directors to the fullest extent permitted by law, and the NKGen Bylaws provide that we will indemnify them and executive officers to the fullest extent permitted by such law. We have entered and expect to continue to enter into agreements to indemnify our directors, executive officers and other employees as determined by the NKGen Board. Under the terms of such indemnification agreements, we are required to indemnify each of our directors and officers, to the fullest extent permitted by the laws of the State of Delaware and our Charter, if the basis of the indemnitee’s involvement was by reason of the fact that the indemnitee is or was a director or officer of NKGen or any of its subsidiaries or was serving at our request in an official capacity for another entity. We must indemnify our officers and directors against all reasonable fees, expenses, charges and other costs of any type or nature whatsoever, including any and all expenses and obligations paid or incurred in connection with investigating, defending, being a witness in, participating in (including on appeal), or preparing to defend, be a witness or participate in any completed, actual, pending or threatened action, suit, claim or proceeding, whether civil, criminal, administrative or investigative, or establishing or enforcing a right to indemnification under the indemnification agreement. The indemnification agreements also require us, if so requested, to advance within ten (10) days of such request all reasonable fees, expenses, charges and other costs that any of our directors incurred, provided that such director will return any such advance if it is ultimately determined that such director is not entitled to indemnification by us. Any claims for indemnification by our directors and officers may reduce our available funds to satisfy successful third-party claims against us and may reduce the amount of money available to us.
Exclusive Forum of Certain Actions
Under our Charter, unless we consent in writing to the selection of an alternative forum, the Court of Chancery of the State of Delaware (or, if and only if the Court of Chancery of the State of Delaware lacks subject matter jurisdiction, any state court located within the State of Delaware or, if and only if all such state courts lack subject matter jurisdiction, the federal district court for the District of Delaware) and any appellate court therefrom shall be the sole and exclusive forum for the following claims or causes of action under Delaware statutory or common law: (A) any derivative claim or cause of action brought on behalf of NKGen; (B) any claim or cause of action for breach of a fiduciary duty owed by any current or former director, officer or other employee or stockholder of NKGen, to NKGen or its stockholders; (C) any claim or cause of action against NKGen or any current or former director, officer or other employee of NKGen, arising out of or pursuant to any provision of the DGCL, our Charter or the NKGen Bylaws; (D) any claim or cause of action seeking to interpret, apply, enforce or determine the validity of our Charter or the NKGen Bylaws (as each may be amended from time to time, including any right, obligation, or remedy thereunder); (E) any claim or cause of action as to which the DGCL confers jurisdiction on the Court of Chancery of the State of Delaware; and (F) any claim or cause of action against NKGen or any current or former director, officer or other employee of NKGen, governed by the internal-affairs doctrine or otherwise related to NKGen’s internal affairs, in all cases to the fullest extent permitted by law and subject to the court having personal jurisdiction over the indispensable parties named as defendants. Unless NKGen consents in writing to the selection of an alternative forum, to the fullest extent permitted by applicable law, the federal district courts of the United States of America shall be the exclusive forum for the resolution of any complaint asserting a cause of action arising under the Securities Act, including all causes of action asserted against any defendant named in such complaint. Any person or entity holding, owning or otherwise
 
185

TABLE OF CONTENTS
 
acquiring any interest in any of our security shall be deemed to have notice of and consented to the provisions of our Charter.
Warrants
As of September 29, 2023, there were 5,246,033 Warrants outstanding, consisting of (a) 3,432,286 Public Warrants, (b) 4,721,533 Private Warrants and (c) 523,140 Working Capital Warrants.
Public Warrants
Each whole Public Warrant entitles the registered holder to purchase one share of NKGen common stock at a price of $11.50 per share, subject to adjustment as discussed below, at any time commencing on October 30, 2023, 30 days after the Closing. Pursuant to the warrant agreement, a Public Warrant holder may exercise its Public Warrants only for a whole number of shares of NKGen common stock. This means that only a whole Public Warrant may be exercised at any given time by a Public Warrant holder. No fractional Public Warrants will be issued upon separation of Graf’s Units and only whole Public Warrants will trade. The Public Warrants will expire five years after the Closing, at 5:00 p.m., New York City time, or earlier upon redemption or liquidation.
We will not be obligated to deliver any shares of NKGen common stock pursuant to the exercise of a Public Warrant and will have no obligation to settle such Public Warrant exercise unless a registration statement under the Securities Act with respect to the shares of NKGen common stock underlying the Public Warrants is then effective and a prospectus relating thereto is current, subject to NKGen satisfying its obligations described below with respect to registration. No Public Warrant will be exercisable and NKGen will not be obligated to issue shares of NKGen common stock upon exercise of a Public Warrant unless NKGen common stock issuable upon such Public Warrant exercise has been registered, qualified or deemed to be exempt under the securities laws of the state of residence of the registered holder of the Public Warrants. In the event that the conditions in the two immediately preceding sentences are not satisfied with respect to a Public Warrant, the holder of such Public Warrant will not be entitled to exercise such Public Warrant and such Public Warrant may have no value and expire worthless. In no event will NKGen be required to net cash settle any warrant. In the event that a registration statement is not effective for the exercised Public Warrants, the purchaser of a Unit containing such Public Warrant will have paid the full purchase price for the Unit solely for the share of NKGen common stock underlying such Unit.
We have agreed that as soon as practicable, but in no event later than 20 business days after the Closing, it will use its best efforts to file with the SEC a registration statement covering the shares of NKGen common stock issuable upon exercise of the Public Warrants, to cause such registration statement to become effective and to maintain a current prospectus relating to those shares of NKGen common stock until the Public Warrants expire or are redeemed, as specified in the warrant agreement. We cannot assure you that we will be able to do so if, for example, any facts or events arise which represent a fundamental change in the information set forth in the registration statement or prospectus, the financial statements contained or incorporated by reference therein are not current or correct or the SEC issues a stop order. If a registration statement covering the shares of NKGen common stock issuable upon exercise of the Public Warrants is not effective by the 60th business day after the Closing, Public Warrant holders may, until such time as there is an effective registration statement and during any period when NKGen has failed to maintain an effective registration statement, exercise warrants on a “cashless basis” in accordance with Section 3(a)(9) of the Securities Act or another exemption. Notwithstanding the above, if NKGen common stock is at the time of any exercise of a warrant not listed on a national securities exchange such that it satisfies the definition of a “covered security” under Section 18(b)(1) of the Securities Act, we may, at our option, require holders of Public Warrants who exercise their warrants to do so on a “cashless basis” in accordance with Section 3(a)(9) of the Securities Act and, in the event NKGen so elects, it will not be required to file or maintain in effect a registration statement, and in the event we do not so elect, we will use our commercially reasonable efforts to register or qualify the shares under applicable blue sky laws to the extent an exemption is not available.
Redemption of Public Warrants when the price per share of NKGen common stock equals or exceeds $18.00
Once the Public Warrants become exercisable, NKGen may call the Public Warrants for redemption:
 
186

TABLE OF CONTENTS
 

in whole and not in part;

at a price of $0.01 per Public Warrant;

upon not less than 30 days’ prior written notice of redemption (the “30-day redemption period”) to each Public Warrant holder; and

if, and only if, the reported the closing price of the NKGen common stock equals or exceeds $18.00 per share (as adjusted for stock splits, stock dividends, reorganizations, recapitalizations and the like) for any 20 trading days within a 30-trading day period ending three business days before we send the notice of redemption to the Public Warrant holders.
If and when the Public Warrants become redeemable by NKGen, we may exercise its redemption right even if it is unable to register or qualify the underlying securities for sale under all applicable state securities laws. NKGen will use commercially reasonable efforts to register or qualify such shares of NKGen common stock under the blue sky laws of the state of residence in those states in which the Public Warrants were sold.
We have established the last of the redemption criteria discussed above to prevent a redemption call unless there is at the time of the call a significant premium to the Public Warrant exercise price. If the foregoing conditions are satisfied and we issue a notice of redemption of the Public Warrants, each Public Warrant holder will be entitled to exercise its Public Warrant prior to the scheduled redemption date. However, the price of the NKGen common stock may fall below the $18.00 redemption trigger price (as adjusted for stock splits, stock dividends, reorganizations, recapitalizations and the like) as well as the $11.50 (for whole shares) warrant exercise price after the redemption notice is issued.
If we call the Public Warrants for redemption as described above, we will have the option to require any holder that wishes to exercise its Public Warrant to do so on a “cashless basis.” In determining whether to require all holders to exercise their Public Warrants on a “cashless basis,” we will consider, among other factors, its cash position, the number of Public Warrants that are outstanding and the dilutive effect on its stockholders of issuing the maximum number of shares of NKGen common stock issuable upon the exercise of the Public Warrants. If we take advantage of this option, all holders of Public Warrants would pay the exercise price by surrendering their Public Warrants for that number of shares of NKGen common stock equal to the quotient obtained by dividing (x) the product of the number of shares of NKGen common stock underlying the Public Warrants, multiplied by the excess of the “fair market value” of NKGen common stock (defined below) over the exercise price of the Public Warrants by (y) the fair market value. The “fair market value” means the average reported last sale price of NKGen common stock for the 10 trading days ending on the third trading day prior to the date on which the notice of redemption is sent to the holders of Public Warrants. If we take advantage of this option, the notice of redemption will contain the information necessary to calculate the number of shares of NKGen common stock to be received upon exercise of the Public Warrants, including the “fair market value” in such case. Requiring a cashless exercise in this manner will reduce the number of shares to be issued and thereby lessen the dilutive effect of a Public Warrant redemption.
Redemption Procedures
A holder of a Public Warrant may notify us in writing in the event it elects to be subject to a requirement that such holder will not have the right to exercise such Public Warrant, to the extent that after giving effect to such exercise, such person (together with such person’s affiliates), to the warrant agent’s actual knowledge, would beneficially own in excess of 4.9% or 9.8% (as specified by the holder) of the NKGen common stock outstanding immediately after giving effect to such exercise.
Anti-Dilution Adjustments
If the number of outstanding shares of NKGen common stock is increased by a capitalization or share dividend payable in NKGen common stock, or by a split-up of shares of common stock or other similar event, then, on the effective date of such stock dividend, split-up or similar event, the number of shares of NKGen common stock issuable on exercise of each whole Public Warrant will be increased in proportion to such increase in the outstanding ordinary stock. A rights offering to holders of NKGen common stock entitling holders to purchase shares of NKGen common stock at a price less than the fair market value will
 
187

TABLE OF CONTENTS
 
be deemed a stock dividend of a number of shares of NKGen common stock equal to the product of (i) the number of shares of NKGen common stock actually sold in such rights offering (or issuable under any other equity securities sold in such rights offering that are convertible into or exercisable for NKGen common stock) multiplied by (ii) one (1) minus the quotient of (x) the price per share of NKGen common stock paid in such rights offering and divided by (y) the fair market value. For these purposes, (a) if the rights offering is for securities convertible into or exercisable for NKGen common stock, in determining the price payable for NKGen common stock, there will be taken into account any consideration received for such rights, as well as any additional amount payable upon exercise or conversion and (b) fair market value means the volume weighted average price of NKGen common stock as reported during the ten (10) trading day period ending on the trading day prior to the first date on which the shares of NKGen common stock trade on the applicable exchange or in the applicable market, regular way, without the right to receive such rights.
In addition, if we, at any time while the Public Warrants are outstanding and unexpired, pay a dividend or make a distribution in cash, securities or other assets to the holders of shares of NKGen common stock on account of such shares (or other securities into which the Public Warrants are convertible), other than (a) as described above, (b) certain ordinary cash dividends, (c) to satisfy the redemption rights of the holders of shares of common stock in connection with the Business Combination, (d) to satisfy the redemption rights of the holders of common stock in connection with a stockholder vote to amend the Charter to modify the substance or timing of Graf’s obligation to redeem 100% of its common stock if Graf does not complete an initial business combination within 24 months from the closing of its initial public offering or to provide for redemption in connection with the Closing or (e) in connection with the redemption of common stock upon Graf’s failure to complete an initial business combination, then the warrant exercise price will be decreased, effective immediately after the effective date of such event, by the amount of cash and/or the fair market value of any securities or other assets paid on each share of NKGen common stock in respect of such event.
If the number of outstanding shares of NKGen common stock is decreased by a consolidation, combination, reverse stock split or reclassification of shares of NKGen common stock or other similar event, then, on the effective date of such consolidation, combination, reverse stock split, reclassification or similar event, the number of shares of NKGen common stock issuable on exercise of each Public Warrant will be decreased in proportion to such decrease in outstanding shares of NKGen common stock.
Whenever the number of shares of NKGen common stock purchasable upon the exercise of the Public Warrants is adjusted, as described above, the Public Warrant exercise price will be adjusted by multiplying the Public Warrant exercise price immediately prior to such adjustment by a fraction (x) the numerator of which will be the number of shares of NKGen common stock purchasable upon the exercise of the Public Warrants immediately prior to such adjustment, and (y) the denominator of which will be the number of shares of NKGen common stock so purchasable immediately thereafter.
In case of any reclassification or reorganization of the outstanding shares of NKGen common stock (other than those described above or that solely affects the par value of such shares of NKGen common stock), or in the case of any merger or consolidation of NKGen with or into another corporation (other than a consolidation or merger in which NKGen is the continuing corporation and that does not result in any reclassification or reorganization of the outstanding shares of NKGen common stock), or in the case of any sale or conveyance to another corporation or entity of the assets or other property of NKGen as an entirety or substantially as an entirety in connection with which NKGen is dissolved, the holders of the Public Warrants will thereafter have the right to purchase and receive, upon the basis and upon the terms and conditions specified in the Public Warrants and in lieu of the NKGen common stock immediately theretofore purchasable and receivable upon the exercise of the rights represented thereby, the kind and amount of shares of NKGen common stock or other securities or property (including cash) receivable upon such reclassification, reorganization, merger or consolidation, or upon a dissolution following any such sale or transfer, that the holder of the Public Warrants would have received if such holder had exercised their Public Warrants immediately prior to such event. However, if less than 70% of the consideration receivable by the holders of NKGen common stock in such a transaction is payable in the form of NKGen common stock in the successor entity that is listed for trading on a national securities exchange or is quoted in an established over-the-counter market, or is to be so listed for trading or quoted immediately following such event, and if the registered holder of the Public Warrant properly exercises the Public Warrant within
 
188

TABLE OF CONTENTS
 
30 days following public disclosure of such transaction, the Public Warrant exercise price will be reduced as specified in the warrant agreement based on the Black-Scholes value (as defined in the warrant agreement) of the Public Warrant. The purpose of such exercise price reduction is to provide additional value to holders of the Public Warrants when an extraordinary transaction occurs during the exercise period of the Public Warrants pursuant to which the holders of the warrants otherwise do not receive the full potential value of the Public Warrants in order to determine and realize the option value component of the Public Warrant. This formula is to compensate the Public Warrant holder for the loss of the option value portion of the Public Warrant due to the requirement that the Public Warrant holder exercise the Public Warrant within 30 days of the event. The Black-Scholes model is an accepted pricing model for estimating fair market value where no quoted market price for an instrument is available.
Other Terms
The Public Warrants are issued in registered form under a warrant agreement between Continental Stock Transfer & Trust Company, as warrant agent, and us. The warrant agreement provides that the terms of the Public Warrants may be amended without the consent of any holder to cure any ambiguity or correct any defective provision, but requires the approval by the holders of at least 50% of the then outstanding Public Warrants to make any change that adversely affects the interests of the registered holders of Public Warrants.
In addition, if (x) we issue additional shares of common stock or equity-linked securities for capital raising purposes in connection with the Closing at an issue price or effective issue price of less than $9.20 per share (with such issue price or effective issue price to be determined in good faith by the NKGen Board and, in the case of any such issuance to the Sponsor or its affiliates, without taking into account any founder shares held by the Sponsor or such affiliates, as applicable, prior to such issuance) (the “Newly Issued Price”), (y) the aggregate gross proceeds from such issuances represent more than 60% of the total equity proceeds, and interest thereon, available for the funding of the Business Combination on the Closing Date (net of redemptions), and (z) the volume weighted average trading price of common stock during the 20 trading day period starting on the trading day after the Closing Date (such price, the “Market Value”) is below $9.20 per share, the exercise price of the Public Warrants will be adjusted (to the nearest cent) to be equal to 115% of the higher of the Market Value and the Newly Issued Price, the $18.00 per share redemption trigger price described above under “— Redemption of Public Warrants when the price per share of NKGen common stock equals or exceeds $18.00” will be adjusted (to the nearest cent) to be equal to 180% of the higher of the Market Value and the Newly Issued Price.
The Public Warrants may be exercised upon surrender of the warrant certificate on or prior to the expiration date at the offices of the warrant agent, with the exercise form on the reverse side of the warrant certificate completed and executed as indicated, accompanied by full payment of the exercise price (or on a cashless basis, if applicable), by certified or official bank check payable to us, for the number of Public Warrants being exercised. The Public Warrant holders do not have the rights or privileges of holders of common stock and any voting rights until they exercise their Public Warrants and receive NKGen common stock. After the issuance of NKGen common stock upon exercise of the Public Warrants, each holder will be entitled to one vote for each share held of record on all matters to be voted on by stockholders.
No fractional shares will be issued upon exercise of the Public Warrants. If, upon exercise of the Public Warrants, a holder would be entitled to receive a fractional interest in a share, we will, upon exercise, round down to the nearest whole number of shares of NKGen common stock to be issued to the warrant holder.
Private Warrants and Working Capital Warrants
Except as described below, the Private Warrants have terms and provisions that are identical to those of the Public Warrants. The Private Warrants (including the NKGen common stock issuable upon exercise of the Private Warrants) will not be transferable, assignable or salable until October 30, 2023, 30 days after the Closing (except pursuant to limited exceptions to Graf’s officers and directors and other persons or entities affiliated with the initial purchasers of the Private Warrants) and they will not be redeemable by us so long as they are held by the Sponsor or its permitted transferees (except as otherwise set forth herein). The Sponsor, or its permitted transferees, has the option to exercise the Private Warrants on a cashless basis. In
 
189

TABLE OF CONTENTS
 
addition, holders of our Private Warrants are entitled to certain registration rights, which rights are described above under the heading “— Registration Rights.”
In connection with the Closing, then outstanding principal amount under the Working Capital Notes have converted into Working Capital Warrants. The Working Capital Warrants have terms identical to the Private Warrants.
Transfer Agent and Warrant Agent
The transfer agent for NKGen common stock and warrant agent for the Public Warrants is Continental Stock Transfer & Trust Company.
Listing of Common Stock and Warrants
Our common stock and Public Warrants are listed on Nasdaq under the symbols “NKGN” and “NKGNW,” respectively.
 
190

TABLE OF CONTENTS
 
MATERIAL U.S. FEDERAL INCOME TAX CONSEQUENCES
The following discussion is a summary of certain material U.S. federal income tax considerations generally applicable to the ownership and disposition of our common stock and the exercise, disposition and lapse of our Warrants. The common stock and the Warrants are referred to collectively herein as our securities. All prospective holders of our securities should consult their tax advisors with respect to the U.S. federal, state, local and non-U.S. tax consequences of the ownership and disposition of our securities.
This discussion is not a complete analysis of all potential U.S. federal income tax consequences relating to the ownership and disposition of our securities. This summary is based upon current provisions of the Code, existing U.S. Treasury Regulations promulgated thereunder, published administrative pronouncements and rulings of the U.S. Internal Revenue Service (the “IRS”), and judicial decisions, all as in effect as of the date of this prospectus. These authorities are subject to change and differing interpretation, possibly with retroactive effect. Any change or differing interpretation could alter the tax consequences to holders described in this discussion. There can be no assurance that a court or the IRS will not challenge one or more of the tax consequences described herein, and we have not obtained, nor do we intend to obtain, a ruling with respect to the U.S. federal income tax consequences to a holder of the ownership or disposition of our securities.
We assume in this discussion that a holder holds our securities as a “capital asset” within the meaning of Section 1221 of the Code (generally, property held for investment). This discussion does not address all aspects of U.S. federal income taxation that may be relevant to a particular holder in light of that holder’s individual circumstances, nor does it address the special tax accounting rules under Section 451(b) of the Code, any alternative minimum, Medicare contribution, estate or gift tax consequences, or any aspects of U.S. state, local or non-U.S. taxes or any non-income U.S. tax laws. This discussion also does not address consequences relevant to holders subject to special tax rules, such as holders that own, or are deemed to own, more than 5% of our capital stock (except to the extent specifically set forth below), corporations that accumulate earnings to avoid U.S. federal income tax, tax-exempt organizations, governmental organizations, banks, financial institutions, investment funds, insurance companies, brokers, dealers or traders in securities, commodities or currencies, regulated investment companies or real estate investment trusts, persons that have a “functional currency” other than the U.S. dollar, tax-qualified retirement plans, holders who hold or receive our securities pursuant to the exercise of employee stock options or otherwise as compensation, holders holding our securities as part of a hedge, straddle or other risk reduction strategy, conversion transaction or other integrated investment, holders deemed to sell our securities under the constructive sale provisions of the Code, passive foreign investment companies, controlled foreign corporations, S corporations, and certain former U.S. citizens or long-term residents.
In addition, this discussion does not address the tax treatment of partnerships (or entities or arrangements that are treated as partnerships for U.S. federal income tax purposes) or persons that hold our securities through such partnerships. If a partnership, including any entity or arrangement treated as a partnership for U.S. federal income tax purposes, holds our securities, the U.S. federal income tax treatment of a partner in such partnership generally will depend upon the status of the partner and the activities of the partnership. Such partners and partnerships should consult their tax advisors regarding the tax consequences of the ownership and disposition of our securities.
For purposes of this discussion, a “U.S. Holder” means a beneficial owner of our securities (other than a partnership or an entity or arrangement treated as a partnership for U.S. federal income tax purposes) that is, for U.S. federal income tax purposes:

an individual who is a citizen or resident of the United States;

a corporation, or an entity treated as a corporation for U.S. federal income tax purposes, created or organized in the United States or under the laws of the United States or of any state thereof or the District of Columbia;

an estate, the income of which is subject to U.S. federal income tax regardless of its source; or

a trust if (a) a U.S. court can exercise primary supervision over the trust’s administration and one or more U.S. persons have the authority to control all of the trust’s substantial decisions or (b) the trust has a valid election in effect under applicable U.S. Treasury Regulations to be treated as a U.S. person.
 
