UNITED STATES
SECURITIES AND EXCHANGE COMMISSION
Washington, D.C. 20549
FORM
For the fiscal year ended
OR
For the transition period from ___ to ___
Commission file number
(Exact name of registrant as specified in its charter)
| (State or other jurisdiction of incorporation or organization) | (I.R.S. Employer Identification No.) |
| (Address of principal executive offices) | (Zip Code) |
Registrant’s telephone number, including
area code:
Securities registered pursuant to Section 12(b) of the Act:
| Title of each class | Trading symbol(s) | Name of each exchange on which registered | ||
| The (The Nasdaq Capital Market) |
Securities registered pursuant to Section 12(g) of the Act: None
Indicate by check mark if the registrant is
a well-known seasoned issuer, as defined in Rule 405 of the Securities Act. Yes☐
Indicate by check mark if the registrant is
not required to file reports pursuant to Section 13 or Section 15(d) of the Act. Yes☐
Indicate by check mark whether the registrant (1) has filed all reports required to be filed by Section 13 or 15(d) of the Securities Exchange Act of 1934 during the preceding 12 months (or for such shorter period that the registrant was required to file such reports), and (2) has been subject to such filing requirements for the past 90 days.
Indicate by check mark whether the registrant has submitted electronically every Interactive Data File required to be submitted pursuant to Rule 405 of Regulation S-T (§232.405 of this chapter) during the preceding 12 months (or for such shorter period that the registrant was required to submit such files).
1
Indicate by check mark whether the registrant is a large accelerated filer, an accelerated filer, a non-accelerated filer, a smaller reporting company or an emerging growth company. See the definitions of “large accelerated filer,” “accelerated filer”, “smaller reporting company” and “emerging growth company” in Rule 12b-2 of the Exchange Act:
| Large accelerated filer | ☐ | Accelerated filer | ☐ |
| ☒ | Smaller reporting company | ||
| Emerging growth company |
If an emerging growth company, indicate by
check mark if the registrant has elected not to use the extended transition period for complying with any new or revised financial
accounting standards provided pursuant to Section 13(a) of the Exchange Act.
Indicate by check mark whether the registrant has filed a report on and attestation to its management’s assessment of the effectiveness of its internal control over financial reporting under Section 404(b) of the Sarbanes-Oxley Act (15 U.S.C. 7262(b)) by the registered public accounting firm that prepared or issued its audit report. ☐
If securities are registered pursuant to Section 12(b) of the Act, indicate by check mark whether the financial statements of the registrant included in the filing reflect the correction of an error to previously issued financial statements. ☐
Indicate by check mark whether any of those error corrections are restatements that required a recovery analysis of incentive-based compensation received by any of the registrant’s executive officers during the relevant recovery period pursuant to §240.10D-1(b). ☐
Indicate by check mark whether the registrant
is a shell company (as defined in Rule 12b-2 of the Exchange Act). Yes☐
The aggregate market value of the voting and
non-voting common equity held by non-affiliates of the registrant, based on the closing price of a share of the registrant’s
common stock on August 12, 2022, as reported by the Nasdaq Capital Market on such date was approximately $
As of March 24, 2023, there were shares of Common Stock, $0.001 par value per share, outstanding.
DOCUMENTS INCORPORATED BY REFERENCE: None
2
FORZA X1, INC.
TABLE OF CONTENTS
3
FORWARD-LOOKING STATEMENTS
This Annual Report on Form 10-K contains forward-looking statements within the meaning of Section 27A of the Securities Act of 1933, as amended (the “Securities Act”), and Section 21E of the Securities Exchange Act of 1934, as amended (the “Exchange Act”). All statements, other than statements of historical facts, contained in this Annual Report on Form 10-K, including statements regarding our strategy, future operations, future financial position, future revenues, projected costs, plans and objectives of management, are forward-looking statements. The words “anticipate,” “believe,” “estimate,” “expect,” “intend,” “may,” “plan,” “predict,” “project,” “target,” “potential,” “will,” “would,” “could,” “should,” “continue” and similar expressions are intended to identify forward-looking statements, although not all forward-looking statements contain these identifying words.
The forward-looking statements contained in this Annual Report on Form 10-K are based on assumptions that we have made in light of our industry experience and our perceptions of historical trends, current conditions, expected future developments, and other factors we believe are appropriate under the circumstances. As you read and consider this Annual Report on Form 10-K, you should understand that these statements are not guarantees of performance or results. They involve risks, uncertainties (many of which are beyond our control), and assumptions. Although we believe that these forward-looking statements are based on reasonable assumptions, you should be aware that many factors could affect our actual operating and financial performance and cause our performance to differ materially from the performance anticipated in the forward-looking statements. We believe these factors include, but are not limited to, those described under “Risk Factors” and “Management’s Discussion and Analysis of Financial Condition and Results of Operations.” Should one or more of these risks or uncertainties materialize, or should any of these assumptions prove incorrect, our actual operating and financial performance may vary in material respects from the performance projected in these forward-looking statements. Therefore, actual results may differ materially and adversely from those expressed in any forward-looking statements.
As a result of these and other factors, we may not actually achieve the plans, intentions or expectations disclosed in our forward-looking statements, and you should not place undue reliance on our forward-looking statements. We do not assume any obligation to update any forward-looking statements, whether as a result of new information, future events or otherwise, except as required by law.
NOTE REGARDING COMPANY REFERENCES
Throughout this Annual Report on Form 10-K (the “Annual Report on Form 10-K”), “Forza,” “Forza X1,” “the Company,” “we” and “our” refer to Forza X1, Inc.
4
Summary Risk Factors
The following is a summary of the key risks relating to the Company. A more detailed description of each of these risks can be found below in Part II—Item 1A. “Risk Factors.”
Risks Related To Our Business
| ● | We are a start-up entity and expect to incur significant expenses and continuing losses for the foreseeable future. | |
| ● | Our independent registered public accounting firm has expressed concern about our ability to continue as a going concern | |
| ● | Our limited operating history makes it difficult for us to evaluate our future business. | |
| ● | Our planned fully electric sport boat has not yet been developed, and even if developed, an interest in it may not develop. | |
| ● | Our distribution model is different from the predominant current distribution model for boat manufacturers, which subjects us to substantial risk and makes evaluating our business, financial condition, results of operations, and cash flows difficult. | |
| ● | Our ability to generate meaningful product revenue will depend on consumer adoption of electric boats. | |
| ● | We may be unable to adequately control the capital expenditures and costs associated with our business and operations. | |
| ● | We may not be able to commence production of our electric boats as planned. | |
| ● | We may not receive anticipated grant funding. | |
| ● | We could experience cost increases or supply disruptions. | |
| ● | We depend upon third parties to manufacture and to supply key semiconductor chip components necessary for our boats, with whom we do not have long-term agreements, and if they become unwilling or unable to provide an adequate supply of semiconductor chips, our business would be adversely impacted. | |
| ● | Our ability to meet our manufacturing workforce needs is crucial to our results of operations and future sales and profitability. | |
| ● | We have a large fixed cost base that will affect our profitability if our sales decrease. | |
| ● | A significant number of our shares of outstanding common stock is currently owned by a single stockholder, and it may therefore be able to substantially control our management and affairs. | |
| ● | Our management overlaps substantially with the management and beneficial owners of our principal stockholder, which may give rise to potential conflicts of interest. | |
| ● | Our annual and quarterly financial results are subject to significant fluctuations. | |
| ● | Unfavorable weather conditions may have a material adverse effect on our business, financial condition, and results of operations, especially during the peak boating season. | |
| ● | A natural disaster, the effects of climate change, or disruptions at our manufacturing facility could adversely affect our business, financial condition and results of operations. | |
| ● | If we fail to manage our manufacturing levels our business and margins may suffer. | |
| ● | We will rely on third-party suppliers to provide components and raw materials essential to the construction of our boats. | |
| ● | Termination or interruption of informal supply arrangements could have a material adverse effect on our business or results of operations. | |
| ● | Product liability, warranty, personal injury, property damage and recall claims may materially affect our financial condition and damage our reputation. | |
| ● | Our boats will use lithium-ion battery cells, which, if not appropriately managed and controlled, have been observed to catch fire or vent smoke and flame. | |
| ● | Product warranty claims or product recalls could have a material adverse impact on our results of operations. | |
| ● | The nature of our business exposes us to workers’ compensation claims and other workplace liabilities. | |
| ● | If we are unable to comply with environmental and other regulatory requirements, our business may be exposed to material liability and/or fines. | |
| ● | The electronic vehicle (EV) industry and its technology are rapidly evolving and may be subject to unforeseen changes. | |
| ● | Our sales and profitability depend, in part, on the successful introduction of new products. | |
| ● | Our success depends upon the continued strength of our brand, the value of our brand, and sales of our products could be diminished as a result of negative publicity. | |
| ● | Our passion and focus on delivering a high-quality and engaging Forza X1 experience may not maximize short-term financial results. | |
| ● | Extended periods of low petroleum-based fuel prices could adversely affect demand for our boats. | |
| ● | We will rely on complex machinery for our operations, and production involves a significant degree of risk and uncertainty in terms of operational performance, safety, security, and costs. | |
| ● | If our boats fail to perform as expected, our business could be harmed. | |
| ● | Our boats will rely on software and hardware that is highly technical. | |
| ● | We have no experience servicing our boats. |
5
| ● | We may not be able to execute our manufacturing strategy successfully. | |
| ● | We may need to raise additional capital that may be required to grow our business. | |
| ● | If we fail to manage future growth effectively, we may not be able to market or sell our products successfully. | |
| ● | We depend upon our executive officers and we may not be able to retain them. | |
| ● | We may attempt to grow our business through acquisitions or strategic alliances and new partnerships. | |
| ● | We rely on network and information systems and other technologies for our business activities and certain events. | |
| ● | Uninsured losses could result in payment of substantial damages. | |
| Intellectual Property Risks | ||
| ● | Our patent applications may not issue as patents, which may have a material adverse effect on our ability to prevent others from commercially exploiting products similar to ours. | |
| ● | We may not be able to prevent others from unauthorized use of our intellectual property. | |
| ● | If our patents expire or are not maintained, our patent applications are not granted or our patent rights are contested, circumvented, invalidated or limited in scope, we may not be able to prevent others from selling, developing or exploiting competing technologies or products. | |
| ● | We may in the future become subject to claims that we or our employees have wrongfully used or disclosed alleged trade secrets of our employees’ former employers. | |
| ● | Our use of open source software in our applications could subject our proprietary software to general release. | |
| ● | A significant portion of our intellectual property is not protected through patents or formal copyright registration. | |
| ● | Confidentiality agreements with employees may not adequately prevent disclosure of trade secrets. | |
| ● | We may need to defend ourselves against patent, copyright or trademark infringement claims. | |
| Risks Related To Our Industry | ||
| ● | Demand in the powerboat industry is highly volatile. | |
| ● | Our industry is characterized by intense competition, which affects our sales and profits. | |
| ● | General economic conditions, particularly in the U.S., affect our industry, demand for our products and our business, and results of operations. | |
| ● | Global economic conditions could materially adversely impact demand for our products and services. | |
| ● | Our sales may be adversely impacted by increased consumer preference for other activities or other boats. | |
| ● | Terms of subsequent financings may adversely impact your investment. | |
| ● | If securities analysts do not publish research or reports about our company, or if they issue unfavorable commentary about us or our industry, the price of our common stock could decline. | |
| ● | The obligations associated with being a public company will require significant resources. | |
| ● | We do not yet have adequate internal controls. | |
| ● | Our failure to achieve and maintain effective internal control over financial reporting in accordance with Section 404 of the Sarbanes-Oxley Act could have a material adverse effect on our business and share price. | |
| ● | For as long as we are an emerging growth company, we will not be required to comply with certain reporting requirements. | |
| Risks Relating to Ownership Of Our Common Stock | ||
| ● | Our common stock price may be volatile or may decline regardless of our operating performance and you may not be able to resell your shares at or above the price you paid for your common stock. | |
| ● | We do not intend to pay dividends on our common stock for the foreseeable future. | |
| ● | FINRA sales practice requirements may limit your ability to buy and sell our common shares. | |
| ● | Volatility in our common shares price may subject us to securities litigation. | |
| ● | Provisions in our corporate charter documents and under Delaware law could make an acquisition of our company more difficult. | |
| ● | Our amended and restated certificate of incorporation provides that the Delaware Court of Chancery will be the exclusive forum for certain types of state actions that may be initiated by our stockholders. |
6
PART I
Item 1. Business.
About Forza X1
Our mission is to inspire the adoption of sustainable recreational boating by producing stylish electric sport boats. We are focused on the creation, implementation and sale of electric boats utilizing our electric vehicle (“EV”) technology to control and power our boats and proprietary outboard electric motor. Our electric boats are being designed as fully integrated electric boats including the hull, outboard motor and control system.
The three main components of our electric boats are: (1) the fiberglass part of the boat, (2) the motor that propels the boat and (3) the control system. To date, we have completed the design of two electric boat models and have completed tooling the molds which are required to build the physical fiberglass boat. To date, we have completed the design and prototyping of the electric outboard motor that will be used as the initial propulsion source for all electric models. We have also completed the design and prototyping and have begun testing the boats’ integrated control system. We have also entered into a supply agreement for the supply of the lithium battery packs that we plan to use to power the electric boats. We expect to begin production of our two FX1 electric boats and commence selling to end user customers by the end of 2023.
We believe that the boating industry will follow in the footsteps of the electrification of the automotive industry by creating electric boats that meet or exceed the traditional boating consumer’s expectations of price, value and run times. In other words, electric boats must offer a similar experience when compared to traditional gas-powered boat in terms of size, capability and price point.
We were initially a wholly owned subsidiary of Twin Vee PowerCats Co. (“Twin Vee”). Prior to our incorporation on October 15, 2021, we operated as the Electra Power Sports™ Division of Twin Vee. Following the Twin Vee initial public offering that closed on July 23, 2021 (the “Twin Vee IPO”), Twin Vee determined in October 2021 that for several reasons that include, but are not limited to, avoiding confusion in the marketplace between its legacy Twin Vee gas-powered line of boats, that the company would market its new independent line of electric boats under a new brand name (and new subsidiary) separate and apart from Twin Vee. Twin Vee and Forza X1 brands are unique in their own way, including (i) the profile of the targeted Forza X1 customer who is environmentally conscious and would purchase an electric boat versus gas-powered model, (ii) the marketing and sales strategy of each company, and (iii) Twin Vee’s use of a third-party dealer network whereas Forza X1 plans on implementing a digital direct to consumer model. In addition, electric powered boats will require a specific and unique level of training and knowledge for supporting and servicing the technical and warranty claims that might arise. The service and support of gas and electric powered boats are very different, and it became clear to us that Forza required its own unique brand. As a result, on October 15, 2021, we were incorporated as a wholly owned subsidiary of Twin Vee and Twin Vee transferred the entirety of its electric boat business to us pursuant to an assignment of assets agreement and other agreements. Our majority shareholder, Twin Vee, developed and tested the Twin Vee 280 Electric – 2.0 Prototype, which was a Twin Vee 28-foot gas-powered catamaran boat retrofitted with an electric propulsion system. After the successful sea trial of the Twin Vee 280 Electric – 2.0 Prototype in November 2021, Twin Vee decided to develop a new multi-hull, catamaran design for its electric boats and not seek to retrofit an electric propulsion system into a boat originally designed for a gas-engine.
Originally, Twin Vee anticipated it would use the same factory and many of the same employees to manufacture both its gas-powered boats and its electric boats. Twin Vee also initially anticipated that its electric boats would be similar to the initial prototype, a retrofitted Twin Vee catamaran boat with an electric motor added to the boat. However, after the test run of the initial prototype and Twin Vee’s reassessment of the market demand, Twin Vee determined that the electric boat should be a newly designed boat with an integrated electric motor, as opposed to a retrofitted Twin Vee boat with an electric motor added to the boat, making it less cost effective to use the current Twin Vee factory for its electric boat manufacturing. In addition, with the increase in Twin Vee’s production since the Twin Vee IPO from one gas-powered boat per week, to an average of 4 gas-powered boats per week in 2022, and our view that the demand for fully integrated electric boats has increased significantly since the Twin Vee IPO (which view is based on, among other things, verbal feedback that we have received from boat distributors and potential consumers), there is limited additional manufacturing capacity at Twin Vee’s current facility for the manufacture of the electric boats. Furthermore, it became apparent that a dedicated facility for manufacturing electric boats would be more efficient given that different equipment, design specifications and personnel is required for the production of electric boats compared to gas-powered boats. For example, a cleanroom, which is a controlled environment that has a low level of pollutants such as dust, is required for the manufacture of our electric boats but not for Twin Vee’s gas-powered boats. Therefore, in November 2021 Twin Vee decided to build a second factory for the manufacture of the electric boats and to hire a separate, second set of employees focused solely on manufacturing fully integrated electric boats.
7
Twin Vee also came to believe that the current Twin Vee business model, which primarily includes designing, manufacturing and marketing gas-powered boats that are primarily sold through independent dealers, may not work best for Forza’s business, which includes developing fully integrated environmentally friendly electric boats that will be sold primarily directly to the end user via our proprietary web-based and app platform. As stated above, it was originally anticipated that Twin Vee would retrofit a gas-powered boat with an electric motor that would be designed by Twin Vee and that Twin Vee would also sell the electric motors to other third-party boat manufacturers to retrofit their boats. However, Twin Vee came to realize that consumer preference in the electric marine market was and is trending towards the single purchase of a fully integrated electric boat with a technically advanced control system, electric motor and battery pack system, rather than the purchase of a retrofitted hull configured by replacing a boat’s traditional gas and diesel fuel powered fuel compartments with an advanced control system, electric motor and battery pack. Many companies that manufacture gas-powered boats have not embraced the concept of retrofitting their existing gas and diesel fuel powered boats with electric outboard motors and battery packs given that in many cases electric motors are more expensive than gas-powered motors and are generally viewed as less powerful resulting in a more limited range. Furthermore, retrofitting an electric motor with various other boat manufacturers would require extensive development, testing and manufacturing of multiple variations of electric motors, which are no longer required. As a result, the decision not to design and sell a separate electric motor will, we believe, result in significant cost savings as a separate motor would have required a new custom design for each boat retrofitted with the motor as well as a separate stand-alone sales and marketing team. As a result of the decision to design a new boat with an integrated electric motor, Forza X1 can focus on “integrated and factory installed” electric boats where all of the components of an integrated electric boat (i.e., technically advanced control system, electric motor and battery pack system) are combined under a single, stand-alone brand (and entity) that is manufactured in its own facility, which we and Twin Vee believe will be a more successful strategy than attempting to retrofit former gas-powered boats and sell electric motors. In light of the foregoing and the current valuations for electric technology-based companies, such as Rivian and Lucid, it was determined that financing the new factory and developing, manufacturing and marketing fully integrated electric boats would have the greatest chance of success if Forza X1 were to be a stand-alone, publicly traded company.
First FX1 Models
Forza X1, working with naval architect Albert Nazarov and his company, Albatross Marine Design, have completed the designs of Forza X1’s first boat, the FX1. Unlike the two prototypes developed by Twin Vee, the FX1 model will not be a retrofitted Twin Vee catamaran hull with an electric propulsion system. Instead, the FX1 model is being built based on an entirely new design that will incorporate the same control system as the second prototype.
Our initial two models, the FX1 Dual Console and FX1 Center Console, are being designed to be 25-foot in length, have an 8’ beam or width and utilize a catamaran hull surface to reduce drag and increase run times. To date, we have completed the design of the 25-foot FX dual console model, including hull, deck and small parts. This design has gone from an intellectual concept in CAD to fiberglass and foam plugs, fiberglass molds and, finally, working boat parts in just over one year.
The initial launch of FX1 will include our proprietary single electric outboard motor. Both FX1 models are being designed with advanced high-powered, liquid-cooled lithium battery packs that will be provided by the third party supplier with whom we have entered into a five year supply agreement and a vehicle control unit with proprietary control software all integrated into a 22-inch master control touch screen that will be used to control most functions of the boat.
On October 28, 2022, the running surface of the boat and all major components were tested successfully on the Indian River Lagoon in Fort Pierce, Florida. While the motor and control systems have been successfully trialed previously, this was the first voyage including all major components, production batteries, fully functioning “alpha” engine design, control system - including 22” Garmin screen, and Osmosis telematics unit. The performance of the boat exceeded all expectations and will provide a great baseline for improvements, iterations, and design enhancements. We ultimately reached over thirty miles per hour.
Subsequent to the initial prototype boat, we started four more prototypes: two more FX-style catamarans, one deck boat and one 22-foot center console monohull. These prototypes have been fully built out and were run in March of 2023. The engine design and lower units and the control system cabling have been revamped and improved in each iteration. The monohull will feature a single battery and the deck boat will, like the FX, utilize a two-battery system. The batteries and engines are liquid-cooled and unique improvements to the heat exchanges have improved performance.
We have also filed three design, five utility and two full non-provisional patent applications with the U.S. Patent and Trademark Office relating to, among other things, our propulsion system being developed and boat design.
8
Forza’s Marketing Plans
We plan to market and sell our model offerings in a variety of ways. One way will be to operate in a fundamentally different manner and structure than traditional marine manufacturers and boat dealers by adopting a direct-to-consumer sales model. We are building a dedicated web and app-based platform for sales, deliveries, and service operations to change the traditional boat buying and marine service experience through technological innovation, ease of use, and flexibility. We intend to employ an integrated, digital-first strategy that is convenient and transparent for our customers and efficient and scalable to support our growth. Additionally, to support those looking for a more traditional way of purchasing a boat, or to accompany trade-ins, financing needs, and training, we will also market our boats through a partnership with OneWater Marine, Inc. (“OneWater”), one of the largest dealership networks in the United States. We believe our approach will enable us to provide the best of both worlds to prospective customers and support our mission to electrify recreational boating for mass production.
Forza X1: An All Digital, Direct-to Consumer Platform
We intend to offer our EV products, services and support through a Web-based and mobile phone app that will be vertically integrated and a direct-to-consumer platform. Over the last couple of years, non-contact consumerism has brought shopping and customer service experiences to a new level that will likely remain prevalent long after the COVID-19 pandemic. We intend to create a high quality customer experience that spans the entire life of our products through an online system that is being designed to be comprehensive, seamless, and efficient for a customer experience. For consumers and states that require a physical location we will develop partnerships, similar to the one we have established with One Water.
We plan to utilize a web-based and app platform to connect with customers for an end-to-end experience encompassing everything from buying, financing, delivery, servicing, and training. We have commenced the design of the web-based platform but have not yet commenced design of the app. This customer-centric approach to sales and service aims at simplifying access to necessary information for potential buyers and current owners alike. Customers will be able to communicate directly with us to ensure their questions are answered and their needs are met.
Currently, our web and app-based platform is expected to include the following:
| ● | Build and Price Boats. The web and app platform will offer prospective buyers a place to examine photos and videos of our boats, which will all have a single price based on the model type and a few available options. For example, the consumer would have four gel coat exterior choices, three interior upholstery choices, and an option to increase the battery pack capacity for extended run times. Other options would include charging cords and plugs, boating items such as bumpers, covers, and fun add-ons like clothing, allowing consumers to “personalize” their Forza X1 purchase. | |
| ● | Financing. Prospective customers will be able to apply for third-party consumer financing to complete or supplement their purchase through our web and app platform. | |
| ● | Delivery. Once manufactured, the boat will be delivered directly to a customer’s home, marina, or wherever they choose. The scheduling, communication, and support necessary for coordinating touchless delivery of our Forza X1 boats would all be accomplished over the website or app. |
| ● | Servicing. We intend to offer highly tailored and differentiated services that enable intuitive experiences throughout the entire customer lifecycle, such as warranty, repair, or other service assistance for their boats. We expect this all-inclusive approach will provide higher customer satisfaction, create strong brand loyalty, and increase operational efficiency while simultaneously allowing us to capture a more significant share of the entire lifecycle value of every Forza X1 boat produced. We anticipate having internal staff with the capability to provide an OTA update to resolve the issue remotely without the boat ever leaving the customer’s sight. As part of our customer satisfaction drive, we plan for our staff to make mobile service calls to the boat docks. We also intend to enter into partnering arrangements with third parties to address service needs that require more than a mobile service visit, and we plan to arrange for the boat to be picked up and brought to one of our partnered service centers. If a service center is not available in a customer’s area, for approved warranty repairs we will permit the owners to take their boat to their local service center who will then invoice us. | |
| ● | Customer Service and Feedback. We will utilize customer insights and feedback submitted via our web and app-based platform to improve our offerings by adding new capabilities and functionality. Expanded offerings based on consumer-driven feedback and data is expected to attract more customers, deepen existing customer relationships, and allow us to innovate more quickly. | |
| ● | Training. We intend to provide a series of videos that demonstrate our boats’ safe operation and upkeep. These videos would be accessible on our web and app platform and the boat’s onboard computer for quick access. |
9
With respect to the foregoing, we have not yet: (i) entered into any arrangements with third parties to provide financing services through our web and app platform, or (ii) hired staff for our intended support and service department. We are still in the initial stages of establishing its distribution and service plans. We expect to commence selling to end-user customers by the end of 2023. We are currently in the process of identifying the states we will be allowed to sell direct-to-consumer. For states that have do not allow such an arrangement, we intend to make sales through OneWater’s locations. OneWater will be able to forecast how many FX1 boats they initially require, and after production, we will have the boats transported to the dealerships.
Similarly, we are in the process of identifying potential marine service centers and technicians we would like to form strategic relationships with to ensure that we have a comprehensive service support system in place when our FX1 boats are sold, we will utilize OneWater dealerships and service centers where they are available. We will also work to establish our 500-mile radius mobile service vans and trucks before selling the first Forza X1 product so that local customers will have that option.
The OneWater Agreement
Additionally, to support those looking for a more traditional way of purchasing a boat, or to accompany trade-ins, financing needs, and training, we will also market our boats through a partnership with OneWater, one of the largest dealership networks in the United States. We believe our approach will enable us to provide the best of both worlds to prospective customers and support our mission to electrify recreational boating. On August 17, 2022, we entered into a five-year agreement with OneWater to establish our customer experience and service centers in OneWater’s current and future locations and other strategic locations across the United States pursuant to which OneWater will be the sole dealer distributing our products and OneWater’s retail locations may be used as potential delivery points for customers to pick up our products. We retained the right to sell our products directly to customers. The agreement may be terminated by either party for breach upon thirty days’ notice and without cause upon three months’ notice.
Forza X1 Purpose
According to the Environmental Energy Student Institute, a non-profit organization originally formed by a bipartisan group of members of Congress, fossil fuels, including coal, oil, and natural gas, have been powering economies for over 150 years and currently supply about 80 percent of the world’s energy. When fossil fuels are burned, the stored carbon and other greenhouse gases are released into the atmosphere. The excess buildup of greenhouse gases in the atmosphere has caused dramatic changes to Earth’s climate—a trend that will worsen as more fossil fuels are burned. Further climate changes may cause rises in sea level, extreme weather, biodiversity loss, and species extinction, as well as food scarcity, worsening health, and poverty for millions of people worldwide.
The world’s waterways are also in danger from pollutants caused by gas-powered motors. In the landmark environmental study and book, “Polluting for Pleasure”, author Andre Mele stated that recreational boats, particularly outboards, were polluting as much as all the cars and trucks in America. At the time, Mele discovered that pleasure boats have polluted 80 times more than automobile engines and put more oil into American waters than 15 Exxon Valdez oil spills, annually. The popularity of recreational boating has grown since then.
While headway is being made by the automotive industry introducing more viable EV options to replace traditional automobiles, it is also vital that we look to preserve our waterways while reducing carbon emissions. Large gas-powered engines often leak fuel and produce carbon emissions, both of which are harmful to fragile marine ecosystems. We are a company comprised of people who are passionate to move the preservation and carbon free marine lifestyle forward. According to the Bloomberg NEF’s 2021 Electric Vehicle Outlook, passenger automotive EV sales are set to increase from 3.1 million units in 2020 to 14 million units in 2025.
We aim to manufacture electric boats with a proprietary electric outboard motor that has been designed and integrated with our own control system. The Forza X1 boats are being designed for the production of a combined boat and motor package, along with our control system that we intend to market and sell as a single package. Our Forza X1 boat is intended to work seamlessly and offer families and water recreation enthusiasts an enjoyable time for an affordable price.
Our core market corresponds most directly to those who identify with environmentally friendly vehicles. Electric boats promote environmental sustainability and allow for a much more serene and enjoyable time on the water. The adoption of electric vehicles has increased considerably over the years as they are more environmentally friendly. As per the report by Bloomberg NEF, there are currently 12 million passenger EVs on the road, and the prevalence of electric-powered boats is likely to follow suit. While electric boats only represented about 2% of the market in 2020, a report by IDTechEx shows that the market for hybrid and pure electric boats is expected to rise rapidly to greater than $20 billion worldwide by 2027, finding that recreational boats is the largest and fastest growing electric marine market in sales number.
We plan to disrupt recreational marine customs that rely on outdated processes and noxious engines by designing, engineering and manufacturing inspiring electric boats that operate in a more sustainable and eco-friendly way.
10
240 Electric – Prototype
The first prototype of the electric boat, the 240 Electric, was developed by Twin Vee and publicly announced on December 18, 2020. Wanting to expand its offering to include electric-powered boats, Twin Vee created its Twin Vee Electric division. Twin Vee Electric sought to retrofit a Twin Vee-branded 24-foot center console boat and enable it to run on a bank of lithium-ion batteries. The team worked almost a year designing and developing the first prototype electric boat.
In early May 2021 the first prototype was tested in the Indian River near North Hutchinson Island in Fort Pierce, Florida. The initial prototype failed during testing, resulting in the creation of the second prototype with an improved control system.
280 Electric – 2.0 Prototype
The second prototype, which was a 28-foot Twin Vee retrofitted catamaran was built by Twin Vee with an improved control system, which is the same control system that we intend to install in the electric boats that we are currently designing for mass production.
The 280E electric boat consists of two (2) in-board motors with a comprehensive system of control device, display, two lever throttle, touchscreen display, an all-new 86KWH Battery pack, IDU J-box Micro Controller, High Power distribution unit, inverter and motor, and onboard charger as shown in figure 1 below. We intend to use a similar main console for the Forza FX1.
The main console consists of a dual lever throttle, display and a key switch. The boat speed control function is activated by deflecting the friction throttle lever forward or reverse. Deflecting the throttle handle sends a control signal to the Microcontroller, which sends the digital signal over CANBUS to the inverter, which provides the energy flow path from battery pack to the motor, thus turning the propeller. The throttle function uses a cruise control feature, which enables the system to automatically adapt to a set speed, operating the battery efficiently as possible without manual intervention.
The key switch in the control system activates the main electrical systems (i.e., the battery pack, Inverter, OBC) for the boat, including the accessories, such as the bilge pump, horn, hatch control, etc.
The display is a comprehensive system (Battery and Inverter Data) utilizing control software that goes beyond simple monitoring. With the display, the operator gets the additional functionality of alerts. Alerts allow the boat’s operator to setup as many warnings and alarms as they may need so they can be forewarned of potential problems. Additionally, the control functionality provides operators with the ability to manage the electrical system.
The IDU J-box is plug and play for easy installation, which contains the main controller connecting pumps for different cooling systems as well as the battery pack, onboard charger, and inverter to control the boat speed. The panel is completely electrical based on 24 VDC volts from the boat’s electrical supply. The IDU J-box is installed under the console for ease of access. The battery pack is connected over the CANBUS network with the IDU microcontroller.
These systems were installed in the second prototype at the end of October 2021. The boat, motors and control system were successfully tested out of the water and in Twin Vee’s Fort Pierce facility. These tests included operating the motors through a series of increased and decreased power settings, continuous checks for temperature fluctuations within the battery, battery management system, vehicle control unit, and glycol cooling system. These tests were initially light load tests and once successful, allowed testing to move to medium load, and then high load testing which included the second prototype being launched from Stan Blum Boat Ramp near North Hutchinson Island in Fort Pierce Florida for a sea trial on November 4, 2021. The boat was successfully tested in the water and performed a series of maneuvers and tests. All in water testing included continuous operation and monitoring of all sensors, flow temperatures, battery temperatures, power settings and connectors and glycol flow. We concluded that our system was designed well and allowed us to move to the next stages of our development.
As a result of the sea trial, the engineering team identified major control system components capable of withstanding the marine environment while completing a series of maneuvers for an extended period of time. Knowledge of these critical components, including the display, throttle with steering (0-360Deg), onboard charging, high voltage power distribution unit, controller, cooling motors, steering feedback sensor, tilt feedback sensor, charging CCS1 socket, inverter and electric motor, as well as the experience gained in making them work in unison allowed our engineering team to fine tune the technical design aspects of the second prototype so that plans for our proprietary control system and outboard electric motor could be developed.
Since the successful launch of the second prototype, we have accomplished the mechanical design of our electric outboard motor and control system, sourcing and detailed fabrication blueprints are completed. The electrical bills of materials, mechanical bills of materials, and assembly fixturing has been completed that are all fundamental to the building and testing of the systems. Over 50 distinct custom parts have been designed for this prototype using 3D modeling software. 3D CAD models, assemblies, as well as 2D fabrication drawings following ASME standards have been completed and sent out to several machine shops, rapid prototype houses and casting suppliers in the US and overseas. At the same time, we are working with local machine shops within a two-hour radius of Ft. Pierce to establish business relationships that will enable future quick turn door to door parts rework and delivery.
11
We are in the early stage of prototyping and testing our electric boats. The first Forza FX1 prototype outboard motor and control system was completed in Q1 2022, by March of 2023 we had complete four other prototypes and have begun the testing phase on all of these boats. We anticipate that our prototypes will go through additional testing, interactions and refinements before we commence production of consumer boats and thereafter the commercialization of our products. The electric motor and control system are in working, functioning order, our team of engineers have begun the process to build an additional six or more prototype outboard motors. These additional motors will be the same power, shape and design of our working prototype. The additional motors are being produced for the purpose of intensive testing, destruction testing, longevity testing with the goal of commercialization and manufacturing this motor as the original propulsion system for our initial two models to be launched, our FX1 dual console and FX1 center console electric boats. The testing of our prototype motor will continue on a test bed boat that was designed and built specifically for the initial testing. In a parallel path, we have completed the design phase of our FX1 boat, this boat has begun the tooling process, which is the making of the molds required to produce and manufacture the final fiberglass FX1 product. The tooling of the molds are estimated to be completed by Q3 2022 and our first FX1 center console boat as displayed in our graphic images should be completed and rigged with our FX1 motor and control system by Q3 2022. We expect to begin production of our initial FX1 dual console and FX1 center console models and commence selling to end user customers by the end of 2023.
Catamaran Technology –Reduced Drag and Extended Run Times
We plan to utilize a newly designed multi-hull, catamaran design for our FX1 boat. There is a multitude of benefits for catamaran multi-hulled boats, including better performance, two narrow hulls generate about one-third as much wetted-surface or drag, reduced hydrodynamic resistance allowing for more speed or requiring less power to operate.
Catamarans also ride softer because they don’t have a large, round bottom that slams against the waves. In other words, the reduced vertical accelerations on the water from a multi-hull boat helps prevent slamming for a smoother ride.
Additional advantages of a multi-hull boat are better stability and an increased level of safety, higher freeboard and flotation. Lastly, multi-hull boats provide a superior amount of comfort for passengers. There is typically plenty of space and accommodations on deck with a catamaran that is difficult to replicate on monohulls.
Unlike the two prototypes developed by Twin Vee, the FX1 model we are designing will not be a retrofitted Twin Vee catamaran. Although the FXI model is being designed to incorporate the same control system as the second prototype, the FX1 model is being built based on an entirely new design developed for us by naval architect Albert Nazarov and his company, Albatross Marine Design.
Dimensioning of Catamarans – Parametric Approach
Naval architect Albert Nazarov and his company, Albatross Marine Design, have designed our FX1 boat with mathematical precision.
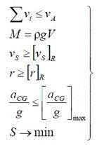
The base system of design equations describing the design can be written as following:
Where first equation is relation of sum of required volumes vi and available volume vA; second equation is balance of craft mass M and volume displacement V; third and fourth are comparisons of design speed vs. and range r with required speed [vs.]R and range [r]R. Fifth equation specifies condition of seakeeping as not exceeding certain acceleration level aCG/g. Last equation is criteria of minimization of construction cost S, though operational costs might be considered for complete analysis. Stability condition is excluded from preliminary analysis of catamarans.
