Please wait
TABLE OF CONTENTS
UNITED STATES
SECURITIES AND EXCHANGE COMMISSION
Washington, D.C. 20549
SCHEDULE 14A INFORMATION
Proxy Statement Pursuant to Section 14(a)
of the Securities Exchange Act of 1934
Filed by the Registrant ☒
Filed by a Party other than the Registrant ☐
Check the appropriate box:

Preliminary Proxy Statement

Confidential, for Use of the Commission Only (as permitted by Rule 14a-6(e)(2))

Definitive Proxy Statement

Definitive Additional Materials

Soliciting Material under § 240.14a-12
Payoneer Global Inc.
(Name of Registrant as Specified in Its Charter)
(Name of Person(s) Filing Proxy Statement if Other Than the Registrant)
Payment of Filing Fee (Check the appropriate box):

No fee required.

Fee previously paid with preliminary materials.

Fee computed on table in exhibit required by Item 25(b) per Exchange Act Rules 14a-6(i)(1) and 0-11

TABLE OF CONTENTS
  
[MISSING IMAGE: cv_ofc-pn.jpg]

TABLE OF CONTENTS
[MISSING IMAGE: pg_messageceo-pn.jpg]
Message from our CEO
Dear Stockholders,
2024 was a breakthrough year for Payoneer. We sharpened our strategy, enhanced and extended our financial stack and achieved annual records for volume, revenue and profitability. Our volume grew 21% year-over-year to $80 billion, with strong growth across our business but particularly in our B2B franchise, which grew 42% year over year. Revenue grew 18% year-over-year to $978 million as we prioritized our highest value customers and increased adoption of our high-value products and services. We achieved positive Adjusted EBITDA excluding interest income for the first time since going public in 2021. Our business generated significant operating cash flow of $177 million in 2024, enabling us to both invest in our business for long-term, profitable growth, and to return capital to our stockholders through stock repurchases. We also took steps to reduce our sensitivity to interest rate fluctuations and acquired Skuad, a workforce management company, enhancing our B2B offering to customers.
We are proud of the progress we made in 2024, and our Board recognizes that, as Payoneer grows and matures as a public company, its corporate governance framework should evolve accordingly. To that end, the Board is proposing important amendments to our governing documents that we believe will enhance stockholder rights and further promote accountability to stockholders. Specifically, at the upcoming Annual Meeting, we are asking stockholders to approve a proposal to begin a process to declassify the Board and a proposal that will allow stockholders to amend the Company’s Bylaws and approve amendments to the Certificate of Incorporation with a simple majority vote. We value and benefit from our active engagement with our stockholders, and we appreciate the feedback we have received that informed the Board’s actions.
We have also been advancing our efforts to augment our Board of Directors. Our Board’s continuous refreshment is critical to ensuring that we have the right background and experiences to shape and oversee the Company’s long-term strategy, governance, and internal controls in a dynamic industry environment. In February, our Board appointed Barak Eilam, a successful leader with nearly three decades of experience building and scaling technology businesses, to the Board.
I also want to take a moment to express our sincerest gratitude and acknowledge the extraordinary service Avi Zeevi and Scott Galit have provided to our Board. They will both be retiring from our Board when their term concludes at the Annual Meeting. Avi has been Chairman of the Board since 2008 and has been an instrumental leader on the Board over his tenure. Scott has been a member of Payoneer’s Board since 2010 and his insightful advice and guidance have helped inform our decision-making and strategy. On behalf of our Board and shareholders, we thank both Avi and Scott for their contributions and service to Payoneer over the years.
The Annual Meeting of Stockholders will be held on June 10, 2025, at 8.00 a.m. (Eastern Time), and I am pleased to invite you to attend. The meeting will be held virtually, and it can be accessed by visiting www.virtualshareholdermeeting.com/PAYO2025, where you will be able to listen to the meeting live, submit questions and vote online. During the meeting, we will address the voting items in this year’s Proxy Statement and take your questions. Regardless of whether you plan to join the meeting, your vote is important, and we encourage you to review the enclosed materials and submit your proxy before the meeting.
On behalf of our Board of Directors and our entire executive leadership team, thank you to our stockholders for your continued trust and support.
Sincerely,
[MISSING IMAGE: sg_johncaplan-bw.jpg]
John Caplan,
Chief Executive Officer and Director

TABLE OF CONTENTS
PAYONEER GLOBAL INC.
N
OTICE OF ANNUAL MEETING OF STOCKHOLDERS
TO BE HELD VIRTUALLY ON
JUNE 10, 2025, AT 8.00 A.M. (EASTERN TIME)
April 28, 2025
Dear Stockholder:
You are cordially invited to attend the 2025 Annual Meeting of the Stockholders (the “Annual Meeting”) of Payoneer Global Inc., a Delaware corporation (“we,” “us,” “Payoneer” or the “Company”). The Annual Meeting will be held virtually on June 10, 2025, at 8.00 a.m. (Eastern Time), for the following purposes:
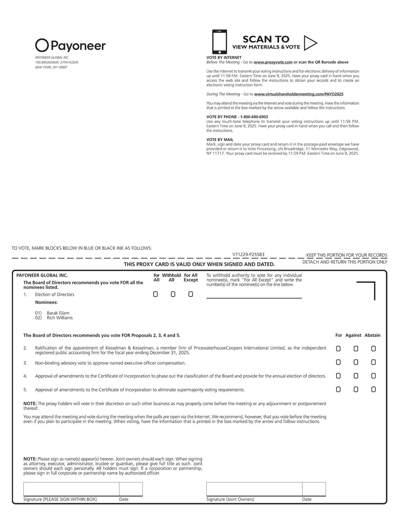
1.
To elect the two nominees for Class I directors to serve until the 2028 annual meeting of stockholders and until their successors are duly elected and qualified;
2.
To ratify the selection of Kesselman & Kesselman, a member firm of PricewaterhouseCoopers International Limited (“PwC”), as the independent registered public accounting firm for Payoneer for the fiscal year ending December 31, 2025;
3.
To conduct a non-binding advisory vote to approve named executive officer compensation;
4.
To approve amendments to the Amended and Restated Certificate of Incorporation of the Company (the “Certificate of Incorporation”) to phase out the classification of the Board of Directors (the “Board”) and provide for the annual election of directors;
5.
To approve amendments to the Certificate of Incorporation to eliminate supermajority voting requirements; and
6.
To conduct any other business properly brought before the Annual Meeting.
The record date for the Annual Meeting is April 14, 2025 (the “Record Date”). Only stockholders of record at the close of business on the Record Date may vote at the Annual Meeting or any adjournment thereof.
We have determined to hold a virtual annual meeting in order to facilitate stockholder attendance and participation by enabling stockholders to participate from any location and without charge. We believe this is the right choice for Payoneer currently, as it enables engagement with our stockholders, regardless of size, resources, or physical location. We are committed to ensuring that stockholders will be afforded the same rights and opportunities to participate as they would at an in-person meeting.
If you plan to participate in the virtual Annual Meeting, please see the Questions and Answers section below. Stockholders will be able to attend, vote and submit questions via the internet by visiting www.virtualshareholdermeeting.com/PAYO2025.
If you have any questions or need assistance in voting your shares, please write to Payoneer Investor Relations at Payoneer Global Inc., 195 Broadway, 27th Floor, New York, NY 10007 or by email at investor@payoneer.com.
Important Notice Regarding the Availability of Proxy Materials for the Annual Meeting to be held on June 10, 2025. This Proxy Statement and the Company’s 2024 Annual Report on Form 10-K are available at www.proxyvote.com.
As permitted by applicable Securities and Exchange Commission rules, on or about April 28, 2025, we mailed an Important Notice Regarding the Availability of Proxy Materials containing instructions on how to access our Annual Meeting Proxy Statement and 2024 Annual Report on Form 10-K online, as well as instructions on how to obtain printed copies of these materials by mail.
By Order of the Board of Directors
[MISSING IMAGE: sg_tsafi-bw.jpg]
Tsafi Goldman,
Chief Legal & Governance Officer and Corporate Secretary
ALL STOCKHOLDERS ARE CORDIALLY INVITED TO VIRTUALLY ATTEND THE ANNUAL MEETING. WHETHER OR NOT YOU EXPECT TO ATTEND THE ANNUAL MEETING, PLEASE COMPLETE, DATE, SIGN AND RETURN THE PROXY CARD, OR VOTE OVER THE TELEPHONE OR INTERNET AS INSTRUCTED IN THESE MATERIALS, AS PROMPTLY AS POSSIBLE IN ORDER TO ENSURE YOUR REPRESENTATION AT THE ANNUAL MEETING. EVEN IF YOU HAVE VOTED BY PROXY, YOU MAY STILL VOTE IF YOU ATTEND THE ANNUAL MEETING.

TABLE OF CONTENTS
TABLE OF CONTENTS
Page
1
7
13
14
15
Proposal No. 2: Ratification of the Selection of the Independent Registered Public Accounting Firm for Payoneer 16
18
21
35
43
44
Proposal No. 3: Non-Binding Advisory Vote to Approve Named Executive Officer Compensation 49
Proposal No. 4: Approval of Amendments to the Certificate of Incorporation to Phase Out the Classification of the Board of Directors and Provide for the Annual Election of
Directors
50
Proposal No. 5: Approval of Amendments to the Certificate of Incorporation to Eliminate Supermajority Voting Requirements 52
54
56
57
58
A-1
ANNEX B: Amendments to the Certificate of Incorporation and Bylaws to Phase Out the Classification of the Board of Directors and Provide for the Annual Election of
Directors
B-1
C-1

TABLE OF CONTENTS
 
PROPOSAL NO. 1: ELECTION OF DIRECTORS
The Board is presently comprised of ten members, who are divided into three classes, designated as Class I, Class II and Class III. Currently, one class of directors is elected by the stockholders at each annual meeting to serve from the time of their election until the third annual meeting of stockholders following their election. As of the date of this Proxy Statement, Class I directors consist of Scott Galit, Barak Eilam, Rich Williams and Avi Zeevi; Class II directors consist of John Caplan, Amir Goldman and Susanna Morgan; and Class III directors consist of Sharda Caro del Castillo, Christopher (Woody) Marshall and Pamela H. Patsley.
The Nominating and Corporate Governance Committee of the Board has recommended, and the Board has approved, the nomination of two Class I directors, Barak Eilam and Rich Wiliams, for three-year terms expiring at the 2028 annual meeting of stockholders and until their respective successors are duly elected and qualified, or, if sooner, until the director’s death, resignation or removal. Each of Mr. Eilam and Mr. Williams is currently a director of the Company. Mr. Williams used to serve as a member of Class II but following a class rebalancing in 2024, he is now a member of Class I and therefore up for reelection in 2025 instead of 2026. Mr. Eilam was appointed to the Board in February 2025 and is a new director nominee recommended by the Nominating and Corporate Governance Committee as part of the Board’s ongoing succession planning, in consultation with an independent third-party search firm. Scott Galit and Avi Zeevi, current Class I directors, are not being renominated, and will be retiring from the Board effective at the Annual Meeting. Therefore, the size of the Board will be reduced to eight members effective at the Annual Meeting. Currently, directors are elected by a plurality of the votes of the holders of shares present or represented by proxy and entitled to vote on the election of directors. The two nominees receiving the highest number of affirmative votes will be elected.
Proxies cannot be voted for a greater number of persons than the number of nominees named in this Proxy Statement. If any nominee should become unavailable to serve for any reason, the proxies named may cast votes for a substitute nominee designated by the Nominating and Corporate Governance Committee and approved by the Board, or the Board may reduce its size. We have no reason to believe that any nominee named will be unable to serve if elected.
[MISSING IMAGE: lg_payoneerftr-4c.jpg]
 | 2025 Proxy Statement
1

TABLE OF CONTENTS
 
Nominees for Director and Continuing Directors
The names and ages of the nominees and continuing directors, length of service with the Company and Board committee memberships are set forth in the table below.
Name
Age
Director
Since
Current
Term
Expires
Independent
Audit
Committee
Compensation
Committee
Nominating and
Corporate
Governance
Committee
Risk
Committee
Nominees
Barak Eilam*
50
2025
2025
x
Rich Williams**
50
2021
2025
x
x
x
Continuing Directors
John Caplan
55
2022
2026
Sharda Caro del Castillo
54 2023 2027
x
x
x
Amir Goldman
53
2014
2026
x
x
x
Christopher (Woody) Marshall
57 2017 2027
x
x
x
Susanna Morgan
55
2023
2026
x
x
x
Pamela H. Patsley
68
2021
2027
x
x
x
* Mr. Eilam is not currently a member of any Board committee. If Mr. Eilam is elected by our stockholders at the Annual Meeting, he will be appointed to the Audit Committee.
** If Mr. Williams is elected by our stockholders at the Annual Meeting, he will be appointed as chair of the Board.
2
[MISSING IMAGE: lg_payoneerftr-4c.jpg]
 | 2025 Proxy Statement

TABLE OF CONTENTS
 
Director Skills and Experience
Set forth below is a table summarizing the skills and experience of our director nominees and continuing directors.
Name
Executive
Leadership
Experience
International
Operations
Experience
Payments /
Fintech
Experience
Software /
SaaS
Experience
Marketing
and
Consumer
Engagement
Experience
Regulation
and
Compliance
Experience
Mergers
and
Acquisitions
Experience
Public
Company
Board
Experience
Nominees
Barak Eilam
x
x
x
x
x
x
x
x
Rich Williams
x
x
x
x
x
x
x
x
Continuing Directors
John Caplan
x
x
x
x
x
x
x
Sharda Caro del Castillo
x
x
x
x
Amir Goldman
x
x
x
x
x
Christopher (Woody) Marshall
x
x
x
x
x
x
Susanna Morgan
x
x
x
x
x
x
x
Pamela H. Patsley
x
x
x
x
x
x
x
x
A brief biography of each nominee and each continuing director is also set forth below, which includes information, as of the date of this Proxy Statement, regarding specific and particular experience, qualifications, attributes or skills of each nominee that led the Nominating and Corporate Governance Committee and the Board to believe that the director should serve on the Board:
Director Nominees
[MISSING IMAGE: ph_barakeilam-4c.jpg]
Barak Eilam
Age: 50
Director Since:
2025
Mr. Eilam has served as a director of Payoneer since February 2025. He previously served as the CEO of NICE (NASDAQ: NICE), a leading global enterprise software company specializing in analytics and AI solutions, from 2014 until December 2024. Mr. Eilam began his career at NICE in 1999 as an engineer and has since held various senior executive positions in engineering, product management, and sales leadership, including President of NICE Americas. During his tenure, NICE saw a significant expansion in its total addressable market and strong revenue growth. Mr. Eilam currently serves on the boards of FactSet (NASDAQ, NYSE: FDS) since December 2024, an S&P 500 company specializing in data and analytics for financial services companies; SimilarWeb (NYSE: SMWB) since September 2024, a leading digital data and analytics firm; HMH, a prominent privately held K-12 education company and Cvent, a privately held global leader in event management and data. Mr. Eilam holds a B.Sc. in Electrical Engineering from Tel Aviv University. We believe Mr. Eilam’s nearly three decades of experience building and scaling technology businesses make him well qualified to serve as a director.
[MISSING IMAGE: lg_payoneerftr-4c.jpg]
 | 2025 Proxy Statement
3

TABLE OF CONTENTS
 
[MISSING IMAGE: ph_richwilliams-4c.jpg]
Rich Williams
Age: 50
Director Since:
2021
Mr. Williams has served as a director of Payoneer since 2021. Mr. Williams currently serves as CEO of The Value Studio, LLC, which he founded in 2020 to provide strategic consulting and advisory services for leading private equity and venture capital firms and their portfolio companies; managing partner of Works Capital, LLC, a private investment fund focusing on early-stage disruptive technology companies; and President and Director of Built Technologies, a private technology company serving the construction and real estate industry. Mr. Williams serves as a board member of Movo Inc. (f/k/a Shift One, Inc.), a privately held AI workforce management technology company. From 2020 to 2021, Mr. Williams served as CEO and board member of Alkuri Global Acquisition Corp. (Alkuri; NASDAQ: KURI), a technology-focused special purpose acquisition corporation. From 2011 to 2020, Mr. Williams served in a variety of executive roles at Groupon (NASDAQ: GRPN), a small business services and products online marketplace, including serving as CEO from 2015 to 2020. From 2008 to 2011, Mr. Williams ran a variety of global marketing and advertising teams and technologies at Amazon. Prior to joining Amazon, Mr. Williams spent over seven years developing marketing programs and technologies in a variety of leadership roles at Experian (LSE: EXPN), a leading global data, analytics and financial services company. Mr. Williams also served on the boards of Groupon (NASDAQ: GRPN) and Kontoor Brands (NYSE: KTB). We believe Mr. Williams’ experience in e-commerce, technology, marketing, financial services and corporate governance make him well qualified to serve as a director.
Vote Required
Currently, directors are elected by a plurality of the votes of the holders of shares present or represented by proxy and entitled to vote on the election of directors. The two nominees receiving the highest number of affirmative votes will be elected. “Withhold” votes have no effect and will not prevent a candidate from getting elected. Broker non-votes will also have no effect on this Proposal No. 1.
THE BOARD OF DIRECTORS RECOMMENDS
A
VOTE “FOR” EACH NAMED NOMINEE.
4
[MISSING IMAGE: lg_payoneerftr-4c.jpg]
 | 2025 Proxy Statement

TABLE OF CONTENTS
 
Continuing Directors
[MISSING IMAGE: ph_johncaplan-4c.jpg]
John Caplan
Age: 55
Director Since:
2022
Mr. Caplan has served as the CEO of Payoneer since 2023, after joining as Co-CEO and director in 2022. Prior to joining Payoneer, Mr. Caplan was President North America & Europe at Alibaba.com, a business unit of the Alibaba Group (NYSE: BABA), from September 2018 to 2022. Previously, from 2009 to 2018, Mr. Caplan was founder and Chief Executive Officer of OpenSky, a SMB software and services firm. Alibaba acquired a majority stake in OpenSky in 2017. Prior to founding OpenSky, Mr. Caplan was Chief Executive Officer at Ford Models, Inc., a fashion talent agency, from 2002 to 2009; and CMO of About.com, an internet publishing business, from 1998 to 2001. Mr. Caplan currently serves on the board of Oscar Heyman & Brothers, a privately held company, and previously served on the boards of private companies, including Caroo, Sendle and Clyde. Mr. Caplan has a Bachelor of Arts in English from the University of Rochester. We believe Mr. Caplan’s experience as an executive in the e-commerce industry, technology and marketing make him well qualified to serve as a director.
[MISSING IMAGE: ph_shardacaro-4clr.jpg]
Sharda Caro del Castillo
Age: 54
Director Since:
2023
Ms. Caro del Castillo has served as a director of Payoneer since 2023. Prior to her appointment, Ms. Caro del Castillo served as Chief Legal Officer, Chief Compliance Officer and Corporate Secretary of Affirm, Inc. (NASDAQ: AFRM) from 2019 to 2021. From 2014 to 2019, Ms. Caro del Castillo was General Counsel and Chief Compliance Officer of Payments, and interim Global Head of Payments (2018-2019), at Airbnb (NASDAQ: ABNB). Prior to joining Airbnb, Ms. Caro del Castillo was Payments Counsel and subsequently the Head of Payments Platform at Square, Inc. (NYSE: SQ) from 2012 to 2014, and a Director of Product and Regulatory Counsel at PayPal (NASDAQ: PYPL) from 2010 to 2012. Ms. Caro del Castillo serves on the boards of Forter since 2022 and GoFundMe since 2021. Ms. Caro del Castillo has a Bachelor of Science from Santa Clara University, and a Juris Doctorate from Case Western Reserve University School of Law. We believe Ms. Caro del Castillo’s background in global payments, financial services, regulation and compliance make her well qualified to serve as a director.
[MISSING IMAGE: ph_amirgoldman-4c.jpg]
Amir Goldman
Age: 53
Director Since:
2014
Mr. Goldman has served as a director of Payoneer since 2014. Since 2006, he has served as the founder and Managing Director of Susquehanna Growth Equity LLC, a private equity firm focused on investing in growing companies in the software and payments sectors. From 2002 to 2006, he was a Principal at TL Ventures, a venture capital firm, and he previously served as Principal at BRM Capital, a venture capital firm focused on internet infrastructure and software companies between 1999 and 2002. Mr. Goldman serves as a director in a number of private companies, such as HighRadius and HMP Global. Mr. Goldman has a Master of Business Administration from Harvard Business School and a Bachelor of Science in Economics from the Wharton School at the University of Pennsylvania. We believe Mr. Goldman’s experience in analyzing companies, investing in technology, and overseeing the growth of companies through board participation make him well qualified to serve as a director.
[MISSING IMAGE: ph_christopherwmarshal-4c.jpg]
Christopher (Woody) Marshall
Age: 57
Director Since:
2017
Mr. Marshall has served as a director of Payoneer since 2017. In addition to his role on Payoneer’s Board, he currently serves on the boards of directors of Spotify (NYSE: SPOT) (where he serves as lead independent director) and Nerdy (NYSE: NRDY), both of which he joined in 2015, and as a director in a number of private companies. Since 2008, Mr. Marshall has served as a general partner of TCV, a private equity firm. Mr. Marshall has been active in the venture capital industry since 1995, having spent 12 years at Trident Capital, a venture capital and private equity firm with a primary investment focus on the payments, internet and mobile industries. Mr. Marshall has a Bachelor of Arts in Economics from Hamilton College and a Master of Business Administration from the Kellogg School of Management at Northwestern University. We believe Mr. Marshall’s experience in the payments industry, serving on public company boards and advising fast-growing platforms as they scale make him well qualified to serve as a director.
[MISSING IMAGE: lg_payoneerftr-4c.jpg]
 | 2025 Proxy Statement
5

TABLE OF CONTENTS
 
[MISSING IMAGE: ph_susannamorgan-4c.jpg]
Susanna Morgan
Age: 55
Director Since:
2023
Ms. Morgan has served as a director of Payoneer since 2023. Ms. Morgan currently serves as the CEO of Agate Advisors LLC, which she founded in 2024 to provide strategic consulting and advisory services for technology companies, investors, and finance executives. From 2018 to 2022, Ms. Morgan was the Chief Financial Officer of Remitly Global Inc. (NASDAQ: RELY), a mobile-first provider of remittances and financial services for immigrants. From 2015 to 2018, Ms. Morgan served as SVP, Finance & Investor Relations of Apptio (NASDAQ: APTI — subsequently acquired by IBM), an enterprise SaaS company that helps companies manage their IT investments. Prior to joining Apptio, between 2013 and 2015, Ms. Morgan was SVP and Global Head of Financial Planning & Analysis at Concur (NASDAQ: CNQR, acquired by SAP in 2014), a travel and expense SaaS company. She previously served in Corporate Development leadership roles at Vertafore, an insurance software company, Charles Schwab, a multinational financial services company, and Oracle, a multinational technology company, after beginning her career in strategy consulting. Ms. Morgan currently serves on the board of Mixpanel, a privately held product analytics company. Ms. Morgan holds a Master of Business Administration from Harvard Business School, a Master of Arts in International Policy Studies from Stanford University and a Bachelor of Arts with Honors in Quantitative Economics from Stanford University. We believe Ms. Morgan’s experience as a CFO and her various leadership roles in publicly traded companies make her well qualified to serve as a director.
[MISSING IMAGE: ph_pamela-4c.jpg]
Pamela H. Patsley
Age: 68
Director Since:
2021
Ms. Patsley has served as a director of Payoneer since 2021. From 2016 to 2018, Ms. Patsley served as Executive Chair of MoneyGram International, Inc. (NASDAQ: MGI), the global remittance Company, and was its Chair and Chief Executive Officer from 2009 to 2015. Ms. Patsley also previously held executive positions with the payment processor First Data Corporation, First Data Merchant Services (a division of First Data Corporation), Paymentech, Inc. and First USA, Inc. Earlier in her career, she worked for KPMG. Ms. Patsley currently serves on the boards of Texas Instruments Inc. (NASDAQ: TXN) since 2004, Keurig Dr Pepper Inc. (NASDAQ: KDP) since 2008 and Hilton Grand Vacations Inc. (NYSE: HGV) since 2016. She also serves on the board of Tolleson Wealth Management, a privately held company. Ms. Patsley previously served on the boards of ACI Worldwide, Inc. (NASDAQ: ACIW), Molson Coors Brewing Company (NYSE: TAP), and Pegasus Solutions Inc. (NASDAQ: PEGS). Ms. Patsley holds a Bachelor of Science in Business Administration — Accounting from the University of Missouri. We believe Ms. Patsley’s experience as an executive in the financial services industry, as well as her experience serving on public company boards, make her well qualified to serve as a director.
6
[MISSING IMAGE: lg_payoneerftr-4c.jpg]
 | 2025 Proxy Statement