191

TABLE OF CONTENTS
 
For purposes of this discussion, a “non-U.S. Holder” is a beneficial owner of our securities that is neither a U.S. Holder nor a partnership or an entity or arrangement treated as a partnership for U.S. federal income tax purposes.
Tax Considerations Applicable to U.S. Holders
Taxation of Distributions
If we pay distributions or make constructive distributions (other than certain distributions of our stock or rights to acquire our stock) to U.S. Holders of shares of our common stock, such distributions generally will constitute dividends for U.S. federal income tax purposes to the extent paid or deemed paid from our current or accumulated earnings and profits, as determined under U.S. federal income tax principles. Distributions in excess of our current and accumulated earnings and profits will constitute a return of capital that will be applied against and reduce (but not below zero) the U.S. Holder’s adjusted tax basis in our common stock. Any remaining excess will be treated as gain realized on the sale or other disposition of the common stock and will be treated as described under “— Tax Considerations Applicable to U.S. Holders — Gain or Loss on Sale, Taxable Exchange or Other Taxable Disposition of Common Stock” below.
Dividends we pay to a U.S. Holder that is a taxable corporation generally will qualify for the dividends received deduction if the requisite holding period is satisfied. Provided certain holding period requirements are met, dividends we pay to a non-corporate U.S. Holder generally will constitute “qualified dividends” that under current law will be subject to tax at long-term capital gains rates. If the holding period requirements are not satisfied, a corporation may not be able to qualify for the dividends received deduction and would have taxable income equal to the entire dividend amount, and non-corporate holders may be subject to tax on such dividend at ordinary income tax rates instead of the preferential rates that apply to qualified dividend income.
Gain or Loss on Sale, Taxable Exchange or Other Taxable Disposition of Common Stock
A U.S. Holder generally will recognize gain or loss on the sale, taxable exchange or other taxable disposition of our common stock. Any such gain or loss will be capital gain or loss, and will be long-term capital gain or loss if the U.S. Holder’s holding period for the common stock disposed of exceeds one year at the time of disposition. The amount of gain or loss recognized generally will be equal to the difference between (1) the sum of the amount of cash and the fair market value of any property received in such disposition and (2) the U.S. Holder’s adjusted tax basis in its common stock disposed of. A U.S. Holder’s adjusted tax basis in its common stock generally will equal the U.S. Holder’s acquisition cost for such common stock (or, in the case of common stock received upon exercise of a Warrant, the U.S. Holder’s initial basis for such common stock, as discussed below), less any prior distributions treated as a return of capital. Long-term capital gains recognized by non-corporate U.S. Holders generally are eligible under current law for reduced rates of tax. If the U.S. Holder’s holding period for the common stock disposed of is one year or less at the time of disposition, any gain on a taxable disposition of our common stock would be subject to short-term capital gain treatment and would be taxed at ordinary income tax rates. The deductibility of capital losses is subject to limitations.
Exercise of a Warrant
Except as discussed below with respect to the cashless exercise of a Warrant, a U.S. Holder generally will not recognize taxable gain or loss upon the exercise of a Warrant for cash. The U.S. Holder’s initial tax basis in the shares of our common stock received upon exercise of the Warrant generally will be an amount equal to the sum of the U.S. Holder’s acquisition cost of the Warrant and the exercise price of such Warrant. It is unclear whether a U.S. Holder’s holding period for the common stock received upon exercise of the Warrant would commence on the date of exercise of the Warrant or the day following the date of exercise of the Warrant; however, in either case the holding period will not include the period during which the U.S. Holder held the Warrants.
In certain circumstances, the Warrants may be exercised on a cashless basis. The U.S. federal income tax treatment of an exercise of a warrant on a cashless basis is not clear, and could differ from the
 
192

TABLE OF CONTENTS
 
consequences described above. It is possible that a cashless exercise could be a taxable event, a non-realization event, or a tax-free recapitalization. U.S. holders are urged to consult their tax advisors as to the consequences of an exercise of a Warrant on a cashless basis, including with respect to their holding period and tax basis in the common stock received upon exercise of the Warrant.
Sale, Exchange, Redemption or Expiration of a Warrant
Upon a sale, exchange (other than by exercise), redemption, or expiration of a Warrant, a U.S. Holder will recognize taxable gain or loss in an amount equal to the difference between (1) the amount realized upon such disposition and (2) the U.S. Holder’s adjusted tax basis in the Warrant. A U.S. Holder’s adjusted tax basis in its Warrants generally will equal the U.S. Holder’s acquisition cost of the Warrant, increased by the amount of any constructive distributions included in income by such U.S. Holder (as described below under “Tax Considerations Applicable to U.S. Holders — Possible Constructive Distributions”). Such gain or loss generally will be treated as long-term capital gain or loss if the Warrant is held by the U.S. Holder for more than one year at the time of such disposition or expiration.
If a Warrant expires unexercised, a U.S. Holder generally will recognize a capital loss equal to such holder’s adjusted tax basis in the Warrant. Any such loss generally will be a capital loss and will be long-term capital loss if the Warrant is held for more than one year. The deductibility of capital losses is subject to certain limitations.
Possible Constructive Distributions
The terms of each Warrant provide for an adjustment to the number of shares of common stock for which the Warrant may be exercised or to the exercise price of the Warrant in certain events, as discussed in the section of this prospectus captioned “Description of Our Securities — Warrants.” An adjustment which has the effect of preventing dilution generally should not be a taxable event. Nevertheless, a U.S. Holder of Warrants would be treated as receiving a constructive distribution from us if, for example, the adjustment increases the holder’s proportionate interest in our assets or earnings and profits (e.g., through an increase in the number of shares of common stock that would be obtained upon exercise or an adjustment to the exercise price of the Warrant) as a result of a distribution of cash to the holders of shares of our common stock that is taxable to such holders as a distribution. Such constructive distribution would be subject to tax as described above under “Tax Considerations Applicable to U.S. Holders — Taxation of Distributions” in the same manner as if such U.S. Holder received a cash distribution from us on common stock equal to the fair market value of such increased interest.
Information Reporting and Backup Withholding
In general, information reporting requirements may apply to distributions paid to a U.S. Holder and to the proceeds of the sale or other disposition of our shares of our securities, unless the U.S. Holder is an exempt recipient. Backup withholding may apply to such payments if the U.S. Holder fails to provide a taxpayer identification number (or furnishes an incorrect taxpayer identification number) or a certification of exempt status or has been notified by the IRS that such U.S. Holder is subject to backup withholding (and such notification has not been withdrawn). Backup withholding is not an additional tax. Any amounts withheld under the backup withholding rules will be allowed as a credit against a U.S. Holder’s U.S. federal income tax liability and may entitle such holder to a refund, provided the required information is timely furnished to the IRS. Taxpayers should consult their tax advisors regarding their qualification for an exemption from backup withholding and the procedures for obtaining such an exemption.
Tax Considerations Applicable to Non-U.S. Holders
Taxation of Distributions
In general, any distributions (including constructive distributions) we make to a non-U.S. Holder of shares on our common stock, to the extent paid or deemed paid out of our current or accumulated earnings and profits (as determined under U.S. federal income tax principles), will constitute dividends for U.S. federal income tax purposes and, provided such dividends are not effectively connected with the non-U.S. Holder’s conduct of a trade or business within the United States, we will be required to withhold tax from the
 
193

TABLE OF CONTENTS
 
gross amount of the dividend at a rate of 30%, unless such non-U.S. Holder is eligible for a reduced rate of withholding tax under an applicable income tax treaty and provides proper certification of its eligibility for such reduced rate (usually on an IRS Form W-8BEN or W-8BEN-E, as applicable). In the case of any constructive dividend (as described below under “— Tax Considerations Applicable to Non-U.S. Holders — Possible Constructive Distributions”), it is possible that this tax would be withheld from any amount owed to a non-U.S. Holder by the applicable withholding agent, including cash distributions on other property or sale proceeds from Warrants or other property subsequently paid or credited to such holder. Any distribution not constituting a dividend will be treated first as reducing (but not below zero) the non-U.S. Holder’s adjusted tax basis in its shares of our common stock and, to the extent such distribution exceeds the non-U.S. Holder’s adjusted tax basis, as gain realized from the sale or other disposition of the common stock, which will be treated as described under “— Tax Considerations Applicable to Non-U.S. Holders — Gain on Sale, Exchange or Other Taxable Disposition of Common Stock and Warrants” below. In addition, if we determine that we are likely to be classified as a “United States real property holding corporation” ​(see the section entitled “— Tax Considerations Applicable to Non-U.S. Holders — Gain on Sale, Exchange or Other Taxable Disposition of Common Stock and Warrants” below), we will withhold 15% of any distribution that exceeds our current and accumulated earnings and profits.
Dividends we pay to a non-U.S. Holder that are effectively connected with such non-U.S. Holder’s conduct of a trade or business within the United States (or, if a tax treaty applies, are attributable to a U.S. permanent establishment or fixed base maintained by the non-U.S. Holder) generally will not be subject to U.S. withholding tax, provided such non-U.S. Holder complies with certain certification and disclosure requirements (generally by providing an IRS Form W-8ECI). Instead, such dividends generally will be subject to U.S. federal income tax, net of certain deductions, at the same individual or corporate rates applicable to U.S. Holders. If the non-U.S. Holder is a corporation, dividends that are effectively connected income may also be subject to a “branch profits tax” at a rate of 30% (or such lower rate as may be specified by an applicable income tax treaty).
Exercise of a Warrant
The U.S. federal income tax treatment of a non-U.S. Holder’s exercise of a Warrant generally will correspond to the U.S. federal income tax treatment of the exercise of a Warrant by a U.S. Holder, as described under “— Tax Considerations Applicable to U.S. Holders — Exercise of a Warrant” above, although to the extent a cashless exercise results in a taxable exchange, the tax consequences to the non-U.S. Holder would be the same as those described below in “— Tax Considerations Applicable to Non-U.S. Holders — Gain on Sale, Exchange or Other Taxable Disposition of Common Stock and Warrants.”
Gain on Sale, Exchange or Other Taxable Disposition of Common Stock and Warrants
A non-U.S. Holder generally will not be subject to U.S. federal income or withholding tax in respect of gain recognized on a sale, taxable exchange or other taxable disposition of our common stock or Warrants or an expiration or redemption of our Warrants, unless:

the gain is effectively connected with the conduct of a trade or business by the non-U.S. Holder within the United States (and, if an applicable tax treaty so requires, is attributable to a U.S. permanent establishment or fixed base maintained by the non-U.S. Holder);

the non-U.S. Holder is an individual who is present in the United States for 183 days or more in the taxable year of disposition and certain other conditions are met; or

we are or have been a “United States real property holding corporation” for U.S. federal income tax purposes at any time during the shorter of the five-year period ending on the date of disposition or the period that the non-U.S. Holder held our common stock or Warrants and, in the case where shares of our common stock are regularly traded on an established securities market, (i) the non-U.S. Holder has owned, actually or constructively, more than 5% of our common stock at any time within the relevant period or (ii) provided that our Warrants are regularly traded on an established securities market, the non-U.S. Holder has owned, actually or constructively, more than 5% of our Warrants at any time within the within the relevant period. It is unclear how a non-U.S. Holder’s ownership of Warrants will affect the determination of whether the non-U.S. Holder owns more than 5% of our
 
194

TABLE OF CONTENTS
 
common stock. In addition, special rules may apply in the case of a disposition of warrants if our common stock is considered to be regularly traded, but our Warrants are not considered to be regularly traded. There can be no assurance that our common stock or Warrants will or will not be treated as regularly traded on an established securities market for this purpose.
Gain described in the first bullet point above will be subject to tax at generally applicable U.S. federal income tax rates as if the non-U.S. Holder were a U.S. resident. Any gains described in the first bullet point above of a non-U.S. Holder that is a foreign corporation may also be subject to an additional “branch profits tax” at a 30% rate (or lower applicable treaty rate). Gain described in the second bullet point above generally will be subject to a flat 30% U.S. federal income tax. Non-U.S. Holders are urged to consult their tax advisors regarding possible eligibility for benefits under income tax treaties.
If the third bullet point above applies to a non-U.S. Holder and applicable exceptions are not available, gain recognized by such holder on the sale, exchange or other disposition of our common stock or Warrants, as applicable, will be subject to tax at generally applicable U.S. federal income tax rates. In addition, a buyer of our common stock or Warrants may be required to withhold U.S. income tax at a rate of 15% of the amount realized upon such disposition. We will be classified as a United States real property holding corporation if the fair market value of our “United States real property interests” equals or exceeds 50% of the sum of the fair market value of our worldwide real property interests plus our other assets used or held for use in a trade or business, as determined for U.S. federal income tax purposes. We do not believe we currently are or will become a United States real property holding corporation; however, there can be no assurance in this regard. Non-U.S. Holders are urged to consult their tax advisors regarding the application of these rules.
Possible Constructive Distributions
The terms of each Warrant provide for an adjustment to the number of shares of common stock for which the Warrant may be exercised or to the exercise price of the Warrant in certain events, as discussed in the section of this prospectus captioned “Description of Our Securities — Warrants.” An adjustment that has the effect of preventing dilution generally should not be a taxable event. Nevertheless, a non-U.S. Holder of Warrants would be treated as receiving a constructive distribution from us if, for example, the adjustment increases the holder’s proportionate interest in our assets or earnings and profits (e.g., through an increase in the number of shares of common stock that would be obtained upon exercise or an adjustment to the exercise price of the Warrant) as a result of a distribution of cash to the holders of shares of our common stock that is taxable to such holders as a distribution. A non-U.S. Holder would be subject to U.S. federal income tax withholding as described above under “Tax Considerations Applicable to Non-U.S. Holders — Taxation of Distributions” under that section in the same manner as if such non-U.S. Holder received a cash distribution from us on common stock equal to the fair market value of such increased interest.
Foreign Account Tax Compliance Act
Sections 1471 through 1474 of the Code (commonly referred to as the “Foreign Account Tax Compliance Act” or “FATCA”) and Treasury Regulations and administrative guidance promulgated thereunder impose a U.S. federal withholding tax of 30% on certain payments paid to a foreign financial institution (as specifically defined by applicable rules) unless such institution enters into an agreement with the U.S. government to withhold on certain payments and to collect and provide to the U.S. tax authorities substantial information regarding U.S. account holders of such institution (which includes certain equity holders of such institution, as well as certain account holders that are foreign entities with U.S. owners). FATCA also generally imposes a federal withholding tax of 30% on certain payments to a non-financial foreign entity unless such entity provides the withholding agent with either a certification that it does not have any substantial direct or indirect U.S. owners or provides information regarding substantial direct and indirect U.S. owners of the entity. An intergovernmental agreement between the United States and an applicable foreign country may modify these requirements. The withholding tax described above will not apply if the foreign financial institution or non-financial foreign entity otherwise qualifies for an exemption from the rules.
FATCA withholding currently applies to payments of dividends. The U.S. Treasury Department has released proposed regulations which, if finalized in their present form, would eliminate the federal
 
195

TABLE OF CONTENTS
 
withholding tax of 30% applicable to the gross proceeds of a disposition of our securities. In its preamble to such proposed regulations, the U.S. Treasury Department stated that taxpayers may generally rely on the proposed regulations until final regulations are issued. Non-U.S. Holders are encouraged to consult with their own tax advisors regarding the possible implications of FATCA on their investment in our securities.
Information Reporting and Backup Withholding
Information returns will be filed with the IRS in connection with payments of distributions and the proceeds from a sale or other disposition of our securities. A non-U.S. Holder may have to comply with certification procedures to establish that it is not a United States person in order to avoid information reporting and backup withholding requirements. The certification procedures required to claim a reduced rate of withholding under a treaty generally will satisfy the certification requirements necessary to avoid the backup withholding as well. Backup withholding is not an additional tax. The amount of any backup withholding from a payment to a non-U.S. Holder will be allowed as a credit against such holder’s U.S. federal income tax liability and may entitle such holder to a refund, provided that the required information is timely furnished to the IRS.
 
196

TABLE OF CONTENTS
 
PLAN OF DISTRIBUTION
We are registering the issuance by us of up to 21,206,953 shares of common stock consisting of (i) up to 4,721,533 shares of common stock that are issuable upon the exercise of Private Warrants, (ii) up to 3,432,286 shares of common stock that are issuable upon the exercise of Public Warrants, and (iii) up to 523,140 shares of common stock that are issuable upon the exercise of Working Capital Warrants.
We are registering the resale by the selling securityholders named in this prospectus, or their permitted transferees, of (i) up to an aggregate of 36,104,035 shares of NKGen common stock, consisting of: up to (a) 17,249,368 shares of NKGen common stock (excluding the shares of NKGen common stock underlying the Private Warrants and the Working Capital Warrants), (b) 1,320,000 shares of NKGen common stock issuable upon the conversion of the Senior Convertible Notes, (c) 1,000,000 shares of NKGen common stock issuable upon the exercise of the SPA Warrants, (d) 10,209,994 shares of NKGen common stock issuable upon the exercise of PIPE Warrants, (e) 1,080,000 FPA Shares, (f) 4,721,533 Private Warrant Shares, and (g) 523,140 Working Capital Warrant Shares; and (ii) up to 5,246,033 Warrants, consisting of: (a) up to 4,721,533 Private Warrants and (b) up to 523,140 Working Capital Warrants and (c) 1,360 Working Capital Warrants.
We are required to pay all fees and expenses incident to the registration of the securities to be offered and sold pursuant to this prospectus. The selling securityholders will bear all commissions and discounts, if any, attributable to their sale of securities.
We will not receive any of the proceeds from the sale of the shares of common stock or the Warrants by the selling securityholders. We will receive proceeds from Warrants exercised in the event that such Warrants are exercised for cash. The aggregate proceeds to the selling securityholders will be the purchase price of the securities less any discounts and commissions borne by the selling securityholders.
The shares of common stock beneficially owned by the selling securityholders covered by this prospectus may be offered and sold from time to time by the selling securityholders. The term “selling securityholders” includes donees, pledgees, transferees or other successors in interest selling securities received after the date of this prospectus from a selling securityholder as a gift, pledge, partnership distribution or other transfer. The selling securityholders will act independently of us in making decisions with respect to the timing, manner and size of each sale. Such sales may be made on one or more exchanges or in the over-the-counter market or otherwise, at prices and under terms then prevailing or at prices related to the then current market price or in negotiated transactions. The selling securityholders may sell their securities by one or more of, or a combination of, the following methods:

purchases by a broker-dealer as principal and resale by such broker-dealer for its own account pursuant to this prospectus;

ordinary brokerage transactions and transactions in which the broker solicits purchasers;

block trades in which the broker-dealer so engaged will attempt to sell the shares as agent but may position and resell a portion of the block as principal to facilitate the transaction;

an over-the-counter distribution in accordance with the rules of Nasdaq;

through trading plans entered into by a selling securityholder pursuant to Rule 10b5-1 under the Exchange Act, that are in place at the time of an offering pursuant to this prospectus and any applicable prospectus supplement hereto that provide for periodic sales of their securities on the basis of parameters described in such trading plans;

short sales;

distribution to employees, members, limited partners or stockholders of the selling securityholders; through the writing or settlement of options or other hedging transaction, whether through an options exchange or otherwise;

by pledge to secured debts and other obligations;

delayed delivery arrangements;

to or through underwriters or broker-dealers;
 
197

TABLE OF CONTENTS
 

in “at the market” offerings, as defined in Rule 415 under the Securities Act, at negotiated prices, at prices prevailing at the time of sale or at prices related to such prevailing market prices, including sales made directly on a national securities exchange or sales made through a market maker other than on an exchange or other similar offerings through sales agents;

in privately negotiated transactions;

in options transactions;

through a combination of any of the above methods of sale; or

any other method permitted pursuant to applicable law.
In addition, any securities that qualify for sale pursuant to Rule 144 may be sold under Rule 144 rather than pursuant to this prospectus.
In addition, a selling securityholder that is an entity may elect to make a pro rata in-kind distribution of securities to its members, partners or stockholders pursuant to the registration statement of which this prospectus is a part by delivering a prospectus with a plan of distribution. Such members, partners or stockholders would thereby receive freely tradeable securities pursuant to the distribution through a registration statement. To the extent a distributee is an affiliate of ours (or to the extent otherwise required by law), we may, at our option, file a prospectus supplement in order to permit the distributees to use the prospectus to resell the securities acquired in the distribution.
To the extent required, this prospectus may be amended or supplemented from time to time to describe a specific plan of distribution. In connection with distributions of the securities or otherwise, the selling securityholders may enter into hedging transactions with broker-dealers or other financial institutions. In connection with such transactions, broker-dealers or other financial institutions may engage in short sales of the securities in the course of hedging the positions they assume with selling securityholders. The selling securityholders may also sell the securities short and redeliver the securities to close out such short positions. The selling securityholders may also enter into option or other transactions with broker-dealers or other financial institutions which require the delivery to such broker-dealer or other financial institution of securities offered by this prospectus, which securities such broker-dealer or other financial institution may resell pursuant to this prospectus (as supplemented or amended to reflect such transaction). The selling securityholders may also pledge securities to a broker-dealer or other financial institution, and, upon a default, such broker- dealer or other financial institution, may effect sales of the pledged securities pursuant to this prospectus (as supplemented or amended to reflect such transaction).
In effecting sales, broker-dealers or agents engaged by the selling securityholders may arrange for other broker-dealers to participate. Broker-dealers or agents may receive commissions, discounts or concessions from the selling securityholders in amounts to be negotiated immediately prior to the sale.
In offering the securities covered by this prospectus, the selling securityholders and any broker-dealers who execute sales for the selling securityholders may be deemed to be “underwriters” within the meaning of the Securities Act in connection with such sales. Any profits realized by the selling securityholders and the compensation of any broker-dealer may be deemed to be underwriting discounts and commissions.
In order to comply with the securities laws of certain states, if applicable, the securities must be sold in such jurisdictions only through registered or licensed brokers or dealers. In addition, in certain states the securities may not be sold unless they have been registered or qualified for sale in the applicable state or an exemption from the registration or qualification requirement is available and is complied with.
We have advised the selling securityholders that the anti-manipulation rules of Regulation M under the Exchange Act may apply to sales of securities in the market and to the activities of the selling securityholders and their affiliates. In addition, we will make copies of this prospectus available to the selling securityholders for the purpose of satisfying the prospectus delivery requirements of the Securities Act. The selling securityholders may indemnify any broker-dealer that participates in transactions involving the sale of the securities against certain liabilities, including liabilities arising under the Securities Act.
At the time a particular offer of securities is made, if required, a prospectus supplement will be distributed that will set forth the number of securities being offered and the terms of the offering, including
 
198

TABLE OF CONTENTS
 
the name of any underwriter, dealer or agent, the purchase price paid by any underwriter, any discount, commission and other item constituting compensation, any discount, commission or concession allowed or reallowed or paid to any dealer, and the proposed selling price to the public.
A holder of Warrants may exercise its Warrants in accordance with the Warrant Agreement on or before the expiration date set forth therein by surrendering, at the office of the Warrant Agent, Continental Stock Transfer & Trust Company, the certificate evidencing such Warrant, with the form of election to purchase set forth thereon, properly completed and duly executed, accompanied by full payment of the exercise price and any and all applicable taxes due in connection with the exercise of the Warrant, subject to any applicable provisions relating to cashless exercises in accordance with the Warrant Agreement.
We have agreed to indemnify the selling securityholders against certain liabilities, including liabilities under the Securities Act and state securities laws, relating to the registration of the Warrants or shares offered by this prospectus.
 
199

TABLE OF CONTENTS
 
LEGAL MATTERS
The validity of the securities offered hereby will be passed upon for us by Cooley LLP, San Diego, California.
EXPERTS
The financial statements of NKGen Biotech, Inc. as of December 31, 2021 and 2022, and for each of the two years in the period ended December 31, 2022, appearing in this Prospectus and Registration Statement have been audited by Ernst & Young LLP, independent registered public accounting firm, as set forth in their report thereon (which contains an explanatory paragraph describing conditions that raise substantial doubt about the Company’s ability to continue as a going concern as described in Note 1 to the financial statements) appearing elsewhere herein, and are included in reliance upon such report given on the authority of such firm as experts in accounting and auditing.
CHANGE IN REGISTRANT’S CERTIFYING ACCOUNTANT
On September 29, 2023, the Board approved the engagement of Ernst & Young LLP (“EY”) as our independent registered public accounting firm to audit our consolidated financial statements for the year ending December 31, 2023. EY served as the independent registered public accounting firm of Legacy NKGen prior to the Business Combination. Accordingly, WithumSmith+Brown, PC (“Withum”), our independent registered public accounting firm prior to the Business Combination, was informed on the Closing Date that it would be dismissed and replaced by EY as our independent registered public accounting firm.
Withum’s report on our balance sheets as of December 31, 2022 and 2021, the related statements of operations, changes in stockholders’ deficit and cash flows for the years ended December 31, 2022 and 2021 and the related notes to the financial statements (collectively, the “Graf financial statements”) did not contain any adverse opinion or disclaimer of opinion, nor were they qualified or modified as to uncertainty, audit scope or accounting principles, except for the substantial doubt about our ability to continue as a going concern and emphasis of matter regarding the restatement of unaudited interim financial statements as it pertains to the accounting treatment for the forgiveness of debt.
During the period from January 28, 2021 (inception) through December 31, 2022 and the subsequent interim period through September 29, 2023, there were no: (i) disagreements with Withum on any matter of accounting principles or practices, financial statement disclosures or audited scope or procedures, which disagreements if not resolved to Withum’s satisfaction would have caused Withum to make reference to the subject matter of the disagreement in connection with its report or (ii) reportable events as defined in Item 304(a)(1)(v) of Regulation S-K under the Exchange Act, except for (i) the material weakness disclosed under the heading “Item 9A, Controls and Procedures — Evaluation of Controls and Procedures” in Graf’s Annual Report on Form 10-K for the year ended December 31, 2022, as field with the SEC on March 31, 2023 and (ii) the material weakness disclosed under the heading “Item 9A, Controls and Procedures — Evaluation of Controls and Procedures” in Graf’s Annual Report on Form 10-K for the year ended December 31, 2021, as filed with the SEC on March 31, 2022.
During the period from January 28, 2021 (inception) through December 31, 2022, and the interim period through September 29, 2023, neither we or anyone acting on its behalf consulted EY with respect to either (i) the application of accounting principles to a specified transaction, either completed or proposed; or the type of audit opinion that might be rendered on our financial statements, and no written report or oral advice was provided to us by EY that EY concluded was an important factor considered by us in reaching a decision as to the accounting, auditing or financial reporting issue; or (ii) any matter that was either the subject of a disagreement, as that term is described in Item 304(a)(1)(iv) of Regulation S-K under the Exchange Act and the related instructions to Item 304 of Regulation S-K under the Exchange Act, or a reportable event, as that term is defined in Item 304(a)(1)(v) of Regulation S-K under the Exchange Act.
We have provided Withum with a copy of the disclosures made by us in response to the change in certifying accountant and has requested that Withum furnish us with a letter addressed to the SEC stating whether it agrees with the statements made by us in response to this Item 4.01 and, if not, stating the respects in which it does not agree. A letter from Withum is attached to as Exhibit 16.1 of this prospectus.
 
200

TABLE OF CONTENTS
 
WHERE YOU CAN FIND MORE INFORMATION
We have filed with the SEC a registration statement on Form S-1 under the Securities Act, with respect to the securities being offered by this prospectus. This prospectus, which constitutes part of the registration statement, does not contain all of the information in the registration statement and its exhibits. For further information with respect to us and the securities offered by this prospectus, we refer you to the registration statement and its exhibits. Statements contained in this prospectus as to the contents of any contract or any other document referred to are not necessarily complete, and in each instance, we refer you to the copy of the contract or other document filed as an exhibit to the registration statement. Each of these statements is qualified in all respects by this reference. You can read our SEC filings, including the registration statement, over the internet at the SEC’s website at www.sec.gov.
We are subject to the information reporting requirements of the Exchange Act, and we file reports, proxy statements and other information with the SEC. These reports, proxy statements and other information will be available for review at the SEC’s website at www.sec.gov. We also maintain a website at
https://www.nkgenbiotech.com/, at which you may access these materials free of charge as soon as reasonably practicable after they are electronically filed with, or furnished to, the SEC. The information contained in, or that can be accessed through, our website is not part of this prospectus.
 