12
Forza X1 Outboard Motor
We have completed the design phase of our outboard motor and which is now in the prototype phase of developing and preparing to manufacture it to power our new 24-foot FX1 boat. The outboard motor is expected to provide the FX1 with the capacity for up to 35 knots of speed and 215HP (peak) of power, subject to varying levels, loads, winds, currents and speeds.

13

Figure 3 — Current specifications of the system
Outboard Design
The outboard system is designed with modular sub systems. The subsystems connect to a central upper assembly in a common way so that development task management and subsequent engineering activities can take place concurrently if needed. The subsystems include steering, cooling, lower POD drive units, trim and tilt, and cover assemblies.
14
Core Motor and Gear Reducer Information
The motor is the heart of the entire outboard drive system. Because its output RPM is up to 10,000 RPM it must be reduced to achieve the proper torque on the output propeller. To accomplish this our team had to develop a proprietary custom gear reducer which is incorporated in the core motor. This gear reducer features a two-stage planetary gear assembly with an overall 1.9:1 ratio. The planetary gear reducer is designed to accommodate vertical orientation which is ideal for mounting inside the Forza X1 Outboard.
A compliant shaft coupler connects the output shaft of the gear reducer to the lower drive unit which is illustrated in the following sections. The shaft coupler includes a compliant membrane which is engineered to accommodate torsional continuous loads as well as sudden “shock” loads which may occur when reversing shaft rotation. The output shaft is fed through the slewing bearing steering assembly. This is a unique design for outboards for which we filed a design patent application on December 10, 2021, which application is currently pending approval.
15
Upper Assembly
The upper assembly is the central “torso” of the outboard structure. It houses the main core motor and gear reducer, as well as provides a modular mounting structure for the motor controller, cooling system, steering system, trim and tilt as well as the covers.
The upper assembly is being designed to be made from 6061-T6 aircraft grade aluminum alloys. The Trim/Tilt mount is attached to the upper frame block with 5 M12 high strength socket head cap screws as well as 3 supporting M10 socket head cap screws. The mount features a cross pattern which will support and distribute the load for the entire weight of the outboard, as well as transmit the static stress loads through the structure while under operation.
16
The central frame design is also proprietary in that it allows for an easy vertical mounting of the core motor assembly but also allows the entire core motor assembly to be removed from one side of the outboard, without a complete teardown of the system. The shape of the uni-body profile includes engineered clearance to accommodate the rare occasion of a motor needing extended service and replacement. We have filed a design patent application for the design of the central frame, which application is currently pending approval.
The motor controller frame attaches to the uni-body frame with a set of M8 socket head cap screws. The frame is CNC machined, like the uni-body structure, however it is designed to be removed and replaced as needed as the design of the system matures.
Steering System
The initial version of our motor will utilize a traditional marine steering system. We are also developing a novel steering system for our version 2.0 motor. It incorporates slew bearing technology that is proven in heavy equipment, wind turbines, and military systems, and combines it with custom gearing, and a coupling interface with the lower POD drive unit. This mechanical steering system in combination with electronically controlled power steering from the helm results in up to 360-degree POD rotation for the lower unit. The upper assembly for the outboard is fixed which is designed to keep the center of gravity stable at high-speed turning, and the 360-degree power steering is expected to result in an un-matched user experience to make boat docking and maneuvering easier than ever before.
17
The slewing bearing assembly is precision engineered with high grade 400 series stainless steel bearings, fully sealed encased pinion gear system that is modular. A slewing bearing or slewing ring (also called a turntable bearing) is a rotational rolling-element bearing that typically supports a heavy but slow-turning or slowly oscillating loads in combination (axial, radial and moment loads), often a horizontal platform such as a conventional crane, a swing yarder, or the wind-facing platform of a horizontal-axis (yaw) windmill. In other orientations (e.g., a horizontal axis of rotation) they are used in materials handling grapples, forklift attachments, welding turnover jigs and so on.
Compared to a “normal” ball bearing the rings are quite wide and usually have holes drilled in them to provide fixation to a structure. Seals will be provided between the rings to protect the rolling elements. Compared to other rolling-element bearings, slewing bearings are relatively thin sections and require that the structure to which they are bolted is stiff enough so that under load predefined limits of distortion are not exceeded.
Slewing bearing designs range from single row ball or roller style, through double row ball or roller, triple row roller, combined (1 roller/ 1 ball) or wore guided raceways — each design having its own special characteristics and application. The Forza X1 design features precision engineered ceramic ball bearings which are designed to withstand the marine environment and are easily replaceable for teardown and rebuilds.
Cooling System
The cooling system consists of a raw water circuit that feeds up from the lower pod propeller unit and into a heat exchanger. The heat exchanger passes an internal glycol fluid over a series of interspersed tubes where heat conduction takes place to regulate the temperature of the glycol. The glycol is circulated through the gear reducer assembly, core motor and controller/inverter. The circuit uses a glycol pump mounted on or near the uni-body frame. The raw water exits from the heat exchanger and is released through a tube from the upper assembly.
Lower POD Propeller Assembly
The lower drive unit is a proprietary design that includes an advanced steering system, which allows up to 360 degrees of rotation of the propeller direction. This should result in boat owners realizing a higher level of vessel control when under speed as well as for docking and mooring maneuvers.
Furthermore, the lower drive unit is expected to include an easy interchange mechanism. This interchange mechanism will allow for different lower drive unit configurations to attach to a common upper motor assembly.
18
The propeller lower POD unit is expected to include a primary aluminum cast housing that is specifically engineered for electric propulsion. Because of the electric drive there is no need for the traditional reversing clutch mechanism or clutch actuation rod, or even the chambers for raw water exiting near the rear of the unit. This results in a lighter weight design with less parts and a more efficient drivetrain.
Forza X1 Battery Details
Nowadays, the most expensive part of an electric vehicle is the battery, which represents as much as 50% of the price of the electric propulsion system, depending on the technology used. Lithium-ion batteries are the most used technology in EVs due to their high energy density and increased power per mass battery unit.
The disadvantage of Lithium-ion batteries is their high developed operational temperature, which could affect energetic performances, along with lifetime expectations. This technology requires a battery management system (BMS) to control and monitor internal cell temperature. Apart from the disadvantages caused by exploitation temperature, there are also problems related to high production costs, recycling capacity of batteries out of use, and recharging infrastructure.
Our designers have the following general parameters in mind for the outboard battery system:
1) A module size of 36” x 12” x 4”
2) Mountable vertically or horizontally
3) Liquid cooling.
4) An IP rating of at least IP64, preferably IP65
5) Internal shock absorption.
Mounting of the battery packs is a crucial task especially for the 104kW battery range. These packs must be mounted with careful engineering for vibration isolation, cooling systems and ease of access in order to have the proper working and successful service procedures.
We have entered into a five- year supply agreement with a third-party lithium battery reseller to begin supplying us with a line-up of standardized high-voltage battery packs. The battery packs are highly flexible and modular that can be scaled in series or in parallel.
The battery packs are based on the world-class 2170 cylindrical cells and have the highest energy density solution in the market with approximately 200 Wh/kg, while also allowing advanced monitoring and diagnostic reporting. The packs contain a highly efficient, liquid cooled thermal management system and the sealed enclosures are rated IP65, which eliminates potential for debris and weather to get inside the battery pack.
| Forza X1 Battery Characteristic | Unit | Specification* | ||||||
| Voltage, Nominal | V | 352 | ||||||
| Voltage, Range | V | 270 — 403 | ||||||
| Energy, Total | kWh | 52 | ||||||
| Capacity | Ah | 150 | ||||||
| Continuous Current | A | 230 | ||||||
| Peak Current (10 sec) | A | 440 | ||||||
| Volume | L | 252 | ||||||
| Mass | Kg | 247 | ||||||
| Energy Density | Wh/L | 205 | ||||||
| Specific Energy | Wh/kg | 200 | ||||||
| Dimensions (L x W x H) | mm | 1,306 x 717 x 270 | ||||||
| Operating Temperature | °C | -30 to 55 | ||||||
19

Onboard Battery Charging System
We intend to utilize multiple charging options that are currently available in the marketplace. The battery charging market has designed and commercially sold faster charging systems for years, but along with the increased speed of charging times, the cost of the equipment also goes up in price. We intend to offer an AC charging system that will be standard with the base boat. Additionally, we intend to offer a Direct Current or “DC” fast charging protocol as an option or as standard equipment on larger, higher priced boats. Specifically, we will adopt the most common connector plug for EV charging, the J1772, which was chosen by the Society of Automotive Engineers (SAE) as the standard in North America and Japan.
20
We will mostly utilize an alternating current (AC) charging current. Alternating current (AC) is typically how people charge their electric vehicles overnight. AC charging uses a lower voltage, either Level 1 (120 volts or normal household current) or Level 2 (240 volts or the equivalent power of an electric dryer). Though the low voltage levels mean a slower charge, AC charging can be easily installed in most households. It is a convenient solution for residential, workplace, multi-unit dwellings, and other longer-term parking locations like hotels and municipal or airport parking garages.
Direct current (DC) charging for electric vehicles allows for higher charging speeds, since DC can be supplied directly to the electric vehicle’s battery at power levels normally higher than AC charging. The higher the DC power supplied, the faster the electric vehicle can be charged—provided the EV is designed to handle such power. Charging will slow down toward the end of each charging session in order to preserve the battery. This typically happens around 80% full.
The Combined Charging System (CCS) is a direct current (DC) fast charging protocol that is Society of Automotive Engineers (SAE) certified and is featured on vehicles produced by European and American car companies. The “combined” term in the CCS name designates its capability to incorporate the Level 2 (J1772 standard) plug and DC fast charging connector into the same larger plug.
The unit of energy to power an electric motor and charge a battery pack is based on the kWh or Kilo Watt Hour. A kWh unit of energy equivalent to the energy transferred or expended in one hour by one kilowatt of power. Electric car or boat battery sizes are measured in kilowatt-hours.
The FX1 boat may have the option for a 6.6 kW or 12 kW onboard charger compatible with Level 2 in-house charging. This means it can be charged at home from any outlet. When connected to a standard 120V 10A outlet, the charge rate is limited to 4 kW. We expect that from a capacity of 25% the charge time using a fast charging or Inboard 50A system will range from 1.5 hours to 5 hours for the FX1 boat. Charge times are as shown below:
| Power source | Charging Rate | DC Charging Current | Charge time |
| Fast Charge | 45.0 kW | 125A | 1.8 hours |
| Inboard 50A | 12.0 kW | 33A | 6.7 hours |
| Inboard 30A dryer outlet | 6.6 kW | 18A | 12.1 hours |
| Standard 120 Outlet | 4.0 kW | 11A | 20.0 hours |
21
This assumes a standard 104kWh pack discharged to 20 kWh with a 20% reserve.
FX1 Screen Integration
We are working to integrate a 22-inch screen into our FX1 console. The screen will be utilized for functionality including GPS mapping, depth finder, fish finder, speedometer, electronic compass, battery sensors, power rating, battery usage reporting, lighting controls, bilge and water pumps controls, autopilot and more. The screen would reduce traditional buttons that typically clutter a boat console and enhance a customer’s boating experience. We are designing a customized graphical user interface at the helm to provide FX1 boat owners access to a suite of various systems, sonar technologies, autopilot, apps, engine data, and multimedia, all on one screen. Specifically, we plan to install a large-format multifunction display featuring a 22-inch full HD screen with touch control in Forza X1 boats. The sunlight-readable anti-glare large display should enable owners to experience a powerful, completely networked helm.
Our plans include a fully digital switching system that will allow users to power up their boat while away from the dock, switch on pumps, control lights, and underwater lights. Moreover, customers would be able to configure the entire system to provide 1-touch setting access for docking, cruising, fishing, and anchoring without manually switching each monitor separately.
Forza X1 Intellectual Property
We are working to create a portfolio of proprietary designs and technology that we expect to serve as the foundation of our product development. To date, we have three design and four utility patent applications on file with the United States Patent and Trademark Office. Certain of the patent applications were originally filed by, and in the name of, the individual who was the inventor of the technology and since have been assigned to us. Below is a list of pending patent applications that we are seeking approval for from the United States Patent and Trademark Office. We cannot be certain that the patent applications that we file will issue, or that our issued patents will afford protection against competitors with similar technology. See “Intellectual Property Risks.”
| IDEA / CONCEPT NAME | DESCRIPTION | IP TYPE | App Number and Filing Date |
| 360 Steering Lower Pod with Disconnect | For outboard, lower pod steering mechanism using slewing bearing and spur gear mechanism allowing for a full 360-degree rotation. Also features a pass through the center method for cooling fluid, and an easy way to interchange lower drive units with the fixed upper unit. | Full Non-provisional Patent | App # 17,698,212 FILING DATE 03/18/23 |
| Original Outboard Cover Design | Original shape of outboard cover | Design Patent | App # 29/818,844 FILING DATE 12/10/21 |
| Unibody Frame | Shape of frame that allows vertical mounting of motor and transmission inside the outboard | Design Patent | App # 29/818,842 FILING DATE 12/10/21 |
| Outboard cover design — ALPHA 01 version | shape of the updated prototype cover and cowling | Design Patent | App # 29/819,262 FILING DATE 12/14/21 |
| Trim and Tilt with cable routing thru pivot axis | A trim and tilt assembly that routes cables through the pivot axis which protects cables, keeps the bundle from excessive bending and results in a cleaner design | Utility Patent | App # 63,287,740 FILING DATE 12/09/21 |
| Jet Drive Lower Unit for an Electric Outboard | The design of the lower jet drive as it is configured for the integration with the electric outboard | Utility Patent | App # 63,293,420 FILING DATE 12/23/21 |
| Closed Loop Heat Exchanger Integrated in a Lower Drive Unit | Integrate a cooling radiator inside of the lower drive propeller or jet drive unit itself. Simplify the cooling circuit by eliminating the need for a raw sea water intake. | Full Non-provisional Patent | App # 18/150,943 FILING DATE 1/06/22 |
22
| Outboard Motor Cowling Latch Assembly | The outboard top cover should not be removed until the electric motor and inverter is safely de-energized which typically takes 4 to 5 seconds after powering down. This invention features a special latch mechanism, a sensor to detect position of latch, and a locking solenoid which will prevent inadvertent removal of cowling cover which will prevent a user from being electrocuted. | Utility Patent | App # 63/424,985 Filing Date 11/14/22 |
| Docking Assist Motor Control and Auto-pilot mode for Trailer loading and launching | Similar to docking assist GPS guided auto-pilot systems but this one is specifically intended to assist with single handed boat launching or loading to and from a trailer. Use position sensors on the trailer, have the boat automatically guided safely by itself while the captain is backing trailer into the water, or on the trailer preparing the winch, etc. | Utility Patent | App # 63/402,124 FILED 8/30/2022 |
| Double Motor Stack for an outboard powerhead arrangement | Cascadia and other EV motor vendors offer a configuration where the DC motor can be stacked on top of another motor to double the power output of the vehicle. Packing this into an outboard motor design might be a first for the industry and will be worth patenting if possible. | Utility Patent | App # 63/402,124 FILING DATE 8/30/22 |
Forza FX1 Future Factory
We are currently designing a state-of-the-art manufacturing plant to incorporate the latest in closed-molded composite boat building technologies and electric engine assembly processes., On July 28, 2022, we received notice that the North Carolina Economic investment committee has approved a Job Development Investment Grant (“JDIG”) providing for reimbursement to
us of up to $1,367,100 over a twelve-year period to establish a new manufacturing plant in McDowell County, North Carolina. The receipt of grant funding is conditioned upon us investing over $10.5 million in land, buildings and fixtures, infrastructure and machinery and equipment by the end of 2025 and us creating as many as 170 jobs. We have selected our new site in McDowell County, North Carolina to build the Forza X1 factory. We are designing a 100,000 square foot facility designed for capacity and production of 1,000 units annually that we intend to build over time in various phases, starting with an initial 50,000 square foot facility that will have a capacity of 550 units annually that we anticipate the cost of which will be $8 million for the construction of the factory. We anticipate that the local incentives that it has been approved to receive will help to offset some of the cost to be incurred with respect to the building of the factory. However, there can be no assurance that such negotiations will be successful or that we will meet the requirements to receive the anticipated incentives will be granted to us.
23
Initially, the target site for the plant was a 14.5-acre parcel of undeveloped land located in a light industrial corridor in St. Lucie County. We and Twin Vee entered into an assignment of land contract pursuant to which Twin Vee assigned to us a land purchase agreement that provides us with an option to acquire the target site for $750,000. On December 6, 2021, we paid the $50,000 refundable deposit on the land purchase agreement from our working capital. It has since been determined that the cost associated with building our factory on the Fort Pierce, Florida site is prohibitive. As a result, on April 28, 2022, we, together with Twin Vee, requested, and were granted, a release and termination of the land contract for this vacant parcel of land.
Once we execute a definitive agreement for the purchase of the property upon which the factory will be built, we anticipate that our factory will be complete within 18 months.
Before the completion of new factory construction, all fabrication for our Forza X1 boats will be performed onsite at Twin Vee’s facility or, if available additional manufacturing space will be leased. We are currently looking at various locations near the Twin Vee facility or near the future Forza site to rent a facility until our own facility is finished. We expect that boat production can start immediately upon the Forza X1 product launch. While there is limited additional manufacturing capacity at Twin Vee’s current facility for the manufacture of our electric boats, we believe the Twin Vee site can handle approximately 325 units annually, without capital improvements, in addition to current Twin Vee production.
Our ability to utilize Twin Vee’s manufacturing capacity pending completion of our own facility will be subject to its availability as determined by Twin Vee. See “Risk Factors—Risks Related to Our Business—We may not be able to commence production of our electric boats as planned.”
A phone app will be used to reserve orders, and believe we will be able to fulfill orders from Twin Vee as soon as the product launch is ready. The boat construction cycle (lead time) will be under fifteen working days, engines will be built in advance and will be a five-day build cycle. Since orders and deposits will be taken in advance of product launch, the fiberglass molds for the boats will be built to handle expected orders.
We expect production at the Forza FX1 future factory to initially ramp up according to orders received and increase over time.
Industry Overview
We believe traditional marine manufacturers are at a crossroads and face significant industry-wide challenges. Much like in the automotive industry, the reliance on the gasoline-powered internal combustion engine as the principal marine powertrain technology has raised environmental concerns, created dependence among industrialized and developing nations on oil-primarily imported from foreign countries, exposed consumers to volatile fuel prices, and inhibited innovation in alternative fuel powertrain technologies.
We expect that shifting consumer preferences will result in significant growth in the market for electric boats, especially as the demand for recreational powerboats, in general, remains strong. We estimate many consumers are increasingly willing to consider buying electric-powered boats due to the environmental and economic consequences of using gasoline-powered vehicles, as demonstrated by the increased sales of hybrid and electric automobiles in recent years. In its Electric Vehicle Outlook 2021, BloombergNEF estimated that there are currently 12 million passenger EVs on the road. The prevalence of electric-powered boats is likely to follow suit. In an August 2020 Boating Industry online article, the marine-focused magazine indicated that electric boat drives represented about 2% of the market, but hybrid and pure electric boats sales were expected to rise rapidly in the coming years. Specifically, the article cites a report from independent market research company IDTechEx where it examined the electric boat and ship sector. The report estimates that the market for hybrid and pure electric boats and ships would be greater than $20 billion worldwide by 2027, finding that recreational boats is the largest and fastest growing electric marine market in sales number.
Our initiative into sustainable marine technologies and products is well-timed. The prevalence of batteries necessary to sustain a marine EV model line is expected to rise and become cheaper. BloombergNEF’s Long-Term Electric Vehicle Outlook reports that annual lithium-battery demand has proliferated in recent years, and meeting the demand will require unprecedented but achievable increases in materials, components, and cell production. Battery production capacity is expanding as more factories are brought online. Moreover, battery technology that improves power and capacity is being designed, developed, and adopted regularly. According to BloombergNEF’s report, it found that the volume-weighted average price of a lithium-ion battery pack fell 13% from 2019 to $137/kWh (kilowatt-hour) in 2020. The report estimates the volume-weighted average cost of battery packs will drop below $100/kW in 2024. The Company is establishing itself in the market at the right time to help keep production costs as low as possible and make our boats affordable for our customers.
Our Solution
Our company believes our solid foundation in boat building, electric vehicle engineering expertise, and planned direct-to-consumer system will help us rapidly innovate and introduce new boats and technologies cost-effectively. By operating our sales and service network, we believe we can offer a compelling and premium customer-centric experience while achieving operating efficiencies and capturing sales and service revenues that traditional boat manufacturers do not receive in the independent dealer model. We also plan to leverage our electric powertrain technology to develop and sell powertrain components to other boat manufacturers and owners.
We believe our proprietary electric powertrain system will enable us to design and develop zero-emission boats that overcome the design, styling, and performance issues that have historically limited broad consumer adoption of electric boats. As a result, we believe customers of our vehicles will enjoy many benefits, including:
24
| ● | Extended Run Times and Recharging Flexibility. We are designing our FX1 to offer an intermediate-range option and an option that would increase the battery pack capacity for extended run times. Charging stations specifically designed for electric boats will eventually be an option for customers as well. Norway and Venice, Italy, are beginning to construct a network of electric boat charging stations. In the United States, Lake Tahoe is now home to a rapid-charging electric boat charging station. While the US and the rest of the world begin to adopt a network of electric boat-specific stations, our design for the Forza X1 boats incorporates an onboard charging system, permitting recharging from almost any electrical outlet and residential and commercial charging stations previously only utilized for electric automobiles. | |
| ● | Energy Efficiency and Cost of Ownership. We believe our FX1 will offer consumers an attractive cost of ownership compared to similar outboard powerboats. By using a single powertrain and customizing the systems within the electric powertrain and the rest of the boat, our boats are more energy-efficient, and therefore less expensive to operate and maintain. | |
| ● | Environmental sustainability. Large gas-powered engines often leak and produce carbon emissions, both of which are generally harmful to fragile marine ecosystems. By offering a fully electric boat to our customers and an alternative to traditional propulsion systems, we can foster a more environmentally sustainable boat brand. Our greatest hope is to be purposeful stewards of the marine industry and lead by example in environmentally friendly innovation. | |
| ● | Noise Level. So often, powerboats create large amounts of noise, disturbing wildlife and making it difficult for fellow passengers to hear one another while underway. FX1’s electric powertrain will produce little to no sound, making it easier to enjoy the sounds of nature, family, and friends. Our products will also help tremendously with fishing and other sporting and water-based activities that favor less noise. |
Our Strengths and Competitive Advantages
We believe that the following are the critical investment attributes of our company:
| ● | Assembling a Technology, Engineering and Manufacturing Team. We continue to build and add valuable, experienced and knowledgeable team members. Jim Leffew, our President and Chief Executive Officer, comes to us from Maverick Boat Group, Inc. that was recently sold to Malibu Boats. Jim Leffew has been designing, building and manufacturing boats on a large-scale basis for over 25 years. The year Maverick Boat Group was sold to Malibu Boats, Jim Leffew was overseeing the manufacturing and Maverick Boat Group was building and selling over 1,400 boats annually. The experience and knowledge that Jim Leffew brings to the table is expected to be valuable to the requirements of designing and ramping up our manufacturing facility. |
| ● | Singular Focus and Leadership in Electric Powertrain Technology. We are focused exclusively on developing our electric boats and electric powertrain technology to achieve a compelling combination of range and performance at a price point accessible to a large segment of the boating population. We intend to use our electric powertrain expertise to innovate rapidly and sustain technological and time-to-market advantages over other marine manufacturers. Our targeted base cost for the Forza X1 is approximately $150,000. We are not aware of any other electric boats currently being manufactured and sold commercially in the U.S. The electric boats we are aware of that are in pre-production by other manufacturers are designed either for the luxury or speed boat market and carry a base cost in the range of approximately $300,000. | |
| ● | Combination of Expertise from the Traditional Boat Manufacturing Industry and Electrical Engineers. Our company’s founders have been in the boat building business for over 25 years. Our boat design and manufacturing knowledge are supplemented by engineers with strong skills in electrical engineering and software and controls. | |
| ● | Rapid Customer-Focused Product Development. We are designing our product development process to rapidly react to data collected from our boats, direct interaction with our customers, and feedback from our web and app platform. That information should enable us to introduce new models and features to expand our customer base and brand recognition. | |
| ● | Direct To Consumer System. We are building a vertically integrated and premium direct-to-consumer system to achieve operating efficiencies and capture sales and service revenues traditional boat manufacturers do not generally receive in the distribution and service model they employ. | |
| ● | Capital Efficiency. We believe our rapid product development process, powertrain technology applicable for future boat models, and our plan to hold lower inventory levels while still meeting customer demand will help reduce the capital required to reach operating efficiencies. This approach is designed to allow us to achieve profitability at relatively low sales volumes and create a viable long-term business. |
25
Our Strategy
We intend to be a leading manufacturer and direct seller of electric boats and electric powertrain and propulsion technologies through the following strategies:
| ● | Successfully Launch the FX1 and electric monohull. We believe the successful launch of our first commercially available electric boat is critical to our ability to capitalize on the marine electric vehicle market opportunity and establish ourselves as leaders in the industry. We are in the early stage of prototyping and testing our electric boats. The first Forza FX1 prototype outboard motor and control system was completed in Q1 2022, by Q3 of 2022, the first Forza FX1 catamaran boat was completed and the engine, propulsion systems and boat were successfully tested in October or 2022. By March of 2023 we had completed seven prototypes and had begun the testing phase on all of these boats. In addition to the FX1 style catamaran, we have successfully prototyped a deck boat and twenty-two-foot monohull. We anticipate that our prototypes will go through additional testing, design, and fabrication iterations, and refinements before we commence production of consumer boats. The electric motor and control system are in working order, our team of engineers have begun the process of improving these engines and are developing a “stacking” engine design which will double the horsepower in the same sleek cowling. These additional motors will have improved features including enhanced liquid cooling heat exchangers and higher power availability. Additional motors are being produced for the purpose of intensive reliability and durability testing, utilizing destructive and non-destructive techniques. The goal is to commercialize and manufacture this motor as the original propulsion system for our FX1 dual console. In a parallel path, we are adapting the motor and control system to the twenty-two-foot monohull specifically designed for electric propulsion. We expect to offer these products for sale to the public at the end of 2023. | |
| ● | Invest in Our Infrastructure. We plan to invest in our product development and operations infrastructure to enable our growth, product innovation, and customer experience. | |
| ● | Use a Common Platform to Introduce New Models. We intend to design the FX1 with an adaptable platform architecture and common electric powertrain to provide us the flexibility to use the FX1 platform to launch subsequent electric boat models cost-efficiently. | |
| ● | Focus on Technological Advancements and Cost Improvement. We intend to constantly look for ways to improve upon and further develop our proprietary electric powertrain system while reducing its manufacturing cost. | |
| ● | Build our Company-Owned Sales and Service Network. We are programming and building our expansive and vertically integrated customer-centric web and app platform to connect with customers for an end-to-end experience encompassing everything from buying, financing, delivery, servicing, and training. This customer-centric approach to sales and service is intended to simplify accessing necessary information for potential buyers and current owners in an easily accessible and streamlined online space. | |
| ● | Leverage Industry Advancements in Battery Cells. We intend to leverage the substantial investments made globally by battery cell manufacturers to improve power and capacity. | |
| ● | Build and Leverage Strategic Relationships. We intend to establish and develop strategic relationships with industry leaders to launch our planned electric boats and sell our electric boat powertrain components. We envision significant inroads with boat manufacturers to retrofit various hull configurations, replacing traditional gas outboard motors and existing boat owners who could retrofit their boats with Forza X1’s outboard motors, controller, and battery packs. |
Our Future Service Network
We intend to develop a support and service department that will include technicians, service representatives, quality control specialists and customer satisfaction agents. Moreover, we aim to provide convenient and comprehensive service coverage in all markets where our boats are sold, which customers may access through a comprehensive service and support website and app.
The website and app platform will be the cornerstone of our services and repair program. We have selected a web design firm for the development of our website and app. Our goal is to have the app completed by the second quarter of 2024. Our customers would be able to report through our app or interact directly with our service support team to schedule an appointment with a Forza X1 mobile service van, perform remote diagnostics or help arrange appointments with partnered boat repair technicians, marinas, and service centers with whom we have strategic relationships, arrange for service or repair work, or even schedule the boat’s transportation back to the Forza X1 factory if needed.
26
We believe that Forza X1 mobile service vans and trucks will be able to perform a majority of physical service calls at a customer’s home, marina, dock, or wherever our boats might be located, offering a level of convenience at lower cost than traditional dealer-owned service centers. These mobile service vans and trucks will travel to the location of the electric boats for repair, or if the boat cannot be repaired at such location, then the Forza technician will have a vehicle capable of towing the boat back to the Forza factory, where the boat will have access to a more significant amount of repair and support staff.
We believe that our electric vehicles will require less service than gas vehicles because electric vehicles are simpler to maintain than internal combustion vehicles. Our outboard motor system is expected to be less susceptible to wear and tear by exchanging hundreds of moving parts for only a few. There are no spark plugs or engine motor oil to change or worry about.
Additionally, remote diagnostics will allow the Company to find issues with customer boats remotely, in real time. In many cases, our service team will be able to provide an OTA update to resolve the issue without the customer’s boat ever leaving the customer’s sight. Our mission will be to make the servicing of our products as simple as possible by connecting to and utilizing the diagnostics technology in every Forza X1 boat. Whether a customer needs maintenance or needs repairs, we intend to provide convenient and comprehensive service and warranty coverage for our customers throughout the country.
Customers who lack Forza X1 service access through our network of mobile services vans and trucks will be able to utilize the traditional warranty claim process, which is standard throughout the recreational boat industry. In our case, a customer will contact us through our website or app and speak with our support and service department and provide them with details about the issues they are experiencing with their boat. If over-the-air updates to software or hardware are insufficient to solve the problems and FX1 customer experience and service center or mobile service van are not within range of the customer, our support and service department will provide assistance.
In the case of a covered warrantable issue, our support and service department will put them in contact with a local partnered boat repair service technicians or arrange transportation of the boat to one of our partnered marinas and service centers. If none are available in a customer’s area, our support and service department would instruct the customer to obtain a quote for the covered warranty repair work and labor at a marine service center of their choosing. They would transmit the quote for the necessary repair work to our support and service department for approval. Once approved, the work is completed on the covered warrantable repairs, and we will pay the marine service center directly.
There may be instances where the customer’s issue is too technical for a traditional marine service center (e.g., issues related to the EV components of the boat). In such cases, our support and service department would coordinate with the customer to have the boat picked up on a trailer and towed to our manufacturing facility in Fort Pierce, Florida, for service.
If a customer contacts our support and service department for maintenance or an issue not covered under warranty, then our support and service department would be able to coordinate with them to arrange service with a mobile service van, partnered boat repair technician, or partnered marina or service center and the customer will be responsible for paying them directly.
We are still in the initial stages of establishing our service plans. We are in the process of identifying potential marinas, service centers, and technicians we would like to form strategic relationships with to ensure that we have a comprehensive service support system in place when our FX1 boats are sold. Although we are planning to eventually internalize most aspects of boat warranty and service through our mobile service vans and trucks over time, initially, we plan to operate them within 500 miles of the Forza X1 factory and partner with third parties elsewhere to enable nationwide coverage for our customers’ boat service and warranty repair needs.
Competition
The performance sport boat category and the powerboat industry as a whole are highly competitive for consumers and dealers. We also compete against consumer demand for used boats. Competition affects our ability to succeed in both the markets we currently plan to serve and new markets that we may enter in the future. Competition is based primarily on brand name, price, product selection, and product performance. We will compete with several large manufacturers that may have greater financial, marketing, and other resources than we do and who are represented by dealers in the markets in which we now operate and into which we plan to expand. We also will compete with a variety of small, independent manufacturers. We cannot assure you that we will not face greater competition from existing large or small manufacturers or that we will be able to compete successfully with new competitors. Our failure to compete effectively with our current and future competitors would adversely affect our business, financial condition, and results of operations.
We also compete with other leisure activities. Our boats are not necessities and in times of economic hardship, consumers may cease purchasing non-essential items. Luxury items may not be used for recreational and sport purposes, and demand for our boats may be adversely affected by competition from other activities that occupy consumers’ leisure time and by changes in consumer lifestyle, usage pattern or taste.
27
We also face competition for employees. Competition for individuals with experience designing, manufacturing and servicing electric boats is intense, and we may not be able to attract, assimilate, train or retain additional highly qualified personnel in the future. The failure to attract, integrate, train, motivate and retain these additional employees could seriously harm our business and prospects.
For more information, see “Risk Factors—Risks Related to Our Business—Our industry is characterized by intense competition, which affects our sales and profits” and “If we fail to manage future growth effectively, we may not be able to market or sell our products successfully.”
Environmental and Safety Matters
Certain materials used in our manufacturing, including the resins used in production of our boats, are toxic, flammable, corrosive or reactive and are classified by the federal and state governments as “hazardous materials.” Control of these substances is regulated by the Environmental Protection Agency, or EPA, and state pollution control agencies. The United States Clean Air Act (the “CAA”) and corresponding state and provincial rules regulate emissions of air pollutants. The Occupational Safety and Health Administration, or OSHA, standards limit the amount of emissions to which an employee may be exposed without the need for respiratory protection or upgraded plant ventilation. Twin Vee’s facilities are, and our future factory will be, regularly inspected by OSHA and by state and local inspection agencies and departments. We believe that Twin Vee’s facilities comply in all material aspects with these regulations. Although we anticipate that once our factory is built, we will incur capital expenditures related to compliance with environmental laws, we do not currently anticipate incurring any material expenditure in order to comply with environmental or safety regulations in connection with our future manufacturing facility.
Powerboats sold in the United States must be manufactured to meet the standards of certification required by the United States Coast Guard. In addition, boats manufactured for sale in the European Community must be certified to meet the European Community’s imported manufactured products standards. These certifications specify standards for the design and construction of powerboats. We believe that all of our boats will meet these standards. In addition, safety of recreational boats is subject to federal regulation under the Boat Safety Act of 1971, which requires boat manufacturers to recall products for replacement of parts or components that have demonstrated defects affecting safety. Twin Vee has instituted recalls for defective component parts produced by certain of its third-party suppliers. None of Twin Vee’s recalls has had a material adverse effect on it. We expect to begin production of our two FX1 electric boats and commence selling to end user customers by late 2023. Once we have commenced production of our electric boats, we intend to institute recalls for any defective component parts produced by our third-party suppliers.
If we are not able to pass these additional costs along to our customers, it may have a negative impact on our business and financial condition.
State Dealership and Servicing Regulations
We intend to comply with specific state regulations, if any, regarding boat dealerships and servicing when we establish our direct-to-consumer sales and service model. While there are limitations on the ability of a motor vehicle manufacturer to act as its own dealer to provide direct sales in many states, these limitations generally do not apply to boat manufacturers.
We will investigate each state’s laws before our products become available for purchase in that jurisdiction. To determine how the laws would apply to our business would require fact-specific analysis of numerous factors of business in the state, including whether we have a physical presence or employees, whether we advertise or conduct other marketing activities, how sale transactions are structured, the volume of sales into the state, and whether the state prohibits boat manufacturers from acting as dealers or servicing boats.
We plan to establish direct-to-consumer sales in those states where we are permitted to engage in direct-sales of our products. Moreover, in states where the law is unclear or prohibitive of direct sales, we intend to work with the governments of those states to carve out an exception for the sale of zero emission boats that are not available at other dealers within the state and use OneWater sites, where applicable, for the purpose of selling, delivering and servicing our boats within that particular state.
As a result, we may not be able to sell to customers in each state in the United States or provide service from a location in every state.
Employees/Human Capital
We believe we maintain excellent relations with our employees. As of March 20, 2023, we employed sixteen people as full-time employees, these employees are provided additional administrative support from Twin Vee. We also work with a variety of third-party consultants, including naval architects, electrical engineers, prototype professionals and procurement professionals. None of our employees are represented by a labor union. See “Certain Relationships and Related Party Transactions—Transition Services Agreement.”
