ModelEdge

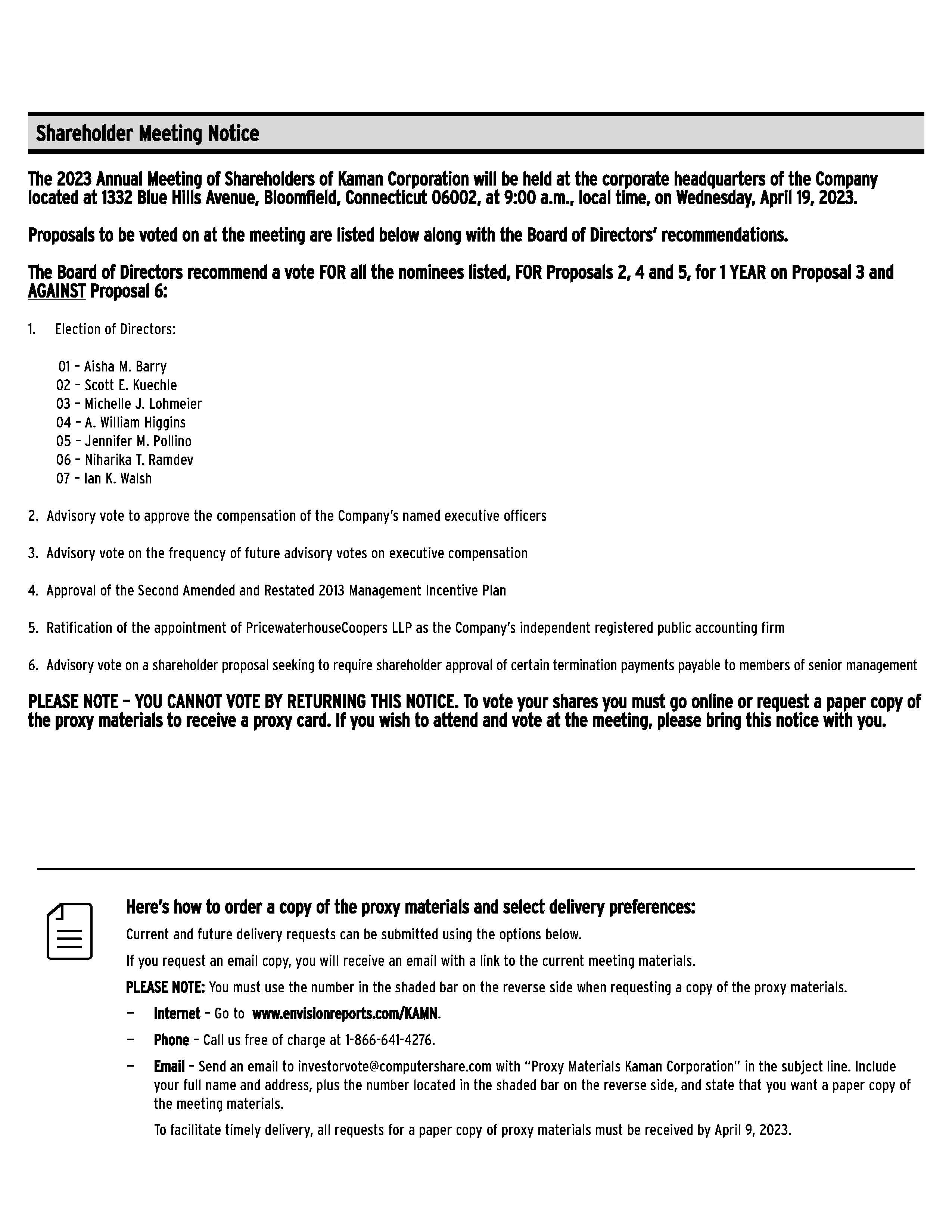
Kaman Corp
KAMN
Filing TypeDEFA14A
Filing Date3/2/2023
Updated3/3/23, 9:17 AM

Filing

DEFA14A
Earnings Release

Exhibits