201

TABLE OF CONTENTS
 
INDEX TO FINANCIAL STATEMENTS
NKGen Biotech, Inc.
Audited Financial Statements
F-2
F-3
F-4
F-5
F-6
F-7
Unaudited Condensed Financial Statements
F-26
F-27
F-28
F-29
F-30
 
F-1

TABLE OF CONTENTS
 
Report of Independent Registered Public Accounting Firm
To the Shareholders and the Board of Directors of NKGen Biotech, Inc.
Opinion on the Financial Statements
We have audited the accompanying balance sheets of NKGen Biotech, Inc. (the Company) as of December 31, 2021 and 2022, the related statements of operations and comprehensive loss, common stock and stockholders’ equity (deficit) and cash flows for the years then ended, and the related notes (collectively referred to as the “financial statements”).
In our opinion, the financial statements present fairly, in all material respects, the financial position of the Company at December 31, 2021 and 2022, and the results of its operations and its cash flows for the years then ended, in conformity with U.S. generally accepted accounting principles.
The Company’s Ability to Continue as a Going Concern
The accompanying financial statements have been prepared assuming that the Company will continue as a going concern. As discussed in Note 1 to the financial statements, the Company has incurred recurring losses from operations, has a working capital deficiency, and has stated that substantial doubt exists about the Company’s ability to continue as a going concern. Management’s evaluation of the events and conditions and management’s plans regarding these matters are also described in Note 1. The financial statements do not include any adjustments that might result from the outcome of this uncertainty.
Basis for Opinion
These financial statements are the responsibility of the Company’s management. Our responsibility is to express an opinion on the Company’s financial statements based on our audits. We are a public accounting firm registered with the Public Company Accounting Oversight Board (United States) (PCAOB) and are required to be independent with respect to the Company in accordance with the U.S. federal securities laws and the applicable rules and regulations of the Securities and Exchange Commission and the PCAOB.
We conducted our audits in accordance with the standards of the PCAOB and in accordance with auditing standards generally accepted in the United States of America. Those standards require that we plan and perform the audit to obtain reasonable assurance about whether the financial statements are free of material misstatement, whether due to error or fraud. The Company is not required to have, nor were we engaged to perform, an audit of its internal control over financial reporting. As part of our audits, we are required to obtain an understanding of internal control over financial reporting but not for the purpose of expressing an opinion on the effectiveness of the Company’s internal control over financial reporting. Accordingly, we express no such opinion.
Our audits included performing procedures to assess the risks of material misstatement of the financial statements, whether due to error or fraud, and performing procedures that respond to those risks. Such procedures included examining, on a test basis, evidence regarding the amounts and disclosures in the financial statements. Our audits also included evaluating the accounting principles used and significant estimates made by management, as well as evaluating the overall presentation of the financial statements. We believe that our audits provide a reasonable basis for our opinion.
/s/ Ernst & Young LLP
We have served as the Company’s auditor since 2020.
Irvine, California
May 15, 2023
except for the second, third and fourth paragraphs of note 2, as to which the date is
November 29, 2023
 
F-2

TABLE OF CONTENTS
 
NKGen Biotech, Inc.
Balance Sheets
(In Thousands, except share and par value data)
December 31,
2021
2022
Assets
Current assets:
Cash and cash equivalents
$ 351 $ 117
Accounts receivable
29
Prepaid expenses and other current assets
261 204
Total current assets
612 350
Property and equipment, net
16,567 15,521
Operating lease right-of-use assets, net
802 362
Capitalized software, net
89 97
Total assets
$ 18,070 $ 16,330
Liabilities and Stockholders’ Equity (Deficit)
Current liabilities:
Accounts payable and accrued expenses (including related party amounts of $0 and $81 as of December 31, 2021 and 2022, respectively)
$ 2,202 $ 2,652
Convertible promissory notes, current
11,219 11,392
Convertible promissory notes, due to related parties, current
259 263
Related party loans
39,000
Operating lease liability, current
458 379
Other current liabilities (including related party amounts of $1,867 and $0, as of December 31, 2021 and 2022, respectively)
1,930 55
Payroll protection program loan, current
675
Total current liabilities
55,743 14,741
Operating lease and other non-current liabilities
360
Deferred tax liability
19 26
Total liabilities
56,122 14,767
Commitments and contingencies (Note 8)
Stockholders’ equity (deficit):
Common stock, $0.0001 par value; 500,000,000 authorized shares as of December 31, 2021 and 2022, respectively; 5,873,711 and 13,303,795 shares issued and outstanding as of December 31, 2021 and 2022, respectively
1 1
Additional paid-in capital
14,369 80,738
Accumulated deficit
(52,422) (79,176)
Total stockholders’ equity (deficit)
(38,052) 1,563
Total liabilities and stockholders’ equity (deficit)
$ 18,070 $ 16,330
The accompanying notes are an integral part of these financial statements
F-3

TABLE OF CONTENTS
 
NKGen Biotech, Inc.
Statements of Operations and Comprehensive Loss
(In Thousands, except share and per share data)
Years Ended December 31,
2021
2022
Revenues
$ 426 $ 77
Costs and expenses:
Cost of revenues
30 18
Research and development (including related party amounts of $209 and $439
for the year ended December 31, 2021 and 2022, respectively)
14,672 16,746
General and administrative
7,585 7,659
Total expenses
22,287 24,423
Loss from operations
(21,861) (24,346)
Other expenses:
Interest expense (including related party amounts of $1,305 and $2,271 for the
year ended December 31, 2021 and 2022, respectively)
(1,315) (2,306)
Other expenses, net
(84) (95)
Net loss before provision for income taxes
(23,260) (26,747)
Provision for income taxes
(5) (7)
Net loss and comprehensive loss
$ (23,265) $ (26,754)
Weighted-average common shares outstanding, basic, and diluted
5,819,883 6,356,348
Net loss per share, basic and diluted
$ (4.00) $ (4.21)
The accompanying notes are an integral part of these financial statements
F-4

TABLE OF CONTENTS
 
NKGen Biotech, Inc.
Statements of Common Stock and Stockholders’ Equity (Deficit)
(In thousands, except share data)
Legacy Common Stock
Common Stock
Additional
Paid-in
Capital
Accumulated
Deficit
Total
Stockholders’
Equity
(Deficit)
Shares
Amount
Shares
Amount
Balance as of December 31, 2020
13,914,370 $ 14 $ $ 14,200 $ (29,157) $ (14,943)
Retroactive application of recapitalization (Note 2)
(13,914,370) (14) 5,682,691 1 13
Balance as of December 31, 2020, adjusted
5,682,691 1 14,213 (29,157) (14,943)
Stock-based compensation
93 93,000
Exercise of common stock options
191,020 63 63,000
Net loss
(23,265) (23,265)
Balance as of December 31, 2021
$ 5,873,711 $ 1 $ 14,369 $ (52,422) $ (38,052)
Stock-based compensation
69 69
Exercise of common stock options
486,296 161 161
Issuance of common stock upon conversion of related party loans (Note 7)
6,943,789 66,139 66,139
Net loss
(26,754) (26,754)
Balance as of December 31, 2022
$ 13,303,795 $ 1 $ 80,738 $ (79,176) $ 1,563
The accompanying notes are an integral part of these financial statements
F-5

TABLE OF CONTENTS
 
NKGen Biotech, Inc.
Statements of Cash Flows
(In Thousands)
Years Ended December 31,
2021
2022
Operating activities
Net loss
$ (23,265) $ (26,754)
Adjustments to reconcile net loss to net cash used in operating activities:
Depreciation and amortization
1,128 1,210
Stock-based compensation
93 69
Amortization of operating lease right-of use assets
116 440
Change in fair value of convertible promissory notes and convertible promissory notes due to related parties
143 177
Related party noncash interest expense
1,305 2,271
Changes in operating assets and liabilities:
Accounts receivable
111 (29)
Prepaid expenses and other current assets
(48) 57
Accounts payable and accrued expenses
959 443
Operating lease liabilities
(116) (437)
Other, net
26 (4)
Net cash used in operating activities
(19,548) (22,557)
Investing activities
Purchases of property and equipment
(403) (101)
Purchase of capitalized software
(56) (62)
Net cash used in investing activities
(459) (163)
Financing activities
Proceeds from exercise of common stock options
63 161
Proceeds from related party loans
20,500 23,000
Repayments on payroll protection program loan
(404) (675)
Net cash provided by financing activities
20,159 22,486
Net increase (decrease) in cash and cash equivalents
152 (234)
Cash and cash equivalents at the beginning of year
199 351
Cash and cash equivalents at the end of year
$ 351 $ 117
Supplemental disclosure of noncash investing and financing activities
Related party loans and interest payable converted into common stock
$ $ 66,139
Operating lease right-of use asset obtained in exchange for lease liability
$ 738 $
Property and equipment included in Accounts payable and accrued expenses
$ 98 $ 8
The accompanying notes are an integral part of these financial statements
F-6

TABLE OF CONTENTS
 
NKGen Biotech, Inc.
Notes to Financial Statements
As of and for the years ended December 31, 2021 and 2022
1. Company Information
NKGen Biotech, Inc. (“Company”, “NKGen”, “we”, “us”, or “our”), a Delaware corporation headquartered in Santa Ana, California, is a clinical-stage biotechnology company focused on the development and commercialization of innovative autologous, allogeneic and CAR-NK natural killer cell therapies utilizing their proprietary SNK (Super-Natural-Killer) platform. The Company is majority owned and controlled by NKMax Co., Ltd. (“NKMAX”), a company located in South Korea.
The Company was originally incorporated in Delaware on January 28, 2021 under the name Graf Acquisition Corp. IV (“Graf”), as a special-purpose acquisition company for the purpose of effecting a merger, capital stock exchange, asset acquisition, stock purchase, reorganization or engaging in any other similar business combination with one or more businesses or entities.
On April 14, 2023, the Company entered into the Agreement and Plan of Merger by and among Graf, Austria Merger Sub, Inc., a Delaware corporation and wholly owned subsidiary of Graf (“Merger Sub”), and NKGen Biotech, Inc. (“Merger Agreement”). Upon consummation of the transactions under the Merger Agreement on September 29, 2023 (the “Business Combination”), Merger Sub merged with and into NKGen Biotech, Inc. (“Legacy NKGen”) with Legacy NKGen surviving the merger as a wholly owned subsidiary of Graf (the “Merger”). In connection with the consummation of the Business Combination (the “Closing”), Graf was renamed to “NKGen Biotech, Inc.” and Legacy NKGen changed its name to “NKGen Operating Biotech, Inc.” The Common Stock and warrants of the combined company began trading on The Nasdaq Stock Market LLC under the symbols “NKGN” and “NKGNW”, respectively, on October 2, 2023.
Liquidity
The Company follows Financial Accounting Standards Board (“FASB”) Accounting Standards Codification (“ASC”) Topic 205-40, Presentation of Financial Statements — Going Concern, which requires that management evaluate whether there are relevant conditions and events that in aggregate raise substantial doubt about the entity’s ability to continue as a going concern and to meet its obligations as they become due within one year after the date that the financial statements are issued. Under the guidance, the Company must first evaluate whether there are conditions and events that raise substantial doubt about the entity’s ability to continue as a going concern (step 1). If the Company concludes substantial doubt is raised, management also is required to consider whether its plans alleviate that doubt (step 2).
The Company has a limited operating history, has incurred significant operating losses since its inception, and the revenue and income potential of the Company’s business and market are unproven. The preparation of these financial statements does not include any adjustments that may result from the outcome of this uncertainty. The Company’s financial statements are prepared using the generally accepted accounting principles applicable to a going concern, which contemplates the realization of assets and liquidation of liabilities in the normal course of business. As of December 31, 2022, the Company had an accumulated deficit of $79.2 million and cash and cash equivalents of $0.1 million. To date, the Company has funded its operations primarily with the net proceeds from the issuance of convertible promissory notes and the issuance of debt to a related party. The Company expects to incur substantial operating losses for the next several years and will need to obtain additional near-term financing in order to continue its research and development activities, initiate and complete clinical trials and launch and commercialize any product candidates for which it receives regulatory approval. Management has prepared cash flow forecasts which indicate that based on the Company’s expected operating losses and negative cash flows, there is substantial doubt about the Company’s ability to continue as a going concern for twelve months from the issuance of these financial statements.
The Company plans to continue to fund its losses from operations and capital funding needs through additional debt or equity financings to be received from related parties, private equity, or other sources. If
 
F-7

TABLE OF CONTENTS
 
the Company is not able to secure adequate additional funding, the Company may be forced to make reductions in spending, extend payment terms with suppliers, liquidate assets where possible, suspend or curtail planned programs, or may be forced to cease operations or file for bankruptcy protection. Any of these actions could materially harm the Company’s business, results of operations and future prospects. There can be no assurance that such financing will be available or will be on terms acceptable to the Company.
2. Summary of Significant Accounting Policies
Basis of Presentation
The accompanying financial statements have been prepared in accordance with the rules and regulations of the Securities and Exchange Commission (“SEC”) and generally accepted accounting principles in the United States of America (“US GAAP”). The Company maintains its accounting records under the accrual method of accounting in conformity with US GAAP.
Business Combination
NKMAX held a majority of the voting power of Legacy NKGen before the Business Combination and continues to hold a majority of the voting power of the Company after the Business Combination. Therefore, as there was no change in control, the Business Combination was accounted for as a common control transaction with respect to Legacy NKGen along with a reverse recapitalization of the Company. Accordingly, for accounting purposes, the financial statements of the Company represent a continuation of the financial statements of Legacy NKGen with the Business Combination being treated as the equivalent of Legacy NKGen issuing shares for the net assets of Graf, accompanied by a recapitalization. The net assets of Graf were recognized as of the Closing at historical cost, with no goodwill or other intangible assets recorded. Operations prior to the Business Combination are presented as those of Legacy NKGen and the accumulated deficit of Legacy NKGen has been carried forward after Closing.
Upon the consummation of the Business Combination, all of Legacy NKGen’s equity was converted into equity of the Company based upon an exchange ratio (“Exchange Ratio”). In addition, all stock options of Legacy NKGen were converted using the Exchange Ratio into options exercisable for shares of the Company with the same terms and vesting conditions. The Exchange Ratio as of September 29, 2023, the date of Closing, was approximately 0.408.
All periods prior to the Business Combination have been retrospectively adjusted using the Exchange Ratio to reflect the reverse recapitalization. In connection with the reverse recapitalization treatment of the Business Combination, all issued and outstanding securities of Graf upon Closing were treated as issuances of the Company upon the consummation of the Business Combination.
Use of Estimates
The preparation of financial statements in accordance with US GAAP requires management to make estimates and assumptions that impact the reported amounts of certain assets and liabilities, certain disclosures at the date of the financial statements, as well as the reported amounts of revenues and expenses during the reporting period. The most significant estimates in the Company’s financial statements include, but are not limited to, accrued research and development expenses, convertible promissory notes, convertible promissory notes due to related parties, the valuation of common stock and equity awards. These estimates and assumptions are based upon historical experience, knowledge of current events, and various other factors believed to be reasonable under the circumstances, the results of which form the basis for making judgments about the carrying values of assets and liabilities and the recording of expenses that are not readily apparent from other sources. Actual results could differ materially from those estimates.
Segments
Operating segments are defined as components of an entity for which separate financial information is available and that is regularly reviewed by the Chief Operating Decision Maker (“CODM”) in deciding how to allocate resources to an individual segment and in assessing performance. The Company’s Chief Executive Officer is the Company’s CODM. The CODM reviews financial information presented on an
 
F-8

TABLE OF CONTENTS
 
enterprise-wide basis for purposes of making operating decisions, allocating resources, and evaluating financial performance. As such, the Company has determined that it operates in one reportable segment. Additionally, the Company generates all of its revenues, and maintains all of its long-lived assets within the United States.
Cash and Cash Equivalents
The Company considers all highly liquid investments with original maturities of three months or less when purchased to be cash equivalents. The carrying amounts reported in the balance sheets for cash and cash equivalents are valued at cost, which approximate their fair value. These investments may include money market funds, U.S. Government agencies, corporate debt securities, and commercial paper. The Company has not experienced any losses in such accounts and management believes the Company has no highly liquid investments exposed to credit risk.
Concentrations of Risk
Financial instruments that potentially subject the Company to a concentration of credit risk consist of cash and cash equivalents. The Company minimizes the amount of credit exposure by investing cash that is not required for immediate operating needs in money market funds, government obligations, and/or commercial paper with short maturities. To date, the Company has not experienced any losses associated with this credit risk and continues to believe this exposure is not significant. Cash deposits are insured by the Federal Deposit Insurance Corporations (“FDIC”) up to $250,000. From time to time, the Company may have cash deposits in excess of the FDIC insured limit.
For the years ended December 31, 2021 and 2022, no customer accounted for over 10% of total revenue. As of December 31, 2021 and 2022, the Company had no trade accounts receivables outstanding and less than $0.1 million in other receivables.
Property and Equipment, net
Property and equipment are recorded at cost and depreciated over their estimated useful lives using the straight-line method. Leasehold improvements are depreciated over the shorter of their estimated useful lives or the term of the lease by use of the straight-line method. Repairs and maintenance costs are charged to expense as incurred. When assets are retired or sold, the assets and accumulated depreciation are removed from the respective amounts and any gain or loss is recognized, as applicable, in the accompanying statements of operations.
Capitalized Software, net
Expenditures related to internal use software are capitalized. Such expenditures are amortized over their period of benefit, which are generally three-year period, using the straight-line method.
Impairment of Long-Lived Assets
The Company reviews its long-lived assets for impairment whenever events or changes in circumstances indicate the carrying amount of an asset, or asset group, may not be recoverable. Recoverability is measured by a comparison of the carrying amount of an asset or asset group to estimated undiscounted future cash flows expected to be generated by the asset. If the carrying amount of an asset or asset group exceeds its estimated future cash flows, an impairment charge is recognized by the amount by which the carrying amount of the asset or asset group exceeds the fair value of the asset or asset group. The Company has not recognized any impairment losses for the years ended December 31, 2021 and 2022.
Fair Value of Financial Instruments
The Company follows ASC 820-10, Fair Value Measurements and Disclosures, issued by the FASB with respect to fair value reporting for financial assets and liabilities. The guidance defines fair value, provides guidance for measuring fair value and requires certain disclosures. The guidance does not apply to measurements related to share-based payments. The guidance discusses valuation techniques such as the
 
F-9

TABLE OF CONTENTS
 
market approach (comparable market prices), the income approach (present value of future income or cash flow), and the cost approach (cost to replace the service capacity of an asset or replacement cost). The guidance establishes a fair value hierarchy that prioritizes the inputs to valuation techniques used to measure fair value into three broad levels.
The Company’s financial instruments include cash and cash equivalents, prepaid expenses, accounts payable, accrued expenses, convertible promissory notes issued from 2019 through 2022 to investors (“2019 Convertible Notes”), convertible promissory notes due to related parties (“Related Party Convertible Notes”, together with the 2019 Convertible Notes, “Convertible Notes”) and debt due to a related party (“Related Party Loans”). The carrying amount of cash and cash equivalents, prepaid expenses and other assets, accounts payable and accrued expenses are generally considered to be representative of their respective values because of the short-term nature of those instruments.
The Company elects to account for its 2019 Convertible Notes and Related Party Convertible Notes, which meet the required criteria, at fair value at inception and at each subsequent reporting date. Subsequent changes in fair value of the Convertible Notes are recorded within other expenses, net on the accompanying statement of operations and comprehensive loss. Interest expense associated with the Convertible Notes is included in the change in fair value for the Convertible Notes. These estimates may be subjective in nature and involve uncertainties and matters of significant judgment and therefore cannot be determined with precision. The carrying value of the Company’s Related Party Loans approximates fair value as the stated interest rate approximates market rates for similar loans and due to the short-term nature of such loans.
Employee Benefit Plan
Effective January 1, 2019, the Company adopted and maintains a defined contribution plan, which qualifies under Section 401(k) of the Internal Revenue Code, on behalf of its eligible employees. Employee contributions are voluntary and are determined on an individual basis, limited to the maximum amount allowable under federal tax regulations. During the years ended December 31, 2021 and 2022, the Company did not contribute to the plan.
Revenue Recognition
Historically, the Company recognized revenue in connection with Coronavirus Disease of 2019 (“COVID-19”) testing services. During the first quarter of the year ended December 31, 2023, the Company ceased providing COVID-19 testing services.
The Company recognizes revenue in accordance with ASC 606, Revenue from Contracts with Customers, which applies to all contracts with customers, except for contracts within the scope of other standards, such as leases, insurance, collaboration arrangements, and financial instrument. Under ASC 606, revenue is recognized in a manner that depicts the transfer of control of a product or a service to a customer and reflects the amount of the consideration the Company is entitled to receive in exchange for such product or service. In doing so, the Company follows a five-step approach: (i) identify the contract with a customer, (ii) identify the performance obligations in the contract, (iii) determine the transaction price, (iv) allocate the transaction price to the performance obligations, and (v) recognize revenue when (or as) the customer obtains control of the product or service. The Company considers the terms of a contract and all relevant facts and circumstances when applying the revenue recognition standard. The Company applies the revenue recognition standard, including the use of any practical expedients, consistently to contracts with similar characteristics and in similar circumstances.
The transaction price is the amount of consideration the Company is entitled to receive in exchange for the transfer of control of a product or a service to a customer. To determine the transaction price, the Company considers the existence of any significant financing component, the effects of any variable elements, noncash considerations and consideration payable to the customer. If a significant financing component exists, the transaction price is adjusted for the time value of money. If an element of variability exists, the Company must estimate the consideration it expects to receive and uses that amount as the basis for recognizing revenue as the product or the service is transferred to the customer.
If a contract has multiple performance obligations, the Company allocates the transaction price to each distinct performance obligation in an amount that reflects the consideration the Company is entitled
 
F-10

TABLE OF CONTENTS
 
to receive in exchange for satisfying each distinct performance obligation. For each distinct performance obligation, revenue is recognized when (or as) the Company transfers control of the product or the service applicable to such performance obligation.
In those instances where the Company first receives consideration in advance of satisfying its performance obligation, the Company classifies such consideration as contract liability until (or as) the Company satisfies such performance obligation. In those instances where the Company first satisfies its performance obligation prior to its receipt of consideration, the consideration is recorded as accounts receivable.
The Company expenses incremental costs of obtaining and fulfilling a contract as and when incurred if the expected amortization period of the asset that would be recognized is one year or less, or if the amount of the asset is immaterial. Otherwise, such costs are capitalized as contract assets if they are incremental to the contract and amortized to expense proportionate to revenue recognition of the underlying contract.
Collaboration Agreement
The Company has entered into a research agreement that falls under the scope of ASC 808, Collaborative Arrangements. Reimbursements from a collaboration partner are recorded as a reduction to research and development expense in the statements of operations and comprehensive loss. Similarly, amounts that are owed to a collaboration partner are recognized as research and development expense in the statements of operations and comprehensive loss.
Research and Development Expenses
All research and development costs are expensed in the period incurred. Research and development expenses primarily consist of services provided by contract organizations for clinical development, salaries and related expenses for personnel, including stock-based compensation expense, outside service providers, facilities costs, fees paid to consultants and other professional services, license fees, depreciation and supplies used in research and development. Payments made prior to the receipt of goods or services to be used in research and development are capitalized until the related goods or services are received. Costs are accrued for research performed over the service periods specified in the contracts and estimates are adjusted, if required, based upon an ongoing review of the level of effort and costs actually incurred.
Leases
The Company accounts for its leases under ASC 842, Leases. Operating lease right-of-use (“ROU”) assets represent the Company’s right to use an underlying asset during the lease term, and operating lease liabilities represent the Company’s obligation to make lease payments arising from the lease. Operating leases are included in ROU assets, current operating lease liabilities, and non-current operating lease liabilities in the accompanying balance sheets. Operating lease ROU assets and lease liabilities are initially recognized based on the present value of the future minimum lease payments over the lease term at commencement date calculated using the Company’s incremental borrowing rate applicable to the lease asset, unless the implicit rate is readily determinable. Operating lease ROU assets also include any lease payments made at or before lease commencement and exclude any lease incentives received. The Company determines the lease term as the noncancelable period of the lease and may include options to extend or terminate the lease when it is reasonably certain the Company will exercise that option. Leases with a term of 12 months or less are not recognized in the balance sheet. The Company’s leases do not contain any residual value guarantees. Lease expense for minimum lease payments is recognized as rent expense on a straight-line basis over the lease term. Variable lease payments include lease operating expenses.
Stock-Based Compensation
Stock-based compensation expense is comprised of stock options awarded to employees and consultants. The Company accounts for share-based awards under the fair value method prescribed by ASC 718-10, Stock Compensation. The fair value of stock options is estimated using the Black-Scholes option pricing model on the date of grant. This option pricing model involves a number of estimates, including the per share value
 
F-11

TABLE OF CONTENTS
 
of the underlying common stock, exercise price, estimate of future volatility, expected term of the stock option award, risk-free interest rate and expected annual dividend yield.
The fair value of the shares of common stock underlying the stock options has historically been determined by the Company’s board of directors as there is no public market for the underlying common stock. The Company’s board of directors determines the fair value of the Company’s common stock by considering a number of objective and subjective factors including contemporaneous third-party valuations of its common stock, the valuation of comparable companies, sales of the Company’s common stock to outside investors in arms-length transactions, the Company’s operating and financial performance, the lack of marketability, and general and industry specific economic outlook, amongst other factors.
The Company recognizes the expense for options with graded-vesting schedules on a straight-line basis over the requisite service period, which is generally the vesting period. Forfeitures are recognized as they occur.
Income Taxes
The Company accounts for income taxes under the asset and liability method, which requires the recognition of deferred tax assets and liabilities for the expected future tax consequences of events that have been included in the financial statements. Under this method, deferred tax assets and liabilities are determined on the basis of the differences between the financial statements and tax basis of assets and liabilities using enacted tax rates in effect for the year in which the differences are expected to reverse. The effect of a change in tax rates on deferred tax assets and liabilities is recognized in income in the period that includes the enactment date.
The Company recognizes net deferred tax assets to the extent the Company believes these assets are more likely than not to be realized. In making such a determination, management considers all available positive and negative evidence, including future reversals of existing taxable temporary differences, projected future taxable income, tax-planning strategies, and results of recent operations. If management determines the Company would be able to realize its deferred tax assets in the future in excess of their net recorded amount, management would make an adjustment to the deferred tax asset valuation allowance, which would reduce the provision for income taxes.
The Company records uncertain tax positions on the basis of a two-step process whereby (1) management determines whether it is more likely than not the tax positions will be sustained on the basis of the technical merits of the position and (2) for those tax positions that meet the more-likely-than-not recognition threshold, management recognizes the largest amount of tax benefit that is more than 50 percent likely to be realized upon ultimate settlement with the related tax authority. The Company recognizes interest and penalties related to unrecognized tax benefits within income tax expense. Any accrued interest and penalties are included within the related tax liability. No tax liability has been recognized in the financial statements attributed to uncertain tax positions.
Basic and Diluted Net Loss Per Common Share
Basic net loss per common share is computed by dividing net loss for the year by the weighted-average number of common shares outstanding during the year. Diluted net loss per share is computed by dividing the net loss by the weighted-average number of common shares outstanding and potentially dilutive securities outstanding for the period using the treasury stock or if-converted method if their inclusion is dilutive. Diluted net loss per common share is the same as basic net loss per common share, because the inclusion of potentially dilutive shares would be anti-dilutive to the calculation of loss and comprehensive loss per common share.
Potentially anti-dilutive shares excluded from the calculation of diluted net loss per share for the years ended December 31, 2021 and 2022 includes stock options of 723,115 and 185,248, respectively (after the application of the Exchange Ratio), in addition to the shares underlying the Convertible Notes. The Company is unable to quantify the number of shares underlying the Convertible Notes as the quantity of shares issuable upon conversion, as described in Note 6, is not determinable at this time.
 