28
Corporate Information
Our principal executive office is located at 3101 S. US-1, Ft. Pierce, Florida 34982, and our telephone number is 772-202-8039. We maintain our corporate website at www.forzax1.com. Investors should not rely on any such information in deciding whether to purchase our common stock.
Forza X1, Inc. was initially incorporated as Electra Power Sports, Inc. on October 15, 2021, but we subsequently changed our name to Forza X1, Inc. on October 29, 2021. Our majority shareholder was incorporated in the State of Florida as Twin Vee Catamarans, Inc. on December 1, 2009, and reincorporated in Delaware on April 7, 2021, as Twin Vee PowerCats Co.
On July 22, 2022, our Board and our sole stockholders approved a forward split that was effected on July 22, 2022 at a ratio of 1.076923077:1, such that after the forward split our outstanding shares of common stock increased to 7,000,000 shares of common stock.
Facilities
We currently share our corporate headquarters located at 3101 US Highway 1, Fort Pierce, Florida, 34982 with Twin Vee. Twin Vee’s parent company, Twin Vee PowerCats, Inc., leases the facility from Visconti Holdings, LLC, (“Visconti Holdings”) an entity owned and controlled by our Executive Chairman and Chief of Product Development, Joseph Visconti pursuant to a lease agreement (the “Lease Agreement”), dated January 1, 2020, by and among the Company, Visconti Holdings, LLC and Twin Vee PowerCats, Inc. The Lease Agreement currently has a 5-year term, with an option to renew for an additional 5-year term. Twin Vee PowerCats, Co., currently pays Visconti Holdings $26,500 per month plus applicable sales and use tax, which is currently 7% in St. Lucie County. While we believe these headquarters are adequate for our current operations and needs, we do believe that the capacity at the facility will not be sufficient to support both our full-scale production and Twin Vee’s full-scale production. We are currently in negotiations for a new site to build the Forza factory. We are currently designing a state-of-the-art manufacturing plant to be built on a new parcel of land as our future boat manufacturing facility. The parcel of land to be acquired and the manufacturing facility to be built on such property will be owned by us, and not Twin Vee. In October of 2022, we signed a two-year lease agreement, on a 8,800 square foot warehouse facility in Old Fort, North Carolina to begin building out our prototype engines. The monthly base rent will be $7,517 the first year, including taxes and common area maintenance, the lease required a $7,517 security deposit. The bases rent will increase three (3%) on the anniversary of the annual term. See “Forza FX1 Future Factory.”
Implications of Being an Emerging Growth Company
We are an “emerging growth company,” as defined in the Jumpstart Our Business Startups Act of 2012 (the “JOBS Act”), and therefore we intend to take advantage of certain exemptions from various public company reporting requirements, including not being required to have our internal controls over financial reporting audited by our independent registered public accounting firm pursuant to Section 404 of the Sarbanes-Oxley Act of 2002 (the “Sarbanes-Oxley Act”), reduced disclosure obligations regarding executive compensation in our periodic reports and proxy statements and exemptions from the requirements of holding a nonbinding advisory vote on executive compensation and any golden parachute payments. We may take advantage of these exemptions until we are no longer an “emerging growth company.” In addition, the JOBS Act provides that an “emerging growth company” can delay adopting new or revised accounting standards until such time as those standards apply to private companies. We have elected to use the extended transition period for complying with new or revised accounting standards under the JOBS Act. This election allows us to delay the adoption of new or revised accounting standards that have different effective dates for public and private companies until those standards apply to private companies. As a result of this election, our financial statements may not be comparable to companies that comply with public company effective dates. We will remain an “emerging growth company” until the earlier of (1) the last day of the fiscal year: (a) following the fifth anniversary of the completion of our initial public offering (the “IPO”); (b) in which we have total annual gross revenue of at least $1.235 billion; or (c) in which we are deemed to be a large accelerated filer, which means the market value of our common stock that is held by non-affiliates exceeded $700.0 million as of the prior June 30th, and (2) the date on which we have issued more than $1.0 billion in non-convertible debt during the prior three-year period. References herein to “emerging growth company” have the meaning associated with that term in the JOBS Act.
Item 1A. Risk Factors.
Investing in our common stock involves a high degree of risk. You should carefully consider the risks described below, as well as the other information in this Annual Report on Form 10-K, including our financial statements and the related notes and the section titled “Management’s Discussion and Analysis of Financial Condition and Results of Operations” in this Annual Report on Form 10-K, before deciding whether to invest in our common stock. The occurrence of any of the events or developments described below could harm our business, financial condition, results of operations and growth prospects. In such an event, the market price of our common stock could decline, and you may lose all or part of your investment. Additional risks and uncertainties not presently known to us or that we currently deem immaterial also may impair our business operations.
29
RISKS RELATED TO OUR BUSINESS
We are a start-up entity and expect to incur significant expenses and continuing losses for the foreseeable future.
We are a start-up entity and have had very limited operations to date. To date, we have designed and manufactured only prototypes of our electric sport boat, have not yet commercialized our boats and have not sold any boats. We believe that we will continue to incur operating and net losses in the future while we grow, including following our initial generation of revenues from the sale of our boats which may occur later than we expect or not at all. We do not expect to be profitable for the foreseeable future as we invest in our business, build capacity and ramp up operations, and we cannot assure you that we will ever achieve or be able to maintain profitability in the future. Even if we are able to successfully develop our boats and attract customers, there can be no assurance that we will be financially successful. For example, as we develop our product portfolio, we will need to manage costs effectively to sell those products at our expected margins. Failure to become profitable would materially and adversely affect the value of your investment. If we are ever to achieve profitability, it will be dependent upon the successful development and commercial introduction and acceptance of our electric sport boats and the development of a vertically integrated direct-to-consumer distribution system to market and sell our boats, which may not occur. As such, for the foreseeable future, we will have to fund all our operations and capital expenditures from cash on hand, and potentially, future offerings of securities. However, unanticipated changes may occur that could consume our available capital before we expect, including changes in and progress of our development activities.
Our independent registered public accounting firm has expressed doubt about our ability to continue as a going concern.
The report of our independent registered public accounting firm contains a note stating that the accompanying financial statements have been prepared assuming we will continue as a going concern. During the year ended December 31, 2022, we incurred a net loss of $3,630,081 and used cash in operations of $3,377,621. For the periods October 15, 2021 through December 31, 2021 (Successor) and January 1, 2021 through October 14, 2021 (Predecessor), we incurred a net loss of $270,630 and $186,921, respectively. For the period October 15, 2021 through December 31, 2021 (Successor), we used cash in operations of $317,131. For the period January 1, 2021 through October 14, 2021 (Predecessor), we had cash provided by operations of $13,024. Losses have principally occurred as a result of the research and development efforts coupled with no operating revenue.
Until we begin generating revenue, there is a doubt about our ability to continue as a going concern through December 31, 2023.
Our limited operating history makes it difficult for us to evaluate our future business prospects.
We are a company with an extremely limited operating history and have not generated any revenue from sales of our boats or other products and services to date. As we attempt to transition from research and development activities to production and sales, it is difficult, if not impossible, to forecast our future results, and we have limited insight into trends that may emerge and affect our business. The estimated costs and timelines that we have developed to design and complete the design and engineering of the FX1 sport boat and its outboard electric motor and then reach full scale commercial production are subject to inherent risks and uncertainties involved in the transition from a start-up company focused on research and development activities to the large-scale manufacture and sale of vehicles. There can be no assurance that our estimates related to the costs and timing necessary to complete the design and engineering of the FX1 sport boat and its outboard electric motor, will prove accurate. These are complex processes that may be subject to delays, cost overruns and other unforeseen issues. In addition, we have engaged in limited marketing activities to date, so even if we are able to bring the FX1 or other commercial products to market, on time and on budget, there can be no assurance that customers will embrace our products in significant numbers. Although we have received boat reservations, they are non-binding and cancellable and therefore cannot be relied upon as true indications of interest in our products. Market conditions, many of which are outside of our control and subject to change, including general economic conditions, the availability and terms of third-party consumer financing, the impacts and ongoing uncertainties created by the COVID-19 pandemic, fuel and energy prices, regulatory requirements and incentives, competition and the pace and extent of vehicle electrification generally, will impact demand for the FX1 and our other commercial products, and ultimately our success.
You should consider our business and prospects in light of the risks and significant challenges we face as a new entrant into our industry. If we fail to adequately address any or all of these risks and challenges, our business, prospects, financial condition, results of operations, and cash flows may be materially and adversely affected.
30
Our planned fully electric sport boat has not yet been assembled into a fully integrated product, and even if assembled, an interest in it may not develop.
Our electric boats are being designed as fully integrated electric boats, including the hull, outboard motor and control system. There can be no assurance that we will be able to complete development and mass produce the FX1 when anticipated, if at all, or that the anticipated features or services to be included in the FX1 will create substantial interest or a market, and therefore our anticipated FX1 product, its sales and growth for our product may not develop as expected, or at all. For example, in May 2021 we experienced a failure in connection with the sea trial of a prototype of our electric boat which resulted in a six-month delay in our design timetable as we implemented changes to the design for outboard electric motor system as a result of the failure. Although recent trials have been successful, we cannot guarantee that similar events will not occur in the future, or that we will be able to contain such events without damage or delay. Even if such a market for the FX1 sport boat develops, there can be no assurance that we would be able to maintain that market.
Our operations to date have been primarily limited to finalizing our design and engineering of our electric sport boat as well as organizing and staffing our company in preparation for launching the FX1 electric boat. As such we have not yet demonstrated, and our success is wholly dependent upon, our ability to commercialize our products. The successful commercialization of any products will require us to perform a variety of functions, including:
| ● | completing the design and testing for the FX1 sport boat and our proprietary outboard electric motor; | |
| ● | manufacturing the FX1 sport boats; | |
| ● | developing a vertically integrated direct-to-consumer distribution system; and | |
| ● | conducting sales and marketing activities. |
We cannot be certain that our business strategy will be successful or that we will successfully address these risks. In the event that we do not successfully address these risks, our business, prospects, financial condition, and results of operations could be materially and adversely affected, and we may not have the resources to continue or expand our business operations.
Our planned distribution model is different from the predominant current distribution model for boat manufacturers, which subjects us to substantial risk and makes evaluating our business, prospects, financial condition, results of operations, and cash flows difficult.
Our distribution model is still in the planning stages. We currently plan to mainly sell our boats directly to customers rather than through franchised dealerships (unless required to do so by certain states), primarily through our website and app platform, subject to obtaining applicable dealer licenses and equivalent permits in such jurisdictions. The digital customer experience via our online platform will allow customers to research, shop, choose boat hull color, interior upholstery color, and a possible upgrade of an additional battery to extend run times, order, track and take delivery through our web-based and app platform. We have not yet: (i) entered into any arrangements with third parties to provide financing services through our web and app platform, or (ii) hired staff for our intended support and service department. Once the customer places the order, their Forza X1 account will request several documents, including license, insurance, etc., which can be uploaded online without ever speaking with a salesperson. If the customer has questions, concerns, or needs support through the sales and purchase process, they will be able to contact Forza X1 through the website or app with any questions, concerns.
Since our planned sales and marketing platform is a newer way to shop, buy and take delivery of a new boat through a mostly virtual process, we are unable to predict or conclude precisely what the customer will experience. We intend to follow up customer transactions with review and quality control questionnaires to collect the data and continue to better our platform and how we interact with customers.
In addition to our website and app platform, we have entered into an agreement with OneWater to be the sole dealer distributing our products and OneWater’s retail locations may be used as potential delivery points for customers to pick up our products, and where available, we will utilize them for service needs. However, our relationship with OneWater is new and we have no prior history with OneWater upon which to evaluate this relationship. In addition, the agreement with OneWater may be terminated by either of us at any time without cause.
This model of boat distribution is relatively new, different from the predominant current distribution model for boat manufacturers and, with limited exceptions, unproven, which subjects us to substantial risk. We have no experience in selling or leasing boats direct-to-consumer and therefore this model may require significant expenditures and provide for slower expansion than the traditional dealer franchise system. For example, we will not be able to utilize long established relationships developed by Twin Vee, with its dealer network. Moreover, we will be competing with companies with well established distribution channels. Our success will depend in large part on our ability to effectively develop our own sales channels and marketing strategies.
31
Implementing our direct sales model is subject to numerous significant challenges, including obtaining permits and approvals from government authorities, and we may not be successful in addressing these challenges. If our direct sales model does not develop as expected or develops more slowly than expected, we may be required to modify or abandon our sales model, which could materially and adversely affect our business, prospects, financial condition, results of operations, and cash flows.
We will be dependent upon OneWater for any sales of our boats through traditional sales methods.
In order to attract customers that prefer to buy our products through a traditional marketing method, on August 17, 2022, we entered into a five year agreement with OneWater to establish our customer experience and service centers in OneWater’s current and future locations and other strategic locations across the United States pursuant to which OneWater will be the sole dealer distributing our products and OneWater’s retail locations may be used as potential delivery points for customers to pick up our products. We retained the right to sell our products directly to customers. The agreement may be terminated by either party for breach upon thirty days’ notice and without cause upon three months’ notice. Our relationship with OneWater is new and we have no history upon which to evaluate the success of this relationship. Our boats will not be the only boats sold by OneWater and therefore we will face competition from the other boats sold by OneWater. In addition, either party may terminate the agreement for any reason upon three months’ notice. If OneWater were to terminate the agreement, we would need to find other dealers to market and service our products, especially in states that do not allow for direct marketing and there can be no assurance that we will be successful in doing so.
We have identified material weaknesses in our internal controls, and we cannot provide assurances that these weaknesses will be effectively remediated or that additional material weaknesses will not occur in the future.
As a public company, we are subject to the reporting requirements of the Exchange Act, and the Sarbanes-Oxley Act. We expect that the requirements of these rules and regulations will continue to increase our legal, accounting and financial compliance costs, make some activities more difficult, time consuming and costly, and place significant strain on our personnel, systems and resources.
The Sarbanes-Oxley Act requires, among other things, that we maintain effective disclosure controls and procedures, and internal controls over financial reporting.
We do not yet have effective disclosure controls and procedures, or internal controls over all aspects of our financial reporting. We are continuing to develop and refine our internal controls over financial reporting. Our management is responsible for establishing and maintaining adequate internal control over our financial reporting, as defined in Rule 13a-15(f) under the Exchange Act. We will be required to expend time and resources to further improve our internal controls over financial reporting, including by expanding our staff. However, we cannot assure you that our internal control over financial reporting, as modified, will enable us to identify or avoid material weaknesses in the future.
We have identified material weaknesses in our internal control over financial reporting. A material weakness is a deficiency, or a combination of deficiencies, in internal control over financial reporting such that there is a reasonable possibility that a material misstatement of our financial statements will not be prevented or detected on a timely basis. The material weaknesses identified to date include that we have not yet retained sufficient staff or engaged sufficient outside consultants with appropriate experience in GAAP presentation, especially of complex instruments, to devise and implement effective disclosure controls and procedures, or internal controls.
We will be required to expend time and resources to further improve our internal controls over financial reporting, including by expanding our staff. However, we cannot assure you that our internal control over financial reporting, as modified, will enable us to identify or avoid material weaknesses in the future.
Our current controls and any new controls that we develop may become inadequate because of changes in conditions in our business, including increased complexity resulting from our international expansion. Further, weaknesses in our disclosure controls or our internal control over financial reporting may be discovered in the future. Any failure to develop or maintain effective controls, or any difficulties encountered in their implementation or improvement, could harm our operating results or cause us to fail to meet our reporting obligations and may result in a restatement of our financial statements for prior periods. Any failure to implement and maintain effective internal control over financial reporting could also adversely affect the results of management reports and independent registered public accounting firm audits of our internal control over financial reporting that we will eventually be required to include in our periodic reports that will be filed with the SEC. Ineffective disclosure controls and procedures, and internal control over financial reporting could also cause investors to lose confidence in our reported financial and other information, which would likely have a negative effect on the market price of our common stock.
32
Our independent registered public accounting firm is not required to audit the effectiveness of our internal control over financial reporting until after we are no longer an “emerging growth company” as defined in the JOBS Act and meet other requirements. At such time, our independent registered public accounting firm may issue a report that is adverse in the event it is not satisfied with the level at which our internal control over financial reporting is documented, designed or operating. Any failure to maintain effective disclosure controls and internal control over financial reporting could have a material and adverse effect on our business and operating results and cause a decline in the market price of our common stock.
Our ability to generate meaningful product revenue will depend on consumer adoption of electric boats.
We are only developing electric boats and, accordingly, our ability to generate meaningful product revenue will depend highly on sustained consumer demand for alternative fuel vehicles in general and electric boats in particular. If the market for electric boats does not develop as we expect or develops more slowly than we expect, or if there is a decrease in consumer demand for electric vehicles, our business, prospects, financial condition and results of operations will be harmed. The market for electric and other alternative fuel vehicles is relatively new, rapidly evolving, characterized by rapidly changing technologies, price competition, additional competitors, evolving government regulation (including government incentives and subsidies) and industry standards, frequent new vehicle announcements and changing consumer demands and behaviors. Any number of changes in the industry could negatively affect consumer demand for electric vehicles in general and our electric boats in particular.
In addition, demand for electric boats may be affected by factors directly impacting boat prices or the cost of purchasing and operating boats such as sales and financing incentives including tax credits, prices of raw materials and parts and components, cost of fuel, availability of consumer credit, and governmental regulations, including tariffs, import regulation and other taxes. Volatility in demand may lead to lower vehicle unit sales, which may result in downward price pressure and adversely affect our business, prospects, financial condition and results of operations. Further, sales of boats in the marine industry tend to be cyclical in many markets, which may expose us to increased volatility, especially as we expand and adjust our operations and retail strategies. Specifically, it is uncertain how such macroeconomic factors will impact us as a new entrant in an industry that has globally been experiencing a recent decline in sales.
Other factors that may influence the adoption of electric boats include:
| ● | perceptions about electric vehicle quality, safety, design, performance and cost; | |
| ● | perceptions about the limited range over which electric boats may be driven on a single battery charge; | |
| ● | perceptions about the total cost of ownership of electric boats, including the initial purchase price and operating and maintenance costs, both including and excluding the effect of any government and other subsidies and incentives designed to promote the purchase of electric boats; | |
| ● | perceptions about the sustainability and environmental impact of electric boats, including with respect to both the sourcing and disposal of materials for electric vehicle batteries and the generation of electricity provided in the electric grid; | |
| ● | the availability of other alternative fuel boats; | |
| ● | improvements in the fuel economy of the internal combustion engine; | |
| ● | the quality and availability of service for electric boats; | |
| ● | volatility in the cost of oil and gasoline; | |
| ● | government regulations and economic incentives promoting fuel efficiency and alternate forms of energy; | |
| ● | access to charging stations and cost to charge an electric vehicle and related infrastructure costs and standardization; | |
| ● | the availability of tax and other governmental incentives to purchase and operate electric boats or future regulation requiring increased use of nonpolluting boats; and | |
| ● | macroeconomic factors. |
The influence of any of the factors described above or any other factors may cause a general reduction in consumer demand for electric vehicles or our electric boats in particular, either of which would materially and adversely affect our business, results of operations, financial condition and prospects
33
We may be unable to adequately control the capital expenditures and costs associated with our business and operations.
We will require significant capital to develop and grow our business, including developing our first boat to be manufactured, the FX1, as well as building our brand, and we will not be able to rely on Twin Vee as a source of such funding. We expect to make additional capital expenditures and incur substantial costs as we complete the design and engineering of the FX1 and prepare to commercially launch sales of our boats and grow our business, including research and development expenses, raw material procurement costs, sales and distribution expenses as we build our brand and market our boats and general and administrative expenses as we scale our operations, identify and commit resources to investigate new areas of demand and incur costs as a public company. In addition, we expect to incur significant costs as we build our factory in North Carolina. Our ability to become profitable in the future will not only depend on our ability to complete the design and development of our boats but also to control our capital expenditures and costs. As we expand our product portfolio, we will need to manage costs effectively to sell those products at our expected margins. If we are unable to cost efficiently design, manufacture, market, sell and distribute and service our boats and provide our services, our business, prospects, financial condition, results of operations, and cash flows would be materially and adversely affected.
We may not be able to commence production of our electric boats as planned.
We currently plan to manufacture our electric boats at a new state of the art carbon neutral factory that we plan to build in McDowell County, North Carolina. Until we are able to expand our manufacturing capacity and build the planned manufacturing facility, we expect to continue to share Twin Vee’s current manufacturing facility, which has a limited capacity and may not be able to satisfy our manufacturing needs. Although we entered into a Transition Services Agreement with Twin Vee (the “Transition Services Agreement”) following the completion of our IPO, the Transition Services Agreement does not provide for any dedicated manufacturing capacity for us. See “Certain Relationships and Related Party Transactions—Transition Services Agreement.” Our ability to utilize Twin Vee’s manufacturing capacity pending completion of our own facility will be subject to its availability as determined by Twin Vee and Twin Vee has no obligation to make any manufacturing capacity available to us under the Transition Services Agreement. As a result, our ability to produce any boats will be limited to available capacity of the Twin Vee facility until our future manufacturing facility is operational. If Twin Vee does not provide manufacturing capacity, we would not be able to produce our electric boats unless or until we lease or purchase facilities and equipment necessary for our production purposes. Any facility that we build will require a significant capital investment and is expected to take at least one year to eighteen months to build and become fully operational. In addition, even if the construction of our planned facility is completed when anticipated, production at our facility could be delayed whether due to lack of equipment, workforce issues or other reasons. If we are unable to complete our own facility and commence production as planned, our business, prospects, financial condition, results of operations, and cash flows would be materially and adversely affected and the value of your investment in our company may be materially adversely affected.
Changes in general economic conditions, geopolitical conditions, domestic and foreign trade policies, monetary policies and other factors beyond our control may adversely impact our business and operating results.
Our operations and performance depend on global, regional and U.S. economic and geopolitical conditions. General worldwide economic conditions have experienced significant instability in recent years including the recent global economic uncertainty and financial market conditions. Russia’s invasion and military attacks on Ukraine have triggered significant sanctions from U.S. and European leaders and financial markets around the world experienced volatility following the invasion of Ukraine by Russia in February 2022. Resulting changes in U.S. trade policy could trigger retaliatory actions by Russia, its allies and other affected countries, including China, resulting in a “trade war.” Furthermore, if other countries, including the U.S., become further involved in the conflict, we could face significant adverse effects to our business and financial condition.
The uncertain financial markets, disruptions in supply chains, mobility restraints, and changing priorities as well as volatile asset values could impact our business in the future. The COVID-19 outbreak and government measures taken in response to the pandemic have also had a significant impact, both direct and indirect, on businesses and commerce, as worker shortages have occurred; supply chains have been disrupted; facilities and production have been suspended; and demand for certain goods and services, such boats and other recreational components and supplies, have spiked, while demand for other goods and services, such as travel, have fallen. The future progression of the pandemic and its effects on our business and operations are uncertain.
Further, although we have not experienced material adverse effects on our business due to increasing inflation, it has raised operating costs for many businesses and, in the future, could impact demand for our products, foreign exchange rates or employee wages. Inflation rates, particularly in the United States and United Kingdom, have increased recently to levels not seen in years, and increased inflation may result in increases in our operating costs (including our labor costs), reduced liquidity and limits on our ability to access credit or otherwise raise capital. In addition, the Federal Reserve has raised, and may again raise, interest rates in response to concerns about inflation, which coupled with reduced government spending and volatility in financial markets may have the effect of further increasing economic uncertainty and heightening these risks.
Actual events involving reduced or limited liquidity, defaults, non-performance or other adverse developments that affect financial institutions or other companies in the financial services industry or the financial services industry generally, or concerns or rumors about any events of these kinds, have in the past and may in the future lead to market-wide liquidity problems. For example, on March 10, 2023, Silicon Valley Bank, was closed by the California Department of Financial Protection and Innovation, which appointed the Federal Deposit Insurance Corporation as receiver. Although we did not have any cash or cash equivalent balances on deposit with Silicon Valley Bank, uncertainty and liquidity concerns in the broader financial services industry remain and the failure of Silicon Valley Bank and its potential near- and long-term effects on the biotechnology industry and its participants such as our vendors, suppliers, and investors, may also adversely affect our operations and stock price.
34
We are actively monitoring the effects these disruptions and increasing inflation could have on our operations.
These conditions make it extremely difficult for us to accurately forecast and plan future business activities.
In addition, the outbreak of a pandemic could disrupt our operations due to absenteeism by infected or ill members of management or other employees, or absenteeism by members of management and other employees who elect not to come to work due to the illness affecting others in our office or laboratory facilities, or due to quarantines. Pandemics could also impact members of our Board of Directors resulting in absenteeism from meetings of the directors or committees of directors and making it more difficult to convene the quorums of the full Board of Directors or its committees needed to conduct meetings for the management of our affairs.
We may not receive the anticipated grant funding.
On July 28, 2022, we received notice that the North Carolina Economic investment committee has approved a Job Development Investment Grant (“JDIG”) providing for reimbursement to us of up to $1,367,100 over a twelve-year period to establish a new manufacturing plant in McDowell County, North Carolina. The receipt of grant funding is conditioned upon us investing over $10.5 million in land, buildings and fixtures, infrastructure and machinery and equipment by the end of 2025 and us creating as many as 170 jobs. We are currently in negotiations for a new site to build the Forza factory in North Carolina. There can be no assurance that the negotiations will be successful. If unsuccessful, we will not meet the conditions necessary to receive the grant funding and will be subject to the limited capacity at the Twin Vee factory that Twin Vee allows us, in its discretion, to use. There can be no assurance that we will meet the conditions necessary to receive the grant funding. We are currently in negotiations for a new site to build the Forza factory in North Carolina. There can be no assurance that the negotiations will be successful.
We could experience cost increases or disruptions in supply of raw materials or other components used in our boats.
We expect to incur significant costs related to procuring raw materials required to manufacture and assemble our boats. The prices for these raw materials fluctuate depending on factors beyond our control including market conditions and global demand for these materials and could adversely affect our business, prospects, financial condition, results of operations, and cash flows. Further, any delays or disruptions in our supply chain could harm our business. For example, COVID-19, including associated variants, could cause disruptions to and delays in our operations, including shortages and delays in the supply of certain parts, including semiconductors, materials and equipment necessary for the production of our boats, and the internal designs and processes we may adopt in an effort to remedy or mitigate impacts of such disruptions and delays could result in higher costs. In addition, our business also depends on the continued supply of battery cells for our boats. We are exposed to multiple risks relating to availability and pricing of quality battery cells. These risks include:
| ● | the inability or unwillingness of battery cell manufacturers to build or operate battery cell manufacturing plants to supply the numbers of battery cells (including the applicable chemistries) required to support the growth of the electric or plug-in hybrid vehicle industry as demand for such cells increases; | |
| ● | disruption in the supply of battery cells due to quality issues or recalls by the battery cell manufacturers; and | |
| ● | an increase in the cost, or decrease in the available supply of raw materials used in battery cells, such as lithium, nickel, and cobalt. |
Furthermore, currency fluctuations, tariffs or shortages in petroleum and other economic or political conditions may result in significant increases in freight charges and raw material costs. Substantial increases in the prices for our raw materials or components would increase our operating costs and could reduce our margins. In addition, a growth in popularity of electric vehicles without a significant expansion in battery cell production capacity could result in shortages which would result in increased materials costs to us, and would impact our projected manufacturing and delivery timelines, and adversely affect our business, prospects, financial condition, results of operations, and cash flows.
35
We depend upon third parties to manufacture and to supply key semiconductor chip components necessary for our boats. We do not have long-term agreements with all of our semiconductor chip manufacturers and suppliers, and if these manufacturers or suppliers become unwilling or unable to provide an adequate supply of semiconductor chips, with respect to which there is a global shortage, we would not be able to find alternative sources in a timely manner and our business would be adversely impacted.
Semiconductor chips are a vital input component to the electrical architecture of our boats, controlling wide aspects of the boats’ operations. Many of the key semiconductor chips we intend to use in our boats come from limited or single sources of supply, and therefore a disruption with any one manufacturer or supplier in our supply chain would have an adverse effect on our ability to effectively manufacture and timely deliver our boats. We do not have any long- term supply contracts with any suppliers and purchase chips on a purchase order basis. Due to our reliance on these semiconductor chips, we are subject to the risk of shortages and long lead times in their supply. We are in the process of identifying alternative manufacturers for semiconductor chips. We have in the past experienced, and may in the future experience, semiconductor chip shortages, and the availability and cost of these components would be difficult to predict. For example, our manufacturers may experience temporary or permanent disruptions in their manufacturing operations due to equipment breakdowns, labor strikes or shortages, natural disasters, component or material shortages, cost increases, acquisitions, insolvency, changes in legal or regulatory requirements, or other similar problems.
In particular, increased demand for semiconductor chips in 2020, due in part to the COVID-19 pandemic and increased demand for consumer electronics that use these chips, has resulted in a severe global shortage of chips in 2021. As a result, our ability to source semiconductor chips to be used in our boats has been adversely affected. This shortage may result in increased chip delivery lead times, delays in the production of our boats, and increased costs to source available semiconductor chips. To the extent this semiconductor chip shortage continues, and we are unable to mitigate the effects of this shortage, our ability to deliver sufficient quantities of our boats to fulfill our preorders and to support our growth through sales to new customers would be adversely affected. In addition, we may be required to incur additional costs and expenses in managing ongoing chip shortages, including additional research and development expenses, engineering design and development costs in the event that new suppliers must be onboarded on an expedited basis. Further, ongoing delays in production and shipment of boats due to a continuing shortage of semiconductor chips may harm our reputation and discourage additional preorders and boat sales, and otherwise materially and adversely affect our business and operations.
Our ability to meet our manufacturing workforce needs is crucial to our results of operations and future sales and profitability.
We rely on the existence of an available hourly workforce to manufacture our products. We also rely upon our engineers that are specialist in electric engineering. We cannot assure you that we will be able to attract and retain qualified employees to meet current or future needs at a reasonable cost, or at all. For instance, the demand for engineers has increased over the past several years and we will compete with many of the tech companies and automobile companies. In addition, the demand for skilled employees has increased recently with the low unemployment rates in Florida and North Carolina where we currently have manufacturing facilities and are building a manufacturing facility. Also, although none of our employees are currently covered by collective bargaining agreements, we cannot assure you that our employees will not elect to be represented by labor unions in the future. Additionally, competition for qualified employees could require us to pay higher wages to attract a sufficient number of employees. Significant increases in manufacturing workforce costs could materially adversely affect our business, financial condition or results of operations.
We have a large fixed cost base that will affect our profitability if our sales decrease.
The fixed cost levels of operating a powerboat manufacturer can put pressure on profit margins when sales and production decline. Our profitability will depend, in part, on our ability to spread fixed costs over a sufficiently large number of products sold and shipped, and if we make a decision to reduce our rate of production, gross or net margins could be negatively affected. Consequently, decreased demand or the need to reduce production can lower our ability to absorb fixed costs and materially impact our financial condition or results of operations.
Our outstanding common stock is substantially controlled by our management.
Twin Vee PowerCats, Co. currently owns 67% of our outstanding common stock. Joseph Visconti, who currently serves as our Executive Chairman and Chief of Product Development is also the Chairman of the Board and Chief Executive Officer of our parent company, Twin Vee PowerCats Co., and is also the Chairman of the Board and Chief Executive Officer of Twin Vee PowerCats Co. Mr. Visconti beneficially owns 25.84 % of the outstanding stock of f Twin Vee PowerCats Co. As a result, Mr. Visconti is deemed to beneficially own 17% of Forza X1. As a result of these holdings, Mr. Visconti does and will have significant influence over our management and affairs and over matters requiring stockholder approval, including the election of directors and approval of significant corporate transactions. Therefore, Twin Vee PowerCats Co. will have substantial influence over any election of our directors and our operations. It should also be noted that for the most part, authorization to modify our amended and restated certificate of incorporation, as amended, requires only majority stockholder consent and approval to modify our amended and restated bylaws requires authorization of only a majority of the board of directors. This concentration of ownership could also have the effect of delaying or preventing a change in our control. Accordingly, our Executive Chairman and Chief of Product Development could cause us to enter into transactions or agreements that we would not otherwise consider.
In addition, this concentration of ownership may delay or prevent a change in our control and might affect the market price of our common stock, even when a change in control may be in the best interest of all stockholders. Furthermore, the interests of this concentration of ownership may not always coincide with our interests or the interests of other stockholders.
36
Our management overlaps substantially with the management and beneficial owners of our principal stockholder, which may give rise to potential conflicts of interest.
Several of our executive officers and directors are also officers and/or directors of our principal stockholder, Twin Vee PowerCats Co., and certain of such executive officers and directors are, in turn, the principal stockholders of Twin Vee PowerCats Co. For example the Chairman of our Board of Directors is the Chairman of the Board of Director and Chief Executive Officer of Twin Vee PowerCats Co. and our interim Chief Financial Officer currently serves as the Chief Financial Officer of Twin Vee PowerCats Co. Accordingly, there may be inherent, albeit non-specific, potential conflicts involved in the participation by members of each company’s management, audit committee, compensation committee, nominating committee and other applicable board committees which will oversee questions of possible conflicts of interest and compensation, notwithstanding our effort to appoint independent directors that do not have these inherent conflicts. In addition, as a matter of practicality, efficiency and appropriate accounting, the costs of certain services (including salaries of executive officers) are allocated, which creates inter-company obligations.
Our annual and quarterly financial results are subject to significant fluctuations depending on various factors, many of which are beyond our control.
Our sales and operating results are expected to vary significantly from quarter to quarter and year to year depending on various factors, many of which are beyond our control. These factors include, but are not limited to:
| ● | Seasonal consumer demand for our products; | |
| ● | Discretionary spending habits; | |
| ● | Changes in pricing in, or the availability of supply in, the powerboat market; | |
| ● | Failure to maintain a premium brand image; | |
| ● | Disruption in the operation of our manufacturing facilities; | |
| ● | Variations in the timing and volume of our sales; | |
| ● | The timing of our expenditures in anticipation of future sales; | |
| ● | Sales promotions by us and our competitors; | |
| ● | Changes in competitive and economic conditions generally; | |
| ● | Consumer preferences and competition for consumers’ leisure time; | |
| ● | Impact of unfavorable weather conditions; | |
| ● | Changes in the cost or availability of our labor; and | |
| ● | Increased fuel prices. |
Due to these and other factors, our results of operations may decline quickly and significantly in response to changes in order patterns or rapid decreases in demand for our products. We anticipate that fluctuations in operating results will continue in the future.
Unfavorable weather conditions may have a material adverse effect on our business, financial condition, and results of operations, especially during the peak boating season.
Adverse weather conditions in any year in any particular geographic region may adversely affect sales in that region, especially during the peak boating season. Sales of our products are expected to be generally stronger just before and during spring and summer, which represent the peak boating months, and favorable weather during these months generally has a positive effect on consumer demand. Conversely, unseasonably cool weather, excessive rainfall, reduced rainfall levels, or drought conditions during these periods may close area boating locations or render boating dangerous or inconvenient, thereby generally reducing consumer demand for our products. Our annual results would be materially and adversely affected if our net sales were to fall below expected seasonal levels during these periods. We may also experience more pronounced seasonal fluctuation in net sales in the future as we expand our businesses. There can be no assurance that weather conditions will not have a material effect on the sales of any of our products.
37
A natural disaster, the effects of climate change, or disruptions at our manufacturing facility could adversely affect our business, financial condition, and results of operations.
We currently rely on the continuous operation of Twin Vee’s manufacturing facility in Fort Pierce, Florida for the production of our prototypes and expect such reliance to continue until such time, if ever, that we build a new facility to manufacture our electric boats. Any natural disaster or other serious disruption to Twin Vee’s facility or any new facility due to fire, flood, earthquake, or any other unforeseen circumstance would adversely affect our business, financial condition, and results of operations. Changes in climate could adversely affect our operations by limiting or increasing the costs associated with equipment or fuel supplies. In addition, adverse weather conditions, such as increased frequency and/or severity of storms, or floods could impair our ability to operate by damaging the Twin Vee facilities and equipment or restricting product delivery to customers. The occurrence of any disruption at any such manufacturing facility, even for a short period of time, may have an adverse effect on our productivity and profitability, during and after the period of the disruption. These disruptions may also cause personal injury and loss of life, severe damage to or destruction of property and equipment, and environmental damage. Although we maintain property, casualty, and business interruption insurance of the types and in the amounts that we believe are customary for the industry, we are not fully insured against all potential natural disasters or other disruptions to our manufacturing facility.
