ModelEdge

Chase Corporation
CCF
Filing Type8-K
Filing Date11/14/2023
Updated11/15/23, 10:21 AM

Filing

8-K
Earnings Release

Exhibits

8-KMaterial Contracts, End of Material Contract, Completing Asset Acquisition or Sale, Notice of Delisting or Failure to Satisfy a Continued Listing Rule or Standard; Transfer of Listing, Material Modifications to Rights of Security Holders, Change in Company Ownership, Changes in Board, Management or Compensation, Amendments to Articles of Incorporation or Bylaws, Other Events
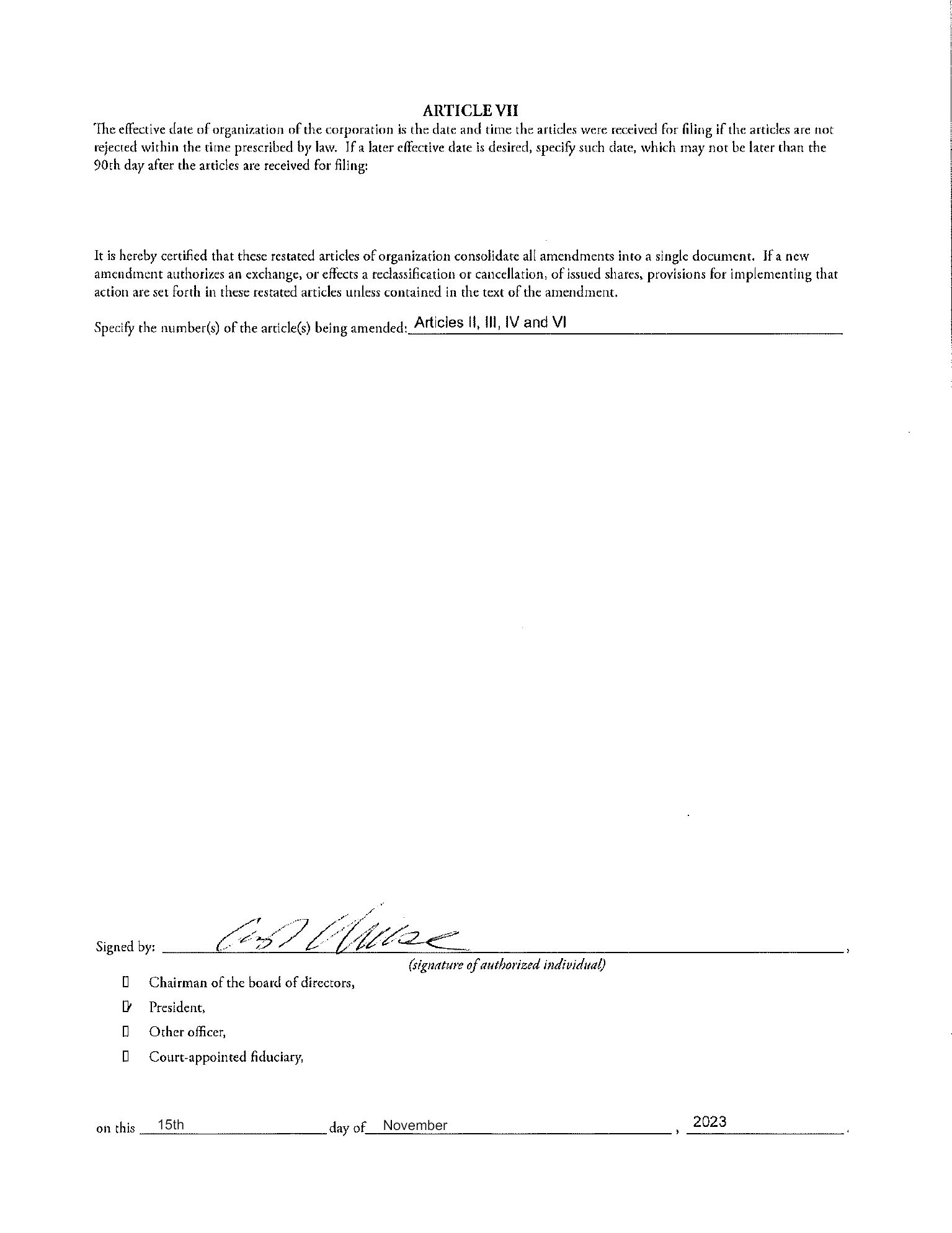
EX-3.1EXHIBIT 3.1
EX-3.2EXHIBIT 3.2
EX-99.1Material Contracts, End of Material Contract, Completing Asset Acquisition or Sale, Notice of Delisting or Failure to Satisfy a Continued Listing Rule or Standard; Transfer of Listing, Material Modifications to Rights of Security Holders, Change in Company Ownership, Changes in Board, Management or Compensation, Amendments to Articles of Incorporation or Bylaws, Other Events
GRAPHIC
GRAPHIC
GRAPHIC
GRAPHIC
GRAPHIC