F-12

TABLE OF CONTENTS
 
Recently Adopted Accounting Pronouncements
In December 2019, the FASB issued Accounting Standards Update (“ASU”) 2019-12, Income Taxes (Topic 740): Simplifying the Accounting for Income Taxes, which is intended to simplify various aspects related to accounting for income taxes. The standard is effective for reporting periods beginning after December 15, 2021, with early adoption permitted. The Company adopted this standard as of January 1, 2021, and the adoption did not have a material impact to the Company’s financial statements.
In October 2021, the FASB issued ASU 2021-07, Compensation — Stock Compensation (Topic 718). The amendments in this update added a practical expedient that allows nonpublic entities to determine the current price of an underlying share for valuing equity-classified share-based payment awards by using the reasonable application of a reasonable valuation method. This standard is effective for fiscal years, and interim periods within those fiscal years, beginning after December 15, 2021, with early adoption permitted. The Company adopted this standard as of January 1, 2021 and the adoption did not have an impact to the financial statements.
Recently Issued Accounting Pronouncements Not Yet Adopted
In June 2016, the FASB issued ASU 2016-13, Financial Instruments — Credit Losses: Measurement of Credit Losses on Financial Instruments, which amends the impairment model by requiring entities to use a forward-looking approach based on expected losses to estimate credit losses on certain types of financial instruments, including trade receivables and available-for-sale debt securities. ASU 2016-16 will be effective for the Company for fiscal years beginning after December 15, 2022, including interim periods within those fiscal years, with early adoption permitted. The Company is currently evaluating the impact of this standard on its financial statements and related disclosures. While the adoption of this standard may result in additional disclosures, the Company does not expect its impact to be material to the financial statements.
In August 2020, the FASB issued ASU 2020-06, Debt — Debt with Conversion and Other Options (Subtopic 470-20) and Derivatives and Hedging — Contracts in Entity’s Own Equity (Subtopic 815-40): Accounting for Convertible Instruments and Contracts in an Entity’s Own Equity, which simplifies accounting for convertible instruments by removing major separation models required under current accounting principles and removes certain settlement conditions required for equity contracts to qualify for the derivative scope exception. ASU 2020-06 will be effective for the Company for fiscal years beginning after December 15, 2023, including interim periods within those fiscal years, with early adoption permitted. The Company is currently evaluating the impact of this standard on its financial statements and related disclosures.
3. Property and Equipment, net
Property and equipment, net consist of the following (in thousands) as of December 31:
December 31,
Useful Life
2021
2022
Land
$ 5,025 $ 5,025
Buildings
40 years
8,311 8,325
Furniture and fixtures
7 years
677 677
Lab equipment
5 years
3,907 4,003
Leasehold improvements
Lesser of estimated useful life
or related lease term
52 52
Office equipment
5 years
17 17
Vehicles
5 years
112 112
18,101 18,211
Less: Accumulated depreciation
(1,534) (2,690)
$ 16,567 $ 15,521
 
F-13

TABLE OF CONTENTS
 
Depreciation expense related to property and equipment was $1.1 million and $1.2 million for the years ended December 31, 2021 and 2022, respectively. No gains or losses on the disposal of property and equipment have been recorded for the years ended December 31, 2021 and 2022.
4. Additional Balance Sheet Information
Prepaid expenses and other current assets consist of the following (in thousands) as of December 31:
December 31,
2021
2022
Prepaid expenses
$ 172 $ 133
Other receivables
67 67
Other current assets
22 4
Prepaid expenses and other current assets
$ 261 $ 204
Accounts payable and accrued expenses consists of the following (in thousands) as of December 31:
December 31,
2021
2022
Accounts payable
$ 1,687 $ 975
Accrued liabilities
248 1,359
Employee compensation
240 291
Other
27 27
Accounts payable and accrued expenses
$ 2,202 $ 2,652
5. Fair Value Measurements
The Company accounts for the fair value of its financial instruments under the framework established by US GAAP which defines fair value and expands disclosures about fair value measurements. Fair value is defined as the price that would be received to sell an asset or paid to transfer a liability in an orderly transaction between market participants on the measurement date. Valuation techniques used to measure fair value must maximize the use of observable inputs and minimize the use of unobservable inputs. The standard describes a fair value hierarchy based on three levels of inputs, of which the first two are considered observable and the last unobservable, that may be used to measure fair value.
The Company’s management used the following methods and assumptions to estimate the fair value of its financial instruments:
Level 1 — Quoted prices in active markets for identical assets or liabilities the Company has the ability to access at the measurement date.
Level 2 — Inputs other than Level 1 that are observable, either directly or indirectly, such as quoted prices for similar assets or liabilities in markets that are not active; or other inputs that are observable or can be corroborated by observable market data for substantially the full term of assets or liabilities.
Level 3 — Pricing inputs that are unobservable, supported by little or no market activity and are significant to the fair value of the assets or liabilities.
The carrying amounts of the Company’s financial assets and financial liabilities are considered to be representative of their respective fair values because of the short-term nature of those instruments. The Company does not measure assets at fair value on a recurring basis.
 
F-14

TABLE OF CONTENTS
 
Liabilities measured at fair value on a recurring basis are as follows (in thousands):
Fair Value Measurements at Reporting Date Using
Balance as of
December 31, 2021
Level 1
Level 2
Level 3
2019 Convertible Notes
$ 11,219 $ $ $ 11,219
Related Party Convertible Notes
259 259
Total
$ 11,478 $  — $  — $ 11,478
Fair Value Measurements at Reporting Date Using
Balance as of
December 31, 2022
Level 1
Level 2
Level 3
2019 Convertible Notes
$ 11,392 $ $ $ 11,392
Related Party Convertible Notes
263 263
Total
$ 11,655 $  — $  — $ 11,655
The following table presents a reconciliation of the Convertible Notes, which are measured at fair value (in thousands) on a recurring basis using significant unobservable inputs (Level 3):
2019
Convertible
Notes
Related Party
Convertible
Notes
Total
Balance as of December 31, 2020
$ 10,807 $ 528 $ 11,335
Transfer from related party to unrelated party
270 (270)
Change in fair value
142 1 143
Balance as of December 31, 2021
11,219 259 11,478
Change in fair value
173 4 177
Balance as of December 31, 2022
$ 11,392 $ 263 $ 11,655
The Company determines the carrying amount of the Convertible Notes by measuring the fair value of similar debt instruments that do not have the conversion feature. If no similar debt instrument exists, fair value is estimated by using assumptions that market participants would use in pricing a debt instrument, including market interest rates, credit standing, yield curves and volatilities. Determining the fair value of the Convertible Notes requires the use of accounting estimates and assumptions. These estimates and assumptions are judgmental in nature and could have a significant impact on the determination of the debt, and the associated non-cash interest expense.
The following assumptions were used in determining the fair value of the Convertible notes:
As of
December 31,
2021
2022
Probability of conversion
90%
Probability of holding until maturity without conversion
10%
Remaining term until potential conversion trigger date (years)
0.75
Discount yield(1)
17% 20%
(1)
Estimated using a comparable bond analysis and under S&P Global Inc.’s credit rating scale using a multinominal logical regression.
 
F-15

TABLE OF CONTENTS
 
6. Debt
Convertible promissory notes
From November through December 2019, the Company issued the 2019 Convertible Notes and the Related Party Convertible Notes for total proceeds of $11.1 million.
The Convertible Notes bear interest at 1.68% per year and in the event the Company consummates, while the Convertible Notes are outstanding, an equity financing pursuant to which it sells shares of its equity securities, with an aggregate sales price of not less than $20.0 million, excluding any and all indebtedness under the Convertible Notes that is converted into Company equity securities sold in a qualified financing (“Next Round Securities”), and with the principal purpose of raising capital, then all principal, together with all unpaid accrued interest under the Notes, shall automatically convert into shares of Next Round Securities at the lesser of (i) the price obtained by dividing $300.0 million by the number of outstanding shares of common stock of the Company immediately prior to the qualified financing (assuming conversion of all securities convertible into common stock and exercise of all outstanding options and warrants, but excluding the shares of equity securities of the Company issuable upon the conversion of the Convertible Notes or other indebtedness) and (ii) a discount to the cash price per share paid by the other purchasers of Next Round Securities in the qualified financing equal to for an investor that invests up to $1.0 million in Convertible Notes: 20%, and for an investor that invests more than $1.0 million and less than $5.0 million in Convertible Notes: 25%. There are no financial or non-financial covenants associated with the Convertible Notes. The principal amounts of the Convertible Notes are due on demand as of December 31, 2022.
Paycheck Protection Program Loan
In May 2020, the Company received loan proceeds of $1.1 million pursuant to the Paycheck Protection Program (“PPP”). The PPP, established as part of the CARES Act, provides loans for small businesses to cover qualified payroll costs, rent, utilities, and interest on mortgage and other debt obligations. The loan has an interest rate of 1%. The loan was paid off in May 2022. The Company recorded interest expense of less than $0.1 million and $0.1 million related to the PPP loan to interest expense in the Statements of Operations and Comprehensive Loss for the years ended December 31, 2021 and 2022, respectively.
7. Related-Party Transactions
Advisory and research services
The Company was provided professional clinical program advisory services from Paul Song, prior to his hiring as Chief Executive Officer in December 2022. For the year ended December 31, 2021, no research and development expenses related to these advisory services were provided or recorded. For the year ended December 31, 2022, the Company recorded $0.4 million of research and development expenses related to these advisory services. As of December 31, 2022, amounts payable of less than $0.1 million remained outstanding and recorded within accounts payable and accrued expenses on the balance sheet.
The Company receives scientific research consulting services from ATGEN Canada, a sister company under common ownership. For the year ended December 31, 2021, the Company recorded $0.2 million of research and development expenses for services provided by ATGEN Canada. For the year ended December 31, 2022, no research and development expenses related to these services were provided or recorded. As of December 31, 2021 and 2022, there were no outstanding amounts payable relating to these professional research services.
Purchases of laboratory supplies
For the years ended December 31, 2021 and 2022, the Company recorded research and development expenses totaling $0.1 million and $0.1 million, respectively, associated with the purchase of laboratory supplies from NKMAX. As of December 31, 2021 and December 31, 2022, there was zero and less than $0.1 million outstanding payables, respectively, relating to the purchase of laboratory supplies, which is recorded within accounts payable and accrued expenses on the balance sheets.
 
F-16

TABLE OF CONTENTS
 
Related party loans
Between August 2019 and December 2022, the Company entered into multiple loan agreements with NKMAX under which the total proceeds received from related parties during the years ended December 31, 2021 and 2022 were $20.5 million and $23.0 million, respectively. The loans carry an interest rate of 4.6%. There are no financial or non-financial covenants associated with the debt.
In December 2022, the aggregate outstanding related party loan principal and interest of $66.1 million was converted into 6,943,789 shares of common stock (after the application of the Exchange Ratio) which has been recognized as a capital contribution within the statements of common stock and stockholders’ equity (deficit). No related party loan amounts were outstanding as of December 31, 2022. Interest expenses incurred were $1.3 million and $2.3 million for the years ended December 31, 2021 and 2022, respectively. As of December 31, 2021 and 2022, interest payable amounts owed to related parties was $1.9 million and zero, respectively, which is recorded in other current liabilities on the balance sheets.
Convertible promissory notes due to related parties
In connection with the issuance of certain Convertible Notes from November 2019 to December 2019, relatives of one of the Company’s directors invested in convertible promissory notes totaling $0.5 million. As of December 31, 2021, the principal amount and the fair value of Related Party Convertible Notes held by relatives of a director of the Company were $0.3 million. As of December 31, 2022, the principal amount and related fair value of the Related Party Convertible Notes held by relatives of a director of the Company were $0.3 million.
8. Commitments and Contingencies
Leases
As of December 31, 2021, the Company recorded an aggregate ROU asset of $0.8 million with an aggregate accumulated amortization of $0.3 million in the balance sheet as operating lease right-of-use assets, net, and an aggregate lease liability of $0.8 million in the balance sheet as operating lease liability, of which $0.5 million was classified as current and $0.4 million was classified as noncurrent. As of December 31, 2021, the weighted-average remaining lease term is 1.7 years and the weighted-average estimated incremental borrowing rate is 5.5%.
As of December 31, 2022, the Company recorded an aggregate ROU asset of $1.1 million with an aggregate amortization of $0.7 million in the accompanying balance sheet as operating lease right-of-use asset, net, and an aggregate lease liability of $0.4 million in the balance sheet as operating lease liability, current. As of December 31, 2022, the weighted-average remaining lease term is less than one year and the weighted-average estimated incremental borrowing rate is 5.9%.
Maturities of the operating lease liability as of December 31, 2022 are as follows (in thousands):
Minimum
lease
payments
2023
$ 412
Total undiscounted lease payments
412
Less: imputed interest
(33)
Total operating lease liability
$ 379
As of December 31, 2021, the Company incurred operating cost of $0.3 million, of which $0.2 million was attributable as fixed cost and less than $0.1 million was attributable as variable cost. As of December 31, 2022, the Company incurred operating cost of $0.3 million, of which $0.2 million was attributable as fixed cost and less than $0.1 million was attributable as variable cost.
License Agreements
The Company has entered into exclusive license agreements with NKMAX, as amended in October 2021, April 2023 and August 2023 (“Intercompany License”), pursuant to which the Company
 
F-17

TABLE OF CONTENTS
 
acquired certain intellectual property. Pursuant to each license agreement, as consideration for an exclusive license to the intellectual property, the Company paid an upfront fee of $1.0 million (“Licensed Technology”).
As the license has no alternative future use, the Company recognized the upfront fee as research and development expense in the statement of operations during the year ended December 31, 2020. Additionally, under each agreement, the Company shall make milestone payments to NKMAX after the first receipt of Regulatory Approval of a licensed product (“Licensed Product”) in the applicable country by the Company or any of its affiliates of $5.0 million in United States of America, $4.0 million in the European Union (“EU”) and $1.0 million in any country other than United States of America or the EU for up to four additional countries. The Company shall also pay a mid-single digit fee on the net sales of Licensed Products, the manufacture, use or sale of which are claimed by or use any Licensed Technology. As of December 31, 2022, the Company has not paid any milestone payments and no sales of Licensed Products have occurred.
Litigation
The Company is subject to legal proceedings and claims, which arise in the ordinary course of business. The Company is not subject to any currently pending legal matters or claims that would have a material adverse effect on its accompanying financial position, results of operations or cash flows.
In the normal course of business, the Company enters into contracts and agreements that contain a variety of representations and warranties and provide for general indemnifications. The Company’s exposure under these agreements is unknown because it involves claims that may be made against the Company in the future but have not yet been made. The Company accrues a liability for such matters when it is probable that future expenditures will be made, and such expenditures can be reasonably estimated. No amounts were accrued as of December 31, 2021 and 2022.
9. Stockholders’ Equity
Reverse Recapitalization
As described in Note 2, Summary of Significant Accounting Policies, all historical equity data, including stock option data, in these financial statements has been retrospectively adjusted by the Exchange Ratio to reflect the reverse recapitalization that occurred on September 29, 2023.
Common Stock
As of December 31, 2021 and 2022, the Company had authorized 500,000,000 shares of common stock, par value $0.0001 per share.
As of December 31, 2021 and 2022, 5,873,711 and 13,303,795 shares of common stock were issued and outstanding, respectively. As of December 31, 2021 and 2022, 494,126,289 and 486,696,205 shares of common stock were reserved for future issuance, respectively.
Equity Incentive Plans
The Company’s 2019 Plan (“2019 Plan”) became effective on October 23, 2019. The 2019 Plan provides for the grant of incentive stock options, non-qualified stock options, stock appreciation rights, restricted stock unit awards and performance share awards to employees, directors, and consultants of the Company. As of December 31, 2022, the Company has only issued stock options. The 2019 Plan authorized up to 2,780,000 shares to be issued under the plan as of December 31, 2022. As of December 31, 2022, the Company had issued 867,572 stock options under the 2019 Plan. As of December 31, 2022, a total of 266,668 shares remained available for future issuance under the 2019 Plan.
Stock options granted under the 2019 Plan expire no later than ten years from the date of grant and generally vest over a four-year period, with vesting occurring at a rate of 25% at the end of the first and thereafter in 36 equal monthly installments, or in the case of awards granted to board members, on a monthly basis over three or four years. In general, vested options expire if not exercised within three months after termination of service.
 
F-18

TABLE OF CONTENTS
 
The fair value of each employee and non-employee stock option grant is estimated on the date of grant using the Black-Scholes option-pricing model. Due to the Company’s limited operating history and a lack of company-specific historical and implied volatility data, the Company estimated expected volatility based on the historical volatility of a group of similar companies that are publicly traded. The historical volatility data was computed using the daily closing prices for the selected companies’ shares during the equivalent period of the calculated expected term of the stock-based awards. Due to the lack of historical exercise history, the expected term of the Company’s stock options for employees has been determined utilizing the “simplified” method for awards. The risk-free interest rate is determined by reference to the U.S. Treasury yield curve in effect at the time of grant of the award for time periods approximately equal to the expected term of the award. The expected dividend yield is zero since the Company has never paid cash dividends and does not expect to pay any cash dividends in the foreseeable future.
A summary of the Company’s stock option activity for the years ended December 31, 2021 and 2022 is as follows:
Stock Options
Outstanding
Weighted Average
Exercise Price
Outstanding as of December 31, 2020
1,034,074 $ 1.00
Exercised
(191,020) 0.34
Forfeited
(119,939) 3.28
Outstanding as of December 31, 2021
723,115 $ 0.81
Exercised
(486,296) 0.34
Forfeited
(51,588) 2.11
Outstanding as of December 31, 2022
185,231 $ 1.37
There were no stock options granted during the years ended December 31, 2021 and 2022.
Stock options outstanding, vested and expected to vest and exercisable as of December 31, 2021 and 2022 are as follows:
Number of
Stock
Options
Weighted
Average
Remaining
Contractual
Life (Years)
Weighted-
Average
Exercise
Price
Total
Aggregate
Intrinsic Value
(in thousands)
Outstanding as of December 31, 2021
723,115 7.79 $ 0.81 $ 3,674
Outstanding as of December 31, 2022
185,231 6.98 $ 1.37 $ 980
Vested and expected to vest as of December 31, 2022
185,231 6.98 $ 1.37 $ 980
Exercisable as of December 31, 2022
146,053 6.94 $ 1.13 $ 807
Intrinsic value is calculated as the difference between the exercise price of the underlying options and the fair value of the common stock for the options that had exercise prices that were lower than the per share fair value of the common stock on the date of exercise. The aggregate intrinsic value of stock options exercised during the years ended December 31, 2021 and 2022 was $0.1 million and $3.1 million, respectively. The aggregate fair value of stock options vested during the years ended December 31, 2021 and 2022 was $0.3 million and $0.6 million, respectively.
As of December 31, 2022, the total unrecognized stock-based compensation related to unvested stock option awards granted was $0.1 million, which the Company expects to recognize over a remaining weighted-average period of approximately 1.1 years.
 
F-19

TABLE OF CONTENTS
 
Stock-based compensation expense, recognized in the Company’s statements of operations for the 2019 Plan was recorded as follows for the years ended December 31, 2021 and 2022 (in thousands):
Years Ended
December 31,
2021
2022
Research and development
$ 44 $ 45
General and administrative
49 24
Total stock-based compensation expense
$ 93 $ 69
10. Collaboration Agreement
On September 17, 2020, the Company entered into a strategic collaboration with Affimed GmbH (“Affimed”) to initiate a Phase 1/2 trial of SNK01 in combination with AFM24, a tetravalent biologic created by Affimed designed to direct NK cell killing of epidermal growth factor receptor (“EGFR”) expressing tumors. Under the collaboration agreement, the Company and Affimed split the development costs of the combination product equally. Total reductions to research and development expenses for each of the years ended December 31, 2021 and 2022 were $0.4 million.
11. Income Taxes
The Company is subject to taxation in the U.S. and various state jurisdictions. The Company is not subject to taxation in foreign countries. The provision for income taxes for the years ended December 31, 2021 and 2022 are as follows (in thousands):
Years Ended
December 31,
2021
2022
Current:
Federal
$ $
State
Deferred:
Federal
5 7
State
Provision for income taxes
$ 5 $ 7
A reconciliation of the income tax computed at federal statutory income tax rate to the reported provision for income taxes is as follows (in thousands):
Years Ended
December 31,
2021
2022
Tax benefit at statutory federal rate
$ (4,885) $ (5,618)
State tax, net of federal tax benefit
(1,500) (1,694)
Interest expense
274 477
Increase in valuation allowance
6,993 7,908
Permanent items
30 37
General business tax credit
(923) (1,098)
Other
16 (5)
Provision for income taxes
$ 5 $ 7
 
F-20

TABLE OF CONTENTS
 
Significant components of the Company’s deferred income taxes are as follows (in thousands):
December 31,
2021
2022
Deferred tax assets:
Net operating losses
$ 14,380 $ 17,890
Tax credit carryforwards, net
2,191 3,285
Accrued expenses
52 347
Section 174 R&E capitalization
2,847
Lease liability
229 106
Stock-based compensation
15 20
Total deferred tax assets
16,867 24,495
Deferred tax liabilities:
Operating lease right-of-use asset
(224) (101)
Property and equipment
(745) (595)
Total deferred tax liabilities
(969) (696)
Net deferred tax assets
15,898 23,799
Less: Valuation allowance
(15,917) (23,825)
Net deferred tax liability
$ (19) $ (26)
Realization of deferred tax assets is dependent upon future earnings, if any, the timing and amount of which are uncertain. Due to the lack of earnings history, the deferred tax assets have been offset by a valuation allowance net of reversing deferred tax liabilities that provided for a source of future taxable income. The valuation allowance increased by approximately $7.0 million and $7.9 million for the years ended December 31, 2021 and 2022, respectively.
The Company has net operating loss carryforwards for federal and state income tax purposes of approximately $61.3 million and $71.6 million, respectively, as of December 31, 2022. Under the Tax Act and Jobs Act of 2017, the $61.3 million of federal net operating losses generated after December 31, 2017 will be carried forward indefinitely. The California net operating loss carryforwards will begin to expire in 2037 unless previously utilized.
As of December 31, 2022, the Company also had federal and California research and development tax credit carryforward of approximately $2.2 million and $1.8 million, respectively. The federal research and development credit carryforwards will begin to expire in 2038. The California research and development credit carryforwards are available indefinitely.
Federal and California tax laws impose significant restrictions on the utilization of net operating loss carryforwards in the event of a change in ownership of the Company, as defined by Internal Revenue Code Sections 382 and 383. The Company has not completed a formal study to determine the limitations on their tax attributes due to change in ownership and may have limitations on the utilization of net operating loss carryforwards, credit carryforwards, or other tax attributes due to ownership changes.
The Inflation Reduction Act of 2022 (“IRA”) which incorporates a Corporate Alternative Minimum Tax (CAMT) was signed on August 16, 2022. The changes will be effective for the tax years beginning after December 31, 2022. The new tax law will require companies to compute two separate calculations for federal income tax purposes and pay the greater of the new minimum tax or their regular tax liability. The IRA is not expected to have a material impact for the Company.
Under the Coronavirus Aid, Relief, and Economic Security (“CARES”) Act signed into law on March 27, 2020, net operating losses (“NOLs”) arising in tax years beginning after December 31, 2017, and before January 1, 2021 may be carried back to each of the five tax years preceding the tax year of such loss. Moreover, under the Tax Act as modified by the CARES Act, federal NOLs of the Company’s corporate subsidiaries generated in tax years ending after December 31, 2017 may be carried forward indefinitely, but
 
F-21

TABLE OF CONTENTS
 
the deductibility of federal NOLs, particularly for tax years beginning on or after January 1, 2021, may be limited. The Company is currently assessing the impact the CARES Act will have on the Company’s financial statements.
Uncertain Tax Benefits
No liability related to uncertain tax positions is recorded on the financial statements. The following table summarizes the activity related to the Company’s unrecognized tax benefits for the year ended December 31 (in thousands):
Years Ended
December 31,
2021
2022
Beginning balance
$ 156 $ 269
Additions for tax positions related to the current year
113 131
Reductions for tax positions related to prior years
3
Ending balance
$ 269 $ 403
The reversal of uncertain tax benefits would not affect the effective tax rate to the extent that the Company continues to maintain a valuation allowance against its deferred tax assets. The Company does not anticipate any significant changes to unrecognized tax benefits over the next 12 months.
Income tax returns are filed in the United States and California. The Company is not currently under audit by the Internal Revenue Service and the State of California. The years 2019 and forward remain open to examination for federal income tax purposes and the years 2018 and forward for California income tax to which the Company is subject. Due to net operating loss carryforwards, all years effectively remain open to income tax examination by the domestic taxing jurisdictions in which the Company files tax returns.
The Company’s practice is to recognize interest and penalties related to income tax matters in income tax expense. For the years ended December 31, 2021 and 2022 the Company has not recognized any interest or penalties related to income tax in the Company’s statements of operations.
12. Subsequent Events
Amendment to the 2019 Plan and Stock Option Grants
In February 2023, the Company amended its 2019 Plan to increase the aggregate number of shares of Common Stock reserved from 2,780,000 shares to 8,723,922 shares. From January 1, 2023 through May 15, 2023, the Company issued a total of 5,322,456 options to purchase common stock at an exercise price of $2.72 per share. Immediately following the issuance, a total of 1,770,389 shares remained available for future issuance under the 2019 Plan.
2023 NKMAX Loans
From January through April 2023, NKGen entered into additional loan agreements with NKMAX for aggregate gross proceeds of $5.0 million. The terms of the loans included a 4.6% interest rate and a maturity date of December 31, 2024.
Business Combination
On April 14, 2023, the board of directors of Graf Acquisition Corp. IV, a Delaware corporation (“Graf,”), unanimously approved the Agreement and Plan of Merger, dated April 14, 2023, by and among Graf, Austria Merger Sub, Inc., a Delaware corporation and wholly owned subsidiary of Graf (“Merger Sub”), and the Company (as it may be amended and/or restated from time to time, the “Merger Agreement”). If the Merger Agreement is adopted by Graf’s stockholders and the transactions under the Merger Agreement are consummated (the “Business Combination”), Merger Sub will merge with and into the Company with the Company surviving the merger as a wholly owned subsidiary of Graf (the “Merger”).
 