If we fail to manage our manufacturing levels while still addressing the seasonal retail pattern for our products, our business and margins may suffer.
The seasonality of retail demand anticipated for our products, based upon sales of Twin Vee’s products, will require us to manage our manufacturing to address anticipated retail demand. We will need to manage seasonal changes in consumer demand and inventory. If there is weakness in retail demand, we could be required to reduce our production, resulting in lower rates of absorption of fixed costs in our manufacturing and, therefore, lower margins. As a result, we will need to balance the economies of level production with the seasonal retail sales pattern we experience. Failure to adjust manufacturing levels adequately may have a material adverse effect on our financial condition and results of operations.
We will rely on third-party suppliers to provide components and raw materials essential to the construction of our boats and anticipate such reliance to continue once we commercialize our products.
We expect to depend on third-party suppliers to provide components and raw materials essential to the construction of our boats. While we believe that we will leverage Twin Vee’s relationships with its current suppliers to provide the materials necessary to meet production demand, we cannot assure you that these relationships will continue or that the quantity or quality of materials available from these suppliers will be sufficient to meet our future needs, irrespective of whether we successfully implement our growth strategy. We expect that our need for raw materials and supplies will increase as we produce boats for sale. Our suppliers must be prepared to ramp up operations and, in many cases, hire additional workers and/or expand capacity in order to fulfill the orders that will be placed by us and other customers. Operational and financial difficulties that our suppliers may face in the future could adversely affect their ability to supply us with the parts and components we need, which could significantly disrupt our operations.
Termination or interruption of informal supply arrangements could have a material adverse effect on our business or results of operations.
Although Twin Vee has long term relationships with many of its suppliers that are also our suppliers, neither we nor Twin Vee have any formal agreements with any suppliers for the purchase of parts needed and our purchases currently are made on a purchase order basis. We have no binding commitment from our suppliers to supply any specified quantity of materials needed within any specified time period. In the event that our suppliers receive a large number of orders from other customers, there is a possibility that they will not be able to support our needs. If any of our current suppliers were to be unable to provide needed products to us, there can be no assurance that alternate supply arrangements will be made on satisfactory terms. If we need to enter into supply arrangements on unsatisfactory terms, or if there are any delays to our supply arrangements, it could adversely affect our business and operating results.
Product liability, warranty, personal injury, property damage and recall claims may materially affect our financial condition and damage our reputation.
We are engaged in a business that exposes us to claims for product liability and warranty claims in the event our products actually or allegedly fail to perform as expected or the use of our products results, or is alleged to result, in property damage, personal injury or death. Although we maintain product and general liability insurance of the types and in the amounts that we believe are customary for the industry, we are not fully insured against all such potential claims. Our products involve kinetic energy, produce physical motion and are to be used on the water, factors which increase the likelihood of injury or death. Our products will contain lithium-ion batteries, which have been known to catch fire or vent smoke and flame, and chemicals which are known to be, or could later be proved to be, toxic or carcinogenic. Any judgment or settlement for personal injury or wrongful death claims could be more than our assets and, even if not justified, could prove expensive to contest.
38
We may experience legal claims in excess of our insurance coverage or claims that are not covered by insurance, either of which could adversely affect our business, financial condition and results of operations. Adverse determination of material product liability and warranty claims made against us could have a material adverse effect on our financial condition and harm our reputation. In addition, if any of our products or components in our products are, or are alleged to be, defective, we may be required to participate in a recall of that product or component if the defect or alleged defect relates to safety. Any such recall and other claims could be costly to us and require substantial management attention.
Our boats will use of lithium-ion battery cells, which, if not appropriately managed and controlled, have been observed to catch fire or vent smoke and flame.
The battery packs within our boats are being designed to use of lithium-ion cells. If not properly managed or subject to environmental stresses, lithium-ion cells can rapidly release the energy they contain by venting smoke and flames in a manner that can ignite nearby materials as well as other lithium-ion cells. While the battery pack is designed to contain any single cell’s release of energy without spreading to neighboring cells, a field or testing failure of battery packs in our boats could occur, which could result in bodily injury or death and could subject us to lawsuits, field actions (including product recalls), or redesign efforts, all of which would be time consuming and expensive and could harm our brand image. Also, negative public perceptions regarding the suitability of lithium-ion cells for boating applications, the social and environmental impacts of mineral mining or procurement associated with the constituents of lithium-ion cells, or any future incident involving lithium-ion cells, such as a vehicle or other fire, could materially and adversely affect our reputation and business, prospects, financial condition, results of operations, and cash flows.
Significant product repair and/or replacement due to product warranty claims or product recalls could have a material adverse impact on our results of operations.
We expect to provide a hull warranty for structural damage of up to ten years. In addition, we expect to provide a three-year limited fiberglass small parts warranty on all on some small fiberglass parts and components such as consoles. Gelcoat is expected to be covered up to one year. Additionally, fiberglass lids, plastic lids, electrical panels, bilge pumps, aerator pumps or other electrical devices (excluding stereos, depth finders, radar, chart plotters except for installation if installed by us), steering systems, electrical panels, and pumps are covered under a one-year basic limited systems warranty. Some materials, components or parts of the boat that will not be covered by our limited product warranties will be separately warranted by their manufacturers or suppliers. These other warranties are expected to include warranties covering engines purchased from suppliers and other components. We also expect to offer to provide repairs for no additional cost as part of our new direct to consumer system.
Our standard warranties will require us to repair or replace defective products during such warranty periods at no cost to the consumer. Although we will employ quality control procedures, sometimes a product is distributed that needs repair or replacement. The repair and replacement costs we could incur in connection with a recall could adversely affect our business. In addition, product recalls could harm our reputation and cause us to lose customers, particularly if recalls cause consumers to question the safety or reliability of our products.
The nature of our business exposes us to workers’ compensation claims and other workplace liabilities.
Certain materials we use require our employees to handle potentially hazardous or toxic substances. While our employees who handle these and other potentially hazardous or toxic materials receive specialized training and wear protective clothing, there is still a risk that they, or others, may be exposed to these substances. Exposure to these substances could result in significant injury to our employees and damage to our property or the property of others, including natural resource damage. Our personnel are also at risk for other workplace-related injuries, including slips and falls. We may in the future be subject to fines, penalties, and other liabilities in connection with any such injury or damage. Although we currently maintain what we believe to be suitable and adequate insurance in excess of our self-insured amounts, we may be unable to maintain such insurance on acceptable terms or such insurance may not provide adequate protection against potential liabilities.
If we are unable to comply with environmental and other regulatory requirements, our business may be exposed to material liability and/or fines.
Our operations are subject to extensive and frequently changing federal, state, local, and foreign laws and regulations, including those concerning product safety, environmental protection, and occupational health and safety. Some of these laws and regulations require us to obtain permits and limit our ability to discharge hazardous materials into the environment. If we fail to comply with these requirements, we may be subject to civil or criminal enforcement actions that could result in the assessment of fines and penalties, obligations to conduct remedial or corrective actions, or, in extreme circumstances, revocation of our permits or injunctions preventing some or all of our operations. In addition, the components of our boats must meet certain regulatory standards, including stringent air emission standards for boat engines. Failure to meet these standards could result in an inability to sell our boats in key markets, which would adversely affect our business. Moreover, compliance with these regulatory requirements could increase the cost of our products, which in turn, may reduce consumer demand.
39
While we believe that we are in material compliance with applicable federal, state, local, and foreign regulatory requirements, and hold all licenses and permits required thereunder, we cannot assure you that we will, at all times, be able to continue to comply with applicable regulatory requirements. Compliance with increasingly stringent regulatory and permit requirements may, in the future, cause us to incur substantial capital costs and increase our cost of operations, or may limit our operations, all of which could have a material adverse effect on our business or financial condition.
As with most boat construction businesses, our manufacturing processes involve the use, handling, storage, and contracting for recycling or disposal of hazardous substances and wastes. The failure to manage or dispose of such hazardous substances and wastes properly could expose us to material liability or fines, including liability for personal injury or property damage due to exposure to hazardous substances, damages to natural resources, or for the investigation and remediation of environmental conditions. Under environmental laws, we may be liable for remediation of contamination at sites where our hazardous wastes have been disposed or at our current facility, regardless of whether our facility is owned or leased or whether the environmental conditions were created by us, a prior owner or tenant, or a third-party. While we do not believe that we are presently subject to any such liabilities, we cannot assure you that environmental conditions relating to our prior, existing, or future sites or operations or those of predecessor companies will not have a material adverse effect on our business or financial condition.
We will be dependent upon OneWater for direct distribution of our boats.
On August 17, 2022, we entered into a five-year agreement with OneWater to establish our customer experience and service centers in OneWater’s current and future locations and other strategic locations across the United States pursuant to which OneWater will be the sole dealer distributing our products and OneWater’s retail locations may be used as potential delivery points for customers to pick up our products. During the terms of the agreement, we will be dependent for sales of our boats on the efforts of OneWater, over which we have no control. OneWater will also distribute other boats and not just our boats and therefore we will be competing for One Water customers. In addition, any negative publicity regarding OneWater could have a negative effect upon our sales.
The electronic vehicle (EV) industry and its technology are rapidly evolving and may be subject to unforeseen changes which could adversely affect the demand for our boats or increase our operating costs.
We may be unable to keep up with changes in EV technology or alternatives to electricity as a fuel source and, as a result, our competitiveness may suffer. Developments in alternative technologies, such as advanced diesel, hydrogen, ethanol, fuel cells, or compressed natural gas, or improvements in the fuel economy of the internal combustion engine or the cost of gasoline, may materially and adversely affect our business and prospects in ways we do not currently anticipate. Existing and other battery cell technologies, fuels or sources of energy may emerge as customers’ preferred alternative to our boats. Any failure by us to develop new or enhanced technologies or processes, or to react to changes in existing technologies, could materially delay our development and introduction of new and enhanced alternative fuel and EVs, which could result in the loss of competitiveness of our boats, decreased revenue and a loss of market share to competitors. Our research and development efforts may not be sufficient to adapt to changes in alternative fuel and electric vehicle technology. As technologies change, we plan to upgrade or adapt our boats with the latest technology. However, our boats may not compete effectively with alternative systems if we are not able to source and integrate the latest technology into our boats. Additionally, the introduction and integration of new technologies into our boats may increase our costs and capital expenditures required for the production and manufacture of our boats and, if we are unable to cost efficiently implement such technologies or adjust our manufacturing operations, our business, prospects, financial condition, results of operations, and cash flows would be materially and adversely affected.
Our sales and profitability depend, in part, on the successful introduction of new products.
Market acceptance of our products will depend on our technological innovation and our ability to implement technology in our boats. Our sales and profitability may be adversely affected by difficulties or delays in product development, such as an inability to develop viable or innovative new products or to add new features. Our failure to introduce new technologies and product offerings that consumers desire could adversely affect our business, financial condition, and results of operations. If we fail to introduce new features or those we introduce fail to gain market acceptance, our bottom line may suffer.
If we experience delays in the development of our fully electric sport boat, fail to bring the FX1 to market as and when planned or if it fails to gain market acceptance, our bottom line will suffer.
40
In addition, some of our direct competitors and indirect competitors may have significantly more resources to develop and patent new technologies. It is possible that our competitors will develop and patent equivalent or superior technologies and other products that compete with ours. They may assert these patents against us and we may be required to license these patents on unfavorable terms or cease using the technology covered by these patents, either of which would harm our competitive position and may materially adversely affect our business.
We also cannot be certain that our products or features have not infringed or will not infringe the proprietary rights of others. Any such infringement could cause third parties, including our competitors, to bring claims against us, resulting in significant costs and potential damages.
Our success depends upon the continued strength of our brand, the value of our brand, and sales of our products could be diminished if we, the consumers who use our products, or the sports and activities in which our products are used are associated with negative publicity.
We believe that our brand will be a significant contributor to the success of our business and that maintaining and enhancing our brand is important to expanding our consumer and dealer base. Failure to continue to protect our brand may adversely affect our business, financial condition, and results of operations. We expect that our ability to develop, maintain and strengthen the Forza X1 brand will also depend heavily on the success of our marketing efforts. To further promote our brand, we may be required to change our marketing practices, which could result in substantially increased advertising expenses, including the need to use traditional media such as television, radio and print. Many of our current and potential competitors have greater name recognition, broader customer relationships and substantially greater marketing resources than we do. If we do not develop and maintain strong brands, our business, prospects, financial condition and operating results will be materially and adversely impacted.
Negative publicity, including that resulting from severe injuries or death occurring in the sports and activities in which our products are used, could negatively affect our reputation and result in restrictions, recalls, or bans on the use of our products. If the popularity of the sports and activities for which we design, manufacture, and sell products were to decrease as a result of these risks or any negative publicity, sales of our products could decrease, which could have an adverse effect on our net sales, profitability, and operating results. In addition, if we become exposed to additional claims and litigation relating to the use of our products, our reputation may be adversely affected by such claims, whether or not successful, including by generating potential negative publicity about our products, which could adversely impact our business and financial condition.
Our passion and focus on delivering a high-quality and engaging Forza X1 experience may not maximize short-term financial results, which may yield results that conflict with the market’s expectations and could result in our stock price being negatively affected.
We are passionate about enhancing the Forza X1 experience with a focus on driving long-term customer engagement through innovative, technologically advanced boats, which may not necessarily maximize short-term financial results. We frequently make business decisions that may reduce our short-term financial results if we believe that the decisions are consistent with our goals to improve the Forza X1 experience, which we believe will improve our financial results over the long-term. In the near-term, we will focus significant resources on research and development and sales and marketing to deliver the Forza experience to our customers, which could impact our short-term financial results. These decisions may not be consistent with the short-term expectations of our stockholders and may not produce the long-term benefits that we expect, in which case our customer growth, and our business, prospects, financial condition, results of operations, and cash flows could be harmed.
Extended periods of low gasoline or other petroleum-based fuel prices could adversely affect demand for our boats, which would adversely affect our business, prospects, results of operations and financial condition.
A portion of the current and expected demand for electric vehicles results from concerns about volatility in the cost of gasoline and other petroleum-based fuel, the dependency of the United States on oil from unstable or hostile countries, government regulations and economic incentives promoting fuel efficiency and alternative forms of energy, as well as concerns about climate change resulting in part from the burning of fossil fuels. If the cost of gasoline and other petroleum-based fuel decreases significantly, the outlook for the long-term supply of oil to the United States improves, the government eliminates or modifies its regulations or economic incentives related to fuel efficiency and alternative forms of energy or there is a change in the perception that the burning of fossil fuels negatively impacts the environment, the demand for electric vehicles, including our boats, could be reduced, and our business and revenue may be harmed.
Gasoline and other petroleum-based fuel prices have historically been extremely volatile, particularly during the ongoing COVID-19 pandemic, and it is difficult to ascertain whether such volatility will continue to persist. Lower gasoline or other petroleum-based fuel prices over extended periods of time may lower the perception in government and the private sector that cheaper, more readily available energy alternatives should be developed and produced. If gasoline or other petroleum-based fuel prices remain at deflated levels for extended periods of time, the demand for electric vehicles, including our boats, may decrease, which would have an adverse effect on our business, prospects, financial condition and results of operations.
41
We will rely on complex machinery for our operations, and production involves a significant degree of risk and uncertainty in terms of operational performance, safety, security, and costs.
We expect to rely heavily on complex machinery for our operations and our production will involve a significant degree of uncertainty and risk in terms of operational performance, safety, security, and costs. Twin Vee’s manufacturing plant consists of large-scale machinery combining many components. The manufacturing plant components are likely to suffer unexpected malfunctions from time to time and will depend on repairs and spare parts to resume operations, which may not be available when needed. Unexpected malfunctions of the manufacturing plant components may significantly affect operational efficiency. Operational performance and costs can be difficult to predict and are often influenced by factors outside of our control, such as, but not limited to, scarcity of natural resources, environmental hazards and remediation, costs associated with decommissioning of machines, labor disputes and strikes, difficulty or delays in obtaining governmental permits, damages or defects in electronic systems, industrial accidents, pandemics, fire, seismic activity, and natural disasters. Should operational risks materialize, it may result in the personal injury to or death of workers, the loss of production equipment, damage to manufacturing facilities, products, supplies, tools and materials, monetary losses, delays and unanticipated fluctuations in production, environmental damage, administrative fines, increased insurance costs, and potential legal liabilities, all which could have a material adverse effect on our business, prospects, financial condition, results of operations, and cash flows. Although we generally carry insurance to cover such operational risks, we cannot be certain that our insurance coverage will be sufficient to cover potential costs and liabilities arising therefrom. A loss that is uninsured or exceeds policy limits may require us to pay substantial amounts, which could adversely affect our business, prospects, financial condition, results of operations, and cash flows.
If our boats fail to perform as expected, our ability to develop, market and sell or lease our products could be harmed.
Once commercialization commences, our boats may contain defects in design and manufacture that may cause them not to perform as expected or that may require repairs, recalls, and design changes, any of which would require significant financial and other resources to successfully navigate and resolve. Our boats will use a substantial amount of software code to operate, and software products are inherently complex and may contain defects and errors when first introduced. If our boats contain defects in design and manufacture that cause them not to perform as expected or that require repair, or certain features of our boats take longer than expected to become available, are legally restricted or become subject to additional regulation, our ability to develop, market and sell our products and services could be harmed. Although we will attempt to remedy any issues we observe in our products as effectively and rapidly as possible, such efforts could significantly distract management’s attention from other important business objectives, may not be timely, may hamper production or may not be to the satisfaction of our customers. Further, our limited operating history and limited field data reduce our ability to evaluate and predict the long-term quality, reliability, durability and performance characteristics of our battery packs, powertrains and boats. There can be no assurance that we will be able to detect and fix any defects in our products prior to their sale or lease to customers.
Any defects, delays or legal restrictions on boat features, or other failure of our boats to perform as expected, could harm our reputation and result in delivery delays, product recalls, product liability claims, breach of warranty claims and significant warranty and other expenses, and could have a material adverse impact on our business, results of operations, prospects and financial condition. As a new entrant to the industry attempting to build customer relationships and earn trust, these effects could be significantly detrimental to us. Additionally, problems and defects experienced by other electric consumer vehicles could by association have a negative impact on perception and customer demand for our boats.
In addition, even if our boats function as designed, we expect that the battery efficiency, and hence the range, of our electric boats, like other electric vehicles that use current battery technology, will decline over time. Other factors, such as usage, time and stress patterns, may also impact the battery’s ability to hold a charge, or could require us to limit boat battery charging capacity, including via over-the-air or other software updates, for safety reasons or to protect battery capacity, which could further decrease our boats’ range between charges. Such decreases in or limitations of battery capacity and therefore range, whether imposed by deterioration, software limitations or otherwise, could also lead to consumer complaints or warranty claims, including claims that prior knowledge of such decreases or limitations would have affected consumers’ purchasing decisions. Further, there can be no assurance that we will be able to improve the performance of our battery packs, or increase our boats range, in the future. Any such battery deterioration or capacity limitations and related decreases in range may negatively influence potential customers’ willingness to purchase our boats and negatively impact our brand and reputation, which could adversely affect our business, prospects, results of operations and financial condition.
42
Our boats will rely on software and hardware that is highly technical, and if these systems contain errors, bugs, vulnerabilities, or design defects, or if we are unsuccessful in addressing or mitigating technical limitations in our systems, our business could be adversely affected.
Our boats are expected to rely on software and hardware that is highly technical and complex and may require modification and updates over the life of the boats. In addition, our boats will depend on the ability of such software and hardware to store, retrieve, process and manage large amounts of data. Our software and hardware may contain errors, bugs, vulnerabilities or design defects, and our systems are subject to certain technical limitations that may compromise our ability to meet our objectives. Some errors, bugs, vulnerabilities, or design defects inherently may be difficult to detect and may only be discovered after the code has been released for external or internal use. Although we will attempt to remedy any issues we observe in our boats effectively and rapidly, such efforts may not be timely, may hamper production or may not be to the satisfaction of our customers.
Additionally, if we deploy updates to the software (whether to address issues, deliver new features or make desired modifications) and our over-the-air update procedures fail to properly update the software or otherwise have unintended consequences to the software, the software within our customers’ boats will be subject to vulnerabilities or unintended consequences resulting from such failure of the over-the-air update until properly addressed.
If we are unable to prevent or effectively remedy errors, bugs, vulnerabilities or defects in our software and hardware, or fail to deploy updates to our software properly, we would suffer damage to our reputation, loss of customers, loss of revenue or liability for damages, any of which could adversely affect our business, prospects, financial condition, results of operations, and cash flows.
We have no experience servicing our boats. If we are unable to adequately service our boats, our business, prospects, financial condition and results of operations may be materially and adversely affected.
Because we have not begun commercial production of the FX1, we have no experience servicing or repairing our electric boats. Servicing electric vehicles is different than servicing vehicles with internal combustion engines and requires specialized skills, including high voltage training and servicing techniques. In addition, we plan to partner with certain third parties, such as we have with OneWater, to perform some of the service on our vehicles, and there can be no assurance that we will be able to enter into acceptable arrangements with any such third-party providers. Further, although such servicing partners may have experience in servicing other electric vehicles, they will initially have no experience in servicing our boats. There can be no assurance that our service arrangements will adequately address the service requirements of our customers to their satisfaction, or that we and our servicing partners will have sufficient resources, experience or inventory to meet these service requirements in a timely manner as the volume of boats we deliver increases. This risk is enhanced by our limited operating history and our limited data regarding our boats’ real-world reliability and service requirements. In addition, if we are unable to roll out and establish a widespread service network that provides satisfactory customer service, our customer loyalty, brand and reputation could be adversely affected, which in turn could materially and adversely affect our sales, results of operations, prospects and financial condition.
Our customers will also depend on our customer support team to resolve technical and operational issues relating to the integrated software underlying our boats, a large portion of which we have developed in-house. As we grow, additional pressure may be placed on our customer support team or partners, and we may be unable to respond quickly enough to accommodate short-term increases in customer demand for technical support. We also may be unable to modify the future scope and delivery of our technical support to compete with changes in the technical support provided by our competitors. Increased customer demand for support, without corresponding revenue, could increase costs and negatively affect our results of operations. If we are unable to successfully address the service requirements of our customers, or if we establish a market perception that we do not maintain high-quality support, our brand and reputation could be adversely affected, and we may be subject to claims from our customers, which could result in loss of revenue or damages, and our business, results of operations, prospects and financial condition could be materially and adversely affected.
We may not be able to execute our manufacturing strategy successfully, which could cause the profitability of our products to suffer.
Our manufacturing strategy is designed to improve product quality and increase productivity, while reducing costs and increasing flexibility to respond to ongoing changes in the marketplace. To implement this strategy, we must be successful in our continuous improvement efforts, which depend on the involvement of management, production employees, and suppliers. Any inability to achieve these objectives could adversely impact the profitability of our products and our ability to deliver desirable products to our consumers.
We may need to raise additional capital that may be required to grow our business, and we may not be able to raise capital on terms acceptable to us or at all.
Operating our business and maintaining our growth efforts will require significant cash outlays and advance capital expenditures and commitments. Our current plans also involve constructing a 100,000 square foot state-of-the-art manufacturing facility dedicated to developing and manufacturing our FX series electric boats, the cost of which is uncertain. Although the proceeds of our IPO should be sufficient to fund our operations, if cash on hand and cash generated from operations and from the IPO are not sufficient to meet our cash requirements, we will need to seek additional capital, potentially through debt or equity financings, to fund our growth. We cannot assure you that we will be able to raise needed cash on terms acceptable to us or at all. Financings may be on terms that are dilutive or potentially dilutive to our stockholders, and the prices at which new investors would be willing to purchase our securities may be lower than the price per share of our common stock paid by shareholders. The holders of new securities may also have rights, preferences or privileges which are senior to those of existing holders of common stock. If new sources of financing are required, but are insufficient or unavailable, we will be required to modify our growth and operating plans based on available funding, if any, which would harm our ability to grow our business.
43
If we fail to manage future growth effectively, we may not be able to market or sell our products successfully.
Any failure to manage our growth effectively could materially and adversely affect our business, prospects, operating results and financial condition. We plan to expand our operations in the near future. Our future operating results depend to a large extent on our ability to manage this expansion and growth successfully. Risks that we face in undertaking this expansion include:
| ● | expanding our management team; |
| ● | hiring and training new personnel; |
| ● | forecasting production and revenue; |
| ● | expanding our marketing efforts; |
| ● | controlling expenses and investments in anticipation of expanded operations; |
| ● | establishing or expanding design, manufacturing, sales and service facilities; |
| ● | implementing and enhancing administrative infrastructure, systems and processes; and |
| ● | expanding into new markets and establishing sales, service and manufacturing operations in such markets. |
We intend to continue to hire a number of additional personnel, including design and manufacturing personnel and service technicians for our electric boats and powertrains. Competition for individuals with experience designing, manufacturing and servicing electric boats is intense, and we may not be able to attract, assimilate, train or retain additional highly qualified personnel in the future. The failure to attract, integrate, train, motivate and retain these additional employees could seriously harm our business and prospects.
We depend upon our executive officers, and we may not be able to retain them and their knowledge of our business and technical expertise would be difficult to replace.
Our future success will depend in significant part upon the continued service of our executive officers. We cannot assure you that we will be able to continue to attract or retain such persons. We do not have an insurance policy on the life of our Executive Chairman or our President and Chief Executive Officer, and we do not have “key person” life insurance policies for any of our other officers or advisors. The loss of the technical knowledge and management and industry expertise of any of our key personnel could result in delays in product development, loss of customers and sales and diversion of management resources, which could adversely affect our operating results.
We may attempt to grow our business through acquisitions or strategic alliances and new partnerships, which we may not be successful in completing or integrating.
We may in the future enter into acquisitions and strategic alliances that will enable us to acquire complementary skills and capabilities, offer new products, expand our consumer base, enter new product categories or geographic markets, and obtain other competitive advantages. We cannot assure you, however, that we will identify acquisition candidates or strategic partners that are suitable to our business, obtain financing on satisfactory terms, complete acquisitions or strategic alliances, or successfully integrate acquired operations into our existing operations. Once integrated, acquired operations may not achieve anticipated levels of sales or profitability, or otherwise perform as expected. Acquisitions also involve special risks, including risks associated with unanticipated challenges, liabilities and contingencies, and diversion of management attention and resources from our existing operations. Similarly, our partnership with leading franchises from other industries to market our products or with third-party technology providers to introduce new technology to the market may not achieve anticipated levels of consumer enthusiasm and acceptance, or achieve anticipated levels of sales or profitability, or otherwise perform as expected.
44
We rely on network and information systems and other technologies for our business activities and certain events, such as computer hackings, viruses or other destructive or disruptive software or activities may disrupt our operations, which could have a material adverse effect on our business, financial condition and results of operations.
Network and information systems and other technologies are important to our business activities and operations. Network and information systems-related events, such as computer hackings, cyber threats, security breaches, viruses, or other destructive or disruptive software, process breakdowns or malicious or other activities could result in a disruption of our services and operations or improper disclosure of personal data or confidential information, which could damage our reputation and require us to expend resources to remedy any such breaches. Moreover, the amount and scope of insurance we maintain against losses resulting from any such events or security breaches may not be sufficient to cover our losses or otherwise adequately compensate us for any disruptions to our businesses that may result, and the occurrence of any such events or security breaches could have a material adverse effect on our business and results of operations. The risk of these systems-related events and security breaches occurring has intensified, in part because we maintain certain information necessary to conduct our businesses in digital form stored on cloud servers. While we intend to develop and maintain systems seeking to prevent systems-related events and security breaches from occurring, the development and maintenance of these systems is costly and requires ongoing monitoring and updating as technologies change and efforts to overcome security measures become more sophisticated. Despite these efforts, there can be no assurance that disruptions and security breaches will not occur in the future. Moreover, we may provide certain confidential, proprietary and personal information to third parties in connection with our businesses, and while we obtain assurances that these third parties will protect this information, there is a risk that this information may be compromised.
Likewise, data privacy breaches by employees or others with permitted access to our systems may pose a risk that sensitive data may be exposed to unauthorized persons or to the public. While we have invested in protection of data and information technology, there can be no assurance that our efforts will prevent breakdowns or breaches in our systems that could adversely affect our business. The occurrence of any of such network or information systems-related events or security breaches could have a material adverse effect on our business, financial condition and results of operations.
Uninsured losses could result in payment of substantial damages, which would decrease our cash reserves and could harm our cash flow and financial condition.
In the ordinary course of business, we may be subject to losses resulting from product liability, accidents, acts of God and other claims against us, for which we may have no insurance coverage. While we currently carry commercial general liability, commercial boat liability, excess liability, product liability, cybersecurity, crime, special crime, drone, cargo stock throughput, builder’s risk, owner controlled insurance program, property, owners protective, workers’ compensation, employment practices, employed lawyers, production, fiduciary liability and directors’ and officers’ insurance policies, we may not maintain as much insurance coverage as other original equipment manufacturers do, and in some cases, we may not maintain any at all. Additionally, the policies that we have may include significant deductibles, and we cannot be certain that our insurance coverage will be sufficient to cover all or any future claims against us. A loss that is uninsured or exceeds policy limits may require us to pay substantial amounts, which could adversely affect our financial condition and results of operations. Further, insurance coverage may not continue to be available to us or, if available, may be at a significantly higher cost, especially if insurance providers perceive any increase in our risk profile in the future.
Intellectual Property Risks
Our patent applications may not issue as patents, which may have a material adverse effect on our ability to prevent others from commercially exploiting products similar to ours.
We cannot be certain that we are the first inventor of the subject matter to which we have filed a particular patent application, or that we are the first party to file such a patent application. If another party has filed a patent application for the same subject matter as we have, we may not be entitled to the protection sought by the patent application. Further, the scope of protection of issued patent claims is often difficult to determine. As a result, we cannot be certain that the patent applications that we file will issue, or that our issued patents will afford protection against competitors with similar technology. In addition, our competitors may design around our issued patents, which may adversely affect our business, prospects, financial condition, results of operations, and cash flows.
We may not be able to prevent others from unauthorized use of our intellectual property, which could harm our business and competitive position.
We may not be able to prevent others from unauthorized use of our intellectual property, which could harm our business and competitive position. We rely on a combination of patent, trade secret (including those in our know-how), and other intellectual property laws, as well as employee and third-party nondisclosure agreements, intellectual property licenses, and other contractual rights to establish and protect our rights in our technology and intellectual property. Our patent or trademark applications may not be granted, any patents or trademark registrations that may be issued to us may not sufficiently protect our intellectual property and any of our issued patents, trademark registrations or other intellectual property rights may be challenged by third parties. Any of these scenarios may result in limitations in the scope of our intellectual property or restrictions on our use of our intellectual property or may adversely affect the conduct of our business. Despite our efforts to protect our intellectual property rights, third parties may attempt to copy or otherwise obtain and use our intellectual property or seek court declarations that they do not infringe upon our intellectual property rights. Monitoring unauthorized use of our intellectual property is difficult and costly, and the steps we have taken or will take to prevent misappropriation may not be successful. From time to time, we may have to resort to litigation to enforce our intellectual property rights, which could result in substantial costs and diversion of our resources.
45
Patent, trademark, and trade secret laws vary significantly throughout the world. A number of foreign countries do not protect intellectual property rights to the same extent as do the laws of the United States. Therefore, our intellectual property rights may not be as strong or as easily enforced outside of the United States. Failure to adequately protect our intellectual property rights could result in our competitors offering similar products, potentially resulting in the loss of some of our competitive advantage and a decrease in our revenue which would adversely affect our business, prospects, financial condition, results of operations, and cash flows.
If our patents expire or are not maintained, our patent applications are not granted or our patent rights are contested, circumvented, invalidated or limited in scope, we may not be able to prevent others from selling, developing or exploiting competing technologies or products, which could have a material adverse effect on our business, prospects, financial condition, results of operations, and cash flows.
We cannot assure you that our pending applications will issue as patents. Even if our patent applications issue into patents, these patents may be contested, circumvented or invalidated in the future. In addition, the rights granted under any issued patents may not provide us with adequate protection or competitive advantages. The claims under any patents that issue from our patent applications may not be broad enough to prevent others from developing technologies that are similar or that achieve results similar to ours. The intellectual property rights of others could also bar us from licensing and exploiting any patents that issue from our pending applications. Numerous patents and pending patent applications owned by others exist in the fields in which we have developed and are developing our technology. Many of these existing patents and patent applications might have priority over our patent applications and could subject our patents to invalidation or our patent applications to rejection. Finally, in addition to patents and patent applications that were filed before our patents and patent applications, any of our existing or future patents may also be challenged by others on the basis that they are invalid or unenforceable.
We may in the future become, subject to claims that we or our employees have wrongfully used or disclosed alleged trade secrets of our employees’ former employers.
Many of our employees were previously employed by other companies with similar or related technology, products or services. We are, and may in the future become, subject to claims that we or these employees have inadvertently or otherwise used or disclosed trade secrets or other proprietary information of former employers. Litigation may be necessary to defend against these claims. If we fail in defending such claims, we may be forced to pay monetary damages or be enjoined from using certain technology, products, services or knowledge. Even if we are successful in defending against these claims, litigation could result in substantial costs and demand on management resources.
Our use of open source software in our applications could subject our proprietary software to general release, adversely affect our ability to sell our services and subject us to possible litigation, claims or proceedings.
We plan to use open source software in connection with the development and deployment of our products and services. Companies that use open source software in connection with their products have, from time to time, faced claims challenging the use of open source software and/or compliance with open source license terms. As a result, we could be subject to suits by parties claiming ownership of what we believe to be open source software or claiming noncompliance with open source licensing terms. Some open source software licenses may require users who distribute proprietary software containing or linked to open source software to publicly disclose all or part of the source code to such proprietary software and/or make available any derivative works of the open source code under the same open source license, which could include proprietary source code. In such cases, the open source software license may also restrict us from charging fees to licensees for their use of our software. While we will monitor the use of open source software and try to ensure that open source software is not used in a manner that would subject our proprietary source code to these requirements and restrictions, such use could inadvertently occur, in part because open source license terms are often ambiguous and have generally not been interpreted by U.S. or foreign courts.
Further, in addition to risks related to license requirements, use of certain open source software carries greater technical and legal risks than does the use of third-party commercial software. For example, open source software is generally provided as-is without any support or warranties or other contractual protections regarding infringement or the quality of the code, including the existence of security vulnerabilities. To the extent that our platform depends upon the successful operation of open source software, any undetected errors or defects in open source software that we use could prevent the deployment or impair the functionality of our systems and injure our reputation. In addition, the public availability of such software may make it easier for attackers to target and compromise our platform through cyber-attacks. Any of the foregoing risks could materially and adversely affect our business, prospects, financial condition, results of operations, and cash flows.
46
A significant portion of our intellectual property is not protected through patents or formal copyright registration. As a result, we do not have the full benefit of patent or copyright laws to prevent others from replicating our products, product candidates and brands.
We have not protected certain of our intellectual property rights through patents or formal copyright registration, and we do not currently have any issued patents and only have three design and four utility patent applications that we filed for, among other things, our propulsion system being developed and boat design. There can be no assurance that any patent will issue or if issued that the patent will protect our intellectual property. As a result, we may not be able to protect our intellectual property and trade secrets or prevent others from independently developing substantially equivalent proprietary information and techniques or from otherwise gaining access to our intellectual property or trade secrets. In such an instance, our competitors could produce products that are nearly identical to ours resulting in us selling less products or generating less revenue from our sales.
Confidentiality agreements with employees and others may not adequately prevent disclosure of trade secrets and other proprietary information.