TABLE OF CONTENTS
 
INFORMATION REGARDING THE BOARD OF DIRECTORS
AND
CORPORATE GOVERNANCE
This section describes key corporate governance principles and practices that we have adopted. Complete copies of the charters of the committees of the Board, our Corporate Governance Guidelines and our Code of Conduct and Ethics, described below, can be found in the Governance section on our website at investor.payoneer.com/governance. Alternatively, you can request a copy of any of these documents free of charge by writing to: Corporate Secretary, c/o Payoneer Global Inc., 195 Broadway, 27th Floor, New York, NY 10007. Information on or accessible through our website is not incorporated by reference in this Proxy Statement.
Board Composition
Our Board of Directors currently consists of ten members. In accordance with our Certificate of Incorporation and our Amended and Restated Bylaws (the “Bylaws”), our directors are divided into three classes serving staggered three-year terms. At each annual meeting of stockholders, our directors will be elected to succeed the class of directors whose terms have expired. As of the date of this Proxy Statement, our directors are divided among the three classes as follows:

Class I directors consist of Barak Eilam, Scott Galit, Rich Williams and Avi Zeevi;

Class II directors consist of John Caplan, Amir Goldman and Susanna Morgan; and

Class III directors consist of Sharda Caro del Castillo, Christopher (Woody) Marshall and Pamela H. Patsley.
According to our current Certificate of Incorporation, only one class of directors will be elected at each annual meeting of our stockholders, with the other classes continuing for the remainder of their respective terms. Each director’s term continues until the election and qualification of their successor, or their earlier death, resignation, retirement, disqualification, or removal.
Independence of the Board of Directors
The Board has affirmatively determined that Messrs. Eilam, Goldman, Marshall and Williams, and Mses. Caro del Castillo, Morgan and Patsley, are independent within the meaning of the applicable Nasdaq listing standards regarding the definition of “independent.” The Board has also determined that Mr. Zeevi, who is retiring at the Annual Meeting, qualifies as an independent director. In making these determinations, our Board considered the current and prior relationships that each non-employee director has with our Company and all other facts and circumstances our Board deemed relevant in determining their independence. There are no family relationships between any director and any of our executive officers.
Board Leadership Structure
Our Board of Directors is currently chaired by Mr. Zeevi. Our Board believes that separation of the positions of Chair of our Board and Chief Executive Officer is appropriate at this time because this structure reinforces the independence of our Board from management, creates an environment that encourages objective oversight of management’s performance and enhances the effectiveness of our Board as a whole. As such, Mr. Caplan serves as our Chief Executive Officer while Mr. Zeevi serves as the Chair of our Board but is not an officer. Mr. Williams, who, contingent on his reelection at the Annual Meeting, will replace Mr. Zeevi as the Chair of our Board, is also not an officer. We believe that the Board’s risk oversight structure function is complemented by our current board leadership structure of a separate Chair of the Board and Chief Executive Officer.
In addition, all members of the Audit Committee, the Nominating and Corporate Governance Committee, the Compensation Committee and the Risk Committee are independent directors.
[MISSING IMAGE: lg_payoneerftr-4c.jpg]
 | 2025 Proxy Statement
7

TABLE OF CONTENTS
 
Role of the Board in Risk Oversight
One of the Board’s key functions is informed oversight of the Company’s risk management process. The Board believes that its current leadership structure facilitates its risk oversight responsibilities. In particular, the Board believes the majority-independent Board and the independent committees provide a well-functioning and effective balance to an experienced Chief Executive Officer.
The Audit Committee manages risk by overseeing the integrity of the Company’s financial statements and internal controls; the qualifications, independence and performance of the Company’s independent auditor; the performance of the Company’s internal audit function; and the Company’s compliance with legal and regulatory requirements. The Audit Committee reviews the Company’s major financial risk exposures and steps taken to monitor and control such exposures.
The Nominating and Corporate Governance Committee manages risk by reviewing and evaluating the size, composition, function and duties of the Board consistent with its needs; overseeing the succession process in the event the Board determines that a new Chief Executive Officer should be hired; making recommendations to the Board as to determinations of director independence; and developing and recommending to the Board the Corporate Governance Guidelines, and reviewing and reassessing the Code of Conduct and Ethics for the Company.
The Compensation Committee manages risk by reviewing and assessing risks arising from the Company’s employee compensation policies and practices and whether any such risks are reasonably likely to have a material adverse effect on the Company.
The Risk Committee manages risk by overseeing the Company’s enterprise risk management, including review of key risks and emerging risks that may be applicable to the Company, review of risk assessments, discussion of management’s risk mitigation processes and evaluation of potential remediation plans.
Meetings of the Board of Directors
During the fiscal year ended December 31, 2024, the Board held ten meetings. Each Board member attended 75% or more of the aggregate meetings of the Board and of the committees on which they served held in 2024 during the period for which they were a director or committee member. The Company’s directors are expected to attend our annual meetings of stockholders. In the 2024 annual meeting of stockholders all Board members participated.
Our independent directors meet from time to time in executive sessions as part of Board or committee meetings. The Board and each of our standing independent committees typically hold an executive session of independent directors as a part of most regularly scheduled meetings.
Information Regarding Committees of the Board of Directors
The Board has a number of committees that perform certain functions for the Board. The current committees of the Board are the Audit Committee, the Compensation Committee, the Nominating and Corporate Governance Committee and the Risk Committee. Below is a description of such committees. The Audit Committee, the Compensation Committee and the Nominating and Corporate Governance Committee each has authority to engage legal counsel or other experts or consultants, as it deems appropriate to carry out its responsibilities. The Board has determined that each member of the Audit Committee, Compensation Committee and Nominating and Corporate Governance Committee meets the applicable Nasdaq listing standards regarding “independence” and that each member has no relationship with the Company that would interfere with the exercise of independent judgment in carrying out the responsibilities of a director.
Audit Committee
The members of our Audit Committee are currently Pamela H. Patsley, Susanna Morgan, Rich Williams and Avi Zeevi. Ms. Morgan is the Chair of our Audit Committee. If elected to the Board at the Annual Meeting, Barak Eilam
8
[MISSING IMAGE: lg_payoneerftr-4c.jpg]
 | 2025 Proxy Statement

TABLE OF CONTENTS
 
will join the Audit Committee as a member. Avi Zeevi will be retiring from the Board at the Annual Meeting. The composition of our Audit Committee meets the requirements for independence under the current Nasdaq listing standards and SEC rules and regulations, including independence requirements specific to members of the audit committee of the board of directors of a listed company. Our Board has determined that each member of our Audit Committee, as well as Mr. Eilam, is financially literate. In addition, our Board has determined that each of Ms. Morgan and Ms. Patsley is an “audit committee financial expert” as defined in Item 407(d)(5)(ii) of Regulation S-K promulgated under the Securities Act of 1933, as amended. Our Audit Committee is directly responsible for, among other things:

assisting the Board in its oversight of:

the integrity of the Company’s internal controls and financial statements, including reviewing and discussing with management and the independent auditor the annual audited financial statements and unaudited quarterly financial statements;

the qualifications, independence and performance of the Company’s independent auditor;

the performance of the Company’s internal audit function; and

the Company’s compliance with legal and regulatory requirements; and

preparing the Audit Committee report that the Securities and Exchange Commission rules require to be included in the Company’s annual proxy statement.
Our Audit Committee operates under a written charter that satisfies the applicable rules of the SEC and the listing standards of Nasdaq. As required by its charter, the Audit Committee conducts a self-evaluation annually. The Audit Committee also reviews and assesses the adequacy of its charter annually and recommends any proposed changes to the Board for its consideration. In 2024, the Audit Committee met seven times.
Compensation Committee
The members of our Compensation Committee are currently Sharda Caro del Castillo, Amir Goldman and Christopher (Woody) Marshall. Mr. Goldman is the Chair of our Compensation Committee. Each member of this committee is a non-employee director, as defined by Rule 16b-3 promulgated under the Exchange Act, an outside director, as defined pursuant to Section 162(m) of the Internal Revenue Code of 1986, as amended (the “Code”) and meets the requirements for independence under the current Nasdaq listing standards and SEC rules and regulations, including independence requirements specific to members of the compensation committee of the board of directors of a listed company. Our Compensation Committee is responsible for, among other things:

determining, or recommending to the Board for determination, the base salary, incentive compensation, long-term compensation (including equity-based compensation), and any other compensation or benefit of the Chief Executive Officer (“CEO”) and each of the Company’s other executive officers;

reviewing, periodically evaluating and making recommendations to the Board regarding the compensation and benefits for the Company’s directors;

reviewing and evaluating the Company’s executive compensation and benefits policies generally, including the review and recommendation of any incentive-compensation and equity-based plans of the Company that are subject to Board approval;

reviewing and assessing risks arising from the Company’s employee compensation policies and practices and whether any such risks are reasonably likely to have a material adverse effect on the Company;

preparing the Compensation Committee Report required by SEC rules to be included in the Company’s annual proxy statement or annual report on Form 10-K, and reviewing and discussing the Company’s Compensation Disclosure and Analysis as required by SEC rules (“CD&A”) with management and providing a recommendation to the Board regarding the inclusion of the CD&A within the Company’s proxy statement or Form 10-K, as applicable; and
[MISSING IMAGE: lg_payoneerftr-4c.jpg]
 | 2025 Proxy Statement
9

TABLE OF CONTENTS
 

overseeing the administration of, and as appropriate, the enforcement of the Company’s compensation recoupment policy and any recoupment-related activity.
Our Compensation Committee operates under a written charter that satisfies the applicable rules of the SEC and the listing standards of Nasdaq. The Compensation Committee charter grants the Compensation Committee sole authority to retain or obtain the advice of, or terminate the services of, a compensation consultant, legal counsel or other adviser, including the authority to approve the consultant’s reasonable compensation. The Compensation Committee may select such advisers, or receive advice from any other adviser, after taking into consideration all factors relevant to that person’s independence from management, including those independence factors enumerated by Nasdaq rules.
As required by its charter, the Compensation Committee conducts a self-evaluation annually. The Compensation Committee also annually reviews and assesses the adequacy of its charter and recommends any proposed changes to the Board for its consideration. In 2024, the Compensation Committee met six times.
Compensation Committee Processes and Procedures
The implementation of our compensation philosophy is carried out under the supervision of the Compensation Committee. The Compensation Committee charter requires that the Compensation Committee meet as often as it determines is appropriate to carry out its responsibilities under the charter, but not less than twice a year. The Chair of the Compensation Committee, in consultation with the other Compensation Committee members, determines the frequency and length of the Compensation Committee meetings and sets meeting agendas consistent with the Compensation Committee charter. The Compensation Committee also meets regularly in executive sessions. Management does not participate in the executive sessions of the Compensation Committee.
In 2024, the Compensation Committee continued to engage Compensia, a nationally recognized executive compensation consulting firm, as an independent adviser to the Compensation Committee. For 2024, Compensia conducted analysis and provided data on, among other things, market-based cash and appropriate equity compensation for our executive officers, including our CEO. Compensia reported directly to the Compensation Committee, which retained sole authority to direct the work of and engage Compensia. As part of its analysis, Compensia collected and analyzed compensation information from a peer group of comparable public companies. The Compensation Committee considered this report when making its determinations regarding executive compensation in 2024, as detailed below in the section titled “Compensation Discussion and Analysis”.
Nominating and Corporate Governance Committee
The members of our Nominating and Corporate Governance Committee are currently Amir Goldman, Christopher (Woody) Marshall and Pamela H. Patsley. Mr. Marshall is the Chair of our Nominating and Corporate Governance Committee. All members of our Nominating and Corporate Governance Committee meet the requirements for independence under the current Nasdaq listing standards. Our Nominating and Corporate Governance Committee is responsible for, among other things:

reviewing and evaluating the size, composition, function and duties of the Board consistent with its needs;

recommending criteria for the selection of candidates to the Board and its committees, and identifying individuals qualified to become Board members consistent with such criteria, including the consideration of nominees submitted by stockholders;

recommending to the Board director nominees for election at the next annual or special meeting of stockholders at which directors are to be elected or to fill any vacancies or newly created directorships that may occur between such meetings;

recommending directors for appointment to Board committees;

overseeing the succession process in the event the Board determines that a new Chief Executive Officer should be hired;
10
[MISSING IMAGE: lg_payoneerftr-4c.jpg]
 | 2025 Proxy Statement

TABLE OF CONTENTS
 

making recommendations to the Board as to determinations of director independence;

overseeing the evaluation of the Board;

reviewing the Company’s actions in furtherance of its environmental, social and governance (ESG) efforts and corporate social responsibility (CSR); and

reviewing and recommending to the Board with regard to the Corporate Governance Guidelines and Code of Conduct and Ethics for the Company.
In evaluating director nominees, the Board, with assistance of the Nominating and Corporate Governance Committee, considers a nominee’s qualities, performance and professional responsibilities, as well as the then composition of the Board and the challenges and needs of the Board at that time. The Board believes that directors should possess relevant skills, professional experience, personal integrity, judgment and availability necessary to meet the challenges and needs of the Board.
Our Nominating and Corporate Governance Committee operates under a written charter that satisfies the applicable rules of the SEC and the listing standards of Nasdaq. The Nominating and Corporate Governance Committee charter grants the Nominating and Corporate Governance Committee authority to retain and terminate any advisers, including search firms, to identify director candidates, compensation consultants as to director compensation and legal counsel in relation to such matters, including sole authority to approve all such advisers’ fees and other retention terms.
As required by its charter, the Nominating and Corporate Governance Committee conducts a self-evaluation annually. The Nominating and Corporate Governance Committee also annually reviews and assesses the adequacy of its charter and recommends any proposed changes to the Board for its consideration. The Nominating and Corporate Governance Committee held three meetings in 2024.
Risk Committee
The members of our Risk Committee are currently Sharda Caro del Castillo, Susanna Morgan and Rich Williams. Mr. Williams is the Chair of our Risk Committee. Our Risk Committee is responsible for, among other things:

reviewing the adequacy of the Company’s enterprise risk management programs and policies, and making recommendations for any improvements in these areas;

overseeing and discussing emerging and key risks and the steps that management has taken to monitor and control such risks;

reviewing the Company’s cybersecurity and the protection of data integrity policies and practices, including making recommendations for improvements in these areas;

reviewing the Company’s privacy and data protection policies and receiving from management updates regarding its activities in these areas and recommending areas for improvement; and

reporting, together with management, on an annual basis to the Board on (a) the Company’s strategies in light of the overall risk profile of the Company, (b) the nature and magnitude of the significant risks the Company is exposed to, (c) the processes, policies, procedures and controls in place to manage or mitigate the significant risks, and (d) the overall effectiveness of the enterprise risk management process.
Our Risk Committee operates under a written charter, which requires the Risk Committee to conduct a self-evaluation annually. The Risk Committee also reviews and assesses the adequacy of its charter annually and recommends any proposed changes to the Board for its consideration. In 2024, the Risk Committee met four times.
[MISSING IMAGE: lg_payoneerftr-4c.jpg]
 | 2025 Proxy Statement
11

TABLE OF CONTENTS
 
Communications with the Board of Directors
Stockholders or other interested parties wishing to communicate with the Board, the Chair, the independent directors as a group or any individual director may do so by writing to: Corporate Secretary, c/o Payoneer Global Inc., 195 Broadway, 27th Floor, New York, NY 10007.
All communications will be promptly forwarded to the appropriate director(s). Such items that are unrelated to a director’s duties and responsibilities as a Board member may be excluded by our corporate secretary department, including, without limitation, solicitations and advertisements, junk mail, product-related communications, job referral materials and resumes, surveys, and material that is determined to be illegal or otherwise inappropriate.
Stockholders may recommend a candidate to the Board by following the procedures for communicating with the Board described above. The Nominating and Corporate Governance Committee will evaluate director candidates recommended by stockholders in the same manner as other director candidates.
Code of Conduct and Ethics
The Company maintains a Code of Conduct and Ethics that applies to all of our employees, officers and directors, including our Chief Executive Officer, Chief Financial Officer and other executive and senior officers. The full text of our Code of Conduct and Ethics is available in the Governance section of our website at investor.payoneer.com/governance. Information on or accessible through our website is not incorporated by reference in this Proxy Statement. We intend to disclose future amendments to our Code of Conduct and Ethics, and any waivers of such code, on our website set forth above.
Insider Trading Policy
The Company maintains an Insider Trading Policy and procedures governing the purchase, sale, and/or other dispositions of the Company’s securities by directors, officers and employees, which is designed to promote compliance with insider trading laws, rules and regulations, and any listing standards applicable to the Company. A copy of the Company’s Insider Trading Policy has been filed as Exhibit 19.1 to the Company’s Annual Report on Form 10-K, filed with the SEC on February 27, 2025.
Options Awards Timing Policies and Practices
It is the Compensation Committee’s practice to grant ordinary course equity awards related to our annual compensation cycle on the day of the Compensation Committee’s regularly scheduled meeting held in February of each year. At the Compensation Committee meeting, the Compensation Committee approves, or recommends to the Board, as applicable, each NEO’s equity award, including any portion of each NEO’s annual equity award that will be granted as stock options (if any).
The Company does not grant option awards in anticipation of the release of material non-public information, and we do not time the release of material non-public information based on option award grant dates or for the purpose of affecting the value of executive compensation. In addition, we do not take material non-public information into account when determining the timing and terms of such awards. Although we do not have a formal policy with respect to the timing of our option award grants, in the event material non-public information becomes known to the Compensation Committee prior to granting an option award, it will take the existence of such information into consideration and use its business judgment to determine whether to delay the grant of equity to avoid any impression of impropriety.
During 2024, we did not grant options to any NEO during any period beginning four business days before and ending one business day after the filing of any periodic report on Form 10-Q or Form 10-K, or the filing or furnishing of any Form 8-K that disclosed any material non-public information.
12
[MISSING IMAGE: lg_payoneerftr-4c.jpg]
 | 2025 Proxy Statement

TABLE OF CONTENTS
 
STOCKHOLDER OUTREACH
We greatly value the input of our stockholders. We meet quarterly with many of our top stockholders following the release of our quarterly earnings results. In addition, we have many points of interaction with investors, including holding investor calls, attending investor conferences, hosting investors at our headquarters, and visiting investors at their offices.
In October 2024, we reached out to sixteen of our top twenty-five stockholders, representing approximately 44% of total shares outstanding at the time, and subsequently participated in meetings with seven stockholders who expressed interest in meeting with us, who held approximately 23% of total shares outstanding at the time, to hear their perspectives on our business and our corporate governance practices. During these meetings, we learned that our stockholders are supportive of our general approach and philosophy with respect to governance and compensation matters. Some stockholders also expressed an expectation that certain of our corporate governance features, including our classified Board and our plurality voting standard for the election of directors, would be reconsidered as we continue to mature as a public company. In addition, certain stockholders expressed a preference for performance-based awards to comprise a greater proportion of our executive officers’ long-term incentive awards.
In response to this feedback, and in consideration of our peer benchmarking analysis and our review of market standards, we are proposing that our stockholders approve amendments to our Certificate of Incorporation to (i) phase-out our classified board structure (Proposal No. 4) and (ii) eliminate the supermajority voting requirements for amendments in our Certificate of Incorporation and Bylaws (Proposal No. 5). Upon the approval of these proposals, our Board intends to amend our Bylaws to remove the supermajority voting requirements for amendments to the Bylaws and to change the voting standard for the election of directors in future, uncontested elections from a plurality voting standard to a majority of votes cast standard.
Further, in response to stockholder input concerning our compensation practices, we introduced performance-based restricted stock units into our annual compensation program for senior executives, including our named executive officers (“NEOs”), in February 2025, as more fully described in the Compensation Discussion and Analysis section of this Proxy Statement. Accordingly, in fiscal year 2025, a portion of the target long-term equity incentive awards for senior executives, including each of our NEOs, are in the form of performance-based restricted stock units (“PSUs”).
[MISSING IMAGE: lg_payoneerftr-4c.jpg]
 | 2025 Proxy Statement
13

TABLE OF CONTENTS
 
SOCIAL IMPACT AND ESG PRACTICES
Payoneer is driven by our aspiration to provide opportunities for all. We believe that what is good for our employees, customers, communities and the environment, is also good for business.
We are dedicated to embedding socially responsible principles and practices into our business and marketing strategies. We do this by fostering a supportive and inclusive culture, creating opportunities for underserved SMBs and entrepreneurs to thrive, being responsible stewards of the environment, and building impactful partnerships with regional nongovernmental organizations (NGOs) that we fund through the Payoneer Foundation. In 2024, we awarded grants through the Payoneer Foundation to 15 organizations across 10 countries, supporting community-focused and entrepreneurial initiatives. In addition, employees participated in 26 projects across 18 countries during the Company’s Global Week of Good, contributing nearly 2,000 volunteer hours.
Our Nominating and Corporate Governance Committee provides oversight of the development and implementation of our impact strategy. As part of its charter, the Committee reviews the Company’s actions in furtherance of its ESG efforts and corporate social responsibility. The Committee receives periodic updates from management on the continued development and implementation of our impact work and the Committee discusses these topics with management.
14
[MISSING IMAGE: lg_payoneerftr-4c.jpg]
 | 2025 Proxy Statement

TABLE OF CONTENTS
 
REPORT OF THE AUDIT COMMITTEE OF THE BOARD OF DIRECTORS
In connection with the Company’s December 31, 2024 consolidated financial statements, the Audit Committee reviewed and discussed the audited financial statements and the effectiveness of internal control over financial reporting with management and the specific disclosures contained in the Company’s Annual Report on Form 10-K, including “Management’s Discussion and Analysis of Financial Condition and Results of Operations”, discussed with Kesselman & Kesselman, a member firm of PricewaterhouseCoopers International Limited, an independent registered public accounting firm (“PwC”), the matters required to be discussed by the applicable requirements of the Public Company Accounting Oversight Board (“PCAOB”) and the SEC, and considered the compatibility of non-audit services with PwC’s independence. The Audit Committee also reviewed written disclosures and the letter from PwC as required by applicable requirements of PCAOB regarding such independent accountant’s communications with the Audit Committee concerning independence and has discussed the independence with the accountant. The Audit Committee met seven times during 2024.
Based on the review and discussions discussed above, the Audit Committee has recommended to the Board that the audited financial statements be included in the Company’s Annual Report on Form 10-K.
THE AUDIT COMMITTEE
Susanna Morgan (Chair)
Pamela H. Patsley
Rich Williams
Avi Zeevi
[MISSING IMAGE: lg_payoneerftr-4c.jpg]
 | 2025 Proxy Statement
15

TABLE OF CONTENTS
 
PROPOSAL NO. 2: RATIFICATION OF THE SELECTION OF THE INDEPENDENT REGISTERED PUBLIC ACCOUNTING FIRM FOR PAYONEER
On February 26, 2025, the Audit Committee selected and approved Kesselman & Kesselman, a member firm of PricewaterhouseCoopers International Limited (“PwC”), as the Company’s independent registered public accounting firm for the fiscal year ending December 31, 2025. PwC has served as our independent registered public accounting firm since 2005. Representatives of PwC plan to attend the Annual Meeting and will be available to answer appropriate questions from stockholders. They will have the opportunity to make a statement if they desire to do so.
Neither our Bylaws nor other governing documents or law require stockholder ratification of the selection of PwC as the Company’s independent registered public accounting firm. However, the Board and the Audit Committee are submitting the selection of PwC to the stockholders for ratification as a matter of good corporate practice. If the stockholders fail to ratify the selection, the Audit Committee will reconsider whether to retain PwC. Even if the selection is ratified, the Audit Committee in its discretion may direct the appointment of a different independent registered public accounting firm at any time during the year if the Audit Committee determines that such a change would be in the best interest of the Company and its stockholders.
Independent Registered Public Accounting Firm
The following is a summary of the fees and services provided by PwC to the Company for fiscal years 2024 and 2023:
Fiscal Year Ended December 31,
Description of Services Provided by PwC
2024
2023
Audit Fees(1) $ 1,568,000 $ 1,407,304
Audit Related Fees $ 8,000 $ 8,000
Tax Fees $ 282,884 $ 26,500
Non-Audit Services(2) $ 20,000 $ 368,940
All Other Fees $ 3,000 $ 3,480
TOTAL
$ 1,881,884 $ 1,814,224
(1) Audit fees for PwC for 2024 and 2023 were for professional services rendered for the audits of our financial statements and the effectiveness of internal control over financial reporting as of December 31, 2024 and December 31, 2023, review of interim financial statements and services that were provided by PwC in connection with statutory and regulatory filings or engagements.
(2) Fees for the year ended December 31, 2023 were in connection with M&A related due-diligence services.
The Audit Committee or delegate thereof pre-approves the scope of the audit, audit-related and tax services provided by our independent registered public accounting firm, as well as associated fees and terms, pursuant to pre-approval policies and procedures established by the Audit Committee. The Audit Committee reviews the independent registered public accounting firm’s qualifications, performance and independence on an annual basis.
16
[MISSING IMAGE: lg_payoneerftr-4c.jpg]
 | 2025 Proxy Statement

