Please wait

 

 

 

UNITED STATES

SECURITIES AND EXCHANGE COMMISSION

Washington, DC 20549

 

SCHEDULE 14A

PROXY STATEMENT PURSUANT TO SECTION 14(a) OF THE

SECURITIES EXCHANGE ACT OF 1934

(Amendment No.              )

 

Filed by the Registrant x

Filed by a Party other than the Registrant ¨

 

Check the appropriate box:

 

¨  Preliminary Proxy Statement
¨  Confidential, for Use of the Commission Only (as permitted by Rule 14a-6(e)(2))
¨ Definitive Proxy Statement
x  Definitive Additional Materials
¨  Soliciting Material under §240.14a-12

 

 

 

Smurfit Westrock plc

(Name of Registrant as Specified in Its Charter)

 

 

(Name of Person(s) Filing Proxy Statement, if Other Than the Registrant)

 

Payment of Filing Fee (Check all boxes that apply):

 

x  No fee required
¨  Fee paid previously with preliminary materials
¨  Fee computed on table in exhibit required by Item 25(b) per Exchange Act Rules 14a-6(i)(1) and 0-11

 

 

 

 

 

GRAPHIC

Step 1: Go to www.envisionreports.com/SW. Step 2: Click on Cast Your Vote or Request Materials. Step 3: Follow the instructions on the screen to log in. www.envisionreports.com/SW Online Go to www.envisionreports.com/SW or scan the QR code — login details are located in the shaded bar below. Annual General Meeting Notice - Smurfit Westrock plc 048O1E Important Notice Regarding the Availability of Proxy Materials for the Annual General Meeting Shareholders of Smurfit Westrock plc to be held on Friday, May 1, 2026 Under Securities and Exchange Commission rules, you are receiving this notice that the proxy materials for the annual general meeting of shareholders are available on the Internet. Follow the instructions below to view the proxy materials and vote online or request a copy of the proxy materials. The items to be voted on and the location of the annual general meeting are on the reverse side. Your vote is important! This communication presents only an overview of the more complete proxy materials that are available to you on the Internet. We encourage you to access and review all of the important information contained in the proxy materials before voting. The 2026 Proxy Statement & Notice of Annual General Meeting, 2025 Annual Report and 2025 Irish Statutory Annual Report are available at: Obtaining a Copy of the Proxy Materials – If you want to receive a copy of the proxy materials, you must request one. There is no charge to you for requesting a copy. Please make your request as instructed on the reverse side on or before April 16, 2026 to facilitate timely delivery. 2NOT Easy Online Access — View your proxy materials and vote. When you go online, you can also help the environment by consenting to receive electronic delivery of future proxy materials. Step 4: Make your selections as instructed on each screen for your delivery preferences. Step 5: Vote your shares. Votes submitted electronically must be received by 12:00 p.m. Dublin Time / 7:00 a.m. Eastern Time on Thursday, April 30, 2026