F-22

TABLE OF CONTENTS
 
In connection with the consummation of the Business Combination (the “Closing” and the date of the Closing, the “Closing Date”), Graf will be renamed “NKGen Biotech, Inc.” and the Company will change its name to “NKGen Operating Biotech, Inc.” References below to “New NKGen” denote Graf as the post-Business Combination entity.
In accordance with the terms and subject to the conditions set forth in the Merger Agreement, Graf has agreed to pay to equity holders of the Company (other than holders of unvested NKGen options to purchase shares of common stock of NKGen (“NKGen options”) as of immediately prior to the effective time of the Merger (the “Effective Time”) aggregate consideration (the “Merger Consideration”) of a number of shares of newly issued common stock, par value $0.0001 per share, of New NKGen (“Common Stock”), valued at $10.00 per share, equal to the product of the number of outstanding shares of common stock of the Company (“NKGen common stock”) at the Closing, multiplied by the Exchange Ratio. The “Exchange Ratio” is equal to the quotient of (A) the sum of (i) $145.0 million plus (ii) the aggregate amount of principal and accrued interest underlying convertible promissory notes of NKGen (“NKGen Convertible Notes”) that are converted into shares of the Company common stock as of immediately prior to the effective time of the Merger (the “Effective Time”), divided by (B) $10.00, divided by (C) the number of Fully Diluted common stock of the Company (as defined below) immediately prior to the Effective Time. Prior to the Closing, the Company will use its commercially reasonable efforts to cause each convertible note to be converted into shares of NKGen common stock pursuant to its terms as of immediately prior to the Effective Time.
Additionally, at the Effective Time, each outstanding and unexercised stock option of the Company will be cancelled and converted into an option to acquire Common Stock (“New NKGen Options”), provided that: (i) each such New NKGen Option shall be exercisable for that number of shares of Common Stock equal to the product (rounded down to the nearest whole number) of (A) the number of shares of NKGen common stock subject to such NKGen Option immediately prior the Effective Time multiplied by (B) the Exchange Ratio, and (ii) the per share exercise price for each share of Common Stock issuable upon exercise of the New NKGen Option shall be equal to the quotient (rounded up to the nearest whole cent) obtained by dividing (A) the exercise price per share of each NKGen Option immediately prior to the Effective Time by (B) the Exchange Ratio.
2023 Convertible Notes
From March through May 15, 2023, the Company issued convertible promissory notes to investors for total proceeds of $4.1 million, of which $0.1 million was issued to a related party (the “2023 Convertible Notes”). The 2023 Convertible Notes bear interest at 4.55% per year and in the event the Company consummates, while the 2023 Convertible Notes are outstanding, an equity financing pursuant to which it sells shares of its equity securities, with an aggregate sales price of not less than $20.0 million in a qualified financing of Next Round Securities, excluding any and all indebtedness under the 2023 Convertible Notes that is converted into Next Round Securities, and with the principal purpose of raising capital, then all principal, together with all unpaid accrued interest under the 2023 Convertible Notes, shall automatically convert into shares of Next Round Securities at the lesser of (i) the price obtained by dividing (A) $300.0 million by (B) the number of outstanding shares of common stock of the Company immediately prior to the qualified financing (assuming conversion of all securities convertible into common stock and exercise of all outstanding options and warrants, but excluding the shares of equity securities of the Company issuable upon the conversion of the 2023 Convertible Notes or other indebtedness) and (ii) a discount to the cash price per share paid by the other purchasers of Next Round Securities in the qualified financing equal to for an investor that invests up to $5.0 million in the 2023 Convertible Notes: 15%, and for an investor that invests more than $5.0 million and less than $10.0 million in Notes: 20%, and for an investor that invests more than $10.0 million in 2023 Convertible Notes: 25%. The maturity dates of the 2023 Convertible Notes are three years from the respective issuance dates.
Modification to the Convertible Notes
In April 2023, the Company (i) modified the Convertible Notes to extend the maturity date to December 31, 2023 and (ii) modified the Convertible Notes and the 2023 Convertible Notes to provide that upon the closing of a transaction such as the Business Combination, the Convertible Notes and 2023
 
F-23

TABLE OF CONTENTS
 
Convertible Notes will, immediately prior to the closing of such transaction, convert into the Company’s common stock at a conversion price equal to (a) the value ascribed to the consideration to be paid in respect of one share of common stock in the definitive agreement(s) relating to such transaction, multiplied by (b) the discount figure applicable to a qualified financing as set forth in Note 6.
Amendment to NKMAX License
In April 2023, the Company and NKMAX executed an amendment to the Intercompany License to expand the scope of Licensed Products initially limited to cancer treatment to any field of use.
13. Subsequent Events (unaudited)
Additional 2023 Convertible Notes
On May 19, 2023, the Company issued additional 2023 Convertible Notes for total proceeds of $0.8 million with the same terms as set forth above for the 2023 Convertible Notes issued from March through May 15, 2023.
In August and September 2023, NKGen issued additional convertible notes of $1.4 million to investors. The terms of the additional convertible notes issued in August and September 2023 are consistent with those set forth for the 2023 Convertible Notes in Note 6.
Revolving Line of Credit
In June 2023, the Company entered into a $5.0 million revolving line of credit agreement with a commercial bank with a one-year term and an interest rate based on the higher of (i) the one month secured overnight financing rate plus 2.85% or (ii) 7.50%. Issuance fees of $0.1 million were incurred in connection with this revolving line of credit. The revolving line of credit is secured by all of the Company's assets, including a deed of trust over the Company’s owned real property located in Santa Ana, California. Additionally, the Company is required to maintain a restricted cash balance of $0.3 million following the issuance. In June 2023, the Company executed a draw of $3.8 million on this revolving line of credit. In July 2023, the Company executed an additional draw of $1.1 million upon the revolving line of credit. On September 19, 2023, the minimum deposit requirement under the revolving line of credit was modified such that NKGen will be required to maintain the $15.0 million minimum deposits beginning as of December 31, 2023. No repayments of draws occurred through October 19, 2023.
Collaboration Agreement
The study associated with the strategic collaboration with Affimed was discontinued by mutual agreement in June 2023.
Amendment to NKMAX License
In August 2023, the Company and NKMAX executed an amendment to the Intercompany License to clarify that the Company shall not be responsible for certain fees or costs previously paid or incurred by NKMAX.
Short Term Related Party Loan
In September 2023, NKGen raised $0.3 million in proceeds in connection with a related party loan with a 30-day term and an interest rate of 5.12%. This related party loan is not convertible into equity. This loan was repaid on October 5, 2023.
Employee Stock Purchase Plan
Upon consummation of the Business Combination, NKGen adopted an employee stock purchase plan (“ESPP”). The maximum number of shares of NKGen common stock that may be issued under the ESPP is 3% of the fully diluted common stock of NKGen, determined as of immediately following Closing. Such
 
F-24

TABLE OF CONTENTS
 
maximum number of shares is subject to automatic annual increases. NKGen employees and the employees of any designated affiliates may participate in the ESPP. The purchase price of the ESPP shares is 85% of the lesser of the fair market value of NKGen common stock on the first day of an offering or on the applicable date of purchase.
Warrant Subscription Agreements
The Company entered into warrant subscription agreements (the “Warrant Subscription Agreements”) that closed on September 29, 2023, for total proceeds of $10.2 million with certain investors (the “Warrant Investors”), pursuant to which the Investors agreed to purchase an aggregate of 10,209,994 warrants, at a purchase price of $1.00 per warrant (the “Subscribed Warrants”). The Subscribed Warrants are exercisable for cash (or by “cashless” exercise under certain circumstances) during the five-year period beginning on the Closing Date. One-third of the Subscribed Warrants are exercisable initially at $10.00, one-third of the Subscribed Warrants are exercisable initially at $12.50, and one-third of the Subscribed Warrants are exercisable initially at $15.00. The initial exercise prices of each tranche are subject to adjustment every 180 days after the Closing based upon declines in trading prices of the Company’s common stock, as well as antidilution adjustments for stock splits, stock dividends, and the like. In addition, the Subscribed Warrants contain a downside protection provision, pursuant to which the Warrant Investors may demand a cashless exchange of certain Subscribed Warrants and, to the extent the relevant reference price is less than $1.50, a cash payment calculated as the difference between $1.50 and the then-current exercise price multiplied by the applicable number of warrant shares shall be paid to the Warrant Investors.
Securities Purchase Agreement
On September 29, 2023 NKGen received $10.0 million in connection with the issuance of the Senior Convertible notes which have a four-year term and an interest rate of 5.0% paid in cash semi-annually or 8.0% paid in kind (“Senior Convertible Notes”). The Senior Convertible Notes have a conversion price of $10.00 per share of common stock (subject to anti-dilution adjustments in the event of stock splits and the like), and a put option commencing 2.5 years after their issuance. Additionally, pursuant to the Securities Purchase Agreement, 1,000,000 warrants were issued to NKMAX at an exercise price of $11.50 per warrant (“SPA Warrants “). Such warrants have terms identical to the Public Warrants.
Forward Purchase Agreements, Subscription Agreements, and Side Letter
On September 22, 2023, September 26, 2023, and September 29, 2023, the Company entered into private agreements (“Private Placement Agreements”) with investors (“FPA Investors” or “Sellers”) consisting of Forward Purchase Agreements, Subscription Agreements, and a Side Letter. Concurrently with the Closing of the Business Combination, the FPA Investors purchased 3,168,121 shares of common stock (“Subscribed Shares”) in exchange for a subscription receivable of $32.9 million (“Prepayment Amount”), which was placed into an escrow account for the benefit of the FPA Investors (“Escrow Account”). The terms of the Private Placement Agreements provide that following a one-year period after the Closing (“Measurement Period”), subject to early termination and settlement at the election of the FPA Investors, the funds placed into the Escrow Account will be released to the Company, the FPA Investors, or a combination of both, based on a combination of factors, including the number of shares sold by the FPA Investors during the Measurement Period, the volume weighted average price of the Company’s common stock over a specified valuation period, and the application of antidilution provisions. In addition to the Subscribed Shares, the FPA Investors received an aggregate 314,889 share consideration shares (“Share Consideration Shares”), consisting of (i) the award of 200,000 Share Consideration Shares to Meteora Entities (as defined below) which were public shares redeemed and reversed by Graf Stockholders, (ii) the award of 34,889 Share Consideration Shares to Sandia Entities (as defined below) which were public shares redeemed and reversed by Graf Stockholders, and (iii) the issuance of 80,000 Share Consideration Shares, which are new shares of common stock issued in connection with the Closing, each for no cash consideration. In addition, the Meteora Entities received 200,000 structuring shares, pursuant to a side letter, (“Structuring Shares”, collectively with the Share Consideration Shares, “Incremental Shares”), which were also public shares of Graf common stock previously held by Graf Stockholders. These Incremental Shares are not subject to an escrow arrangement. The Incremental Shares were converted into shares of NKGen common stock on a one-for-one basis at Closing. Accordingly, such shares have the same voting as well as dividend and liquidation participation rights as other shares of NKGen common stock.
 
F-25

TABLE OF CONTENTS
 
NKGEN BIOTECH, INC.
CONDENSED CONSOLIDATED BALANCE SHEETS
(In thousands, except share and par value data)
September 30,
2023
December 31,
2022
(Unaudited)
Assets
Current assets:
Cash and cash equivalents
$ 8,786 $ 117
Accounts receivable
29
Restricted cash
250
Prepaid expenses and other current assets
1,313 204
Total current assets
10,349 350
Property and equipment, net
14,670 15,521
Operating lease right-of-use assets, net
89 362
Capitalized software, net
90 97
Total assets
$ 25,198 $ 16,330
Liabilities and Stockholders’ Equity (Deficit)
Current liabilities:
Accounts payable and accrued expenses (including related party amounts of $401 and $81 as of September 30, 2023 and December 31, 2022, respectively)
$ 12,965 $ 2,652
Convertible promissory notes, current
11,392
Convertible promissory notes, due to related parties
263
Revolving line of credit
4,931
Related party loan, current
300
Operating lease liability
96 379
Other current liabilities (including related party amounts of $160 and zero, as
of September 30, 2023 and December 31, 2022, respectively)
355 55
Forward purchase derivative liability
20,201
Total current liabilities
38,848 14,741
Related party loans
5,000
Deferred tax liability
26 26
Derivative warrant liabilities
12,255
Senior convertible promissory notes, noncurrent, due to related parties
9,707
Total liabilities
65,836 14,767
Commitments and contingencies (Note 14)
Stockholders’ equity (deficit):
Common stock, $0.0001 par value; 500,000,000 authorized shares as of each
of September 30, 2023 and December 31, 2022; 21,888,976 and 13,303,795
shares issued and outstanding as of September 30, 2023 and December 31,
2022, respectively
2 1
Additional paid – in capital
120,799 80,738
Subscription receivable
(32,915)
Accumulated deficit
(128,524) (79,176)
Total stockholders’ equity (deficit)
(40,638) 1,563
Total liabilities and stockholders’ equity (deficit)
$ 25,198 $ 16,330
The accompanying notes are an integral part of these unaudited condensed consolidated financial statements
F-26

TABLE OF CONTENTS
 
NKGEN BIOTECH, INC.
CONDENSED CONSOLIDATED STATEMENTS OF OPERATIONS AND COMPREHENSIVE LOSS
(In thousands, except share and per share data)
(Unaudited)
For the Three Months Ended
September 30,
For the Nine Months Ended
September 30,
2023
2022
2023
2022
Revenues
$ $ 3 $ $ 77
Costs and expenses:
Cost of revenues
3
Research and development (including related party amounts of $401, $140, $401 and $337 for the three months ended September 30, 2023 and 2022 and nine months ended September 30, 2023 and 2022, respectively)
3,929 4,121 11,577 12,659
General and administrative
2,974 1,874 8,737 5,501
Total expenses
6,903 5,995 20,314 18,163
Loss from operations
(6,903) (5,992) (20,314) (18,086)
Other income (expense):
Interest expense (including related party amounts of $63, $628, $160 and $1,663 for the three months ended September 30, 2023 and 2022 and the nine months ended September 30, 2023 and 2022, respectively)
(211) (636) (307) (1,690)
Change in fair value of convertible promissory
notes and convertible promissory notes due to
related parties (including related party
amounts of $42, $1, $12 and $3 for the
three months ended September 30, 2023 and
2022 and the nine months ended
September 30, 2023 and 2022, respectively)
1,741 (73) (1,043) (88)
Loss on issuance of forward purchase
contract
(24,475) (24,475)
Transaction costs expensed
(3,329) (3,329)
Other income, net
8 120 58
Net loss before provision for income taxes
(33,177) (6,693) (49,348) (19,806)
Provision for income taxes
Net loss and comprehensive loss
$ (33,177) $ (6,693) $ (49,348) $ (19,806)
Weighted-average common shares outstanding, basic, and diluted
13,397,968 6,088,729 13,342,568 5,962,841
Net loss per share, basic and diluted
$ (2.48) $ (1.10) $ (3.70) $ (3.32)
The accompanying notes are an integral part of these unaudited condensed consolidated financial statements
F-27

TABLE OF CONTENTS
 
NKGEN BIOTECH, INC.
CONDENSED CONSOLIDATED STATEMENTS OF STOCKHOLDERS’ DEFICIT
(In thousands, except share data)
(Unaudited)
Three Months Ended September 30, 2023 and 2022
Legacy Common Stock
Common Stock
Additional
Paid-in
Capital
Subscription
Receivable
Accumulated
Deficit
Total
Stockholders’
Deficit
Shares
Amount
Shares
Amount
Balance as of June 30, 2023
32,606,548 $ 33 $ $ 82,958 $ $ (95,347) $ (12,356)
Retroactive application of recapitalization
(32,606,548) (33) 13,316,662 1 32
Balance as of June 30, 2023, adjusted
13,316,662 1 82,990 (95,347) (12,356)
Stock-based compensation
967 967
Reverse recapitalization transactions, net
8,572,314 1 36,842 (32,915) 3,928
Net loss
(33,177) (33,177)
Balance as of September 30, 2023
$ 21,888,976 $ 2 $ 120,799 $ (32,915) $ (128,524) $ (40,638)
Balance as of June 30, 2022
14,474,484 $ 14 $ $ 14,405 $ $ (65,535) $ (51,116)
Retroactive application of recapitalization
(14,474,484) (14) 5,911,444 1 13
Balance as of June 30, 2022, adjusted
5,911,444 1 14,418 (65,535) (51,116)
Stock-based compensation
16 16
Exercise of common stock options
448,206 149 149
Net loss
(6,693) (6,693)
Balance as of September 30, 2022
$ 6,359,650 $ 1 $ 14,583 $ $ (72,228) $ (57,644)
Nine Months Ended September 30, 2023 and 2022
Legacy Common Stock
Common Stock
Additional
Paid-in
Capital
Subscription
Receivable
Accumulated
Deficit
Total
Stockholders’
Deficit
Shares
Amount
Shares
Amount
Balance as of December 31, 2022
32,575,043 $ 33 $ $ 80,706 $ $ (79,176) $ 1,563
Retroactive application of recapitalization
(32,575,043) (33) 13,303,795 1 32
Balance as of December 31, 2022, adjusted
13,303,795 1 80,738 (79,176) 1,563
Stock-based compensation
3,208 3,208
Exercise of common stock options
12,867 11 11
Reverse recapitalization transactions, net
8,572,314 1 36,842 (32,915) 3,928
Net loss
(49,348) (49,348)
Balance as of September 30, 2023
$ 21,888,976 $ 2 $ 120,799 $ (32,915) $ (128,524) $ (40,638)
Balance as of December 31, 2021
14,382,093 $ 14 $ $ 14,356 $ $ (52,422) $ (38,052)
Retroactive application of recapitalization
(14,382,093) (14) 5,873,711 1 13
Balance as of December 31, 2021, adjusted
5,873,711 1 14,369 (52,422) (38,052)
Stock-based compensation
54 54
Exercise of common stock options
485,939 160 160
Net loss
(19,806) (19,806)
Balance as of September 30, 2022
6,359,650 $ 1 $ 14,583 $ $ (72,228) $ (57,644)
The accompanying notes are an integral part of these unaudited condensed consolidated financial statements
F-28

TABLE OF CONTENTS
 
NKGEN BIOTECH, INC.
CONDENSED CONSOLIDATED STATEMENTS OF CASH FLOWS
(In thousands)
(Unaudited)
For the Nine Months Ended
September 30,
2023
2022
Operating Activities
Net loss
$ (49,348) $ (19,806)
Adjustments to reconcile net loss to net cash used in operating activities:
Depreciation and amortization
903 904
Stock-based compensation
3,207 54
Noncash lease expense
273 331
Change in fair value of convertible promissory notes and convertible promissory notes due to related parties
1,043 88
Noncash interest expense (including related party amounts of $160 and $1,663 for
the nine months ended September 30, 2023 and 2022, respectively)
300 1,663
Transaction costs expensed
3,329
Loss on issuance of forward purchase contract
24,475
Changes in operating assets and liabilities:
Accounts receivable
29 (45)
Prepaid expenses and other current assets
(1,037) (47)
Accounts payable and accrued expenses
2,100 91
Operating lease liabilities
(283) (327)
Other, net
3
Net cash used in operating activities
(15,009) (17,091)
Investing activities
Purchases of property and equipment
(109)
Purchases of capitalized software
(30) (49)
Net cash used in investing activities
(30) (158)
Financing activities
Proceeds from exercise of common stock options
12 160
Proceeds from related party loans
5,300 17,500
Proceeds from issuance of convertible promissory notes and convertible promissory notes due to related parties
6,215
Proceeds from draws on revolving line of credit
4,931
Proceeds from issuance of common stock
1,667
Proceeds from issuance of senior convertible promissory notes due to related parties and warrants
10,000
Proceeds from issuance of PIPE warrants
10,210
Payment of debt issuance costs on revolving line of credit
(72)
Repayments on paycheck protection loan
(675)
Payment of deferred underwriting fee
(1,250)
Payment of transaction costs
(13,055)
Net cash provided by financing activities
23,958 16,985
Net increase in cash, cash equivalents, and restricted cash
8,919 (264)
Cash, cash equivalents, and restricted cash at the beginning of period
117 351
Cash, cash equivalents, and restricted cash at the end of period
$ 9,036 $ 87
Cash and cash equivalents
8,786 87
Restricted cash
250
Total cash, cash equivalents, and restricted cash
$ 9,036 $ 87
Supplemental disclosure of noncash investing and financing activities
Issuance of subscription receivable
$ 32,915 $
Conversion of legacy convertible promissory notes
$ 18,913 $
Unpaid transaction costs included in accounts payable and accrued expenses
$ 7,338 $
Assumption of derivative warrant liabilities
$ 2,045 $
Capitalized software costs included in accounts payable and accrued expenses
$ 15 $
The accompanying notes are an integral part of these unaudited condensed consolidated financial statements
F-29

TABLE OF CONTENTS
 
NKGEN BIOTECH, INC.
NOTES TO CONDENSED CONSOLIDATED FINANCIAL STATEMENTS
(Unaudited)
1.   Company Information
NKGen Biotech, Inc. (“Company” or “NKGen”), a Delaware corporation headquartered in Santa Ana, California, is a clinical-stage biotechnology company focused on the development and commercialization of innovative autologous, allogeneic and CAR-NK natural killer cell therapies utilizing their proprietary SNK (Super-Natural-Killer) platform. The Company is majority owned and controlled by NKMAX Co., Ltd. (“NKMAX”), a company formed under the laws of the Republic of Korea.
The Company was originally incorporated in Delaware on January 28, 2021 under the name Graf Acquisition Corp. IV (“Graf”), as a special-purpose acquisition company for the purpose of effecting a merger, capital stock exchange, asset acquisition, stock purchase, reorganization or engaging in any other similar business combination with one or more businesses or entities.
On April 14, 2023, the Company entered into the Agreement and Plan of Merger by and among Graf, Austria Merger Sub, Inc., a Delaware corporation and wholly owned subsidiary of Graf (“Merger Sub”), and NKGen Biotech, Inc. (“Merger Agreement”). Upon consummation of the transactions under the Merger Agreement on September 29, 2023 (the “Business Combination”), Merger Sub merged with and into NKGen Biotech, Inc. (“Legacy NKGen”) with Legacy NKGen surviving the merger as a wholly owned subsidiary of Graf (the “Merger”). In connection with the consummation of the Business Combination (the “Closing”), Graf was renamed to “NKGen Biotech, Inc.” and Legacy NKGen changed its name to “NKGen Operating Biotech, Inc.” The Common Stock and warrants of the combined company began trading on The Nasdaq Stock Market LLC under the symbols “NKGN” and “NKGNW”, respectively, on October 2, 2023.
Throughout the notes to the unaudited condensed consolidated financial statements, unless otherwise noted or otherwise suggested by context, the “Company” refers to Legacy NKGen prior to the consummation of the Business Combination, and the Company after the consummation of the Business Combination.
Liquidity
The Company follows Financial Accounting Standards Board (“FASB”) Accounting Standards Codification (“ASC”) Topic 205-40, Presentation of Financial Statements — Going Concern, which requires that management evaluate whether there are relevant conditions and events that in aggregate raise substantial doubt about the entity’s ability to continue as a going concern and to meet its obligations as they become due within one year after the date that the condensed consolidated financial statements are issued. Under the guidance, the Company must first evaluate whether there are conditions and events that raise substantial doubt about the entity’s ability to continue as a going concern (step 1). If the Company concludes substantial doubt is raised, management also is required to consider whether its plans alleviate that doubt (step 2).
The Company has a limited operating history, has incurred significant operating losses since its inception, and the revenue and income potential of the Company’s business and market are unproven. The preparation of these condensed consolidated financial statements does not include any adjustments that may result from the outcome of this uncertainty. The Company’s condensed consolidated financial statements are prepared using the generally accepted accounting principles applicable to a going concern, which contemplates the realization of assets and liquidation of liabilities in the normal course of business. As of September 30, 2023, the Company had an accumulated deficit of $128.5 million and cash and cash equivalents of $8.8 million. To date, the Company has funded its operations primarily with the net proceeds from the issuance of convertible promissory notes, the issuance of debt to related parties, draws upon a revolving line of credit, the issuance and sale of equity securities, and proceeds from the Business Combination. The Company expects to incur substantial operating losses for the next several years and will need to obtain additional near-term financing in order to continue its research and development activities, initiate and complete clinical trials and launch and commercialize any product candidates for which it receives regulatory
 
F-30

TABLE OF CONTENTS
 
approval. Management has prepared cash flow forecasts which indicate that based on the Company’s expected operating losses and negative cash flows, there is substantial doubt about the Company’s ability to continue as a going concern for twelve months from the issuance of these condensed consolidated financial statements.
The Company plans to continue to fund its losses from operations and capital funding needs through additional debt or equity financings to be received from related parties, private equity, or other sources. If the Company is not able to secure adequate additional funding, the Company may be forced to make reductions in spending, extend payment terms with suppliers, liquidate assets where possible, suspend or curtail planned programs, or may be forced to cease operations or file for bankruptcy protection. Any of these actions could materially harm the Company’s business, results of operations and future prospects. There can be no assurance that such financing will be available or will be at terms acceptable to the Company.
2.   Summary of Significant Accounting Policies
Basis of Presentation
NKMAX held a majority of the voting power of Legacy NKGen before the Business Combination and continues to hold a majority of the voting power of the Company after the Business Combination. Therefore, as there was no change in control, the Business Combination was accounted for as a common control transaction with respect to Legacy NKGen along with a reverse recapitalization of the Company. Accordingly, for accounting purposes, the financial statements of the Company represent a continuation of the financial statements of Legacy NKGen with the Business Combination being treated as the equivalent of Legacy NKGen issuing shares for the net assets of Graf, accompanied by a recapitalization. The net assets of Graf were recognized as of the Closing at historical cost, with no goodwill or other intangible assets recorded. Operations prior to the Business Combination are presented as those of Legacy NKGen and the accumulated deficit of Legacy NKGen has been carried forward after Closing.
Upon the consummation of the Business Combination, all of Legacy NKGen’s equity was converted into equity of the Company based upon an exchange ratio (“Exchange Ratio”). In addition, all stock options of Legacy NKGen were converted using the Exchange Ratio into options exercisable for shares of the Company with the same terms and vesting conditions. The Exchange Ratio as of September 29, 2023, the date of Closing, was approximately 0.408.
All periods prior to the Business Combination have been retrospectively adjusted using the Exchange Ratio to reflect the reverse recapitalization. In connection with the reverse recapitalization treatment of the Business Combination, all issued and outstanding securities of Graf upon Closing were treated as issuances of the Company upon the consummation of the Business Combination.
The accompanying unaudited condensed consolidated financial statements have been prepared in accordance with the rules and regulations of the Securities and Exchange Commission (“SEC”) and generally accepted accounting principles in the United States of America (“US GAAP”). The Company maintains its accounting records under the accrual method of accounting in conformity with US GAAP. The condensed balance sheet as of December 31, 2022 included herein was derived from the audited financial statements as of that date. Certain information and disclosures normally included in the financial statements prepared in accordance with GAAP have been condensed or omitted pursuant to such regulations. Accordingly, these unaudited condensed consolidated financial statements and accompanying footnotes should be read in conjunction with Legacy NKGen’s financial statements as of and for the year ended December 31, 2022. The results for the interim periods are not necessarily indicative of results for the full year.
Except as described in this Note 2, there have been no material changes to NKGen’s significant accounting policies as described in NKGen’s financial statements as of and for the year ended December 31, 2022.
In the opinion of management, all adjustments, of a normal recuring nature, considered necessary for a fair presentation have been included in the condensed consolidated financial statements. The Company believes that the disclosures provided herein are adequate to prevent the information presented from being misleading.
 