TABLE OF CONTENTS
 
Vote Required
The affirmative vote of the holders of a majority of the votes cast will be required for the ratification of the selection of the independent registered public accounting firm. Abstentions will have no effect on this Proposal No. 2.
THE BOARD OF DIRECTORS RECOMMENDS
A VOTE “
FOR” PROPOSAL NO. 2.
[MISSING IMAGE: lg_payoneerftr-4c.jpg]
 | 2025 Proxy Statement
17

TABLE OF CONTENTS
 
OTHER INFORMATION RELATED TO PAYONEER,
THE
DIRECTORS AND EXECUTIVE OFFICERS
Security Ownership of Certain Beneficial Owners and Management
The following table sets forth certain information known to us regarding beneficial ownership of our common stock as of February 28, 2025, by:

each person whom we know to own beneficially more than 5% of our common stock;

each of our directors, nominees and named executive officers individually; and

all of our directors and executive officers as a group.
In accordance with the SEC rules, beneficial ownership includes voting or investment power with respect to securities and includes the shares issuable pursuant to stock options that are exercisable and restricted stock units that vest within 60 days of February 28, 2025. Shares issuable pursuant to stock options or restricted stock units are deemed outstanding for computing the percentage of the person holding such options or restricted stock units but are not outstanding for computing the percentage of any other person. The percentage ownership of our common stock in the “Shares Beneficially Owned” column in the table is based on 362,593,475 shares of our common stock issued and outstanding as of February 28, 2025.
Beneficial ownership of shares is determined under the rules of the SEC and generally includes any shares over which a person exercises sole or shared voting and/or investment power. The information on beneficial ownership in the table is based upon the Company’s records and the most recent Form 3, Form 4, Schedule 13D or Schedule 13G filed by such person or entity.
Unless otherwise indicated, the mailing address of each of the stockholders below is c/o Payoneer Global Inc., 195 Broadway, 27th Floor, New York, NY 10007. To our knowledge, except as indicated in the footnotes to this table and pursuant to applicable community property laws, the persons named in the table have sole voting and investment power with respect to all shares of common stock.
18
[MISSING IMAGE: lg_payoneerftr-4c.jpg]
 | 2025 Proxy Statement

TABLE OF CONTENTS
 
Shares Beneficially Owned
Name of Beneficial Owner
Shares
Percentage
5% and Greater Stockholders:
Certain funds and accounts of BlackRock(1)
37,756,685 10.36%
Certain funds and accounts of TCV(2)
34,197,116 9.38%
Certain funds and accounts of Susquehanna Growth Equity(3)
27,125,617 7.44%
Certain funds and accounts of Vanguard(4)
28,579,172 7.84%
Current Named Executive Officers, Directors and Nominees:
John Caplan
1,623,341 *
Bea Ordonez
517,965 *
Tsafi Goldman
571,375 *
Sharda Caro del Castillo
35,588 *
Scott Galit
3,441,879 *
Amir Goldman(5)
2,758,520 *
Christopher (Woody) Marshall(2)
Susanna Morgan
24,097 *
Pamela H. Patsley
131,477 *
Rich Williams
126,450 *
Avi Zeevi
267,642 *
Barak Eilam
All executive officers and directors as a group (12 persons)
9,498,334 2.58%
* Represents less than 1% of Payoneer’s outstanding common stock.
(1) Consists of 37,756,685 shares of common stock held by BlackRock, Inc., a parent holding company or control person for the following entities: BlackRock Advisors, LLC, Aperio Group, LLC, BlackRock (Netherlands) B.V., BlackRock Fund Advisors (over 5%), BlackRock Institutional Trust Company, National Association, BlackRock Asset Management Ireland Limited, BlackRock Financial Management, Inc., BlackRock Asset Management Schweiz AG, BlackRock Investment Management, LLC, BlackRock Investment Management (UK) Limited, SpiderRock Advisors, LLC, BlackRock Asset Management Canada Limited, BlackRock (Luxembourg) S.A., and BlackRock Fund Managers Ltd. The address for Blackrock, Inc. is 50 Hudson Yards, New York, NY 10001.
(2) Consists of 24,327,775 shares of common stock held by TCV VIII, L.P., 6,560,434 shares of common stock held by TCV VIII (A), L.P., 1,510,960 shares of common stock held by TCV VIII (B), L.P. (TCV VIII, L.P., TCV VIII (A), L.P., and TCV VIII (B), L.P., the “TCV VIII Funds”), and 1,797,947 shares of common stock held by TCV Member Fund, L.P. (the “Member Fund”, and together with the TCV VIII Funds, the “TCV Entities”). Technology Crossover Management VIII, Ltd. (“Management VIII”) is the sole general partner of Technology Crossover Management VIII, L.P. (“TCM VIII”), which in turn is the sole general partner of the TCV VIII Funds. Management VIII is a general partner of the Member Fund. Each of the TCV Entities has the sole power to dispose or direct the disposition of the shares of common stock that it holds directly and has the sole power to vote or direct the vote of such shares. Management VIII, as the ultimate general partner of the TCV Entities, may be deemed to have the sole power to dispose or direct the disposition of the shares held by the TCV Entities and have the sole power to direct the vote of such shares of common stock. TCM VIII, as the direct general partner of the TCV VIII Funds, may also be deemed to have sole power to dispose or direct the disposition of the shares of common stock held by the TCV VIII Funds and have the sole power to direct the vote of such shares of common stock. Christopher (Woody) Marshall, a Class A Director of Management VIII and a limited partner of TCM VIII and the Member Fund, serves as a director of Payoneer. The address for each of these entities is c/o TCV, 250 Middlefield Road, Menlo Park, California 94025.
(3) Consists of 18,797,758 shares of common stock held by SIG Growth Equity Funds Limited Partnership, LLLP (“SIG”) and 8,327,859 shares of common stock held by Susquehanna Growth Equity Fund V, LLLP (“SGE V”). The address for each of these entities is 401 City Avenue, suite 220, Bala Cynwyd, PA 19004. Amir Goldman, a director of Payoneer, is affiliated with Susquehanna Capital Management, LLC (“SGE Management”), which provides investment advisory services to the SGE Funds. In such capacity, SGE Management has voting and dispositive power over such shares.
[MISSING IMAGE: lg_payoneerftr-4c.jpg]
 | 2025 Proxy Statement
19

TABLE OF CONTENTS
 
(4) Consists of 28,579,172 shares of common stock held by The Vanguard Group, an investment adviser. The address for this entity is 100 Vanguard Blvd., Malvern, PA 19355.
(5) Consists of 2,757,860 shares of common stock held by a family limited partnership of which Mr. Goldman is a general partner.
Information about Our Executive Officers
The following table sets forth certain information concerning our executive officers as of the date of this Proxy Statement:
Name
Age
Position
John Caplan
55
Chief Executive Officer and Director
Bea Ordonez
52
Chief Financial Officer
Tsafi Goldman
59
Chief Legal & Governance Officer and Corporate Secretary
John Caplan. Mr. Caplan’s biography can be found on page 5 of this Proxy Statement with the biographies of the other members of the Board. Biographies for our other executive officers are below.
Bea Ordonez. Ms. Ordonez has served as the Chief Financial Officer of Payoneer since March 2023, after joining the Company as Deputy Chief Financial Officer in January 2023. From 2022 to 2023, Ms. Ordonez was Chief Innovation Officer of Webster Bank (NYSE: WBS). From 2021 to 2022, Ms. Ordonez served as Chief Financial Officer and Executive Vice President of Sterling National Bank (NYSE: STL, prior to its acquisition by Webster Bank). Prior to joining Sterling National Bank, from 2015 to 2021, Ms. Ordonez was Chief Financial Officer of OTC Markets Group (OTCQX: OTCM), a company that operates regulated financial markets for U.S. and global securities. From 2006 to 2015 Ms. Ordonez served as COO and Managing Director of Convergex, a global financial services firm (since acquired by Cowen (NASDAQ: COWN)) providing execution, trading, prime brokerage, clearing and other services to institutional investors and counterparties. Earlier in her career, Ms. Ordonez served as Chief Financial Officer of G-Trade, a broker-dealer providing electronic access to global equities markets and held roles as a tax consultant with PricewaterhouseCoopers as well as with Arthur Andersen. Ms. Ordonez has a Bachelor of Laws (LLB) from the University of Nottingham and is a member of the Institute of Chartered Accountants in England and Wales.
Tsafi Goldman. Ms. Goldman has served as the Chief Legal & Regulatory Officer of Payoneer since 2019, and her title was recently updated to Chief Legal & Governance Officer. She is responsible for the legal and regulatory aspects of Payoneer’s business activities and operations, management of the Company’s in-house team of lawyers, and since 2023 is also responsible for the Company’s Enterprise Risk Management team and most recently, Organizational Resiliency and Global Entities & Licensing Office. Ms. Goldman joined Payoneer in 2015. Ms. Goldman’s experience includes a large range of commercial, corporate and private equity legal work, representing early-stage and growth companies, as well as expertise in payments services and regulation. Prior to joining Payoneer, Ms. Goldman was a partner at CBLS Law Offices from 2004 to 2014, a boutique Tel Aviv law firm, where Payoneer was one of her clients. Ms. Goldman held various positions in leading law firms, focusing on the high-tech and bio-med sectors, as well as in-house roles at Israel Chemicals group (ICL) and ECI Telecom from 1996 to 1998. Ms. Goldman has a Bachelor of Laws (LLB) from Tel Aviv University.
20
[MISSING IMAGE: lg_payoneerftr-4c.jpg]
 | 2025 Proxy Statement

TABLE OF CONTENTS
 
COMPENSATION DISCUSSION AND ANALYSIS
Overview
This CD&A describes our executive compensation philosophy, processes, objectives and the material elements of our compensation program for our “named executive officers” or “NEOs” for fiscal year 2024 who are named in the “Summary Compensation Table.” This CD&A should be read together with the compensation tables and related disclosures set forth below.
In 2024, our NEOs and their positions were as follows:

John Caplan, our Chief Executive Officer;

Bea (Beatrice) Ordonez, our Chief Financial Officer;

Tsafi Goldman, our Chief Legal & Governance Officer; and

Arnon Kraft, our former Chief Operating Officer.
Executive Officer Changes
Arnon Kraft departed as Chief Operating Officer on June 30, 2024 and remained an employee of the Company in a non-executive capacity for a transition period that ended on March 31, 2025.
Executive Summary
Business
Payoneer is a financial technology company purpose-built to enable the world’s small and medium-sized businesses to grow and operate their businesses around the world by reliably and securely connecting them to the global digital economy.
Payoneer serves approximately 2 million active customers located in more than 190 countries and territories and operating in a wide variety of industries. Customers include goods exporters selling cross-border to consumers and other businesses, services companies exporting their capabilities to international clients, independent professionals, creators, and contractors capitalizing on the digitization of the workplace and remote work, vacation rental hosts, and businesses working with suppliers and vendors from different countries in different currencies. Payoneer’s customers sell their goods or services either via a marketplace or directly to other businesses (B2B), and/or to customers via webstores.
Payoneer’s financial stack enables customers to access global demand and supply, pay and get paid, and manage their cross border and other needs. Our financial stack provides a full suite of cross-border accounts receivable (AR) and accounts payable (AP) capabilities, and includes services such as working capital and the provision of data-driven insights. The Company leverages close to 100 banking and payment service providers globally to support transactions in over 7,000 trade corridors and enable same-day and real-time settlement in over 150 countries. Payoneer’s core value proposition is that we remove the complexity and barriers of doing business across borders for our customers. With a multi-currency Payoneer Account, businesses around the world can serve and transact with their overseas customers, suppliers, vendors, and partners as if they were local.
Fiscal 2024 Business Highlights
In fiscal 2024, we delivered another strong year of financial performance and execution. Highlights from the year ended December 31, 2024 include:

Revenue growth was driven by continued adoption of our high value services, certain monetization initiatives, ongoing growth in high value regions, and growth in the number of customers on our platform. The
[MISSING IMAGE: lg_payoneerftr-4c.jpg]
 | 2025 Proxy Statement
21

TABLE OF CONTENTS
 
remaining increase was driven by higher interest income earned on customer balances resulting from modestly higher interest rates and an increase in customer balances held on our platform compared to the previous fiscal year.
[MISSING IMAGE: bc_revenue-4c.jpg]

Volume growth was driven by a combination of continued growth in volumes from SMBs selling on marketplaces, strong growth in volume from B2B SMBs, and continued strength in volumes processed for enterprise partners, including in the travel segment.
[MISSING IMAGE: bc_volume-4c.jpg]

Net income grew to $121.2 million in 2024, from $93.3 million in 2023. Adjusted EBITDA grew over 30% to $270.6 million in 2024, compared to $205.1 million in 2023. (For a definition of Adjusted EBITDA and the reconciliation from net income (loss) to Adjusted EBITDA, please see Annex A of this Proxy Statement.)
[MISSING IMAGE: bc_netincome-4c.jpg]
[MISSING IMAGE: bc_ebitda-4c.jpg]

Total 2024 shareholder return was 93%, driven entirely by appreciation in our stock price. We believe this demonstrates the strength of our financial performance, and the value we are adding to our shareholders and customers.
For additional information related to 2024 performance, please refer to our Annual Report on Form 10-K filed with the SEC on February 27, 2025.
The 2024 Stockholder Advisory Vote on Executive Compensation
At our 2024 annual meeting of stockholders, we conducted an advisory vote on executive compensation (a “say-on-pay vote”). Approximately 93% of the shares represented and entitled to vote on our 2024 say-on-pay vote (excluding broker non-votes) approved, on an advisory basis, the compensation of our NEOs.
22
[MISSING IMAGE: lg_payoneerftr-4c.jpg]
 | 2025 Proxy Statement

TABLE OF CONTENTS
 
Our Compensation Committee considers the result of our say-on-pay votes in determining NEO compensation. Based in part on the strong level of support for our executive compensation philosophy, program, and practices demonstrated by the result of last year’s say-on-pay vote, our Compensation Committee decided to continue the implementation of our compensation philosophy and further emphasize our commitment to align the interests of our NEOs with those of our stockholders. Accordingly, we made no significant changes to our executive compensation program in 2024.
We value the opinions of our stockholders. Our Compensation Committee will consider the outcome of this year’s say-on-pay vote, as well as feedback received throughout the year, when making compensation decisions for our NEOs going forward. Please see a summary of our stockholder outreach in 2024 on page 13 of this proxy statement.
Compensation Philosophy, Objectives and Elements of Executive Compensation
Our executive compensation program aims to achieve the following main objectives:

attract, retain and reward highly qualified executives who have the skills and leadership necessary to grow our business;

provide incentives that hold our executives accountable for our performance and motivate and reward for achievement of our key performance goals; and

align our executives’ interests with those of our stockholders by linking their long-term incentive compensation opportunities to stockholder value creation and their cash incentives to our annual performance.
We aim to provide a compensation package to each of our NEOs that emphasizes pay-for-performance, and that is both externally competitive to the market and internally equitable within our organization. We believe that a performance-based culture is crucial to our growth and success, and our compensation program is designed to foster these core beliefs.
Consistent with our pay-for-performance philosophy, and to ensure our NEOs’ interests are closely aligned with those of our stockholders, a substantial portion of our NEOs’ compensation is awarded in the form of variable, “at-risk” annual bonus awards and long-term incentive awards, with a significant portion of annual cash bonuses being determined based on achievement of rigorous corporate and financial performance goals. A significant portion of this “at-risk” compensation is granted in the form of equity incentive awards, the realized value of which bears a direct relationship to our stock price.
Our executive compensation program design includes a mix of three key compensation elements — (i) base salary, (ii) annual cash bonuses and (iii) long-term equity incentive awards. We also provide our executive officers with benefits available to all of our employees, including retirement benefits under our 401(k) plan (or the applicable broad-based retirement plan in other countries) and participation in employee benefit plans.
In isolated cases, we provide sign-on bonuses for newly hired employees, including in some cases NEOs, often granted in connection with the new hire forfeiting compensation from his or her prior employer. Such bonuses are also generally subject to repayment if the employee leaves prior to a specified period of time.
The below chart summarizes the three main elements of our executive compensation, their objectives and key features.
Element
Objectives
Key Features
Base Salary

Provides competitive compensation to attract and retain executive talent.

Provides secure base of guaranteed income for services rendered.

Set when the executive is initially employed (or promoted) and then generally reviewed annually and determined by the Compensation Committee based on individual performance and informed by market data obtained from the Compensation Committee’s independent compensation consultant.
[MISSING IMAGE: lg_payoneerftr-4c.jpg]
 | 2025 Proxy Statement
23

TABLE OF CONTENTS
 
Element
Objectives
Key Features
Annual Bonus

 Incentivizes and rewards achievement of our key business objectives.

Aligns management and stockholder interests by linking pay to performance through key financial metrics of the Company.

A target annual bonus is set for each NEO when such NEO is initially employed (or promoted) and then reviewed annually by the Compensation Committee based upon positions that have similar impact on the organization and competitive annual bonus opportunities in our market.

Actual bonus amounts paid are dependent upon funding of the bonus pool contingent upon achievement of specific corporate performance objectives consistent with our long-term strategic plan and some discretionary considerations, as well as individual performance, generally determined by the Compensation Committee.
Long-Term Incentive Equity

 Motivates and rewards long-term company performance.

 Aligns management and stockholder interests by linking pay to the performance of our stock.

Attracts highly-qualified executives and encourages their continued employment over the long-term through extended vesting requirements.

Newly hired executive officers are eligible to receive a sign-on equity grant.

Annual equity awards are generally granted during the first quarter of the year.

 Individual equity awards are determined based on a number of factors, including corporate and individual performance and market data obtained from the Compensation Committee’s independent compensation consultant.
We do not have formal policies for allocating compensation among salary, annual bonus awards and equity grants, short-term and long-term compensation or among cash and non-cash compensation. Instead, the Compensation Committee uses its judgment to establish an annual compensation program for each NEO consisting of current, short-term and long-term incentive compensation, and cash and non-cash compensation, that is based in part on review of external peer companies’ practice (provided by Compensia) and then sets the compensation program based on what it believes appropriate to achieve the goals of our executive compensation program and our corporate objectives. We structure a significant portion of the NEOs’ annual total target compensation so that it is made up of performance-based bonus opportunities and long-term equity awards to align the executive officers’ incentives with the interests of our stockholders and our corporate goals.
Executive Compensation Practices
Our executive compensation program and practices are designed to reinforce our pay for performance philosophy and incorporate the following corporate governance best practices designed to protect the interests of our stockholders. As we continue to mature as a public company, we will continue to evaluate our compensation program relative to our market peers.
24
[MISSING IMAGE: lg_payoneerftr-4c.jpg]
 | 2025 Proxy Statement

TABLE OF CONTENTS
 
What We do
What We Don’t Do

Pay-for-Performance Philosophy. We align pay and performance by awarding a substantial portion of the compensation paid to our executives in the form of variable, “at-risk” performance-based compensation linked to achievement of rigorous performance goals or the value of the compensation is linked to Company stock price.

Balanced Short-Term and Long-Term Compensation. We grant compensation that discourages short-term risk taking at the expense of long-term results.

Retain an Independent Compensation Committee. Our Compensation Committee is comprised solely of independent directors with extensive industry experience and engages an independent compensation consultant to assist with compensation benchmarking and other guidance.

Conduct Annual Compensation Review. The Compensation Committee conducts a review at least annually of our executive compensation philosophy and strategy, including a review of the compensation peer group used for benchmarking purposes and a resulting annual compensation market assessment from its independent compensation consultant.

Stock Ownership. Our stock ownership guidelines require our executive officers and non-employee directors to own a significant amount of Payoneer equity to further align their interests with those of our shareholders.

Clawback Policy. Our compensation recoupment policy is designed to comply with applicable law.

No Special Executive Retirement Plans. We do not offer pension arrangements or retirement plans or arrangements with our NEOs that are different from or in addition to those offered to our other employees.

No Excise Tax “Gross-Ups”. We do not provide any “gross-ups” for excise taxes that our employees might owe as a result of the application of Sections 280G or 4999 of the IRC.

No Excessive Perks. We do not provide any excessive perquisites to our NEOs.

Do Not Permit Hedging or Pledging. We prohibit directors and employees, including our NEOs, from hedging or pledging Payoneer securities unless approved by the Chief Legal Officer in limited circumstances.
Executive Compensation Process -
Role of the Compensation Committee, Management and the Board
The Compensation Committee is appointed by our Board of Directors and oversees our compensation policies, plans and programs with the goal of attracting, incentivizing and retaining top-quality executive management and employees. The Compensation Committee is responsible for reviewing and determining all compensation paid to our executive officers, including our NEOs, and also reviews our compensation practices and policies as they relate to risk management and advises our Board of Directors on CEO compensation. Our Compensation Committee consists solely of independent members of the Board of Directors.
The Compensation Committee meets periodically throughout the year to manage and evaluate our executive compensation program, and generally determines the principal components of compensation (base salary, annual bonus and long-term incentive equity awards) for our executive officers on an annual basis; however, decisions may occur at other times for new hires, promotions or other special circumstances as our Compensation Committee determines appropriate. The Compensation Committee does not delegate authority to approve executive officer compensation. The Compensation Committee does not maintain a formal policy regarding the timing of equity awards to our executive officers, however, it is the Compensation Committee’s practice to grant ordinary course annual equity awards on the day of the Compensation Committee’s regularly scheduled meeting held in February of each year.
[MISSING IMAGE: lg_payoneerftr-4c.jpg]
 | 2025 Proxy Statement
25

TABLE OF CONTENTS
 
Our CEO evaluated and provided the Compensation Committee with performance assessments and compensation recommendations with respect to executive officers other than himself. While the CEO discussed his recommendations with the Compensation Committee, he does not participate in the deliberations concerning, or the determination of, his own performance and compensation. The Compensation Committee discusses and makes final determinations with respect to executive compensation matters without the CEO present during discussions of his compensation. From time to time, various other members of management, including the Chief People Officer, and other employees as well as outside advisors or consultants may be invited by the Compensation Committee to make presentations, provide financial or other background information or advice or otherwise participate in the Compensation Committee meetings.
Compensation Consultant’s Role in Determining Compensation
During 2024, the Compensation Committee continued to engage Compensia, its independent compensation consultant, to assess executive pay levels relative to comparable companies. Compensia provided the Company with a study that reviewed the compensation levels (base salary, target bonus, target total cash compensation, annual equity grant values and resulting target total direct compensation) and short- and long-term incentive plan structures at Payoneer as compared to compensation levels at a set of peer companies that are further described below. Based in part on that analysis, the Compensation Committee discussed and determined the cash and equity compensation for Payoneer’s executive officers, including the NEOs.
Fiscal 2024 Peer Group Companies
Compensia proposed a group of peer companies for purposes of comparing our executive compensation program against the competitive market in 2024. The Compensation Committee considered this competitive market assessment by Compensia, which was based on the peer group companies listed below, to better understand the competitive market for executive talent for purposes of compensation decisions by the Compensation Committee.
The companies in the compensation peer group listed below were selected on the basis of their similarity to us in terms of industry and financial characteristics, as determined by using the following general criteria: (i) headquartered in the U.S. and publicly traded on a major U.S. exchange; (ii) Fintech and transaction/payment processing and broader SaaS/Software; (iii) largely similar scale of revenue with positive revenue growth; and (iv) largely similar scale of market capitalization; with additional refinement criteria including but not limited to: growth, similar-stage public listing timing, identified labor competitor and consideration of ISS and Glass Lewis peer sets for Payoneer. In 2024 we made certain adjustments to the peer group compared to the previous year based on size, value, industry and business focus, public listing stage, or acquisition of the listed peers. AppFolio, EVO Payments, Open Lending and Paya Holdings were removed from our peer group from 2023 to 2024 due to acquisition, or due to being size/value outliers. Remitly was added to our peer group for 2024 based on the criteria described above.
AvidXchange (NASDAQ: AVDX)
Flywire (NASDAQ: FLYW)
Nuvei (NASDAQ: NVEI)
Repay Holdings (NASDAQ: RPAY)
BlackLine (NASDAQ: BL)
LendingClub (NYSE: LC)
Paymentus Holdings (NYSE: PAY)
Shift4 Payments (NYSE: FOUR)
Enova International (NYSE: ENVA)
Marqeta (NASDAQ: MQ)
Phreesia (NYSE: PHR)
SPS Commerce (NASDAQ: SPSC)
EverCommerce (NASDAQ: EVCM)
Model N (NYSE: MODN)
Q2 Holdings (NYSE: QTWO)
Upstart Holdings (NASDAQ: UPST)
EVERTEC (NYSE: EVTC)
nCino (NASDAQ: NCNO)
Remitly Global (NASDAQ: RELY)
Zuora (NYSE: ZUO)
In setting each NEO’s compensation, our Compensation Committee did not target pay based on arriving at any specific percentile of market data; nor are compensation decisions made by use of a formulaic approach or any specific benchmarking with respect to the peer group data. Rather, the Compensation Committee considered the peer group data from Compensia for each annual compensation element to obtain a better understanding of the practices of our compensation peers. The Compensation Committee then relied on its judgment, taking into account the market data provided along with a range of qualitative factors (e.g., individual and company performance, individual impact/scope of role, tenure, existing equity retention hold, Company cash and equity budgets, internal pay parity considerations, location), to set an executive officer’s compensation.
26
[MISSING IMAGE: lg_payoneerftr-4c.jpg]
 | 2025 Proxy Statement

