Model
Edge
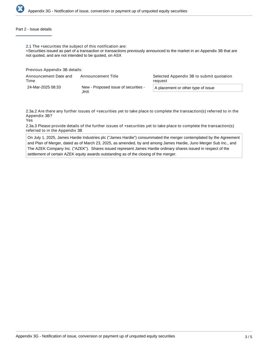
James Hardie Industries
JHX
Filing Type
6-K
Filing Date
1/22/2026
Updated
1/23/26, 12:43 PM
Filing
6-K
Earnings Release
Exhibits
6-K
Material disclosure
EX-99.1
Material disclosure
EX-99.2
Material disclosure
GRAPHIC
GRAPHIC
GRAPHIC
GRAPHIC
GRAPHIC
GRAPHIC
GRAPHIC
GRAPHIC
GRAPHIC
GRAPHIC