F-31

TABLE OF CONTENTS
 
Principles of Consolidation
The accompanying unaudited condensed consolidated financial statements include the accounts of the Company and its wholly owned subsidiary. All significant intercompany balances and transactions have been eliminated in consolidation.
Use of Estimates
The preparation of condensed consolidated financial statements in accordance with US GAAP requires management to make estimates and assumptions that impact the reported amounts of certain assets and liabilities, certain disclosures at the date of the condensed consolidated financial statements, as well as the reported amounts of revenues and expenses during the reporting period. The most significant estimates in the Company’s condensed consolidated financial statements include, but are not limited to, accrued research and development expenses, legacy convertible promissory notes, senior convertible promissory notes due to related parties, forward purchase derivative liabilities, derivative warrant liabilities, common stock, and equity awards. These estimates and assumptions are based upon historical experience, knowledge of current events, and various other factors believed to be reasonable under the circumstances, the results of which form the basis for making judgments about the carrying values of assets and liabilities and the recording of expenses that are not readily apparent from other sources. Actual results could differ materially from those estimates.
Segments
Operating segments are defined as components of an entity for which separate financial information is available and that is regularly reviewed by the Chief Operating Decision Maker (“CODM”) in deciding how to allocate resources to an individual segment and in assessing performance. The Company’s Chief Executive Officer is the Company’s CODM. The CODM reviews financial information presented on an enterprise-wide basis for purposes of making operating decisions, allocating resources, and evaluating financial performance. As such, the Company has determined that it operates in one reportable segment. Additionally, the Company generates all of its revenues, and maintains all of its long-lived assets within the United States.
Transaction Costs
The Company capitalizes deferred transaction costs, which primarily consist of incremental legal fees, accounting fees and other costs directly attributable to anticipated capital-raising transactions. The deferred transaction costs are reclassified upon the occurrence of the associated capital-raising transactions. All deferred transaction costs during the nine months ended September 30, 2023 were reclassified upon Closing of the Business Combination. No deferred transaction costs were recorded as of December 31, 2022.
Transaction costs not specific to a single instrument are allocated on a relative fair value basis. Transaction costs allocated to equity-classified instruments are recorded to additional paid in capital. Transaction costs allocated to liability-classified instruments with recurring fair value measurements are recorded as transaction costs expenses in the condensed consolidated statements of operations and comprehensive loss.
Deferred Debt Issuance Costs
Costs incurred through the issuance of the revolving line of credit to parties who are providing short-term financing availability are reflected as deferred debt issuance costs. These costs are generally amortized to interest expense over the life of the financing instrument using the effective interest rate method or other methods approximating the effective interest method. As of September 30, 2023, $0.1 million in deferred debt issuance costs were recorded to prepaid expenses and other current assets on the condensed consolidated balance sheets. No deferred debt issuance costs were recorded as of December 31, 2022.
Restricted Cash
Restricted cash consists of funds that are contractually restricted due to a revolving line of credit, which was entered into during June 2023. In accordance with the terms of the revolving line of credit, the
 
F-32

TABLE OF CONTENTS
 
Company is required to maintain certain cash balances with the lender from December 31, 2023 and until June 2024 or repayment of all principals and other payables to the lender under the revolving line of credit as additional collateral for the borrowings. As of September 30, 2023, $0.3 million in restricted cash was recorded on the unaudited condensed consolidated balance sheet. No restricted cash balances were recorded as of December 31, 2022. The Company includes its restricted bank deposits in cash, cash equivalents and restricted cash when reconciling beginning-of-period and end-of-period total amounts shown on the condensed statement of cash flows for the nine months ended September 30, 2023.
Hybrid Instruments
The Company follows Financial Accounting Standards Board (“FASB”) Accounting Standard Codification (“ASC”) 480, Distinguishing Liabilities from Equity, when evaluating the accounting for its hybrid instruments. A financial instrument that embodies an unconditional obligation, or a financial instrument other than an outstanding share that embodies a conditional obligation, that the issuer must or may settle by issuing a variable number of its equity shares shall be classified as a liability (or an asset in some circumstances) if, at inception, the monetary value of the obligation is based solely or predominantly on any one of the following: (a) a fixed monetary amount known at inception; (b) variations in something other than the fair value of the issuer’s equity shares; or (c) variations inversely related to changes in the fair value of the issuer’s equity shares. Hybrid instruments meeting these criteria are not further evaluated for any embedded derivatives and are carried as a liability at fair value at each balance sheet date.
Derivative Instruments
FASB ASC 815, Derivatives and Hedging Activities, requires companies to bifurcate certain features from their host instruments and account for them as free-standing derivative financial instruments should certain criteria be met. The Company does not use derivative instruments to hedge exposures to interest rate, market, or foreign currency risks. The Company evaluates its financial instruments to determine whether such instruments are derivatives or contain features that qualify as embedded derivatives. Embedded derivatives must be separately measured from the host contract if all the requirements for bifurcation are met. The assessment of the conditions surrounding the bifurcation of embedded derivatives depends on the nature of the host contract and the features of the derivatives. Bifurcated embedded derivatives are recognized at fair value, with changes in fair value recognized in the condensed consolidated statement of operations each period. Bifurcated embedded derivatives are classified with the related host contract in the Company’s condensed consolidated balance sheet. The classification of derivative instruments, including whether such instruments should be recorded as liabilities or as equity, is re-assessed at the end of each reporting period.
Debt
For convertible debt instruments that are not considered liabilities under ASC 480 or ASC 815, the Company applies ASC 470, Debt, for the accounting of such instruments, including any premiums or discounts. The Company’s senior convertible promissory notes are accounted for under ASC 470.
Subscription Receivable
The Company records stock issuances at the effective date. If the subscription is not funded upon issuance, the Company records a subscription receivable as an asset on the balance sheet. When subscription receivables are not received prior to the issuance of financial statements at a reporting date in satisfaction of the requirements under ASC 505, Equity, the subscription receivable is reclassified as a contra account to stockholder’s equity (deficit) on the balance sheet.
Fair Value Option
In lieu of bifurcation, on an instrument-by-instrument basis, the Company may elect the fair value option for certain financial instruments that meet the required criteria under ASC 825, Financial Instruments. The Company elected the fair value option for its legacy convertible promissory notes, which met the required criteria under ASC 825, Financial Instruments. Interest expense associated with the legacy convertible promissory notes is included in the change in fair value of such instruments.
 
F-33

TABLE OF CONTENTS
 
Fair Value of Financial Instruments
The Company accounts for the fair value of its financial instruments under the framework established by US GAAP which defines fair value and expands disclosures about fair value measurements. Fair value is defined as the price that would be received to sell an asset or paid to transfer a liability in an orderly transaction between market participants on the measurement date. Valuation techniques used to measure fair value must maximize the use of observable inputs and minimize the use of unobservable inputs. The standard describes a fair value hierarchy based on three levels of inputs, of which the first two are considered observable and the last unobservable, that may be used to measure fair value. These estimates may be subjective in nature and involve uncertainties and matters of significant judgment and therefore cannot be determined with precision.
Level 1 — Quoted prices in active markets for identical assets or liabilities the Company has the ability to access at the measurement date.
Level 2 — Inputs other than Level 1 that are observable, either directly or indirectly, such as quoted prices for similar assets or liabilities in markets that are not active; or other inputs that are observable or can be corroborated by observable market data for substantially the full term of assets or liabilities.
Level 3 — Pricing inputs that are unobservable, supported by little or no market activity and are significant to the fair value of the assets or liabilities.
Transfers to/from Levels 1, 2, and 3 are recognized at the beginning of the reporting period. There were no transfers to/from Levels 1, 2, and 3 during the three and nine months ended September 30, 2023 and 2022.
ASC 820, Fair Value Measurement, states that in many cases, the transaction price will equal the fair value (for example, that might be the case when on the transaction date, the transaction to buy an asset takes place in the market in which the asset is sold). In determining whether a transaction price represents the fair value at initial recognition, the Company considers various factors such as whether the transaction was between related parties, is a forced transaction, or whether the unit of account for the transaction price does not represent the unit of account for the measured instrument.
The Company does not measure assets at fair value on a recurring basis. Refer to Note 9, Fair Value of Financial Instruments, for further discussion regarding the Company’s fair value measurements. The carrying value of the Company’s related party loans approximates fair value as the stated interest rate approximates market rates for similar loans and due to the short-term nature of such loans, which are due within three years or less from issuance. The carrying value of the Company’s cash, restricted cash, accounts payable, accrued expenses, other current liabilities, and revolving line of credit approximates fair value primarily due to the short-term nature of such accounts.
Stock-Based Compensation
Stock-based compensation expense is comprised of stock options awarded to employees and consultants. The Company accounts for share-based awards under the fair value method prescribed by ASC 718-10, Stock Compensation. The fair value of stock options is estimated using the Black-Scholes option pricing model on the date of grant. This option pricing model involves a number of estimates, including the per share value of the underlying common stock, exercise price, estimate of future volatility, expected term of the stock option award, risk-free interest rate and expected annual dividend yield.
The fair value of the shares of common stock underlying the stock options has historically been determined by the Company’s board of directors as there was no public market for the underlying common stock prior to October 2, 2023. The Company’s board of directors determines the fair value of the Company’s common stock by considering a number of objective and subjective factors including contemporaneous third-party valuations of its common stock, the valuation of comparable companies, sales of the Company’s common stock to outside investors in arms-length transactions, the Company’s operating and financial performance, the lack of marketability, and general and industry specific economic outlook, and the implied fair values upon a merger transaction, amongst other factors. The Company recognizes the expense for options with graded- vesting schedules on a straight-line basis over the requisite service period, which is generally the vesting period. Forfeitures are recognized as they occur.
 
F-34

TABLE OF CONTENTS
 
Basic and Diluted Net Loss Per Common Share
Basic net loss per common share is computed by dividing net loss for the year by the weighted-average number of common shares outstanding during the year. Diluted net loss per share is computed by dividing the net loss by the weighted-average number of common shares outstanding and potentially dilutive securities outstanding for the period using the treasury stock or if-converted method if their inclusion is dilutive. Diluted net loss per common share is the same as basic net loss per common share because the inclusion of potentially dilutive shares would be anti-dilutive to the calculation of loss and comprehensive loss per common share.
The Company has one class of shares issued and outstanding. Accordingly, basic and diluted net loss per share is not allocated among multiple classes of shares. Basic and diluted net loss per share for all periods prior to the Closing have been retrospectively adjusted by the Exchange Ratio to effect the reverse recapitalization.
Potentially anti-dilutive shares excluded from the calculation of diluted net loss per share for each of the three and nine months ended September 30, 2023 include the following:
Private warrants
4,721,533
Working capital warrants
523,140
Public warrants
3,432,286
PIPE warrants
10,209,994
Stock options
2,101,760
SPA warrants
1,000,000
Senior convertible notes’ shares
1,000,000
Deferred founder shares(1)
1,173,631
(1)
As described in Note 8, Related Party Transactions, deferred founder shares do not have voting rights, do not participate in dividends and are not transferrable absent the Company’s consent. Therefore, while deferred founder shares are considered outstanding for legal purposes and are included in the total quantity of outstanding shares on the unaudited condensed consolidated statements of stockholders’ deficit, they are not considered outstanding for accounting purposes, including basic and diluted net loss per share purposes.
Potentially anti-dilutive shares excluded from the calculation of diluted net loss per share for each of the three and nine months ended September 30, 2022 includes stock options of 423,932 (after giving effect to the Exchange Ratio), in addition to the shares underlying the Legacy Convertible Notes. The Company is unable to quantify the number of shares underlying the legacy convertible notes for each of the three and nine months ended September 30, 2022 as the quantity of shares issuable upon conversion was not determinable for those periods.
Emerging Growth Company
The Company is an “emerging growth company,” as defined in Section 2(a) of the Securities Act, as modified by the Jumpstart our Business Startups Act of 2012, (the “JOBS Act”), and it may take advantage of certain exemptions from various reporting requirements that are applicable to other public companies that are not emerging growth companies including, but not limited to, not being required to comply with the auditor attestation requirements of Section 404 of the Sarbanes-Oxley Act, reduced disclosure obligations regarding executive compensation in its periodic reports and proxy statements, and exemptions from the requirements of holding a nonbinding advisory vote on executive compensation and shareholder approval of any golden parachute payments not previously approved.
Further, Section 102(b)(1) of the JOBS Act exempts emerging growth companies from being required to comply with new or revised financial accounting standards until private companies (that is, those that have not had a Securities Act registration statement declared effective or do not have a class of securities registered under the Exchange Act) are required to comply with the new or revised financial accounting
 
F-35

TABLE OF CONTENTS
 
standards. The JOBS Act provides that a company can elect to opt out of the extended transition period and comply with the requirements that apply to non-emerging growth companies but any such election to opt out is irrevocable. The Company has elected not to opt out of such extended transition period which means that when a standard is issued or revised and it has different application dates for public or private companies, the Company, as an emerging growth company, can adopt the new or revised standard at the time private companies adopt the new or revised standard. This may make comparison of the Company’s unaudited condensed consolidated financial statements with another public company which is neither an emerging growth company nor an emerging growth company which has opted out of using the extended transition period difficult or impossible because of the potential differences in accounting standards used.
Recently Adopted Accounting Pronouncements
In June 2016, the Financial Accounting Standard Board (“FASB”) issued Accounting Standards Update (“ASU”) No. 2016-13, Measurement of Credit Losses on Financial Instruments. ASU 2016-13, together with a series of subsequently issued related ASUs, has been codified in Topic 326. Topic 326 establishes new requirements for companies to estimate expected credit losses when measuring certain financial assets, including accounts receivables. The new guidance is effective for fiscal years beginning after December 15, 2022. The Company adopted the new guidance with its fiscal year beginning January 1, 2023. The adoption of ASC 326 had no material impact on the Company’s financial statements.
3.   Reverse Recapitalization
As discussed in Note 1, Company Information, the Closing of the Business Combination occurred on September 29, 2023. In connection with the Business Combination:

All of Legacy NKGen’s legacy convertible notes were converted into shares of Legacy NKGen common stock immediately prior to Closing and pursuant to their terms, totaling 5,579,266 shares, which were then cancelled and converted into 2,278,598 shares of the Company’s common stock after giving effect to the Exchange Ratio;

All of Legacy NKGen’s 38,185,814 issued and outstanding shares were cancelled and converted into 15,595,262 shares of the Company’s common stock after giving effect to the Exchange Ratio (inclusive of shares attributable to the Legacy NKGen convertible notes);

All of Legacy NKGen’s 5,146,354 issued and outstanding stock options were cancelled and converted into 2,101,760 outstanding stock options of the Company;

The Company’s amended and restated certificate of incorporation and amended and restated bylaws were adopted;

The Company adopted an employee stock purchase plan; and

The Company adopted the 2023 equity incentive plan.
The other related events that occurred in connection with the Closing include the following:

The execution of the private placement agreements, as described in Note 4, Private Placement;

The assumption of the public and private warrants, as described in Note 5, Warrants;

The execution of the warrant subscription agreements, as described in Note 5, Warrants;

The conversion of Legacy NKGen’s legacy convertible promissory notes, as described in Note 6, Convertible Notes;

The execution of the securities purchase agreement, as described in Note 6, Convertible Notes; and

The execution of the amended and restated sponsor support and lockup agreement, as described in Note 8, Related Party transactions.
Refer to Note 9, Fair Value of Financial Instruments, for the Company’s measurements with respect to the financial instruments issued in connection with the foregoing agreements.
 
F-36

TABLE OF CONTENTS
 
Legacy NKGen incurred $7.5 million of transaction costs in connection with the Business Combination, which was determined to be a capital-raising transaction for Legacy NKGen. Of the $7.5 million in transaction costs, $4.2 million and $3.3 million was allocated on a relative fair value basis to equity-classified instruments and liability-classified instruments, respectively.
The following tables reconcile elements of the Business Combination to the Company’s condensed consolidated financial statements, and should be read in conjunction with the footnotes referenced above (in thousands, except share amounts):
Shares
Graf public shares, net of redemptions
93,962
Private placement investors’ shares
3,683,010
Graf founder shares
2,516,744
Total Graf shares outstanding immediately prior to the Business Combination
6,293,716
Conversion of Legacy NKGen convertible promissory notes (after the application of the Exchange Ratio)
2,278,598
Legacy NKGen rollover shares (after the application of the Exchange Ratio)
13,316,662
Total Legacy NKGen shares
15,595,260
Total Company common stock outstanding immediately following the Business Combination
21,888,976
Recapitalization
Closing proceeds
Proceeds from issuance of common stock
$ 1,667
Proceeds from issuance of PIPE warrants
10,210
Proceeds from issuance of senior convertible promissory notes with warrants
10,000
Closing disbursements
Less: Payment of Graf deferred underwriter fees
(1,250)
Less: Payment of Graf transaction costs at Closing(1)
(7,456)
Less: Payment of Legacy NKGen transaction costs at Closing
(3,510)
Net cash proceeds from the Business Combination at Closing
$ 9,661
Less: Payment of Legacy NKGen transaction costs prior to Closing
(2,089)
Net cash proceeds from the Business Combination
$ 7,572
Noncash activity
Conversion of legacy NKGen convertible promissory notes
18,913
Less: Operating liabilities assumed from Graf
(860)
Less: Unpaid transaction costs – assumed from Graf(1)
(5,400)
Less: Unpaid transaction costs – Legacy NKGen
(1,938)
Liability-classified instruments
Less: Fair value of PIPE warrants
(10,210)
Less: Fair value of forward purchase derivative liability
(20,201)
Less: Fair value of senior convertible promissory notes(2)
(9,707)
Less: Fair value of private warrants
(1,841)
Less: Fair value of working capital warrants
(204)
Net equity impact of the Business Combination
$ (23,876)
(1)
The Graf transaction costs includes a $4.0 million accrual related to a certain vendor to be paid in cash and common stock of $2.0 million each. At Closing, a cash payment of $1.3 million was disbursed to
 
F-37

TABLE OF CONTENTS
 
this vendor. The remaining $2.7 million amount was recognized as a component of the unpaid transaction costs assumed from Graf, of which $0.7 million represents a cash settlement obligation, and the remaining $2.0 million represents an obligation to issue a variable number of shares for a fixed monetary amount which was accounted for as a liability under ASC 480, Distinguishing Liabilities from Equity.
(2)
Represents allocated fair value.
As presented in the unaudited condensed consolidated statements of stockholders’ deficit:
Net equity impact of the Business Combination
$ (23,876)
Loss on issuance of forward purchase contract
24,475
Transaction costs expensed
3,329
Total Impact of Business Combination on total stockholders’ deficit (1)
$ 3,928
Issuance of subscription receivable
32,915
Par value of common stock issued
(1)
Total Impact of Business Combination on additional paid-in capital
$ 36,842
(1)
Excludes impact of the Business Combination on net loss, which is presented separately in the unaudited condensed consolidated statements of stockholders’ deficit.
4.   Private Placement
Background
Prior to the Closing, the Company entered into private agreements (“Private Placement Agreements”) with investors (“FPA Investors”) consisting of forward purchase agreements (“Forward Purchase Agreements”), subscription agreements, a side letter, and escrow agreements. The Private Placement Agreements closed on September 29, 2023. Pursuant to the Private Placement Agreements, the FPA Investors purchased 3,168,121 shares of common stock (“FPA Shares”) for $32.9 million (“Prepayment Amount”).
The Prepayment Amount was deposited into escrow accounts. The terms of the Private Placement Agreements provide that following a one-year period after the Closing, subject to early termination and settlement with respect to any number of FPA Shares at the election of the FPA Investors (“Measurement Period”), funds in the escrow accounts may be released to the FPA Investors, the Company or a combination of both based on a combination of factors, including the volume weighted average price of the Company’s common stock over a specified valuation period during the Measurement Period, the number of shares sold by the FPA Investors during the Measurement Period, and the application of antidilution provisions. The Private Placement Agreements expire at the end of the Measurement Period.
All funds in escrow will be released to the Company, the FPA Investors, or a combination of both, at or before the one year anniversary of the Closing. In addition, all interest earned on the funds in the escrow accounts will be released to the FPA Investors.
On the Cash Settlement Payment Date, which is the tenth business day following the last day of the valuation period commencing on the Valuation Date, the Escrow Agent will pay: (i) to us an amount equal to the number of Subscribed Shares that have not been sold by the FPA Investors as of the Valuation Date multiplied by the volume weighted daily VWAP over the Valuation Period (the “Settlement Amount”) less an amount equal to $2.00 per such Subscribed Shares (the “Settlement Adjustment Amount”) (unless we previously paid by the Settlement Adjustment Amount in shares of our common stock); and (ii) to the Seller all other amounts in the Escrow Account (including any interest earned on the funds in the Escrow Account). As a result, the amounts to be released to us will be based on our stock price over the valuation period. Other drivers of settlement outcomes include the application of antidilution provisions, the timing of sales and settlements, among other factors.
In addition to the FPA Shares, the FPA Investors received 514,889 shares of common stock for no incremental consideration (“Bonus Shares”). The Bonus Shares are not subject to an escrow arrangement.
 