TABLE OF CONTENTS
 
Analysis of Fiscal 2024 Compensation
Compensation Elements Overview -
The 2024 executive compensation program consisted of the following elements: base salary, short-term incentive compensation in the form of an annual cash bonus and long-term equity incentive compensation in the form of time-vesting restricted stock units and stock options (for the CEO). Each element is intended to reward and motivate our NEOs in a manner consistent with our overall compensation philosophy. Each of the above-described compensation elements for our NEOs for fiscal 2024 is discussed in detail below, including a description of the element.
Base Salary -
Base salary represents the fixed portion of the compensation of our NEOs and is an important element of compensation intended to attract and retain highly-talented individuals. Generally, we use base salary to provide each NEO with a specified level of cash compensation during the year with the expectation that he or she will perform his or her responsibilities to the best of his or her ability and in our best interests.
Generally, we establish the initial base salaries of our NEOs through arm’s-length negotiation at the time we hire the individual, taking into account his or her position, qualifications, experience, prior salary level (if legally permissible), location, and the base salaries of our other NEOs. Thereafter, the Compensation Committee annually reviews the base salaries of our NEOs as part of the ongoing compensation review process, with input from our CEO (except with respect to his own base salary) and makes adjustments as it determines to be reasonable and necessary to reflect the scope of a NEO’s performance, individual contributions and responsibilities, position in the case of a promotion, and market conditions.
In February 2024, the Compensation Committee reviewed the base salaries of our then-current executive officers, taking into consideration the competitive market analysis prepared by the independent compensation consultant, as well as the other factors described in the section above. Following this review, the Compensation Committee approved base salary increases for John Caplan, Bea Ordonez and Tsafi Goldman based on their performance and other factors listed above and in order to bring their base salaries to levels more competitively aligned with similarly-situated executives in our peer group companies. The table below sets forth the 2024 and 2023 base salary for each of our NEOs.
Named Executive Officer
2023
Base Salary
2024
Base Salary
John Caplan $ 475,000 $ 515,000
Bea Ordonez $ 450,000 $ 475,000
Arnon Kraft $ 280,807(1) $ 281,594(1)
Tsafi Goldman $ 400,000 $ 425,000
(1) Mr. Kraft’s base salary was paid in NIS (the conversion rate used to convert to a U.S. dollar amount is 3.69 NIS/$ for 2024 and 3.7 NIS/$ for 2023, which was based on an average of the applicable monthly end-of-month exchange rates). Mr. Kraft’s base salary did not change between 2023 and 2024, but due to the exchange rate differences between such years, the dollar value appears to have been increased.
Cash Incentive Compensation -
Our annual cash bonus awards provide incentive compensation that is specifically designed to motivate our NEOs to achieve pre-established, company-wide priorities approved by the Compensation Committee and to reward them for results and achievements in a given year. The annual target bonus opportunities for our NEOs are generally determined by the Compensation Committee each year and are expressed as a percentage of each individual’s annual base salary. The target bonus opportunities approved for and amounts earned by our NEOs for 2024 were as set forth under “2024 Annual Bonus Decisions”.
[MISSING IMAGE: lg_payoneerftr-4c.jpg]
 | 2025 Proxy Statement
27

TABLE OF CONTENTS
 
2024 Annual Bonus Goal Setting
The performance goals and objectives under our annual bonus program were approved by our Compensation Committee during the first quarter of the applicable fiscal year. The performance metrics and related targets against which performance is measured are generated through our annual budget and strategic planning process. For 2024, the Compensation Committee determined that the performance goals that would drive funding of our annual bonus pool, including amounts to be earned by our NEOs, would be 50% based on revenue, 40% based on Adjusted EBITDA, and 10% based on discretionary considerations of the Compensation Committee. The Compensation Committee determined that the targets, based on annual budget and strategic considerations would be $884 million for revenue (with a minimum requirement of $707 million and a maximum of $937 million), and $186 million for Adjusted EBITDA (with a minimum requirement of $149 million and a maximum of $214 million). The discretionary portion had a maximum total company funding level of $3.9 million, with no guaranteed minimum and was included in order for the Compensation Committee to specifically address other considerations that may impact company performance, including performance on a wider range of company operational and financial metrics, volatility in external market conditions, global disputes and other uncertainties relating to both micro and macro-economic factors that are not included in other goals. The Compensation Committee has discretion to adjust each NEO’s actual bonus based on review of individual performance.
2024 Annual Bonus Decisions
In February 2025, the Compensation Committee reviewed our actual performance and determined both the overall funding of the cash bonus pool and the individual amounts to be paid to our NEOs, other members of management and employees. The Compensation Committee reviewed our actual performance for fiscal 2024. The Company achieved 111% of our revenue target for the year, and 145% of the target for Adjusted EBITDA for the year, resulting in funding at the cap of 130% related to these metrics. The Compensation Committee determined to fund the discretionary component at 0%, resulting in an overall funding of the annual bonus pool of approximately 117%.
The Compensation Committee then considered the individual bonuses for each of our NEOs and determined that due to their individual strong performances, with respect to the 2024 annual bonus, some of the NEOs who are eligible for annual bonuses for 2024 would receive a bonus amount which is higher than their individual target bonus amount. Mr. Caplan and Mses. Ordonez and Goldman’s 2024 annual bonuses exceeded their individual targets (approximately 117%, 129% and 125%, respectively), as the Compensation Committee determined that it was in the best interests of the Company to reward them for outstanding performance and overall company results, and Ms. Ordonez and Ms. Goldman each successfully led critical business initiatives during 2024. Mr. Caplan’s bonus is
28
[MISSING IMAGE: lg_payoneerftr-4c.jpg]
 | 2025 Proxy Statement

TABLE OF CONTENTS
 
aligned with the overall company bonus pool funding. The target bonus opportunities approved for and the actual amounts paid to our NEOs for the 2024 annual bonus were as follows.
Named
Executive
Officer
2024
Target Bonus
Opportunity
(% of Base
Salary)
2024
Target
Bonus
Opportunity
($ Value)
2024
Bonus
% Funded
(% of
Target
Bonus)
(2)
2024
Bonus
% Funded
($ Value)
2024
Actual
Bonus
Earned
(2)
2024 Actual
Bonus
earned as an
approximate
% of Target
(2)
Committee
Discretion
Rationale
(2)
John Caplan 100% $ 515,000 117% $ 602,550 $ 600,000 117% No material
adjustment
compared to
the aggregated
bonus percent
funded
Bea Ordonez
100% $ 475,000 117% $ 555,750 $ 615,000 129% Upward adjustment
in recognition
of strong individual
performance and
leadership of
critical business
initiatives
Arnon Kraft(1)
75% $ 211,196 117% $ 247,099 $ 158,397 75% Paid at target
per the Kraft
Separation
Agreement
(as defined
below)
Tsafi Goldman
75% $ 318,750 117% $ 372,938 $ 400,000 125% Upward
adjustment in
recognition of
strong individual
performance and
leadership of
critical business
initiatives
(1) Mr. Kraft’s bonus was paid in NIS (the conversion rate used to convert to a U.S. dollar amount is 3.69 NIS/$ (which was based on an average of the applicable monthly end-of-month exchange rates)). Per the Kraft Separation Agreement, Mr. Kraft received 75% of his 2024 target annual bonus.
(2) Aggregate company funding based on Revenue and Adjusted EBITDA performance of 117%; the Committee has discretion per the program to adjust funded bonus payouts based on the Committee’s review of individual executive performance.
Equity Incentive Compensation -
We view long-term equity incentive compensation as a critical element of our executive compensation program. The realized value of these equity awards bears a direct relationship to our stock price, and, therefore, these awards are a direct incentive for our NEOs to create value for our stockholders. Equity awards also help us retain qualified executive officers in a competitive market.
Annual Equity Awards
Long-term incentive compensation opportunities in the form of equity awards are granted to our NEOs by the Compensation Committee. As with other elements of compensation, the Compensation Committee determines the amount of long-term incentive compensation for our NEOs as part of its annual compensation review or at the time of hire and after taking into consideration the individual executive officer’s responsibilities and performance,
[MISSING IMAGE: lg_payoneerftr-4c.jpg]
 | 2025 Proxy Statement
29

TABLE OF CONTENTS
 
existing equity retention profiles, and our total annual projected equity budget. For annual equity awards to NEOs other than the CEO, the Compensation Committee also takes into account the recommendations of the CEO with respect to appropriate grants and any particular individual circumstances. The amounts of the equity awards are intended to provide competitive long-term incentives and resulting target total direct compensation opportunities that the Compensation Committee believes are reasonable and appropriate taking into consideration the factors described herein.
During the first quarter of 2024, the Compensation Committee determined to grant our incumbent NEOs long-term incentive compensation opportunities in the form of time-vesting restricted stock units (“RSUs”) that may vest and be settled for shares of our common stock. Since the value of RSUs fluctuates with any change in the value of the underlying shares, they serve as an incentive that aligns the interests of our NEOs with the long-term interests of our stockholders. The RSUs granted as part of the annual equity grants vest as follows: 25% vest on the first anniversary of the date of grant, and the remaining 75% vest in 12 equal quarterly installments over the following three-year period, in each case subject to the applicable NEO’s continued employment through each vesting date. In addition, the Board determined to grant our CEO options that may vest and be exercised into shares of our common stock. Since the exercise price of options is fixed, they serve as an incentive that aligns the interests of our CEO with the long-term interests of our stockholders as our CEO will only realize value from the stock options over time with growth in the value of the Company’s stock price following the date of grant. The options granted to the CEO as part of the annual equity grants vest as follows: 25% vest on the first anniversary of the date of grant, and the remaining 75% vest in 12 equal quarterly installments over the following three-year period, in each case subject to the CEO’s continued employment through each vesting date.
Because of this multi-year vesting requirement, RSUs and options serve our long-term retention objectives since our NEOs generally must remain continuously employed by us through the applicable vesting dates in order to fully vest and earn these RSUs or options, as applicable. Additionally, because of their “full value” nature, RSUs deliver the desired grant date fair value using a lesser number of shares than an equivalent stock option grant, thereby enabling us to reduce the dilutive impact of our long-term incentive award mix and to use our equity compensation resources more efficiently. Likewise, options serve to incentivize executive performance by providing the opportunity for significant upside for superior performance as well as significant downside in the event of underperformance of our stock price.
Equity Awards Granted in 2024
As described above, for our NEOs, the Compensation Committee determined in February 2024 that the annual equity awards for 2024 to be granted to NEOs should be in the form of time-vesting RSUs that are settled in shares of our common stock. Additionally, the Compensation Committee determined that the CEO should be granted a portion of his 2024 annual equity award in the form of stock options. The number of RSUs and options granted to our NEOs as annual awards was determined by the Compensation Committee after considering the factors described herein and above.
Each of our NEOs received annual equity allocations in the form of RSUs, and additionally for the CEO in the form of options, based on the Compensation Committee’s review of the competitive market data for their respective positions, the size and vesting schedule of the equity awards previously granted to them, existing equity retention profiles, individual performance and impact, scope of role, tenure, internal pay parity considerations and location of executive.
30
[MISSING IMAGE: lg_payoneerftr-4c.jpg]
 | 2025 Proxy Statement

TABLE OF CONTENTS
 
The following table sets forth the equity awards granted to our NEOs in 2024 and the aggregate grant date fair value of the equity awards:
Named Executive Officer
Time-Based
RSUs
Stock
Options
Aggregate Grant
Date Fair Value
($)
(1)
John Caplan 1,000,000 1,070,000 8,673,500
Bea Ordonez 700,000 0 3,549,000
Arnon Kraft 75,000 0 380,250
Tsafi Goldman 300,000 0 1,521,000
(1) Amounts reported represent the aggregate grant date fair value of equity awards granted to our NEOs under our 2021 Omnibus Incentive Plan, computed in accordance with Financial Accounting Standard Board Accounting Standards Codification, Topic 718 (“ASC Topic 718”), excluding the effect of estimated forfeitures. The assumptions used in calculating the grant date fair value of the equity awards in this table are set forth in the notes to our audited consolidated financial statements included in our Annual Report on Form 10-K. This amount does not reflect the actual economic value that may be realized by the executive officer.
2025 PSU Program
In 2025, based in part on stockholder feedback related to our equity compensation program, and consistent with our commitment to aligning pay and performance, we have introduced a performance-based equity compensation program as a portion of our long-term equity incentive compensation for our senior executives, including our NEOs (the “PSU Program”). The PSU Program is designed to further align our NEO’s interests with our stockholders in driving long-term company performance and growth in value. These awards will be earned contingent upon our achievement of specified performance goals tied to our Revenue and Adjusted EBITDA.
Pursuant to the PSU Program, for the 2025 fiscal year, a portion of the equity awards granted to our NEOs will be in the form of PSUs that will be eligible to vest based on the Company’s achievement of pre-determined metrics relating to Revenue and Adjusted EBITDA of the Company, measured over a one-year performance period (the “Performance Metrics”). Following the Company’s certification of such Performance Metrics after the end of the performance period, the PSUs will convert to a number of RSUs that is equal to the number of PSUs issuable based on the Company’s performance against the Performance Metrics, which will be between 0% and 200% of the target PSUs awarded. Such RSUs will vest as to 25% on the later of the date on which the Company determines the level of attainment against the Performance Metrics and the first anniversary of the date of grant, with the remaining RSUs vesting in 12 equal quarterly installments at the end of each consecutive three-month period thereafter, subject to the holder’s continued employment with the Company through each applicable vesting date.
Other Compensation -
Retirement Benefits
We maintain a 401(k) retirement savings plan for our employees in the United States, including Mr. Caplan and Mses. Ordonez and Goldman, who satisfy certain eligibility requirements. Each of these NEOs are eligible to participate in the 401(k) plan on the same terms as other full-time employees, including matching contributions equal to 100% of the first 4% of the participating employee’s contribution. Mr. Caplan did not participate in the plan.
Mr. Kraft participated in the statutorily required pension plan in Israel, pursuant to which we make contributions of a percentage of Mr. Kraft’s base salary on the same terms as other full-time employees.
Employee Benefits and Perquisites
Other wellbeing and employee-benefit programs are the same for all of our eligible employees, including our NEOs, and our NEOs generally do not receive additional benefits outside of those offered to our other employees.
[MISSING IMAGE: lg_payoneerftr-4c.jpg]
 | 2025 Proxy Statement
31

TABLE OF CONTENTS
 
We provided Mr. Caplan with car service for personal transportation to the office and paid for certain costs related to his personal security. We provided the personal security measures for the Company’s benefit because we believe that the scope and costs of his security were appropriate and necessary at the time.
Employment Arrangements
We have entered into employment agreements with each of our NEOs, the material terms of which are described below. In addition, each of our NEOs has also agreed to our standard, at-will employment (subject to applicable law), confidential information, and invention assignment provisions. Each of the employment agreements provide for notice or severance benefits that are more fully described starting on Page 38 of this proxy statement under the heading “Potential Payments upon Termination or Change in Control”.
John Caplan
On May 24, 2022, a subsidiary of the Company entered into an employment agreement with Mr. Caplan, as amended, that initially provided for his employment as Co-CEO, and as of its February 27, 2023 amendment provides for his employment as CEO (the “Caplan Employment Agreement”). The Caplan Employment Agreement provides for an initial annual base salary of $475,000 per annum and eligibility for an annual performance bonus based on our achievement of targets and milestones as determined by our Compensation Committee, which had a target bonus opportunity of 100% salary. The Caplan Employment Agreement also provided for the grant of (i) 2,000,000 RSUs, that service-vest over a four-year period, (ii) up to a maximum of 2,500,000 RSUs that vest based on both the achievement by the Company of certain stock price targets and satisfying the service-vesting condition requirements and (iii) 500,000 stock options that service-vest over a four-year period. In addition, pursuant to the terms of the Caplan Employment Agreement, Mr. Caplan must give the Company 180 days’ notice in connection with a resignation without Good Reason (as defined in the Caplan Employment Agreement).
Bea Ordonez
On December 18, 2022, a subsidiary of the Company entered into an employment agreement with Ms. Ordonez (the “Ordonez Employment Agreement”) providing for her employment as Deputy Chief Financial Officer and subsequently Chief Financial Officer. The Ordonez Employment Agreement provides for an initial annual base salary of $450,000, an annual incentive bonus with a target equal to 100% of her base salary, a signing bonus of $1,200,000 (subject to repayment if Ms. Ordonez resigned, or is terminated by the Company for “Cause,” ​(as defined in the Ordonez Employment Agreement) prior to the first anniversary of her start date) and participation in certain benefit plans. The Ordonez Employment Agreement also provides for the grant of (i) 1,750,000 RSUs, that service-vest over a four-year period and (ii) up to a maximum of 600,000 RSUs that vest based on both the achievement by the Company of certain stock price targets and satisfying the service-vesting condition requirements. In addition, pursuant to the terms of the Ordonez Employment Agreement, Ms. Ordonez must give the Company 180 days’ notice in connection with a resignation without Good Reason (as defined in the Ordonez Employment Agreement).
Arnon Kraft
On February 23, 2021, a subsidiary of the Company entered into an employment agreement with Mr. Kraft (the “Kraft Employment Agreement”), the terms of which are governed under Israeli law. Pursuant to the terms of the Kraft Employment Agreement, either party may terminate the agreement with at least six months prior written notice. The agreement provides for an initial annual base salary of 960,000 NIS (inclusive of overtime payments), an annual cash bonus opportunity of up to 75% of annual base salary, and participation in certain benefit plans, including a company-provided insurance policy or pension fund (which includes both company and employee contributions and is provided in lieu of severance pay component), annual recreation allowance and study fund, in each case as provided under Israeli law or local market practice. On May 27, 2024, in connection with his ceasing to be the Chief Operating Officer and his related transition, Mr. Kraft entered into a separation agreement (the “Kraft
32
[MISSING IMAGE: lg_payoneerftr-4c.jpg]
 | 2025 Proxy Statement

TABLE OF CONTENTS
 
Separation Agreement”), the terms of which are set forth in more detail below under “Potential Payments Upon Termination or a Change in Control.”
Tsafi Goldman
On October 9, 2021, a subsidiary of the Company entered into an amended and restated employment agreement with Ms. Goldman (the “Goldman Employment Agreement”) providing for her employment as Chief Legal and Regulatory Officer (such title was recently updated to Chief Legal & Governance Officer). The Goldman Employment Agreement provides for an initial annual base salary of $360,000, an initial annual incentive bonus with a target equal to 50% of her base salary, and participation in certain benefit plans. The Goldman Employment Agreement also provides for certain benefits relating to her relocation to the United States. In addition, pursuant to the terms of the Goldman Employment Agreement, Ms. Goldman must give the Company 180 days’ notice in connection with a resignation.
Clawback
The Company maintains a Compensation Recoupment Policy for the recoupment of certain executive compensation in the event of an accounting restatement resulting from material noncompliance with financial reporting requirements under U.S. federal securities laws in accordance with the requirements of Section 10D of the U.S. Securities Exchange Act of 1934, as amended, and Section 5608 of the Nasdaq Listing Rules. A copy of the Compensation Recoupment Policy is filed as Exhibit 97 to our Annual Report on Form 10-K.
Anti-Hedging and Anti-Pledging Policy
Our Insider Trading Policy covers hedging and pledging. Under the policy, employees and directors are prohibited from engaging in any derivative transactions (including transactions involving options, puts, calls, prepaid variable forward contracts, equity swaps, collars and exchange funds or other derivatives) that are designed to hedge or speculate on any change in the market value of the Company’s equity securities. Employees and directors are prohibited from pledging Company securities, unless otherwise approved by the Chief Legal Officer in limited circumstances.
Stock Ownership Guidelines
In 2024, our Compensation Committee adopted Stock Ownership Guidelines that require our CEO to retain Company shares valued at the equivalent of 5 times his annual base salary, other executive officers to retain the equivalent of 1 time their annual base salary and Directors to retain the equivalent of 3 times their annual cash retainer. Only Company shares owned outright, on a net basis, will be considered in determining whether an individual’s target ownership has been met. The executives and directors who are subject to the guidelines must comply with these guidelines within five years of becoming a covered person under the guidelines, or, if later, five years following the adoption date of the guidelines.
Tax and Accounting Considerations
Deductibility of Executive Compensation
Section 162(m) of the IRC (“Section 162(m)”) generally imposes a $1 million cap on the federal income tax deduction for compensation paid to our “covered employees” during any fiscal year. The Compensation Committee considers several factors in making its decisions and retains the flexibility to award compensation even if the compensation is not tax-deductible by us and to modify compensation that was initially intended to be tax deductible if it determines such modifications are consistent with our business needs and compensation philosophy.
[MISSING IMAGE: lg_payoneerftr-4c.jpg]
 | 2025 Proxy Statement
33

TABLE OF CONTENTS
 
Accounting for Stock-Based Compensation
We follow Financial Accounting Standard Board’s Accounting Standards Codification Topic 718 (FASB ASC Topic 718) for our stock-based compensation awards. FASB ASC Topic 718 requires us to measure the compensation expense for all share-based payment awards based on the grant date “fair value” of these awards.
Compensation Committee Report
Our Compensation Committee has reviewed the Compensation Discussion and Analysis provided above with management. Based on such review and discussion, our Compensation Committee has recommended to the Board of Directors that the Compensation Discussion and Analysis be included in our Annual Report on Form 10-K for the year ended December 31, 2024 and this Proxy Statement.
Respectfully submitted by the members of the Compensation Committee of the Board of Directors:
Amir Goldman (Chair)
Christopher (Woody) Marshall
Sharda Caro del Castillo
34
[MISSING IMAGE: lg_payoneerftr-4c.jpg]
 | 2025 Proxy Statement

