Please wait

 

 

UNITED STATES

SECURITIES AND EXCHANGE COMMISSION

Washington, D.C. 20549

 

 

SCHEDULE 14A

PROXY STATEMENT PURSUANT TO SECTION 14(a) OF THE

SECURITIES EXCHANGE ACT OF 1934

 

 

Filed by the Registrant  ☒

Filed by a Party other than the Registrant  ☐

Check the appropriate box:

 

Preliminary Proxy Statement

 

Confidential, for Use of the Commission Only (as permitted by Rule 14a-6(e)(2))

 

Definitive Proxy Statement

 

Definitive Additional Materials

 

Soliciting Material Pursuant to §240.14a-12

Telesis Bio Inc.

(Name of Registrant as Specified In Its Charter)

Payment of Filing Fee (Check all boxes that apply):

 

No fee required.

 

Fee paid previously with preliminary materials.

 

Fee computed on table in exhibit required by Item 25(b) per Exchange Act Rules 14a-6(i)(1) and 0-11

 

 

 


LOGO

P.O. BOX 8016, CARY, NC 27512-9903 Telesis Bio Inc. Important Notice Regarding the Availability of Proxy Materials Stockholders Meeting to be held on July 6, 2023 For Stockholders of record as of May 12, 2023 This communication presents only an overview of the more complete proxy materials that are available to you on the Internet. This is not a ballot. You cannot use this notice to vote your shares. We encourage you to access and review all of the important information contained in the proxy materials before voting. To view the proxy materials, and to obtain directions to attend the meeting, go to: www.proxydocs.com/TBIO To vote your proxy while visiting this site, you will need the 12 digit control number in the box below. Under United States Securities and Exchange Commission rules, proxy materials do not have to be delivered in paper. Proxy materials can be distributed by making them available on the internet. For a convenient way to view proxy materials and VOTE go to www.proxydocs.com/TBIO Have the 12 digit control number located in the shaded box above available when you access the website and follow the instructions. If you want to receive a paper or e-mail copy of the proxy material, you must request one. There is no charge to you for requesting a copy. In order to receive a paper package in time for this year's meeting, you must make this request on or before June 26, 2023. To order paper materials, use one of the following methods. INTERNET www.investorelections.com/TBIO TELEPHONE (866) 648-8133 * E-MAIL paper@investorelections.com When requesting via the Internet or telephone you will need the 12 digit control number located in the shaded box above. * If requesting material by e-mail, please send a blank e-mail with the 12 digit control number (located above) in the subject line. No other requests, instructions OR other inquiries should be included with your e-mail requesting material. Telesis Bio Inc. Meeting Type: Date: Time: Place: Annual Meeting of Stockholders Thursday, July 6, 2023 8:00 AM, Pacific Time Annual Meeting to be held live via the Internet - please visit www.proxydocs.com/TBIO for more details. You must register to attend the meeting online and/or participate at www.proxydocs.com/TBIO SEE REVERSE FOR FULL AGENDA


LOGO

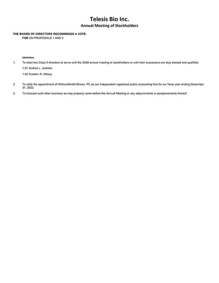
Telesis Bio Inc. Annual Meeting of Stockholders THE BOARD OF DIRECTORS RECOMMENDS A VOTE: FOR ON PROPOSALS 1 AND 2 PROPOSAL 1. To elect two Class II directors to serve until the 2026 annual meeting of stockholders or until their successors are duly elected and qualified. 1.01 Andrea L. Jackson 1.02 Franklin R. Witney 2. To ratify the appointment of WithumSmith+Brown, PC as our independent registered public accounting firm for our fiscal year ending December 31, 2023. 3. To transact such other business as may properly come before the Annual Meeting or any adjournments or postponements thereof.