We rely on trade secrets, know-how and technology, which are not protected by patents, to protect the intellectual property behind our electric powertrain and for the construction of our boats. We have recently begun to use confidentiality agreements with our collaborators, employees, consultants, outside collaborators and other advisors to protect our proprietary technology and processes. We intend to use such agreements in the future, but these agreements may not effectively prevent disclosure of confidential information and may not provide an adequate remedy in the event of unauthorized disclosure of confidential information. In addition, others may independently discover trade secrets and proprietary information, and in such cases we could not assert any trade secret rights against such party. Costly and time-consuming litigation could be necessary to enforce and determine the scope of our proprietary rights, and failure to obtain or maintain trade secret protection could adversely affect our competitive business position.
We may need to defend ourselves against patent, copyright or trademark infringement claims, which may be time-consuming and would cause us to incur substantial costs.
The status of the protection of our intellectual property is unsettled as we do not have any issued patents, registered trademarks or registered copyrights and other than three design, five utility and two full non-provisional patent applications, we have not applied for the same. Companies, organizations or individuals, including our competitors, may hold or obtain patents, trademarks or other proprietary rights that would prevent, limit or interfere with our ability to make, use, develop, sell or market our powerboats and electric powertrains or use third-party components, which could make it more difficult for us to operate our business. In the future, we may receive communications from third parties that allege our products or components thereof are covered by their patents or trademarks or other intellectual property rights, we have not received any communication of this kind to date. Companies holding patents or other intellectual property rights may bring suits alleging infringement of such rights or otherwise assert their rights. If we are determined to have infringed upon a third-party’s intellectual property rights, we may be required to do one or more of the following:
| ● | cease making, using, selling or offering to sell processes, goods or services that incorporate or use the third-party intellectual property; |
| ● | pay substantial damages; |
| ● | seek a license from the holder of the infringed intellectual property right, which license may not be available on reasonable terms or at all; |
| ● | redesign our boats or other goods or services to avoid infringing the third-party intellectual property; |
| ● | establish and maintain alternative branding for our products and services; or |
| ● | find-third providers of any part or service that is the subject of the intellectual property claim. |
In the event of a successful claim of infringement against us and our failure or inability to obtain a license to the infringed technology or other intellectual property right, our business, prospects, operating results and financial condition could be materially adversely affected. In addition, any litigation or claims, whether or not valid, could result in substantial costs, negative publicity and diversion of resources and management attention.
47
Risks Related to Our Industry
Demand in the powerboat industry is highly volatile.
Volatility of demand in the powerboat industry, especially for recreational powerboats and electric powerboats, may materially and adversely affect our business, prospects, operating results and financial condition. The markets in which we will be competing have been subject to considerable volatility in demand in recent periods. Demand for recreational powerboats depends to a large extent on general, economic and social conditions in a given market. Historically, sales of recreational powerboats decrease during economic downturns. We have fewer financial resources than more established powerboat manufacturers to withstand adverse changes in the market and disruptions in demand.
Our industry is characterized by intense competition, which affects our sales and profits.
The performance sport boat category and the powerboat industry as a whole are highly competitive for consumers and dealers. We also compete against consumer demand for used boats. Competition affects our ability to succeed in both the markets we currently plan to serve and new markets that we may enter in the future. Competition is based primarily on brand name, price, product selection, and product performance. We will compete with several large manufacturers that may have greater financial, marketing, and other resources than we do and who are represented by dealers in the markets in which we now operate and into which we plan to expand. We also will compete with a variety of small, independent manufacturers. In addition, when marketing our boats through OneWater, we will compete with other boats marketing by OneWater. We cannot assure you that we will not face greater competition from existing large or small manufacturers or that we will be able to compete successfully with new competitors. Our failure to compete effectively with our current and future competitors would adversely affect our business, financial condition, and results of operations.
General economic conditions, particularly in the U.S., affect our industry, demand for our products and our business, and results of operations.
Demand for premium boat brands has been significantly influenced by weak economic conditions, low consumer confidence, high unemployment, and increased market volatility worldwide, especially in the U.S. In times of economic uncertainty and contraction, consumers tend to have less discretionary income and tend to defer or avoid expenditures for discretionary items, such as our products. Sales of our products are highly sensitive to personal discretionary spending levels. Our business is cyclical in nature and its success is impacted by economic conditions, the overall level of consumer confidence and discretionary income levels. Any substantial deterioration in general economic conditions that diminishes consumer confidence or discretionary income may reduce our sales and materially adversely affect our business, financial condition and results of operations. We cannot predict the duration or strength of an economic recovery, either in the U.S. or in the specific markets where we sell our products. Corporate restructurings, layoffs, declines in the value of investments and residential real estate, higher gas prices, higher interest rates, and increases in federal and state taxation may each materially adversely affect our business, financial condition, and results of operations.
Consumers often finance purchases of our products. Although consumer credit markets have improved, consumer credit market conditions continue to influence demand, especially for boats, and may continue to do so. There continue to be fewer lenders, tighter underwriting and loan approval criteria, and greater down payment requirements than in the past. If credit conditions worsen, and adversely affect the ability of consumers to finance potential purchases at acceptable terms and interest rates, it could result in a decrease in the sales of our products.
The uncertain financial markets, disruptions in supply chains, mobility restraints, and changing priorities as well as volatile asset values could impact our business in the future. The COVID-19 outbreak and government measures taken in response to the pandemic have also had a significant impact, both direct and indirect, on businesses and commerce, as worker shortages have occurred; supply chains have been disrupted; facilities and production have been suspended; and demand for certain goods and services, such as medical services and supplies, have spiked, while demand for other goods and services, such as travel, have fallen. The future progression of the pandemic and its effects on our business and operations are uncertain. In addition, the outbreak of a pandemic could disrupt our operations due to absenteeism by infected or ill members of management or other employees, or absenteeism by members of management and other employees who elect not to come to work due to the illness affecting others in our office or laboratory facilities, or due to quarantines. Pandemics could also impact members of our Board of Directors resulting in absenteeism from meetings of the directors or committees of directors and making it more difficult to convene the quorums of the full Board of Directors or its committees needed to conduct meetings for the management of our affairs.
Further, due to increasing inflation, operating costs for many businesses including ours have increased and, in the future, could impact demand or pricing manufacturing of our drug candidates or services providers, foreign exchange rates or employee wages. Inflation rates, particularly in the United States, have increased recently to levels not seen in years, and increased inflation may result in increases in our operating costs (including our labor costs), reduced liquidity and limits on our ability to access credit or otherwise raise capital. In addition, the Federal Reserve has raised, and may again raise, interest rates in response to concerns about inflation, which coupled with reduced government spending and volatility in financial markets may have the effect of further increasing economic uncertainty and heightening these risks.
48
Actual events involving reduced or limited liquidity, defaults, non-performance or other adverse developments that affect financial institutions or other companies in the financial services industry or the financial services industry generally or concerns or rumors about any events of these kinds, have in the past and may in the future lead to market-wide liquidity problems. For example, on March 10, 2023, Silicon Valley Bank, was closed by the California Department of Financial Protection and Innovation, which appointed the Federal Deposit Insurance Corporation as receiver. Although we did not have any cash or cash equivalent balances on deposit with Silicon Valley Bank, uncertainty and liquidity concerns in the broader financial services industry remain and the failure of Silicon Valley Bank and its potential near- and long-term effects on the biotechnology industry and its participants such as our vendors, suppliers, and investors, may also adversely affect our operations and stock price.
We are actively monitoring the effects these disruptions and increasing inflation could have on our operations.
These conditions make it extremely difficult for us to accurately forecast and plan future business activities.
Global economic conditions could materially adversely impact demand for our products and services.
Our operations and performance depend significantly on economic conditions. Global financial conditions continue to be subject to volatility arising from international geopolitical developments and global economic phenomenon, as well as general financial market turbulence, including a significant recent market reaction to the novel coronavirus (COVID-19), resulting in a significant reduction in many major market indices. Uncertainty about global economic conditions could result in material adverse effects on our business, results of operations or financial condition. Access to public financing and credit can be negatively affected by the effect of these events on U.S. and global credit markets. The health of the global financing and credit markets may affect our ability to obtain equity or debt financing in the future and the terms at which financing, or credit is available to us. These instances of volatility and market turmoil could adversely affect our operations and the trading price of our common shares resulting in.
| ● | customers postponing purchases of our products and services in response to tighter credit, unemployment, negative financial news and/or declines in income or asset values and other macroeconomic factors, which could have a material negative effect on demand for our products and services; and |
| ● | third-party suppliers being unable to produce parts and components for our products in the same quantity or on the same timeline or being unable to deliver such parts and components as quickly as before or subject to price fluctuations, which could have a material adverse effect on our production or the cost of such production. |
Our sales may be adversely impacted by increased consumer preference for other leisure activities or used boats or the supply of new boats by competitors in excess of demand.
Our boats are not necessities and in times of economic hardship, consumers may cease purchasing non-essential items. Demand for our boats may be adversely affected by competition from other activities that occupy consumers’ leisure time and by changes in consumer lifestyle, usage pattern or taste. Similarly, an overall decrease in consumer leisure time may reduce consumers’ willingness to purchase and enjoy our boats.
During the economic downturn that commenced in 2008, for example, there was a shift in consumer demand toward purchasing more used boats, primarily because prices for used boats are typically lower than retail prices for new boats. If this were to occur again, it could have the effect of reducing demand among retail purchasers for our new boats. Also, while we have balanced production volumes for our boats to meet demand, our competitors could choose to reduce the price of their products, which could have the effect of reducing demand for our new boats. Reduced demand for new boats could lead to reduced sales by us, which could adversely affect our business, results of operations, and financial condition.
Risks Relating to Ownership of our Common Stock
Terms of subsequent financings may adversely impact your investment.
We may have to engage in common equity, debt, or preferred stock financing in the future. Stockholders’ rights and the value of any investment in our securities could be reduced. Interest on debt securities could increase costs and negatively impacts operating results. Preferred stock could be issued in series from time to time with such designation, rights, preferences, and limitations as needed to raise capital. The terms of preferred stock could be more advantageous to those investors than to the holders of common shares. In addition, if we need to raise more equity capital from the sale of common shares, institutional or other investors may negotiate terms at least as, and possibly more, favorable than the terms of your investment. Common shares which we sell could be sold into any market which develops, which could adversely affect the market price and could result in dilution to existing shareholders.
49
Future sales and issuances of our common stock or rights to purchase common stock, including pursuant to our equity incentive plans and outstanding warrants, could result in additional dilution of the percentage ownership of our stockholders and could cause our stock price to fall.
We expect that significant additional capital may be needed in the future to continue our planned operations, including conducting clinical trials, commercialization efforts, expanded research and development activities and costs associated with operating a public company. To raise capital, we may sell common stock, convertible securities or other equity securities in one or more transactions at prices and in a manner we determine from time to time. If we sell common stock, convertible securities or other equity securities, investors may be materially diluted by subsequent sales. Such sales may also result in material dilution to our existing stockholders, and new investors could gain rights, preferences and privileges senior to the holders of our common stock. Pursuant to the Forza X1, Inc. 2022 Stock Incentive Plan (the “2022 Plan”) our management is authorized to grant equity awards to our employees, officers, directors and consultants.
Initially, the aggregate number of shares of our common stock that might be issued pursuant to stock awards under our 2022 Plan was 1,500,000 shares, which has been since increased to 1,970,250 pursuant to the evergreen provision in the 2022 Plan, and of which remain available for grant as of the date hereof. Increases in the number of shares available for future grant or purchase may result in additional dilution, which could cause our stock price to decline.
At December 31, 2022, we had outstanding (i) warrants to purchase 172,500 shares of common stock outstanding at an exercise price of $6.25, and (ii) options to purchase 1,441,500 shares of common stock at a weighted average exercise price of $3.41 per share. The issuance of the shares of common stock underlying the options and warrants will have a dilutive effect on the percentage ownership held by holders of our common stock.
The issuance of the shares of common stock underlying the options and warrants will have a dilutive effect on the percentage ownership held by holders of our common stock.
If securities analysts do not publish research or reports about our company, or if they issue unfavorable commentary about us or our industry or downgrade our common stock, the price of our common stock could decline.
The trading market for our common stock will depend in part on the research and reports that third-party securities analysts publish about our company and our industry. We may be unable or slow to attract research coverage and if one or more analysts cease coverage of our company, we could lose visibility in the market. In addition, one or more of these analysts could downgrade our common stock or issue other negative commentary about our company or our industry. As a result of one or more of these factors, the trading price of our common stock could decline.
The obligations associated with being a public company will require significant resources and management attention, which may divert from our business operations.
As a result of the IPO, we are subject to the reporting requirements of the Exchange Act and the Sarbanes-Oxley Act. The Exchange Act requires that we file annual, quarterly, and current reports with respect to our business and financial condition. The Sarbanes-Oxley Act requires, among other things, that we establish and maintain effective internal controls and procedures for financial reporting. As a result, we will incur significant legal, accounting, and other expenses that we did not previously incur.
Our failure to meet the continued listing requirements of The Nasdaq Capital Market could result in a de-listing of our common stock.
Our shares of common stock are listed for trading on The Nasdaq Capital Market under the symbol “FRZA.” If we fail to satisfy the continued listing requirements of The Nasdaq Capital Market such as the corporate governance requirements, the stockholder’s equity requirement or the minimum closing bid price requirement, The Nasdaq Capital Market may take steps to de-list our common stock or warrants. Such a de-listing or even notification of failure to comply with such requirements would likely have a negative effect on the price of our common stock and warrants would impair your ability to sell or purchase our common stock when you wish to do so. In the event of a de-listing, we would take actions to restore our compliance with The Nasdaq Capital Market’s listing requirements, but we can provide no assurance that any such action taken by us would allow our common stock become listed again, stabilize the market price or improve the liquidity of our common stock, prevent our common stock from dropping below The Nasdaq Capital Market, minimum bid price requirement or prevent future non-compliance with The Nasdaq Capital Market’s listing requirements.
The National Securities Markets Improvement Act of 1996, which is a federal statute, prevents or preempts the states from regulating the sale of certain securities, which are referred to as “covered securities.” Because our common stock is listed on The Nasdaq Capital Market, our common stock is covered securities. Although the states are preempted from regulating the sale of covered securities, the federal statute does allow the states to investigate companies if there is a suspicion of fraud, and, if there is a finding of fraudulent activity, then the states can regulate or bar the sale of covered securities in a particular case. Further, if we were to be delisted from The Nasdaq Capital Market, our common stock would cease to be recognized as covered securities and we would be subject to regulation in each state in which we offer our securities.
50
For as long as we are an emerging growth company, we will not be required to comply with certain reporting requirements, including those relating to accounting standards and disclosure about our executive compensation, that apply to other public companies.
We are an “emerging growth company,” as defined in Section 2(a) of the Securities Act, as modified by the JOBS Act. As such, we are eligible to take advantage of certain exemptions from various reporting requirements that are applicable to other public companies that are not “emerging growth companies,” including, but not limited to, (i) not being required to comply with the auditor attestation requirements of Section 404(b) of the Sarbanes-Oxley Act, (ii) reduced disclosure obligations regarding executive compensation in our periodic reports and proxy statements, and (iii) exemptions from the requirements of holding a non-binding advisory vote on executive compensation and of stockholder approval of any golden parachute payments not previously approved. We have elected to adopt these reduced disclosure requirements. We cannot predict if investors will find our common stock less attractive as a result of our taking advantage of these exemptions and as a result, there may be a less active trading market for our common stock and our stock price may be more volatile.
We could remain an “emerging growth company” for up to five years or until the earliest of (a) the last day of the first fiscal year in which our annual gross revenues exceed $1.235 billion, (b) the date that we become a “large accelerated filer” as defined in Rule 12b-2 under the Exchange Act, which would occur if the market value of our common stock that is held by non-affiliates exceeds $700 million as of the last business day of our most recently completed fiscal quarter, and (c) the date on which we have issued more than $1 billion in non-convertible debt securities during the preceding three-year period.
We are also a “smaller reporting company” as defined in the Exchange Act and have elected to take advantage of certain of the scaled disclosures available to smaller reporting companies. To the extent that we continue to qualify as a “smaller reporting company” as such term is defined in Rule 12b-2 under the Exchange Act, after we cease to qualify as an emerging growth company, certain of the exemptions available to us as an “emerging growth company” may continue to be available to us as a “smaller reporting company,” including exemption from compliance with the auditor attestation requirements pursuant to SOX and reduced disclosure about our executive compensation arrangements. We will continue to be a “smaller reporting company” until we have $250 million or more in public float (based on our common stock) measured as of the last business day of our most recently completed second fiscal quarter or, in the event we have no public float (based on our common stock) or a public float (based on our common stock) that is less than $700 million, annual revenues of $100 million or more during the most recently completed fiscal year.
Our common stock price has been and may continue to be volatile or may decline regardless of our operating performance and you may not be able to resell your shares at or above the price paid for your stock.
The trading price of our common stock has been and is expected to continue to be volatile and has been and may continue to be subject to wide fluctuations in response to various factors, some of which are beyond our control, including limited trading volume. On August 12, 2022, the reported closing price of our common stock was $7.49, while on December 6,2022 the closing price of our common stock was $1.36. We may incur rapid and substantial decreases in our stock price in the foreseeable future that are unrelated to our operating performance for prospects.
Volatility in the market price of our common stock may prevent stockholders from being able to sell their shares at or above the price they paid for them. Many factors, which are outside our control, may cause the market price of our common stock to fluctuate significantly, including those described elsewhere in this “Risk Factors” section and this Annual Report on Form 10-K, as well as the following:
| ● | Our operating and financial performance and prospects; | |
| ● | Our quarterly or annual earnings or those of other companies in our industry compared to market expectations; | |
| ● | Conditions that impact demand for our products; | |
| ● | Future announcements concerning our business or our competitors’ businesses; | |
| ● | The public’s reaction to our press releases, other public announcements, and filings with the SEC; | |
| ● | The size of our public float; |
51
| ● | Coverage by or changes in financial estimates by securities analysts or failure to meet their expectations; | |
| ● | Market and industry perception of our success, or lack thereof, in pursuing our growth strategy; | |
| ● | Strategic actions by us or our competitors, such as acquisitions or restructurings; | |
| ● | Changes in laws or regulations that adversely affect our industry or us; | |
| ● | Changes in accounting standards, policies, guidance, interpretations, or principles; | |
| ● | Changes in senior management or key personnel; | |
| ● | Issuances, exchanges or sales, or expected issuances, exchanges or sales of our capital stock; | |
| ● | Changes in our dividend policy; | |
| ● | Adverse resolution of new or pending litigation against us; and | |
| ● | Changes in general market, economic, and political conditions in the U.S. and global economies or financial markets, including those resulting from natural disasters, terrorist attacks, acts of war, and responses to such events. |
As a result, volatility in the market price of our common stock may prevent investors from being able to sell their common stock at or above the price paid for such shares or at all. These broad market and industry factors may materially reduce the market price of our common stock, regardless of our operating performance. In addition, price volatility may be greater if the public float and trading volume of our common stock is low. As a result, shareholders may suffer a loss on their investment.
Additionally, recently, securities of certain companies have experienced significant and extreme volatility in stock price due to short sellers of shares of common stock, known as a “short squeeze.” These short squeezes have caused extreme volatility in those companies and in the market and have led to the price per share of those companies to trade at significantly inflated rates that is disconnected from the underlying value of the company. Many investors who have purchased shares in those companies at an inflated rate face the risk of losing a significant portion of their original investment as the price per share has declined steadily as interest in those stocks have abated. While we have no reason to believe our shares would be the target of a short squeeze, there can be no assurance that we won’t be in the future, and shareholders may lose a significant portion or all of their investment if they purchase our shares at a rate that is significantly disconnected from our underlying value.
Our common stock has often been thinly traded, so you may be unable to sell at or near ask prices or at all if you need to sell your shares to raise money or otherwise desire to liquidate your shares.
To date, there have been many days on which limited trading of our common stock took place. We cannot predict the extent to which investors’ interests will lead to an active trading market for our common stock or whether the market price of our common stock will be volatile. If an active trading market does not develop, investors may have difficulty selling any of our common stock that they buy. We are likely to be too small to attract the interest of many brokerage firms and analysts. We cannot give you any assurance that an active public trading market for our common stock will develop or be sustained. The market price of our common stock could be subject to wide fluctuations in response to quarterly variations in our revenues and operating expenses, announcements of new products or services by us, significant sales of our common stock, including “short” sales, the operating and stock price performance of other companies that investors may deem comparable to us, and news reports relating to trends in our markets or general economic conditions.
We do not intend to pay dividends on our common stock for the foreseeable future.
We presently have no intention to pay dividends on our common stock at any time in the foreseeable future. Any decision to declare and pay dividends in the future will be made at the discretion of our board of directors and will depend on, among other things, our results of operations, financial condition, cash requirements, contractual restrictions, and other factors that our board of directors may deem relevant. Furthermore, our ability to declare and pay dividends may be limited by instruments governing future outstanding indebtedness we may incur.
52
FINRA sales practice requirements may limit your ability to buy and sell our common shares, which could depress the price of our shares.
FINRA rules require broker-dealers to have reasonable grounds for believing that an investment is suitable for a customer before recommending that investment to the customer. Prior to recommending speculative low-priced securities to their non-institutional customers, broker-dealers must make reasonable efforts to obtain information about the customer’s financial status, tax status and investment objectives, among other things. Under interpretations of these rules, FINRA believes that there is a high probability such speculative low-priced securities will not be suitable for at least some customers. Thus, FINRA requirements may make it more difficult for broker-dealers to recommend that their customers buy our common shares, which may limit your ability to buy and sell our shares, have an adverse effect on the market for our shares and, thereby, depress their market prices.
Volatility in our common shares price may subject us to securities litigation.
The market for our common shares may have, when compared to seasoned issuers, significant price volatility, and we expect that our share price may continue to be more volatile than that of a seasoned issuer for the indefinite future. In the past, plaintiffs have often initiated securities class action litigation against a company following periods of volatility in the market price of its securities. We may, in the future, be the target of similar litigation. Securities litigation could result in substantial costs and liabilities and could divert management’s attention and resources.
Provisions in our corporate charter documents and under Delaware law could make an acquisition of our company, which may be beneficial to our stockholders, more difficult and may prevent attempts by our stockholders to replace or remove our current management.
Provisions in our corporate charter and our bylaws may discourage, delay or prevent a merger, acquisition or other change in control of our company that stockholders may consider favorable, including transactions in which you might otherwise receive a premium for your shares. These provisions could also limit the price that investors might be willing to pay in the future for shares of our common stock, thereby depressing the market price of our common stock. In addition, because our board of directors is responsible for appointing the members of our management team, these provisions may frustrate or prevent any attempts by our stockholders to replace or remove our current management by making it more difficult for stockholders to replace members of our board of directors. Among other things, these provisions:
| ● | our board of directors is divided into three classes, one class of which is elected each year by our stockholders with the directors in each class to serve for a three-year term; | |
| ● | the authorized number of directors can be changed only by resolution of our board of directors; | |
| ● | directors may be removed only by the affirmative vote of the holders of at least sixty percent (60%) of our voting stock, whether for cause or without cause; | |
| ● | our bylaws may be amended or repealed by our board of directors or by the affirmative vote of sixty-six and two-thirds percent (66 2/3%) of our stockholders; | |
| ● | stockholders may not call special meetings of the stockholders or fill vacancies on the board of directors; | |
| ● | our board of directors will be authorized to issue, without stockholder approval, preferred stock, the rights of which will be determined at the discretion of the board of directors and that, if issued, could operate as a “poison pill” to dilute the stock ownership of a potential hostile acquirer to prevent an acquisition that our board of directors does not approve; | |
| ● | our stockholders do not have cumulative voting rights, and therefore our stockholders holding a majority of the shares of common stock outstanding will be able to elect all of our directors; and | |
| ● | our stockholders must comply with advance notice provisions to bring business before or nominate directors for election at a stockholder meeting. |
Moreover, because we are incorporated in Delaware, we are governed by the provisions of Section 203 of the Delaware General Corporation Law, which prohibits a person who owns in excess of 15% of our outstanding voting stock from merging or combining with us for a period of three years after the date of the transaction in which the person acquired in excess of 15% of our outstanding voting stock, unless the merger or combination is approved in a prescribed manner.
Our amended and restated certificate of incorporation provides that the Court of Chancery of the State of Delaware will be the exclusive forum for certain types of state actions that may be initiated by our stockholders, which could limit our stockholders’ ability to obtain a favorable judicial forum for disputes with us or our directors, officers, or employees.
Our amended and restated certificate of incorporation provides that, unless we consent to the selection of an alternative forum, the Court of Chancery of the State of Delaware is the exclusive forum for (i) any derivative action or proceeding brought on behalf of us, (ii) any action asserting a claim of breach of a fiduciary duty owed by any of our directors, officers, or other employees to us or our stockholders, (iii) any action arising pursuant to any provision of the DGCL or our amended and restated certificate of incorporation or bylaws (as either may be amended from time to time), or (iv) any action asserting a claim governed by the internal affairs doctrine. The exclusive forum provision does not apply to suits brought to enforce any liability or duty created by the Securities Act or the Exchange Act or any other claim for which the federal courts have exclusive jurisdiction. To the extent that any such claims may be based upon federal law claims, Section 27 of the Exchange Act creates exclusive federal jurisdiction over all suits brought to enforce any duty or liability created by the Exchange Act or the rules and regulations thereunder. Furthermore, Section 22 of the Securities Act creates concurrent jurisdiction for federal and state courts over all suits brought to enforce any duty or liability created by the Securities Act or the rules and regulations thereunder.
53
These exclusive-forum provisions may limit a stockholder’s ability to bring a claim in a judicial forum that it finds favorable for disputes with us or our directors, employees, control persons, underwriters, or agents, which may discourage lawsuits against us and our directors, employees, control persons, underwriters, or agents. Additionally, a court could determine that the exclusive forum provision is unenforceable, and our stockholders will not be deemed to have waived our compliance with the federal securities laws and the rules and regulations thereunder. If a court were to find these provisions of our bylaws inapplicable to, or unenforceable in respect of, one or more of the specified types of actions or proceedings, we may incur additional costs associated with resolving such matters in other jurisdictions, which could adversely affect our business, financial condition, or results of operations.
We presently intend to retain our earnings, if any, to finance the development and growth of our business and operations and do not anticipate declaring or paying cash dividends on our common stock in the foreseeable future.
Any future determination as to the declaration and payment of dividends, if any, will be at the discretion of our board of directors and will depend on then-existing conditions, including our operating results, financial condition, contractual restrictions, capital requirements, business prospects, and other factors our board of directors may deem relevant. See “Risk Factors — Risks Relating to Ownership of Our Common Stock — We do not intend to pay dividends on our common stock for the foreseeable future”.”
Item 1B. Unresolved Staff Comments.
None.
Item 2. Properties.
Twin Vee leases its office and production facilities, and the land which are located at 3101 S US-1, Fort Pierce, Florida from Visconti Holdings, LLC. Visconti Holdings, LLC is a single member LLC that holds the ownership of the property, and its sole member is Joseph C Visconti, the CEO of the Company. The Company entered into the lease on January 1, 2020, and as amended January 1, 2021, the lease has a term of five years. The current base rent payment is $33,075 per month including property taxes and the lease required a $25,000 security deposit. The base rent will increase five percent (5%) on the anniversary of each annual term.
We currently share our corporate headquarters with our majority owner, Twin Vee.
On July 28, 2022, we received notice that the North Carolina Economic investment committee has approved a Job Development Investment Grant (“JDIG”) providing for reimbursement to us of up to $1,367,100 over a twelve-year period to establish a new manufacturing plant in McDowell County, North Carolina. The receipt of grant funding is conditioned upon us investing over $10.5 million in land, buildings and fixtures, infrastructure and machinery and equipment by the end of 2025 and us creating as many as 170 jobs. We have selected a site to build the Forza factory in North Carolina.
In October of 2022, we signed a two-year lease agreement, on a warehouse facility to begin building out our prototype engines. The monthly base rent will be $7,517 the first year, including taxes and common area maintenance, the lease required a $7,517 security deposit. The bases rent will increase three (3%) on the anniversary of the annual term.
While we believe these headquarters and the leased facility are adequate for our current operational needs, we do believe that the capacity at the facility will not be sufficient to support both Twin Vee’s full-scale production and our full-scale production.
Item 3. Legal Proceedings.
From time to time, we may become involved in legal proceedings or be subject to claims arising in the ordinary course of our business. We are not presently a party to any legal proceedings that, if determined adversely to us, would individually or taken together have a material adverse effect on our business, operating results, financial condition or cash flows. Regardless of the outcome, litigation can have an adverse impact on us because of defense and settlement costs, diversion of management resources and other factors.
Item 4. Mine Safety Disclosures.
Not applicable
54
PART II
Item 5. Market for Registrant’s Common Equity, Related Stockholder Matters and Issuer Purchases of Equity Securities.
Market Information
Our common stock has traded on the Nasdaq Stock Market LLC under the symbol “FRZA” since August 12, 2022. The last price of our common stock as reported on the Nasdaq Capital Market LLC on March 24, 2023 was [$3.68] per share.
Stockholders
We have two classes of stock, undesignated preferred stock and $0.001 par value common stock. No shares of preferred stock have been issued or are outstanding. As of March 23, 2023, we had 3 common stock stockholders of record. The number of holders of record is based on the actual number of holders registered on the books of our transfer agent and does not reflect holders of shares in “street name” or persons, partnerships, associations, corporations or other entities identified in security position listings maintained by depository trust companies.
Dividend Policy
We did not pay a cash dividend during the 2022 or 2021 fiscal years. We presently intend to retain our earnings, if any, to finance the development and growth of our business and operations and do not anticipate declaring or paying cash dividends on our common stock in the foreseeable future. Any future determination as to the declaration and payment of dividends, if any, will be at the discretion of our board of directors and will depend on then-existing conditions, including our operating results, financial condition, contractual restrictions, capital requirements, business prospects, and other factors our board of directors may deem relevant.
Transfer Agent and Registrar
The transfer agent and registrar for our common stock is Interwest Transfer Company, Inc. (also known as Direct Transfer LLC).
Performance Graph and Purchases of Equity Securities
The Company is a smaller reporting company as defined by Rule 12b-2 of the Exchange Act and is not required to provide the information required under this item.
Use of Proceeds
On August 17, 2022, we closed our IPO pursuant to which we offered and sold 3,450,000 shares of our common stock at an offering price of $5.00 per share (for aggregate gross proceeds of $17,250,000), pursuant to our Registration Statement on Form S-1 (as amended) (File No. 333-255134), which was declared effective by the SEC on August 22, 2022, as amended by the Registration Statement on Form S-1 MEF (File No. 333-261884) filed with the SEC on August 11, 2022 and effective as of the date of filing. After deducting underwriting discounts and commissions of approximately $1,293,750, and other offering expenses payable by us of approximately $724,900, we received approximately $15,231,350 in net proceeds from our IPO. ThinkEquity LLC acted as the representative of the several underwriters for the IPO.
At the time of the IPO, the primary use of the net proceeds was as follows: (i) approximately $8,000,000 for the acquisition of property and the development of a manufacturing plant to build, design and manufacture our new line of electric boats.; (ii) approximately $2,000,000 for the ramp up of production and inventory; (iii) approximately $2,600,000 for working capital. Our use of proceeds remains the same.
Recent Sale of Unregistered Securities
We did not sell any equity securities during the year ended December 31, 2022 in transactions that were not registered under the Securities Act other than as disclosed in our filings with the SEC.
Issuer Purchases of Equity Securities
There were no issuer purchases of equity securities during the year ended December 31, 2022. On January 17, 2023, we announced that our Board of Directors had approved a stock repurchase program authorizing the repurchase of up to $1,000,000 of our common stock. Today, we have not made any repurchases.
55
Equity Compensation Plan Information
On August 12, 2022, we adopted the Forza X1, Inc. 2022 Stock Incentive Plan (the “2022 Plan”). The following table provides information, as of December 31, 2022 with respect to options outstanding under the 2022 Plan.
| Plan Category | Number of Securities to be Issued upon Exercise of Outstanding Equity Compensation Plan Options* |
Weighted- Average Exercise Price of Outstanding Equity Compensation Plan Options |
Number of Securities Remaining Available for Future Issuance Under Equity Compensation Plans (excluding securities reflected in the first column) | |||||||||
| Equity compensation plans approved by security holders | 1,500,000 | 3.41 | 58,500 | |||||||||
| Equity compensation plans not approved by security holders | — | |||||||||||
| Total | 1,500,000 | 3.41 | 58,500 | |||||||||
2022 Stock Incentive Plan
See “Executive Compensation and Director Compensation—Employee Benefit and Stock Plans—2022 Stock Incentive Plan” in Part III, Item 10 for a description of the Forza X1, Inc. 2022 Stock Incentive Plan.
Item 6. [Reserved].
Item 7. Management’s Discussion and Analysis of Financial Condition and Results of Operations.
The following discussion, which focuses on our results of operations, contains forward-looking information and statements. Actual events or results may differ materially from those indicated or anticipated, as discussed in the section entitled “Forward Looking Statements.” The following discussion of our financial condition and results of operations should also be read in conjunction with our financial statements and notes to financial statements contained elsewhere in this Annual Report on Form 10-K.
Company Overview
We aim to be among the first to develop and manufacture electric boats targeting the recreational market. Our mission is to inspire the adoption of sustainable recreational boating by producing stylish electric sport boats. We are focused on the creation and implementation of marine electric vehicle (“EV”) technology to control and power our electric boats utilizing our proprietary outboard electric motor. Our electric boats are being designed as fully integrated electric boats including the hull, outboard motor and control system.
We believe that the boating industry will follow in the footsteps of the electrification of the automotive industry by creating electric boats that meet or exceed the traditional boating consumer’s expectations of price, value and run times. In other words, electric boats must offer a similar experience when compared to traditional gas-powered boats in terms of size, capability, and price point.
To date, we have completed the design of the 25-foot FX dual console model, including hull, deck and small parts. This design has gone from an intellectual concept in CAD to fiberglass and foam plugs, fiberglass molds and, finally, working boat parts in just over one year. On October the 28th, 2022, the running surface of the boat and all major components were tested successfully on the Indian River Lagoon in Fort Pierce, Florida. While the motor and control systems have been successfully trialed previously, this was the first voyage including all major components, production batteries, fully functioning “alpha” engine design, control system including 22” Garmin screen, and Osmosis telematics unit. The performance of the boat exceeded all expectations and will provide a great baseline for improvements, iterations, and design enhancements. We ultimately reached over thirty miles per hour.
56
Subsequent to the initial prototype boat, we have built six more prototypes: two more FX-style catamarans, two baycats, one deck boat and two 22-foot center console monohull. The engine design and lower units and the control system cabling have been revamped and improved in each iteration. The monohull will feature a single battery and the deck boat will, like the FX, utilize a two-battery system. The batteries and engines are liquid-cooled and unique improvements to the heat exchanges have improved performance. We have now completed our telematics unit design and we have a beta app on the Apple app store. This will allow for remote monitoring of all of the parameters of the battery and engine for both the end user and the factory. Additionally, we have improved our user interface through the Garmin control screen to provide well-designed pages showing operating characteristics and conformance to control parameters.
We continue to anticipate revenues from the sale of these fully integrated electric boats and motors to commence in late 2023. Forza X1 will continue to build prototype engines and boats for the next six to nine months.
We plan to market and sell our model offerings in a variety of ways. One way will be to operate in a fundamentally different manner and structure than traditional marine manufacturers and boat dealers by adopting a direct-to-consumer sales model. We are building a dedicated web and app-based platform for sales, deliveries, and service operations to change the traditional boat buying and marine service experience through technological innovation, ease of use, and flexibility. We intend to employ an integrated, digital-first strategy that is convenient and transparent for our customers and efficient and scalable to support our growth. Additionally, to support those looking for a more traditional way of purchasing a boat, or to accompany trade-ins, financing needs, and training, we will also market our boats through a partnership with One Water, one of the largest dealership networks in the United States. We believe our approach will enable us to provide the best of both worlds to prospective customers and support our mission to electrify recreational boating for mass production.
Recently, we have engaged with several high-profile marine manufacturers and are offering our electrification expertise as a service. We are in the process of creating a robust Forza website and are scheduling a media day for spring of 2023.
The North Carolina factory plans are proceeding apace with clearing of the land 100% complete and rough grading about 80% complete. We are in the building design phase and have chosen a design-build contractor. We have also leased factory space that we have upfitted for use as an engine and wire harness fabrication and test facility, we started engine production and wire fabrication in March of 2023.