TABLE OF CONTENTS
 
COMPENSATION TABLES AND OTHER INFORMATION
Summary Compensation Table
The following table shows, for the fiscal years ended 2024, 2023 and 2022, compensation awarded to or paid to, or earned by, our NEOs.
Name and Principal Position(1)
Year
Salary
Bonus
Stock Awards
Option
Awards
All Other
Compensation
Total
($)(1)
($)(2)
($)(3)
($)(4)
($)(5)
($)
John Caplan
Current Chief Executive Officer and
Director and former Co-Chief Executive
Officer
2024 515,000 600,000 5,410,000 3,263,500 39,330 9,827,830
2023 475,000 475,000 900 950,900
2022 286,217 302,000 13,409,396 1,125,907 900 15,124,420
Bea Ordonez
Chief Financial Officer
2024 475,000 615,000 3,549,000 14,664 4,653,664
2023 415,674 1,800,000 11,704,500 14,100 13,934,274
Arnon Kraft
Former Chief Operating Officer
2024 281,594 158,397 380,250 40,636 860,877
2023 280,807 210,962 1,677,000 37,506 2,206,275
2022 299,109 335,878 1,215,500 35,978 1,886,465
Tsafi Goldman
Chief Legal & Governance Officer
2024 425,000 400,000 1,521,000 14,664 2,360,664
2023 400,000 400,000 2,795,000 14,100 3,609,100
2022 360,000 400,000 884,000 13,100 1,657,100
(1) Amount reflects the base salary in effect and actually paid to each NEO during 2022, 2023 and 2024. Mr. Caplan’s base salary in 2022 reflects the prorated amount he was paid based on his May 25, 2022 hire date. Ms. Ordonez’s base salary in 2023 reflects the prorated amount she was paid based on her January 16, 2023 hire date. Mr. Kraft’s base salary was paid in NIS (the conversion rate used to convert to a U.S. dollar amount is 3.69 NIS/$ for 2024, which was based on an average of the applicable monthly end-of-month exchange rates) and in 2024 reflects a portion that was paid during a notice period in connection with the departure of Mr. Kraft from the Company.
(2) Amount reflects bonus received in February 2025 in respect of performance in 2024. Mr. Kraft’s bonus was paid in NIS (the conversion rate used to convert to a U.S. dollar amount is 3.69 NIS/$ for 2024). For more information, see “Cash Incentive Compensation” above. The amount attributed to Ms. Ordonez’s 2023 bonus reflects a sign-on bonus in addition to her annual bonus.
(3) Amount reflects the full grant-date fair value of RSUs in accordance with ASC Topic 718 granted pursuant to the 2021 Plan.
(4) Amount reflects the full grant-date fair value of options granted computed in accordance with ASC Topic 718, rather than the amounts paid to or realized by the named individual. We provide information regarding the assumptions used to calculate the value of all option awards made to executive officers in Note 23 to our consolidated financial statements in our Annual Report on Form 10-K.
(5) For U.S. based executives, amount reflects the company contribution to 401(k) (other than for Mr. Caplan) and the cost of life insurance premiums. For Israel based executives, amount reflects the company contribution to the applicable pension fund and severance accruals under the Israeli severance fund. For Mr. Caplan, amounts in respect of fiscal year 2024 also reflect costs relating to his personal security in the amount of $31,255 and the cost of personal transportation to the Company’s offices. For more information, see “Employee Benefits and Perquisites” above. For years prior to 2024, amounts were adjusted to include the estimated cost of life insurance premiums (for U.S. based executives) and the estimated severance accruals under the Israeli severance fund (for Israel based executives).
[MISSING IMAGE: lg_payoneerftr-4c.jpg]
 | 2025 Proxy Statement
35

TABLE OF CONTENTS
 
Grants of Plan-Based Awards
Estimated Future Payouts Under Equity
Incentive Plan Awards
Name
Grant Date
Threshold
(#)
Target
(#)
Maximum
(#)
All Other
Stock
Awards:
Number of
Shares of
Stock or
Units (#)
(1)
All Other
Option
Awards:
Number of
Securities
Underlying
Options
Exercise or
Base Price
of Option
Awards
($/Sh)
Grant Date
Fair Value
of Stock
and Option
Awards
(3)
(a)
(b)
(f)
(g)
(h)
(i)
(j)
(k)
(l)
John Caplan 2/19/2024 1,000,000 1,070,000(2) 5.41 $ 8,673,500
Bea Ordonez 2/13/2024 700,000 $ 3,549,000
Arnon Kraft 2/13/2024 75,000 $ 380,250
Tsafi Goldman 2/13/2024 300,000 $ 1,521,000
(1) Represents RSUs which were granted on the dates shown in the table above, and vest as follows: 25% of the RSUs vest on the first anniversary of the grant date and the remaining 75% vest in ratable quarterly installments over the following three-year period such that the award is fully vested four years after the grant date, in each case subject to the executive’s continued service with Payoneer through the applicable vesting dates.
(2) Represents options which were granted to Mr. Caplan on February 19, 2024 and vest as follows: 25% of the options vest on the first anniversary of the grant date and the remaining 75% vest in ratable quarterly installments over the following three-year period such that the award is fully vested four years after the grant date, in each case subject to Mr. Caplan’s continued service with Payoneer through the applicable vesting dates.
(3) Amount reflects the full grant-date fair value of options and RSUs granted during 2024 computed in accordance with ASC Topic 718.
36
[MISSING IMAGE: lg_payoneerftr-4c.jpg]
 | 2025 Proxy Statement

TABLE OF CONTENTS
 
Outstanding Equity Awards at Fiscal Year-End
Option Awards(1)
Restricted Stock Unit Awards
Name
Vesting
Commencement
Date
Numbers of
Securities
Underlying
Unexercised
Options (#)
Exercisable
Number of
Securities
Underlying
Unexercised
Unexercisable
Options
Option
Exercise
Price
Option
Expiration
Date
Numbers of
Securities
Underlying
Unvested
Restricted
Stock
Units
(2)
Market or
Payout Value
of Outstanding
Restricted
Stock
Units
(3)
Equity
Incentive
Plan
Awards:
Number of
Unearned
Securities
that Have
Not Vested
Equity
Incentive
Plan
Awards:
Market or
Payout Value
of Unearned
Securities
That Have
Not Vested
(7)
(#)
($)
(#)
($)
(#)
($)
John Caplan
7/1/2022 312,500 187,500 $ 3.98 7/1/2032
7/1/2022 2,000,000(5) $ 17,810,000
7/1/2022 750,000 $ 7,530,000
2/19/2024 1,070,000 $ 5.41 2/19/2034
2/19/2024 1,000,000 $ 10,040,000
Bea Ordonez
2/14/2023 400,000(6) $ 2,808,000
2/14/2023 984,375 $ 9,883,125
2/13/2024 700,000 $ 7,028,000
Arnon Kraft
9/9/2021 10,000(4) $ 38,200
9/9/2021 19,862 $ 199,414
2/22/2022 85,937 $ 862,807
2/14/2023 168,750 $ 1,694,250
2/13/2024 75,000 $ 753,000
Tsafi Goldman
2/13/2017 94,000 $ 3.02 2/11/2027
2/6/2018 112,800 $ 2.80 2/4/2028
2/13/2019 131,600 $ 2.90 2/13/2029
3/19/2020 75,200 $ 2.74 3/19/2030
3/19/2020 42,300 $ 0.01 3/19/2030
2/5/2021 70,500 4,700 $ 7.87 2/3/2031
9/9/2021 15,000(4) $ 57,300
2/5/2021 7,050 $ 70,782
2/22/2022 62,500 $ 627,500
2/14/2023 281,250 $ 2,823,750
2/13/2024 300,000 $ 3,012,000
(1) Represents stock option awards which were granted on the dates and in the amounts shown in the table above. 25% of the options vest upon the first anniversary of the grant date or on such other approved date, as applicable, with the remaining 75% vesting in ratable quarterly installments over the following three-year period such that the award is fully vested four years or such other shorter approved period after the grant date, as applicable, in each case subject to the executive’s continued service with Payoneer through the applicable vesting dates.
[MISSING IMAGE: lg_payoneerftr-4c.jpg]
 | 2025 Proxy Statement
37

TABLE OF CONTENTS
 
(2) Represents RSUs which were granted on the dates and in the amounts shown in the table above, and generally vest as follows: 25% of the RSUs vest on the first anniversary of the grant date or on such other approved date and the remaining 75% vest in ratable quarterly installments over the following three-year period such that the award is fully vested four years or such other shorter approved period after the grant date as applicable, in each case subject to the executive’s continued service with Payoneer through the applicable vesting dates.
(3) Amounts set forth in this column are based on the per share closing price of Payoneer common stock on December 31, 2024, which was $10.04.
(4) Represents RSUs granted on September 9, 2021, which will vest and settle into shares of common stock if, at any time during the 60 months immediately following June 25, 2021, the closing price of a share of the Company common stock is greater than or equal to $17.00 over any 20 trading days within any 30 trading day period, in each case, provided that the applicable NEO remains in continuous service on each applicable vesting date.
(5) Represents RSUs granted on July 1, 2022, which vest upon the achievement of both a time-based vesting condition and a stock price based performance condition as follows: one-fourth satisfied the time-based vesting condition on May 25, 2023 and the remainder will satisfy the time-based vesting condition in 1/16 installments of the total number of RSUs on a quarterly basis thereafter, provided that Mr. Caplan remains in continuous service on each applicable time-vesting date; and the stock price based performance condition will be determined to have been achieved with respect to 500,000 RSUs (up to a maximum of 2,500,000 RSUs) upon the achievement of each of the following target stock prices: $9.00, $11.00, $13.00, $15.00, and $20.00, with the target stock prices only deemed to have been achieved if the closing price is at or above the applicable target stock price for a minimum of 20 out of 30 consecutive trading days within ten years of Mr. Caplan’s start date, subject to Mr. Caplan remaining in continuous service through the achievement of each of the applicable target stock prices. In 2024, 500,000 RSUs vested as both the applicable time-based vesting and stock price-based performance conditions were met.
(6) Represents RSUs granted on February 14, 2023, which vest upon the achievement of both a time-based vesting condition and a stock price based performance condition as follows: one-fourth satisfied the time-based vesting condition on January 16, 2024 and the remainder will satisfy the time-based vesting condition in 1/16 installments of the total number of restricted stock units on a quarterly basis thereafter, provided that Ms. Ordonez remains in continuous service on each applicable time-vesting date; and the stock price based performance condition will be determined to have been achieved with respect to (i) 200,000 restricted stock units upon the achievement of a target stock price of $10.00, (ii) 200,000 restricted stock units upon the achievement of a target stock price of $15.00, and (iii) 200,000 restricted stock units upon the achievement of a target stock price of $20.00, with the target stock prices only deemed to have been achieved if the closing price is at or above the applicable target stock price for a minimum of 20 out of 30 consecutive trading days occurring on or before January 8, 2028, subject to Ms. Ordonez remaining in continuous service through the achievement of each of the applicable target stock prices. In 2024, 200,000 RSUs vested as both the applicable time-based vesting and stock price-based performance conditions were met.
(7) Amounts set forth in this column are based on the estimated fair value of the PSUs calculated based on per share closing price of Payoneer common stock on December 31, 2024, which was $10.04, and other inputs using the Monte Carlo valuation model.
Option Exercises and Stock Vested
Option Awards
Stock Awards
Name
Number of Shares
Acquired on
Exercise (#)
Value Realized
on Exercise ($)
Number of Shares
Acquired on
Vesting (#)
Value Realized
on Vesting ($)
(a)
(b)
(c)
(d)
(e)
John Caplan 1,000,000 9,016,250
Bea Ordonez 965,625 6,267,469
Arnon Kraft 279,445 1,894,140
Tsafi Goldman 227,255 2,125,321 296,950 1,937,703
Potential Payments Upon Termination or Change in Control
We provide the following severance benefits to our NEOs in the event of a qualifying termination under the terms of their employment agreements:
John Caplan
Pursuant to the Caplan Employment Agreement, in the event of the termination of Mr. Caplan’s employment by the Company without “Cause” or by Mr. Caplan for “Good Reason” ​(each as defined in the Caplan Employment
38
[MISSING IMAGE: lg_payoneerftr-4c.jpg]
 | 2025 Proxy Statement

TABLE OF CONTENTS
 
Agreement), Mr. Caplan will be entitled to, in addition to any accrued amounts and subject to his execution of a release of claims, for 12 months following the effective date of notice of the termination of employment, (i) continuation of his annual base salary, (ii) payment by the Company of the cost of Mr. Caplan’s and his dependents’ participation in Payoneer’s health plan and (iii) continued vesting of any then outstanding equity awards in accordance with such awards’ respective regular vesting schedules.
Upon the occurrence of a “Change in Control” ​(as defined in the Caplan Employment Agreement), 50% of any then unvested equity held by Mr. Caplan will accelerate and vest in full. All of Mr. Caplan’s then unvested equity awards will accelerate and vest in full in the event that (i) a Change in Control occurs and the successor company does not assume the outstanding equity awards or (ii) if Mr. Caplan’s employment is terminated by the Company without Cause or he resigns for Good Reason, in each case, within 12 months of a Change in Control.
Bea Ordonez
Pursuant to the Ordonez Employment Agreement, in the event of the termination of Ms. Ordonez’s employment by the Company without “Cause” ​(as defined in the Ordonez Employment Agreement), Ms. Ordonez will be entitled to, in addition to any accrued amounts and subject to her execution of a release of claims, for 12 months following the effective date of notice of the termination of employment, (i) continuation of her annual base salary, (ii) payment by Payoneer of the cost of Ms. Ordonez’s and her dependents’ participation in Payoneer’s health plan and (iii) continued vesting of any then outstanding equity awards in accordance with such awards’ respective regular vesting schedules.
Upon the occurrence of a “Change in Control” ​(as defined in the Ordonez Employment Agreement), 50% of any then unvested equity held by Ms. Ordonez will accelerate and vest in full. All of Ms. Ordonez’s then unvested equity awards will accelerate and vest in full in the event that (i) a Change in Control occurs and the successor company does not assume the outstanding equity awards or (ii) if Ms. Ordonez’s employment is terminated by the Company without Cause or she resigns for Good Reason, in each case, within 12 months of a Change in Control.
Arnon Kraft
Mr. Kraft departed as Chief Operating Officer of the Company on June 30, 2024 (the “Transition Date”). In connection with Mr. Kraft’s departure as Chief Operating Officer, Payoneer Research and Development Ltd. (“Payoneer R&D”) and Mr. Kraft entered into a separation agreement dated May 27, 2024 (the “Kraft Separation Agreement”), pursuant to which Mr. Kraft continued to be employed as a non-executive employee of Payoneer R&D through March 31, 2025 (the “Kraft Departure Date”) to support transition activities related to his role as Chief Operating Officer and/or the operations department teams during the first three months of such period, and then to be reasonably available to assist on matters relating to areas of his work from time to time through the Kraft Departure Date.
The Kraft Separation Agreement provides for (i) salary continuation payments through the Kraft Departure Date which was equal to $211,196 (based on 3.69 ILS/USD exchange rate), (ii) eligibility for 75% of his 2024 target annual bonus, which was equal to $158,397 (based on 3.69 ILS/USD exchange rate); (iii) participation in benefit plans (including employer contributions to statutory social security, pension, severance fund and study fund) through the Kraft Departure Date, which amounted to $72,436 (based on 3.69 ILS/USD exchange rate through the Kraft Departure Date), (iv) payment of the value of any accrued but unused vacation days up until and including the Transition Date which amounted to $44,614, and (v) continued vesting of Mr. Kraft’s equity awards through the Kraft Departure Date, which amounted to $1,687,549 (based on value as of the applicable vesting date). The foregoing payments and benefits are contingent upon Mr. Kraft’s release of claims in favor of the Company and its subsidiaries and affiliates (the “Company Group”) and compliance with certain restrictive covenants, including a non-compete covenant with respect to the Company Group for a period of six months following the Kraft Departure Date and a non-solicitation covenant with respect to the employees of the Company Group for a period of 12 months following the Kraft Departure Date.
Tsafi Goldman
In the event of the termination of Ms. Goldman’s employment by the Company without “Cause” ​(as defined in the Goldman Employment Agreement), in addition to any accrued amounts, Ms. Goldman will be entitled to salary
[MISSING IMAGE: lg_payoneerftr-4c.jpg]
 | 2025 Proxy Statement
39

TABLE OF CONTENTS
 
continuation and continued vesting of her outstanding equity awards for 180 days following the effective date of the notice of the termination of employment pursuant to the Goldman Employment Agreement.
Name(1)
Benefit Description
Termination without
cause by Company
or for good reason
by executive not in
connection with a
Change in Control
Termination without
cause by Company
or for good reason
by executive in
connection with a
Change in Control
Change in Control
not in connection
with Termination
without cause by
Company or for
good reason by
executive
($)
($)
($)
John Caplan
Cash severance or notice pay
$515,000
$515,000
N/A
Accelerated or continued vesting of equity awards $11,408,525 $38,104,100 $19,052,050
Continuation of health benefits $22,254 $22,254 N/A
Total:
$11,945,779 $38,641,354 $19,052,050
Bea Ordonez
Cash severance or notice pay
$475,000
$475,000
N/A
Accelerated or continued vesting of equity awards $7,467,250 $24,598,000 $12,299,000
Continuation of health benefits $28,213 $28,213 N/A
Total:
$7,970,463 $25,101,213 $12,299,000
Tsafi Goldman
Cash severance or notice pay
$212,500
$212,500
N/A
Accelerated or continued vesting of equity awards $1,900,731 $1,900,731 N/A
Continuation of health benefits $11,449 $11,449 N/A
Total:
$2,124,680 $2,124,680 N/A
(1) On May 27, 2024, Mr. Kraft entered into a separation agreement with a Company subsidiary that is described above (including the relevant post-termination amounts that Mr. Kraft is entitled to thereunder).
40
[MISSING IMAGE: lg_payoneerftr-4c.jpg]
 | 2025 Proxy Statement

TABLE OF CONTENTS
 
DIRECTOR COMPENSATION
During 2024, some of the non-employee directors received annual cash compensation for services provided as directors, and some waived their fees.
Director Compensation in 2024
The following table presents the total compensation each of our non-employee directors earned during the year ended December 31, 2024.
Director
Fees Earned
or Paid in Cash
Stock Awards
All Other
Compensation
Total
($)
($)(2)
($)
($)
Avi Zeevi 71,277(1) 149,998 221,275
Amir Goldman 50,000(3) 149,998 199,998
Christopher (Woody) Marshall
Rich Williams 50,000 149,998 199,998
Pamela H. Patsley 45,000 149,998 194,998
Sharda Caro del Castillo 42,500 149,998 192,498
Susanna Morgan 55,000(3) 149,998 204,998
Scott Galit 284,160(4) 284,160
(1) Amounts reflect proration of cash retainer fees due to Mr. Zeevi based on the timing of change in committee service.
(2) Our directors held the following RSUs as of December 31, 2024: Mr. Zeevi — 34,695; Mr. Goldman — 26,113; Mr. Marshall — 0, Mr. Williams — 48,889, Ms. Patsley — 48,889, Ms. Caro del Castillo — 62,855; Ms. Morgan — 72,985; Mr. Galit — 168,719 (all of which were previously awarded in connection with Mr. Galit’s prior service to the Company as an employee). Each of these RSUs, other than the RSUs awarded to Mr. Galit in connection with his service to the Company as an employee, vest in equal annual installments over a three-year period or such other shorter approved period from the date of grant.
(3) Cash retainers due to Mr. Goldman and Ms. Morgan in respect of service during 2024 were paid to third party entities.
(4) Reflects $27,200 received in retainer fees in connection with Mr. Galit’s service on the board of a subsidiary of the Company during the year, $237,500 received in connection with his provision of services to the Company as an employee, $9,894 in respect of company contribution to 401(k), $432 for life insurance premiums and $9,134 in accrued vacation days that were cashed out in connection with Mr. Galit terminating employment. Mr. Galit received compensation pursuant to the Transition Agreement signed between him and a subsidiary of the Company, as amended from time to time, and not under the Company’s Non-Employee Director Compensation Plan.
Payoneer’s Non-Employee Director Compensation Plan provided non-employee directors with the following annual cash retainers in 2024 for service on our Board of Directors and its standing committees:

a $30,000 annual cash retainer for service as a member of the Board of Directors;

an additional $30,000 annual cash retainer for serving as the Chair of the Board of Directors; and

the following additional cash retainers for service on the standing committees of the Board of Directors:

Audit Committee — $10,000 (or $20,000 as Chair)

Compensation Committee — $7,500 (or $15,000 as Chair)

Nominating & Corporate Governance Committee — $5,000 (or $10,000 as Chair)

Risk Committee — $5,000 (or $10,000 as Chair)
In addition to the cash compensation, the Non-Employee Director Compensation Plan effective in 2024 provided that our non-employee directors would be granted an initial equity award of RSUs upon joining the Board of Directors, with a grant date value of $300,000, and in addition an annual equity award of RSUs with a grant date value of $150,000. Such initial equity award and the annual equity award each vest in three equal annual installments over the three-year period following the date of grant, in each case subject to continued service through such date.
[MISSING IMAGE: lg_payoneerftr-4c.jpg]
 | 2025 Proxy Statement
41

TABLE OF CONTENTS
 
The Non-Employee Director Compensation Plan was updated in 2025 as disclosed in the Company’s Current Report on Form 8-K filed with the SEC on February 24, 2025. The updated plan increased the annual cash retainer for service as a member of the Board of Directors to $40,000 and the additional annual cash retainer for serving as the Chair of the Board of Directors to $50,000. In addition, the 2025 plan provides for an annual equity award of RSUs reflecting a value of $200,000, based on the stock closing price on the date of the Annual Meeting of Stockholders. The annual award vests on the earlier of 12 months from effective date of the grant or the following Annual Meeting of Stockholders, subject to continued service through such date. Directors who were appointed between two meetings receive a prorated award based on the appointment date that vests at the following meeting.
EQUITY COMPENSATION PLAN INFORMATION
The following table provides certain information with respect to all of our equity compensation plans as of December 31, 2024:
Plan
Number of
securities to be
issued upon
exercise of
outstanding
options,
warrants
and rights
Weighted
average
exercise price
of outstanding
options
Number of securities
remaining available
for future issuance
under equity
compensation plans
(excluding securities
reflected in
column (a))
(a)
(b)
(c)
Equity compensation plans approved by stockholders(1) 28,974,530(2) $ 4.95 23,047,688
Equity compensation plans not approved by stockholders(3) 10,034,345(4) $ 2.50
Total
39,008,875 $ 2.84 23,047,688
(1) Refers to the Payoneer Global Inc. 2021 Omnibus Incentive Plan and the Payoneer Global Inc. 2021 Employee Stock Purchase Plan.
(2) Includes 1,570,000 options and 27,404,530 restricted stock units.
(3) Refers to the Payoneer Inc. 2017 Share Incentive Plan, the Payoneer Inc. 2007 Share Incentive Plan, and the Payoneer Inc. 2007 U.S. Share Incentive Plan, which were all assumed by Payoneer Global Inc. following the completion of the Reorganization on June 25, 2021, and which were duly approved by the Payoneer Inc. shareholders. No new awards will be granted pursuant to these plans.
(4) Includes 9,990,158 options and 44,187 restricted stock units.
42
[MISSING IMAGE: lg_payoneerftr-4c.jpg]
 | 2025 Proxy Statement

TABLE OF CONTENTS
 
CEO PAY RATIO DISCLOSURE
In accordance with the requirements of Item 402(u) of Regulation S-K (which we refer to as the “Pay Ratio Rule”), we are providing the following estimated information about the relationship of the median of the annual total compensation of all our employees (other than our CEO) and the annual total compensation of Mr. John Caplan.
For 2024, our last completed fiscal year, the median of the annual total compensation of all our employees (determined as described below and excluding our CEO) was $98,666; and the annual total compensation of our CEO for purposes of the pay ratio calculation was, as reported in the 2024 Summary Compensation Table included elsewhere in this Proxy Statement, $9,827,830. Based on the foregoing, the ratio of the annual total compensation of our CEO to the median of the annual total compensation of all our employees is approximately 100 to 1.
Payoneer is a global company, with workforce located in 36 countries around the world. We strive to create a competitive global compensation program, and accordingly, our compensation programs are designed to reflect local market practices across our global operations. Our methodology to identify the median of the annual total compensation of all our employees included the following material assumptions, adjustments and estimates:

We chose December 31, 2024, which is the last day of our most recently completed fiscal year, as the determination date. As of December 31, 2024, our total employee population consisted of approximately 2,289 individuals working at our U.S. entity and other consolidated subsidiaries, with approximately 8.7% of employees based in the U.S. and 91.3% based in jurisdictions outside of the U.S. This population consisted of our full-time and part-time employees, including temporary employees. It excluded independent contractors, consultants, or workers employed through a third-party provider.

To identify our median employee from our employee population, we combined the base salary and commissions paid during 2024 as well as the annual bonus paid in February 2025 for the 2024 year-end cycle, and the aggregate grant date fair value of equity awards granted to employees in 2024, as reflected in our global human resources and equity management systems. In making this determination, we annualized base salaries for those employees who were hired in 2024 but were not employed for the entire 2024 fiscal year (excluding temporary workers). The elements in this compensation measure are representative of the principal forms of compensation delivered to our employees.

For employees outside of the U.S., we converted their compensation to U.S. dollars using the average of the applicable daily exchange rate for the year ended December 31, 2024. We did not make any cost-of-living adjustments nor adaptations to the differences that may appear in local market practices and salaries in identifying the median employee.

Using the methodologies described above, we determined that our “median employee” was a full-time, salaried employee located in Israel.