F-38

TABLE OF CONTENTS
 
Accounting
All FPA Shares and Bonus Shares are outstanding shares of the Company that are not held in escrow, are transferrable without restrictions, and have the same voting as well as dividend and liquidation participation rights as other shares of the Company. Accordingly, such shares are equity classified and presented together with other shares of common stock in the unaudited condensed consolidated financial statements.
The escrow agreements provide that funds placed into escrow are held in escrow for the benefit of the FPA Investors until they are released to the Company pursuant to the terms of the Private Placement Agreements and the Company’s creditors do not have access to the funds held in escrow in the event of bankruptcy of the Company. Accordingly, the Company has presented the Prepayment Amount of $32.9 million as a contra-equity subscription receivable because the funds held in escrow represent receivables from shareholders.
The features of the Private Placement Agreements met the derivatives criteria under ASC 815 because they contained an underlying, notional amount, payment provision, and net settlement. Accordingly, a derivative liability was recognized based on the estimated measurement of the portion of the funds in escrow that could be released to the FPA Investors, based on circumstances existing as of September 30, 2023. The net balance of the Prepayment Amount presented as a subscription receivable and the derivative liability when considered together represents the estimated amount of escrow funds the Company expects to receive from the escrow accounts, based on circumstances existing as of September 30, 2023. Subsequent changes in fair value of the derivative liability associated with the Private Placement Agreements will be recognized through earnings on a quarterly basis.
Upon the Closing, in addition to the $32.9 million subscription receivable, a loss on issuance of forward purchase contract totaling $24.5 million was recorded, which consisted of the fair value of the derivative liability of $20.2 million plus the fair value of the Bonus Shares of $4.3 million.
5.   Warrants
As of September 30, 2023, all warrants described below remained outstanding and unexercised.
Public Warrants
In connection with Graf’s initial public offering (“IPO”), 3,432,286 warrants were issued to Graf’s investors (“Public Warrants”). The Public Warrants, which entitle the registered holder to purchase one share of the Company’s common stock, have an exercise price of $11.50 per warrant, became exercisable 30 days after the completion of the Business Combination, and are set to expire five years from the completion of the Business Combination, or earlier upon redemption. The Public Warrants may be called for redemption at the sole discretion of the Company if the Company’s stock price equals or exceeds $18.00 per share and other certain conditions are met. The Public Warrants are equity classified due to terms indexed to the Company’s own stock and the satisfaction of other equity classification criteria.
Private Warrants
Concurrently with Graf’s IPO, Graf issued 4,721,533 warrants to Graf Acquisition Partners IV LLC (“Private Warrants”). The terms of the Private Warrants are identical to the Public Warrants with an exercise price of $11.50 per warrant, except that they are subject to certain transfer and sale restrictions and are not optionally redeemable so long as they are held by the initial purchasers or their permitted transferees. Additionally, the Private Warrants are exercisable on a cashless basis. If the Private Warrants are held by a party other than the initial purchasers or their permitted transferees, the Private Warrants will be redeemable by the Company and exercisable by such holders on the same basis as the Public Warrants. The Private Warrants are liability classified due to terms not indexed to the Company’s own stock. As described in Note 8, Related Party Transactions, the Private Warrants are a related party financial instrument.
SPA Warrants
Together with the issuance of the senior convertible notes described in Note 6, Convertible Notes, 1,000,000 warrants were issued to NKMAX at an exercise price of $11.50 per warrant (“SPA Warrants”).
 
F-39

TABLE OF CONTENTS
 
The terms of the SPA Warrants are identical to the terms of the Public Warrants. The SPA Warrants are equity classified due to terms indexed to the Company’s own stock and the satisfaction of other equity classification criteria. As described in Note 8, Related Party Transactions, the SPA Warrants are a related party financial instrument.
Working Capital Warrants
Prior to the Closing, Graf executed drawdowns upon a working capital loan facility. Upon Closing, the $0.8 million balance of the working capital loan facility was settled through the issuance of 523,140 warrants (“Working Capital Warrants”). The terms of the Working Capital Warrants are identical to the terms of the Private Warrants with an exercise price of $11.50 per warrant. The Working Capital Warrants are liability classified due to terms not indexed to the Company’s own stock. As described in Note 8, Related Party Transactions, the Working Capital Warrants are a related party financial instrument.
PIPE Warrants
Prior to the Closing, the Company entered into warrant subscription agreements (the “Warrant Subscription Agreements”) with certain investors (“Warrant Investors”), which closed on September 29, 2023. Pursuant to the Warrant Subscription Agreements, the Warrant Investors purchased an aggregate of 10,209,994 warrants, at a purchase price of $1.00 per warrant (“PIPE Warrants”) for total proceeds of $10.2 million. The PIPE Warrants are exercisable for cash (or by “cashless” exercise under certain circumstances) during the five-year period beginning on the Closing. One-third of the PIPE Warrants are exercisable initially at $10.00 per warrant, one-third of the PIPE Warrants are exercisable initially at $12.50 per warrant, and one-third of the PIPE Warrants are exercisable initially at $15.00 per warrant. The initial exercise prices of each tranche are subject to adjustment every 180 days after the Closing based upon declines in trading prices of the Company’s common stock, as well as antidilution adjustments for stock splits, stock dividends, and the like. In addition, the PIPE Warrants contain a downside protection provision, pursuant to which the Warrant Investors may demand a cashless exchange of certain PIPE Warrants and, to the extent the relevant reference price is less than $1.50 per share, a cash payment calculated as the difference between $1.50 per share and the then-current exercise price multiplied by the applicable number of warrant shares shall be paid to the Warrant Investors. The PIPE Warrants are liability classified due to terms not indexed to the Company’s own stock and their cash settlement provisions.
6.   Convertible Notes
Legacy Convertible Notes
From November to December 2019, the Company issued convertible promissory notes to investors (“2019 Convertible Notes”) and related parties (“2019 Related Party Convertible Notes”). From March to September 2023, the Company issued additional convertible promissory notes issued to investors (“2023 Convertible Notes”) and to related parties (“2023 Related Party Convertible Notes”), collectively referred to as “Legacy Convertible Notes”.
Total proceeds raised from the 2019 Convertible Notes and 2019 Related Party Convertible Notes were $10.8 million and $0.3 million, respectively, which each bore interest at 1.68% per year and had a maturity date of December 31, 2023. Total proceeds raised from the 2023 Convertible Notes and 2023 Related Party Convertible Notes were $6.1 million and $0.1 million, respectively, which each bore interest at 4.55% per year and had maturity dates of three years from their respective issuance dates. The terms of the Legacy Convertible Notes provided for conversion into common stock upon the occurrence of a qualified financing transaction, including upon the Closing of the Business Combination.
Pursuant to their terms, immediately prior to Closing, all of the Legacy Convertible Notes were converted into 5,579,266 shares of Legacy NKGen common stock, which then converted into 2,278,598 shares of the Company’s Common Stock at Closing based on the Exchange Ratio.
Senior Convertible Notes
Prior to the Closing, the Company entered into convertible note subscription agreements (“Securities Purchase Agreement”) with NKMAX for total proceeds of $10.0 million, with a four-year term and an
 
F-40

TABLE OF CONTENTS
 
interest rate of 5.0% paid in cash semi-annually or 8.0% paid in kind (“Senior Convertible Notes”), which closed on September 29, 2023. Interest began accruing at Closing and is payable semi-annually in arrears, with interest that is paid in kind (if applicable) increasing the principal amount outstanding on each interest payment date. The Company currently expects to make their interest payments in-kind in lieu of periodic cash payments. The Senior Convertible Notes are convertible at any time, in whole or in part, at NKMAX’s option at a conversion price of $10.00 per share of common stock (subject to anti-dilution adjustments in the event of stock splits and the like). The Senior Convertible Notes have a put option which may be exercised by NKMAX 2.5 years after the issuance of the Senior Convertible Notes. No less than six months after exercise of the put option, the Company will be required to repay all principal and accrued interest of the Senior Convertible Notes. Additionally, as described in Note 5, Warrants, together with the Securities Purchase Agreement, the SPA Warrants were issued to NKMAX, and accordingly, a relative fair value allocation was applied and discount was recognized on the Senior Convertible Notes as set forth in Note 9, Fair Value of Financial Instruments. There are no financial or non-financial covenants associated with the Senior Convertible Notes. During each of the three and nine months ended September 30, 2023, the Company recorded less than $0.1 million of interest expense and discount amortization related to the Senior Convertible Notes. Accrued interest of less than $0.1 million was recorded to other current liabilities within the condensed consolidated balance sheet as of September 30, 2023. As described in Note 8, Related Party Transactions, the Senior Convertible Notes are a related party financial instrument.
7.   Debt
Revolving Line of Credit
In June 2023, the Company entered into a $5.0 million revolving line of credit agreement with a commercial bank with a one-year term and an interest rate based on the higher of (i) the one month secured overnight financing rate plus 2.85% or (ii) 7.50%. Issuance fees of $0.1 million were incurred in connection with this revolving line of credit. All outstanding balances under the revolving line of credit are due and payable on June 20, 2024. The revolving line of credit is secured by all of the Company’s assets, including a deed of trust over the Company’s owned real property located in Santa Ana, California. Additionally, the Company is required to maintain a restricted cash balance of $0.3 million following the issuance. The Company will be required to maintain deposits with the lender in an amount of at least $15.0 million at all times beginning December 31, 2023 until June 20, 2024 for as long as there is a debt balance outstanding. As of September 30, 2023, the interest rate for the revolving line of credit was 8.17%.
Through September 30, 2023, the Company drew down $4.9 million upon the revolving line of credit and no repayments of drawdowns occurred. Interest expense of $0.1 million was incurred upon the revolving line of credit for each of the three and nine months ended September 30, 2023. As of September 30, 2023, $0.1 million in accrued interest was recognized for the revolving line of credit, which is classified to other current liabilities within the unaudited condensed consolidated balance sheet as of September 30, 2023. No interest expense was incurred for the revolving line of credit during each of the three and nine months ended September 30, 2022.
Related Party Loans
Between August 2019 and April 2023, the Company entered into related party loans with NKMAX (“Related Party Loans”).
In December 2022, the then-outstanding aggregate Related Party Loans’ principal and interest of $66.1 million was converted into 17,002,230 shares of common stock which was recognized as a capital contribution as of and for the year ended December 31, 2022.
From January through April 2023, the Company entered into additional Related Party Loans with NKMAX for aggregate gross proceeds of $5.0 million. These additional Related Party Loans bear an interest rate of 4.6% and mature on December 31, 2024. There are no financial or non-financial covenants associated with the Related Party Loans. The additional Related Party Loans are not convertible into equity.
In connection with the Related Party Loans, interest expenses incurred were $0.1 million and $0.6 million for the three months ended September 30, 2023 and 2022, respectively, and $0.2 million and $1.7 million for
 
F-41

TABLE OF CONTENTS
 
the nine months ended September 30, 2023 and 2022, respectively. Related party interest payable amounts recorded to other current liabilities on the unaudited condensed consolidated balance sheets were $0.2 million and zero as of September 30, 2023 and December 31, 2022, respectively.
Short Term Related Party Loan
In September 2023, NKGen raised $0.3 million in proceeds in connection with a related party loan with a 30-day term and an interest rate of 5.12% (“Short Term Related Party Loan”). This related party loan was not convertible into equity and was repaid in cash on October 5, 2023. Related party interest payable amounts recorded to other current liabilities on the unaudited condensed consolidated balance sheets were less than $0.1 million and zero as of September 30, 2023 and December 31, 2022, respectively. Related party interest expense was less than $0.1 million for each of the three and nine months ended September 30, 2023, and zero for each of the three and nine months ended September 30, 2022.
8.   Related-Party Transactions
Founder Shares
Contemporaneously with the execution of the Merger Agreement, Graf and NKGen entered into an amended and restated sponsor support and lockup agreement (“Amended and Restated Sponsor Support and Lockup Agreement”). In connection with the Amended and Restated Sponsor Support and Lockup Agreement, of the 4,290,375 shares of Graf formerly held by Graf’s sponsor and insiders (“Founder Shares”): (i) 1,773,631 shares were forfeited, (ii) 1,173,631 shares became restricted shares subject to vesting conditions (“Deferred Founder Shares”), and (iii) the remaining 1,343,113 shares are subject to trading restrictions for up to two years and continued to be outstanding and fully vested shares.
Deferred Founder Shares do not have voting rights, do not participate in dividends and are not transferrable. During the vesting period of five years from Closing (“Vesting Period”), if the trading price or price per share consideration upon a change in control for Common Stock is greater than or equal to $14.00 at any 20 trading days in a 30 consecutive trading-day period, then 873,631 Deferred Founder Shares will immediately vest; and if greater than or equal to $20.00 at any 20 trading days in a 30 consecutive trading-day period, then an additional 300,000 Deferred Founder Shares will immediately vest. In the event there is a sale of the Company, then immediately prior to the consummation of such sale, the calculated Acquiror Sale Price, as defined in the agreement, will take into account the number of Deferred Founder Shares that will vest upon a change in control. Upon the expiration of the Vesting Period, unvested Founder Shares will be forfeited and cancelled for no consideration.
All Founder Shares, including Deferred Founder Shares, are equity classified primarily due to terms indexed to the Company’s own stock, including upon a change in control.
Related Party Financial Instruments
The Company’s related party financial instruments include (i) the Founder Shares, including Deferred Founder Shares described above in this Note 8, (ii) the SPA Warrants described in Note 5, (iii) the Working Capital Warrants described in Note 5, (iv) the Senior Convertible Notes described in Note 6, (v) select Legacy Convertible Notes described in Note 6, (vi) the Related Party Loans described in Note 7, (vii) the Short Term Related Party Loan described in Note 7, and (viii) the Private Warrants described in Note 5.
Advisory and research services
The Company was provided professional clinical program advisory services from Paul Song, prior to his hiring as Chief Executive Officer in December 2022. No such services were provided to or incurred by the Company during the three and nine months ended September 30, 2023. For the three and nine months ended September 30, 2022, $0.1 million and $0.3 million, respectively, in research and development expenses related to these advisory services were recorded. As of December 31, 2022, amounts payable of less than $0.1 million relating to advisory and research services from related parties remained outstanding, which were recorded to accounts payable and accrued expenses on the unaudited condensed consolidated balance
 
F-42

TABLE OF CONTENTS
 
sheet. As of September 30, 2023, no amounts payable remained outstanding relating to advisory and research services from related parties.
Purchases of laboratory supplies
For each of the three and nine months ended September 30, 2023, the Company recorded research and development expenses of $0.4 million associated with the purchase of laboratory supplies from NKMAX. For each of the three and nine months ended September 30, 2022, the Company recorded research and development expenses of $0.1 million associated with the purchase of laboratory supplies from NKMAX. As of September 30, 2023, $0.4 million remained outstanding relating to the purchase of laboratory supplies from NKMAX. As of December 31, 2022, amounts payable of $0.1 million relating to the purchase of laboratory supplies from NKMAX remained outstanding, which were recorded to accounts payable and accrued expenses on the unaudited condensed consolidated balance sheet.
9.   Fair Value of Financial Instruments
Fair Value Hierarchy
Liabilities measured at fair value on a recurring basis as of September 30, 2023 are as follows (in thousands):
Fair Value Measurements at Reporting Date Using
Balance as of
September 30, 2023
Level 1(1)
Level 2
Level 3
Private Warrants
$ 1,841 $  — $  — $ 1,841
Working Capital Warrants
204 204
Forward Purchase Derivative Liability
20,201 20,201
PIPE Warrants(1)
10,210 10,210
Total
$ 32,456 $ $ $ 32,456
(1)
As of September 30, 2023, the fair value of the PIPE Warrants was measured using its respective transaction price as described below. In future reporting periods, the PIPE Warrants will be valued using level three inputs.
Liabilities measured at fair value on a non-recurring basis as of September 30, 2023 include the Senior Convertible Notes. The valuation of the Senior Convertible Notes was determined to be a level three fair value measurement. The Senior Convertible Notes were determined to be in-scope of ASC 470, Debt. Accordingly, this instrument will not be measured at fair value on a recurring basis as the fair value measurement of this instrument was for purposes of the relative fair value allocation described below as the Senior Convertible Notes were issued together with the SPA Warrants.
Liabilities measured at fair value on a recurring basis as of December 31, 2022 are as follows (in thousands):
Fair Value Measurements at Reporting Date Using
Balance as of
December 31,
2022
Level 1
Level 2
Level 3
2019 Convertible Notes
$ 11,392 $  — $  — $ 11,392
2019 Related Party Convertible Notes
263 263
Total
$ 11,655 $ $ $ 11,655
 
F-43

TABLE OF CONTENTS
 
Legacy Convertible Notes
The following table presents a reconciliation of the Legacy Convertible Notes:
2019
Convertible
Notes
2019 Related
Party
Convertible
Notes
2023
Convertible
Notes
2023 Related
Party
Convertible
Notes
Total
Balance as of December 31, 2022
$ 11,392 $ 263 $ $ $ 11,655
Issuance
4,700 125 4,825
Change in fair value
2,359 44 371 10 2,784
Balance as of June 30, 2023
$ 13,751 $ 307 $ 5,071 $ 135 $ 19,264
Issuance
1,390 1,390
Change in fair value
(1,276) (31) (423) (11) (1,741)
Conversion and settlement
(12,475) (276) (6,038) (124) (18,913)
Balance as of September 30, 2023
$ $ $ $ $
For each of the three and nine months ended September 30, 2022, the Company recognized $0.1 million of expense associated with the change in fair value for the 2019 Convertible Notes. For each of the three and nine months ended September 30, 2022, the Company recognized less than $0.1 million of expense associated with the change in fair value of the 2019 Related Party Convertible Notes.
The Company historically determined the carrying amount of the Legacy Convertible Notes using a scenario-based analysis that estimates the fair value of the Legacy Convertible Notes based on the probability-weighted present value of expected future investment returns by measuring the fair value of similar debt instruments that do not have the conversion feature. If no similar debt instrument existed, fair value was estimated by using assumptions that market participants would use in pricing a debt instrument, including market interest rates, credit standing, yield curves and volatilities.
The following unobservable assumptions were used in determining the fair value of the Legacy Convertible Notes as of December 31, 2022:
Probability of conversion
Probability of holding until maturity without conversion
Remaining term until potential conversion trigger date (years)
Discount yield(1)
20.0%
(1)
Estimated using a comparable bond analysis and under S&P Global Inc.’s credit rating scale using a multinominal logical regression.
The fair value of Legacy Convertible Notes immediately prior to their conversion at Closing was based upon the fair value of the 2,278,598 shares of the Company’s common stock issued upon their conversion totaling $18.9 million, at a per share value of $8.30 based upon the fair value of the Company’s common stock at Closing, which was the conversion date.
Senior Convertible Notes
The Senior Convertible Notes were recognized at Closing on September 29, 2023. There was no activity with respect to Senior Convertible Notes between Closing and September 30, 2023. Additionally, as described above in this Note 9, the Senior Convertible Notes are not measured at fair value on a recurring basis. As such, a reconciliation of the Senior Convertible Notes is not presented as the stand-alone fair value at initial recognition of $12.9 million represents the stand-alone fair value at period-end.
The Company determined the stand-alone fair value of the Senior Convertible Notes using a binomial lattice model, which generates a distribution of stock prices over the term of the note, calculates the associated payoff for the note, and discounts the probability-weighted values from the lattice back to the valuation
 
F-44

TABLE OF CONTENTS
 
date. The fair value was estimated by using assumptions that market participants would use in pricing a convertible debt instrument, including market interest rates, credit rating, yield curves, and volatilities.
The following unobservable assumptions were used in determining the fair value of the Senior Convertible Notes:
Credit spread(1)
12.1%
Equity volatility
45.0%
(1)
Estimated using a comparable bond analysis and under S&P Global Inc.’s credit rating scale using a multinominal logical regression.
Private Warrants and Working Capital Warrants
The Private Warrants and Working Capital Warrants were recognized at Closing on September 29, 2023. There was no activity, including changes in fair value, with respect to Private Warrants and Working Capital Warrants between Closing and September 30, 2023. As such, a reconciliation of the Private Warrants and Working Capital Warrants is not presented as the fair value at initial recognition of $1.8 million and $0.2 million, respectively, represents the fair value at period-end.
The terms of the Private Warrants and Working Capital Warrants are identical. Accordingly, the methodology and assumptions used to value these instruments is identical.
The fair value of the Private Warrants and Working Capital Warrants were measured using a Black-Scholes model. The estimated fair value of the Private Warrants and Working Capital Warrants was determined using Level 3 inputs. Inherent in a Black-Scholes model are assumptions related to expected stock-price volatility, expected life, risk-free interest rate and dividend yield. The Company estimates the volatility of its Private Warrants and Working Capital Warrants based on implied volatility from the Company’s traded Private Warrants and Working Capital Warrants and from historical volatility of select peer company’s common stock that matches the expected remaining life of the Private Warrants and Working Capital Warrants. The risk-free interest rate is based on the U.S. Treasury zero-coupon yield curve on the grant date for a maturity similar to the expected remaining life of the Private Warrants and Working Capital Warrants. The expected life of the Private Warrants and Working Capital Warrants is assumed to be equivalent to their remaining contractual term. The dividend rate is based on the historical rate, which the Company anticipates remaining at zero.
The following unobservable assumptions were used in determining the fair value of the Private Warrants and Working Capital Warrants:
Private Warrants’ volatility
9.6%
Dividend yield (per share)
PIPE Warrants
The PIPE Warrants were recognized at Closing on September 29, 2023. There was no activity, including changes in fair value, with respect to PIPE Warrants between Closing and September 30, 2023. As such, a reconciliation of the PIPE Warrants is not presented as the fair value at initial recognition of $10.2 million represents the fair value at period-end.
As of September 30, 2023, the fair value of the PIPE Warrants was measured using its respective transaction price of $10.2 million for 10,209,994 PIPE Warrants at a purchase price of $1.00 per warrant. In future reporting periods, the PIPE Warrants will be valued using level three inputs. The Company determined that the transaction price of the PIPE Warrants represented its fair value because the Warrant Investors were not related parties or holders of economic interest with respect to the Company prior to their investment, the consideration transferred by the Warrant Investors was cash, the transaction was not a forced transaction, and the unit of account for the transaction and the PIPE Warrants is the same as there were no other instruments issued together with the PIPE Warrants to the Warrant Investors or their related parties and affiliates in connection with the Warrant Subscription Agreements.
 
F-45

TABLE OF CONTENTS
 
Forward Purchase Derivative Liability
The forward purchase derivative liability was recognized at Closing on September 29, 2023. There was no activity, including changes in fair value, with respect to forward purchase derivative liability between Closing and September 30, 2023. As such, a reconciliation of the forward purchase derivative liability is not presented as the fair value at initial recognition of $20.2 million represents the fair value at period-end.
The fair value of the forward purchase derivative liability was estimated using a Monte Carlo simulation approach. The Company’s common share price was simulated with daily time steps for a range of various possible scenarios. The breadth of all possible scenarios was captured in an estimate of volatility, based on comparable companies’ historical equity volatilities, considering differences in their capital structure. The simulated prices were compared against the settlement adjustment features of the Forward Purchase Agreements. Under each simulated scenario of future stock price, the Company calculated the value of the forward purchase derivative liability arrangement. The average value across this range of possible scenarios, discounted to present using the risk-free rate, was used as the fair value of the forward purchase derivative liability.
The following unobservable assumptions were used in determining the fair value of the forward purchase derivative liability:
Dividend yield
0.0%
Equity volatility
105.0%
Relative Fair Values
The Senior Convertible Notes were issued together with the SPA Warrants. Each instrument was recorded at its fair value, limited to a relative fair value based upon the percentage of its fair value to the total fair value based on the transaction price of the Securities Purchase Agreement of $10.0 million at Closing on September 29, 2023. The relative fair value of the SPA Warrants was treated as a discount to the Senior Convertible Notes, which will be amortized to interest expense over the term of the Senior Convertible Notes.
The stand-alone fair value at initial recognition and as of September 30, 2023 for the Senior Convertible Notes and SPA Warrants was $12.9 million and $0.4 million, respectively. The relative fair value at initial recognition and as of September 30, 2023 for the Senior Convertible Notes and SPA Warrants was $9.7 million and $0.3 million, respectively.
10.   Stockholders’ Equity
Reverse Recapitalization
As described in Note 2, Summary of Significant Accounting Policies, all historical equity data, including stock option data, in these unaudited condensed consolidated financial statements has been retrospectively adjusted by the Exchange Ratio to reflect the reverse recapitalization that occurred on September 29, 2023.
Common Stock
As of September 30, 2023, the Company had authorized 500,000,000 shares of common stock, par value $0.0001 per share. As of September 30, 2023, 21,888,976 shares of common stock were issued and outstanding, and 478,111,024 shares of common stock were reserved for future issuance.
Preferred Stock
As of September 30, 2023, the Company had authorized 10,000,000 shares of preferred stock, par value $0.0001. As of September 30, 2023, zero shares of preferred stock were issued or outstanding.
Employee Stock Purchase Plan
Upon consummation of the Business Combination, the Company adopted an employee stock purchase plan (“ESPP”). The maximum number of shares of the Company’s common stock that may be
 
F-46

TABLE OF CONTENTS
 
issued under the ESPP is 3% of the fully diluted common stock of the Company, determined as of immediately following Closing. Such maximum number of shares is subject to automatic annual increases. The Company’s employees and the employees of any designated affiliates may participate in the ESPP. The purchase price of the ESPP shares is 85% of the lesser of the fair market value of the Company’s common stock on the first day of an offering or on the applicable date of purchase. As of September 30, 2023, there were no transactions with respect to the ESPP.
2023 Plan
Upon consummation of the Business Combination, the Company adopted the 2023 equity incentive plan (“2023 Plan”). The maximum number of shares of common stock that may be issued under the 2023 Plan is 12% of the fully diluted common stock of the Company, determined as of immediately following Closing. Such maximum number of shares is subject to automatic annual increases. Under the 2023 Plan, restricted shares and stock options with service or performance based conditions may be granted to employees and nonemployees.
Upon the effective date of the 2023 Plan, the Company may not grant any additional awards under the 2019 Plan. As of September 30, 2023, no awards were granted under the 2023 Plan.
2019 Plan
The Company’s 2019 Plan (“2019 Plan”) became effective on October 23, 2019. The 2019 Plan provides for the grant of incentive stock options, non-qualified stock options, stock appreciation rights, restricted stock unit awards and performance share awards to employees, directors, and consultants of the Company. As of September 30, 2023, the Company has only issued stock options.
Stock options granted under the 2019 Plan expire no later than ten years from the date of grant and generally vest over a four-year period, with vesting occurring at a rate of 25% at the end of the first and thereafter in 36 equal monthly installments, or in the case of awards granted to board members, on a monthly basis over three or four years. In general, vested options expire if not exercised within three months after termination of service.
The fair value of each employee and non-employee stock option grant is estimated on the date of grant using the Black-Scholes option-pricing model. Due to the Company’s limited operating history and a lack of company-specific historical and implied volatility data, the Company estimated expected volatility based on the historical volatility of a group of similar companies that are publicly traded. The historical volatility data was computed using the daily closing prices for the selected companies’ shares during the equivalent period of the calculated expected term of the stock-based awards. Due to the lack of historical exercise history, the expected term of the Company’s stock options for employees has been determined utilizing the “simplified” method for awards. The risk-free interest rate is determined by reference to the U.S. Treasury yield curve in effect at the time of grant of the award for time periods approximately equal to the expected term of the award. The expected dividend yield is zero since the Company has never paid cash dividends and does not expect to pay any cash dividends in the foreseeable future.
A summary of the Company’s stock option activity for the nine months ended September 30, 2023 is as follows:
Stock Options
Outstanding
Weighted
Average
Exercise Price
Outstanding as of December 31, 2022
185,231 $ 1.37
Granted
2,173,693 6.67
Forfeited
(244,298) 6.61
Exercised
(12,866) 1.73
Outstanding as of September 30, 2023
2,101,760 $ 6.25
 