Comparison of the Years Ended December 31, 2022 and 2021
The following table provides certain selected financial information for the periods presented:
| Successor Company | Successor Company | Predecessor Company | ||||||||||||||||||
| Years Ended December 31, | October 15 - December 31, | January 1 - October 14, | ||||||||||||||||||
| 2022 | 2021 | 2021 | Change | % Change | ||||||||||||||||
| Net sales | $ | — | $ | — | $ | — | $ | — | — | |||||||||||
| Cost of products sold | $ | 232,744 | $ | — | $ | — | $ | 232,744 | — | |||||||||||
| Gross loss | $ | (232,744 | ) | $ | — | $ | — | $ | (232,744 | ) | — | |||||||||
| Operating expenses | $ | 3,420,515 | $ | 263,349 | $ | 118,179 | $ | 3,038,987 | 796 | % | ||||||||||
| Loss from operations | $ | (3,653,259 | ) | $ | (263,349 | ) | $ | (118,179 | ) | $ | (3,271,731 | ) | 858 | % | ||||||
| Other income (expense) | $ | 23,178 | $ | (7,281 | ) | $ | (68,742 | ) | $ | 99,201 | (131 | %) | ||||||||
| Net loss | $ | (3,630,081 | ) | $ | (270,630 | ) | $ | (186,921 | ) | $ | (3,172,530 | ) | 693 | % | ||||||
| Net loss per common share: Basic and Diluted | $ | (0.44 | ) | $ | (0.04 | ) | $ | (0.03 | ) | (0.37 | ) | 17 | % | |||||||
| Weighted average number of shares of common stock outstanding | 8,332,735 | 7,000,000 | 7,000,000 | |||||||||||||||||
57
Operating Expenses
Operating expenses for the year ended December 31, 2022 increased by $3,038,987 to $3,420,515 (Successor) as compared to $263,349 and $118,179, respectively, for the period October 15, 2021 through December 31, 2021 (Successor), and January 1, 2021 through October 14, 2021 (Predecessor). Operating expenses include salaries, selling and general and administrative, research and development, professional fees and depreciation. All of our operating expense increase significantly over the prior period, as we were able to get funded through our IPO which allowed us to fully engage in our research and development. Research and development fees for the year ended December 31, 2022 were $957,220 compared to $150,020 and $61,091, respectively, for the period October 15, 2021 through December 31, 2021 (Successor), and January 1, 2021 through October 14, 2021 (Predecessor). Salaries and wages for the year ended December 31, 2022 were $1,770,126 as compared to $41,189 and $0, respectively, for the period October 15, 2021 through December 31, 2021 (Successor), and January 1, 2021 through October 14, 2021 (Predecessor), and most of which was paid to the designers of our fully electric motor, control system and boat. For the year ended December 31, 2022 salaries and wages included $458,346 of stock option expense, compared to $0 and $0, respectively, for the period October 15, 2021 through December 31, 2021 (Successor), and January 1, 2021 through October 14, 2021 (Predecessor). Our expenses for selling, general and administrative for the year ended December 31, 2022, were $473,900 compared to $28,806 and $56,955, respectively, for the period October 15, 2021 through December 31, 2021 (Successor), and January 1, 2021 through October 14, 2021 (Predecessor), Professional fees for the year ended December 31, 2022 were $159,304 compared to $40,259 and $0, respectively, for the period October 15, 2021 through December 31, 2021 (Successor), and January 1, 2021 through October 14, 2021 (Predecessor). Depreciation for the year ended December 31, 2022 was $59,965 compared to $3,075 and $133, respectively, for the period October 15, 2021 through December 31, 2021 (Successor), and January 1, 2021 through October 14, 2021 (Predecessor), this is due to the addition of assets throughout 2022, we would anticipate continued increases as we purchase equipment and molds. We have incurred and expect to continue to incur significant costs in pursuit of our financing and construction of our new manufacturing facility.
Other expense and income
Interest expense for the year ended December 31, 2022 was $3,286 compared to $7,281 and $8,490 respectively, for the period October 15, 2021 through December 31, 2021 (Successor), and January 1, 2021 through October 14, 2021 (Predecessor).
Interest income for the year ended December 31, 2022 was $14,752 compared to $0 and $0 respectively, for the period October 15, 2021 through December 31, 2021 (Successor), and January 1, 2021 through October 14, 2021 (Predecessor).
Dividend income for the year ended December 31, 2022 was $43,294 compared to $0 and $0 respectively, for the period October 15, 2021 through December 31, 2021 (Successor), and January 1, 2021 through October 14, 2021 (Predecessor).
For the year ended December 31, 2022, we recorded a loss on the sales of assets of $31,582, this was the result of expense paid to secure land in Fort Pierce, Florida to build a new manufacturing facility. It was determined that the costs associated with building on that lot were prohibitive, we cancelled the contract resulting in the loss of $31,582.
Liquidity and Capital Resources
The following table provide selected financial data as of December 31, 2022 and December 31, 2021:
| December 31, | December 31, | |||||||||||||||
| 2022 | 2021 | Change | % Change | |||||||||||||
| Cash and cash equivalents | $ | 12,767,199 | $ | 1,803,285 | $ | 10,963,914 | 608.0 | % | ||||||||
| Current assets | $ | 13,286,934 | $ | 1,891,762 | $ | 11,395,172 | 602.4 | % | ||||||||
| Current liabilities | $ | 453,191 | $ | 690,378 | $ | (237,187 | ) | (34.4 | %) | |||||||
| Working capital | $ | 12,833,743 | $ | 1,201,384 | $ | 11,632,359 | 968.2 | % | ||||||||
58
As of December 31, 2022, we had cash and cash equivalents, and working capital of $12,767,199 and $12,833,743, respectively, compared to $1,803,285 and $1,201,384, respectively, on December 31, 2021. In August of 2022 we completed our IPO, which increased our cash by approximately $15,231,000. Prior to our IPO, our sole source of funding had been from Twin Vee. Twin Vee has financed our working capital needs, primarily prototyping, consulting services, rent, interest and payroll through an initial $2,000,000 equity investment. Subsequently Twin Vee invested an additional $500,000 in us on May 25, 2022, for ongoing operating costs. No additional shares of common stock or other rights were issued to Twin Vee for such additional investment. In addition, Twin Vee has provided management services to us for a monthly fee of $5,000. Additionally, we are allowed to use space at its facility for a variable monthly cost. We expect to continue to rent space from Twin Vee until we have built our own manufacturing facility. Upon the completion of the IPO we transitioned the management agreement with Twin Vee from an agreement providing management services to an administrative services agreement under which Twin Vee provides us with certain administrative services, such as procurement, shipping, receiving, storage and use of Twin Vee’s facility until our new planned facility is completed. We have incurred and expect to continue to incur significant costs in pursuit of our financing and construction of our new manufacturing facility. Our management plans to use the proceeds from the IPO to finance these expenses. We believe that our current capital resources together with revenue we expect to receive from the sale of our fully integrated electric boats and motors, will be sufficient to fund our operations and growth initiative for at least 18 months following the date of this Annual Report on Form 10-K. The Company expects to continue to incur net losses, and we anticipate that our loss rate will increase, as we move into building and testing additional prototypes, which will require significant cash outflows for at least the next 12 months. We continue to anticipate revenues from the sale of these fully integrated electric boats and motors to commence in late 2023. Forza X1 will continue to build prototype engines and boats for the next six to nine months.
| Successor Company | Predecessor Company | |||||||||||||||||||
| Year Ended December 31, 2022 | October 15 - December 31, 2021 | January 1- October 14, 2021 | Change | % Change | ||||||||||||||||
| Cash (used in) provided by operating activities | $ | (3,377,621 | ) | $ | (317,131 | ) | $ | 13,024 | $ | (3,073,514 | ) | 1,011 | % | |||||||
| Cash used in investing activities | $ | (606,726 | ) | $ | (66,079 | ) | $ | (362,946 | ) | $ | (177,701 | ) | 41 | % | ||||||
| Cash provided by financing activities | $ | 14,948,261 | $ | 2,186,495 | $ | 349,922 | $ | 12,411,844 | 489 | % | ||||||||||
| Net Change in Cash | $ | 10,963,914 | $ | 1,803,285 | $ | — | $ | 9,160,629 | 508 | % | ||||||||||
Cash Flow from Operating Activities
During the year ended December 31, 2022 we generated negative cash flows from operating activities of $3,377,621 compared to $317,131 for the period October 15, 2021 through December 31, 2021 (Successor). During the period January 1, 2021 through October 14, 2021 (Predecessor) we generated cash flows from operating activities of $13,024. During the year ended December 31, 2022, we had a net loss of $3,630,081 compared to $270,630 and $186,921 respectively, for the period October 15, 2021 through December 31, 2021 (Successor), and January 1, 2021 through October 14, 2021 (Predecessor). During the year ended December 31, 2022 our cash used in operating activities was impacted by an increase of prepaid expenses of $431,258 and security deposits of $7,517. The increase in prepaid expenses relates to large deposits required to vendors for production related, long lead time items. During the year ended December 31, 2022 (Successor), our cash used in operating activities was impacted by an increase of accounts payable of $85,695, contract liabilities of $5,300, accrued liabilities of $57,639, operating lease liabilities of $154,777 and by non-cash expenses of $373,162 due to depreciation, stock option expense, change of right-of-use asset and a loss on the disposal of assets.
During the periods October 15, 2021 through December 31, 2021 (Successor) and January 1, 2021 through October 14, 2021 (Predecessor), our cash used in operating activities was increased by prepaid expense of $88,477 and $0, respectively and decreased by non-cash expenses of $3,075 and $190,385, respectively, due to depreciation and loss on the disposal of assets, we further had a reduction in working capital of $38,902 and $9,559, respectively.
Cash Flows from Investing Activities
For the year ended December 31, 2022, we used $606,726 in investing activities for the purchase of property and equipment, primarily for the molds for the new Forza deck and hull. We anticipate increased investing in 2023, as we start construction of our new manufacturing facility in North Carolina.
For the periods October 15, 2021 through December 31, 2021 (Successor) and January 1, 2021 through October 14, 2021 (Predecessor) we used $66,079 and $362,946 in investing activities for the purchase of property and equipment.
59
Cash Flows from Financing Activities
Prior to our IPO we had financed our operations primarily from capital provided from Twin Vee in the form of an equity investment and advances. During the year ended December 31, 2022 and for the periods October 15, 2021 through December 31, 2021 (Successor) and January 1, 2021 through October 14, 2021 (Predecessor), net cash provided by financing activities was $14,948,261, $2,186,495 and $349,922, respectively. On August 16, 2022, we closed our IPO of 3,450,000 shares of our common stock at a public offering price of $5.00 per share, including 450,000 shares sold upon full exercise of the underwriter’s option, for net proceeds of $15,231,350. Additional cash from financing activities of $612,740 and $500,000 were provided from Twin Vee as advance and as capital contributions, for the period ended December 31, 2022, Twin Vee additionally contributed 690,625 in advances and 2,000,000 in capital contributions in the period October 15 – December 31, 2021. The advancements where offset by repayments to Twin Vee of $1,099,468 for the year ended December 31, 2022, and $398,630 for the period October 15 – December 31, 2021. The advances bear interest at the rate of 6% per annum and during the year ended December 31, 2022 and for the periods October 15, 2021 through December 31, 2021 (Successor) and January 1, 2021 through October 14, 2021 (Predecessor), we incurred $3,286, $7,281 and $8,490 in interest expense, respectively.
Results of Operations and Known Trends or Future Events
The accompanying financial data includes the historical accounts of Forza X1, Inc. and its predecessor, the carve-out of the electric segment business of Twin Vee. Forza is in the business of design and development of electric boats. Forza has a December 31st fiscal year-end.
Forza succeeded to substantially all of the business of the electric segment of Twin Vee and Forza’s own operations before the succession, October 15, 2021, were non-existent. Accordingly, the carve-out financial statements of the electric segment of Twin Vee are included as Predecessor herein. Management has reached this conclusion based upon an evaluation of the requirements and the facts and circumstances, including the historical life of the electric segment, the historical level of operations of the electric segment, and the fact that Forza’s operations, prior to the succession were non-existent.
To date much of our operational activity has been related to the design and build of prototype, as such we do not have any sales or cost of goods sold. The design of our new electric boat shell has been completed and we are now preparing to begin our production process by utilizing the FX molds and by creating additional electric models, including deck boats and monohulls. The design of the motors and the motor control system is largely complete; however, the testing and iteration phase may result in significant changes, improvements, and upgrades. To date we have not generated any revenues. We will not generate any operating revenues until we complete the design and build of our EV boats and commercialize them. As stated above, however, we have engaged with several high-profile marine manufacturers and are offering our electrification expertise as a service. We will generate non-operating income in the form of interest income on cash and cash equivalents. We continue to anticipate revenues from the sale of these fully integrated electric boats and motors to commence in late 2023. Forza X1 will continue to build prototype engines and boats for the next six to nine months.
CRITICAL ACCOUNTING ESTIMATES
We believe that several accounting policies are important to understanding our historical and future performance. We refer to these policies as “critical” because these specific areas generally require us to make judgments and estimates about matters that are uncertain at the time we make the estimate, and different estimates—which also would have been reasonable—could have been used, which would have resulted in different financial results.
Our management’s discussion and analysis of financial condition and results of operations is based on our financial statements, which have been prepared in accordance with U.S. GAAP. The preparation of our financial statements requires us to make estimates and judgments that affect the reported amounts of assets, liabilities, revenue and expenses and related disclosure of contingent assets and liabilities. On an ongoing basis, we evaluate our estimates based on historical experience and make various assumptions, which management believes to be reasonable under the circumstances, which form the basis for judgments about the carrying values of assets and liabilities that are not readily apparent from other sources. Actual results may differ from these estimates under different assumptions or conditions.
The notes to our financial statements contained herein contain a summary of our significant accounting policies. We consider the following accounting policies critical to the understanding of the results of our operations:
60
Use of Estimates
The preparation of financial statements in conformity with accounting principles generally accepted in the United States (“U.S. GAAP”) required management to make estimates and assumptions that affect the amounts reported in the financial statements. Actual results could differ from those estimates. Included in those estimates are assumptions about useful life of fixed assets.
Cash and Cash Equivalents
Cash and cash equivalents include all highly liquid investments with original maturities of three months or less at the time of purchase. On December 31, 2022 and 2021, the Company had cash and cash equivalents of $12,767,199 and $1,803,285, respectively.
Property and Equipment
Property and equipment are stated at cost. Depreciation is provided using the straight-line method over the estimated useful lives of the related assets. The estimated useful lives of property and equipment range from three to seven years. Upon sale or retirement, the cost and related accumulated depreciation and amortization are eliminated from their respective accounts, and the resulting gain or loss is included in results of operations. Repairs and maintenance charges, which do not increase the useful lives of the assets, are charged to operations as incurred.
Impairment of Long-lived Assets
Management assesses the recoverability of its long-lived assets when indicators of impairment are present. If such indicators are present, recoverability of these assets is determined by comparing the undiscounted net cash flows estimated to result from those assets over the remaining life to the assets’ net carrying amounts. If the estimated undiscounted net cash flows are less than the net carrying amount, the assets would be adjusted to their fair value, based on appraisal or the present value of the undiscounted net cash flows.
Research and Development
Research and development costs are expensed when incurred. Such costs for the year ended December 31, 2022 were $957,220. Such costs for the periods October 15, 2021 through December 31, 2021 (Successor), January 1, 2021 through October 14, 2021 (Predecessor) approximated $150,020 and $61,091, respectively.
Advertising Costs
Advertising and marketing costs are expensed as incurred. For the year ended December 31 2022, advertising and marketing costs incurred by the Company totaled $11,177. For the periods October 15, 2021 through December 31, 2021 (Successor), January 1, 2021 through October 14, 2021 (Predecessor), advertising and marketing costs incurred by the Company totaled $7,130 and $0, respectively. Advertising and marketing costs are included in selling and general and administrative expenses in the accompanying statements of operations.
Income Taxes
The Company is a C Corporation under the Internal Revenue Code and a similar section of the state code.
All income tax amounts reflect the use of the liability method under accounting for income taxes. Income taxes are provided for the tax effects of transactions reported in the financial statements and consist of taxes currently due plus deferred taxes arising primarily from differences between financial and tax reporting purposes.
Deferred income taxes, net of appropriate valuation allowances, are determined using the tax rates expected to be in effect when the taxes are actually paid. Valuation allowances are recorded against deferred tax assets when it is more likely than not that such assets will not be realized. When an uncertain tax position meets the more likely than not recognition threshold, the position is measured to determine the amount of benefit or expense to recognize in the financial statements.
In accordance with U.S GAAP, the Company follows the guidance in FASB ASC Topic 740, Accounting for Uncertainty in Income Taxes. At December 31, 2022 and December 31, 2021, the Company does not believe it has any uncertain tax positions that would require either recognition or disclosure in the accompanying financial statements.
The Company’s income tax returns are subject to review and examination by federal, state and local governmental authorities.
61
Recent Accounting Pronouncements
All newly issued accounting pronouncements not yet effective have been deemed either immaterial or not applicable.
JOBS Act
The JOBS Act permits an emerging growth company such as us to take advantage of an extended transition period to comply with new or revised accounting standards applicable to public companies until those standards would otherwise apply to private companies. We have elected to avail ourselves of the extended transition period for complying with new or revised financial accounting standards.
We will remain an emerging growth company until the earliest of (i) the last day of our first fiscal year in which we have total annual gross revenues of $1.235 billion or more; (ii) the date on which we are deemed to be a “large accelerated filer” under the rules of the SEC with at least $700.0 million of outstanding equity securities held by non-affiliates; (iii) the date on which we have issued more than $1.0 billion in non-convertible debt securities during the previous three years; or (iv) the last day of our fiscal year following the fifth anniversary of the date of the completion of our IPO.
OFF-BALANCE SHEET ARRANGEMENTS
We did not have during the periods presented, and we do not currently have, any off-balance sheet arrangements, as defined under SEC rules.
Item 7A. Quantitative and Qualitative Disclosures About Market Risk
Not applicable because we are a smaller reporting company.
62
Item 8. Financial Statements and Supplementary Data.
Forza x1, Inc.
FINANCIAL STATEMENTS
Contents
63
REPORT OF INDEPENDENT REGISTERED PUBLIC ACCOUNTING FIRM
To The Board of Directors and the Stockholders of
Forza X1, Inc.
Fort Pierce, Florida
Opinion on the Financial Statement
We have audited the accompanying financial statements of Forza X1, Inc. (the “Company”), which comprise the balance sheets at December 31, 2022 and 2021, and the related statements of operations, changes in stockholders’ equity and cash flows for the year ended December 31, 2022 and the periods October 15, 2021 through December 31, 2021 (Successor) and January 1, 2021 through October 14, 2021 (Predecessor), and the related notes to the financial statements. In our opinion, the financial statements present fairly, in all material respects, the financial position of the Company at December 31, 2022 and 2021 and the results of its operations and its cash flows for the year ended December 31, 2022 and the periods October 15, 2021 through December 31, 2021 (Successor) and January 1, 2021 through October 14, 2021 (Predecessor), in conformity with accounting principles generally accepted in the United States of America.
Substantial Doubt Regarding the Company’s Ability to Continue as a Going Concern
The accompanying financial statements have been prepared assuming that Forza X1, Inc., will continue as a going concern. As discussed in Note 3 to the financial statements, the Company’s operating loss and negative cash from operations raise substantial doubt about its ability to continue as a going concern. Management’s evaluation of the events and conditions, and management’s plans regarding those matters, are also described in Note 3. The financial statements do not include any adjustments that might result from the outcome of this uncertainty.
Basis for Opinion
These financial statements are the responsibility of the Company’s management. Our responsibility is to express an opinion on the Company’s financial statements based on our audits. We are a public accounting firm registered with the Public Company Accounting Oversight Board (United States) (PCAOB) and are required to be independent with respect to the Company in accordance with the U.S. federal securities laws and the applicable rules and regulations of the Securities and Exchange Commission and the PCAOB.
We conducted our audits in accordance with the standards of the PCAOB and in accordance with auditing standards generally accepted in the United States of America. Those standards require that we plan and perform the audit to obtain reasonable assurance about whether the financial statements are free of material misstatement, whether due to error or fraud. The Company is not required to have, nor were we engaged to perform, an audit of its internal control over financial reporting. As part of our audits, we are required to obtain an understanding of internal control over financial reporting, but not for the purpose of expressing an opinion on the effectiveness of the Company’s internal control over financial reporting. Accordingly, we express no such opinion.
Our audits included performing procedures to assess the risks of material misstatement of the financial statements, whether due to error or fraud, and performing procedures that respond to those risks. Such procedures included examining, on a test basis, evidence regarding the amounts and disclosures in the financial statements. Our audits also included evaluating the accounting principles used and significant estimates made by management, as well as evaluating the overall presentation of the financial statements. We believe that our audits provide a reasonable basis for our opinion.
/s/
We have served as the Company’s auditor since 2021.
March 27, 2023
64
| FORZA X1, INC. |
| Balance Sheets |
| December 31, | December 31, | |||||||
| 2022 | 2021 | |||||||
| ASSETS | ||||||||
| Current Assets: | ||||||||
| Cash and cash equivalents | $ | $ | ||||||
| Prepaid expenses and other current assets | ||||||||
| Total Current Assets | ||||||||
| Deferred offering costs | ||||||||
| Operating lease right of use asset | ||||||||
| Security deposit | ||||||||
| Property and equipment, net | ||||||||
| Total Assets | $ | $ | ||||||
| LIABILITIES AND STOCKHOLDERS’ EQUITY | ||||||||
| Current Liabilities: | ||||||||
| Accounts payable | $ | $ | ||||||
| Accrued liabilities | ||||||||
| Operating lease right of use liability | ||||||||
| Contract liabilities – customer deposits | ||||||||
| Due to Twin Vee | ||||||||
| Total Current Liabilities | ||||||||
| Operating lease liability – noncurrent | ||||||||
| Total Liabilities | ||||||||
| Commitments and contingencies (Note 8) | ||||||||
| Stockholders’ Equity: | ||||||||
| Common stock: authorized; $ par value; and shares issued and outstanding at December 31, 2022 and 2021, respectively | ||||||||
| Additional paid in capital | ||||||||
| Accumulated deficit | ( | ) | ( | ) | ||||
| Total Stockholders’ Equity | ||||||||
| Total Liabilities and Stockholders’ Equity | $ | $ | ||||||
The accompanying notes are an integral part of these financial statements
65
| FORZA X1, INC. |
| Statements of Operations |
| Successor Company | Predecessor Company | |||||||||||
| Year Ended December 31, 2022 | October 15 - December 31, 2021 | January 1 - October 14, 2021 | ||||||||||
| Net sales | $ | $ | $ | |||||||||
| Cost of products sold | ||||||||||||
| Gross profit | ( | ) | ||||||||||
| Operating expenses: | ||||||||||||
| Selling, general and administrative | ||||||||||||
| Salaries and wages | ||||||||||||
| Research and development | ||||||||||||
| Professional fees | ||||||||||||
| Depreciation | ||||||||||||
| Total operating expenses | ||||||||||||
| Loss from operations | ( | ) | ( | ) | ( | ) | ||||||
| Other income (expense): | ||||||||||||
| Interest expense | ( | ) | ( | ) | ( | ) | ||||||
| Interest income | ||||||||||||
| Dividend income | ||||||||||||
| Loss on disposal of assets | ( | ) | ( | ) | ||||||||
| Gain from insurance recovery | ||||||||||||
| Total other income (expenses) | ( | ) | ( | ) | ||||||||
| Loss before income tax | ( | ) | ( | ) | ( | ) | ||||||
| Income taxes provision | ||||||||||||
| Net loss | $ | ( | ) | $ | ( | ) | $ | ( | ) | |||
| Basic and diluted (loss) per common share | $ | ( | ) | $ | ( | ) | $ | ( | ) | |||
| Weighted average common shares outstanding basic and diluted | ||||||||||||
The accompanying notes are an integral part of these financial statements
66
| FORZA X1, INC. |
| Statements of Stockholders' Equity |
For the Years End December 31, 2022 and 2021
| Common Stock | Additional Paid-in |
(Accumulated | Total Stockholders’ | |||||||||||||||||
| Shares | Amount | Capital | Deficit) | Equity | ||||||||||||||||
| Predecessor Balance, December 31, 2020 | $ | $ | $ | $ | ||||||||||||||||
| Net loss | — | ( |
) | ( |
) | |||||||||||||||
| Predecessor Balance, October 14, 2021 | $ | $ | $ | ( |
) | $ | ( |
) | ||||||||||||
| Successor Balance, October 14, 2021 | $ | $ | $ | ( |
) | $ | ( |
) | ||||||||||||
| Successor net loss October 15, 2021 - December 31, 2021 | — | ( |
) | ( |
) | |||||||||||||||
| Capital contributions from Twin Vee | ||||||||||||||||||||
| Successor Balance, December 31, 2021 | ( |
) | ||||||||||||||||||
| Capital contributions from Twin Vee | — | |||||||||||||||||||
| Common stock issued for cash | ||||||||||||||||||||
| Stock-based compensation | — | |||||||||||||||||||
| Net loss | — | ( |
) | ( |
) | |||||||||||||||
| Successor Balance, December 31, 2022 | ( |
) | ||||||||||||||||||
The accompanying notes are an integral part of these financial statements
67
| FORZA X1, INC. |
| Statements of Cash Flows |
| Successor Company | Predecessor Company | |||||||||||
| Year Ended December 31, 2022 | October 15 - December 31, 2021 | January 1, - October 14, 2021 | ||||||||||
| Cash Flows From Operating Activities | ||||||||||||
| Net loss | $ | ( | ) | $ | ( | ) | $ | ( | ) | |||
| Adjustments to reconcile net loss: | ||||||||||||
| Depreciation | ||||||||||||
| Stock based compensation | ||||||||||||
| Change of right-of-use asset | ( | ) | ||||||||||
| Loss on disposal of assets | ||||||||||||
| Prepaid expenses and other current assets | ( | ) | ( | ) | ||||||||
| Security deposits | ( | ) | ||||||||||
| Accounts payable | ||||||||||||
| Accrued liabilities | ||||||||||||
| Operating lease liabilities | ||||||||||||
| Contract liabilities – customer deposits | ||||||||||||
| Net cash (used in) provided by operating activities | ( | ) | ( | ) | ||||||||
| Cash Flows From Investing Activities | ||||||||||||
| Purchase of property and equipment | ( | ) | ( | ) | ( | ) | ||||||
| Net cash used in investing activities | ( | ) | ( | ) | ( | ) | ||||||
| Cash Flows From Financing Activities | ||||||||||||
| Net proceeds from issuance of common stock | ||||||||||||
| Deferred offering costs | ( | ) | ( | ) | ||||||||
| Capital contributions from Twin Vee | ||||||||||||
| Repayments of advances from Twin Vee | ( | ) | ( | ) | ||||||||
| Advances from Twin Vee | ||||||||||||
| Net cash provided by financing activities | ||||||||||||
| Net change in cash and cash equivalents | ||||||||||||
| Cash and cash equivalents at beginning of year | ||||||||||||
| Cash and cash equivalents at year end | $ | $ | $ | |||||||||
| Supplemental Cash Flow Information | ||||||||||||
| Cash paid for interest | $ | $ | $ | |||||||||
| Increases in right-of-use asset | $ | |||||||||||
The accompanying notes are an integral part of these financial statements.
68
FORZA X1, INC.
NOTES TO THE FINANCIAL STATEMENTS
DECEMBER 31, 2022 and 2021
| 1. | Organization |
Forza X1, Inc. (“Forza”) was initially incorporated as Electra Power Sports, Inc. on October 15, 2021, but subsequently changed its name to Forza X1, Inc. on October 29, 2021. Twin Vee, the Company’s majority shareholder, was incorporated in the State of Florida as Twin Vee Catamarans, Inc. on December 1, 2009, and reincorporated in Delaware on April 7, 2021, as Twin Vee PowerCats Co. (“Twin Vee”).
Prior to October 15, 2021, Twin Vee dedicated resources to designing and building prototype electric boats. These resources and expenditures were segregated in Twin Vee’s financial statements and have been carved out and included as the predecessor herein for the period January 1, 2021 through December 31, 2021.
The accompanying financial statements include the historical accounts of Forza X1, Inc. and its predecessor, the carve-out of the electric segment business of Twin Vee. Forza is in the business of design and development of electric boats. Forza has a December 31st fiscal year-end.
Forza succeeded to substantially all of the business of the electric segment of Twin Vee and Forza’s own operations before the succession, October 15, 2021, were non-existent. Accordingly, the carve-out financial statements of the electric segment of Twin Vee are included as Predecessor herein. Management has reached this conclusion based upon an evaluation of the requirements and the facts and circumstances, including the historical life of the electric segment, the historical level of operations of the electric segment, and the fact that the Company’s operations, prior to the succession were non-existent.
| 2. | Significant Accounting Policies |
Basis of Presentation
The accompanying successor financial statements are prepared on the accrual basis of accounting in accordance with accounting principles generally accepted in the United States of American (“U.S. GAAP”).
Carve-out
The accompanying predecessor financial statements for the period from January 1, 2021 through October 14, 2021 have been prepared in accordance U.S GAAP from the financial statements and accounting records of Twin Vee PowerCats, Co. using the historical results of operations and historical cost basis of the assets and liabilities of Twin Vee PowerCats, Co. that comprise its electric segment of which Forza is the successor. These financial statements have been prepared solely to demonstrate its historical results of operations, financial position, and cash flows for the indicated periods under Twin Vee’s management.
The accompanying predecessor financial statements include the assets, liabilities, revenues, and expenses that are specifically identifiable or allocable to the electric segment of Twin Vee. The segment’ operations were dependent upon Twin Vee’ ability to perform these services and support functions. The costs associated with these services and support functions (indirect costs) have been allocated on a basis of estimated utilization levels of these services. The allocations related primarily to corporate administrative expenses, employee related costs, legal services, accounting, human resources, and other corporate services.
Management believes the assumptions and allocations underlying the financial statements are reasonable and appropriate under the circumstances. The expenses and cost allocation have been determined on a basis considered by Twin Vee to be a reasonable reflection of the utilization of services provided to or the benefit received by the predecessor electric segment of Twin Vee during the periods presented relative to the total costs incurred by Twin Vee. However, the amounts recorded for these transactions are not necessarily representative of the amount that would have been reflected in the financial statements had the business been an entity that operated independently of Twin Vee. Consequently, future results of operations Forza will include costs and expenses that may be materially different than these historical results of operations, financial position, and cash flows. Accordingly, the financial statements for these periods are not indicative of Forza X1’s future results of operations, financial position, and cash flow.
69
Use of Estimates
The preparation of financial statements in conformity with U.S. GAAP required management to make estimates and assumptions that affect the amounts reported in the financial statements. Actual results could differ from those estimates. Included in those estimates are assumptions about useful life of fixed assets.
Common Stock Split
On July 22, 2022, the Company filed an amendment
to its certificate of incorporation affecting a
Cash and Cash Equivalents
Cash and cash equivalents include all highly
liquid investments with original maturities of three months or less at the time of purchase. Cash equivalents was $
Property and Equipment
Property and equipment are stated at cost. Depreciation is provided using the straight-line method over the estimated useful lives of the related assets. The estimated useful lives of property and equipment range from three to seven years. Upon sale or retirement, the cost and related accumulated depreciation is eliminated from their respective accounts, and the resulting gain or loss is included in results of operations. Repairs and maintenance charges, which do not increase the useful lives of the assets, are charged to operations as incurred.
Impairment of Long-lived Assets
Management assesses the recoverability of its long-lived assets when indicators of impairment are present. If such indicators are present, recoverability of these assets is determined by comparing the undiscounted net cash flows estimated to result from those assets over the remaining life to the assets’ net carrying amounts. If the estimated undiscounted net cash flows are less than the net carrying amount, the assets would be adjusted to their fair value, based on appraisal or the present value of the undiscounted net cash flows.
Research and Development
Research and development costs are expensed
when incurred. Such costs approximated $
Advertising Costs
Advertising and marketing costs are expensed
as incurred. Such costs approximated $
Leases
The Company determines if an arrangement is a lease at inception. Operating lease right-of-use (“ROU”) assets and lease liabilities are recognized at the commencement date based on the present value of lease payments over the lease term. As the Company’s leases do not provide an implicit rate, it uses its incremental borrowing rate based on the information available at the commencement date in determining the present value of lease payments. The Company calculates the associated lease liability and corresponding ROU asset upon lease commencement using a discount rate based on a credit-adjusted secured borrowing rate commensurate with the term of the lease. The operating lease ROU asset also includes any lease payments made and is reduced by lease incentives. The Company’s lease terms may include options to extend or terminate the lease when it is reasonably certain that the Company will exercise that option. Lease expenses for lease payments is recognized on a straight-line basis over the lease term.
Stock-Based Compensation
The Company recognizes stock-based compensation costs for its restricted stock and restricted stock units, measured at the fair value of each award at the time of grant, as an expense over the period during which an employee is required to provide service. Compensation cost is recognized over the service period for the fair value of awards that vest.
70
Income Taxes
The Company is a C Corporation under the Internal Revenue Code and a similar section of the state code.
All income tax amounts reflect the use of the liability method under accounting for income taxes. Income taxes are provided for the tax effects of transactions reported in the financial statements and consist of taxes currently due plus deferred taxes arising primarily from differences between financial and tax reporting purposes.
Deferred income taxes, net of appropriate valuation allowances, are determined using the tax rates expected to be in effect when the taxes are actually paid. Valuation allowances are recorded against deferred tax assets when it is more likely than not that such assets will not be realized. When an uncertain tax position meets the more likely than not recognition threshold, the position is measured to determine the amount of benefit or expense to recognize in the financial statements.
In accordance with U.S GAAP, the Company follows the guidance in FASB ASC Topic 740, Accounting for Uncertainty in Income Taxes. At December 31, 2022 and 2021, the Company does not believe it has any uncertain tax positions that would require either recognition or disclosure in the accompanying financial statements.
The Company’s income tax returns are subject to review and examination by federal, state and local governmental authorities.
Recent Accounting Pronouncements
All newly issued accounting pronouncements not yet effective have been deemed either immaterial or not applicable.
| 3. | Liquidity |
The Company has
incurred a net loss of $
The Company has no current source of revenue and may seek additional equity and/or debt financing. A successful transition to attaining profitable operations is dependent upon achieving a level of positive cash flows adequate to support the Company’s cost structure.
The accompanying financial statements have been prepared assuming that the Company will continue as a going concern, as the Company will not generate revenue until late 2023. A successful transition to attaining profitable operations is dependent upon do not include any adjustments that might be required should the Company be unable to continue as a going concern.
| 4. | Property and Equipment |
At December 31, 2022 and 2021, property and equipment consisted of the following:
| December 31, | December 31, | |||||||
| 2022 | 2021 | |||||||
| Building - construction in progress | ||||||||
| Equipment | ||||||||
| Computer hardware and software | ||||||||
| Software and website development | ||||||||
| Prototype | ||||||||
| Molds and Fixtures | ||||||||
| Less accumulated depreciation | ( | ) | ( | ) | ||||
| $ | $ | |||||||
71
Depreciation expense of property and equipment
of $
5. Leases
Operating right of use (“ROU”) assets and operating lease liabilities are recognized at the lease commencement date. Operating lease liabilities represent the present value of lease payments not yet paid. Operating right of use assets represent the Company’s right to use an underlying asset and is based upon the operating lease liabilities adjusted for prepayments or accrued lease payments, initial direct costs, lease incentives, and impairment of operating lease assets. To determine the present value of lease payments not yet paid, the Company estimates incremental secured borrowing rates corresponding to the maturities of the leases. We used the U.S. Treasury rate of % at December 31, 2022.