Once we identified our median employee, we identified and calculated the elements of that employee’s compensation for 2024 in accordance with the requirements of Item 402(c)(x) of Regulation S-K. For the annual total compensation of our CEO, we used the amount reported in the “Total” column of our “2024 Summary Compensation Table” in this Proxy Statement.
SEC rules for identifying the median employee and calculating the pay ratio allow companies to apply various methodologies and apply various assumptions. In addition, other companies have different employee populations and compensation practices and may use different assumptions, methodologies, exclusions, and estimates in calculating their pay ratios. As a result, neither the median employee’s compensation nor the estimated pay ratio reported by other companies may be comparable to the estimated pay ratio reported above.
[MISSING IMAGE: lg_payoneerftr-4c.jpg]
 | 2025 Proxy Statement
43

TABLE OF CONTENTS
 
PAY VERSUS PERFORMANCE DISCLOSURE
As required by Item 402(v) of Regulation S-K, we are providing the following information about the relationship between the executive compensation actually paid to our NEOs and certain aspects of our financial performance. For further information concerning our pay for performance philosophy and how we align executive compensation with our performance, please refer to the “Compensation Discussion and Analysis.”
Pay Versus Performance Table
Value of Initial Fixed $100
Investment Based On:
Year*
Summary
Compensation
Table Total
for PEO 1
(1)
Summary
Compensation
Table Total
for PEO 2
(1)
Compensation
Actually Paid
to PEO 1
(2)
Compensation
Actually Paid
to PEO 2
(2)
Average
Summary
Compensation
Table Total
for Non-PEO
Named
Executive
Officers
(3)
Average
Compensation
Actually Paid
to Non-PEO
Named
Executive
Officers
(4)
Total
Shareholder
Return
(5)
Peer Group
Total
Shareholder
Return
(6)
Net Income
(Loss)
(K)
(7)
Company-
Selected
Measure-
Revenue
(K)
(8)
(a)
(b)
(b)
(c)
(c)
(d)
(e)
(f)
(g)
(h)
(i)
2024 N/A $ 9,827,830 N/A $ 38,451,586 $ 2,625,068 $ 8,553,964 $ 94.72 $ 100.17 $ 121,163 $ 977,716
2023 $ 964,100 $ 950,900 $ 825,030 $ (1,592,111) $ 4,417,262 $ 4,012,762 $ 49.15 $ 100.99 $ 93,333 $ 831,103
2022 $ 3,060,700 $ 15,124,420 $ 426,088 $ 23,416,502 $ 6,686,879 $ 4,515,392 $ 51.60 $ 83.15 $ (11,970) $ 627,623
2021 $ 5,159,210 N/A $ 25,804,030 N/A $ 7,116,937 $ 5,330,229 $ 69.34 $ 107.40 $ (33,987) $ 473,403
* The Company became a publicly listed company on June 28, 2021, and therefore the covered fiscal years reflected in this section are 2021, 2022, 2023 and 2024. For clarification, John Caplan became our sole CEO on March 1, 2023 after joining the Company as Co-CEO on May 25, 2022, and therefore the principal executive officer (“PEO”) information related to Mr. Caplan is reflected in 2022, 2023 and 2024 only. Scott Galit was Co-CEO during January and February 2023 and therefore the PEO information for such period reflects his compensation as well. Amounts in this table were adjusted to reflect the estimated cost of life insurance premiums for U.S. based executives and severance accruals under the Israeli severance fund for Israel based executives, for years other than 2024, in the applicable year.
(1) The dollar amounts reported in column (b) represent the amount of total compensation reported for each of Messrs. Galit (PEO 1) and Caplan (PEO 2) for each applicable covered fiscal year in the “Total” column of the Summary Compensation Table. During 2024, Mr. Galit (PEO 1) was no longer deemed as a PEO and therefore the tables in the Pay versus Performance disclosure covering the year 2024 exclude any amounts paid to Mr. Galit.
(2) The dollar amounts reported in column (c) represent the amount of “executive compensation actually paid” to each of Messrs. Galit and Caplan in the applicable years, as computed in accordance with Item 402(v) of Regulation S-K for each covered fiscal year. For clarification, Mr. Caplan joined the Company on May 25, 2022. Further, during 2024, Mr. Galit (PEO 1) was no longer deemed as a PEO and therefore the tables in the Pay versus Performance Disclosure covering the year 2024 exclude any amounts paid to Mr. Galit. The dollar amounts do not reflect the actual amount of compensation earned by or paid to Messrs. Galit and Caplan during the applicable fiscal year. In accordance with the requirements of Item 402(v) of Regulation S-K, the following adjustments were made to Mr. Caplan’s total compensation for 2024 to determine the executive compensation actually paid.
Year
Reported
Summary
Compensation
Table Total
for PEO
Reported
Value of
Equity Awards
(a)
Equity
Award
Adjustments
(b)
Pension
Additions to
SCT Total
Compensation
Actually Paid
to PEO
2024 $ 9,827,830 $ 8,673,500 $ 37,297,256 $ 38,451,586
(a) The grant date fair value of equity awards represents the total of the amounts reported in the “Stock Awards” and “Option Awards” columns in the Summary Compensation Table for each covered fiscal year.
(b) The equity award adjustments for each covered fiscal year include the addition (or subtraction, as applicable) of the following: (i) the year-end fair value of any equity awards granted in the covered fiscal year that are outstanding and unvested as of the end of the covered fiscal year; (ii) the amount equal to the change as of the end of the covered fiscal year (from the end of the prior fiscal year) in fair value of any equity awards granted in prior fiscal years that are outstanding and unvested as of the end of the covered fiscal year; (iii) for equity awards that are granted and vest in same covered fiscal year, the fair value as of the vesting date; (iv) for equity awards granted in prior fiscal years that vest in
44
[MISSING IMAGE: lg_payoneerftr-4c.jpg]
 | 2025 Proxy Statement

TABLE OF CONTENTS
 
the covered fiscal year, the amount equal to the change as of the vesting date (from the end of the prior fiscal year) in fair value; and (v) for equity awards granted in prior fiscal years that are determined to fail to meet the applicable vesting conditions during the covered fiscal year, a deduction for the amount equal to the fair value at the end of the prior fiscal year. The valuation assumptions used to calculate the fair values of performance-based equity awards that vested during or were outstanding as of the end of each covered fiscal year, as applicable, were based on a Monte Carlo simulation model. The valuation assumptions used to calculate the fair values of the RSU awards and PSU awards held by Mr. Caplan that were earned and/or vested during or were outstanding as of the end of each covered fiscal year, as applicable, (including the probable outcome of any such awards subject to performance conditions) changed from those disclosed at the time of grant due to the change in the Company’s share price. The amounts deducted or added in calculating the equity award adjustments are as follows:
Year
Year End
Fair Value
of Equity
Awards for
PEO
Year over Year
Change in
Fair Value of
Outstanding
and Unvested
Equity Awards
Fair Value as
of Vesting
Date of
Equity Awards
Granted
and Vested
in Year
Year over
Year Change
in Fair Value
of Equity
Awards
Granted in
Prior Years
that Vested
in Year
Fair Value
at End of
Prior Year
of Equity
Awards
that Failed
to Meet
Vesting
Conditions
in Year
Value of
Dividends
or other
Earnings Paid
on Stock or
Option Awards
not Otherwise
Reflected
in Fair Value
or Total
Compensation
Total
Equity
Award
Adjustments
for PEO
2024 $ 17,266,477 $ 15,518,785 $ 4,511,994 $ 37,297,256
(3) The dollar amounts reported in column (d) represent the average of the amounts of total compensation reported for our NEOs as a group (excluding Messrs. Galit and Caplan, as applicable) for each covered fiscal year in the “Total” column of the Summary Compensation Table for each such fiscal year. The names of each NEO (excluding Messrs. Galit and Caplan, as applicable) included for purposes of calculating the average amounts of total compensation in each covered fiscal year are as follows: (i) for 2024, Bea Ordonez, our Chief Financial Officer, Tsafi Goldman, our Chief Legal & Regulatory Officer, and Arnon Kraft, our former Chief Operating Officer; (ii) for 2023, Michael Levine, our former Chief Financial Officer, Bea Ordonez, our Chief Financial Officer, Arnon Kraft, our former Chief Operating Officer, Tsafi Goldman, our Chief Legal & Regulatory Officer, and Keren Levy, our former President; (iii) for 2022, Michael Levine, our former Chief Financial Officer, Arnon Kraft, our former Chief Operating Officer, Assaf Ronen, our former Chief Platform Officer, and Tsafi Goldman, our Chief Legal & Regulatory Officer; (iv) for 2021, Arnon Kraft, our former Chief Operating Officer, and Robert Clarkson, our former Chief Revenue Officer.
(4) The dollar amounts reported in column (e) represent the average amount of “executive compensation actually paid” to our NEOs as a group (excluding Messrs. Galit and Caplan, as applicable), as computed in accordance with Item 402(v) of Regulation S-K for each covered fiscal year. The dollar amounts do not reflect the actual average amount of compensation earned by or paid to our NEOs as a group (excluding Messrs. Galit and Caplan, as applicable) during the applicable fiscal year. In accordance with the requirements of Item 402(v) of Regulation S-K, the following adjustments were made to the average total compensation for each fiscal year to determine the executive compensation actually paid, using the same methodology described above in Note 2(b).
Year
Average Reported
Summary
Compensation
Table Total for
Non-PEO Named
Executive Officers
Average Reported
Value of
Equity Awards
Equity Award
Adjustments
(a)
Pension Additions
to SCT Total
Average
Compensation
Actually Paid to
Non-PEO Named
Executive Officers
2024 $ 2,625,068 $ 1,816,750 $ 7,745,645 $ 8,553,964
(a) The amounts deducted or added in calculating the total average equity award adjustments are as follows:
Year
Average
Year End
Fair Value
of Equity
Awards
Year over Year
Average
Change in
Fair Value of
Outstanding
and Unvested
Equity Awards
Average
Fair Value
as of
Vesting Date
of Equity
Awards
Granted
and Vested
in Year
Year over Year
Average
Change in
Fair Value of
Equity Awards
Granted in
Prior Years
that Vested
in the Year
Average
Fair Value at
the End of
the Prior Year
of Equity
Awards that
Failed to
Meet Vesting
Conditions
in the Year
Average Value
of Dividends
or other
Earnings Paid
on Stock or
Option Awards
not Otherwise
Reflected
in Fair Value
Total Average
Equity Award
Adjustments
2024 $ 3,597,667 $ 3,320,349 $ 827,630 $ 7,745,645
(5) Cumulative TSR is calculated by dividing our share price at the end and the beginning of the measurement period by our share price at the beginning of the measurement period and assumes $100 were invested for the period. The Company became a publicly listed company on June 28, 2021, and therefore the beginning of the measurement period reflects such date.
[MISSING IMAGE: lg_payoneerftr-4c.jpg]
 | 2025 Proxy Statement
45

TABLE OF CONTENTS
 
(6) Represents the cumulative peer group TSR, weighted according to the respective companies’ stock market capitalization at the beginning of each period for which a return is indicated. The peer group used for this purpose is the following published industry index: the S&P 600 Information Technology Index.
(7) The dollar amounts reported represent the amount of net income (loss) reflected in our audited financial statements for each covered fiscal year.
(8) U.S. dollars in thousands. While we use additional performance measures for the purpose of evaluating performance for our executive compensation, we have determined that revenue is the financial performance measure that, in our assessment, represents the most important performance measure used by us to link compensation actually paid to our NEOs, for the most recently completed fiscal year, to our performance. Accordingly, the dollar amounts reported represent the amount of revenue reflected in our audited financial statements for each covered fiscal year.
Tabular List of Most Important Financial Performance Measures
As described in greater detail in “Compensation Discussion and Analysis,” our executive compensation is designed to reflect our variable “pay-for-performance” philosophy. The performance measures that we use when setting goals in our short-term incentive compensation program (Revenue and Adjusted EBITDA) are selected based on an objective of incentivizing our NEOs to increase the value of our enterprise for our stockholders. In addition, the achievement of specified stock price levels is used as a vesting condition for certain new hire performance stock unit grants made to the Company’s CEO and CFO and other senior officers. Accordingly, the Company has three financial performance measures that are used by us to link executive compensation actually paid to our NEOs to our performance, which for the most recently completed fiscal year, are as follows:

Revenue

Adjusted EBITDA

Stock price
As noted above, we have determined revenue to be the “most important” financial performance measure used to link the compensation of our NEOs with our performance for the most recently completed fiscal year and, as noted, it is being used as our Company Selected Measure.
For a definition of Adjusted EBITDA, please see Annex A of this Proxy Statement.
Analysis of Information Presented in Pay Versus Performance Table
While over the years we have used several different performance measures to align executive compensation with our performance, not all of these performance measures are presented in the Pay-Versus-Performance table. Moreover, while we generally seek to prioritize long-term performance as our primary incentive for our NEOs, we do not specifically align our performance measures with compensation that is actually paid (as computed in accordance with Item 402(v) of Regulation S-K) for a particular fiscal year. In accordance with Item 402(v) of Regulation S-K, we are providing the following descriptions of the relationships between the information presented in the Pay-Versus-Performance table:
46
[MISSING IMAGE: lg_payoneerftr-4c.jpg]
 | 2025 Proxy Statement

TABLE OF CONTENTS
 
Compensation Actually Paid and Company TSR
[MISSING IMAGE: bc_companytsr-pn.jpg]
Compensation Actually Paid and Net Income (Loss)
[MISSING IMAGE: bc_capnetincome-pn.jpg]
[MISSING IMAGE: lg_payoneerftr-4c.jpg]
 | 2025 Proxy Statement
47

TABLE OF CONTENTS
 
Compensation Actually Paid and Revenue
[MISSING IMAGE: bc_compvsrevenue-pn.jpg]
Company TSR and Peer Group TSR
[MISSING IMAGE: lc_companypeer-pn.jpg]
48
[MISSING IMAGE: lg_payoneerftr-4c.jpg]
 | 2025 Proxy Statement

TABLE OF CONTENTS
 
PROPOSAL NO. 3: NON-BINDING ADVISORY VOTE TO APPROVE NAMED EXECUTIVE OFFICER COMPENSATION
In accordance with Section 14A of the Exchange Act and the related rules of the SEC, we are seeking a non-binding advisory vote from our stockholders to approve the compensation paid to our named executive officers (“say-on-pay”), as described in the Compensation Discussion and Analysis and the compensation table sections of this Proxy Statement.
The Compensation Committee is committed to an executive compensation structure that incentivizes our named executive officers and aligns with market practice and stockholder interests and that enables us to effectively attract and retain strong leaders for Payoneer. We believe our executive compensation is properly structured to achieve those goals.
As you decide how to vote on this proposal, the Board encourages you to read the Compensation Discussion and Analysis and the compensation table sections of this Proxy Statement.
The Board recommends that stockholders approve the following resolution:
“RESOLVED, that the Company’s stockholders approve, on an advisory basis, the compensation paid to the Company’s named executive officers, as disclosed pursuant to Item 402 of Regulation S-K in the Company’s Proxy Statement for the 2025 Annual Meeting of Stockholders, including the Compensation Discussion and Analysis, compensation tables and the other related tables, disclosures and narrative discussion therein.”
Although this say-on-pay vote is advisory, and therefore non-binding and does not create or imply any change to the fiduciary duties of the Company or the Board, or create or imply any additional fiduciary duties to the Board, the Board and the Compensation Committee value the opinions of our stockholders and will take into account the outcome of this vote in considering future compensation arrangements.
Vote Required
The affirmative vote of the holders of a majority of the votes cast will be required for approval of the non-binding advisory vote on executive compensation. Abstentions and broker non-votes will have no effect on this Proposal No. 3.
THE BOARD OF DIRECTORS RECOMMENDS
A VOTE
“FORPROPOSAL NO. 3.
[MISSING IMAGE: lg_payoneerftr-4c.jpg]
 | 2025 Proxy Statement
49

TABLE OF CONTENTS
 
PROPOSAL NO. 4: APPROVAL OF AMENDMENTS TO THE CERTIFICATE OF INCORPORATION TO PHASE OUT THE CLASSIFICATION OF THE BOARD OF DIRECTORS AND PROVIDE FOR THE ANNUAL ELECTION OF DIRECTORS
Overview
Our Board has approved, adopted and declared advisable, and recommends that our stockholders approve and adopt, amendments to the Certificate of Incorporation to phase out the classification of the Board and to provide for the annual election of directors.
Background
Article 6(C)(1) of the Certificate of Incorporation currently provides that the Board shall be divided into three classes, designated Class I, Class II and Class III, each to consist, as nearly as may be practicable, of one-third of the total number of directors constituting the entire Board, with the term of office of one class expiring each year and directors in each class being elected to three-year terms. If the proposed amendments are approved by our stockholders, directors previously elected by our stockholders to three-year terms of office, including those directors elected at this Annual Meeting, will complete their three-year terms, and thereafter they or their successors would be elected to one-year terms at each future annual meeting of stockholders. Beginning at our 2028 Annual Meeting of Stockholders, the declassification of the Board would be complete, and all directors would be elected at each annual meeting of stockholders to one-year terms.
Additionally, as the General Corporation Law of the State of Delaware provides that directors serving on boards of directors that are not classified may be removed with or without cause, the proposed amendments would permit the removal of directors without cause after our board of directors is fully declassified commencing immediately after our 2028 Annual Meeting of Stockholders but will provide that, until our board of directors is fully declassified, directors shall be removable only for cause.
The proposed amendments will also provide that any director appointed to fill a vacancy or newly created directorship shall hold office until the expiration of the term of office of the director who he or she has replaced and until his or successor is elected and qualified or until his or her earlier death, resignation or removal. Finally, the proposed amendments also include a conforming amendment to Article 6(B), which is necessary as the size of our Board has increased since the Certificate of Incorporation originally became effective.
Reasons for the Proposed Amendment
Our Nominating and Corporate Governance Committee and our Board have carefully considered the merits of annually elected and staggered boards, evaluating current corporate governance practices, our corporate governance structure, perspectives shared with us by our stockholders during our stockholder engagement, our peer benchmarking analysis and our review of market standards. Our Board believes that a classified board structure can have the advantages of promoting board continuity and stability, encouraging long-term perspectives in pursuing our strategic initiatives, and providing leverage in attempts by stockholders seeking short-term gains. At the same time, our Nominating and Corporate Governance Committee and Board recognize that an increasing number of large companies provide for annual election of directors, many stockholders believe annual elections improve director accountability, and adopting this structure will enhance the Board’s corporate governance practices. After weighing these considerations, our Board (acting on the recommendation of our Nominating and Corporate Governance Committee) has determined that it is in the best interests of the Company and its stockholders to act to declassify our Board and recommend that stockholders approve these amendments.
50
[MISSING IMAGE: lg_payoneerftr-4c.jpg]
 | 2025 Proxy Statement

TABLE OF CONTENTS
 
The text of the proposed amendments to Article 6 of the Certificate of Incorporation, with proposed deletions reflected by “strike-through” text and proposed additions reflected by “underline” text, is set forth in Annex B under “Certificate of Incorporation Amendments.” This summary is qualified in its entirety by reference to Annex B.
Vote Required
Approval of this proposal requires the affirmative vote of the holders of at least 66 2/3% of the total voting power of the outstanding securities of the Company generally entitled to vote in the election of directors, voting together as a single class.
If our stockholders approve this proposal, the Company will file with the Delaware Secretary of State a certificate of amendment that includes the amendments corresponding to this proposal, which will become effective upon filing. In addition, our Board has unanimously adopted a resolution to amend the Bylaws to make conforming changes to Section 3.02 therein and to amend the voting standard with respect to the election of directors in uncontested elections within Section 2.06 therein from a plurality voting standard to a majority of votes cast standard. The text of these proposed amendments to the Bylaws, with proposed deletions reflected by “strike-through” text and proposed additions reflected by “underline” text, is set forth in Annex B under “Bylaws Amendments.” The effectiveness of the amendments to Sections 2.06 and 3.02 of the Bylaws is contingent upon the effectiveness of the amendments contemplated by this Proposal No. 4.
Stockholders are also asked to consider Proposal No. 5, which relates to amendments to the Certificate of Incorporation to eliminate supermajority voting requirements. Proposals No. 4 and 5 are independent of each other and the approval of this proposal is not conditioned on the approval of any other proposal. Our Board retains the discretion to abandon the amendments and not implement them at any time before they become effective.
THE BOARD OF DIRECTORS RECOMMENDS
A VOTE
“FOR” PROPOSAL NO. 4.
[MISSING IMAGE: lg_payoneerftr-4c.jpg]
 | 2025 Proxy Statement
51

TABLE OF CONTENTS
 
PROPOSAL NO. 5: APPROVAL OF AMENDMENTS TO THE CERTIFICATE OF INCORPORATION TO ELIMINATE SUPERMAJORITY VOTING REQUIREMENTS
Overview
Our Board has approved, adopted and declared advisable, and recommends that our stockholders approve and adopt, amendments to the Company’s Certificate of Incorporation to eliminate supermajority voting provisions.
Background
The Certificate of Incorporation currently requires the affirmative vote of the holders of at least 66 2/3% of the total voting power of the outstanding securities of the Company generally entitled to vote in the election of directors, voting together as a single class, to amend, repeal, or adopt provisions in the Certificate of Incorporation that are inconsistent with Article 4(B), Article 4(C), Article 5, Article 6, Article 7 and Article 9 of the Certificate of Incorporation.
Article 4(B) addresses the voting rights of holders of the Company’s stock. Article 4(C) addresses the regulatory restrictions on the transfer of the Company’s stock. Article 5 addresses the adoption, amendment or repeal of the Bylaws. Article 6 addresses the powers, composition, election, and vacancies or removal of members of the Board. Article 7 addresses stockholder action by written consent and annual and special meetings of stockholders. Article 9 addresses the adoption, amendment or repeal of the Certificate of Incorporation and certain provisions set forth in it.
Article 5 of the Certificate of Incorporation also requires the affirmative vote of the holders of at least 66 2/3% of the total voting power of the outstanding securities of the Company generally entitled to vote in the election of directors, voting together as a single class of stockholders to amend, repeal or adopt the Bylaws.
Reasons for the Proposed Amendment
Our Nominating and Corporate Governance Committee and our Board have evaluated current corporate governance practices, our corporate governance structure, perspectives shared with us by our stockholders during our ongoing stockholder engagement, our peer benchmarking analysis and our review of market standards. Our Board (acting on the recommendation of our Nominating and Corporate Governance Committee) has determined that it is in the best interests of the Company and its stockholders to adopt proposed amendments to the Certificate of Incorporation to eliminate the supermajority voting requirements that would apply to amendments to Article 4(B), Article 4(C), Article 5, Article 6, Article 7 and Article 9 and recommends that stockholders approve these amendments.
The text of the proposed amendments to Article 5 and Article 9 the Certificate of Incorporation, with proposed deletions reflected by “strike-through” text and proposed additions reflected by “underline” text, is set forth in Annex C under “Certificate of Incorporation Amendments.” This summary is qualified in its entirety by reference to Annex C.
Vote Required
Approval of this proposal requires the affirmative vote of the holders of at least 66 2/3% of the total voting power of all outstanding securities of the Company generally entitled to vote in the election of directors, voting together as a single class.
If our stockholders approve this proposal, the Company will file with the Delaware Secretary of State a certificate of amendment that includes the amendments corresponding to this proposal, which will become effective upon
52
[MISSING IMAGE: lg_payoneerftr-4c.jpg]
 | 2025 Proxy Statement

TABLE OF CONTENTS
 
filing. In addition, our Board has unanimously adopted a resolution to amend Section 7.06 of the Bylaws to eliminate the supermajority voting requirement for stockholders to amend the Bylaws. The text of these proposed amendments to the Bylaws, with proposed deletions reflected by “strike-through” text and proposed additions reflected by “underline” text, is set forth in Annex C under “Bylaws Amendments.” The effectiveness of the amendments to Section 7.06 of the Bylaws is contingent upon the effectiveness of the amendments contemplated by this Proposal No. 5.
Stockholders are also asked to consider Proposal No. 4, which relates to amendments to the Certificate of Incorporation to phase out the classification of the Board and provide for the annual election of directors. Proposals No. 5 and 4 are independent of each other and the approval of this proposal is not conditioned on the approval of any other proposal. Our Board retains the discretion to abandon the amendments and not implement them at any time before they become effective.
THE BOARD OF DIRECTORS RECOMMENDS
A VOTE
“FOR” PROPOSAL NO. 5.
[MISSING IMAGE: lg_payoneerftr-4c.jpg]
 | 2025 Proxy Statement
53

