Model
Edge
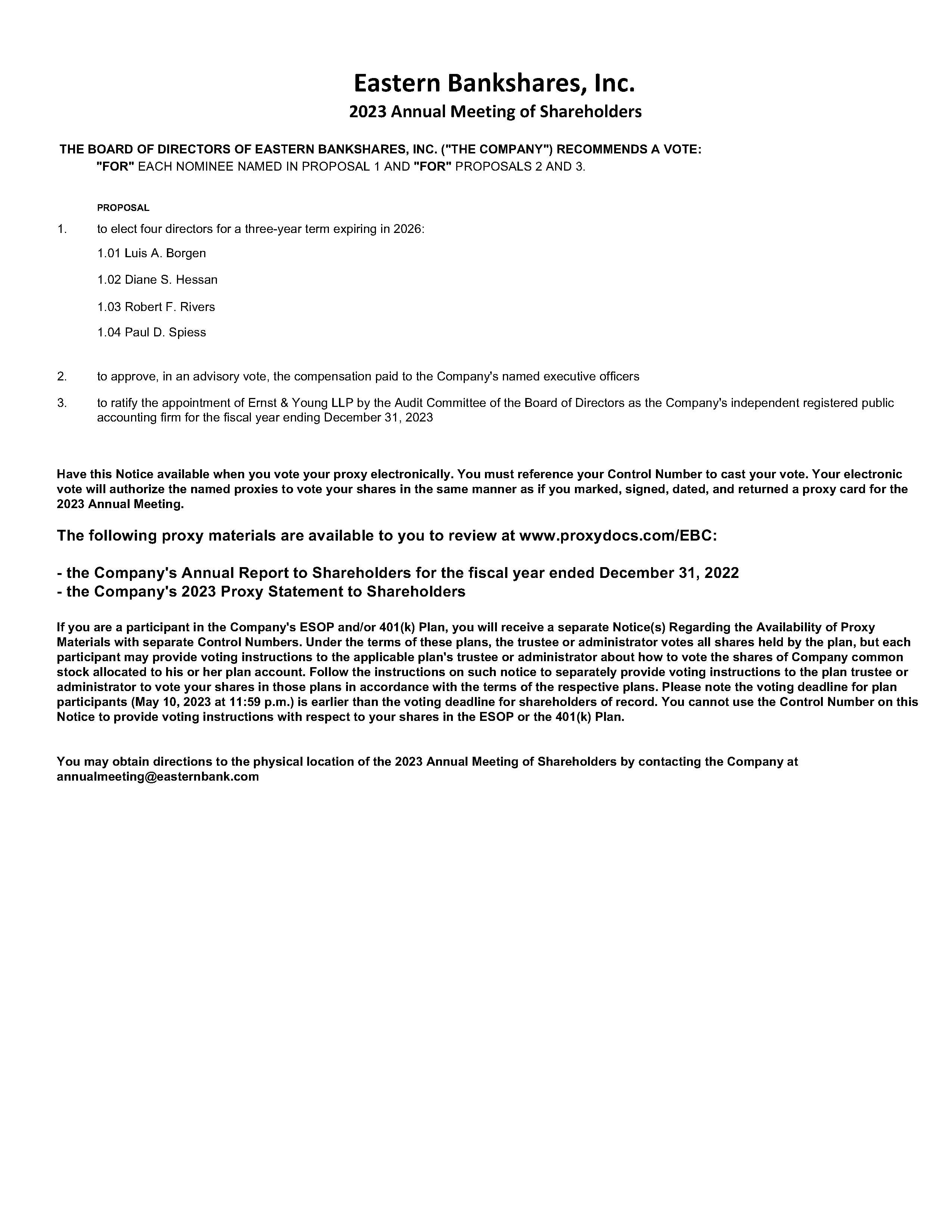
Eastern Bankshares Inc.
EBC
Filing Type
DEFA14A
Filing Date
4/2/2023
Updated
3/31/23, 11:39 AM
Filing
DEFA14A
Earnings Release
Exhibits
DEFA14A
Additional Proxy Materials
GRAPHIC
GRAPHIC