The Company leases a warehouse facility, and
the land which are located at 150 Commerce Street, Old Fort, North Carolina (the “Property”) from NC Limited Liability
Company. The Company entered into the lease on October 7, 2022, the lease has a term of two years. The current base rent payment
is $
At December 31, 2022 and December 31, 2021, supplemental balance sheet information related to leases were as follows:
| December 31, | December 31, | |||||||
| 2022 | 2021 | |||||||
| Operating lease ROU asset | $ | $ | ||||||
| December 31, | December 31, | |||||||
| 2022 | 2021 | |||||||
| Operating lease liabilities: | ||||||||
| Current portion | $ | $ | ||||||
| Non-current portion | ||||||||
| Total lease liabilities | $ | $ | ||||||
At December 31, 2022, future minimum lease payments under the non-cancelable operating leases are as follows:
Years Ending December 31,
| 2023 | $ | |||
| 2024 | ||||
| Total lease payment | $ |
The following summarizes other supplemental information about the Company’s operating lease:
| December 31, 2022 | ||||
| Weighted average discount rate | % | |||
| Weighted average remaining lease term (years) | ||||
| December 31, 2022 | ||||
| Operating lease cost | $ | |||
| Total lease cost | $ | |||
72
6. Accrued Liabilities
At December 31, 2022 and December 31, 2021, accrued liabilities consisted of the following:
| December 31, | December 31, | |||||||
| 2022 | 2021 | |||||||
| Accrued wages and benefits | $ | $ | ||||||
| Accrued operating expenses | $ | |||||||
| Other | $ | |||||||
| Total | $ | $ | ||||||
7. Commitments and Contingencies
Short-term lease
In August
of 2022, the Company signed a six-month lease for a duplex, to be used by its employees to minimize travel expense as it started
construction on its new manufacturing facility, for $
Covid-19
The COVID-19 outbreak in the United States has caused business disruptions through mandated and voluntary closings of multiple industries. While disruption is currently expected to be temporary, there is considerable uncertainty regarding the duration of the closings. The extent to which COVID-19 impacts future results, which are highly uncertain and cannot be predicted, including new information which may emerge concerning the severity of the coronavirus and the actions to contain it or treat its impact, among others. At this time, the Company cannot estimate with meaningful precision the potential impact to its financial and operational results.
Litigation
The Company is currently involved in a civil litigation in the normal course of business none of which is considered material.
8. Stockholders’ Equity
Common Stock Warrants
As of December 31, 2022, the Company had outstanding
warrants to purchase
Equity Compensation Plan
The Company maintains an equity compensation plan, the Forza X1, Inc. 2022 Stock Incentive Plan (the “2022 Plan”) under which it may award employees, directors and consultants’ incentive and non-qualified stock options, restricted stock, stock appreciation rights and other stock-based awards with terms established by the Compensation Committee of the Board of Directors which has been appointed by the Board of Directors to administer the plan. The number of awards under the 2022 Plan will automatically increase on January 1, 2023. As of December 31, 2022, there were shares remaining available for grant under the 2022 Plan. Stock based compensation expense is included in the Statements of Operations, under salaries and wages.
Accounting for Stock -Based Compensation
Stock Compensation Expense - For the year ended December 31, 2022 and 2021, the Company recorded $ and $0, respectively, of stock-based compensation expense which is included in salaries and wages on the accompanying statement of operations.
73
Pursuant to Forza’s 2022 Plan Forza has issued stock options. A stock option grant gives the holder the right, but not the obligation to purchase a certain number of shares at a predetermined price for a specific period of time. Forza typically issues options that vest pro rata on a monthly basis over various periods. Under the terms of the 2022 Plan, the contractual life of the option grants may not exceed ten years.
The Company utilizes the Black-Scholes model to determine fair value of stock option awards on the date of grant. The Company utilized the following assumptions for option grants during the year ended December 31, 2022:
| Year ended | ||||
| December 31, | ||||
| 2022 | ||||
| Expected term | years | |||
| Expected average volatility | - | % | ||
| Expected dividend yield | ||||
| Risk-free interest rate | - | % | ||
The expected volatility of the option is determined using historical volatilities based on historical stock price of comparable boat manufacturing companies. The Company estimated the expected life of the options granted based upon historical weighted average of comparable boat manufacturing companies. The risk-free interest rate is determined using the U.S. Department of the Treasury yield curve rates with a remaining term equal to the expected life of the option. The Company has never paid a dividend, and as such the dividend yield is 0.0%
| Options Outstanding | Weighted Average | |||||||||||||||
| Number of | Weighted Average | Remaining life | Fair value of | |||||||||||||
| Options | Exercise Price | (years) | option | |||||||||||||
| Outstanding, December 31, 2021 | $ | — | $ | |||||||||||||
| Granted | ||||||||||||||||
| Exercised | ||||||||||||||||
| Forfeited/canceled | — | |||||||||||||||
| Outstanding, December 31, 2022 | $ | $ | ||||||||||||||
| Exercisable options, December 31, 2022 | $ | |||||||||||||||
9. Related Party Transaction
As of December 31, 2022 and December 31, 2021,
the Company had current liabilities of $
Associated with amounts advanced and due to
Twin Vee, for the year ended December 31, 2022 and for the periods October 15, 2021 through December 31, 2021 (Successor), and
January 1, 2021 through October 14, 2021 (Predecessor), we recorded interest expense of $
74
Pursuant to a management agreement with Twin
Vee, dated October 2021, and a subsequent agreement dated September 2022, for various management services,
For the year ended
December 31, 2022 and for the periods October 15, 2021 through December 31, 2021 (Successor), January 1, 2021 through October 14,
2021 (Predecessor), respectively the Company recorded rent expense of approximately $
For the year ended
December 31, 2022 and for the periods October 15, 2021 through December 31, 2021 (Successor), January 1, 2021 through October 14,
2021 (Predecessor), respectively the Company received advances from Twin Vee of $
10. Gain from Insurance Recovery
The Company experienced a thermal event on
the electric boat prototype rendering it unusable for further testing. During the year ended December 31, 2022, and the periods
October 15, 2021 through December 31, 2021 (Successor), and January 1, 2021 through October 14, 2021 (Predecessor), respectively,
the Company recorded a loss on disposal of asset $
11. Income Tax
Due to operating losses and the recognition of valuation allowances, the Company has no provision for a current and deferred federal or state income taxes in 2022. In 2021, the Company reversed valuation allowances against previously reserved deferred tax assets, accordingly, there was no provision for current and deferred federal or state income taxes.
Deferred income taxes reflect the net tax effects of temporary and permanent differences between the carrying amounts of assets and liabilities for financial reporting purposes and the amounts used for income tax purposes. Significant components of the Company’s deferred tax assets and deferred tax liabilities are as follows as of:
| December 31, | December 31, | |||||||
| 2022 | 2021 | |||||||
| Non-operating loss carryforward | $ | $ | ||||||
| Valuation allowance | ( | ) | ||||||
| Net deferred tax asset | $ | $ | ||||||
The Company has established a valuation allowance
against its deferred tax assets due to the uncertainty surrounding the realization of such assets. During year ended December 31,
2022, the valuation allowance increased by approximately $
A reconciliation between expected income taxes,
computed at the federal income tax rate of
75
| December 31, | December 31, | |||||||
| 2022 | 2021 | |||||||
| Tax at federal statutory rate | % | % | ||||||
| Tax at state rate net of federal benefit | % | % | ||||||
| Change in valuation allowance | ( | )% | ( | )% | ||||
| Provision for taxes | % | % | ||||||
The Company’s tax positions for 2019 to 2021 have been analyzed and concluded that no liability for unrecognized tax benefits should be recorded related to uncertain tax positions taken on returns filed for open tax years. Tax returns for the years 2019 to 2021, are subject to review by the tax authorities.
12. Net Loss Per Share
Basic net loss per share has been computed on the basis of the weighted average number of shares of common stock outstanding. Diluted net loss per share of common stock has been computed on the basis of the weighted average number of shares outstanding plus equivalent shares of common stock assuming exercise of stock options. Potential shares of common stock that have an anti-dilutive effect (i.e., those that share or decrease loss per share) are excluded from the calculation of diluted net loss per share of common stock.
Basic and diluted loss per common share have been computed based on the following, for the year ended December 31, 2022 and for the periods October 15, 2021 through December 31, 2021 (Successor), and January 1, 2021 through October 14, 2021 (Predecessor):
| ||||||||||||
| Successor Company | Predecessor Company | |||||||||||
| December 31, | October 15-December 31, | January 1 - October 14, | ||||||||||
| 2022 | 2021 | 2021 | ||||||||||
| Numerator for basic and diluted net loss per share: | ||||||||||||
| Net loss | $ | ( | ) | $ | ( | ) | $ | ( | ) | |||
| Denominator: | ||||||||||||
| For basic net loss per share - weighted average common shares outstanding | ||||||||||||
| Effect of dilutive stock options | ||||||||||||
| For diluted net loss per share - weighted average common shares outstanding | ||||||||||||
| Net loss per share -Basic: | ||||||||||||
| Net loss per share | $ | ( | ) | $ | ( | ) | $ | ( | ) | |||
| Net loss per share - Diluted: | ||||||||||||
| Net loss per share | $ | ( | ) | $ | ( | ) | $ | ( | ) | |||
For the year ended December 31, 2022 and for the periods October 15, 2021 through December 31, 2021 (Successor), January 1, 2021 through October 14, 2021 (Predecessor ), all potentially dilutive securities were antidilutive.
76
13. Subsequent Events
The Company has evaluated all event or transactions that occurred after December 31,2022 through March 27, 2023, during this period, there were no material subsequent events other than the ones listed below.
On January 1, 2023, our 2022 Stock Incentive Plan automatically increased, and will continue to increase on January 1 of each calendar year for a period of ten years commencing on January 1, 2022 and ending on (and including) January 1, 2031, in a number of shares of common stock equal to 4.5% of the total number of shares of common stock outstanding on December 31 of the preceding calendar year. For 2023, the maximum number of common stock shares that can be issued will be .
On February 3, 2023, Ms. Nicole Camacho, the Company’s then Chief Financial Officer, provided the Company notice of her resignation as an executive officer of the Company, effective February 24, 2023. Ms. Camacho informed the Company that she was resigning from the Company as an executive officer to pursue another opportunity and that her resignation was not the result of any disagreement relating to the Company’s operations, policies or practices.
On February 6, 2023, the Board of Directors of the Company, appointed Carrie Gunnerson to the position of Interim Chief Financial Officer and Interim Principal Financial and Accounting Officer.
77
Item 9. Changes in and Disagreements with Accountants on Accounting and Financial Disclosure.
None.
Item 9A. Controls and Procedures.
Evaluation of Disclosure Controls and Procedures
Our management, with the participation of our Chief Executive Officer and Chief Financial Officer, evaluated the effectiveness of our disclosure controls and procedures as of December 31, 2022. The term “disclosure controls and procedures,” as defined in Rules 13a-15(e) and 15d-15(e) under the Exchange Act, means controls and other procedures of a company that are designed to ensure that information required to be disclosed by a company in the reports that it files or submits under the Exchange Act is recorded, processed, summarized and reported, within the time periods specified in the SEC’s rules and forms. Disclosure controls and procedures include, without limitation, controls and procedures designed to ensure that information required to be disclosed by a company in the reports that it files or submits under the Exchange Act is accumulated and communicated to the company’s management, including its principal executive and principal financial officers, or persons performing similar functions, as appropriate to allow timely decisions regarding required disclosure. We have adopted and maintain disclosure controls and procedures (as defined Rules 13a-15(e) and 15d-15(e) under the Exchange Act) that are designed to provide reasonable assurance that information required to be disclosed in the reports filed under the Exchange Act, such as this Annual Report on Form 10-K, is collected, recorded, processed, summarized, and reported within the time periods specified in the rules of the SEC. Our disclosure controls and procedures are also designed to ensure that such information is accumulated and communicated to management to allow timely decisions regarding required disclosure. Management recognizes that any controls and procedures, no matter how well designed and operated, can provide only reasonable assurance of achieving their objectives and management necessarily applies its judgment in evaluating the cost-benefit relationship of possible controls and procedures. Based on the evaluation of our disclosure controls and procedures as of December 31, 2022, our Chief Executive Officer and Chief Financial Officer concluded that, as of such a date, our disclosure controls and procedures were not effective due to the material weaknesses in our internal control over financial reporting, as further described below.
Management’s Report on Internal Control over Financial Reporting
Management is responsible for establishing and maintaining adequate internal control over financial reporting. Internal control over financial reporting is defined in Rule 13a-15(f) and 15(d)-15(f) under the Exchange Act as a process designed to provide reasonable assurance to the Company’s management and Board of Directors regarding the preparation and fair presentation of published financial statements. Management conducted an assessment of the Company’s internal control over financial reporting as of December 31, 2022 based on the framework and criteria established by the Committee of Sponsoring Organizations of the Treadway Commission in Internal Control-Integrated Framework (2013) (COSO). Based on the assessment, management concluded that, as of December 31, 2022 the Company’s internal controls over financial reporting were not effective.
The Company has material weaknesses pertaining to controls that address segregation of duties across financially relevant functions and applications used in financial reporting. We have concluded that these material weaknesses existed because, as a small company, we did not have the necessary business processes, systems, personnel, and related internal controls necessary to satisfy the accounting and financial reporting requirements of a public company.
78
We are in the process of implementing measures designed to improve our internal control over financial reporting to remediate these material weaknesses. The Company’s plan to remediate the material weakness in its internal control over financial reporting includes increasing staffing with its finance department sufficient to facilitate proper segregation of accounting functions and to enable appropriate review of its internally prepared financial statements.
Remediation Plan
Management has developed and is executing a remediation plan to address the previously disclosed material weaknesses. We are actively recruiting to retain a full-time controller and we are utilizing the assistance of outside advisors where appropriate.
To remediate the existing material weaknesses, additional time is required to demonstrate the effectiveness of the remediation efforts. The material weaknesses cannot be considered remediated until the applicable remedial controls operate for a sufficient period of time and management has concluded, through testing, that these controls are operating effectively. As of December 31, 2022, the material weakness has not been remediated.
Changes in Internal Control over Financial Reporting
During the year ended December 31, 2022, there were no changes in our internal control over financial reporting (as defined in Rules 13a 15(f) and 15d 15(f) of the Exchange Act) that occurred that have materially affected, or are reasonably likely to materially affect, our internal control over financial reporting.
Report of Independent Registered Public Accounting Firm
This Annual Report on Form 10-K does not include an attestation report by Grassi & Co., CPAs, P.C. (“Grassi”), our independent registered public accounting firm, regarding internal control over financial reporting. As a smaller reporting company, our internal control over financial reporting was not subject to audit by our independent registered public accounting firm pursuant to rules of the SEC that permit us to provide only management’s report.
Item 9B. Other Information.
None.
Item 9C. Disclosure Regarding Foreign Jurisdictions that Prevent Inspections.
Not Applicable.
79
PART III
Item 10. Directors, Executive Officers and Corporate Governance.
Information About our Executive Officers and Directors
Our business and affairs are organized under the direction of our board of directors, which currently consists of five members.
The following table sets forth the names, ages and positions of our executive officers and directors as of the date of this Annual Report on Form 10-K:
| Name | Age | Position | ||||
| Executive Officers: | ||||||
| Joseph C. Visconti | 58 | Executive Chairman of the Board and Chief of Product Development | ||||
| Jim Leffew | 59 | President, Chief Executive Officer and Director | ||||
| Carrie Gunnerson | 47 | Interim Chief Financial Officer | ||||
| Non-Employee Directors: | ||||||
| Marcia Kull (1)(2)(3) | 65 | Director | ||||
| Neil Ross (1)(2)(3)(6) | 61 | Director | ||||
| Kevin Schuyler (1)(2)(3)(4)(5) | 54 | Director | ||||
(1) Member of the audit committee
(2) Member of the compensation committee
(3) Member of the corporate governance and nominating committee
(4) Chair of audit committee
(5) Chair of compensation committee
(6) Chair of corporate governance and nominating committee
Executive Officers
Joseph Visconti, Executive Chairman of the Board and Chief of Product Development
Mr. Visconti has been our Executive Chairman of the Board and Chief of Product Development since July 22, 2022. From our inception (October 15, 2021) until July 22, 2022, Mr. Visconti served as our Chairman of the Board and the Chief Executive Officer. He also serves as the Chief Executive Officer, President and Director of Twin Vee PowerCats Co., our majority owner, since 2015, which is listed on the Nasdaq Capital Market. He is also the Chairman of the Board and Chief Executive Officer of, Twin Vee PowerCats, Inc., the parent company of Twin Vee PowerCats Co. With over 25 years of executive level operational and financial experience, Mr. Visconti was the founder, CEO and President of two previous companies, the first company was a regional Investment Bank that he built to over 400 employees and sold in 2000. The second company was ValueRich, a financial media company that was taken public on the American Stock Exchange in 2007. ValueRich transitioned from media related business to Twin Vee PowerCats, Inc. in 2015. Mr. Visconti has experience building teams of professionals with a focus on product development and bringing those products to market. Mr. Visconti received his Associate’s degree from Lynn University in 1984. We believe that Mr. Visconti’s operational and financial experience makes him well qualified to serve on our board of directors as our Executive Chairman of the Board.
Mr. Visconti currently devotes approximately 20% of his working time to our affairs.
Jim Leffew, President and Chief Executive Officer
Jim Leffew was appointed as our President in December 2021, and then to our Chief Executive Officer on July 22, 2022. Mr. Leffew served as the Senior Vice President, Manufacturing of Maverick Boat Group, Inc. from September 1999 until April 2021, where he was responsible for overseeing manufacturing operations and over 450 direct employees at a company with over $125 million in sales. Prior to joining Maverick Boat Group, Inc., from September 1994 to September 1999 he was a Facilities Director at the Harbor Branch Oceanographic Institution where he directed all construction and maintenance needs for an over 500,000 square foot mixed-use space and managed a budget exceeding $5 million a year. Mr. Leffew received his Bachelor of Science in Mechanical Engineering from the University of Central Florida in July 1987. Mr. Leffew’s history and experience manufacturing products, budgeting and forecasting and managing direct employees will make him a valuable member of our management.
80
Carrie Gunnerson, Interim Chief Financial Officer
Ms. Gunnerson was appointed Interim Chief Financial Officer on February 6, 2023, upon the resignation of Nicole Camacho, as Chief Financial Officer. Ms. Gunnerson served as our Chief Financial Officer since our inception (October 15, 2021) until the consummation of our IPO in August 2022 and the Chief Financial Officer of Twin Vee PowerCats Co., our parent company, since October 2021. Ms. Gunnerson served as the President and Chief Executive Officer of Art’s Way Manufacturing Co., Inc. (‘Art’s Way”) from October 18, 2007 until July 21, 2020, as its Chief Financial Officer from July 2004 until January 2012 and interim from September 2012 until January 22, 2015 and again from May 31, 2018 until February 1, 2020. Prior to joining Art’s Way in 2004, from 2001 until 2004 Ms. Gunnerson was employed by Tyco Plastics Inc., where she was responsible for all of the functions of a controller. Ms. Gunnerson was named a director of the Farm Equipment Manufacturers Association, effective in November 2016.
Independent Directors
Kevin Schuyler, CFA, Director
Kevin Schuyler has been a member of our Board of Directors since December 2021 and a member of the Board of Directors of Twin Vee PowerCats Co., our majority shareholder, since July 2022. Mr. Schuyler is the Vice Chairman of the board of directors and Lead Independent Director of Adial Pharmaceuticals, Inc. (NASDAQ: ADIL) where he has served as a director since April 2016. He currently also serves as a senior managing director at CornerStone Partners, a full-service institutional CIO and investment office located in Charlottesville, VA, with approximately $12 billion under management. Prior to joining CornerStone Partners in 2006, he held various positions with McKinsey & Company, Louis Dreyfus Corporation and The Nature Conservancy. Mr. Schuyler serves on various boards and committees of Sentara Martha Jefferson Hospital, the US Endowment for Forestry and Communities, and Stone Barns Center. He is a member of the investment committee of the Margaret A. Cargill Philanthropies. Mr. Schuyler graduated with honors from Harvard College and received his MBA from The Darden Graduate School of Business at the University of Virginia. He is a member of the Chartered Financial Analyst Society of Washington, DC. We selected Mr. Schuyler to serve on our board of directors because he brings extensive knowledge of the financial markets. Mr. Schuyler’s business background provides him with a broad understanding of the financial markets and the financing opportunities available to us.
Neil Ross, Director
Mr. Ross has been a member of our Board of Directors since December 2021 and a member of the Board of Directors of Twin Vee PowerCats Co., our majority shareholder, since April 2021. He has over 30 years of experience in launching products and companies and promoting and growing brands. He has served as the Chief Executive Officer of James Ross Advertising since founding it in February 2003. Most notably, Neil has extensive marine experience partnering with brands like Galati Yachts Sales, Jefferson Beach Yacht Sales, Allied Marine, Bertram Yachts, Twin Vee, Jupiter Marine and Sealine to name a few. Mr. Ross received his Bachelor’s degree from Florida State University. We believe Mr. Ross’ experience in the yacht and boating industry as well as his expertise in brand awareness and growth makes him well qualified to be a director of the Company.
Marcia Kull, Director
Ms. Kull has been a member of our Board of Directors since July 2022. Since November 2017, Ms. Kull has served as President of SheGoes, Inc., where she provides consulting services that guide manufacturers’ strategic efforts to prepare regulators and distribution chains to accept and advocate for new technologies. From April 2017 through October 2017, she served as President of Torqeedo, Inc., a pioneer in the field of water-based electromobility, where she guided the global sales team to exceed revenue target, resulting in a successful acquisition. From April 2005 through March 2017, Ms. Kull worked at Volvo Penta where she served as Vice President-Marine Sales (from November 2011 through March 2017) where she led a diverse sales team offering products in both leisure (gasoline stern drive, diesel inboard, stern drive, jet and Volvo Penta IPS) and commercial marine segments throughout the United States, Canada, Mexico, the Caribbean and Central America. Ms. Kull also practiced as a trial attorney for over 11 years where she specialized in defending manufacturers in complex products liability, warranty and other business litigation. Ms. Kull received her Bachelor’s degree from the University of Iowa and her JD from the University of Iowa College of Law. We believe Ms. Kull’s business experience, particularly in the boating industry as well as her legal expertise makes her well qualified to be a director of the Company.
Family Relationships
No family relationships exist between any director, executive officer or person nominated or chosen to be a director or officer.
81
Board of Directors Composition
Our board of directors currently consists of five members. Each of our current directors will continue to serve as a director until the election and qualification of his or her successor, or until his or her earlier death, resignation or removal.
Our amended and restated certificate of incorporation provides that our board of directors is divided into three classes with staggered three-year terms. Only one class of directors will be elected at each annual meeting of stockholders, with the other classes continuing for the remainder of their respective three-year terms. Our current directors are divided among the three classes as follows:
| ● | the Class I directors are Jim Leffew and Kevin Schuyler, and their terms will expire at the annual meeting of stockholders to be held in 2023; | |
| ● | the Class II director is Marcia Kull, and her term will expire at the annual meeting of stockholders to be held in 2024; and | |
| ● | the Class III directors are Neil Ross and Joseph Visconti, and their terms will expire at the annual meeting of stockholders to be held in 2025. |
At each annual meeting of stockholders, upon the expiration of the term of a class of directors, the successor to each such director in the class will be elected to serve from the time of election and qualification until the third annual meeting following his or her election and until his or her successor is duly elected and qualified, in accordance with our amended and restated certificate of incorporation. Any additional directorships resulting from an increase in the number of directors will be distributed among the three classes so that, as nearly as possible, each class will consist of one-third of our directors.
This classification of our board of directors may have the effect of delaying or preventing changes in control of our company.
In addition, under the terms of our amended and restated certificate of incorporation and our amended and restated bylaws, members of our board of directors may only be removed for cause. This may also have the effect of delaying or preventing changes in control of our company.
Director Independence
Our common stock has traded The Nasdaq Capital Market, or Nasdaq, under the symbol “FRZA” since August 12, 2022. Under the rules of Nasdaq, independent directors must comprise a majority of a listed company’s board of directors within one year of the completion of its initial public offering. In addition, the rules of Nasdaq require that, subject to specified exceptions, each member of a listed company’s audit, compensation and corporate governance and nominating committees be independent. Audit committee members and compensation committee members must also satisfy the independence criteria set forth in Rule 10A-3 and Rule 10C-1, respectively, under the Exchange Act. Under the rules of Nasdaq, a director will only qualify as an “independent director” if, in the opinion of that company’s board of directors, that person does not have a relationship that would interfere with the exercise of independent judgment in carrying out the responsibilities of a director.
To be considered to be independent for purposes of Rule 10A-3 and under the rules of Nasdaq, a member of an audit committee of a listed company may not, other than in his or her capacity as a member of the audit committee, the board of directors, or any other board of directors committee: (1) accept, directly or indirectly, any consulting, advisory, or other compensatory fee from the listed company or any of its subsidiaries; or (2) be an affiliated person of the listed company or any of its subsidiaries.
To be considered independent for purposes of Rule 10C-1 and under the rules of Nasdaq, the board of directors must affirmatively determine that each member of the compensation committee is independent, including a consideration of all factors specifically relevant to determining whether the director has a relationship to the company which is material to that director’s ability to be independent from management in connection with the duties of a compensation committee member, including, but not limited to: (i) the source of compensation of such director, including any consulting, advisory or other compensatory fee paid by the company to such director; and (ii) whether such director is affiliated with the company, a subsidiary of the company or an affiliate of a subsidiary of the company.
Our board of directors undertook a review of its composition, the composition of its committees and the independence of our directors and considered whether any director has a material relationship with us that could compromise his or her ability to exercise independent judgment in carrying out his or her responsibilities. Based upon information requested from and provided by each non-employee director concerning his or her background, employment and affiliations, including family relationships, our board of directors has determined that none of Messrs. Ross and Schuyler and Ms. Kull have relationships that would interfere with the exercise of independent judgment in carrying out the responsibilities of a director and that each of these directors is “independent” as that term is defined under the rules of Nasdaq and Rule 10A-3 and Rule 10C-1under the Exchange Act.
82
In making these determinations, our board of directors considered the current and prior relationships that each non-employee director has with our company and all other facts and circumstances our board of directors deemed relevant in determining their independence, including the beneficial ownership of our capital stock by each non-employee director, and the transactions involving them described in the section titled “Certain Relationships and Related Party Transactions.”
Board of Directors Leadership Structure
Mr. Visconti serves as our Executive Chairman and Jim Leffew serves as our Chief Executive Officer. Our Board does not have a lead independent director. Our Board determined that the creation of a separate Executive Chairman role, distinct from the Chief Executive Officer role, enables Mr. Visconti to continue to work with our future Chief Executive Officer, Mr. Leffew, and our senior management, to help shape and execute our strategy and direction, as well as other key business initiatives, subject in all cases to the direction of the Board of Directors. Our Board has determined its leadership structure is appropriate and effective given our stage of development.
Board of Directors Committees
We currently have an audit committee, a compensation committee and a corporate governance and nominating committee, each of which have the composition and the responsibilities described below. The following table shows the directors who are currently members or Chairman of each of these committees.
| Board Members | Audit Committee |
Compensation Committee |
Corporate Governance and Nominating Committee | |||
| Marcia Kull | Member | Member | Member | |||
| Neil Ross | Member | Member | Chairman | |||
| Kevin Schuyler | Chairman | Chairman | Member |
Audit Committee
The members of our audit committee consist of Marcia Kull, Neil Ross and Kevin Schuyler. Mr. Schuyler serves as the chair of our audit committee. All of the members of the audit committee are independent, as that term is defined under the rules of Nasdaq. The primary purpose of the audit committee is to oversee the quality and integrity of our accounting and financial reporting processes and the audit of our financial statements. Specifically, the audit committee will:
| ● | select and hire the independent registered public accounting firm to audit our financial statements; |
| ● | help to ensure the independence and performance of the independent registered public accounting firm; |
| ● | approve audit and non-audit services and fees; |
| ● | review financial statements and discuss with management and the independent registered public accounting firm our annual audited and quarterly financial statements, the results of the independent audit and the quarterly reviews and the reports and certifications regarding internal controls over financial reporting and disclosure controls; |
| ● | prepare the audit committee report that the SEC requires to be included in our annual proxy statement; |
| ● | review reports and communications from the independent registered public accounting firm; |
| ● | review the adequacy and effectiveness of our internal controls and disclosure controls and procedure; |
| ● | review our policies on risk assessment and risk management; |
| ● | review related party transactions; and |
| ● | establish and oversee procedures for the receipt, retention and treatment of accounting related complaints and the confidential submission by our employees of concerns regarding questionable accounting or auditing matters. |
Our audit committee operates under a written charter that satisfies the applicable rules of the SEC and the listing standards of Nasdaq. The Board has determined that Mr. Schuyler is an audit committee financial expert, as such term is used in Section 407 of Regulation S-K.
83
Compensation Committee
Our compensation committee consists of Kevin Schuyler, Neil Ross and Marcia Kull. Mr. Schuyler serves as the chair of our compensation committee. All of the members of our compensation committee are independent, as that term is defined under the rules of Nasdaq. Our compensation committee oversees our compensation policies, plans and benefits programs. The compensation committee also:
| ● | oversees our overall compensation philosophy and compensation policies, plans and benefit programs; |
| ● | reviews and recommends to our board of directors for approval compensation for our executive officers and directors; |
| ● | prepares the compensation committee report that the SEC would require to be included in our annual proxy statement if we were no longer deemed to be an emerging growth company or a smaller reporting company; and |
| ● | administers our equity compensation plans. |
Our compensation committee operates under a written charter that satisfies the applicable rules of the SEC and the listing standards of Nasdaq.
Corporate Governance and Nominating Committee
The members of our corporate governance and nominating committee consist of Neil Ross, Marcia Kull and Kevin Schuyler. Neil Ross serves as the chair of our corporate governance and nominating committee. Each is independent, as that term is defined under the rules of Nasdaq. Our corporate governance and nominating committee oversees and assists our board of directors in reviewing and recommending nominees for election as directors. Specifically, the corporate governance and nominating committee:
| ● | identifies, evaluates and makes recommendations to our board of directors regarding nominees for election to our board of directors and its committees; |
| ● | considers and make recommendations to our board of directors regarding the composition of our board of directors and its committees; |
| ● | reviews developments in corporate governance practices; |
| ● | evaluates the adequacy of our corporate governance practices and reporting; and |
| ● | evaluates the performance of our board of directors and of individual directors. |
Our corporate governance and nominating committee operates under a written charter that satisfies the applicable rules of the SEC and the listing standards of Nasdaq.
Risk Oversight
In its governance role, and particularly in exercising its duty of care and diligence, the board of directors is responsible for ensuring that appropriate risk management policies and procedures are in place to protect the company’s assets and business. Our board of directors has broad and ultimate oversight responsibility for our risk management processes and programs and executive management is responsible for the day-to-day evaluation and management of risks to the Company.
Delinquent Section 16(a) Reports
Section 16(a) of the Exchange Act requires our directors and executive officers, and persons who own more than ten percent of a registered class of our equity securities, to file with the SEC initial reports of ownership within ten days after he or she becomes a beneficial owner, director or officer and reports of changes in ownership of our common stock and other equity securities within two business days after the transaction is executed. Our officers, directors and greater than ten percent stockholders are required by SEC regulations to furnish us with copies of all Section 16(a) forms they file. To our knowledge, based solely on a review of the copies of such reports furnished to us and written representations that no other reports were required, during the fiscal year ended December 31, 2022, all Section 16(a) filing requirements applicable to our officers, directors and greater than ten percent beneficial owners were complied with.
84
Code of Business Conduct and Ethics
We have adopted a written code of business conduct and ethics that applies to our directors, officers and employees, including our principal executive officer, principal financial officer, principal accounting officer or controller, or persons performing similar functions. The code of business conduct and ethics is available on our website at www.forzax1.com. We intend to disclose future amendments to such code, or any waivers of its requirements, applicable to any principal executive officer, principal financial officer, principal accounting officer or controller or persons performing similar functions or our directors on our website identified above. The inclusion of our website address in this Annual Report does not include or incorporate by reference the information on our website into this Annual Report. We will provide any person, without charge, upon request, a copy of our code of conduct and ethics. Such requests should be made in writing to the attention of Glenn Sonoda, Secretary, Forza X1, Inc., 3101 US-1 Fort Pierce, Florida 34982.
Limitation of Liability and Indemnification
Our certificate of incorporation and bylaws provide that we will indemnify our directors and officers, and may indemnify our employees and other agents, to the fullest extent permitted by Delaware law. Delaware law prohibits our certificate of incorporation from limiting the liability of our directors for the following:
| ● | any breach of the director’s duty of loyalty to us or to our stockholders; |
| ● | acts or omissions not in good faith or that involve intentional misconduct or a knowing violation of law; |
| ● | unlawful payment of dividends or unlawful stock repurchases or redemptions; and |
| ● | any transaction from which the director derived an improper personal benefit. |
If Delaware law is amended to authorize corporate action further eliminating or limiting the personal liability of a director, then the liability of our directors will be eliminated or limited to the fullest extent permitted by Delaware law, as so amended. Our certificate of incorporation does not eliminate a director’s duty of care and, in appropriate circumstances, equitable remedies, such as injunctive or other forms of non-monetary relief, remain available under Delaware law. This provision also does not affect a director’s responsibilities under any other laws, such as the federal securities laws or other state or federal laws. Under our bylaws, we will also be empowered to purchase insurance on behalf of any person whom we are required or permitted to indemnify.
In the case of an action or proceeding by or in the right of our company or any of our subsidiaries, no indemnification will be provided for any claim where a court determines that the indemnified party is prohibited from receiving indemnification. We believe that these charter and bylaw provisions are necessary to attract and retain qualified persons as directors and officers.
The limitation of liability and indemnification provisions in our certificate of incorporation and bylaws may discourage stockholders from bringing a lawsuit against directors for breach of their fiduciary duties. They may also reduce the likelihood of derivative litigation against directors and officers, even though an action, if successful, might benefit us and our stockholders. Moreover, a stockholder’s investment may be harmed to the extent we pay the costs of settlement and damage awards against directors and officers pursuant to these indemnification provisions.
Insofar as indemnification for liabilities arising under the Securities Act may be permitted to our directors, officers and controlling persons pursuant to the foregoing provisions, or otherwise, we have been advised that, in the opinion of the SEC, such indemnification is against public policy as expressed in the Securities Act, and is, therefore, unenforceable. There is no pending litigation or proceeding naming any of our directors or officers as to which indemnification is being sought, nor are we aware of any pending or threatened litigation that may result in claims for indemnification by any director or officer.
In addition to the indemnification that will be provided for in our certificate of incorporation and bylaws, the employment agreements with certain of our executive officers include indemnification provisions providing for rights of indemnification as set forth in our certificate of incorporation and bylaws.
Item 11. Executive Compensation.