TABLE OF CONTENTS
 
CERTAIN RELATIONSHIPS AND RELATED PARTY TRANSACTIONS
We describe below transactions and series of similar transactions, since the beginning of our last fiscal year or currently proposed, to which we were a party or will be a party, in which:

the amounts involved exceeds $120,000; and

any of our directors, executive officers or beneficial holders of more than 5% of any class of our capital stock had or will have a direct or indirect material interest.
Other than as described below, there have not been, nor are there any currently proposed, transactions or series of similar transactions meeting these criteria to which we have been or will be a party other than compensation arrangements, which are described where required under the sections titled “Director Compensation”, “Compensation Discussion and Analysis” and “Compensation Tables and Other Information”.
Viola Warehouse Facility
On October 28, 2021, a subsidiary of the Company entered into a multi-party Receivables Loan and Security Agreement (the “Warehouse Facility”) for the purpose of external financing of capital advance activity. The lenders are related parties through the Company’s Chair of the Board of Directors’ ownership interest. The Warehouse Facility was entered into on arm’s length terms.
The Warehouse Facility reached its scheduled revolving period termination date on October 28, 2024, and the Company had repaid all outstanding borrowings as of December 31, 2024. The Warehouse Facility is set to be automatically terminated on April 28, 2025.
The Warehouse Facility had a revolving maturity of 36 months from the commencement date with a payback period of an additional 6 months after the revolving maturity date. The initial borrowing commitment was $25.0 million subject to increases at the Company’s request and the lender’s discretion up to $100.0 million. The Warehouse Facility bore interest at the sum of the Daily Simple SOFR and 0.26161% plus 9.00% per annum. Prior to July 1, 2023, the benchmark rate was the greater of 0.25% or LIBOR. Additional commitments would have carried interest rates ranging from 7% to 7.75% in addition to the benchmark rate. In addition, a June 2022 amendment to the Warehouse Facility created a condition that the total interest rate would not exceed 10.5% per annum for all outstanding balances. The amount of interest and unused fees paid during 2024 is $1.5 million. The largest aggregate amount of principal outstanding under the Warehouse Facility during 2024 was $18.4 million, and the amount thereof outstanding as of the date hereof is $0. The amount of principal paid, related to the Warehouse Facility, during 2024 is $33.5 million.
The Warehouse Facility was secured by eligible capital advance receivables at an initial rate of 80% of the total value of the underlying capital advance receivables outstanding. The Company was subject to financial covenants including minimum tangible equity, solvency and unrestricted cash requirements that are assessed based on the Company’s consolidated financial statements.
Policies and Procedures for Related Party Transactions
The Company’s Board has adopted a written Related Party Transaction policy that sets forth the following policies and procedures for the review and approval or ratification of transactions with related persons. The policy sets forth the responsibility of the Audit Committee and Board regarding the review and approval of Related Party Transactions.
A “Related Party Transaction” is a transaction, arrangement or relationship, including any currently proposed transaction, indebtedness or guarantee of indebtedness, in which Payoneer or any of its subsidiaries is a participant, the amount of which involved exceeds $120,000 in any fiscal year, and in which any Related Person has or will have a direct or indirect material interest, subject to certain Related Party Transactions which are deemed to be pre-approved, as detailed in the policy. A “Related Person” means:
54
[MISSING IMAGE: lg_payoneerftr-4c.jpg]
 | 2025 Proxy Statement

TABLE OF CONTENTS
 

any person who is, or at any time during the applicable period was, one of our executive officers, a member of our Board or a director nominee;

any person who is known by us to be the beneficial owner of more than five percent (5%) of our issued and outstanding shares;

any immediate family member of any of the foregoing persons, which means any child, stepchild, parent, stepparent, spouse, sibling, mother-in-law, father-in-law, daughter-in-law, son-in-law, brother-in-law or sister-in-law, and any person (other than a tenant or employee) sharing the household of such director, director nominee, executive officer or beneficial owner of more than five percent (5%) of our issued and outstanding shares; and

any firm, corporation or other entity in which any of the foregoing persons is a partner or principal or in a similar position or in which such person has a ten percent (10%) or greater beneficial ownership interest.
We have also adopted policies and procedures for our directors for the disclosure of actual or potential conflicts of interest that may exist from time to time. Specifically, pursuant to our Audit Committee charter, the Audit Committee will have the responsibility to review Related Party Transactions in accordance with the Related Party Transactions policy.
[MISSING IMAGE: lg_payoneerftr-4c.jpg]
 | 2025 Proxy Statement
55

TABLE OF CONTENTS
 
OTHER MATTERS
Delinquent Section 16(a) Reports
Section 16(a) of the Securities Exchange Act of 1934 (the “Exchange Act”) requires our directors, executive and certain other officers and persons who beneficially own more than ten percent of our common stock to file reports with the SEC indicating their holdings of, and transactions in, Payoneer common stock. Based on a review of these reports, and upon written representations from the reporting persons, we believe that no reporting person was delinquent with respect to their reporting obligations during 2024 or prior years except for a late Form 4 for Itai Perry filed on November 20, 2024, to report a cash exercise of stock options with respect to 13,042 shares of Payoneer common stock on May 19, 2022 that had been inadvertently omitted from prior reported holdings.
56
[MISSING IMAGE: lg_payoneerftr-4c.jpg]
 | 2025 Proxy Statement

TABLE OF CONTENTS
 
GENERAL INFORMATION ABOUT THE ANNUAL MEETING
Submission of Stockholder Proposals and Nominations for the 2026 Annual Meeting
Stockholders wishing to present proposals for inclusion in our Proxy Statement for the 2026 annual meeting of stockholders (the “2026 Annual Meeting”) pursuant to Rule 14a-8 of the Securities Exchange Act of 1934, as amended (the “Exchange Act”), must submit their proposals so that they are received by us at our principal executive offices no later than December 29, 2025. Proposals should be sent to our Corporate Secretary, c/o Payoneer Global Inc., 195 Broadway, 27th Floor, New York, NY 10007.
With respect to other proposals and nominations not to be included in our Proxy Statement pursuant to Rule 14a-8 of the Exchange Act, our Bylaws provide that stockholders wishing to present nominations for director or proposals for consideration at the 2026 Annual Meeting under these provisions of our Bylaws must submit timely notice that is received at our principal executive offices not earlier than January 11, 2026 and not later than February 10, 2026 in order for such nominations or proposals to be considered timely. A stockholder’s notice to nominate a director or bring any other business before the 2026 Annual Meeting must comply with the advance notice provisions of our Bylaws.
Other Information
The management of the Company knows of no other matters that will be presented for consideration at the Annual Meeting. If any other matters are properly brought before the Annual Meeting, it is the intention of the persons named in the accompanying proxy to vote the shares for which you grant your proxy on such matters in accordance with their best judgment.
You are receiving these proxy materials in connection with the Board’s solicitation of proxies to be voted at the Annual Meeting or any adjournment or postponement thereof. The expense of this solicitation, including cost of preparing and distributing this Proxy Statement, will be paid by the Company. Such expenses may also include the charges and expenses of banks, brokerage houses and other custodians, nominees or fiduciaries for forwarding proxies and proxy material to beneficial owners of shares. We have engaged Sodali & Co. to solicit proxies for an estimated fee of $17,500, plus expenses.
In certain instances, one copy of the Company’s Annual Report or Proxy Statement is being delivered to two or more stockholders who share an address. Upon request, the Company will promptly deliver a separate copy of the Annual Report or Proxy Statement to a stockholder at a shared address to which a single copy of the documents was delivered. Conversely, stockholders sharing an address who receive multiple copies of Annual Reports or Proxy Statements may request future delivery of a single copy. Requests in this regard should be addressed to: Corporate Secretary, c/o Payoneer Global Inc., 195 Broadway, 27th Floor, New York, NY 10007.
[MISSING IMAGE: lg_payoneerftr-4c.jpg]
 | 2025 Proxy Statement
57

TABLE OF CONTENTS
 
Payoneer Global Inc.
195 Broadway, 27th Floor
New York, NY 10007
PROXY STATEMENT FOR THE 2025 ANNUAL MEETING
OF
STOCKHOLDERS
QUESTIONS AND ANSWERS ABOUT THESE PROXY MATERIALS AND VOTING
Why did I receive a one-page notice in the mail regarding the internet availability of proxy materials instead of a full set of proxy materials?
Pursuant to “Notice and Access” rules adopted by the Securities and Exchange Commission (the “SEC”), we have elected to provide access to our proxy materials over the internet. Accordingly, we are sending an Important Notice Regarding the Availability of Proxy Materials (the “Proxy Availability Notice”) to our stockholders of record. All stockholders will have the ability to access the proxy materials on the website referred to in the Proxy Availability Notice free of charge or request to receive a printed set of the proxy materials for the Annual Meeting. Instructions on how to access the proxy materials over the internet or to request a printed copy may be found in the Proxy Availability Notice.
We provided some of our stockholders with paper copies of the proxy materials instead of the Proxy Availability Notice. If you received paper copies of the proxy materials, we encourage you to help us reduce the environmental impact and financial cost of delivering paper proxy materials to stockholders by signing up per the instructions in the Proxy Availability Notice, to receive all of your future proxy materials electronically.
We expect that this Proxy Statement and the other proxy materials will be available to stockholders beginning on or about April 28, 2025.
When and how can I attend the virtual annual meeting?
The Annual Meeting will be held on June 10, 2025, at 8.00 a.m. (Eastern Time) via live video webcast at www.virtualshareholdermeeting.com/PAYO2025.
Only stockholders of record and beneficial owners of shares of our common stock as of the close of business on April 14, 2025 (the “Record Date”), may participate in the Annual Meeting, including voting and asking questions during the virtual Annual Meeting. Stockholders will need the 16-digit control number provided on their proxy card, voting instruction form or notice. We suggest you log in at least 15 minutes before the start of the meeting. If you experience technical difficulties during the check-in process or during the meeting, please consult the information regarding technical assistance available at www.virtualshareholdermeeting.com/PAYO2025 for assistance. You will not be able to attend the Annual Meeting physically in person.
Why are you having a virtual annual meeting?
We have determined to hold a virtual annual meeting in order to facilitate stockholder attendance and participation by enabling stockholders to participate from any location and without charge. We believe this is the right choice for Payoneer currently, as it enables engagement with our stockholders, regardless of size, resources, or physical location. We are committed to ensuring that stockholders will be afforded the same rights and opportunities to participate as they would at an in-person meeting.
Can I ask questions at the Annual Meeting?
Stockholders as of the Record Date who attend and participate in our virtual Annual Meeting will have an opportunity to submit questions live via the internet.
58
[MISSING IMAGE: lg_payoneerftr-4c.jpg]
 | 2025 Proxy Statement

TABLE OF CONTENTS
 
What does it mean if I receive more than one Proxy Availability Notice?
If you receive more than one Proxy Availability Notice, your shares may be registered in more than one name or in different accounts. Please follow the voting instructions on each Proxy Availability Notice to ensure that all of your shares are voted.
Who can vote at the Annual Meeting?
Only stockholders of record at the close of business on the Record Date of April 14, 2025, will be entitled to vote at the Annual Meeting. On the Record Date, there were 362,344,534 shares of common stock outstanding and entitled to vote.
Stockholder of Record: Shares Registered in Your Name
If, on April 14, 2025, your shares were registered directly in your name with Payoneer’s transfer agent, Continental Stock Transfer & Trust Company (“Continental”), then you are a stockholder of record. As a stockholder of record, you may vote at the Annual Meeting or vote by proxy.
Whether or not you plan to attend the Annual Meeting, we urge you to vote by proxy over the telephone or on the internet as instructed below (see “How do I vote?”) or complete, date, sign and return the proxy card mailed to you to ensure your vote is counted.
Beneficial Owner: Shares Registered in the Name of a Broker, Bank or Other Nominee
If, on April 14, 2025, your shares were held, not in your name, but rather in an account at a brokerage firm, bank, dealer or other similar organization, then you are the beneficial owner of shares held in “street name” and proxy materials are being forwarded to you by the organization that holds your account. The organization holding your account is considered to be the stockholder of record for purposes of voting at the Annual Meeting. As a beneficial owner, you have the right to direct your broker, bank or other nominee regarding how to vote the shares in your account. You are also invited to virtually attend and vote at the Annual Meeting.
What am I voting on?
There are five matters scheduled for a vote:

Election of two Class I directors;

Ratification of the selection of Kesselman & Kesselman, a member firm of PricewaterhouseCoopers International Limited (“PwC”), as the Company’s independent registered public accounting firm for the Company’s fiscal year ending December 31, 2025;

Non-binding advisory vote to approve named executive officer compensation;

Approval of amendments to the Certificate of Incorporation to phase out the classification of the Board and provide for the annual election of directors; and

Approval of amendments to the Certificate of Incorporation to eliminate supermajority voting requirements.
What if another matter is properly brought before the Annual Meeting?
The Board knows of no other matters that will be presented for consideration at the Annual Meeting. If any other matters are properly brought before the Annual Meeting, the persons named in the accompanying proxy will vote the shares for which you grant your proxy on those matters in accordance with their best judgment.
[MISSING IMAGE: lg_payoneerftr-4c.jpg]
 | 2025 Proxy Statement
59

TABLE OF CONTENTS
 
What is the Board’s voting recommendation?
The Board recommends that you vote your shares:

“For” the election of each of the nominees for director;

“For” the ratification of the selection of Kesselman & Kesselman, a member firm of PricewaterhouseCoopers International Limited, as the Company’s independent registered public accounting firm for the Company’s fiscal year ending December 31, 2025;

“For” the non-binding advisory vote to approve named executive officer compensation;

“For” the approval of the amendments to the Certificate of Incorporation to phase out the classification of the Board and provide for the annual election of directors; and

“For” the approval of amendments to the Certificate of Incorporation to eliminate supermajority voting standards.
How do I vote?
Regarding the election of directors, you may either vote “For” the nominees to the Board or you may “Withhold” your vote for any nominee you specify. For any other matters to be voted on, you may vote “For” or “Against” or abstain from voting.
The procedures for voting depend on whether your shares are registered in your name or are held by a bank, broker or other nominee:
Stockholder of Record: Shares Registered in Your Name
If you are a stockholder of record, you may vote at the Annual Meeting, vote by proxy over the telephone, vote by proxy through the internet, or vote by proxy using a proxy card that you may request or that we may elect to deliver at a later time. Whether or not you plan to attend the Annual Meeting, we urge you to vote by proxy to ensure your vote is counted. You may still attend the Annual Meeting and vote even if you have already voted by proxy. Voting at the Annual Meeting will have the effect of revoking your previously submitted proxy (see “Can I change my vote after submitting my proxy?” below).
Before the Annual Meeting
By Internet
If you received the notice or a printed copy of the proxy materials, go to www.proxyvote.com and follow the instructions in the notice or on the proxy card.
By Telephone
If you received a printed copy of the proxy materials, follow the instructions on the proxy card.
By Mail
If you received a printed copy of the proxy materials, complete, sign, date, and mail your proxy card in the enclosed, postage-prepaid envelope.
During the Annual Meeting
In Person (Virtual)
You may also vote in person virtually by attending the meeting through the following website: www.virtualshareholdermeeting.com/PAYO2025. To attend the Annual Meeting and vote your shares, you must register for the Annual Meeting and provide the control number located on your notice or proxy card.
Beneficial Owner: Shares Registered in the Name of Broker, Bank or Other Nominee
If you are a beneficial owner of shares registered in the name of your broker, bank, or other nominee, you should have received proxy materials containing voting instructions from that organization rather than from Payoneer. Simply follow the voting instructions in the proxy materials to ensure that your vote is counted. Follow the instructions from your broker, bank or other nominee included with these proxy materials, or contact your broker, bank or other nominee to request a proxy form.
60
[MISSING IMAGE: lg_payoneerftr-4c.jpg]
 | 2025 Proxy Statement

TABLE OF CONTENTS
 
How many votes do I have?
On each matter to be voted upon, you have one vote for each share of Payoneer Global Inc. common stock you own as of the close of business on April 14, 2025, the Record Date.
Are there any limitations on number of shares held?
Pursuant to our Certificate of Incorporation, our Board may act to prevent the transfer of capital stock, or the exercise of rights with respect to our capital stock, if, among other things, the effect of such transfer or exercise of rights would result in a stockholder holding more than 9.9% of the total issued and outstanding shares of our capital stock on a fully diluted basis.
Our charter provides that, subject to certain exceptions, we may request that holders or proposed transferees of our capital stock provide such information (including, without limitation, information with respect to citizenship, other holdings of our capital stock and affiliations) as we may reasonably request to determine whether the ownership of, or the exercise of any rights with respect to, our capital stock by such stockholder or proposed transferee could, among other things, result in a person beneficially owning more than 9.9% of our issued and outstanding capital stock on a fully diluted basis or such other result listed therein (a “Violation”). This provision is designed, among other things, to ensure we comply with the various licensing regimes of the several jurisdictions in which we operate, as the acquisition of more than 10% of our issued and outstanding capital stock could require regulatory notifications and/or approvals.
In the event a holder or proposed transferee fails to respond to our request for information or if, upon review of information provided by such holder or proposed transferee, the Board determines that such person’s holdings or acquisition of our capital stock would result in a Violation, we may refuse to permit any such transfer of capital stock, refuse to honor any transfer of capital stock purported to have been effected (in which case, such transfer shall be deemed to have been void ab initio), suspend rights of stock ownership the exercise of which could result in a Violation, or redeem such shares of capital stock. Pursuant to our charter, any shares of capital stock subject to redemption shall be redeemed at a price equal to $0.01 per share, on such other terms and conditions as our Board may determine. Our charter provides that our Board may, in its sole discretion, exempt (proactively or retroactively) any person from the foregoing restrictions.
What if I return a proxy card or otherwise vote but do not make specific choices?
If you return a signed and dated proxy card or otherwise vote without marking voting selections, your shares will be voted, as applicable, “For” the election of each of the nominees for Class I directors (Proposal No. 1), “For” the ratification of Kesselman & Kesselman, a member firm of PricewaterhouseCoopers International Limited, as the Company’s independent registered public accounting firm (Proposal No. 2), “For” the non-binding advisory vote to approve named executive officer compensation (Proposal No. 3), “For” the approval of amendments to the Certificate of Incorporation to phase out the classification of the Board and provide for the annual elections of directors (Proposal No. 4), and “For” the approval of amendments to the Certificate of Incorporation to eliminate supermajority voting requirements (Proposal No. 5). If any other matter is properly presented at the Annual Meeting, your proxy holder (one of the individuals named on your proxy card) will vote your shares using his or her best judgment.
Can I change my vote after submitting my proxy?
Yes. You can revoke your proxy at any time before June 9, 2025, 11.59 p.m. (Eastern Time). If you are the record holder of your shares, you may revoke your proxy in any one of the following ways:

You may submit another properly completed proxy card with a later date.

You may grant a subsequent proxy by telephone or through the internet.

You may send a timely written notice delivered before June 9, 2025, 11.59 p.m. (Eastern Time), that you are revoking your proxy to Payoneer’s Corporate Secretary, c/o Payoneer Global Inc., 195 Broadway, 27th Floor,
[MISSING IMAGE: lg_payoneerftr-4c.jpg]
 | 2025 Proxy Statement
61

TABLE OF CONTENTS
 
New York, NY 10007; provided, however, that if you intend to revoke your proxy by providing such written notice, we advise that you also send a copy via email to payoneerlegal@payoneer.com.

You may attend and vote at the Annual Meeting. Simply attending the Annual Meeting will not, by itself, revoke your proxy.
Your most current proxy card or telephone or internet proxy is the one that is counted, so long as it is provided within the applicable deadline. If your shares are held by your broker, banker or other nominee, you should follow the instructions provided by your broker, bank or other nominee to change your vote or revoke your proxy.
What are “broker non-votes”?
Broker non-votes occur when a beneficial owner of shares held in “street name” does not give instructions to the broker, bank or other nominee holding the shares as to how to vote. Generally, if shares are held in street name, the beneficial owner of the shares is entitled to give voting instructions to the broker, bank or other nominee holding the shares. If the beneficial owner does not provide voting instructions, the broker, bank or other nominee can still vote the shares with respect to matters that are considered to be “routine,” but cannot vote the shares with respect to “non-routine” matters. Under the rules and interpretations of the New York Stock Exchange (the “NYSE”), which generally apply to all brokers, banks or other nominees, on voting matters characterized by the NYSE as “routine,” member firms have the discretionary authority to vote shares for which their customers do not provide voting instructions. On non-routine proposals, such “uninstructed shares” may not be voted by member firms. Only the proposal to ratify the selection of our independent registered public accounting firm is considered a “routine” matter for this purpose and brokers, banks or other nominees generally have discretionary voting power with respect to such proposal. Broker non-votes will be counted for the purpose of determining whether a quorum is present at the Annual Meeting.
What is the effect of votes to withhold, abstentions and broker non-votes?
Votes to Withhold:   For Proposal No. 1: Election of Directors, you may vote “For” all of the nominees or you may “Withhold” your vote with respect to one or more of the nominees. The two nominees who receive the most votes cast by the holders of shares either present at the Annual Meeting or represented by proxy will be elected to our Board. Broker non-votes will have no effect on Proposal No. 1: Election of Directors. “Withhold” votes have no effect and will not prevent a candidate from getting elected.
Abstentions:   Our Bylaws provide that in all matters up for a vote at the Annual Meeting, other than the election of directors or as otherwise set forth in the Certificate of Incorporation, Bylaws or required by law, the affirmative vote of the holders of a majority of the votes cast at the meeting on the subject matter shall be the act of the stockholders. Under Delaware law (under which Payoneer is incorporated) and our Bylaws, abstentions are counted as shares present and entitled to vote at the Annual Meeting, but they are not counted as votes cast. Therefore, abstentions will have no effect on Proposals No. 2 and 3. With respect to Proposals No. 4 and 5, abstentions will have the same effect as voting “against” the proposals.
Broker Non-Votes:   Under Delaware law (under which Payoneer is incorporated) and our Bylaws, broker non-votes are counted as shares present and entitled to vote at the Annual Meeting, but they are not counted as votes cast. Therefore, broker non-votes will have no effect on Proposals No. 1 and 3 because these are considered “non-routine” matters. As a result, if you hold your shares in street name and you do not instruct your broker, bank or other nominee how to vote your shares in the election of directors, no votes will be cast on your behalf on these proposals. Therefore, it is critical that you indicate your vote on these proposals if you want your vote to be counted. The proposal to ratify the selection of Kesselman & Kesselman, a member firm of PricewaterhouseCoopers International Limited, as our independent registered public accounting firm for the fiscal year ending December 31, 2025 should be considered a “routine” matter. Therefore, your broker, bank or other nominee will be able to vote on Proposal No. 2: Ratification of the Selection of the Independent Registered Public Accounting Firm for Payoneer, even if it does not receive instructions from you, so long as it holds your shares in its name. With respect to Proposals No. 4 and 5, broker non-votes will have the same effect as voting “against” the proposals.
62
[MISSING IMAGE: lg_payoneerftr-4c.jpg]
 | 2025 Proxy Statement

TABLE OF CONTENTS
 
How many votes are needed to approve each proposal?
Proposal
Vote Required
Voting Choices
Discretionary
Voting
Allowed?
No. 1. Election of Directors Plurality
For or Withhold
No
No. 2. Ratification of the Selection of the Independent Registered Public Accounting Firm for Payoneer Majority Cast For, Against or
Abstain
Yes
No. 3. Non-binding Advisory Vote to Approve Named Executive Officer Compensation Majority Cast For, Against or
Abstain
No
No. 4. Amendments to the Certificate of Incorporation to Phase Out the Classification of the Board and Provide for the Annual Election of Directors 66 2/3% For, Against or
Abstain
No
No. 5. Amendments to the Certificate of Incorporation to Eliminate Supermajority Voting Requirements 66 2/3% For, Against or
Abstain
No
A “Plurality,” with regard to the election of directors, means that the two nominees who receive the most “For” votes cast by the holders of shares either present at the Annual Meeting or represented by proxy will be elected to our Board. A “Majority Cast,” with respect to Proposals No. 2 and 3, means that a majority of the votes cast on each proposal are voted “For” the proposal. A “66 2/3%,” with respect to Proposals No. 4 and 5, means that 66 2/3% of the total voting power of all outstanding securities of the Company generally entitled to vote in the election of directors, voting together as a single class, are voted “For” each proposal.
What is the quorum requirement?
A quorum of stockholders is necessary to hold a valid stockholder meeting. A quorum will be present if stockholders holding at least a majority of the voting power of all outstanding shares generally entitled to vote are present or represented by proxy at the Annual Meeting. On the Record Date, there were 362,344,534 shares outstanding and entitled to vote. Thus, the holders of at least 181,172,268 shares must be present or represented by proxy at the Annual Meeting to have a quorum. Virtual attendance at our Annual Meeting constitutes “presence” for purposes of a quorum at the meeting.
Your shares will be counted towards the quorum only if you submit a valid proxy by mail, over the phone or through the internet (or one is submitted on your behalf by your broker, bank or other nominee) or if you vote at the Annual Meeting. Abstentions, votes to “Withhold” and broker non-votes will be counted towards the quorum requirement. If there is no quorum, then either the Chair of the Annual Meeting or the holders of a majority of shares present at the Annual Meeting or represented by proxy may adjourn the meeting to another date. At any adjourned Annual Meeting at which a quorum is present, any business may be transacted that might have been transacted at the Annual Meeting as originally notified.
How can I find out the results of the voting at the Annual Meeting?
Final voting results will be published in a Current Report on Form 8-K that we expect to file with the SEC within four business days after the Annual Meeting.
April 28, 2025
A copy of our Annual Report on Form 10-K for the year ended December 31, 2024, as filed with the SEC on February 27, 2025, is available without charge upon written request to Investor Relations, Payoneer Global Inc., 195 Broadway, 27th Floor, New York, NY 10007 or by accessing a copy on Payoneer’s website at https://investor.payoneer.com/financials/sec-filings/default.aspx. Information on or accessible through our website is not incorporated by reference in this Proxy Statement.
[MISSING IMAGE: lg_payoneerftr-4c.jpg]
 | 2025 Proxy Statement
63