F-47

TABLE OF CONTENTS
 
The weighted average assumptions used in the Black-Scholes option pricing model to determine the fair value of stock option grants for the nine months ended September 30, 2023 were as follows:
Common stock fair value
$ 9.18
Risk-free interest rate
3.53%
Expected volatility
111.00%
Expected term (in years)
6.08
Expected dividend yield
0.00%
Stock options outstanding, vested and expected to vest and exercisable as of September 30, 2023 are as follows:
Number of
Stock
Options
Weighted
Average
Remaining
Contractual
Life (Years)
Weighted-
Average
Exercise
Price
Total
Aggregate
Intrinsic
Value (in
thousands)
Outstanding as of December 31, 2022
185,231 6.98 $ 1.37 $ 980
Outstanding as of September 30, 2023
2,101,760 9.10 $ 6.25 $ 4,318
Vested and expected to vest as of September 30, 2023
2,101,760 9.10 $ 6.25 $ 4,318
Exercisable as of September 30, 2023
268,236 7.48 $ 3.40 $ 1,315
Intrinsic value is calculated as the difference between the exercise price of the underlying options and the estimated fair value of the common stock for the options that had exercise prices that were lower than the per share fair value of the common stock on the related measurement date. The aggregate intrinsic value of stock options exercised during the nine months ended September 30, 2023 was $0.1 million. The aggregate fair value of stock options vested during the nine months ended September 30, 2023 was $0.9 million.
As of September 30, 2023, the total unrecognized stock-based compensation related to unvested stock option awards granted was $14.6 million, which the Company expects to recognize over a remaining weighted- average period of approximately 3.2 years.
Stock-based compensation expense, recognized in the Company’s condensed statements of operations and comprehensive loss for the 2019 Plan was recorded as follows (in thousands):
Three Months Ended
September 30
Nine Months Ended
September 30
2023
2022
2023
2022
Research and development
$ 197 $ 11 $ 735 $ 34
General and administrative
770 5 2,472 20
Total stock-based compensation expense
$ 967 $ 16 $ 3,207 $ 54
 
F-48

TABLE OF CONTENTS
 
11.   Property and Equipment, net
Property and equipment, net consist of the following (in thousands):
Useful Life
September 30,
2023
December 31,
2022
Land
$ 5,025 $ 5,025
Buildings
40 years
8,325 8,325
Furniture and fixtures
7 years
677 677
Lab equipment
5 years
4,003 4,003
Leasehold improvements
Lesser of estimated useful life
or related lease term
52 52
Office equipment
5 years
17 17
Vehicles
5 years
112 112
18,211 18,211
Less: Accumulated depreciation
(3,541) (2,690)
$ 14,670 $ 15,521
Depreciation expense related to property and equipment was $0.3 million for each of the three months ended September 30, 2023 and 2022, and $0.9 million for each of the nine months ended September 30, 2023 and 2022.
12.   Additional Balance Sheet Information
Prepaid expenses and other current assets consist of the following (in thousands):
September 30, 2023
December 31, 2022
Prepaid expenses
$ 1,200 $ 133
Other receivables
41 67
Revolving line of credit issuance fees
72
Other
4
Prepaid expenses and other current assets
$ 1,313 $ 204
Accounts payable and accrued expenses consist of the following (in thousands):
September 30, 2023
December 31, 2022
Accounts payable
$ 7,938 $ 975
Accrued liabilities
4,239 1,359
Employee compensation
730 291
Other
58 27
Accounts payable and accrued expenses
$ 12,965 $ 2,652
13.   Collaboration Agreement
On September 17, 2020, the Company entered into a strategic collaboration with Affimed GmbH (“Affimed”) to initiate a Phase 1/2 trial of SNK01 in combination with AFM24, a tetravalent biologic created by Affimed designed to direct NK cell killing of epidermal growth factor receptor (“EGFR”) expressing tumors. Under the collaboration agreement, the Company and Affimed split the development costs of the combination product equally. The study associated with the strategic collaboration with Affimed was discontinued by mutual agreement in June 2023.
Total reductions to research and development expenses for the three months ended September 30, 2023 and 2022 were $0.2 million and less than $0.1 million, respectively. Total reductions to research and
 
F-49

TABLE OF CONTENTS
 
development expenses for the nine months ended September 30, 2023 and 2022 were $0.2 million and $0.4 million, respectively.
14.   Commitments and Contingencies
Leases
In February 2018, the Company entered into an operating lease agreement for office space located in 10 Pasteur, Irvine with a lease term of approximately five years. Rent payments commenced in February 2018. The lease expired on February 5, 2023. In October 2021, the Company entered into an operating lease agreement for office space located in 19700 Fairchild with a lease term of approximately two years with an option to extend the term for one two-year term, which at the time was not reasonably assured of exercise and therefore, not included in the lease term. Rent payments commenced in December 2021. The lease expires on December 31, 2023.
As of September 30, 2023, the Company recorded an aggregate right of use asset of $1.1 million with an accumulated amortization of $1.0 million in the condensed balance sheet as operating lease right-of-use asset, net, and an aggregate lease liability of $0.1 million in the condensed balance sheet as operating lease liability, current. As of September 30, 2023, the weighted-average remaining lease term was less than one year, and the weighted-average estimated incremental borrowing rate was 6.00%.
As of September 30, 2023, total undiscounted lease payments were $0.1 million, which are committed to be made during 2023.
License Agreements
The Company has entered into exclusive license agreements with NKMAX, as amended in October 2021, April 2023 and August 2023 (“Intercompany License”), pursuant to which the Company acquired certain intellectual property. Pursuant to each license agreement, as consideration for an exclusive license to the intellectual property, the Company paid an upfront fee of $1.0 million (“Licensed Technology”).
As the license has no alternative future use, the Company recognized the upfront fee as research and development expense in the statement of operations during the year ended December 31, 2020. Additionally, the Company is also required to pay one-time milestone payments for the first receipt of regulatory approval by the Company or any of its affiliates for a Licensed Technology in the following jurisdictions (and amounts): the United States ($5.0 million), the European Union (“EU”) ($4.0 million), and four other countries ($1.0 million each). The Company is obligated to pay a mid-single digit royalty on net sales of Licensed Technology by it, its affiliates or its sublicensees, subject to customary reductions. The Company is also required to pay a percentage of its sublicensing revenue ranging from a low double-digit percentage to a midsingle digit percentage. As of September 30, 2023, the Company has not paid any milestone payments and no sales of Licensed Technology have occurred.
Litigation
The Company is subject to legal proceedings and claims, which arise in the ordinary course of business.
The Company is not subject to any currently pending legal matters or claims that would have a material adverse effect on its financial position, results of operations or cash flows.
In the normal course of business, the Company enters into contracts and agreements that contain a variety of representations and warranties and provide for general indemnifications. The Company’s exposure under these agreements is unknown because it involves claims that may be made against the Company in the future but have not yet been made. The Company accrues a liability for such matters when it is probable that future expenditures will be made, and such expenditures can be reasonably estimated. No amounts were accrued as of September 30, 2023 and December 31, 2022.
15.   Income Taxes
The Company is subject to taxation in the U.S. and various state jurisdictions. The Company is not subject to taxation in foreign countries. The Company’s effective tax rate is calculated quarterly based upon
 
F-50

TABLE OF CONTENTS
 
current assumptions relating to the full year’s estimated operating results and various tax-related items. Each quarter, an estimate of the annual effective tax rate is updated should we revise our forecast of earnings based upon our operating results. If there is a change in the estimated effective annual tax rate, a cumulative adjustment is made. The Company’s effective tax rate was 0% for each of the three and nine months ended September 30, 2023 and 2022.
The difference between the effective tax rate of 0% and the U.S. federal statutory rate of 21% for each of the three and nine months ended September 30, 2023 and 2022 was primarily due to changes in deferred tax balances, partially offset by valuation allowances.
As of September 30, 2023 and 2022, we determined that, based on an evaluation of our history of net losses and all available evidence, both positive and negative, including our latest forecasts and cumulative losses in recent years, it was more likely than not that none or substantially none of our deferred tax assets would be realized and, therefore, we continued to record a valuation allowance.
16.   Subsequent Events
Short Term Related Party Loan
The Company’s $0.3 million Short Term Related Party Loan was repaid in full on October 5, 2023.
 
F-51

TABLE OF CONTENTS
 
PART II
INFORMATION NOT REQUIRED IN PROSPECTUS
Item 13.   Other Expenses of Issuance and Distribution.
The following table sets forth all costs and expenses, other than underwriting discounts and commissions, payable by us in connection with the sale of the securities being registered. All amounts shown are estimates except for the SEC registration fee.
Amount
SEC registration fee
$ 17,273
Accountants’ fees and expenses
$ 165,000
Legal fees and expenses
$ 250,000
Miscellaneous fees and expenses
$ 40,000
Total expenses
$ 472,273
Discounts, concessions, commissions and similar selling expenses attributable to the sale of shares of common stock covered by this prospectus will be borne by the selling securityholders. We will pay all expenses (other than discounts, concessions, commissions and similar selling expenses) relating to the registration of the shares with the Securities and Exchange Commission, as estimated in the table above.
Item 14.   Indemnification of Directors and Officers.
Section 145 of the Delaware General Corporation Law authorizes a court to award, or a corporation’s board of directors to grant, indemnity to directors and officers in terms sufficiently broad to permit such indemnification under certain circumstances for liabilities, including reimbursement for expenses incurred, arising under the Securities Act.
Our Charter provides for indemnification of our directors, officers, employees and other agents to the maximum extent permitted by the Delaware General Corporation Law, and our Bylaws provide for indemnification of our directors, officers, employees and other agents to the maximum extent permitted by the Delaware General Corporation Law.
In addition, we have entered into indemnification agreements with our directors, officers, and some employees containing provisions which are in some respects broader than the specific indemnification provisions contained in the Delaware General Corporation Law. The indemnification agreements will require us, among other things, to indemnify our directors against certain liabilities that may arise by reason of their status or service as directors and to advance their expenses incurred as a result of any proceeding against them as to which they could be indemnified.
Item 15.   Recent Sales of Unregistered Securities.
The following list sets forth information regarding all unregistered securities sold by Graf since January 28, 2021:
(1)
On February 13, 2021, Graf Acquisition Partners LLC paid an aggregate of $25,000 for certain expenses on behalf of Graf in exchange for issuance of 4,312,500 Founder Shares, for an aggregate offering price of $25,000 at an average purchase price of approximately $0.006 per share. On April 2, 2021, Graf Acquisition Partners LLC transferred all of its Founder Shares to the Sponsor. On April 8, 2021, the Sponsor transferred 20,000 Founder Shares to each of Graf’s four independent directors. Each of the Sponsor and director of Graf is an accredited investor for purposes of Rule 501 of Regulation D. After the initial public offering of Graf, and the partial exercise of underwriters’ over-allotment option, an aggregate of 22,125 Founder Shares were forfeited, resulting in an aggregate of 4,290,375 Founder Shares outstanding. In connection with Closing of the Business Combination, an aggregate of 1,173,631 Founder Shares were forfeited by
 
II-1

TABLE OF CONTENTS
 
the Sponsor to the Company, resulting in an aggregate of 2,436,744 Founder Shares held by the Sponsor and 80,000 Founder Shares held by Graf’s directors.
(2)
In connection with the closing of the initial public offering of Graf, the Sponsor purchased an aggregate of 4,433,333 warrants at a price of $1.50 per warrant for an aggregate purchase price of $6,650,000. In connection with the initial public offering of Graf and pursuant to the closing of a private placement, the Sponsor purchased an additional 288,200 private warrants at $1.50 per warrant for an aggregate purchase price of $432,000, resulting in an aggregate of 4,721,533 private warrants. Each private warrant is exercisable for one share of our common stock.
(3)
On May 15, 2023, Graf issued a working capital note to the Sponsor with a principal amount up to $1.5 million. Upon the Closing of the Business Combination, the outstanding amount under the working capital note converted into 523,140 Working Capital Warrants. Each Working Capital Warrant is exercisable for one share of our common stock.
(4)
In September 2023, upon the Closing of the Business Combination, the Company issued an aggregate of 10,209,994 PIPE Warrants to purchase up to shares of our common stock to qualified institutional buyers and accredited investors. Each PIPE Warrant is exercisable for one share of our common stock.
(5)
In September 2023, upon the Closing of the Business Combination, the Company issued (i) 1,000,000 SPA Warrants to purchase up to 1,000,000 shares of our common stock, and (ii) the 2027 Convertible Notes to purchase up to 1,320,000 shares of our common stock. Each SPA Warrant is exercisable for one share of our common stock.
(6)
In September 2023, upon the Closing of the Business Combination, the Company issued an aggregate of 1,080,000 shares of our common stock to qualified institutional buyers and accredited investors.
None of the foregoing transactions involved any underwriters, underwriting discounts or commissions, or any public offering. We believe each of these transactions was exempt from registration under the Securities Act in reliance on Section 4(a)(2) of the Securities Act (and Regulation D promulgated thereunder) as transactions by an issuer not involving any public offering or Rule 701 promulgated under Section 3(b) of the Securities Act as transactions by an issuer under benefit plans and contracts relating to compensation as provided under Rule 701. The recipients of the securities in each of these transactions represented their intentions to acquire the securities for investment only and not with a view to or for sale in connection with any distribution thereof, and appropriate legends were placed on the share certificates issued in these transactions. All recipients had adequate access, through their relationships with us, to information about us. The sales of these securities were made without any general solicitation or advertising.
Item 16.   Exhibits and Financial Statement Schedules
Incorporated by Reference
Exhibit
Number
Description
Schedule/
Form
File No.
Exhibit
Filing Date
2.1
8-K
001-40427
2.1
April 17, 2023
3.1
8-K
001-40427
3.1
October 5, 2023
3.2
8-K
001-40427
3.2
October 5, 2023
4.1
8-K
001-40427
4.1
October 5, 2023
 
II-2

TABLE OF CONTENTS
 
Incorporated by Reference
Exhibit
Number
Description
Schedule/
Form
File No.
Exhibit
Filing Date
4.2
8-K
001-40427
4.2
October 5, 2023
4.3
8-K
001-40427
4.4
May 25, 2021
5.1
S-1
333-275094
5.1
November 29, 2023
10.1
8-K
001-40427
10.1
September 22, 2023
10.2
S-4
001-40427
10.2
September 22, 2023
10.3
8-K
001-40427
10.3
October 5, 2023
10.4
S-4
001-40427
10.3
September 29, 2023
10.5
8-K
001-40427
10.4
September 29, 2023
10.6#
8-K
001-40427
10.5
September 29, 2023
10.7#
8-K
001-40427
10.1
September 19, 2023
10.8#
8-K
001-40427
10.2
September 29, 2023
 
II-3

TABLE OF CONTENTS
 
Incorporated by Reference
Exhibit
Number
Description
Schedule/
Form
File No.
Exhibit
Filing Date
10.9# Form of Additional Warrant Subscription Agreement
8-K
001-40427
10.1
September 29, 2023
10.10 Securities Purchase Agreement, dated September 15, 2023, by and among Graf Acquisition Corp. IV and NKMAX Co., Ltd.
8-K
001-40427
10.1
September 18, 2023
10.11 Amended and Restated Registration Rights Agreement, dated September 29, 2023, by and among NKGen Biotech, Inc., members of Graf Acquisition Partners IV LLC, and certain former stockholders of NKGen Operating Biotech, Inc.
8-K
001-40427
10.6
October 5, 2023
10.12 Sponsor Support and Lockup Agreement, dated as of April 14, 2023, by and among Graf Acquisition Corp. IV, NKGen Biotech, Inc., Graf Acquisition Partners IV LLC and certain officers and directors of Graf Acquisition Corp. IV named as parties thereto.
8-K
001-40427
10.1
April 17, 2023
10.13 First Amended and Restated Sponsor Support and Lockup Agreement, dated as of September 21, 2023, by and among Graf Acquisition Corp. IV, NKGen Biotech, Inc., Graf Acquisition Partners IV LLC and certain officers and directors of Graf Acquisition Corp. IV named as parties thereto.
8-K
001-40427
10.1
September 22, 2023
10.14 Second Amended and Restated Sponsor Support and Lockup Agreement, dated as of September 28, 2023, by and among Graf Acquisition Corp. IV, NKGen Biotech, Inc., Graf Acquisition Partners IV LLC and certain officers and directors of Graf Acquisition Corp. IV named as parties thereto.
8-K
001-40427
10.7.4
October 5, 2023
 
II-4

TABLE OF CONTENTS
 
Incorporated by Reference
Exhibit
Number
Description
Schedule/
Form
File No.
Exhibit
Filing Date
10.15 Third Amended and Restated Sponsor Support and Lockup Agreement, dated September 29, 2023, by and among Graf Acquisition Corp. IV, NKGen Biotech, Inc., Graf Acquisition Partners IV LLC and certain officers and directors of Graf Acquisition Corp. IV named as parties thereto.
8-K
001-40427
10.7.3
October 5, 2023
10.16
S-1
333-275094
10.16
October 19, 2023
10.17
S-1
333-275094
10.17
October 19, 2023
10.18
8-K
001-40427
10.10
October 5, 2023
10.19
S-4/A
333-271929
10.15.1
August 4, 2023
10.20
S-4/A
333-271929
10.15.2
August 4, 2023
10.21
S-4/A
333-271929
10.13
June 26, 2023
10.22
S-4/A
333-271929
10.14.1
June 26, 2023
10.23
S-4/A
333-271929
10.14.2
June 26, 2023
10.24
S-4/A
333-271929
10.16
August 4, 2023
10.25
8-K
001-40427
10.13.2
October 5, 2023
 
II-5

TABLE OF CONTENTS
 
Incorporated by Reference
Exhibit
Number
Description
Schedule/
Form
File No.
Exhibit
Filing Date
10.26
8-K
333-271929
10.17.1
August 4, 2023
10.27
8-K
333-271929
10.17.2
August 4, 2023
10.28
8-K
333-271929
10.17.3
August 4, 2023
10.29
8-K
333-271929
10.17.4
August 4, 2023
10.30
S-4/A
333-271929
10.17.5
August 4, 2023
10.31#
8-K
001-40427
10.24.1
October 5, 2023
10.32#
8-K
001-40427
10.24.2
October 5, 2023
10.33#
8-K
001-40427
10.24.4
October 5, 2023
10.34#
8-K
001-40427
10.25
October 5, 2023
10.35
8-K
001-40427
10.26
October 5, 2023
16.1
8-K
001-40427
16.1
October 5, 2023
21.1
8-K
001-40427
21.1
October 5, 2023
23.1* Consent of Ernst & Young LLP, independent registered public accounting firm.
23.2
S-1
333-275094
5.1
November 29, 2023
24.1
S-1
333-275094
24.2
October 19, 2023
101.INS
Inline XBRL Instance Document 1
101.SCH Inline XBRL Taxonomy Extension Schema Document
101.CAL
Inline XBRL Taxonomy Extension Calculation Linkbase Document
 
II-6

TABLE OF CONTENTS
 
Incorporated by Reference
Exhibit
Number
Description
Schedule/
Form
File No.
Exhibit
Filing Date
101.DEF
Inline XBRL Taxonomy Extension Definition Linkbase Document
101.LAB Inline XBRL Taxonomy Extension Label Linkbase Document
101.PRE Inline XBRL Taxonomy Extension Presentation Linkbase
104 Cover Page Interactive Data File (formatted as inline XBRL and contained in Exhibit 101)
107
S-1
333-275094
107
October 19, 2023
*
Filed herewith.

Certain of the exhibits and schedules to this Exhibit have been omitted in accordance with Regulation S-K Item 601. The Company agrees to furnish a copy of all omitted exhibits and schedules to the SEC upon its request.
#
Indicates a management contract or compensatory plan, contract or arrangement.
Item 17.   Undertakings
The undersigned Registrant hereby undertakes:
(a)
To file, during any period in which offers or sales are being made, a post-effective amendment to this Registration Statement:
(i)
To include any prospectus required by section 10(a)(3) of the Securities Act of 1933;
(ii)
To reflect in the prospectus any facts or events arising after the effective date of this Registration Statement (or the most recent post-effective amendment thereof) which, individually or in the aggregate, represent a fundamental change in the information set forth in this Registration Statement. Notwithstanding the foregoing, any increase or decrease in volume of securities offered (if the total dollar value of securities offered would not exceed that which was registered) and any deviation from the low or high end of the estimated maximum offering range may be reflected in the form of prospectus filed with the Commission pursuant to Rule 424(b) if, in the aggregate, the changes in volume and price represent no more than 20% change in the maximum aggregate offering price set forth in the “Calculation of Registration Fee” table in the effective registration statement; and
(iii)
To include any material information with respect to the plan of distribution not previously disclosed in this Registration Statement or any material change to such information in this Registration Statement.
(b)
That, for the purpose of determining any liability under the Securities Act of 1933, each such post-effective amendment that contains a form of prospectus shall be deemed to be a new registration statement relating to the securities offered therein, and the offering of such securities at that time shall be deemed to be the initial bona fide offering thereof.
(c)
To remove from registration by means of a post-effective amendment any of the securities being registered which remain unsold at the termination of the offering.
(d)
That, for the purpose of determining liability under the Securities Act of 1933 to any purchaser, each prospectus filed pursuant to Rule 424(b) as part of a registration statement relating to an offering, other than registration statements relying on Rule 430B or other than prospectuses filed in reliance on Rule 430A, shall be deemed to be part of and included in the registration statement
 
II-7

TABLE OF CONTENTS
 
as of the date it is first used after effectiveness. Provided, however, that no statement made in a registration statement or prospectus that is part of the registration statement or made in a document incorporated or deemed incorporated by reference into the registration statement or prospectus that is part of the registration statement will, as to a purchaser with a time of contract of sale prior to such first use, supersede or modify any statement that was made in the registration statement or prospectus that was part of the registration statement or made in any such document immediately prior to such date of first use.
(e)
That, for the purpose of determining liability of the registrant under the Securities Act of 1933 to any purchaser in the initial distribution of the securities, the undersigned registrant undertakes that in a primary offering of securities of the undersigned registrant pursuant to this registration statement, regardless of the underwriting method used to sell the securities to the purchaser, if the securities are offered or sold to such purchaser by means of any of the following communications,
(i)
Any preliminary prospectus or prospectus of the undersigned registrant relating to the offering required to be filed pursuant to Rule 424;
(ii)
Any free writing prospectus relating to the offering prepared by or on behalf of the undersigned registrant or used or referred to by the undersigned registrant;
(iii)
The portion of any other free writing prospectus relating to the offering containing material information about the undersigned registrant or its securities provided by or on behalf of the undersigned registrant; and
(iv)
Any other communication that is an offer in the offering made by the undersigned registrant to the purchaser.
Insofar as indemnification for liabilities arising under the Securities Act of 1933 may be permitted to directors, officers and controlling persons of the Registrant pursuant to the foregoing provisions, or otherwise, the Registrant has been advised that in the opinion of the SEC such indemnification is against public policy as expressed in the Securities Act of 1933 and is, therefore, unenforceable. In the event that a claim for indemnification against such liabilities (other than the payment by the Registrant of expenses incurred or paid by a director, officer or controlling person of the Registrant in the successful defense of any action, suit or proceeding) is asserted by such director, officer or controlling person in connection with the securities being registered, the Registrant will, unless in the opinion of its counsel the matter has been settled by controlling precedent, submit to a court of appropriate jurisdiction the question whether such indemnification by them is against public policy as expressed in the Securities Act of 1933 and will be governed by the final adjudication of such issue.
 
II-8

TABLE OF CONTENTS
 
SIGNATURES
Pursuant to the requirements of the Securities Act, the registrant has duly caused this registration statement to be signed on its behalf by the undersigned, thereunto duly authorized, in Santa Ana, California, on the day of December 15, 2023.
NKGEN BIOTECH, INC.
By:
/s/ Paul Y. Song
Name: Paul Y. Song
Title:   Chief Executive Officer
Pursuant to the requirements of the Securities Act of 1933, this registration statement has been signed by the following persons in the capacities and on the dates indicated.
Signature
Title
Date
/s/ Paul Y. Song
Paul Y. Song
Chief Executive Officer and Director
(Principal Executive Officer)
December 15, 2023
/s/ James A. Graf
James A. Graf
Interim Chief Financial Officer
(Principal Financial and Accounting Officer)
December 15, 2023
*
Sangwoo Park
Chairperson of the Board of Directors
December 15, 2023
*
Alana McNulty
Director
December 15, 2023
*
Michael Klowden
Director
December 15, 2023
*
Kathleen Scott
Director
December 15, 2023
*By:
/s/ Paul Y. Song
Paul Y. Song
Attorney-in-Fact
 
II-9