Our named executive officers for the year ended December 31, 2022, which consisted of our principal executive officer and the next most highly compensated executive officers, were:
| ● | Joseph C. Visconti, Executive Chairman and Chief of Product Development |
| ● | Jim Leffew, President and Chief Executive Officer |
| ● | Carrie Gunnerson, Interim Chief Financial Officer |
85
Summary Compensation Table
The following table sets forth information regarding the compensation that was paid to our named executive officers during the years ended December 31, 2022 and December 31, 2021.
| Name and Principal Position | Year | Salary | Bonus | Option Awards (1) | All Other Compensation | Total ($) | ||||||||||||||||||
| Joseph C. Visconti (2) | 2022 | 27,115 | — | 1,742,757 | — | 1,769,872 | ||||||||||||||||||
| Executive Chairman and Chief of Product Development | 2021 | — | — | — | — | — | ||||||||||||||||||
| Jim Leffew (3) | 2022 | 225,961 | 10,000 | 1,742,757 | 9,354 | 1,988,072 | ||||||||||||||||||
| President and Chief Executive Officer | 2021 | 4,808 | — | — | — | 4,808 | ||||||||||||||||||
| Carrie Gunnerson (4) | 2022 | — | — | 107,516 | — | 107,516 | ||||||||||||||||||
| Interim Chief Financial Officer | 2021 | — | — | — | — | — | ||||||||||||||||||
| (1) | The amounts in the “Option Awards” column reflect the dollar amounts of the grant date fair value for the financial statement reporting purposes for stock options for the fiscal year ended December 31, 2022 in accordance with ASC 718. The fair value of the options was determined using the Black-Scholes model. For a discussion of the assumptions used in computing this valuation, see Note 12 of the Notes to Financial Statements in our Annual Report on Form 10-K for the fiscal year ended December 31, 2022 |
| (2) | During the year ended December 31, 2021, we did not pay any compensation for services rendered by Mr. Visconti; however, Mr. Visconti did receive compensation from Twin Vee for services performed for us and for Twin Vee. Mr. Visconti was appointed our Executive Chairman and Chief of Product Development in July 2022. |
| (3) | Mr. Leffew was appointed our Chief Executive Officer in July 2022. |
| (4) | Consists of 9,354 of health insurance expenses paid in 2022. |
| (5) | During the year ended December 31, 2022 and 2021, we did not pay any cash compensation for services rendered by Mrs. Gunnerson, however Mrs. Gunnerson did receive compensation from Twin Vee for services performed for us and for Twin Vee and an option grant. Mrs. Gunnerson served as our Chief Financial Officer until the appointment of Ms. Camacho in August 2022 and was appointed as our Interim Chief Financial Officer on February 6, 2023 upon the resignation of Ms. Camacho. |
Outstanding Equity Awards at Fiscal Year-End (December 31, 2022)
The following table provides information about the number of outstanding equity awards held by each of our named executive officers as of December 31, 2022:
86
| Option Awards | Stock Awards | |||||||||||||||||||||
| Name | Number of Securities Underlying Unexercised Options (Exercisable) | Number of Securities Underlying Unexercised Options (Unexercisable) | Option Exercise Price | Option Expiration Date | Equity Incentive Plan Awards: Number of Unearned Shares That Have Not Vested | Equity Incentive Plan Awards: Market or Payout Value of Unearned Shares That Have Not Vested | ||||||||||||||||
| Joseph C. Visconti | 55,556 | 344,444 | 5.00 | 8/10/2032 | — | — | ||||||||||||||||
| Executive Chairman and Chief of Product Development | — | 100,000 | 1.33 | 12/14/2032 | ||||||||||||||||||
| Jim Leffew | 55,556 | 344,444 | 5.00 | 8/10/2032 | — | — | ||||||||||||||||
| President and Chief Executive Officer | — | 100,000 | 1.33 | 12/14/2032 | ||||||||||||||||||
| — | — | |||||||||||||||||||||
| Carrie Gunnerson | — | 100,000 | 1.33 | 12/14/2032 | — | — | ||||||||||||||||
| Interim Chief Financial Officer | ||||||||||||||||||||||
(1) Mrs. Gunnerson served as our Chief Financial Officer until the appointment of Ms. Camacho in August 2022 and was appointed as our Interim Chief Financial Officer on February 6, 2023 upon the resignation of Ms. Camacho.
Employment Arrangements with Our Named Executive Officers
Jim Leffew
Employment Agreement
We have entered into a three-year employment agreement with Mr. Leffew (the “Leffew Employment Agreement”) effective as of December 15, 2021 (the “Effective Date”) as amended on July 22, 2022. Under the Leffew Employment Agreement, as amended Mr. Leffew serves as our President and Chief Executive Officer. He receives an annual base salary of $125,000 and is eligible to receive an annual performance cash bonus with a target amount equal to 100% of his annual base salary, based upon achievement of performance goals established by the compensation committee of the board of directors. In addition, upon the completion of the IPO, Mr. Leffew’s annual base salary was increased to $250,000 and he will be granted a stock option to purchase 400,000 shares of our common stock under our proposed 2022 Stock Option Plan, which will vest pro rata on a monthly basis over a three-year period subject to continued employment through each vesting date.
The Leffew Employment Agreement provides that Mr. Leffew will be eligible to participate in all benefit and fringe benefit plans generally made available to our other executive officers. In addition, he is entitled to four weeks of paid vacation per year.
The Leffew Employment Agreement provides that it shall continue until terminated (i) by mutual agreement; (ii) due to death or disability of Mr. Leffew; (iii) by Mr. Leffew without good reason upon 90 days written notice to us; (iv) by us for cause (as defined in the Leffew Employment Agreement); (v) by us without cause; or (vi) by Mr. Leffew for good reason (as defined in the Leffew Employment Agreement).
Pursuant to the Leffew Employment Agreement, Mr. Leffew is subject to a one-year post-termination non-compete and non-solicit of employees and clients. He is also bound by confidentiality provisions.
In the event of a termination by us without cause or a termination by Mr. Leffew for good reason during the first six months following the Effective Date, he will receive a severance payment equal to his monthly base salary as is in effect on the termination date multiplied by three (less applicable tax withholdings), such amounts to be paid out monthly in substantially equal installments over the three month period following such termination in accordance with our normal payroll policies. If Mr. Leffew’s employment is terminated by us without cause or if he resigns for Good Reason after the first six months following the Effective Date, he will receive a severance payment equal to his monthly base salary as is in effect on the termination date multiplied by six (less applicable tax withholdings), such amounts to be paid out monthly in substantially equal installments over the six month period following such termination in accordance with the Company’s normal payroll policies.
87
The receipt of any termination benefits described above is subject to Mr. Leffew’s execution of a release of claims in favor of the Company, a form of which is attached as an exhibit to the Leffew Employment Agreement.
In the event of Mr. Leffew’s termination due to death or disability, Mr. Leffew will receive full vesting for any outstanding, unvested equity awards granted under the 2022 Plan. Mr. Leffew’s outstanding vested stock options will generally remain exercisable no longer than six months following such a termination.
Joseph Visconti
Upon the completion of the IPO, we entered into a five-year employment agreement with Mr. Visconti (the “Visconti Forza Employment Agreement”). Under the Visconti Forza Employment Agreement, Mr. Visconti serves as our Executive Chairman and Chief of Product Development. He receives an annual base salary of $75,000 and is eligible to receive an annual performance cash bonus with a target amount equal to 100% of his annual base salary, based upon achievement of performance goals established by the compensation committee of our board of directors. In addition, Mr. Visconti was granted a stock option to purchase 400,000 shares of common stock under our 2022 Plan, which will vest monthly over a three-year period subject to continued employment through each vesting date.
The Visconti Forza Employment Agreement provides that Mr. Visconti is eligible to participate in all benefit and fringe benefit plans generally made available to our other executive officers.
The Visconti Forza Employment Agreement provides that it shall continue until terminated (i) by mutual agreement; (ii) due to death or disability of Mr. Visconti; (iii) by Mr. Visconti without good reason upon 90 days written notice to us; (iv) by us for cause (as defined in the Visconti Forza Employment Agreement); (v) by us without cause; or (vi) by Mr. Visconti for good reason (as defined in the Visconti Forza Employment Agreement).
Pursuant to the Visconti Forza Employment Agreement, Mr. Visconti is subject to a one-year post-termination non-compete and non-solicit of employees and clients. He is also bound by confidentiality provisions.
In the event of a termination by us without cause or a termination by Mr. Visconti for good reason other than in connection with a change in control, Mr. Visconti will receive: an aggregate of twelve months of salary continuation at his then-current base annual salary, paid out in equal installments over a 6 month period; payment of any amount of annual bonus accrued for the year prior to the date of termination; payment of the bonus Mr. Visconti would have received based on the attainment of performance goals had he remained employed through the end of the year of termination, pro-rated based on the number of days in the termination year that Mr. Visconti was employed by us (paid when our other senior executives receive payment of their annual bonuses); reimbursement of COBRA premiums for up to twelve months; and full vesting for any outstanding, unvested equity awards granted under our 2022 Plan. Mr. Visconti’s outstanding vested stock options in Forza X1 will generally remain exercisable no longer than six months following such a termination.
In the event of a termination by us without cause or a resignation by Mr. Visconti for good reason within twelve months following a change in control, Mr. Visconti will receive an aggregate of 18 months of salary continuation at his then-current base annual salary, paid out in equal installments over a twelve month period; payment of any amount of annual bonus accrued for the year prior to the year of termination; payment of a pro-rated target annual bonus for the year of termination based on the number of days in the termination year that Mr. Visconti was employed by us; payment of one time his then-current target annual bonus; reimbursement of COBRA premiums for up to 18 months; and full vesting for any outstanding, unvested equity awards granted under our 2022 Plan. Mr. Visconti’s outstanding vested stock options will generally remain exercisable no longer than six months following such a termination.
The receipt of any termination benefits described above is subject to Mr. Visconti’s execution of a release of claims in favor of the Company, a form of which is attached as an exhibit to the Visconti Forza Employment Agreement.
In the event of Mr. Visconti’s termination due to death or disability, Mr. Visconti will receive full vesting for any outstanding, unvested equity awards granted under our 2022 Plan. Mr. Visconti’s outstanding vested stock options will generally remain exercisable no longer than six months following such a termination.
88
Former Chief Financial Officer -Nicole Camacho
We entered into an employment agreement with Ms. Camacho (the “Camacho Employment Agreement”) effective in April 4, 2022. Ms. Camacho resigned as our Chief Financial Officer on February 3, 2023. Under the Camacho Employment Agreement, Ms. Camacho served as our Chief Financial Officer. She received an annual base salary of $90,000 and was eligible to receive an annual performance cash bonus with a target amount equal to 20% of her annual base salary, based upon achievement of performance goals established by the compensation committee of Twin Vee’s board of directors.
The Camacho Employment Agreement provided that Ms. Camacho was eligible to participate in all benefit and fringe benefit plans generally made available to our other executive officers. In addition, she was entitled to two weeks of paid vacation per year.
The Camacho Employment Agreement provided that it continued until terminated (i) by mutual agreement; (ii) due to death or disability of Ms. Camacho; (iii) by Ms. Camacho without good reason upon 90 days written notice to us; (iv) by us for cause (as defined in the Gunnerson Employment Agreement); (v) by us without cause; or (vi) by Ms. Camacho for good reason (as defined in the Gunnerson Employment Agreement).
Pursuant to the Camacho Employment Agreement, Ms. Camacho is subject to a one-year post-termination non-compete and non-solicit of employees and clients. She is also bound by confidentiality provisions.
The receipt of any termination benefits described above is subject to Ms. Camacho’s execution of a release of claims in favor of the Company, a form of which is attached as an exhibit to the Camacho Employment Agreement.
Carrie Gunnerson
Employment Agreement with Twin Vee
Twin Vee entered into a five-year employment agreement with Ms. Gunnerson (the “Gunnerson Employment Agreement”) effective in October 2021. Under the Gunnerson Employment Agreement, Ms. Gunnerson serves as Twin Vee’s Chief Financial Officer. She receives an annual base salary of $175,000 and is eligible to receive an annual performance cash bonus with a target amount equal to 30% of her annual base salary, based upon achievement of performance goals established by the compensation committee of Twin Vee’s board of directors. Ms. Gunnerson also received a stock option to purchase 136,000 shares of Twin Vee’s common stock under its 2021 Plan, vesting monthly over a five-year period subject to continued employment through each vesting date. Ms. Gunnerson also received a stock option to purchase 100,000 shares of our common stock for her provision of consulting services to us.
The Gunnerson Employment Agreement provides that Ms. Gunnerson would be eligible to participate in all benefit and fringe benefit plans generally made available to Twin Vee’s other executive officers. In addition, she is entitled to four weeks of paid vacation per year.
The Gunnerson Employment Agreement provides that it shall continue until terminated (i) by mutual agreement; (ii) due to death or disability of Ms. Gunnerson; (iii) by Ms. Gunnerson without good reason upon 90 days written notice to Twin Vee; (iv) by Twin Vee for cause (as defined in the Gunnerson Employment Agreement); (v) by Twin Vee without cause; or (vi) by Ms. Gunnerson for good reason (as defined in the Gunnerson Employment Agreement).
Pursuant to the Gunnerson Employment Agreement, Ms. Gunnerson is subject to a one-year post-termination non-compete and non-solicit of employees and clients. She is also bound by confidentiality provisions.
In the event of a termination by Twin Vee without cause or a termination by Ms. Gunnerson for good reason during the first six (6) months following the effective date of the Gunnerson Employment Agreement, Ms. Gunnerson will receive an aggregate of three months of salary continuation at her then-current base annual salary, paid out in equal installments over a three-month period. In the event of a termination by Twin Vee without cause or a termination by Ms. Gunnerson for good reason after the first six (6) months following the effective date of the Gunnerson Employment Agreement, Ms. Gunnerson will receive an aggregate of six months of salary continuation at her then-current base annual salary, paid out in equal installments over a six-month period. Ms. Gunnerson’s outstanding vested stock options will generally remain exercisable no longer than six months following such a termination.
The receipt of any termination benefits described above is subject to Ms. Gunnerson’s execution of a release of claims in favor of the Company, a form of which is attached as an exhibit to the Gunnerson Employment Agreement.
In the event of Ms. Gunnerson’s termination due to death or disability, Ms. Gunnerson will receive full vesting or any outstanding, unvested equity awards granted under Twin Vee’s 2021 Plan. Ms. Gunnerson’s outstanding vested stock options will generally remain exercisable no longer than six months following such a termination.
Employee Benefit and Stock Plans
89
Simple IRA Plan
We maintain a Simple IRA retirement savings plan for the benefit of our employees, including our named executive officers, who satisfy certain eligibility requirements. Under the Simple IRA, eligible employees may elect to defer a portion of their compensation, within the limits prescribed by the Code, on a pre-tax basis through contributions to the Simple IRA plan. The Simple IRA plan authorizes employer safe harbor matching contributions equal to 3% of covered compensation for eligible employees. The Simple IRA plan is intended to qualify under Sections 401(a) and 501(a) of the Code. As a tax-qualified retirement program, contributions to the Simple IRA plan and earnings on those contributions are not taxable to the employees until distributed from the Simple IRA plan.
2022 Stock Incentive Plan
We adopted the Forza X1 2022 Stock Incentive Plan, or the 2022 Plan. The principal provisions of the 2022 Plan are summarized below.
Administration
The 2022 Plan vests broad powers in a committee to administer and interpret the 2022 Plan. Our board of directors has initially designated the compensation committee to administer the 2022 Plan. Except when limited by the terms of the 2022 Plan, the compensation committee has the authority to, among other things: select the persons to be granted awards; determine the type, size and term of awards; establish performance objectives and conditions for earning awards; determine whether such performance objectives and conditions have been met; and accelerate the vesting or exercisability of an award. In its discretion, the compensation committee may delegate all or part of its authority and duties with respect to granting awards to one or more of our officers, subject to certain limitations and provided applicable law so permits.
Our board of directors may amend, alter or discontinue the 2022 Plan and the compensation committee may amend any outstanding award at any time; provided, however, that no such amendment or termination may adversely affect awards then outstanding without the holder’s permission. In addition, any amendments seeking to increase the total number of shares reserved for issuance under the 2022 Plan or modifying the classes of participants eligible to receive awards under the 2022 Plan will require ratification by our stockholders in accordance with applicable law. Additionally, as described more fully below, neither the compensation committee nor the board of directors is permitted to reprice outstanding options or stock appreciation rights without shareholder consent.
Eligibility
Any of our employees, directors, consultants, and other service providers, or those of our affiliates, are eligible to participate in the 2022 Plan and may be selected by the compensation committee to receive an award.
Vesting
The compensation committee determines the vesting conditions for awards. These conditions may include the continued employment or service of the participant, the attainment of specific individual or corporate performance goals, or other factors as determined in the compensation committee’s discretion (collectively, “Vesting Conditions”).
Shares of Stock Available for Issuance
Subject to certain adjustments, the maximum number of shares of common stock that may be issued under the 2022 Plan in connection with awards is 1,970,250 shares, which takes into account awards made available on January 1, 2023 due to the evergreen provision in the 2022 Plan. In addition, the maximum number of shares of common stock that may be issued under the 2022 Plan will automatically increase on January 1 of each calendar year for a period of ten years commencing on January 1, 2023 and ending on (and including) January 1, 2032, in a number of shares of common stock equal to 4.5% of the total number of shares of common stock outstanding on December 31 of the preceding calendar year; provided, however that the board of directors may act prior to January 1 of a given calendar year to provide that the increase for such year will be a lesser number of shares of common stock. We have issued options to purchase an aggregate of 1,441,500 shares of our common stock. All available shares may be utilized toward the grant of any type of award under the 2022 Plan. The 2022 Plan imposes a $250,000 limitation on the total grant date fair value of awards granted to any non-employee director in his or her capacity as a non-employee director in any single calendar year.
90
Director Compensation
2022 Director Compensation
Prior to the closing of our IPO in August 2022, our directors did not receive any compensation for their service as directors. After the closing of our IPO, directors who are not employees received compensation for their service as directors, including service as members of each committee on which they serve.
Cash Compensation
All non-employee directors are entitled to receive the following cash compensation for their services:
| ● | $10,000 per year for service as a board member; |
| ● | $20,000 per year additionally for service as chair of the audit committee; |
| ● | $7,500 per year additionally for service as member of the audit committee (excluding committee chair); |
| ● | $15,000 per year additionally for service as chair of the compensation committee; |
| ● | $5,000 per year additionally for service as member of the compensation committee (excluding committee chair); |
| ● | $7,500 per year additionally for service as chair of the corporate governance and nominating committee; |
| ● | $3,000 per year additionally for service as member of the corporate governance and nominating committee (excluding committee chair); |
All cash payments to non-employee directors who served in the relevant capacity at any point during the immediately preceding prior fiscal quarter will be paid quarterly in arrears. A non-employee director who served in the relevant capacity during only a portion of the prior fiscal quarter will receive a pro-rated payment of the quarterly payment of the applicable cash retainer.
Equity Compensation
Effective upon the closing of our IPO, each non-employee director received an initial grant of non-qualified stock options under our 2022 Plan to purchase 5,500 shares of our common stock, which options vest pro rata on a monthly basis over a period of twelve months from the grant date, subject to the grantee’s continued service through that date. We intend to make annual equity grants to non-employee directors coincident with each annual meeting of stockholders.
Director Compensation Table
The following table sets forth information regarding the compensation earned for service on our board of directors by our non-employee directors during the year ended December 31, 2022. The compensation for each of Messrs. Visconti and Leffew as an executive officer is set forth above under “—Summary Compensation Table.” Messrs. Visconti and Leffew receive no compensation for service as a director.
| (a) Name | (b) Fees Earned or Paid in Cash ($) | (c) Stock Awards ($) | (d) Option Awards(1) ($) | (e) Non-Equity Incentive Plan Compensation ($) | (f) Nonqualified Deferred Compensation Earnings ($) | (g) All Other Compensation ($) | (h) Total ($) | |||||||||||||||||||||
| Marcia Kull | 10,625 | — | 22,485 | — | — | — | 33,110 | |||||||||||||||||||||
| Neil Ross | 15,000 | — | 22,485 | — | — | — | 37,485 | |||||||||||||||||||||
| Kevin Schuyler | 20,000 | — | 22,485 | — | — | — | 42,485 | |||||||||||||||||||||
| (1) | The amounts in the “Option Awards” column reflect the dollar amounts of the grant date fair value for the financial statement reporting purposes for stock options for the fiscal year ended December 31, 2022 in accordance with ASC 718. The fair value of the options was determined using the Black-Scholes model. For a discussion of the assumptions used in computing this valuation, see Note 12 of the Notes to Financial Statements in our Annual Report on Form 10-K for the fiscal year ended December 31, 2022. |
| (2) | As of December 31, 2022, the following are the outstanding aggregate number of option awards held by each of our directors who were not also Named Executive Officers: |
91
| Name | Option Awards (#) | |||
| Marcia Kull | 5,500 | |||
| Neil Ross | 5,500 | |||
| Kevin Schuyler | 5,500 | |||
During 2022, each non-employee member of the Board of Directors receives an annual cash fee of $5,000, all non-employee directors receive an annual cash fee of $5,000, $4,000 and $3,000 for service on the Audit, Compensation and Corporate Governance and Nominating Committee, respectively, and the Chairman of the Audit, Compensation and Corporate Governance and Nomination Committee receives a cash fee of $12,000, $10,000 and $5,000, respectively. In addition, each non-employee member of the Board of Directors was issued an option exercisable for 5,500 shares of our common stock, for a term of one year, vesting monthly over one year of the date of grant.
Item 12. Security Ownership of Certain Beneficial Owners and Management and Related Stockholder Matters.
The following table sets forth the beneficial ownership of our common stock as of March 27, 2023, by:
| ● | each person, or group of affiliated persons, who is known by us to beneficially own more than 5% of our common stock; |
| ● | each of the named executive officers listed in the Summary Compensation Table; |
| ● | each of our directors; and |
| ● | all of our current executive officers and directors as a group. |
As of March 27, 2023, we had 10,450,000 shares of common stock outstanding.
We have determined beneficial ownership in accordance with the rules of the SEC. These rules generally attribute beneficial ownership of securities to persons who possess sole or shared voting power or investment power with respect to those securities. In addition, the rules include shares of common stock issuable pursuant to the exercise of profits interest units, options, warrants or other rights that are either immediately exercisable or exercisable on or before May 30, 2023, which is approximately 60 days after the date of this Annual Report on Form 10-K. These shares are deemed to be outstanding and beneficially owned by the person holding those options or warrants for the purpose of computing the percentage ownership of that person, but they are not treated as outstanding for the purpose of computing the percentage ownership of any other person. Unless otherwise indicated, the persons or entities identified in this table have sole voting and investment power with respect to all shares shown as beneficially owned by them, subject to applicable community property laws.
Unless otherwise indicated, the address of each beneficial owner listed in the table below is c/o Forza X1, Inc. 3101 S. US-1 Ft. Pierce, Florida 34982.
| Shares Beneficially Owned | ||||||||
| Name of Beneficial Owner | Shares | Percentage | ||||||
| Named Executive Officers and Directors | ||||||||
| Joseph Visconti (1)(2) | 2,037,222 | 19.27 | % | |||||
| Carrie Gunnerson | 11,111 | — | ||||||
| Jim Leffew(2) | 125,422 | 1.19 | % | |||||
| Neil Ross(3) | 4,125 | — | ||||||
| Marcia Kull(3) | 8,730 | — | ||||||
| Kevin Schuyler(3) | 13,457 | — | ||||||
| All executive officers and directors as a group (7 persons) | 2,200,067 | 20.81 | ||||||
| 5% Stockholders | ||||||||
| Twin Vee PowerCats Co. and Twin Vee PowerCats, Inc.(1) | 7,000,000 | 66.99 | % | |||||
| * | Represents beneficial ownership of less than one percent. |
| (1) |
Joseph Visconti is our Executive Chairman and Chief of Product Development. He is also the Chairman of the Board and Chief Executive Officer of our parent company, Twin Vee. These shares are owned directly by Twin Vee. Mr. Visconti owns 24.5% of the outstanding stock of Twin Vee. Twin Vee is the owner of 7,000,000 shares of common stock. Mr. Visconti is deemed to have control over the shares of common stock of our company owned by Twin Vee. Mr. Visconti disclaims beneficial ownership of these securities. |
92
| (2) |
Both of Mr. Visconti and Mr. Leffew were issued an option to purchase 400,000 shares of our common stock immediately after the IPO of which 111,111 will vest and be exercisable and be exercisable within 60 days of March 30, 2023.
|
| (3) | Our non-employee directors, Messrs. Ross and Schuyler and Ms. Kull were issued an option to purchase 5,500 shares of our common stock immediately after the IPO of which 4,125 will vest and be exercisable within 60 days of March 30, 2023. |
| (4) | Mr. Visconti, Mr. Leffew and Mrs. Gunnerson were issued options to purchase 100,000 shares of our common stock on December 15, 2022, of which 11,111 will vest and be exercisable and be exercisable within 60 days of March 30, 2023. |
Changes In Control
None.
Equity Compensation Plan Information
See Part II, Item 5— Equity Compensation Plan Information for certain information regarding our equity compensation plans.
Item 13. Certain Relationships and Related Transactions, and Director Independence.
Each of the related party transactions described below was negotiated on an arm’s length basis. We believe that the terms of such agreements are as favorable as those we could have obtained from parties not related to us. The following are summaries of certain provisions of our related party agreements and are qualified in their entirety by reference to all of the provisions of such agreements. Because these descriptions are only summaries of the applicable agreements, they do not necessarily contain all of the information that you may find useful. We therefore urge you to review the agreements in their entirety. Copies of the forms of the agreements have been filed as exhibits to the registration statement and are available electronically on the website of the SEC at www.sec.gov.
In addition to the compensation arrangements, including employment, termination of employment and change in control arrangements, with our directors and executive officers, including those discussed in the sections titled “Management” and “Executive Compensation,” the following is a description of each transaction since January 1, 2021 or any currently proposed transaction in which:
| ● | we have been or are to be a party to; | |
| ● | the amount involved exceeded or exceeds $120,000 or 1% of the average of our total assets as of the end of the last two completed fiscal years; and | |
| ● | any of our directors, executive officers or holders of more than 5% of our outstanding capital stock, or any immediate family member of, or person sharing the household with, any of these individuals or entities, had or will have a direct or indirect material interest. |
For information on our compensation arrangements, including employment, termination of employment and change in control arrangements, with our directors and executive officers, see the section titled “Executive Compensation” in Part III, Item 11.
Joseph Visconti, our Executive Chairman and Chief of Product Development is also the Chairman of the Board and Chief Executive Officer of our parent company, Twin Vee. These shares are owned directly by Twin Vee PowerCats Co. Mr. Visconti owns 25.84% of the outstanding stock of Twin Vee PowerCats Co. Twin Vee PowerCats Co. is the owner of 9,520,000 shares of common stock. As a controlling shareholder of Twin Vee PowerCats Co., Mr. Visconti is deemed to have control over the shares of common stock of our company owned by Twin Vee PowerCats Co. Mr. Visconti disclaims beneficial ownership of these securities.
As of March 31, 2022 and December 31, 2021, we had $59,511 and $641,917 due to Twin Vee. Twin Vee funded our working capital needs, primarily for prototyping, consulting services and payroll, prior to their $2,000,000 investment. On May 25, 2022, Twin Vee provided an additional $500,000 for ongoing operating costs.
During the period of inception (October 15, 2021) through December 31, 2021, we recorded management fees of $15,000 and for the three months ended March 31, 2022, we recorded management fees of $15,000, pursuant to a management agreement with Twin Vee paid to Twin Vee pursuant to a management agreement, dated October 1, 2021, with it for various management services. The agreement provides for a monthly $5,000 management fee, has a term of one year and will expire on September 30, 2022. The management services include human resources, accounting services, investor relations, shareholder relations, consultation during the IPO process and review of the assets owned and operated by us. Following the completion of the IPO we transitioned the management agreement with Twin Vee from an agreement providing management services to an administrative services agreement under which Twin Vee provides us with certain administrative services, such as procurement, shipping, receiving, storage and use of Twin Vee’s facility until our new planned facility is completed. We recently began using the services of Ms. Gunnerson for our accounting needs pursuant to the agreement.
93
Our corporate headquarters is located at Twin Vee’s premises, in addition to the above management fee, we have a month-to month arrangement and pay rent to Twin Vee monthly, based on the square footage we require. For the year ended December 31, 2022 we recorded rent expense of $20,386, associated with our month- to- month arrangement to utilize certain space at our Twin Vee’s facility.
During the year ended December 31, 2022 we repaid advancements from Twin Vee of $1,099,468.
Indemnification Agreements
We intended to enter, into separate indemnification agreements with each of our directors and executive officers, in addition to the indemnification that is provided for in our amended and restated certificate of incorporation and bylaws. The indemnification agreements and our amended restated certificate of incorporation and bylaws require us to indemnify our directors, executive officers and certain controlling persons to the fullest extent permitted by Delaware law. See the section titled “Limitation of Liability and Indemnification” in Part III, Item 10 for additional information.
Assignment of Assets Agreement; Assignment of Intellectual Property
We and Twin Vee have entered into an agreement pursuant to which Twin Vee has assigned to us (i) certain technology, assets and property rights, and (ii) certain intellectual property related to Twin Vee’s EV business.
Assignment of Land Contract
We and Twin Vee had entered into an assignment of land contract pursuant to which Twin Vee had assigned to us a land purchase agreement that provides us with an option to acquire 14.5 acres of undeveloped land in Fort Pierce, Florida for $750,000. On December 6, 2021, we paid the $50,000 refundable deposit on the land purchase agreement from our working capital. The land purchase agreement provided that we must diligently pursue zoning change and site plan approval with St. Lucie County for the manufacturing facility within two hundred ten (210) days of the effective date of the contract (the “Site Plan Contingency”). In the event we cannot obtain the Site Plan Contingency, by the 210-day deadline, within three (3) business days after the expiration of the deadline, we may either (i) elect to terminate the land purchase contract or (ii) waive the Site Plan Contingency and proceed to the closing. It has since been determined that the cost associated with building our factory on the Fort Pierce, Florida site is prohibitive. As a result, on April 28, 2022, Twin Vee and we requested, and were granted, a release and termination of the land contract for this vacant parcel of land.
Transition Services Agreement
Following the completion of the IPO we transitioned the management agreement with Twin Vee from an agreement providing management services to a transition services agreement under which Twin Vee provides us at their cost with certain services, such as procurement, shipping, receiving, storage and use of Twin Vee’s facility until our new planned facility is completed. In addition, we recently began using the services of Ms. Gunnerson for our accounting needs pursuant to the agreement. There is limited additional manufacturing capacity at Twin Vee’s current facility for the manufacture of our electric boats. As such, our ability to utilize Twin Vee’s manufacturing capacity pending completion of our own facility will be subject to its availability as determined by Twin Vee. The transition services agreement will operate on a month-to-month basis.
Our Policy Regarding Related Party Transactions
Our board of directors recognizes the fact that transactions with related persons present a heightened risk of conflicts of interest and/or improper valuation (or the perception thereof). Our board of directors has adopted a written policy on transactions with related persons that is in conformity with the requirements for issuers having publicly held common stock that is listed on the Nasdaq Stock Market. Under the new policy:
| ● | any related person transaction, and any material amendment or modification to a related person transaction, must be reviewed and approved or ratified by the Audit Committee; and | |
| ● | any employment relationship or transaction involving an executive officer and any related compensation must be approved by the compensation committee of the board of directors or recommended by the compensation committee to the board of directors for its approval. |
In connection with the review and approval or ratification of a related person transaction:
94
| ● | management must disclose to the committee or disinterested directors, as applicable, the name of the related person and the basis on which the person is a related person, the material terms of the related person transaction, including the approximate dollar value of the amount involved in the transaction, and all the material facts as to the related person’s direct or indirect interest in, or relationship to, the related person transaction; | |
| ● | management must advise the committee or disinterested directors, as applicable, as to whether the related person transaction complies with the terms of our agreements governing our material outstanding indebtedness that limit or restrict our ability to enter into a related person transaction; | |
| ● | management must advise the committee or disinterested directors, as applicable, as to whether the related person transaction will be required to be disclosed in our applicable filings under the Securities Act or the Exchange Act, and related rules, and, to the extent required to be disclosed, management must ensure that the related person transaction is disclosed in accordance with the Securities Act and the Exchange Act and related rules; and | |
| ● | management must advise the committee or disinterested directors, as applicable, as to whether the related person transaction constitutes a “personal loan” for purposes of Section 402 of the Sarbanes-Oxley Act. |
In addition, the related person transaction policy provides that the committee or disinterested directors, as applicable, in connection with any approval or ratification of a related person transaction involving a non-employee director, should consider whether such transaction would compromise the director’s status as an “independent,” “outside,” or “non-employee” director, as applicable, under the rules and regulations of the SEC, the Nasdaq Stock Market, and the Code.
Director Independence
The information included under the heading “Directors, Executive Officers and Corporate Governance—Director Independence” in Part III, Item 10 is hereby incorporated by reference into this Item 13.
Item 14. Principal Accounting Fees and Services.
Grassi & Co., CPAs, P.C. serves as our independent registered public accounting firm.
Independent Registered Public Accounting Firm Fees and Services
The following table sets forth the aggregate fees including expenses billed to us for the years ended December 31, 2022 and 2021 by our auditors:
| Year ended | Year ended | |||||||
| December 31, | December 31, | |||||||
| 2022 | 2021 | |||||||
| Audit Fees | $ | 57,272 | $ | 20,000 | ||||
| Tax Fees | — | — | ||||||
| Audit Related Fees | — | — | ||||||
| All Other Fees | — | — | ||||||
| $ | 57,272 | $ | 20,000 | |||||
The Audit Committee has adopted procedures for pre-approving all audit and non-audit services provided by the independent registered public accounting firm, including the fees and terms of such services. These procedures include reviewing detailed back-up documentation for audit and permitted non-audit services. The documentation includes a description of, and a budgeted amount for, particular categories of non-audit services that are recurring in nature and therefore anticipated at the time that the budget is submitted. Audit Committee approval is required to exceed the pre-approved amount for a particular category of non-audit services and to engage the independent registered public accounting firm for any non-audit services not included in those pre-approved amounts. For both types of pre-approval, the Audit Committee considers whether such services are consistent with the rules on auditor independence promulgated by the SEC and the PCAOB. The Audit Committee also considers whether the independent registered public accounting firm is best positioned to provide the most effective and efficient service, based on such reasons as the auditor’s familiarity with our business, people, culture, accounting systems, risk profile, and whether the services enhance our ability to manage or control risks, and improve audit quality. The Audit Committee may form and delegate pre-approval authority to subcommittees consisting of one or more members of the Audit Committee, and such subcommittees must report any pre-approval decisions to the Audit Committee at its next scheduled meeting. All of the services provided by the independent registered public accounting firm were pre-approved by the Audit Committee.
95
PART IV
Item 15. Exhibits and Financial Statement Schedules.
| (a)(1) | Financial Statements. The financial statements required to be filed in this Annual Report on Form 10-K are included in Part II, Item 8 hereof. |
| (a)(2) | All financial statement schedules have been omitted as the required information is either inapplicable or included in the Financial Statements or related notes included in Part II, Item 8 hereof. |
| (a)(3) | Exhibits. The exhibits listed below are required by Item 601 of Regulation S-K. Each management contract or compensatory plan or arrangement required to be filed as an exhibit to this Annual Report on Form 10-K has been identified. |
Item 16. Form 10-K Summary
Not Applicable
96
97
SIGNATURES
Pursuant to the requirements of Section 13 or 15(d) of the Securities Exchange Act of 1934, the registrant has duly caused this report to be signed on its behalf by the undersigned, thereunto duly authorized.
| Forza X1, Inc. | |
| (Registrant) | |
| Dated: March 27, 2023 | /s/ Jim Leffew |
| Jim Leffew | |
| Chief Executive Officer and President |
Pursuant to the requirements of the Securities Exchange Act of 1934, this Annual Report on Form 10-K has been signed below by the following persons on behalf of the registrant, Forza X1, Inc., in the capacities and on the date indicated.
POWER OF ATTORNEY
KNOW ALL PERSONS BY THESE PRESENTS, that each person whose signature appears below constitutes and appoints Jim Leffew and Carrie Gunnerson, and each of them, his/her true and lawful attorneys-in-fact and agents, with full power of substitution and resubstitution, for him/her and in his/her name, place and stead, in any and all capacities, to sign any and all amendments to this report, and to file the same, with all exhibits thereto, and other documents in connection therewith, with the SEC, granting unto said attorneys-in-fact and agents, and each of them, full power and authority to do and perform each and every act and thing requisite and necessary to be done in connection therewith, as fully to all intents and purposes as he might or could do in person, hereby ratifying and confirming all that said attorneys-in-fact and agents, or either of them, or their or his substitutes or substitute, may lawfully do or cause to be done by virtue hereof.
| Signature | Title | Date | ||
| /s/ Jim Leffew | Chief Executive Officer and President (Principal Executive Officer) |
March 27, 2023 | ||
| Jim Leffew | ||||
| /s/ Carrie Gunnerson | Interim Chief Financial Officer (Principal Financial Officer and Principal Accounting Officer) | March 27, 2023 | ||
| Carrie Gunnerson | ||||
| /s/ Joseph Visconti | Executive Chairman of the Board and Chief of Product Development | March 27, 2023 | ||
| Joseph Visconti | ||||
| /s/ Marcia Kull | Director | March 27, 2023 | ||
| Marcia Kull | ||||
| /s/ Neil Ross | Director | March 27, 2023 | ||
| Neil Ross | ||||
| /s/ Kevin Schuyler | Director | March 27, 2023 | ||
| Kevin Schuyler |
98