TABLE OF CONTENTS
 
ANNEX A
Forward-Looking Statements
This Proxy Statement includes, and oral statements made from time to time by representatives of Payoneer, may be considered “forward-looking statements” within the meaning of the “safe harbor” provisions of the United States Private Securities Litigation Reform Act of 1995. Forward-looking statements generally relate to future events or Payoneer’s future financial or operating performance. In some cases, you can identify forward-looking statements by terminology such as “may,” “should,” “expect,” “intend,” “plan,” “will,” “estimate,” “anticipate,” “believe,” “predict,” “potential” or “continue,” or the negatives of these terms or variations of them or similar terminology. Such forward-looking statements are subject to risks, uncertainties, and other factors which could cause actual results to differ materially from those expressed or implied by such forward-looking statements. These forward-looking statements are based upon estimates and assumptions that, while considered reasonable by Payoneer and its management, as the case may be, are inherently uncertain. Factors that may cause actual results to differ materially from current expectations include, but are not limited to: (1) changes in applicable laws or regulations; (2) the possibility that Payoneer may be adversely affected by geopolitical events and conflicts, such as Israel’s ongoing conflicts in the Middle East, and other economic, business and/or competitive factors, such as trade policies (including tariffs); (3) changes in the assumptions underlying our financial estimates; (4) the outcome of any known and/or unknown legal or regulatory proceedings; and (5) other risks and uncertainties set forth in Payoneer’s Annual Report on Form 10-K for the period ended December 31, 2024 and future reports that Payoneer may file with the SEC from time to time. Nothing in this Proxy Statement should be regarded as a representation by any person that the forward-looking statements set forth herein will be achieved or that any of the contemplated results of such forward-looking statements will be achieved. You should not place undue reliance on forward-looking statements, which speak only as of the date they are made. Payoneer does not undertake any duty to update these forward-looking statements.
Financial Information; Non-GAAP Financial Measures
Some of the financial information and data contained in this Proxy Statement, such as adjusted EBITDA, have not been prepared in accordance with United States generally accepted accounting principles (“GAAP”). Payoneer uses these non-GAAP measures to compare Payoneer’s performance to that of prior periods for budgeting and planning purposes. Payoneer believes these non-GAAP measures of financial results provide useful information to management and investors regarding certain financial and business trends relating to Payoneer’s results of operations. Payoneer’s method of determining these non-GAAP measures may be different from other companies’ methods and, therefore, may not be comparable to those used by other companies and Payoneer does not recommend the sole use of these non-GAAP measures to assess its financial performance. Payoneer’s management does not consider these non-GAAP measures in isolation or as an alternative to financial measures determined in accordance with GAAP. The principal limitation of these non-GAAP financial measures is that they exclude significant expenses and income that are required by GAAP to be recorded in Payoneer’s financial statements. In addition, they are subject to inherent limitations as they reflect the exercise of judgments by management about which expense and income are excluded or included in determining these non-GAAP financial measures. In order to compensate for these limitations, management presents non-GAAP financial measures in connection with GAAP results. You should review Payoneer’s financial statements, which are included in Payoneer’s Annual Report on Form 10-K for the year ended December 31, 2024 and its subsequent Quarterly Reports on Form 10-Q, and not rely on any single financial measure to evaluate Payoneer’s business.
A-1
[MISSING IMAGE: lg_payoneerftr-4c.jpg]
 | 2025 Proxy Statement

TABLE OF CONTENTS
 
Non-GAAP measures include the following item:
Adjusted EBITDA: We provide adjusted EBITDA, a non-GAAP financial measure that represents our net income (loss) adjusted to exclude, as applicable: M&A related expense (income), stock-based compensation expenses, restructuring charges, share in losses (gain) of associated company, loss (gain) from change in fair value of warrants and warrant repurchase/redemption, other financial expense (income), net, income taxes, and depreciation and amortization.
Other companies may calculate the above measure differently, and therefore Payoneer’s measures may not be directly comparable to similarly titled measures of other companies.
In addition, in this Proxy Statement, we reference volume, which is an operational metric. Volume refers to the total dollar value of transactions successfully completed or enabled by our platform, not including orchestration transactions. For a customer that both receives and later sends payments, we count the volume only once.
TABLE — 1
PAYONEER GLOBAL INC.
RECONCILIATION OF NET INCOME TO ADJUSTED EBITDA (UNAUDITED)

(U.S. dollars in thousands)
Year ended December 31,
2024
2023
Net income $ 121,163 $ 93,333
Depreciation and amortization 47,296 27,814
Income taxes 18,308 39,203
Other financial income, net (2,419) (11,568)
EBITDA
184,348 148,782
Stock based compensation expenses(1) 64,787 65,767
M&A related expenses(2) 9,439 3,468
Gain from change in fair value of Warrants(3) (2,767) (17,359)
Loss on Warrant repurchase/redemption(4) 14,746
Restructuring charges(5) 4,488
Adjusted EBITDA
$ 270,553 $ 205,146
(1) Represents non-cash charges associated with stock-based compensation expense, which has been, and will continue to be for the foreseeable future, a significant recurring expense in our business and an important part of our compensation strategy.
(2) Amounts for the year ended December 31, 2024 and 2023 relate to M&A-related third-party fees, including related legal, consulting and other expenditures. Additionally, amounts for the year ended December 31, 2024 include $1.8 million in non-recurring fair value adjustment of the Skuad contingent consideration liability.
(3) Changes in the estimated fair value of the warrants are recognized as gain or loss on the statements of comprehensive income (loss). The impact is removed from EBITDA as it represents market conditions that are not in our control.
(4) Amounts relate to a non-recurring loss on the repurchase and redemption of outstanding public warrants.
(5) We initiated a plan to reduce our workforce during the year ended December 31, 2023 and had non-recurring costs related to severance and other employee termination benefits.
[MISSING IMAGE: lg_payoneerftr-4c.jpg]
 | 2025 Proxy Statement
A-2

TABLE OF CONTENTS
 
ANNEX B
Certificate of Incorporation Amendments
ARTICLE 6.
BOARD OF DIRECTORS
(B) Number of Directors. Except as otherwise provided for or fixed pursuant to the provisions of Article 4 (including any certificate of designation with respect to any series of Preferred Stock) and this Article 6 relating to the rights of the holders of any series of Preferred Stock to elect additional directors, the total number of directors constituting the whole Board of Directors shall, as of the date this Certificate of Incorporation becomes effective, be seven and, thereafter, shall be determined from time to time exclusively by resolution adopted by the Board of Directors.
(C) Election of Directors.
(1)The Until the 2028 annual meeting of stockholders, the directors shall be divided into three classes, designated Class I, Class II and Class III. Each class shall consist, as nearly as may be practicable, of one-third of the total number of directors constituting the entire Board of Directors. Each director elected at the 2023, 2024 and 2025 annual meetings of stockholders shall serve for a term ending on the date of the third annual meeting of stockholders next following the annual meeting at which such director was elected; provided that directors initially designated as Class I directors shall serve for a term ending on the date of the 2022 annual meeting, directors initially designated as Class II directors shall serve for a term ending on the 2023 annual meeting, and directors initially designated as Class III directors shall serve for a term ending on the date of the 2024 annual meeting. Each director elected at the 2026 annual meeting of stockholders shall be elected for a one-year term expiring at the 2027 annual meeting of stockholders. Each director elected at the 2027 annual meeting of stockholders shall be elected for a one-year term expiring at the 2028 annual meeting of stockholders. At the 2028 annual meeting of stockholders and each annual meeting of stockholders thereafter, all directors shall be elected for a one-year term expiring at the next annual meeting of stockholders. Notwithstanding the foregoing, any such director shall hold office until the annual meeting of stockholders at which his or her term expires and until his or her successor shall be elected and qualified, or his or her earlier death, resignation, retirement, disqualification or removal from office. At each annual meeting of stockholders commencing with the 2022 annual meeting, the directors of the class to be elected at each annual meeting shall be elected for a three-year term. The Board of Directors is authorized to assign members of the Board of Directors already in office to their respective class. In the event of any change in the number of directors, the Board of Directors shall apportion any newly created directorships among, or reduce the number of directorships in, such class or classes as shall equalize, as nearly as possible, the number of directors in each class. In no event will a decrease in the number of directors shorten the term of any incumbent director.
(2) The directors shall initially be classified as follows:
Name
Class I
Avi Zeevi
Scott H. Galit
Class II
Rich Williams
Hans (John) Morris
Amir Goldman
Class III
Heather Tookes
Christopher (Woody) Marshall
(32) There shall be no cumulative voting in the election of directors. Election of directors need not be by written ballot unless the Bylaws so provide.
B-1
[MISSING IMAGE: lg_payoneerftr-4c.jpg]
 | 2025 Proxy Statement

TABLE OF CONTENTS
 
(D) Vacancies. Subject to the rights granted to the holders of any one or more series of Preferred Stock then outstanding, vacancies on the Board of Directors resulting from death, resignation, removal or otherwise and newly created directorships resulting from any increase in the number of directors shall, except as otherwise required by law, be filled solely by a majority of the directors then in office (other than directors elected by the holders of any series of Preferred Stock, voting separately as a series or together with one or more series, as the case may be), although less than a quorum, or by the sole remaining director. Each Any director so elected appointed to fill a vacancy or newly created directorship shall hold office for a term that shall coincide with the until the expiration of the term of office of the Class to which such director shall have been whom he or she has replaced and until his or her successor is elected, and qualified or until his or her earlier death, resignation, retirement, disqualification or removal.
(E) Removal. No director (other than the directors elected by the Subject to the rights of the holders of any series of Preferred Stock, voting separately as a series or together with one or more other such series, as the case may be)(i) prior to the 2028 annual meeting of stockholders, directors may be removed from office by the stockholders exceptonly for cause with by the affirmative vote of the holders of not less than a majority of the total voting power of all outstanding shares of Company Stock securities of the Corporation generally entitled to vote in the election of directors, voting together as a single class and (ii) after the 2028 annual meeting, directors may be removed from office by the stockholders, with or without cause, by the affirmative vote of the holders of not less than a majority of the total voting power of all outstanding securities of the Corporation generally entitled to vote in the election of directors, voting together as a single class.
ByLaws Amendments
ARTICLE 2
MEETINGS OF STOCKHOLDERS
Section 2.06. Voting. (a) Unless otherwise provided in the Certificate of Incorporation and subject to Delaware Law, each stockholder shall be entitled to one vote for each outstanding share of capital stock of the Corporation held by such stockholder. Any share of capital stock of the Corporation held by the Corporation shall have no voting rights except as permitted by law. Except as otherwise required by law, the Certificate of Incorporation or these Bylaws, in all matters other than the election of directors, the affirmative vote of the holders of a majority of the votes cast at the meeting on the subject matter shall be the act of the stockholders. Abstentions and broker non-votes shall not be counted as votes cast. Subject to the rights of the holders of any class or series of preferred stock to elect additional directors under specific circumstances, as may be set forth in the certificate of designations for such class or series of preferred stock, directors shall be elected by a plurality of the votes of the shares of capital stock of the Corporation present in person or represented by proxy at the meeting and entitled to vote on the election of directors. majority of the votes cast, provided that if, as of the tenth day preceding the date the Corporation first mails its notice of meeting for such meeting to the stockholders of the Corporation, the number of nominees exceeds the number of directors to be elected (a “Contested Election”), the directors shall be elected by the vote of a plurality of the votes cast. For purposes of this Section 2.06, a majority of votes cast shall mean that the number of votes cast “for” a director’s election exceeds the number of votes cast “against” that director’s election (with “abstentions” and “broker nonvotes” not counted as a vote cast either “for” or “against” that director’s election).
ARTICLE 3
DIRECTORS
Section 3.02. Number, Election and Term of Office. The Board of Directors shall consist of not less than seven nor more than ten directors, with the exact number of directors to be determined from time to time solely by resolution adopted by the affirmative vote of a majority of the Board. As set forth in Article 6 of the Certificate of Incorporation, the directors shall be divided into three classes, designated Class I, Class II and Class III. Each class shall consist, as nearly as may be practicable, of one-third of the total number of directors constituting the entire Board of Directors. Except as otherwise provided in the Certificate of Incorporation, each director shall serve for a term ending on the date of the third first annual meeting of stockholders next following the annual meeting at which
[MISSING IMAGE: lg_payoneerftr-4c.jpg]
 | 2025 Proxy Statement
B-2

TABLE OF CONTENTS
 
such director was elected. Notwithstanding the foregoing, each director shall hold office until such director’s successor shall have been duly elected and qualified or until such director’s earlier death, resignation or removal from office. Directors need not be stockholders.
B-3
[MISSING IMAGE: lg_payoneerftr-4c.jpg]
 | 2025 Proxy Statement

TABLE OF CONTENTS
 
Annex C
Certificate of Incorporation Amendments
ARTICLE 5.
BYLAWS
The Board of Directors shall have the power to adopt, amend or repeal the bylaws of the Corporation (the “Bylaws”). The stockholders may adopt, amend or repeal the Bylaws only with the affirmative vote of the holders of not less than 66 2/3%a majority of the voting power of all outstanding Company Stock securities of the Corporation generally entitled to vote in the election of directors, voting together as a single class.
ARTICLE 9.
AMENDMENTS
The Corporation reserves the right to amend this Certificate of Incorporation in any manner permitted by Delaware Law and all rights and powers conferred upon stockholders, directors and officers herein are granted subject to this reservation. Notwithstanding the foregoing, the provisions set forth in Articles 4(B), 4(C) 5, 6, 7 and this Article 9 may not be repealed or amended in any respect, and no other provision may be adopted, amended or repealed which would have the effect of modifying or permitting the circumvention of the provisions set forth in any of Articles 4(B), 4(C), 5, 6, 7 or this Article 9, unless, in addition to any vote required by Delaware Law, such action is approved by the affirmative vote of the holders of not less than 66 2/3% of the total voting power of all outstanding securities of the Corporation generally entitled to vote in the election of directors, voting together as a single class.
ByLaws Amendments
ARTICLE 7
GENERAL PROVISIONS
Section 7.06. Amendments. These Bylaws or any of them, may be altered, amended or repealed, or new Bylaws may be made, by the stockholders entitled to vote thereon at any annual or special meeting thereof or by the Board of Directors. Unless a higher percentage is required by the Certificate of Incorporation as to any matter that is the subject of these Bylaws, all such amendments must be approved by the affirmative vote of the holders of not less than 66 2/3%a majority of the total voting power of all outstanding securities of the Corporation, generally entitled to vote in the election of directors, voting together as a single class, or by a majority of the Board of Directors.
[MISSING IMAGE: lg_payoneerftr-4c.jpg]
 | 2025 Proxy Statement
C-1

TABLE OF CONTENTS
[MISSING IMAGE: px_25payoneerpy01pg01-bw.jpg]
SCAN TOVIEW MATERIALS & VOTE wPAYONEER GLOBAL INC.195 BROADWAY, 27TH FLOORNEW YORK, NY 10007VOTE BY INTERNETBefore The Meeting - Go to www.proxyvote.com or scan the QR Barcode aboveUse the Internet to transmit your voting instructions and for electronic delivery of informationup until 11:59 P.M. Eastern Time on June 9, 2025. Have your proxy card in hand when youaccess the web site and follow the instructions to obtain your records and to create anelectronic voting instruction form.During The Meeting - Go to www.virtualshareholdermeeting.com/PAYO2025You may attend the meeting via the Internet and vote during the meeting. Have the informationthat is printed in the box marked by the arrow available and follow the instructions.VOTE BY PHONE - 1-800-690-6903Use any touch-tone telephone to transmit your voting instructions up until 11:59 P.M.Eastern Time on June 9, 2025. Have your proxy card in hand when you call and then followthe instructions.VOTE BY MAILMark, sign and date your proxy card and return it in the postage-paid envelope we haveprovided or return it to Vote Processing, c/o Broadridge, 51 Mercedes Way, Edgewood,NY 11717. Your proxy card must be received by 11:59 P.M. Eastern Time on June 9, 2025. TO VOTE, MARK BLOCKS BELOW IN BLUE OR BLACK INK AS FOLLOWS:KEEP THIS PORTION FOR YOUR RECORDSTHIS PROXY CARD IS VALID ONLY WHEN SIGNED AND DATED. DETACH AND RETURN THIS PORTION ONLYV71229-P25583 PAYONEER GLOBAL INC.The Board of Directors recommends you vote FOR all thenominees listed. ForAllWithholdAllFor AllExceptFor Against Abstain! ! !! ! !! ! !! ! !To withhold authority to vote for any individualnominee(s), mark "For All Except" and write thenumber(s) of the nominee(s) on the line below. 1. Election of Directors Nominees:01) Barak Eilam02) Rich WilliamsThe Board of Directors recommends you vote FOR Proposals 2, 3, 4 and 5. 2. Ratification of the appointment of Kesselman & Kesselman, a member firm of PricewaterhouseCoopers International Limited, as the independentregistered public accounting firm for the fiscal year ending December 31, 2025.4. Approval of amendments to the Certificate of Incorporation to phase out the classification of the Board and provide for the annual election of directors.5. Approval of amendments to the Certificate of Incorporation to eliminate supermajority voting requirements.3. Non-binding advisory vote to approve named executive officer compensation. NOTE: The proxy holders will vote in their discretion on such other business as may properly come before the meeting or any adjournment or postponementthereof.You may attend the meeting and vote during the meeting when the polls are open via the Internet. We recommend, however, that you vote before the meetingeven if you plan to participate in the meeting. When voting, have the information that is printed in the box marked by the arrow and follow instructions. NOTE: Please sign as name(s) appear(s) hereon. Joint owners should each sign. When signingas attorney, executor, administrator, trustee or guardian, please give full title as such. Jointowners should each sign personally. All holders must sign. If a corporation or partnership,please sign in full corporate or partnership name by authorized officer. Signature [PLEASE SIGN WITHIN BOX] Date Signature (Joint Owners) Date

TABLE OF CONTENTS
[MISSING IMAGE: px_25payoneerpy01pg02-bw.jpg]
Important Notice Regarding the Availability of Proxy Materials for the Annual Meeting:The Notice and Proxy Statement and Annual Report are available at www.proxyvote.com. V71230-P25583 PAYONEER GLOBAL INC.ANNUAL MEETING OF STOCKHOLDERSJune 10, 2025, 8.00 A.M. EASTERN TIMETHIS PROXY IS SOLICITED ON BEHALF OF THE BOARD OF DIRECTORSOF PAYONEER GLOBAL INC. The undersigned hereby appoints John Caplan and Beatrice (Bea) Ordonez (the “Proxies”), and each of them, with power to act without the other and with power of substitution, as proxies and attorneys-in-fact and hereby authorizes them to represent and vote, as provided on the other side, all the shares of Common Stock of Payoneer Global Inc. (the “Company”) which the undersigned is entitled to vote and, in their discretion, to vote upon such other business as may properly come before the Annual Meeting of Stockholders of the Company to be held June 10, 2025 at 8.00 am ET or any adjournment thereof, with all powers which the undersigned would possess if present at the meeting. THIS PROXY CARD, WHEN PROPERLY EXECUTED, WILL BE VOTED IN THE MANNER DIRECTED HEREIN BY THE UNDERSIGNED. IF NO DIRECTION IS MADE BUT THE CARD IS SIGNED, THIS PROXY CARD WILL BE VOTED FOR THE ELECTION OF ALL NOMINEES UNDER PROPOSAL 1, AND FOR PROPOSALS 2, 3, 4 AND 5, AND IN THE DISCRETION OF THE PROXIES WITH RESPECT TO SUCH OTHER BUSINESS AS MAY PROPERLY COME BEFORE THE MEETING.(Continued and to be marked, dated and signed, on the other side)

DEF 14A 0001845815 false 0001845815 2024-01-01 2024-12-31 0001845815 payo:CaplanMember 2024-01-01 2024-12-31 0001845815 payo:MessrsGalitMember 2023-01-01 2023-12-31 0001845815 payo:CaplanMember 2023-01-01 2023-12-31 0001845815 2023-01-01 2023-12-31 0001845815 payo:MessrsGalitMember 2022-01-01 2022-12-31 0001845815 payo:CaplanMember 2022-01-01 2022-12-31 0001845815 2022-01-01 2022-12-31 0001845815 payo:MessrsGalitMember 2021-01-01 2021-12-31 0001845815 2021-01-01 2021-12-31 0001845815 ecd:EqtyAwrdsInSummryCompstnTblForAplblYrMember ecd:PeoMember payo:CaplanMember 2024-01-01 2024-12-31 0001845815 ecd:EqtyAwrdsAdjsExclgValRprtdInSummryCompstnTblMember ecd:PeoMember payo:CaplanMember 2024-01-01 2024-12-31 0001845815 ecd:AggtChngPnsnValInSummryCompstnTblForAplblYrMember ecd:PeoMember payo:CaplanMember 2024-01-01 2024-12-31 0001845815 ecd:YrEndFrValOfEqtyAwrdsGrntdInCvrdYrOutsdngAndUnvstdMember ecd:PeoMember payo:CaplanMember 2024-01-01 2024-12-31 0001845815 ecd:ChngInFrValOfOutsdngAndUnvstdEqtyAwrdsGrntdInPrrYrsMember ecd:PeoMember payo:CaplanMember 2024-01-01 2024-12-31 0001845815 ecd:VstngDtFrValOfEqtyAwrdsGrntdAndVstdInCvrdYrMember ecd:PeoMember payo:CaplanMember 2024-01-01 2024-12-31 0001845815 ecd:ChngInFrValAsOfVstngDtOfPrrYrEqtyAwrdsVstdInCvrdYrMember ecd:PeoMember payo:CaplanMember 2024-01-01 2024-12-31 0001845815 ecd:FrValAsOfPrrYrEndOfEqtyAwrdsGrntdInPrrYrsFldVstngCondsDrngCvrdYrMember ecd:PeoMember payo:CaplanMember 2024-01-01 2024-12-31 0001845815 ecd:DvddsOrOthrErngsPdOnEqtyAwrdsNtOthrwsRflctdInTtlCompForCvrdYrMember ecd:PeoMember payo:CaplanMember 2024-01-01 2024-12-31 0001845815 ecd:EqtyAwrdsInSummryCompstnTblForAplblYrMember ecd:NonPeoNeoMember 2024-01-01 2024-12-31 0001845815 ecd:EqtyAwrdsAdjsExclgValRprtdInSummryCompstnTblMember ecd:NonPeoNeoMember 2024-01-01 2024-12-31 0001845815 ecd:AggtChngPnsnValInSummryCompstnTblForAplblYrMember ecd:NonPeoNeoMember 2024-01-01 2024-12-31 0001845815 ecd:YrEndFrValOfEqtyAwrdsGrntdInCvrdYrOutsdngAndUnvstdMember ecd:NonPeoNeoMember 2024-01-01 2024-12-31 0001845815 ecd:ChngInFrValOfOutsdngAndUnvstdEqtyAwrdsGrntdInPrrYrsMember ecd:NonPeoNeoMember 2024-01-01 2024-12-31 0001845815 ecd:VstngDtFrValOfEqtyAwrdsGrntdAndVstdInCvrdYrMember ecd:NonPeoNeoMember 2024-01-01 2024-12-31 0001845815 ecd:ChngInFrValAsOfVstngDtOfPrrYrEqtyAwrdsVstdInCvrdYrMember ecd:NonPeoNeoMember 2024-01-01 2024-12-31 0001845815 ecd:FrValAsOfPrrYrEndOfEqtyAwrdsGrntdInPrrYrsFldVstngCondsDrngCvrdYrMember ecd:NonPeoNeoMember 2024-01-01 2024-12-31 0001845815 ecd:DvddsOrOthrErngsPdOnEqtyAwrdsNtOthrwsRflctdInTtlCompForCvrdYrMember ecd:NonPeoNeoMember 2024-01-01 2024-12-31 0001845815 1 2024-01-01 2024-12-31 0001845815 2 2024-01-01 2024-12-31 0001845815 3 2024-01-01 2024-12-31 iso4217:USD