GRAPHIC

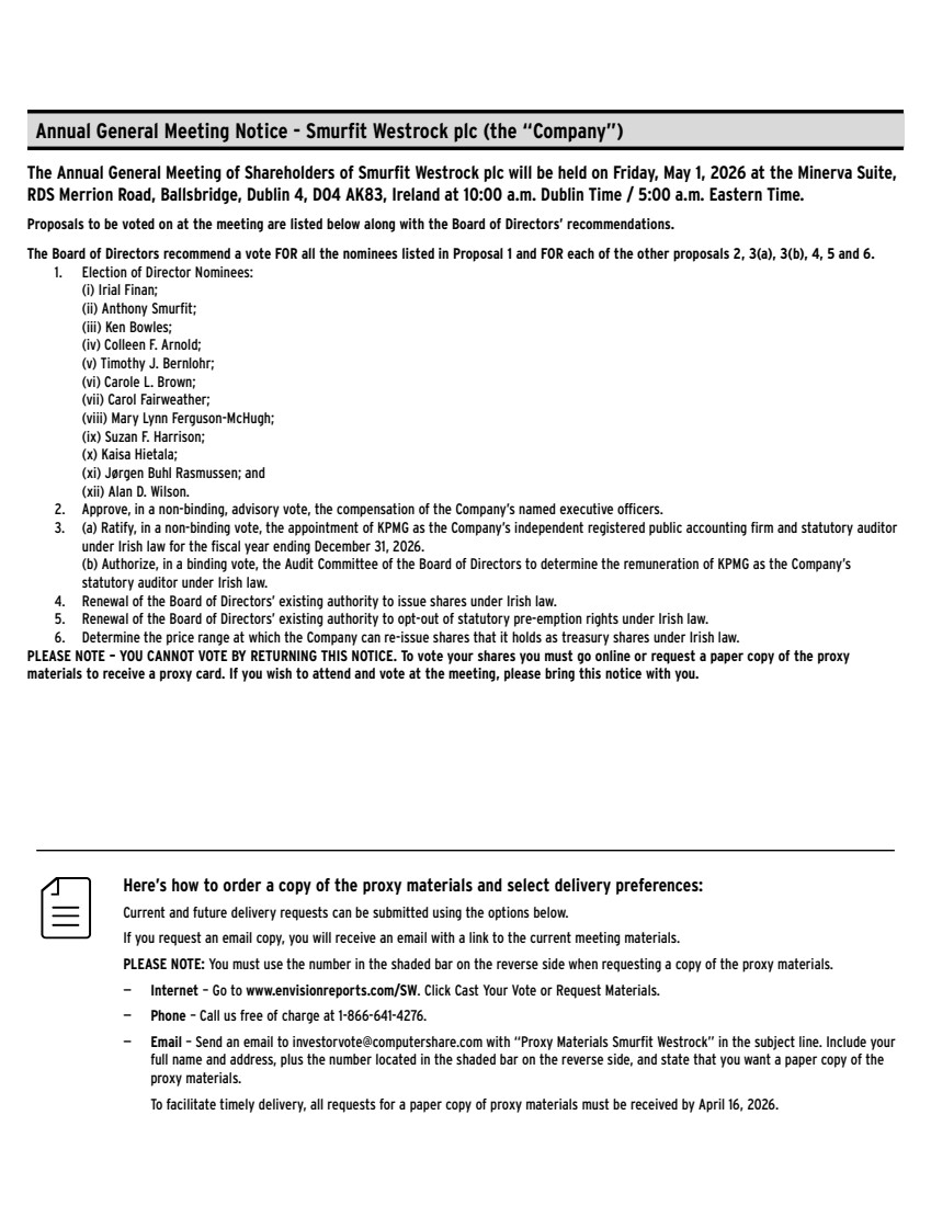
Here’s how to order a copy of the proxy materials and select delivery preferences: Current and future delivery requests can be submitted using the options below. If you request an email copy, you will receive an email with a link to the current meeting materials. PLEASE NOTE: You must use the number in the shaded bar on the reverse side when requesting a copy of the proxy materials. — Internet – Go to www.envisionreports.com/SW. Click Cast Your Vote or Request Materials. — Phone – Call us free of charge at 1-866-641-4276. — Email – Send an email to investorvote@computershare.com with “Proxy Materials Smurfit Westrock” in the subject line. Include your full name and address, plus the number located in the shaded bar on the reverse side, and state that you want a paper copy of the proxy materials. To facilitate timely delivery, all requests for a paper copy of proxy materials must be received by April 16, 2026. The Annual General Meeting of Shareholders of Smurfit Westrock plc will be held on Friday, May 1, 2026 at the Minerva Suite, RDS Merrion Road, Ballsbridge, Dublin 4, D04 AK83, Ireland at 10:00 a.m. Dublin Time / 5:00 a.m. Eastern Time. Proposals to be voted on at the meeting are listed below along with the Board of Directors’ recommendations. The Board of Directors recommend a vote FOR all the nominees listed in Proposal 1 and FOR each of the other proposals 2, 3(a), 3(b), 4, 5 and 6. 1. Election of Director Nominees: (i) Irial Finan; (ii) Anthony Smurfit; (iii) Ken Bowles; (iv) Colleen F. Arnold; (v) Timothy J. Bernlohr; (vi) Carole L. Brown; (vii) Carol Fairweather; (viii) Mary Lynn Ferguson-McHugh; (ix) Suzan F. Harrison; (x) Kaisa Hietala; (xi) Jørgen Buhl Rasmussen; and (xii) Alan D. Wilson. 2. Approve, in a non-binding, advisory vote, the compensation of the Company’s named executive officers. 3. (a) Ratify, in a non-binding vote, the appointment of KPMG as the Company’s independent registered public accounting firm and statutory auditor under Irish law for the fiscal year ending December 31, 2026. (b) Authorize, in a binding vote, the Audit Committee of the Board of Directors to determine the remuneration of KPMG as the Company’s statutory auditor under Irish law. 4. Renewal of the Board of Directors’ existing authority to issue shares under Irish law. 5. Renewal of the Board of Directors’ existing authority to opt-out of statutory pre-emption rights under Irish law. 6. Determine the price range at which the Company can re-issue shares that it holds as treasury shares under Irish law. PLEASE NOTE – YOU CANNOT VOTE BY RETURNING THIS NOTICE. To vote your shares you must go online or request a paper copy of the proxy materials to receive a proxy card. If you wish to attend and vote at the meeting, please bring this notice with you. Annual General Meeting Notice - Smurfit Westrock plc (the “Company”)