ModelEdge

Capri Holdings Ltd
CPRI
Filing TypeDEFM14A
Filing Date9/19/2023
Updated9/20/23, 10:38 AM

Filing

DEFM14A
Earnings Release

Exhibits

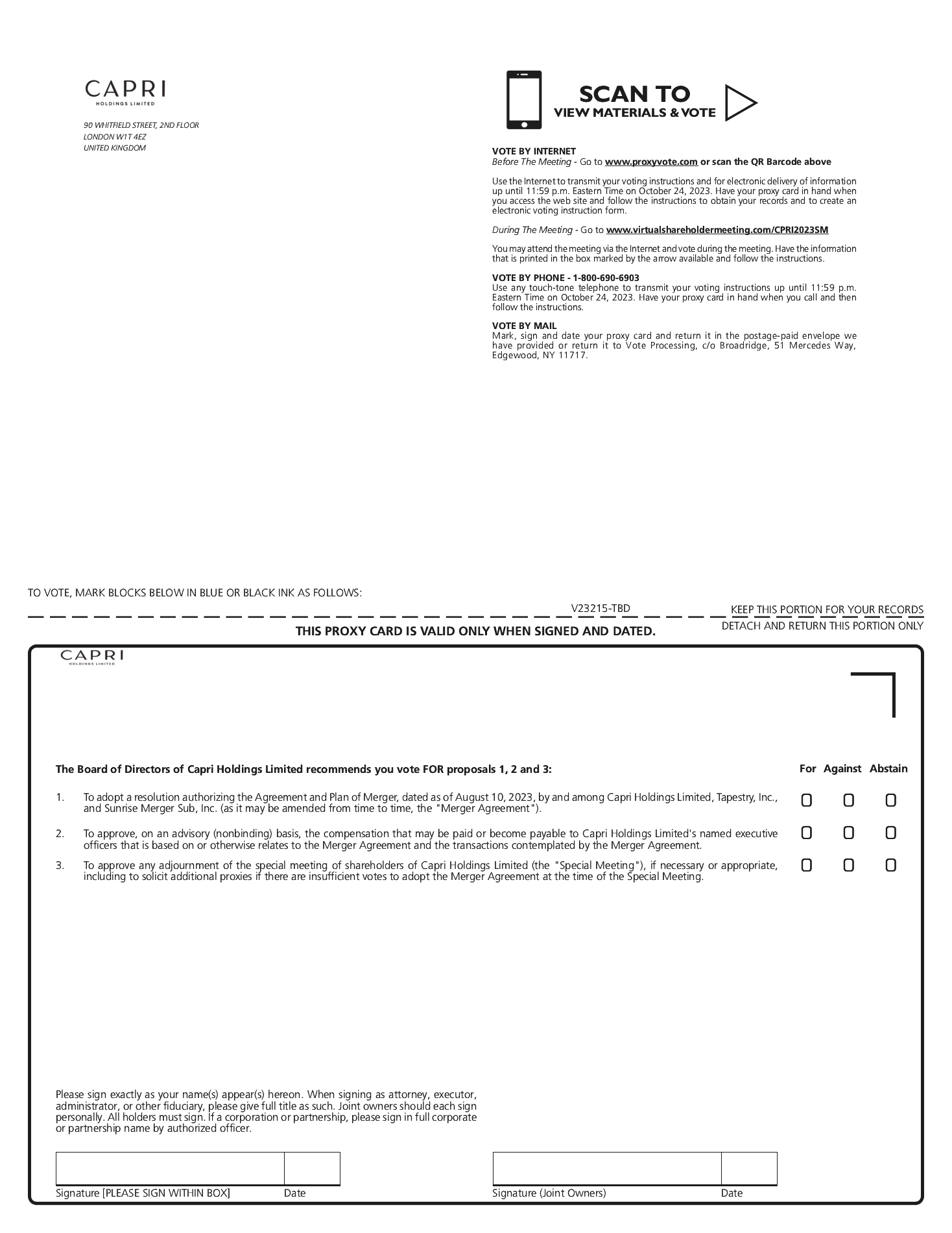
DEFM14ADefinitive Merger Proxy Statement
GRAPHIC
GRAPHIC
GRAPHIC
GRAPHIC
GRAPHIC
GRAPHIC